
New York, 2009
European Commission
International Monetary Fund
Print stock code SNA EA 2008 001
Organisation for Economic Co-operation and Development
OECD Code 302009191P1
United Nations
Sales No. E.08.XVII.29,
document symbol ST/ESA/STAT/SER.F/2/Rev.5
World Bank
ISBN 978-92-1-161522-7
Copyright © 2009
European Communities,
International Monetary Fund,
Organisation for Economic Co-operation and Development,
United Nations and
World Bank
All rights reserved
The System of National Accounts, 2008 (2008 SNA) is a statistical framework that provides a comprehensive, consistent and flexible set of macroeconomic accounts for policymaking, analysis and research purposes.
It has been produced and is released under the auspices of the United Nations, the European Commission, the Organisation for Economic Co-operation and Development, the International Monetary Fund and the World Bank Group.
It represents an update, mandated by the United Nations Statistical Commission in 2003, of the System of National Accounts, 1993, which was produced under the joint responsibility of the same five organizations.
Like earlier editions, the 2008 SNA reflects the evolving needs of its users, new developments in the economic environment and advances in methodological research.
A working group, comprising representatives of each of our organizations, managed and coordinated the work.
National statistical offices and central banks from countries throughout the world made valuable contributions.
Expert groups carried out research on the issues being reviewed.
An advisory expert group was established to provide expert opinions from a broad range of countries.
During the update work, the recommendations and the updated text were posted on the website of the United Nations Statistics Division for worldwide comment, thereby achieving full transparency in the process.
The 2008 SNA is intended for use by all countries, having been designed to accommodate the needs of countries at different stages of economic development.
It also provides an overarching framework for standards in other domains of economic statistics, facilitating the integration of these statistical systems to achieve consistency with national accounts.
At its fortieth session, the Statistical Commission unanimously adopted the 2008 SNA as the international statistical standard for national accounts.
We encourage all countries to compile and report their national accounts on the basis of the 2008 SNA as soon as possible.
The System of National Accounts, 2008 (2008 SNA) is an updated version of the System of National Accounts, 1993 (1993 SNA).
It is the fifth version of the SNA, the first of which was published over fifty years ago.
At its thirty-third session in 2003, the Statistical Commission requested that the 1993 SNA be updated to bring the national accounting framework into line with the needs of data users.
The background was that the economic environment in many countries had evolved significantly since the early 1990s when the 1993 SNA had been developed and, in addition, methodological research over the past decade or so had resulted in improved methods of measuring some of the more difficult components of the accounts.
In accordance with the mandate from the Commission, the 2008 SNA does not recommend fundamental or comprehensive changes that would impede a smooth transition from implementation of the earlier versions, including the 1968 SNA, which is the national accounting framework still used in a number of countries.
Further, consistency with related manuals, such as those on the balance of payments, on government finance statistics and on monetary and financial statistics was an important consideration in the update.
The 2008 SNA was prepared under the auspices of the Inter-Secretariat Working Group on National Accounts (ISWGNA), which consists of five organizations: the Statistical Office of the European Communities (Eurostat), the International Monetary Fund (IMF), the Organisation for Economic Cooperation and Development (OECD), the United Nations Statistics Division and regional commissions of the United Nations, Secretariat and the World Bank.
The 2008 SNA is published jointly by the five organizations.
For practical purposes, the 2008 SNA was presented to the United Nations Statistical Commission in the form of two separate volumes, volume 1, consisting of 17 chapters, and volume 2, consisting of a further 12 chapters and four annexes.
Volume 1 was adopted in principle by the United Nations Statistical Commission at its thirty-ninth session held in New York from 26-29 February 2008 (see notes 1 and 2).
The volume was reviewed extensively during its development and, following an extended review period that ended on 30 April 2008, the United Nations Statistical Commission recommended to the United Nations Economic and Social Council that the 2008 SNA be adopted as the new international standard for compiling national accounts statistics.
Volume 2 was adopted by the United Nations Statistical Commission at its fortieth session held in New York from 24-27 February 2009 with the recommendation that the terms “volume 1” and “volume 2” be dropped and that the entire 2008 SNA should be published in one document (see note 3).
The 2008 SNA starts with an introduction and an overview and then presents the accounting rules, the accounts and tables, and their integration.
These subjects are the topics of chapters 1-17, previously known as volume 1. Chapters 18 to 29 elaborate various aspects of the accounts, provide details about their presentation and describe some possible extensions to improve the usefulness of the accounts for a wide range of purposes.
The complete publication is to be made available in electronic format at the website of the United Nations Statistics Division with links to that site from the websites of the other international organizations that are members of the ISWGNA.
The complete volume will also be published in the traditional printed copy.
Efforts have been made to improve the readability of the text and to make the numeric example running through the text easier to follow.
A spreadsheet of the numerical example will be available for downloading.
The electronic version will include hyper-links to other areas of the publication and to external links.
Over time, live links will be added to related documents, numerical examples and updates about important ongoing research related to key topics.
In response to the Commission’s guidance, the new features of the 2008 SNA introduce treatments for those aspects of economies that have become more prominent in recent years, elaborate on points that have increasingly become the focus of analytical attention and clarify the national accounting treatment of a wide range of topics.
The new features draw on research, practical experience and, where appropriate, international standards for business and public accounting.
The changes between the 1993 SNA and the 2008 SNA are, however, less extensive than the changes introduced in 1993.
The new features fall into five main groups: assets; the financial sector; globalization and related issues; the general government and public sectors; and the informal sector.
The key changes within each group are shown below.
The accounting treatment of assets previously called “intangible produced assets” and now called, more descriptively, “intellectual property products” has been clarified and expanded.
Many of these assets, often seen as a hallmark of the “new economy,” are associated with the establishment of property rights over knowledge in one form or another.
The treatments of databases and of originals and copies have been modified and the principle of treating expenditure on research and development as capital formation has been introduced.
The definition of assets in general was reviewed to set the framework for the discussion of such assets.
The review led to several refinements in the treatment of non-produced non-financial assets, covering both tangible assets (for example natural resources) and intangible assets (now identified as contracts, leases and licenses, which can be treated as assets in certain circumstances).
Expenditures on weapons systems that meet the general definition of assets have been reclassified as fixed capital formation.
The analytical concept of capital services has been introduced.
Details can be presented in a supplementary table for market producers, bringing into the SNA the advances in research in recent decades in the fields of growth and productivity and helping to satisfy the analytical needs of many users.
Recommendations regarding the financial sector have been updated to reflect developments in one of the fastest-changing segments of many economies.
In particular, the 2008 SNA provides a more comprehensive overview of financial services.
The 1993 SNA was modified several years ago to cater for some developments in financial derivatives during the 1990s. At its meeting in March 1999, the United Nations Statistical Commission approved changes to the treatment of financial derivatives.
The two most significant changes were that the financial assets boundary was expanded to include financial derivative contracts regardless of whether “trading” occurred on or off exchange, and flows associated with interest rate swaps and forward rate agreements were recorded as financial transactions rather than interest flows.
In addition, some new functional classifications were introduced.
The measurement of non-life insurance services has been modified in order to provide more plausible estimates following extreme events (for example earthquakes) that result in large insurance payouts.
Guidance on the treatment of impaired (non-performing) loans has been elaborated.
The method for calculating financial intermediation services indirectly measured, widely known as FISIM, has been refined in the light of experience in implementing the 1993 SNA recommendations.
The most far-ranging change in the financial area relates to new guidelines for recording pension entitlements.
The SNA now recognizes the liabilities of employers’ pension schemes, regardless of whether funding to meet them exists or not.
For pensions provided by government, countries have some flexibility to deviate from this rule in the set of core tables.
However, the full range of information required for a comprehensive analysis of pensions is provided in a new standard table that shows the liabilities and associated flows of all private and public pension schemes, whether funded or unfunded and including social security.
The treatments of stocks and flows that are characteristic of economic globalization have been clarified and elaborated.
The treatment of remittances from the movement of persons abroad has been expanded, with coverage of the flows being closer to the economic reality.
The application of the principle of change in ownership of goods has been made universal, resulting in changes to the recording of merchanting and of goods sent for processing, both abroad and within the domestic economy, and then returned to the owner.
These changes have shifted the focus away from the physical movements of goods to the impact on the economies of the owner of the products and the processor.
As a result, they are consistent with international financial transactions that are increasingly important in a globalized economy.
In recognition of the changing structures of production and finance in many economies, guidance is now provided about when “special purpose entities”, which are sometimes called shell companies or brass plate companies and which can be created by corporations or the government, should be recognized as institutional units, how they should be classified, and how their operations should be treated.
Several principles have been clarified and refined in response to developments in accounting standards for government.
The delineation of the government and the public sectors from the other sectors of the economy has been clarified.
The treatments of super dividends paid by public corporations and capital injections into public enterprises have been clarified.
The principles for the treatment of public-private partnerships have been outlined and the treatment of restructuring agencies elaborated.
Handling transactions between general government and related public corporations and with securitization vehicles has been clarified to improve the recording of items that could significantly affect government debt.
The treatment of several classes of loan guarantees has been clarified, and a new treatment has been introduced for standardized guarantees, such as export credit guarantees and student loan guarantees.
Some other new features are not easily grouped but are no less important.
Notable among these are the clarification of ancillary units and holding companies and the introduction of accounting for employee stock options, which came into wide usage in some countries during the 1990s.
These new features help maintain the relevance of the SNA in a time of rapid economic and institutional change, building on its solid existing framework.
Accordingly, the provision of the guidance on the accounting rules, the accounts and tables, and their integration in the 2008 SNA can be seen as consistent with continuing efforts to implement the 1993 SNA in all countries.
In this regard, the four points made in the Preface to the 1993 SNA concerning the comprehensiveness of the SNA and the breadth of its applicability not only still hold; they have been reinforced in the 2008 SNA.
The 2008 SNA contains a chapter dedicated to the question of measuring activity carried out within households on an informal basis (the so-called informal sector) and activity that escapes formal statistical measurement (the so-called not-observed economy).
The final stages of work on the 1993 SNA came at a time when the formerly centrally planned economies making the transition to market economies in the early to mid 1990s. The years since have proven the applicability and robustness of the SNA in those economies.
The European System of Accounts, 1995 was made broadly consistent with the 1993 SNA with respect to the definitions, accounting rules and classifications.
Its update, which is currently under way, will cover the recommendations and clarifications agreed at the international level for the 2008 SNA.
The new treatments of goods for processing and remittances from persons working abroad are especially relevant for developing economies that are moving into the global economy.
In addition, the new guidelines on handling public-private partnerships and the use of natural resources by non-residents are likely to be especially significant for many countries.
The 1993 SNA incorporated the concept of satellite accounts, a major step in the direction of flexibility.
Moving forward, satellite accounts are expected to continue to provide a useful way of working towards solutions that give the appropriate level of confidence in challenging measures, such as those for environmental accounting issues.
Using satellite accounts as a means of expanding the relevance of the national accounts, but without affecting the comparability of the central framework used for economic policymaking, has become an accepted means of developing and testing new data sources and methods.
Further, the 2008 SNA has introduced the item of “supplementary” items and tables.
The term “supplementary” is used when the SNA recognizes that items may be of limited relevance in some countries or that while of analytical interest, a table cannot be prepared to the same standard of accuracy as the main set of accounts.
The concepts and classifications of the 2008 SNA are harmonized with other international statistical standards and manuals even more than was the case with the 1993 SNA.
Of special note is the close coordination of the processes during the update of the SNA and the simultaneous revision of the Balance of Payments Manual.
The chapter on price and volume measures has benefited from work since the 1993 SNA was released on the International Comparison Program and on the international manuals for consumer and producer price indices.
There is closer consistency with advice given in the resolutions of the International Conference of Labour Statisticians.
There is a chapter dedicated to the consideration of the role of non-profit institutions in the economy drawing on work in this area since the time of the 1993 SNA.
For environmental accounts, the ground has been laid for consistency with the revised Handbook of National Accounting: Integrated Environmental-Economic Accounting, which is expected to become an international standard.
Similarly, the 2008 SNA is consistent with the major classification systems, notably the International Standard Industrial Classification of All Economic Activities, Rev. 4 and the Central Product Classification, Version 2.
The first comprehensive set of national accounting standards was released in 1953, with major updates in 1968, 1993 and, now, 2008. Clearly, though, developments in national accounting do not emerge in steps every 15 to 20 years, so identifying updates needed in the SNA is a continuing process even if a full-scale rewrite occurs infrequently.
Developments depend on a combination of the evolution of economic processes (such as new financial instruments), advances in statistical estimation and measurement techniques, and improvements in data collection.
Some contentious issues were considered during the SNA update process.
The decisions made were based on the best information and techniques available at the time.
In some cases, though, research was still under way while the SNA was being updated and the results of ongoing research may lead to the need to revisit some of these decisions prior to the next update of the SNA.
The ISWGNA has identified a number of areas of ongoing research.
The ISWGNA has recommended these topics should be included in a national accounts research agenda.
A list of items for consideration, as identified at the conclusion of the update process, appears in Annex 4.
The ISWGNA will be responsible for advancing the research on these issues (and any other important ones that transpire), but will be relying on assistance from the agencies responsible for national accounts around the world.
Depending on the outcomes, it may prove useful to incorporate the outcomes from this research into the 2008 SNA before the next major update.
The 2008 SNA is the result of a process that was notable for its transparency and the wide involvement of the international statistical community, both of which were made possible by the innovative use of a project website as a communication tool.
The process comprised six steps.
· in the first stage of the process, identifying and obtaining agreement on the issues to be considered during the update (2002-2004);
· the research into these issues and presenting the proposals for change to the 1993 SNA;
· the consideration of the issues by experts and agreement on provisional recommendations (2004–2006);
· consultations with countries on the recommendations (2006); presenting a set of recommendations to the Statistical Commission in 2007; and
· incorporating the agreed recommendations into the text of the 2008 SNA for approval by the Statistical Commission in two stages in 2008 and 2009 (2007-9).
The process involved the five international organizations that comprise the ISWGNA; other international, regional and nongovernmental organizations; project staff; agencies responsible for compiling official statistics in many countries; working groups, other expert groups and electronic discussion groups; and individual experts in national accounting and related fields from all regions of the world.
As could be expected of a product of such a complex and sustained process, the 2008 SNA reflects many diverse contributions.
· The ISWGNA managed and coordinated the process at the request of the Statistical Commission, similarly to what happened for the 1993 SNA.
The ISWGNA member organizations’ contributions were in cash and in kind.
At the senior level, the representatives were:
· Pieter Everaers and Laurs Norlund (Eurostat)
· Carol S. Carson and Robert Edwards (IMF)
· Enrico Giovannini (OECD)
· Willem de Vries and Paul Cheung (United Nations Statistics Division)
· Shaida Badiee (World Bank).
National accountants and other professionals of the ISWGNA organizations who regularly participated in tasks of coordination and substantive leadership were as follows:
· Eurostat: Gallo Gueye, Christian Ravets, Dieter Glatzel and Brian Newson
· IMF: Adriaan Bloem and Kim Zieschang
· OECD: François Lequiller and Charles Aspden
· United Nations Statistics Division: Ivo Havinga, Viet Vu, Magdolna Csizmadia, Gulab Singh, Herman Smith and Annette Becker
· United Nations Economic Commission for Europe: Lidia Bratanova and Tihomira Dimova
· World Bank: Barbro Hexeberg.
Other staff members of the ISWGNA organizations who contributed substantively were:
· Eurostat: Paolo Passerini, Francis Malherbe, Ligia Frankford and John Verrinder
· IMF: Edgar Ayales, Sagé de Clerck, Robert Dippelsman, Keith Dublin, René Fiévet, Cornelis Gorter, Robert Heath, John Joisce, Lucie Laliberté, Alfredo Leone, Ralph Kozlow, Russell Krueger, Jaroslav Kucera, Randall Merris, Jose-Carlos Moreno, Neil Patterson, Lisbeth Rivas, Armida San Jose, Manik Shrestha and Mick Silver
· OECD: Nadim Ahmad, William Cave, Jean-Pierre Dupuis, Anders Nordin, and Paul Schreyer
· United Nations Statistics Division: Alessandra Alfieri, Youlia Antonova, Ralf Becker and Vetle Hvidsten.
The staff of the Economic Statistics Branch of the United Nations Statistics Division, under Ivo Havinga, served as the secretariat to the ISWGNA.
The United Nations Statistics Division developed and maintained the Project website, which provides more information on the contributions summarized in this preface (see http://unstats.un.org/unsd/nationalaccount/snarev1.asp).
A team from the Development Data Group of the World Bank, under Misha Belkindas, provided administrative support, including for the multidonor trust fund established for the SNA Update Project.
The Project staff comprised Carol S. Carson, Project Manager from 2004 to February 2008, Paul McCarthy, Project Manager from February 2008, and Anne Harrison, Editor.
Anne was an expert voice in all phases of the Project and undertook the enormous task of revising the text of the 2008 SNA.
The Advisory Expert Group (AEG) on National Accounts was established in 2003. It was positioned to have a key role in the update process by considering proposals for change and expressing its views.
The following served as members of the AEG: Heidi Arboleda, Philippines; Ole Berner, Denmark; Mariam Cover Jimenez, Costa Rica; Meshesha Getahun, Ethiopia; Omar Mohammad Ali Hakouz, Jordan; Peter Harper, Australia; Jan Heller, Czech Republic; Andrey Kosarev, Russian Federation; Akhilesh C. Kulshreshtha, India; Robin Lynch, United Kingdom of Great Britain and Northern Ireland; Jacques Magniez, France; Reimund Mink, European Central Bank; Brent R. Moulton, United States of America; Chellam Palanyandy, Malaysia; Peter Pariag, Trinidad and Tobago; Johan Prinsloo, South Africa; Roberto Luís Olinto Ramos, Brazil; Irena Tvarijonaviciute, Lithuania; Peter van de Ven, Netherlands; Karen Wilson, Canada.
The AEG met six times: in February 2004, in Washington, hosted by the IMF; in December 2004, in New York City, hosted by the United Nations Statistics Division; in July 2005, in Bangkok, hosted by the United Nations Economic and Social Commission for Asia and the Pacific; in January-February 2006, in Frankfurt, hosted by the European Central Bank; in March 2007, in New York City, hosted by the United Nations Statistics Division, and in November 2008 in Washington, hosted by the World Bank.
In all of these meetings and in electronic consultations, the national accountants of the ISWGNA also participated and expressed their views.
Paul McCarthy served as rapporteur for the meetings in July 2005, February 2006 and March 2007.
The papers prepared for consideration of the AEG represent a substantial body of research.
They will continue to be available on the Project website noted above.
The authors included the following individuals: Nadim Ahmad, Alessandra Alfieri, Charles Aspden, Adriaan Bloem, Stuart Brown, Carol S. Carson, William Cave, W. Erwin Diewert, Robert Dippelsman, Brian Donaghue, René Fiévet, Russel Freeman, Jean Galand, Antonio Galicia- Escotto, Jeff Golland, Cornelis Gorter, Anne Harrison, Ivo Havinga, Tony Johnson, John Joisce, Brett Kaufmann, Andrew Kitili, Ralph Kozlow, François Lequiller, Robin Lynch, Christoph Maier, Reimund Mink, Brent R. Moulton, Anders Nordin, Patrick O’Hagan, Neil Patterson, John Pitzer, Jens Reinke, Lisbeth Rivas, Philippe de Rougemont, John Ruser, Carlos Sánchez Muñoz, Paul Schreyer, Richard Shepherd, Manik Shrestha, Gulab Singh, Herman Smith, Pierre Sola, Philippe Stauffer, Hidetoshi Takeda, Viet Vu, John Walton and Chris Wright.
Topical expert groups, some standing groups and some created especially for the purpose of advancing the update, carried out most of the research on issues and preparation of proposals for change put forward to the AEG.
These groups included the Canberra II Group on the Measurement of Non-financial Assets (Peter Harper, chair, and Charles Aspden, secretary), the IMF-BEA Task Force on Employers’ Retirement Schemes (Adriaan Bloem and John Ruser, co-chairs, and Brian Donaghue, secretary), the IMF-OECD Task Force on the Harmonization of Public Sector Accounts (Lucie Laliberté, chair, and Jean-Pierre Dupuis, secretary), the OECD Task Force on Financial Services (Ruth Meier, chair, and Philippe Stauffer and Anders Nordin, secretaries), the OECD Task Force on the Measurement of Non-life Insurance (Fenella Maitland-Smith and then François Lequiller, moderator) and the OECD Task Force on the Valuation and Measurement of Equity (Patrick O’Hagan, moderator).
The annex to this preface lists the authors of issues papers prepared for and considered by most of these groups.
The IMF Committee on Balance of Payments Statistics (Robert Edwards, chair, and John Joisce, Manik Shrestha and Andrew Kitili, secretaries) and its subgroups considered a number of issues that were of common concern to national accountants and balance of payments compilers.
The authors of the issues papers most related to the SNA are also listed in the annex.
A number of other groups considered SNA-related topics as part of their larger agenda.
These include the European Central Bank/ Eurostat Task Force on the Statistical Measurement of the Assets and Liabilities of Pension Schemes in General Government (Eduardo Barredo and Reimund Mink, co-chairs, and John Verrinder, secretary), the OECD Group of National Experts on Science and Technology (Fred Gault, chair, and Alessandra Colecchia, secretary), the Paris Group on Labour and Compensation (Denis Ward, moderator), the Delhi Group on Informal Sector Statistics (Pronab Sen, chair), the United Nations Expert Group on Industrial Statistics (Ivo Havinga, chair, and Viet Vu and Gulab Singh, secretaries), the United Nations Expert Group on International Classifications (Ivo Havinga, chair, and Ralf Becker, secretary) and the United Nations Technical Subgroup on the Movement of Persons—Mode 4 (Ivo Havinga, chair, and Alessandra Alfieri, secretary).
Other consultations also informed the process.
These included meetings of OECD and Eurostat national accounts working groups, national accounts meetings and workshops of several United Nations regional commissions, and the International Association for Research in Income and Wealth.
Agencies responsible for compiling official statistics contributed in several distinct ways.
In the first of these, heads of statistical offices were involved through participation in the Statistical Commission in agreeing the governance of the process and then shaping the list of issues to be considered in the update.
Secondly, to an unprecedented extent, countries provided comments on the provisional recommendations for change.
After each meeting, the AEG’s recommendations were sent to national statistical offices and interested central banks with an invitation to comment.
From 40 to 60 countries commented after each round of recommendations.
In all, comments were received from almost 100 countries.
All these comments, which are posted on the Project website, provide a rich source of information on why countries supported the recommendations or, in some cases, why they did not; their views on implementation of the recommendations, and ideas about the kind of guidance they would hope to find in the updated SNA.
Thirdly, countries provided comments on draft chapters.
Around 70 countries commented on the final draft of volume 1 during April and May 2008 and on volume 2 in January and February of 2009. Fourthly, a number of statistical offices provided in-kind contributions, such as the time of AEG members for meetings (and for developing country AEG members, travel expenses as well).
Finally, a group of national statistical offices and central banks supported the project by financial contributions.
These contributions were from Statistics Sweden, the Australian Bureau of Statistics, Statistics Canada, the Central Bank of Cyprus, the Central Bank of Kazakhstan, Statistics Netherlands, the Office of National Statistics of the United Kingdom and the Bureau of Economic Analysis of the United States of America.
1. See the report of the 39th session of the Statistical Commission (document E/2008/24 and E/CN.3/2008/34) at http://unstats.un.org/unsd/statcom/doc08/Report-English.pdf
2. Referred to, at the time of the United Nations Statistical Commission session, as 1993 SNA, Rev. 1.
3. See the report of the 40th session of the Statistical Commission (document E/2009/24 and E/CN.3/2009/29) at http://unstats.un.org/unsd/statcom/doc09/Report-English.pdf
Commission of the European Communities, International Monetary Fund, Organisation for Economic Cooperation and Development, United Nations and World Bank, System of National Accounts 1993.
Brussels/Luxembourg, Washington, D.C., Paris, New York, 1993. United Nations Publication, Sales No. E.94.XVII.4.
Commission of the European Communities, European System of Accounts 1995. Luxembourg, 1999.
International Monetary Fund, The Balance of Payments and International Investment Position Manual, sixth edition. Washington, D.C., 2009.
Commission of the European Communities, International Monetary Fund, Organisation for Economic Cooperation and Development, United Nations and World Bank. Handbook of National Accounting: Integrated Environmental and Economic Accounting 2003. Luxembourg, Washington, D.C., Paris, New York, 2003.
United Nations. International Standard Industrial Classification of All Economic Activities, Revision 4. New York, 2008. UNited Nations Publication, Sales No. E.08.XVII.25,
United Nations. Central Product Classification, Version 2. New York, 2008. United Nations Publication, Sales No. E.08.XVII.7.
Nadim Ahmad, Charles Aspden, John R. Baldwin, Desmond Beckstead, Dirk van den Bergen, Lauren Binns, Ariel Coremberg, Carol Corrado, Mariam Cover Jimenez, Martin Daniels, W. Erwin Diewert, Emma Edworthy, Barbara Fraumeni, Guy Gellatly, Dominique Guellec, Mark de Haan, Michael Harper, Peter Harper, Anne Harrison, Ivo Havinga, Richard Hemming, Peter Hill, Charles Hulten, Ning Huang, Vetle Hvidsten, Tony Johnson, Andreas Kuipers, François Lequiller, Robin Lynch, Christophe Maier, Pablo Mandler, Ian McPhee, Franciso Moris, Brent Moulton, Carol Moylan, Carl Obst, Sumiye Okubo, Dean Parham, Soli Peleg, John Pitzer, Marshall Reinsdorf, Carol Robbins, Antoine Rose, Paul Romanis, Salem, Oda Schmalwasser, Paul Schreyer, Daniel Sichel, Yusuf Siddiqi, Zuzana Stara, Leo Sveikauskas, Luke Thompson, Jeff Tyndall, André Vanoli, Peter van de Ven, John Verrinder and Viet Vu.
Stuart Brown, Robert Dippelsman, Robert Edwards, Antonio Galicia-Escotto, René Fiévet, Jean Galand, Robert Heath, John Joisce, Andrew Kitili, Carlos Sanchez Munoz, Neil Patterson, Jens Reinke, Richard Shepherd, Manik Shrestha, Pierre Sola, Hidetoshi Takeda and Chris Wright.
Bo Bergman, Ole Berner, Dieter Glatzel, Peter Harper, Anne Harrison, Tony Johnson, Ramesh Kolli, François Lequiller, Jacques Magniez, Tonya Manning, Reimund Mink, Tulsi Ram, Marshall Reinsdorf, Ingber Roymans, Peter Van de Ven and J. S. Venkateswarlu.
Bruce Baker, Matthew Bohun, Søren Brodersen, Paula Burges, Ian Carruthers, Giseal Csonka, Sagé De Clerck, Tim Dobbs, Jean-Pierre Dupuis, Keith Dublin, Jeff Golland, Betty Gruber, Ivo Havinga, Christopher Heady, Richard Hemming, Graham Jenkinson, Brett Kaufmann, Robert Keys, François Lequiller, Jacques Magniez, Reimund Mink, Robert Kilpatrick, Lucie Laliberté, François Lequiller, Ian Mackintosh, Iana Paviola, John Pitzer, Tulsi Ram, Brooks Robinson, Philippe de Rougemont, Veronique Row, André Schwaller, Richard Shepherd and Paul Sutcliffe, Ken Warren, Kurt Wass and Graham Watkins.
Dennis Fixler, Anne Harrison, Anders Nordin, Paul Schreyer, Philippe Stauffer, John Turnbull and John Walton.
Robert Dippelsman, Fenella Maitland-Smith, François Lequiller, Anne Harrison, Ingber Roymans, Gabe H. de Vries and John Walton.
1.1 The System of National Accounts (SNA) is the internationally agreed standard set of recommendations on how to compile measures of economic activity in accordance with strict accounting conventions based on economic principles.
The recommendations are expressed in terms of a set of concepts, definitions, classifications and accounting rules that comprise the internationally agreed standard for measuring such items as gross domestic product (GDP), the most frequently quoted indicator of economic performance.
The accounting framework of the SNA allows economic data to be compiled and presented in a format that is designed for purposes of economic analysis, decision-taking and policymaking.
The accounts themselves present in a condensed way a great mass of detailed information, organized according to economic principles and perceptions, about the working of an economy.
They provide a comprehensive and detailed record of the complex economic activities taking place within an economy and of the interaction between the different economic agents, and groups of agents, that takes place on markets or elsewhere.
The framework of the SNA provides accounts that are:
a. comprehensive, in that all designated activities and the consequences for all agents in an economy are covered;
b. consistent, because identical values are used to establish the consequences of a single action on all parties concerned using the same accounting rules;
c. integrated, in that all the consequences of a single action by one agent are necessarily reflected in the resulting accounts, including the impact on measurement of wealth captured in balance sheets.
1.2 The accounts of the SNA provide more than a snapshot of the economy at a point in time, since in practice the accounts are compiled for a succession of time periods, thus providing a continuing flow of information that is indispensable for the monitoring, analysis and evaluation of the performance of an economy over time.
The SNA provides information not only about economic activities taking place within a period but also about the levels of an economy's assets and liabilities, and thus the wealth of its inhabitants, at particular points of time.
In addition, the SNA includes an external account that displays the links between an economy and the rest of the world.
1.3 Certain key aggregate statistics, such as GDP, that are widely used as indicators of economic activity at the level of the total economy, are defined within the SNA, but the calculation of such aggregates has long ceased to be the primary purpose for compiling the accounts.
In order to understand the workings of the economy, it is essential to be able to observe and analyse the economic interactions taking place between different sectors of the economy.
The SNA is designed to be implemented at different levels of aggregation: at the level of individual economic agents, or institutional units as they are called in the SNA; for groups of such units, or institutional sectors; or at the level of the total economy.
1.4 The SNA is designed for economic analysis, decision-taking and peacemaking, whatever the industrial structure or stage of economic development reached by a country.
The basic concepts and definitions of the SNA depend upon economic reasoning and principles which should be universally valid and invariant to the particular economic circumstances in which they are applied.
Similarly, the classifications and accounting rules are meant to be universally applicable.
There is no justification, for example, for seeking to define parts of the SNA differently in less developed than in more developed economies, or in large relatively closed economies than in small open economies, or in high-inflation economies than in low-inflation economies.
Certain definitions, or accounting rules, specified in the SNA might become superfluous in certain circumstances (for example, if there were no inflation), but it is nevertheless necessary for a general system to include definitions and rules covering as wide a range of circumstances as possible.
1.5 Some countries may be able, at least initially, to calculate only a small number of accounts and tables for the total economy with little or no disaggregation into sectors, but a reduced set of accounts or tables does not constitute an alternative system.
It is not appropriate to try to lay down general priorities for data collection when economic circumstances may vary considerably from one country to another.
In practice, priorities can only be established country by country by economic analysts or policymakers familiar with the particular economic situation, needs and problems of the individual countries in question.
It is not useful, for example, to try to specify general priorities for developing countries when they constitute a very heterogeneous group of countries at a world level.
Data priorities may vary as much between one developing country and another as between a developing and a developed country or indeed between two developed countries.
1.6 The SNA measures what takes place in the economy, between which agents, and for what purpose.
At the heart of the SNA is the production of goods and services.
These may be used for consumption in the period to which the accounts relate or may be accumulated for use in a later period.
In simple terms, the amount of value added generated by production represents GDP.
The income corresponding to GDP is distributed to the various agents or groups of agents as income and it is the process of distributing and redistributing income that allows one agent to consume the goods and services produced by another agent or to acquire goods and services for later consumption.
The way in which the SNA captures this pattern of economic flows is to identify the activities concerned by recognizing the institutional units in the economy and by specifying the structure of accounts capturing the transactions relevant to one stage or another of the process by which goods and services are produced and ultimately consumed.
These concepts are sketched below and developed further in chapter 2 and later chapters.
1.7 The SNA is designed to provide information about the behaviour of institutional units and the activities in which they engage, namely production, consumption and the accumulation of assets, in an analytically useful form.
This is achieved by recording the exchange of goods, services and assets between institutional units in the form of transactions.
At the same time, other transactions are recorded that represent the form of payment for the exchange which may be a good, service or asset of similar value but is often some form of financial claim including notes and coins.
1.8 Data on transactions provide the basic source material from which the values of the various elements in the accounts are built up or derived.
The use of transactions data has important advantages.
The first of these is that the prices at which goods and services are exchanged in transactions between buyers and sellers on markets provide the information needed for valuing, directly or indirectly, all the items in the accounts.
Secondly, a transaction that takes place between two different institutional units has to be recorded for both parties to the transaction and therefore generally appears twice in a system of macroeconomic accounts.
This enables important linkages to be established in the SNA.
For example, output is obtained by summing the amounts sold, bartered or transferred to other units plus the amounts entered into, less the amounts withdrawn from, inventories.
In effect, the value of output is obtained by recording the various uses of that output by means of data on transactions.
In this way, flows of goods and services can be traced through the economic system from their producers to their eventual users.
Some transactions are only internal bookkeeping transactions that are needed when a single unit engages in two activities, such as the production and consumption of the same good or service, but the great majority of transactions takes place between different units on markets.
1.9 Two main kinds of institutional units, or transactors, are distinguished in the SNA; households and legal entities.
Legal entities are either entities created for purposes of production, mainly corporations and non-profit institutions (NPIs), or entities created by political processes, specifically government units.
The defining characteristic of an institutional unit is that it is capable of owning goods and assets, incurring liabilities and engaging in economic activities and transactions with other units in its own right.
1.10 For the purposes of the SNA, institutional units that are resident in the economy are grouped together into five mutually exclusive sectors composed of the following types of units:
a. Non-financial corporations;
b. Financial corporations;
c. Government units, including social security funds;
d. NPIs serving households (NPISHs);
e. Households.
The five sectors together make up the total economy.
Each sector may be further divided into subsectors; for example, the non-financial and financial corporations sectors are divided to distinguish corporations subject to control by governments or foreign units from other corporations.
The SNA makes provision for a complete set of flow accounts and balance sheets to be compiled for each sector, and subsector if desired, as well as for the total economy.
The total number of accounts that may be compiled is therefore potentially quite large, depending upon the level of disaggregation that is required and feasible.
Only by disaggregation into sectors and subsectors is it possible to observe the interactions between the different parts of the economy that need to be measured and analysed for purposes of policymaking.
1.11 Institutional units that are resident abroad form the rest of the world.
The SNA does not require accounts to be compiled in respect of economic activities taking place in the rest of the world, but all transactions between resident and non-resident units have to be recorded in order to obtain a complete accounting for the economic behaviour of resident units.
Transactions between residents and nonresidents are grouped together in a single account, the rest of the world account
1.12 This section gives a very brief summary of the accounts of the SNA.
It is impossible to do justice to the wealth of information contained in the SNA in a short section of this kind, and reference should be made to chapter 2 for a comprehensive overview.
1.13 Fundamental to the SNA is the identity that goods and services produced in the economy must be consumed, used for capital formation or exported while all goods and services used within the economy must be produced in the economy or imported.
From this, once suitable allowance is made for the effect on prices of taxes and subsidies on products, the goods and services account is derived and thence GDP.
1.14 This basic identity is elaborated within the SNA into a sequence of interconnected flow accounts linked to different types of economic activity taking place within a given period of time, together with balance sheets that record the values of the stocks of assets and liabilities held by institutional units or sectors at the beginning and end of the period.
Each flow relates to a particular kind of activity such as production, or the generation, distribution, redistribution or use of income.
Each account shows the resources available to the institutional units and the uses made of these resources.
An account is balanced by introducing a balancing item defined residually as the difference between the total resources recorded on one side of the account and the total uses recorded on the other side.
The balancing item from one account is carried forward as the first item in the following account, on the opposite side, thereby making the set of accounts an articulated whole.
The balancing items typically encapsulate the net result of the activities covered by the account in question and are therefore economic constructs of considerable interest and analytical significance.
Examples of balancing items include value added, disposable income and saving.
There is also a strong link between the flow accounts and the balance sheets, as all the changes occurring over time that affect the assets or liabilities held by institutional units or sectors are systematically recorded in one or another of the flow accounts.
1.15 The set of accounts just described is referred to as the “sequence of accounts” but it should be noted that, although it is necessary to present the accounts in a particular order, the activities they describe should not be interpreted as taking place sequentially in time.
For example, incomes are generated continuously by processes of production, while expenditures on the outputs produced may also be taking place more or less simultaneously.
An economy is a general equilibrium system in which interdependent economic activities involving countless transactions between different institutional units are carried out simultaneously.
Feedbacks are continually taking place from one type of economic activity to another.
1.16 The current accounts record the production of goods and services, the generation of incomes by production, the subsequent distribution and redistribution of incomes among institutional units, and the use of incomes for purposes of consumption or saving.
1.17 The production account records the activity of producing goods and services as defined within the SNA.
Its balancing item, gross value added, is defined as the value of output less the value of intermediate consumption and is a measure of the contribution to GDP made by an individual producer, industry or sector.
Gross value added is the source from which the primary incomes of the SNA are generated and is therefore carried forward into the primary distribution of income account.
Value added and GDP may also be measured net by deducting consumption of fixed capital, a figure representing the decline in value during the period of the fixed capital used in a production process.
1.18 A set of articulated accounts shows how incomes are:
a. Generated by production;
b. Distributed to institutional units with claims on the value added created by production;
c. Redistributed among institutional units, mainly by government units through social security contributions and benefits and taxes;
d. Used by households, government units or non-profit institutions serving households (NPISHs) for purposes of final consumption or saving;
e. Available as saving for accumulating wealth.
The income accounts have considerable intrinsic economic interest in themselves.
In particular, they are needed to explain the behaviour of institutional units as final consumers, that is, as users of the goods and services for the satisfaction of the individual and collective needs and wants of households and the community.
The balancing item emerging from the complete set of income accounts is saving.
1.19 As the balancing item, saving is carried forward into the capital account, the first in the sequence of accumulation accounts.
1.20 The accumulation accounts are those that record flows that affect the entries in the balance sheets at the start and end of the accounting period.
There are four accumulation accounts; the capital account, the financial account, the other change in the volume of assets account and the revaluation account.
a. The capital account records acquisitions and disposals of non-financial assets as a result of transactions with other units, internal bookkeeping transactions linked to production (such as changes in inventories and consumption of fixed capital) and the redistribution of wealth by means of capital transfers.
b. The financial account records acquisitions and disposals of financial assets and liabilities, also through transactions.
c. The other changes in the volume of assets account records changes in the amounts of the assets and liabilities held by institutional units or sectors as a result of factors other than transactions; for example, destruction of fixed assets by natural disasters.
d. The revaluation account records those changes in the values of assets and liabilities that result from changes in their prices.
1.21 The link between the accumulation accounts and the current accounts is provided by the fact that saving must be used to acquire financial or non-financial assets of one kind or another, including cash.
When saving is negative, the excess of consumption over disposable income must be financed by disposing of assets or incurring liabilities.
The financial account shows the way in which funds are channelled from one group of units to another, especially through financial intermediaries.
Access to finance is a prerequisite for engaging in many types of economic activities.
1.22 The balance sheets show the values of the stocks of assets and liabilities held by institutional units or sectors at the beginning and end of an accounting period.
As already noted, the values of the assets and liabilities held at any moment in time vary whenever any transactions, price changes or other changes affecting the volume of assets or liabilities held take place.
These are all recorded in one or another of the accumulation accounts so that the difference between the values in the opening and closing balance sheets is entirely accounted for within the SNA, provided that the assets and liabilities recorded in the balance sheets are valued consistently with the transactions and other changes.
1.23 The SNA is a rich and detailed economic accounting system that extends well beyond the sequence of accounts to encompass other accounts or tables that either contain information that cannot be included in the main accounts or present information in alternative ways, such as matrices, that may be more appropriate for certain types of analysis.
It is not proposed to list all these various elements at this point, as they are described in chapter 2, but it is useful to draw attention to two specific elements which play a major role in the SNA.
1.24 In addition to the flow accounts and balance sheets described earlier, the central framework of the SNA also contains detailed supply and use tables in the form of matrices that record how supplies of different kinds of goods and services originate from domestic industries and imports and how those supplies are allocated between various intermediate or final uses, including exports.
These tables involve the compilation of a set of integrated production and generation of income accounts for industries by drawing upon detailed data from industrial censuses or surveys.
The supply and use tables provide an accounting framework within which the product flow method of compiling national accounts, whereby the total supplies and uses of individual types of goods and services have to be balanced with each other, can be systematically exploited.
The supply and use tables also provide the basic information for the derivation of detailed input-output tables that may be used for purposes of economic analysis and projections.
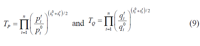
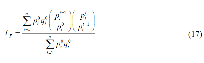
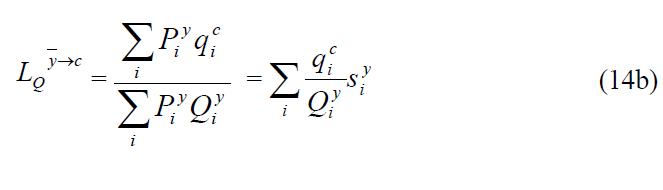
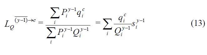
1.25 The SNA also provides specific guidance about the methodology to be used to compile an integrated set of price and volume indices for flows of goods and services, gross and net value added and GDP that are consistent with the concepts and accounting principles of the SNA.
It is recommended that annual chain indices should be used where possible.
1.26 Rates of inflation and economic growth appropriately measured by price and volume indices for the main aggregates of the SNA are key variables both for the evaluation of past economic performance and as targets for the formulation of economic policymaking.
They are an essential part of the SNA when any amount of inflation appears and become increasingly important as inflation increases.
The SNA also recognizes that the growth in the volume of GDP and the growth of an economy's real income are not the same because of trading gains or losses resulting from changes in international terms of trade.
1.27 The main objective of the SNA is to provide a comprehensive conceptual and accounting framework that can be used to create a macroeconomic database suitable for analysing and evaluating the performance of an economy.
The existence of such a database is a prerequisite for informed, rational policymaking and decision-taking.
Some of the more specific uses of the SNA are described in the following sections.
1.28 Certain key aggregates of the SNA, such as GDP and GDP per head of population, have acquired an identity of their own and are widely used by analysts, politicians, the press, the business community and the public at large as summary, global indicators of economic activity and welfare.
Movements of such aggregates, and their associated price and volume measures, are used to evaluate the overall performance of the economy and hence to judge the relative success or failure of economic policies pursued by governments.
1.29 National accounts data provide information covering both different types of economic activities and the different sectors of the economy.
It is possible to monitor the movements of major economic flows such as production, household consumption, government consumption, capital formation, exports, imports, etc., in both value and volume terms.
Moreover, information is provided about certain key balancing items and ratios which can only be defined and measured within an accounting framework, for example, the budget surplus or deficit, the share of income that is saved or invested by individual sectors of the economy or the economy as a whole, the trade balance, etc.
The SNA also provides the background against which movements of short-term indicators, such as monthly indices of industrial production, consumer or producer prices can be interpreted and evaluated.
The monitoring of the behaviour of the economy may be significantly improved if at least some of the main aggregates of the SNA are compiled quarterly as well as annually, although many of the accounts, tables or balance sheets of the SNA are not usually compiled more frequently than once a year.
1.30 National accounts are also used to investigate the causal mechanisms at work within an economy.
Such analysis usually takes the form of the estimation of the parameters of functional relationships between different economic variables by applying econometric methods to time series of data in both value and volume terms compiled within a national accounting framework.
The types of macroeconomic models used for such investigations may vary according to the school of economic thought of the investigator as well as the objectives of the analysis, but the SNA is sufficiently flexible to accommodate the requirements of different economic theories or models, provided only that they accept the basic concepts of production, consumption, income, etc. on which the SNA is based.
1.31 Economic policy in the short term is formulated on the basis of an assessment of the recent behaviour and current state of the economy and a view, or precise forecast, about likely future developments.
Short-term forecasts are typically made using econometric models of the type just described.
Over the medium- or long-term, economic policy has to be formulated in the context of a broad economic strategy.
1.32 Economic policymaking and decision-taking take place at all levels of government and also within public and private corporations.
Large corporations such as multinationals have the ability to build their own macroeconomic models tailored to their own requirements, for which they need national accounts data.
The investment programmes of major corporations must be based on long-term expectations about future economic developments that require national accounts data.
There are also specialist agencies that provide forecasts for individual clients in return for fees.
Such agencies typically require very detailed national accounts data.
1.33 The SNA is used for international reporting of national accounts data that conform to standard, internationally accepted concepts, definitions and classifications.
The resulting data are widely used for international comparisons of the volumes of major aggregates, such as GDP or GDP per head, and also for comparisons of structural statistics, such as ratios of investment, taxes or government expenditures to GDP.
Such comparisons are used by economists, journalists or other analysts to evaluate the performance of one economy against that of other similar economies.
They can influence popular and political judgements about the relative success of economic programmes in the same way as developments over time within a single country.
Databases consisting of sets of national accounts for groups of countries can also be used for econometric analyses in which time-series and cross-section data are pooled to provide a broader range of observations for the estimation of functional relationships.
1.34 Levels of GDP or, alternatively, gross national income (GNI) per head in different countries are also used by international organizations to determine eligibility for loans, aid or other funds or to determine the terms or conditions on which such loans, aid or funds are made available.
When the objective is to compare the volumes of goods or services produced or consumed per head, data in national currencies must be converted into a common currency by means of purchasing power parities and not exchange rates.
It is well known that, in general, neither market nor fixed exchange rates reflect the relative internal purchasing powers of different currencies.
When exchange rates are used to convert GDP, or other statistics, into a common currency the prices at which goods and services in high-income countries are valued tend to be higher than in low-income countries, thus exaggerating the differences in real incomes between them.
Exchange rate converted data must not, therefore, be interpreted as measures of the relative volumes of goods and services concerned.
Levels of GDP, or GDP per head, in different countries are also used to determine, in whole or in part, the size of the contributions which the member countries of an international organization make to finance the operations of the organization.
1.35 Although international organizations use the SNA in order to be able to collect internationally comparable national accounts data, the SNA has not been created for this purpose.
It has become the standard, or universal, system used with little or no modification by most countries in the world for their own national purposes.
National statistical offices and government agencies have a strong vested interest in ensuring that the SNA meets their own analytic and policy requirements and have taken an active part in the development of the SNA for this reason.
1.36 When goods and services produced within the economy are sold in monetary transactions, their values are automatically included in the accounts of the SNA.
Many goods or services are not actually sold but are nevertheless supplied to other units: for example, they may be bartered for other goods or services or provided free as transfers in kind.
Such goods and services must be included in the accounts even though their values have to be estimated.
The goods or services involved are produced by activities that are no different from those used to produce goods or services for sale.
Moreover, the transactions in which the goods and services are supplied to other units are also proper transactions even though the producers do not receive money in exchange.
It is misleading to describe such output as “imputed”. For example, the services of financial intermediaries which are measured indirectly in the SNA do actually take place; but their values have to be measured indirectly.
It is the value, not the transaction that is “imputed”.
1.37 When goods or services are retained for own use, no transactions with other units take place.
In such cases, in order to be able to record the goods or services in the accounts, internal transactions have to be recorded whereby producers allocate the goods or services for their own consumption or capital formation and values also have to be estimated for them.
1.38 Thus, estimates and imputations are needed in order to be able to record in the accounts productive activities whose outputs are not disposed of in monetary transactions with other units.
Such estimates and imputations should not be interpreted as introducing hypothetical activities or flows of goods and services into the SNA.
Their purpose is the opposite, namely, to capture in the accounts major flows of goods and services actually taking place in the economy that would otherwise be omitted.
In order to obtain comprehensive measures, values have to be estimated for all outputs of goods and services that are not sold but disposed of in other ways.
1.39 In practice the SNA does not record all outputs, however, because domestic and personal services produced and consumed by members of the same household are omitted.
Subject to this one major exception, GDP is intended to be a comprehensive measure of the total gross value added produced by all resident institutional units.
GDP is confined to outputs produced by economic activities that are capable of being provided by one unit to another.
Not all activities that require the expenditure of time and effort by persons are productive in an economic sense, for example, activities such as eating, drinking or sleeping cannot be produced by one person for the benefit of another.
1.40 The activity of production is fundamental.
In the SNA, production is understood to be a physical process, carried out under the responsibility, control and management of an institutional unit, in which labour and assets are used to transform inputs of goods and services into outputs of other goods and services.
All goods and services produced as outputs must be such that they can be sold on markets or at least be capable of being provided by one unit to another, with or without charge.
The SNA includes within the production boundary all production actually destined for the market, whether for sale or barter.
It also includes all goods or services provided free to individual households or collectively to the community by government units or NPISHs.
1.41 The main problem for defining the range of activities recorded in the production accounts of the SNA is to decide upon the treatment of activities that produce goods or services that could have been supplied to others on the market but are actually retained by their producers for their own use.
These cover a very wide range of productive activities, in particular:
a. The production of agricultural goods by household enterprises for own final consumption;
b. The production of other goods for own final use by households: the construction of dwellings, the production of foodstuffs and clothing, etc.;
c. The production of housing services for own final consumption by owner occupiers;
d. The production of domestic and personal services for consumption within the same household: the preparation of meals, care and training of children, cleaning, repairs, etc.
All of these activities are productive in an economic sense.
However, inclusion in the SNA is not simply a matter of estimating monetary values for the outputs of these activities.
If values are assigned to the outputs, values have also to be assigned to the incomes generated by their production and to the consumption of the output.
It is clear that the economic significance of these flows is very different from that of monetary flows.
For example, the incomes generated are automatically tied to the consumption of the goods and services produced; they have little relevance for the analysis of inflation or deflation or other disequilibria within the economy.
The inclusion of large non-monetary flows of this kind in the accounts together with monetary flows can obscure what is happening on markets and reduce the analytic usefulness of the data.
1.42 The SNA is designed to meet a wide range of analytical and policy needs.
A balance has to be struck between the desire for the accounts to be as comprehensive as possible and the need to prevent flows used for the analysis of market behaviour and disequilibria from being swamped by non-monetary values.
The SNA therefore includes all production of goods for own use within its production boundary, as the decision whether goods are to be sold or retained for own use can be made even after they have been produced, but it excludes all production of services for own final consumption within households (except for the services produced by employing paid domestic staff and the own-account production of housing services by owner-occupiers).
The services are excluded because the decision to consume them within the household is made even before the service is provided.
The location of the production boundary in the SNA is a compromise, but a deliberate one that takes account of the needs of most users.
In this context it may be noted that in labour force statistics economically active persons are defined as those engaged in productive activities as defined in the SNA.
If the production boundary were extended to include the production of personal and domestic services by members of households for their own final consumption, all persons engaged in such activities would become self-employed, making unemployment virtually impossible by definition.
This illustrates the need to confine the production boundary in the SNA and other related statistical systems to market activities or fairly close substitutes for market activities.
1.43 Certain natural processes may or may not be counted as production depending upon the circumstances in which they occur.
A necessary condition for an activity to be treated as productive is that it must be carried out under the instigation, control and responsibility of some institutional unit that exercises ownership rights over whatever is produced.
For example, the natural growth of stocks of fish in the high seas not subject to international quotas is not counted as production: the process is not managed by any institutional unit and the fish do not belong to any institutional unit.
On the other hand, the growth of fish in fish farms is treated as a process of production in much the same way that rearing livestock is a process of production.
Similarly, the natural growth of wild, uncultivated forests or wild fruits or berries is not counted as production, whereas the cultivation of crop-bearing trees, or trees grown for timber or other uses, is counted in the same way as the growing of annual crops.
However, the deliberate felling of trees in wild forests, and the gathering of wild fruit or berries, and also firewood, counts as production.
Similarly, rainfall and the flow of water down natural watercourses are not processes of production, whereas storing water in reservoirs or dams and the piping, or carrying, of water from one location to another all constitute production.
1.44 These examples show that many activities or processes that may be of benefit to institutional units, both as producers and consumers, are not processes of production in an economic sense.
Rainfall may be vital to the agricultural production of a country but it is not a process of production whose output can be included in GDP.
1.45 The coverage of production in the SNA has ramifications that extend considerably beyond the production account itself.
The boundary of production determines the amount of value added recorded and hence the total amount of income generated by production.
The range of goods and services that are included in household final consumption expenditures, and actual consumption, is similarly governed by the production boundary.
For example, these expenditures include the estimated values of the agricultural products consumed by households that they have produced themselves and also the values of the housing services consumed by owner occupiers, but not the values of “do-it-yourself” repairs and maintenance to vehicles or household durables, the cleaning of dwellings, the care and training of children, or similar domestic or personal services produced for own final consumption.
Only the expenditures on goods utilized for these purposes, such as cleaning materials, are included in household final consumption expenditures.
1.46 Balance sheets are compiled for institutional units, or sectors, and record the values of the assets they own or the liabilities they have incurred.
Assets as defined in the SNA are entities that must be owned by some unit, or units, and from which economic benefits are derived by their owner(s) by holding or using them over a period of time.
Financial assets and fixed assets, such as machinery, equipment and structures which have themselves been produced as outputs in the past, are clearly covered by this definition.
However, the ownership criterion is important for determining which natural resources are treated as assets in the SNA.
Natural resources such as land, mineral deposits, fuel reserves, uncultivated forests or other vegetation and wild animals are included in the balance sheets provided that institutional units are exercising effective ownership rights over them, that is, are actually in a position to be able to benefit from them.
Assets need not be privately owned and could be owned by government units exercising ownership rights on behalf of entire communities.
Thus, many environmental assets are included within the SNA.
Resources such as the atmosphere or high seas, over which no ownership rights can be exercised, or mineral or fuel deposits that have not been discovered or that are unworkable, are not included as they are not capable of bringing any benefits to their owners, given the technology and relative prices existing at the time.
1.47 Changes in the values of natural resources owned by institutional units between one balance sheet and the next are recorded in the accumulation accounts of the SNA.
For example, the depletion of a natural resource as a result of its use in production is recorded in the other changes in volume of assets account, together with losses of fixed assets due to their destruction by natural disasters (floods, earthquakes, etc.).
Conversely, when deposits or reserves of minerals or fuels are discovered or previously unworkable deposits become workable, their appearance is recorded in this account and they enter the balance sheets in this way.
1.48 The accounts of the SNA are compiled for resident institutional units grouped into institutional sectors and subsectors.
The concept of residence is the same as that used in the Balance of Payments and International Investment Position Manual, Sixth Edition (International Monetary Fund (IMF), 2008), known as BPM6.
An institutional unit is said to be resident within the economic territory of a country when it maintains a centre of predominant economic interest in that territory, that is, when it engages, or intends to engage, in economic activities or transactions on a significant scale either indefinitely or over a long period of time, usually interpreted as one year.
1.49 The GDP of a country, viewed as an aggregate measure of production, is equal to the sum of the gross value added of all resident institutional units engaged in production (plus any taxes, and minus any subsidies, on products not included in the value of their outputs).
This is not exactly the same as the sum of the gross value added of all productive activities taking place within the geographical boundaries of the national economy.
Some of the production of a resident institutional unit may take place abroad, for example, the installation of some exported machinery or equipment or a consultancy project undertaken by a team of expert advisers working temporarily abroad.
Conversely, some of the production taking place within a country may be attributable to nonresident institutional units.
1.50 When GDP is derived from the expenditure side, allowance has also to be made for goods and services produced by non-residents but consumed by residents as well as for goods and services produced by residents but consumed abroad.
For the SNA to be comprehensive in coverage, all transactions with the rest of the world have to be identified so their impact on measures relating to the resident economy is properly accounted for.
The complete set of transactions with the rest of the world in the SNA matches exactly the set of transactions captured in the balance of payments.
1.51 The contents of the accounts are determined not only by the conceptual framework, definitions and classifications of the SNA but also by the ways in which they are interpreted and implemented in practice.
No matter how simple and precise concepts and classifications may appear in principle, there are inevitably difficult borderline cases which cannot easily be fitted into predetermined categories.
These points may be illustrated by considering a fundamental distinction in economics and in the SNA, namely, the distinction between consumption and gross fixed capital formation (or gross fixed investment, as it is often described in other contexts).
1.52 Before considering the difference between consumption and investment, though, it is necessary to look more closely at the nature of consumption.
Consumption is an activity in which institutional units use up goods or services, but there are two quite different kinds of consumption.
Intermediate consumption consists of goods and services used up in the course of production within the accounting period.
Final consumption consists of goods and services used by individual households or the community to satisfy their individual or collective needs or wants.
The activity of gross fixed capital formation, like intermediate consumption, is restricted to institutional units in their capacity as producers, being defined as the value of their acquisitions less disposals of fixed assets.
Fixed assets are produced assets (such as machinery, equipment, buildings or other structures) that are used repeatedly or continuously in production over several accounting periods (more than one year).
The distinction between intermediate consumption and gross capital formation depends on whether the goods and services involved are completely used up in the accounting period or not.
If they are, the use of them is a current transaction recorded as intermediate consumption; if not it is an accumulation transaction recorded in the capital account.
1.53 The general nature and purpose of the distinction between gross fixed capital formation and consumption, whether intermediate or final, is clear.
The distinction is fundamental for economic analysis and policymaking.
Nevertheless, the borderline between consumption and gross fixed capital formation is not always easy to determine in practice.
Certain activities contain some elements that appear to be consumption and at the same time others that appear to be capital formation.
In order to try to ensure that the SNA is implemented in a uniform way, decisions have to be taken about the ways in which certain difficult, even controversial, items are to be classified.
Two examples are given below.
1.54 It is often proposed that expenditures on staff training and education should be classified as gross fixed capital formation as a form of investment in human capital.
The acquisition of knowledge, skills and qualifications increases the productive potential of the individuals concerned and is a source of future economic benefit to them.
However, while knowledge, skills and qualifications are clearly assets in a broad sense of the term, they cannot be equated with fixed assets as understood in the SNA.
They are acquired through learning, studying and practising, activities that cannot be undertaken by anyone else on behalf of the student and thus the acquisition of knowledge is not a process of production even though the instruction conveyed by education services is. The education services produced by schools, colleges, universities, etc. are thus treated as being consumed by students in the process of their acquiring knowledge and skills.
This type of education is treated as final consumption.
When training is given by an employer to enhance the effectiveness of staff, the costs are treated as intermediate consumption.
1.55 This treatment of education costs is consistent with the production and asset boundaries of the SNA but not all users of the SNA find it satisfactory in all instances.
However, as explained below, the SNA is such that users are encouraged to explore alternative conventions in the form of satellite accounts, described in chapter 29.
An alternative treatment for the recording of human capital is one such application.
1.56 Another, less familiar, example of the intrinsic difficulty of trying to draw a dichotomy between consumption and gross fixed capital formation is provided by repairs and maintenance.
Ordinary maintenance and repairs undertaken by enterprises to keep fixed assets in good working order are treated as intermediate consumption.
However, major improvements, additions or extensions to fixed assets, both machinery and structures, which improve their performance, increase their capacity or prolong their expected working lives count as gross fixed capital formation.
In practice it is not easy to draw the line between ordinary repairs and major improvements, although the SNA provides certain recommendations for this purpose.
Some analysts, however, consider that the distinction between ordinary repairs and maintenance and major improvements and additions is neither operational nor defensible and would favour a more “gross” method of recording in which all such activities are treated as gross fixed capital formation.
1.57 The SNA has a very important statistical function by serving as a coordinating framework for economic statistics in two different senses.
In the first place, the SNA is seen as the conceptual framework for ensuring the consistency of the definitions and classifications used in different, but related, fields of statistics.
Secondly, the SNA acts as an accounting framework to ensure the numerical consistency of data drawn from different sources, such as industrial inquiries, household surveys, merchandise trade statistics, VAT returns and other administrative sources.
1.58 Consistency between different statistical systems enhances the analytical usefulness of all the statistics involved.
The SNA has always occupied a central position in economic statistics because the data from more specialized systems, such as balance of payments or labour force statistics, typically have to be used in conjunction with national accounts data.
The need for harmonization of the SNA and related statistical systems, such as financial statistics or balance of payments statistics, leads to the practice of revising other statistical systems in parallel with, and in close collaboration with, that of the SNA.
This coordination eliminates conceptual differences between them other than a few exceptions that can be specifically justified in terms of the special characteristics of different kinds of data, or the special requirements of different kinds of users.
Harmonization between the SNA and other major systems has proved to be largely successful and has been achieved by making changes to the SNA as well as to the other systems.
1.59 The sequence of accounts and balance sheets of the SNA could, in principle, be compiled at any level of aggregation, even that of an individual institutional unit.
It might therefore appear desirable if the macroeconomic accounts for sectors or the total economy could be obtained directly by aggregating corresponding data for individual units.
There would be considerable analytical advantages in having microdatabases that are fully compatible with the corresponding macroeconomic accounts for sectors or the total economy.
Data in the form of aggregates, or averages, often conceal a great deal of useful information about changes occurring within the populations to which they relate.
For example, economic theory indicates that changes in the pattern of the distribution of income may be expected to have an impact on aggregate consumption over and above that due to changes in the aggregate level of income.
Information relating to individual units may be needed not only to obtain a better understanding of the working of the economy but also to monitor the impact of government policies, or other events, on selected types of units about which there may be special concern, such as households with very low incomes.
Microdata sets also make it possible to follow the behaviour of individual units over time.
Given the continuing improvements in computers and communications, the management and analysis of very large microdatabases is becoming progressively easier.
Data can be derived from a variety of different sources, such as administrative and business records, as well as specially conducted censuses and surveys.
1.60 In practice, however, macroeconomic accounts can seldom be built up by simply aggregating the relevant microdata.
Even when individual institutional units keep accounts or records, the concepts that are needed or appropriate at a micro level may not be suitable at a macro level.
Individual units may be obliged to use concepts designed for other purposes, such as taxation.
The accounting conventions and valuation methods used at a micro level typically differ from those required by the SNA.
For example, the widespread use of historic cost accounting means that the accounts of individual enterprises may differ significantly from those used in the SNA.
Depreciation as calculated for tax purposes may be quite arbitrary and unacceptable from an economic viewpoint as a measure of consumption of fixed capital.
In such situations, it is impractical to try to adjust the individual accounts of thousands of enterprises before aggregating them.
Instead the data are adjusted after they have been aggregated to some extent.
Of course, the data do not have to be aggregated to the level of the total economy, or even complete sectors or industries, before being adjusted and it is likely to be more efficient to make the adjustments for smaller and more homogenous groups of units.
This may involve compiling so-called intermediate systems of accounts.
At whatever level of aggregation the adjustments are made, the inevitable consequence is to make the resulting macrodata no longer equivalent to simple aggregations of the microdata from which they are derived.
When the microdata are not derived from business accounts or administrative records but from censuses or surveys designed for statistical purposes, the concepts used should be closer to those required, but the results may still require adjustment at a macro level because of incomplete coverage (the surveys being confined to enterprises above a certain size, for example) and bias from response errors.
1.61 Most households are unlikely to keep accounts of the kind needed by the SNA.
Microdata for households are typically derived from sample surveys that may be subject to significant response and reporting errors.
It may be particularly difficult to obtain reliable and meaningful data about the activities of small unincorporated enterprises owned by households.
Aggregates based on household surveys have to be adjusted for certain typical biases, such as the underreporting of certain types of expenditure (on tobacco, alcoholic drink, gambling, etc.) and also to make them consistent with macrodata from other sources, such as imports.
The systematic exploitation of microdata may also be restricted by the increasing concerns about confidentiality and possible misuse of such databases.
1.62 It may be concluded therefore that, for various reasons, it may be difficult, if not impossible, to achieve microdatabases and macroeconomic accounts that are fully compatible with each other in practice.
Nevertheless, as a general objective, the concepts, definitions and classifications used in economic accounting should, so far as possible, be the same at both a micro and macro level to facilitate the interface between the two kinds of data.
1.63 The accounting rules and procedures used in the SNA are based on those long used in business accounting.
The traditional double-entry bookkeeping principle, whereby a transaction gives rise to a pair of matching debit and credit entries within the accounts of each of the two parties to the transaction, is a basic axiom of economic or national accounting.
For example, recording the sale of output requires not only an entry in the production account of the seller but also an entry of equal value, often described as the counterpart, in the seller's financial account to record the cash, or short-term financial credit, received in exchange for the output sold.
As two matching entries are also needed for the buyer, the transaction must give rise to four simultaneous entries of equal value in a system of macroeconomic accounts covering both the seller and the buyer.
In general, a transaction between two different institutional units always requires four equal, simultaneous entries in the accounts of the SNA (that is, quadruple entry accounting) even if the transaction is a transfer and not an exchange and even if no money changes hands.
These multiple entries enable the economic interactions between different institutional units and sectors to be recorded and analysed.
However, transactions within a single unit (such as the consumption of output by the same unit that produced it) require only two entries whose values have to be estimated.
1.64 The design and structure of the SNA draws heavily on economic theory and principles as well as business accounting practices.
Basic concepts such as production, consumption and capital formation are meant to be rooted in economic theory.
When business accounting practices conflict with economic principles, priority is given to the latter, as the SNA is designed primarily for purposes of economic analysis and policymaking.
The difference between business accounting and economic theory can be illustrated by the concept of cost of production used in the SNA.
1.65 Business accounts commonly (but not invariably) record costs on an historic basis, partly to ensure that they are completely objective.
Historic cost accounting requires goods or assets used in production to be valued by the expenditures actually incurred to acquire those goods or assets, however far back in the past those expenditures took place.
In the SNA, however, the concept of opportunity cost as defined in economics is employed.
In other words, the cost of using, or using up, some existing asset or good in one particular process of production is measured by the amount of the benefits that could have been secured by using the asset or good in alternative ways.
Opportunity cost is calculated with reference to the opportunities foregone at the time the asset or resource is used, as distinct from the costs incurred at some time in the past to acquire the asset.
The best practical approximation to opportunity cost accounting is current cost accounting, whereby assets and goods used in production are valued at their actual or estimated current market prices at the time the production takes place.
Current cost accounting is sometimes described as replacement cost accounting, although there may be no intention of actually replacing the asset in question after it has been used
1.66 When there is persistent inflation, even at moderate levels, the use of historic costs tends to underestimate the opportunity costs of production in an economic sense so that historic cost profit may be much greater than the operating surplus as defined in the SNA.
Profits at historic costs are liable to give very misleading signals as to the profitability of the production processes to which they relate by systematically undervaluing inputs compared with outputs.
They can lead to mistaken decisions at both a microeconomic and macroeconomic level.
1.67 Current cost accounting has ramifications that permeate the entire SNA.
It affects all the accounts and balance sheets and their balancing items.
A fundamental principle underlying the measurement of gross value added, and hence GDP, is that output and intermediate consumption must be valued at the prices current at the time the production takes place.
This implies that goods withdrawn from inventories must be valued at the prices prevailing at the times the goods are withdrawn and not at the prices at which they entered inventories.
This method of recording changes in inventories is not commonly used in business accounting, however, and may sometimes give very different results, especially when inventory levels fluctuate while prices are rising.
Similarly, consumption of fixed capital in the SNA is calculated on the basis of the estimated opportunity costs of using the assets at the time they are used, as distinct from the prices at which the assets were acquired.
Even when the fixed assets used up are not actually replaced, the amount of consumption of fixed capital charged as a cost of production should be sufficient to enable the assets to be replaced, if desired.
When there is persistent inflation, the value of consumption of fixed capital is liable to be much greater than depreciation at historic costs, even if the same assumptions are made in the SNA and in business accounts about the service lives of the assets and their rates of wear and tear and obsolescence.
To avoid confusion, the term “consumption of fixed capital” is used in the SNA to distinguish it from “depreciation” as typically measured in business accounts.
1.68 A difference between the SNA and commercial accounting is that the term “profits” is not used to describe a balancing item in the SNA.
The item entrepreneurial income is a close approximation to before tax profits and disposable income to after tax profits.
The use of the term disposable income comes from the fact that the corresponding item for the household sector represents the maximum amount available to a household for purposes of consumption after maintaining its net worth intact, that is the current value of its assets minus the current value of its liabilities.
For corporations, since they do not have final consumption, this is the amount available for investment.
1.69 Unlike commercial accounting, the SNA excludes from the calculation of income any assets received or disposed of as a result of capital transfers that merely redistribute wealth between different units, and also any assets received or disposed of as a result of events not connected with production, such as earthquakes or other natural disasters, or acts of war.
Real holding gains or losses on assets or liabilities due to changes in their relative prices are also excluded from income generated by production.
1.70 A feature of the 2008 update of the SNA is recognition of the increasing use of international accounting standards by corporations and in the public sector.
Subsequent chapters make reference to International Accounting Standards Board (IASB) and the International Public Sector Accounting Standards Board (IPSASB) norms.
In several cases, notably on pension liabilities and intangible assets, the feasibility of including certain items in the SNA is dependent on the application of the international accounting standards.
1.71 The SNA is designed to be sufficiently comprehensive that individual countries, whatever their economic structures, institutional arrangements or level of development, can select from within it those parts of the SNA that are considered to be most relevant and useful to implement in the light of their own needs and capabilities.
The SNA is meant to be implemented in a flexible manner and the accounts and tables, classifications and sectoring presented in this volume should not be regarded as fixed.
For example, classifications of institutional units, transactions and assets may be implemented flexibly by introducing further aggregation or disaggregation in order to adapt them to the data availability and special circumstances of different countries.
The flexible use of classifications does not change the basic concepts and definitions of the SNA.
1.72 In some cases, the SNA explicitly insists on flexibility.
For example, two alternative methods of subsectoring the general government sector are proposed in chapter 4 without either being assigned priority.
Similarly, although the SNA suggests subsectoring the households sector on the basis of the household's principal source of income, it stresses that this is only one possible criterion for subsectoring.
In some cases, it may be more appropriate to subsector on the basis of socio-economic criteria or the type of area in which the household is located or, indeed, to carry the disaggregation of the households sector further by using two or more criteria together in a hierarchical manner.
1.73 Ways in which the SNA may be adapted to meet differing circumstances and needs are addressed in chapters 18 to 29. Chapter 29 shows how flexibility may be taken a stage further by developing satellite accounts that are closely linked to the main SNA but are not bound to employ exactly the same concepts or restricted to data expressed in monetary terms.
Satellite accounts are intended for special purposes such as monitoring the community's health or the state of environment.
They may also be used to explore new methodologies and to work out new accounting procedures that, when fully developed and accepted, may become absorbed into the main SNA in the course of time, in the way that input-output analysis, for example, has been integrated into the SNA.
1.74 Another way in which the SNA may be implemented flexibly is by rearranging the data in the accounts in the form of a social accounting matrix in order better to serve particular analytical and policy needs.
Such matrices should not be construed as constituting different systems but as alternative ways of presenting the mass of information contained in the SNA which some users and analysts find more informative and powerful for both monitoring and modelling social and economic development.
1.75 GDP is often taken as a measure of welfare, but the SNA makes no claim that this is so and indeed there are several conventions in the SNA that argue against the welfare interpretation of the accounts.
The implications of some of these conventions are outlined briefly in this section.
1.76 In a market economy, the prices used to value different goods and services should reflect not only their relative costs of production but also the relative benefits or utilities to be derived from using them for production or consumption.
This establishes the link between changes in aggregate production and consumption and changes in welfare.
However, changes in the volume of consumption, for example, are not the same as changes in welfare.
It is widely accepted that, other things being equal, increased expenditure on goods and services leads to increased welfare.
The increase in welfare may not, however, be proportionate to the increase in expenditure.
Nor is the unit incurring the expenditure necessarily the one that benefits from an increase in welfare.
The SNA makes a distinction between actual consumption, showing the amount of goods and services actually consumed, and consumption expenditure.
Household actual consumption is greater than consumption expenditure because it includes expenditures incurred by general government and NPISHs on behalf of individual households.
1.77 An increase in consumption of food by someone living in extreme poverty is likely to lead to a greater increase in welfare than a similar increase in consumption by someone already well-fed.
The SNA however, cannot distinguish this because although the rules allow distinguishing which unit incurs the expenditure as opposed to which unit consumes the food, the valuation basis in the SNA is the price paid for the food with no adjustment for the qualitative benefits derived from its consumption.
The most that can be claimed for treating expenditure as a measure of welfare is that it may be a reasonable lower bound on the level of welfare engendered by the expenditure.
1.78 The production boundary of the SNA is such that the services produced and consumed by households are not included except for the imputed rental of owner-occupied dwellings and the payments made to domestic staff.
Similarly, no estimate is included in the SNA for the labour services of individuals provided without cost to non-profit institutions.
In both these cases, the contribution of time increases the welfare of other individuals in the community.
The exclusion of these services from the production boundary is not a denial of the welfare properties of the services but a recognition that their inclusion would detract from rather than add to the usefulness of the SNA for the primary purposes for which it is designed, that is economic analysis, decision-taking and policymaking.
1.79 The level of an individual's and a nation's welfare may be affected by a wide range of factors that are not economic in origin.
Consider the effects of an exceptionally severe winter combined with an influenza epidemic.
Other things being equal, the production and consumption of a number of goods and services may be expected to rise in response to extra demands created by the cold and the epidemic; the production and consumption of fuels, clothing and medical services will tend to increase.
As compared with the previous year, people may consider themselves to be worse off overall because of the exceptionally bad weather and the epidemic, notwithstanding the fact that production and consumption may have increased in response to the additional demand for heating and health services.
Total welfare could fall even though GDP could increase in volume terms.
1.80 This kind of situation does not mean that welfare cannot be expected to increase as GDP increases, other things being equal.
Given the occurrence of the cold and the epidemic, the community presumably finds itself much better off with the extra production and consumption of heating and health services than without them.
There may even be a general tendency for production to rise to remedy the harmful effects of events that reduce people's welfare in a broad sense.
For example, production may be expected to increase in order to repair the damage caused by such natural disasters as earthquakes, hurricanes and floods.
Given that the disaster has occurred, the extra production presumably increases welfare.
However the question remains how changes in welfare should be measured over time; a community that has suffered a natural disaster will have a higher level of welfare if damage is repaired than if it is not, but how does this new level of welfare compare to the situation in the absence of the disaster?
1.81 Some production activities cause a loss in welfare that is not captured in the SNA.
A factory, for example, may generate noise and emit pollutants into the air or nearby water systems to the extent of causing a loss of amenity and thus a loss of welfare to individuals living nearby.
As long as there is no financial penalty to the factory, the consequences go unmeasured in the SNA.
If, in response to government legislation or otherwise, the factory incurs expenditures that reduce the noise or quantity of pollutants emitted, costs will rise and so will welfare but again the match is not necessarily one to one and the level of welfare after the ameliorations may still be lower than it might be if the factory simply closed down.
1.82 Environmental externalities are a major cause of concern both as regards measuring welfare and indeed economic growth itself.
In response to these concerns, a satellite account of the SNA has been developed and is being refined to try to answer such questions.
1.83 An individual’s state of well-being, or welfare, is not determined by economic factors alone.
Personal and family circumstances, quality of health, the satisfaction of lack of it derived from employment are just some other factors that affect welfare.
It is difficult to imagine an objective way in which factors such as these could be quantified and more difficult to imagine the usefulness of including them in a system designed primarily to facilitate economic analysis
1.84 Welfare is a wide-ranging concept with many different facets.
Some of these may be captured reasonably well by one or more of the key aggregates of the SNA.
Others may be captured by using the basic structure of the SNA and expanding it in certain directions, perhaps by including unpaid services and the effects of environmental damage, for example.
Yet other aspects are likely to remain forever outside the reach of a system not designed with the measurement of welfare as a prime consideration.
It would be foolish to deny this just as it is unrealistic to expect a system of economic accounts to necessarily and automatically yield a wholly satisfactory measure of welfare.
2.1 This chapter provides an overview of the accounting framework of the SNA and in doing so gives an overview of most of the following chapters also.
a. It introduces the conceptual elements that form the building blocks of the accounting system and the rules of accounting to be followed.
They are further elaborated in section B and C and in their full detail in chapters 3, 4 and 5.
b. It describes the standard view of the central framework of main accounting structure.
Each account is introduced with a description of the nature of the account and an insight into the sort of analysis the account can yield.
The accounts are described in section D and then in chapters 6 to 17.
c. Thereafter, the chapter shows some of the ways in which the central framework may be applied flexibly, depending on specific country requirements.
In particular satellite accounts are introduced.
These extensions and applications of the SNA are described briefly in section E and in chapters 18 to 29.
2.2 As explained in chapter 1, the central framework describes the essential phenomena which constitute economic behaviour: production, consumption, accumulation and the associated concepts of income and wealth.
The SNA aims to provide a representation of this set of phenomena and their interrelations that is simplified to aid comprehension but still covers all important considerations.
To achieve this, the central framework must satisfy two conditions; it must be integrated and consistent.
2.3 To be integrated, the same concepts, definitions and classifications must be applied to all accounts and sub-accounts.
For example, once it is decided dwellings are treated as assets, all dwellings must give rise to housing services that are included within the production boundary, regardless of whether the dwellings are occupied by the owners or are rented on the market.
Equally, all give rise to income that must be treated in the same way in the SNA, regardless of the relationship between the owner and the occupier.
2.4 To be consistent, each economic flow or stock level appearing in the SNA must be measured identically for the parties involved.
This consistency is achieved by applying throughout the SNA the same concepts and definitions and also by using a single set of accounting rules for all entries in the SNA.
In practice, the actual data coming from the accounts or statistics provided by elementary units will not be fully consistent for various reasons and so achieving the consistency required by the SNA requires a large amount of additional work.
2.5 Basically, the purpose of a system of national accounts is to record economic flows and stocks.
Economic flows can be thought of in various ways.
Consider the question “Who does what?” “Who” refers to the economic agent engaged in doing something, the operator. “What” is connected with the kind of action this agent is undertaking.
In a few cases, the answer to this simple question provides a good preliminary characterization of an economic flow.
However, in general the question is too simple to provide even a rough economic description of a specific flow.
Take the example of somebody buying a loaf of bread.
In order to characterize the flow, it is necessary to consider from whom this loaf of bread is bought (a baker or a supermarket) and what is given in exchange (a coin or a note).
So the starting question is transformed into “Who does what with whom in exchange for what?” This rather simple flow involves two operators (a buyer, a seller), two main actions (a purchase, a sale), two secondary actions (a payment, a receipt) and two objects (bread, a coin or a note).
Again, a complete description would require more information, at least the weight, kind and price of the bread.
2.6 The picture in the real world is still more complicated.
Before this flow occurred, the seller had a certain quantity of bread in his shop; afterwards he has less bread but more money.
The buyer had a certain amount of money, now he has less money but some bread (before eating it).
So the flow between them has changed their initial situations.
This means that flows cannot be looked at in isolation; the situations before and after a flow occurs need to be considered.
At those two points in time, one must ask the question “Who has what?” The baker not only has bread and currency, he also has a house with the shop, baking equipment, some flour, a deposit in a bank, a car, etc.
In other words, he has (he owns) a certain stock of objects.
The same is true for the buyer.
In addition to what they are in themselves, flows modify stocks.
Flows and changes in stocks are intrinsically connected.
The previous question is again transformed into “Who does what with whom in exchange for what with what changes in stocks?”
2.7 However, the various ways of looking at this example have not yet been exhausted.
Before the baker can sell bread, he has to bake it. He uses flour, water, electricity, baking equipment, etc.
So, an additional question is “Who does what by what means?”
What he does can also be characterized in two ways: his activity (to bake) and the result of it (a product: bread).
With respect to the buyer one can ask “Why does he buy bread?”
The obvious purpose is to eat, as food; however, it could be to give to a beggar, as charity.
This raises the question “Who does what for what purpose?”
2.8 Adding all the questions together results in a rather complex combination of simple links: “Who does what, with whom, in exchange for what, by what means, for what purpose, with what changes in stocks?” Answering these questions for all economic flows and stocks and operators in a given economy would provide an enormous amount of information describing the complete network of economic interrelations.
However, it would require an enormous amount of basic information, which is not always available nor complete in that it may cover only certain aspects of the complex chain of questions.
Further, it is necessary to organize the recording of economic flows and stocks in a comprehensible way, as discussed in the next section.
2.9 Users' needs set certain requirements for the accounting framework.
The first requirement is that it should provide a picture of the economy, but the picture must be simplified in order to be both comprehensible and manageable.
The second requirement is that it should faithfully represent economic behaviour by covering all important aspects in a balanced way without neglecting or giving too little emphasis to some aspects or giving others too much prominence.
Finally, it should portray all significant economic interrelations and the results of economic activity.
Although meeting these requirements is necessary, they are somewhat contradictory.
Achieving the right balance between them is not easy.
Too great a simplification can lose sight of or neglect important aspects of economic behaviour; too detailed a portrayal of reality can overburden the picture and reduce insight; too much sophistication can lower comprehension and mislead some users; and so on.
2.10 To meet these requirements, the SNA uses a limited number of basic categories to analyse and aggregate certain aspects (Who? What? What purpose? What stocks?) of the very numerous elementary flows.
However, the SNA simplifies the picture it gives of the economic interrelations by not recording the “from-whom-to-whom?” question in a fully systematic way; that is, it does not always depict the network of flows between the various types of operators.
Consider three units, A, B and C, each of which makes payments of the same type to the other two; they might be three shopkeepers, for example, who sell different types of goods.
Suppose A buys 2 from B and 3 from C; B buys 6 from A and 1 from C; C buys 4 from each of A and B. A full articulation of the flows could be captured in a threeby-three table as follows:
| A | B | C | Total purchases | |
| A | 2 | 3 | 5 | |
| B | 6 | 1 | 7 | |
| C | 4 | 4 | 8 | |
| Total sales | 10 | 6 | 4 | 20 |
2.11 Although only the purchases were specified, it follows that the receipts of each unit are also available in the table.
The totals in the right-most column show the total purchases of each of the three units and the bottommost row shows the total receipts by each of the three units.
The sum of each must, obviously, be the same since each is the sum of all entries within the table.
Within the central framework, the full detail of the flows from each of A, B and C to each of the others is not generally shown; it is sufficient to show only the totals in the right-most column and the bottommost row and know that these must balance.
2.12 In some presentations, particularly those using a matrix format of presentation, some of these extra details may be shown.
Discussion of this appears in chapters 14, 28 and 29.
Even in the central framework, the full detail may be available.
For example if in some case A, B and C do not interact with one another but only with another unit G, as is the case in the payment of taxes, then there are only four entries to be shown; the payments by each of A, B and C and the receipts by G.
2.13 Another case where the SNA introduces a simplification is in terms of the “what in exchange for what?” question; that is, it does not indicate, for example, the specific nature of the financial counterpart (currency or deposit or short-term loan, etc.) for the purchases of goods and services or the payment of taxes.
2.14 The fact that the SNA is integrated, although articulated in only two and not three dimensions, does not reduce its consistency requirements.
In effect, the purpose of the SNA is to derive national accounts that are as consistent as they would be if they were fully articulated; each economic flow or stock should be measured identically for both parties involved.
The consistency in the SNA is achieved by applying the same concepts and definitions throughout and also by using a single strict set of accounting rules.
2.15 The SNA contains a number of conceptual elements that determine the accounting framework of the SNA and permit various aspects of the questions raised above to be answered.
These concepts are:
a. Institutional units and sectors (who?);
b. Transactions and other flows (what?);
c. Assets and liabilities (what stocks?);
d. Products and producing units (other aspects of who and what?);
e. Purposes (why?).
They are presented in turn.
2.16 The fundamental units identified in the SNA are the economic units that can engage in the full range of transactions and are capable of owning assets and incurring liabilities on their own behalf.
These units are called institutional units.
Further, because they have legal responsibility for their actions, institutional units are centres of decision-making for all aspects of economic behaviour.
In practice, some institutional units are controlled by others and thus in such cases autonomy of decision is not total and may vary over time.
Legally independent holding of assets and liabilities and autonomous behaviour do not always coincide.
In the SNA, preference is generally given to the first aspect because it provides a better way to organize the collection and presentation of statistics even if its usefulness is limited in some cases.
2.17 The institutional units are grouped together to form institutional sectors, on the basis of their principal functions, behaviour and objectives:
a. Non-financial corporations are institutional units that are principally engaged in the production of market goods and non-financial services.
b. Financial corporations are institutional units that are principally engaged in financial services including financial intermediation.
c. General government consists of institutional units that, in addition to fulfilling their political responsibilities and their role of economic regulation, produce services (and possibly goods) for individual or collective consumption mainly on a non-market basis and redistribute income and wealth.
d. Households are institutional units consisting of one individual or a group of individuals.
All physical persons in the economy must belong to one and only one household.
The principal functions of households are to supply labour, to undertake final consumption and, as entrepreneurs, to produce market goods and non-financial (and possibly financial) services.
The entrepreneurial activities of a household consist of unincorporated enterprises that remain within the household except under certain specific conditions.
e. Non-profit institutions serving households (NPISHs) are legal entities that are principally engaged in the production of non-market services for households or the community at large and whose main resources are voluntary contributions.
2.18 Each sector contains a number of subsectors distinguished according to a hierarchical classification (described in chapter 4).
A subsector comprises entire institutional units, and each institutional unit belongs to only one subsector though alternative groupings are possible.
The distinction between public, national private and foreign controlled corporations and between various socio-economic groups of households is included in the SNA in order to respond to policy concerns.
2.19 The total economy is defined in terms of institutional units.
It consists of all the institutional units which are resident in the economic territory of a country.
The economic territory of a country, although consisting essentially of the geographical territory, does not coincide exactly; some additions and subtractions are made (see chapter 26).
The concept of residence in the SNA is not based on nationality or legal criteria.
An institutional unit is said to be a resident unit of a country when it has a centre of predominant economic interest in the economic territory of that country; that is, when it engages for an extended period (one year or more being taken as a practical guideline) in economic activities on this territory.
The institutional sectors referred to above include only resident units.
2.20 Resident units engage in transactions with non-resident units (that is, units that are residents of other economies).
These transactions are the external transactions of the economy and are grouped in the account of the rest of the world.
Strictly speaking, the rest of the world is the account of transactions occurring between resident and non-resident units, but it may also be seen as the whole group of nonresident units that enter into transactions with resident units.
In the accounting structure of the SNA, the rest of the world plays a role similar to that of an institutional sector, although non-resident units are included only in so far as they are engaged in transactions with resident institutional units.
2.21 Institutional units fulfil various economic functions; that is, they produce, consume, save, invest, etc.
They may engage in various types of production (agriculture, manufacturing, etc.) as entrepreneurs, providers of labour or suppliers of capital.
In all aspects of their economic functions and activities, they undertake a great number of elementary economic actions.
These actions result in economic flows, which, however they are characterized (wages, taxes, fixed capital formation, etc.), create, transform, exchange, transfer or extinguish economic value; they involve changes in the volume, composition or value of an institutional unit's assets or liabilities.
The economic value may take the form of ownership rights on physical objects (a loaf of bread, a dwelling) or intangible assets (a film original) or of financial claims (liabilities being understood as negative economic value).
In all cases, economic value is potentially usable to acquire goods or services, pay wages or taxes, etc.
2.22 Most economic actions are undertaken by mutual agreement between institutional units.
They are either an exchange of economic value or a voluntary transfer by one unit to another of a certain amount of economic value without a counterpart.
These actions undertaken by mutual agreement between two institutional units are called transactions in the SNA.
The SNA also treats certain economic actions involving only a single institutional unit as transactions.
They are described as internal, or intra-unit, transactions.
For example, own-account fixed capital formation is treated as a transaction between a unit in its capacity as a producer with itself in its capacity as an acquirer of fixed capital.
Such transactions are similar in nature to actions undertaken by mutual agreement by two different institutional units.
2.23 However, not all economic flows are transactions.
For example, certain actions undertaken unilaterally by one institutional unit have consequences on other institutional units without the latter's consent.
The SNA records such actions only to a limited extent, essentially when governments or other institutional units take possession of the assets of other institutional units, including non-resident units, without full compensation.
In fact, unilateral economic actions bearing consequences, either positive or negative, on other economic units (externalities) are much broader but such externalities are not recorded in the SNA.
Human action may result in the transfer of natural assets to economic activities and the subsequent transformation of these assets.
These phenomena are recorded in the SNA as economic flows, bringing in economic value.
Noneconomic phenomena, such as wars and natural disasters, may destroy economic assets, and this extinction of economic value must be accounted for.
The value of economic assets and liabilities may change during the time they are held as stocks, as a consequence of changes in prices.
These and similar flows that are not transactions, which are called other economic flows in the SNA, are described in chapter 12.
2.24 Economic flows can be actual, observable flows or they can be built up or estimated for analytical purposes.
Certain flows may be directly observed in value terms.
This is the case for monetary transactions between two institutional units, such as a purchase or sale of a good or the payment of a tax.
Other two-unit flows are observable but cannot be immediately valued.
These flows include barter of goods and services or education services consumed by students and provided free of charge by government; a value in money terms has to be attributed to them.
Barter is an example of a two-unit flow involving a “quid pro quo” that is, a flow in one direction is linked to a counterpart flow in the opposite direction; a social assistance benefit in cash is a two-unit flow that does not involve a quid pro quo.
Another kind of flow involves only one institutional unit.
Such flows may be physically observable, as in the case of output for own-account consumption or capital formation, or destruction by natural catastrophes.
A value has to be attributed to them (this may be fairly easy in certain cases, such as when output is mostly sold).
Other intra-unit, or internal, flows may not be observable as such; accounting entries are then constructed in order to measure economic performance correctly.
This is the case for the consumption of fixed capital or the revaluation of assets and liabilities.
Certain inter-units flows, such as reinvested earnings on foreign direct investment, are also accounting entries created for analytical purposes.
Finally, some observable monetary transactions are not recorded as they are observed in practice because they are of a composite nature (nominal interest, total insurance premiums) or their legal nature does not correspond to their economic one (financial leasing).
Consequently, for the SNA, they are split up into various components and their classification and routing are modified.
2.25 Although monetary transactions have a basic role in the valuation of flows in the SNA, non-monetary transactions are also significant.
They include flows of goods and services that take place between institutional units for which values have to be estimated and also some flows that are assumed to take place within units.
The relative importance of non-monetary transactions varies according to the type of economy and the objectives pursued by the accounting system.
Although the volume of non-monetary flows is generally greater for less developed economies than for developed ones, even for the latter it is not negligible.
2.26 Elementary transactions and other flows are very numerous.
They are grouped into a relatively small number of types according to their nature.
The main classification of transactions and other flows in the SNA includes four first-level types, with each subdivided according to a hierarchical classification.
It is designed to be used systematically in the accounts and tables of the central framework and cross-classified with institutional sectors, industry and product, and purpose classifications.
A full set of transactions and their codes appear in annex 1.
2.27 Transactions in goods and services (products) describe the origin (domestic output or imports) and use (intermediate consumption, final consumption, capital formation or exports) of goods and services.
By definition, goods and services in the SNA are always a result of production, either domestically or abroad, in the current period or in a previous one.
The term products is thus a synonym for goods and services.
2.28 Distributive transactions consist of transactions by which the value added generated by production is distributed to labour, capital and government and transactions involving the redistribution of income and wealth (taxes on income and wealth and other transfers).
The SNA draws a distinction between current and capital transfers, with the latter deemed to redistribute saving or wealth rather than income.
(This distinction is discussed in detail in chapter 8.)
2.29 Transactions in financial instruments (or financial transactions) refer to the net acquisition of financial assets or the net incurrence of liabilities for each type of financial instrument.
Such changes often occur as counterparts of non-financial transactions.
They also occur as transactions involving only financial instruments.
Transactions in contingent assets and liabilities are not considered transactions in the SNA (see chapter 11).
2.30 Other accumulation entries cover transactions and other economic flows not previously taken into account that change the quantity or value of assets and liabilities.
They include acquisitions less disposals of non-produced non-financial assets, other economic flows of non-produced assets, such as discovery or depletion of subsoil resources or transfers of other natural resources to economic activities, the effects of non-economic phenomena such as natural disasters and political events (wars for example) and finally, they include holding gains or losses, due to changes in prices, and some minor items (see chapter 12).
2.31 In order to provide more useful answers to the questions raised in the analysis of flows, some transactions are not recorded in the SNA as they might be directly observed.
The SNA often uses categories which are more closely identified with an economic concept.
For example, gross fixed capital formation, a subcategory of transactions in goods and services, is broader than the limited coverage thought of as “purchases of fixed assets”. In order to be closer to an economic concept, it covers the acquisition of new and existing fixed assets, through purchases, barter transactions or own-account capital formation, less the disposal of existing assets, through sales or barter transactions.
2.32 As the previous example shows, the SNA also often uses categories which are compacted, that is, are the result of combining a number of elementary transactions.
The term changes in inventories, for example, refers to the difference between entries into and withdrawals from inventories and recurrent losses.
The same netting happens for transactions in financial instruments.
All transactions in an instrument held as an asset (or as a liability) are grouped under the heading of this instrument.
The item “loans,” for example, covers issuance of new loans, conversions, and redemptions or cancellations of existing loans.
Finally, some categories of transactions in the SNA, such as distributive transactions concerning interest and net nonlife insurance premiums, require an actual transaction to be split into parts.
2.33 Assets and liabilities are the components of the balance sheets of the total economy and institutional sectors.
In contrast to the accounts that show economic flows, a balance sheet shows the stocks of assets and liabilities held at one point in time by each unit or sector or the economy as a whole.
Balance sheets are normally constructed at the start and end of an accounting period but they can in principle be constructed at any point in time.
However, stocks result from the accumulation of prior transactions and other flows, and they are modified by future transactions and other flows.
Thus stocks and flows are closely related.
2.34 The coverage of assets is limited to those assets which are subject to ownership rights and from which economic benefits may be derived by their owners by holding them or using them in an economic activity as defined in the SNA.
Consumer durables, human capital and those natural resources that are not capable of bringing economic benefits to their owners are outside the scope of assets in the SNA.
2.35 The classification of assets distinguishes, at the first level, financial and non-financial (produced and non-produced) assets (see chapter 10).
Most non-financial assets generally serve two purposes.
They are primarily objects usable in economic activity and, at the same time, serve as stores of value.
Financial assets are necessarily and primarily stores of value, although they may also fulfil other functions.
2.36 Goods and services, also called products, are the result of production.
They are exchanged and used for various purposes; as inputs in the production of other goods and services, as final consumption or for investment.
The SNA makes a conceptual distinction between market, own final use and non-market goods and services, allowing in principle any kind of good or service to be any of these three types.
2.37 Institutional units such as corporations may produce various types of goods and services.
These goods and services result from processes of production which may differ as regards materials and supplies consumed, kind of equipment and labour employed and techniques used.
In other words, they may come from different production activities.
In order to study transactions in goods and services in detail, the SNA uses the Central Product Classification Version 2 (CPC) 2 (United Nations 2008b).
2.38 To study production and production functions in detail, it is necessary to refer to more homogeneous units.
The ideal solution would be to be able to identify and observe units that engaged in only one production activity.
As it is also necessary to give a picture of the distribution of production in space, this unit should also be in a single location or nearby sites.
In practice, it is not always feasible to distinguish units of production engaged in a single activity, and for which the necessary data are available, inside multiactivity units.
Inevitably, therefore, some secondary activities that cannot be separated are covered.
For that reason, for the detailed study of production, the SNA uses a unit which, in addition to its principal activity, may cover secondary activities.
This unit is the establishment.
2.39 Establishments that have the same principal activity are grouped into industries according to the International Standard Industrial Classification of All Economic Activities Revision 4 (ISIC, Rev.4) (United Nations, 2008a).
2.40 Given the fundamental role played by the market in modern economies, the SNA distinguishes, as an essential feature of its structure, between establishments that are market producers, producers for own final use and non-market producers.
Market establishments produce goods and services mostly for sale at prices that are economically significant.
Producers for own final use produce goods and services mostly for final consumption or fixed capital formation by the owners of the enterprises in which they are produced.
Non-market establishments supply most of the goods and services they produce without charge or at prices that are not economically significant.
2.41 There is a hierarchical relationship between institutional units and establishments.
An institutional unit contains one or more entire establishment(s); an establishment belongs to one and only one institutional unit.
2.42 The concept of purpose, or function, relates to the type of need a transaction or group of transactions aims to satisfy or the kind of objective it pursues.
Transactions are first analysed in the SNA according to their nature.
Then, for certain sectors or kind of transactions, they are analysed from the expenditure side, by purpose, answering the earlier question “for what purpose?” Classification by purpose is described in the context of the supply and use tables in chapter 14.
2.43 The SNA utilizes the term resources for transactions which add to the amount of economic value of a unit or a sector.
For example, wages and salaries are a resource for the unit or sector receiving them.
Resources are by convention shown on the right-hand side of the current accounts.
The left-hand side of the accounts, which includes transactions that reduce the amount of economic value of a unit or sector, is termed uses.
To continue the example, wages and salaries are a use for the unit or sector that must pay them.
2.44 Balance sheets are presented with liabilities and net worth (the difference between assets and liabilities) on the right-hand side and assets on the left-hand side.
Comparing two successive balance sheets gives changes in liabilities and net worth and changes in assets.
2.45 The accumulation accounts and balance sheets being fully integrated, the right-hand side of the accumulation accounts is called changes in liabilities and net worth and their left-hand side is called changes in assets.
In the case of transactions in financial instruments, the changes in liabilities are often referred to as (net) incurrence of liabilities and the changes in assets as (net) acquisition of financial assets.
2.46 A good may be held and be processed by a unit that does not have title to the ownership of the good.
One example is a good given to a unit for repair.
The activity of the repairer is only the cost incurred to effect the repair and the cost of the good being repaired does not feature in the accounts of the repairer.
This is obvious and uncontroversial for every day types of repairs such as repairing shoes or a vehicle.
However, the same principle also applies when one unit processes goods on behalf of another unit.
For example, one unit may receive a set of components from another unit and return the assembled product.
2.47 Within the SNA, a distinction is made between legal ownership and economic ownership.
The criterion for recording the transfer of products from one unit to another in the SNA is that the economic ownership of the product changes from the first unit to the second.
The legal owner is the unit entitled in law to the benefits embodied in the value of the product.
A legal owner may, though, contract with another unit for the latter to accept the risks and rewards of using the product in production in return for an agreed amount that has a smaller element of risk in it. Such an example is when a bank legally owns a plane but allows an airline to use it in return for an agreed sum.
It is the airline that then must take all the decisions about how often to fly the plane, to where and at what cost to the passengers.
The airline is then said to be the economic owner of the plane even though the bank remains the legal owner.
In the accounts, it is the airline and not the bank that is shown as purchasing the plane.
At the same time, a loan, equal in value to payments due to the bank for the duration of the agreement between them is imputed as being made by the bank to the airline.
2.48 The same principle applies to goods sent abroad for processing.
If the processor is not concerned about how and where and for how much the item he is assembling is sold, the economic ownership remains with the legal owner.
Even though the goods may physically pass from one country to another, they are not treated as imports and exports because the economic ownership has not changed.
2.49 Within a large enterprise with several specialized establishments, it is not immediately obvious whether a delivery of goods from one establishment to another is to be recorded or not.
Since all the establishments have the same ownership, the distinction between economic and legal ownership needs refining.
The criterion used is to record a delivery when the receiving unit assumes the responsibility, in terms of economic risks and rewards, of the items delivered.
If the receiving unit does not accept this responsibility, for example by returning the processed items to the original sending unit, then it is only performing a service on the items and they are not recorded as being delivered from the first unit to the second.
2.50 For a unit or sector, national accounting is based on the principle of double entry, as in business accounting.
Each transaction must be recorded twice, once as a resource (or a change in liabilities) and once as a use (or a change in assets).
The total of transactions recorded as resources or changes in liabilities and the total of transactions recorded as uses or changes in assets must be equal, thus permitting a check of the consistency of the accounts.
Economic flows that are not transactions have their counterpart directly as changes in net worth.
This is shown in section D below (and also in chapter 12, which describes the other changes in the volume of assets account and the revaluation account).
2.51 The implications of the double entry principle are easy to grasp in a number of cases.
A household's purchase on credit of a consumer good will appear as a use under final consumption expenditure and as an incurrence of a liability under loans.
If this good is paid for in cash, however, the picture is less simple.
The counterpart of a use under final consumption is now a negative acquisition of assets, under currency and deposits.
Other transactions are more complicated.
Output of goods is recorded as a resource in the account of a producer, its counterpart among uses is recorded as a positive change in inventories.
When the output is sold, there is a negative change in inventories, that is, a negative acquisition of non-financial assets, balanced by a positive acquisition of financial assets, for instance under currency and deposits.
In many instances, as explained earlier, the difficulty of seeing how the double entry principle applies is due to the fact that the categories of transactions in the SNA are compacted.
2.52 In principle, the recording of the consequences of an action as it affects all units and all sectors is based on a principle of quadruple entry accounting, because most transactions involve two institutional units.
Each transaction of this type must be recorded twice by each of the two transactors involved.
For example, a social benefit in cash paid by a government unit to a household is recorded in the accounts of government as a use under the relevant type of transfers and a negative acquisition of assets under currency and deposits; in the accounts of the household sector, it is recorded as a resource under transfers and an acquisition of assets under currency and deposits.
The principle of quadruple entry accounting applies even when the detailed from-whom-to-whom relations between sectors are not shown in the accounts.
Correctly recording the four transactions involved ensures full consistency in the accounts.
2.53 As noted in the introduction, the data available to the national accounts compiler may not in practice initially satisfy the consistency requirements of the SNA.
The accounts of the nation are not kept in the same way as a business unit or government, that is, by actually recording all flows occurring in a given period.
They rely on accounts of various units that are not always consistent, complete or even available.
For household accounts in particular, other statistics such as those from household surveys have to be used.
Reconciling disparate data sources within the consistency constraints imposed by the quadruple entry accounting principle is fundamental to compiling a complete set of accounts.
2.54 One implication of the quadruple entry accounting principle is that transactions, or other flows, have to be recorded at the same point of time in the various accounts in question for both units involved.
The same applies to stocks of financial assets and liabilities.
2.55 The general principle in national accounting is that transactions between institutional units have to be recorded when claims and obligations arise, are transformed or are cancelled.
This time of recording is called an accrual basis.
Transactions internal to one institutional unit are equivalently recorded when economic value is created, transformed or extinguished.
Generally speaking, all transactions, however they are described, can always be viewed as dealing with economic value.
2.56 One has thus to distinguish carefully between the point in time at which a transaction and the corresponding cash movement take place.
Even when a transaction (a purchase or sale of a good, for example) and the payment or receipt are simultaneous, the two aspects exist.
The purchaser incurs a liability, the seller acquires a claim as a counterpart of the delivery of the good.
Then the liability and the claim are cancelled by the payment.
In most cases there is a delay between the actual transaction and the corresponding payment or receipt.
In principle, national accounts record actual transactions on an accrual basis, not on a cash basis.
Conceptually national accounts follow the same principle as business accounting.
2.57 Although the principle is clear, its implementation is far from simple.
Institutional units do not always apply the same rules.
Even when they do, differences in actual recording may occur for practical reasons such as delays in communication.
Consequently, transactions may be recorded at different times by the transactors involved, sometimes even in a different accounting period.
Discrepancies exist which national accounts must eliminate by after-the-fact adjustments.
In addition, because the time at which a claim or liability arises is not always unambiguous, further implementation problems arise.
The rules and conventions adopted in the SNA for particular transactions are specified in subsequent chapters, in particular in chapter 3.
2.58 It also follows from the quadruple entry accounting principle that a transaction must be recorded at the same value through all the accounts of both sectors involved.
The same principle applies to assets and liabilities.
It means that a financial asset and its liability counterpart have to be recorded for the same amount in the creditor and the debtor accounts.
2.59 Transactions are valued at the actual price agreed upon by the transactors.
Market prices are thus the basic reference for valuation in the SNA.
In the absence of market transactions, valuation is made according to costs incurred (for example, non-market services produced by government) or by reference to market prices for analogous goods or services (for example, services of owner-occupied dwellings).
2.60 Assets and liabilities are recorded at current values at the time to which the balance sheet relates, not at their original valuation.
Theoretically, national accounts are based on the assumption that the values of assets and liabilities are continuously uprated to current values, even if in fact up-rating occurs only periodically.
The appropriate valuation basis for assets and liabilities is the value at which they might be bought in markets at the time the valuation is required.
Ideally, values observed in markets or estimated from observed market values should be used.
When this is not possible, current values may be approximated for balance sheet valuation in two other ways, by accumulating and revaluing transactions over time or by estimating the discounted present value of future returns expected from a given asset (see also chapter 13).
2.61 Internal transactions are valued at current values at the time these transactions occur, not at the original valuation.
These internal transactions include entries into inventories, withdrawals from inventories, intermediate consumption and consumption of fixed capital.
2.62 Various methods exist of treating the effect of taxes on products, subsidies and trade and transport margins on the valuation of transactions on products (goods and services).
2.63 The preferred method of valuation of output is at basic prices, although producers' prices may be used when valuation at basic prices is not feasible.
The distinction is related to the treatment of taxes and subsidies on products.
Basic prices are prices before taxes on products are added and subsidies on products are subtracted.
Producers' prices include, in addition to basic prices, taxes less subsidies on products other than value added type taxes.
Thus three valuations of output may be encountered; at basic prices, at producers' prices in the absence of value added type taxes, and at producers' prices in the presence of value added type taxes.
2.64 In the same set of accounts and tables, all transactions on the uses of goods and services (such as final consumption, intermediate consumption, capital formation) are valued at purchasers' prices.
Purchasers' prices are the amounts paid by the purchasers, excluding the deductible part of value added type taxes.
Purchasers' prices are the actual costs to the users.
2.65 The various methods of valuing output, with intermediate consumption always at purchasers' prices, imply consequences for the content and uses of value added (the difference between output and intermediate consumption) by a producer, a sector or an industry.
When output is valued at basic prices, value added includes besides primary incomes due to labour and capital, only taxes less subsidies on production other than taxes less subsidies on products; when output is valued at producers' prices, value added includes taxes, less subsidies, on products other than value added type taxes (which means all taxes, less subsidies, on products when value added type taxes do not exist).
A complementary definition of value added is at factor cost, which excludes taxes on production of any kind, though this concept is not used explicitly in the SNA.
2.66 Up until this point, only current values have been described.
In addition, the SNA includes calculation of some transactions in volume terms, that is, the use of the systems of prices which prevailed in a past period.
The changes over time in the current values of flows of goods and services and of many kinds of assets can be decomposed into changes in the prices of these goods and services or assets and changes in their volumes.
Flows or stocks in volume terms take into account the changes in the price of each item covered.
However, many flows or stocks do not have price and quantity dimensions of their own.
Their current values may be deflated by taking into account the change in the prices of some relevant basket of goods and services or assets, or the change in the general price level.
In the latter case, flows or stocks are said to be in real terms (that is, they represent values at constant purchasing power).
For example, the SNA provides for the calculation of income in real terms.
Interspatial comparisons raise similar but even more complex problems than inter-temporal comparisons because countries at different stages of development are involved.
2.67 Both inter-temporal and interspatial measures are discussed in chapter 15.
2.68 Consolidation may cover various accounting procedures.
In general, it refers to the elimination from both uses and resources of transactions which occur between units that are grouped together and to the elimination of financial assets and the counterpart liabilities.
2.69 As a matter of principle, flows between constituent units within subsectors or sectors are not consolidated.
However, consolidated accounts may be compiled for complementary presentations and analyses.
Even then, transactions appearing in different accounts are never consolidated so that the balancing items are not affected by consolidation.
Consolidation may be useful, for example, for the government sector as a whole, thus showing the net relations between government and the rest of the economy.
This possibility is elaborated in chapter 22.
2.70 Accounts for the total economy, when fully consolidated, give rise to the rest of the world account (external transactions account).
2.71 Consolidation must be distinguished from netting.
For current transactions, netting refers to offsetting uses against resources.
The SNA does this only in a few specific instances; for example, taxes on products may be shown net of subsidies on products.
For changes in assets or changes in liabilities, netting may be envisaged in two ways.
The first case is where various types of changes in assets (for example, entries in inventories and withdrawals from inventories) or various types of liabilities (for example, incurrence of a new debt and redemption of an existing debt) are netted.
The second case is where changes in financial assets and changes in liabilities (or, in the balance sheet, financial assets and liabilities themselves) related to a given financial instrument are netted.
As a matter of principle, the SNA discourages netting beyond the degree shown in the classifications of the SNA.
Netting financial assets (changes in financial assets) against liabilities (changes in liabilities) is especially to be avoided.
Netting is discussed in chapters 3 and 11.
2.72 With very few exceptions, in the SNA the term “net” is used only in connection with the balancing items of the accounts in juxtaposition to the term “gross”. The exceptions are the use of the expressions net worth, net borrowing and net lending in relation to the accumulation accounts and net premiums in the context of insurance.
2.73 With the tools introduced in sections B and C above, all flows and stocks can be recorded.
This is done in the accounts of the SNA.
Each account relates to a particular aspect of economic behaviour.
It contains flows or stocks and shows the entries for an institutional unit, a group of units such as a sector or the rest of the world.
Typically the entries in the account do not conceptually balance so a balancing item must be introduced.
Balancing items are meaningful measures of economic performance in themselves.
When calculated for the whole economy, they constitute significant aggregates.
2.74 The accounts can be divided into two main classes:
a. The integrated economic accounts; and
b. The other parts of the accounting structure.
2.75 The integrated economic accounts use the first three of the conceptual elements of the SNA described in section B, (institutional units and sectors, transactions and assets and liabilities) together with the concept of the rest of the world to form a wide range of accounts.
These include the full sequence of accounts for institutional sectors, separately or collectively, the rest of the world and the total economy.
The full sequence of accounts is described briefly below.
A full description of each of the accounts concerned is the subject matter of chapters 6 to 13.
The rest of the world account is described in chapter 26.
2.76 The other parts of the accounting system bring in the three other conceptual elements from section B, that is, establishments, products and purposes as well as population and employment.
The accounts covered here include the supply and use framework, which is the subject of chapter 14, population and employment tables which are described in chapter 19, the three dimensional analysis of financial transactions and stocks of financial assets and liabilities, showing the relations between sectors (fromwhom-to-whom) described in chapter 27 and functional analyses, whereby certain transactions of institutional sectors are presented according to the purpose they serve.
These appear in a number of chapters including chapter 14.
2.77 The sections following are devoted to:
a. The full sequence of accounts;
b. An integrated presentation of the accounts including the goods and services account, the accounts for the rest of the world and an examination of the aggregates of the SNA; and
c. The other parts of the accounting structure.
2.78 Before presenting the full sequence of accounts for institutional units and sectors, some preliminary remarks are useful.
The purpose of this subsection is to explain the accounting structure of the SNA in general, not to show the precise content of the accounts for each specific unit or sector.
The accounting structure is uniform throughout the SNA.
It applies to all institutional units, subsectors, sectors and the total economy.
However, some accounts may not be relevant for certain sectors.
Similarly, not all transactions are relevant for each sector and, when they are, they may constitute resources for some sectors and uses for others.
Table 2.1: The production account
2.79 Another remark relates to the way the classification of transactions is used when presenting the general structure of the accounts.
Section B above shows only the main categories of transactions, not the detailed ones which are displayed in the relevant chapters of the publication.
However, in order to make the accounts clear, it is necessary to include a number of specific transactions.
This is done by using the actual classification of transactions in the SNA at a level of detail sufficient for a good understanding of the accounts.
Definitions of these transactions are not given at this stage unless absolutely necessary but appear in subsequent chapters.
2.80 It is also worth noting that balancing items can be expressed gross or net, the difference being the consumption of fixed capital.
Conceptually, net balancing items are much more meaningful.
However, gross concepts, specifically gross aggregates, are widely used and gross accounts are often estimated more easily, accurately and promptly than the net ones.
In order to accommodate both solutions and to ease the integrated presentation of the accounts and aggregates, a double presentation of balancing items is allowed.
2.81 Finally, it has to be said that the sequence of accounts shows the accounting structure of the SNA; it is not necessarily a format for publishing the results.
2.82 The accounts are grouped into three categories: current accounts, accumulation accounts and balance sheets.
2.83 Current accounts deal with production, the generation, distribution and use of income.
Each account after the first starts with the balancing item of the previous one recorded as resources.
The last balancing item is saving which, in the context of the SNA, is that part of income originating in production, domestically or abroad that is not used for final consumption.
2.84 Accumulation accounts cover changes in assets and liabilities and changes in net worth (the difference for any institutional unit or group of units between its assets and liabilities).
The accounts concerned are the capital account, financial account, the other changes in the volume of assets account and the revaluation account.
The accumulation accounts show all changes that occur between two balance sheets.
2.85 Balance sheets present stocks of assets and liabilities and net worth.
Opening and closing balance sheets are included with the full sequence of accounts.
Even when balance sheets are not compiled, a clear understanding of the conceptual relationship between accumulation accounts and balance sheets is necessary if the accumulation accounts themselves are to be correctly elaborated.
2.86 The production account (shown in table 2.1) is designed to show value added as one of the main balancing items in the SNA.
Consequently, it does not cover all transactions linked with the production process, but only the result of production (output) and the using up of goods and services when producing this output (intermediate consumption).
Intermediate consumption does not cover the progressive wear and tear of fixed capital.
The latter is recorded as a separate transaction (consumption of fixed capital) which is the difference between the gross and net balancing items.
2.87 As already explained in section C, different types of valuation of output may be used according to the choice made between basic prices and producers’ prices and, in the latter case, the existence or absence of value added type taxes.
Consequently, the extent to which taxes (less subsidies) on products are included in value added differs.
Table 2.2: The generation of income account
Table 2.3: The allocation of primary income account
2.88 All institutional sectors have a production account.
However, in the production account of institutional sectors, output and intermediate consumption are shown in total only, not broken down by products.
2.89 The balancing item of the production account is value added.
Like all balancing items in the current accounts, value added may be measured gross or net.
2.90 The process of distribution and redistribution of income is so important that it is worth distinguishing various steps and depicting them separately in different accounts.
The distribution of income is decomposed into three main steps: primary distribution, secondary distribution and redistribution in kind.
As long as all kinds of distributive current transactions included in the SNA are actually measured, increasing the number of accounts adds very little to the work already done, but it allows the introduction of balancing items that are meaningful concepts of income.
2.91 The primary distribution of income account shows how gross value added is distributed to labour, capital, government and, where necessary, flows to and from the rest of the world.
In fact the primary distribution of income account is never presented as a single account but always as two sub-accounts.
The first of these is the generation of income account (shown in table 2.2) in which value added is distributed to labour (compensation of employees), capital and government (taxes on production and imports less subsidies as far as they are included in the valuation of output).
The distribution to capital appears in the balancing item in this account, operating surplus or mixed income.
2.92 The allocation of primary income account (table 2.3) shows the remaining part of the primary distribution of income.
It contains operating surplus or mixed income as a resource.
It records, for each sector, property income receivable and payable, and compensation of employees and taxes, less subsidies, on production and imports receivable by households and government, respectively.
Since transactions of this kind may appear in the rest of the world account, these must be included also.
2.93 The balancing item of the allocation of primary income account (and of the complete primary distribution of income account) is the balance of primary income.
2.94 For non-financial and financial corporations, the allocation of primary income account is further subdivided in order to show an additional balancing item, entrepreneurial income, which is closer to the concept of current profit before tax familiar in business accounting.
This balancing item and the related sub-accounts are shown in chapter 7.
2.95 The secondary distribution of income account (table 2.4) covers redistribution of income through current transfers other than social transfers in kind made by government and NPISHs to households.
Social transfers in kind are recorded in the redistribution of income in kind account.
The secondary distribution of income account records as resources, in addition to balance of primary incomes, current taxes on income, wealth, etc. and other current transfers except social transfers in kind.
On the uses side, the same types of transfers are also recorded.
Since these transfers are resources for some sectors and uses for others also, their precise content varies from one sector to another.
2.96 It is worth explaining in some detail here the way social contributions are recorded in the SNA.
Although employers normally pay social contributions on behalf of their employees directly to the social insurance schemes, in the SNA these payments are treated as if they were made to employees who then make payments to social insurance schemes.
In terms of the accounts, this means that they first appear as a component of compensation of employees in the use side of the generation of income account of employers and the resource side of the allocation of primary income account of households (adjusted for external flows in compensation of employees).
They are then recorded as uses in the secondary distribution of income account of households (and possibly of the rest of the world), and as resources of the sectors managing social insurance schemes.
All employers’ social contributions follow this route.
This way of recording transactions as if they followed another course is often called “rerouting”.
2.97 The balancing item of the secondary distribution of income account is disposable income.
For households, this is the income that can be used for final consumption expenditure and saving.
For non-financial and financial corporations, disposable income is income not distributed to owners of equity remaining after taxes on income are paid.
2.98 Because of the nature of the transactions concerned, this account is significant only for government, households and NPISHs. Social transfers in kind cover two more elements in the portrayal of the redistribution process.
The first of these is non-market production by government and NPISHs of individual services and the second is the purchase by government and NPISHs of goods and services for transfer to households free or at prices that are not economically significant.
The redistribution of income in kind account (table 2.5) records social transfers in kind as resources for households and uses of government and NPISHs.
Table 2.4: The secondary distribution of income account
2.99 The purpose of this account is fourfold.
In the first place it aims at giving a clearer picture of the role of government as the provider of goods and services to individual households.
Secondly, it delivers a more complete measure of household income.
Thirdly, it facilitates international comparisons and comparisons over time when economic and social arrangements differ or change.
Fourthly, it gives a more complete view of the redistribution process between subsectors or other groupings of households.
Redistribution of income in kind is a tertiary distribution of income.
2.100 The balancing item of the redistribution of income in kind account is adjusted disposable income.
2.101 The use of income account exists in two variants, the use of disposable income account (table 2.6) and the use of adjusted disposable income account (table 2.7).
The use of disposable income account has the balancing item from the secondary distribution of income account, disposable income, as a resource.
The use of adjusted disposable income account has the balancing item from the redistribution of income in kind account, adjusted disposable income, as a resource.
Both accounts show how, for those sectors that undertake final consumption (that is, government, NPISHs and households), disposable income or adjusted disposable income is allocated between final consumption and saving.
In addition, both variants of the use of income account include, for households and for pension funds, an adjustment item for the change in pension entitlements which relates to the way transactions between households and pension funds are recorded in the SNA.
This adjustment item, which is explained in chapter 9, is not discussed here.
2.102 The difference between the resources of the two variants of the use of income account depends on which balancing item is carried down from an earlier account.
In terms of uses, the difference is between whether final consumption expenditure or actual final consumption is recorded.
The former is recorded in the use of disposable income account; the latter in the use of adjusted disposable income account.
2.103 Final consumption expenditure covers transactions in final consumption of goods and services for which a sector is the ultimate bearer of the expense.
Government and NPISHs produce non-market goods and services in their production account, where intermediate consumption and compensation of employees are recorded as uses.
Final consumption expenditure of these producers relates to the value of their output of non-market goods and services, less their receipts from the sale of non-market goods and services at prices which are not economically significant.
However, it also covers goods and services that are purchased by government or NPISHs for ultimate transfer, without transformation, to households.
2.104 Actual final consumption of households covers goods and services which are effectively available for individual consumption by households, regardless of whether the ultimate bearer of the expense is government, NPISHs or households themselves.
Actual final consumption of government and NPISHs is equal to consumption expenditure less social transfers in kind, or, in other words, collective consumption.
Table 2.5: The redistribution of income in kind account
Table 2.6: The use of disposable income account
Table 2.7: The use of adjusted disposable income account
2.105 At the level of total economy, disposable income and adjusted disposable income are equal, as are final consumption expenditure and actual final consumption.
They differ only when considering the relevant sectors.
For each sector, the difference between final consumption expenditure and actual final consumption is equal to social transfers in kind, provided or received.
It is also equal to the difference between disposable income and adjusted disposable income.
Thus the figures for saving are the same in both variants of the use of income account as income on the resources side and consumption on the uses side differ by the same amount.
2.106 The balancing item of the use of income account, in its two variants, is saving.
Saving ends the subsequence of current accounts.
2.107 Saving, being the balancing item of the last current account is the starting element of accumulation accounts.
2.108 A first group of accounts covers transactions which would correspond to all changes in assets or liabilities and net worth if saving and capital transfers were the only sources of changes in net worth.
The accounts concerned are the capital account and the financial account.
These two accounts are distinguished in order to show a balancing item which is useful for economic analysis, that is, net lending or net borrowing.
2.109 A second group of accounts relates to changes in assets, liabilities and net worth due to other factors.
Examples are discoveries or depletion of subsoil resources, destruction by political events, such as war, or by natural disasters, such as earthquakes.
Such factors actually change the volume of assets, either physically or quantitatively.
Other changes in assets may also be linked with changes in the level and structure of prices.
In the latter case, only the value of assets and liabilities is modified, not their volume.
Thus the second group of accumulation accounts is subdivided between an account for other changes in volume of assets and an account for revaluation.
2.110 The capital account (table 2.8) records transactions linked to acquisitions of non-financial assets and capital transfers involving the redistribution of wealth.
The right-hand side includes saving, net, and capital transfers receivable and capital transfers payable (with a minus sign) in order to arrive at that part of changes in net worth due to saving and capital transfers.
The capital account includes among uses the various types of investment in non-financial assets.
Because consumption of fixed capital is a negative change in fixed assets, it is recorded, with a negative sign, on the left-hand side of the account.
Recording gross fixed capital formation less consumption of fixed capital on the same side is equivalent to recording net fixed capital formation.
2.111 The balancing item of the capital account is called net lending when positive and measuring the net amount a unit or a sector finally has available to finance, directly or indirectly, other units or sectors, or net borrowing when negative, corresponding to the amount a unit or a sector is obliged to borrow from others.
Table 2.8: The capital account
Table 2.9: The financial account
2.112 The financial account (table 2.9) records transactions in financial instruments for each financial instrument.
These transactions in the SNA show net acquisition of financial assets on the left-hand side or net incurrence of liabilities on the right-hand side.
2.113 The balancing item of the financial account is again net lending or net borrowing, which appears this time on the right-hand side of the account.
In principle, net lending or net borrowing is measured identically in both the capital and financial accounts.
In practice, achieving this identity is one of the most difficult tasks in compiling national accounts.
2.114 The other changes in the volume of assets account (table 2.10) records the effect of exceptional events that cause not only the value but also the volume of assets and liabilities to vary.
In addition to the kind of events referred to above, such as the consequences of war or earthquakes, this account also includes some adjustment elements such as changes in classification and structure which may or may not have an influence on net worth (see chapter 12).
The balancing item, changes in net worth due to other changes in the volume of assets, is recorded on the right-hand side.
2.115 The revaluation account (table 2.11) records holding gains or losses.
It starts with nominal holding gains and losses.
This item records the full change in value of the various assets or liabilities due to the change in the prices of those assets and liabilities since the beginning of the accounting period or the time of entry into stock and the time of exit from stock or the end of the accounting period.
2.116 Just as transactions and other flows in assets appear on the left of the account and transactions in liabilities on the right, so nominal gains or losses on assets appear on the left-hand side of the revaluation account, while nominal gains and losses on financial liabilities are recorded on the right-hand side.
A positive revaluation of financial liabilities is equivalent to a nominal holding loss; a negative revaluation of liabilities is equivalent to a nominal holding gain.
Table 2.10: The other changes in the volume of assets account
Table 2.11: The revaluation account
2.117 The balancing item of the revaluation account is changes in net worth due to nominal holding gains and losses.
2.118 Nominal holding gains and losses are subdivided between two components.
The first shows the revaluation in proportion to the general price level which is obtained by applying, during the same periods of time, an index of the change in general price level to the initial value of all assets or liabilities, even to those that are fixed in monetary terms.
The results of this operation are called neutral holding gains and losses because all assets and liabilities are revalued so as to preserve exactly their purchasing power.
2.119 The second component of holding gains and losses shows the difference between nominal holding gains and losses and neutral holding gains and losses.
This difference is called real holding gains and losses.
If the nominal holding gains and losses are higher than the neutral holding gains and losses, there is a real holding gain, due to the fact that on average the actual prices of the assets in question have increased more (or decreased less) than the general price level.
In other words, the relative prices of its assets have increased.
Similarly, a decrease in relative prices of assets leads to a real holding loss.
2.120 Each of the three types of holding gains or losses are subdivided according to the main groups of assets and liabilities, a decomposition which is necessary even in a simplified accounting presentation.
Changes in net worth due to nominal holding gains and losses can be subdivided into changes due to neutral holding gains and losses and changes due to real holding gains and losses.
2.121 The opening and closing balance sheets (table 2.12), display assets on the left-hand side, liabilities and net worth on the right-hand side.
Assets and liabilities, as previously explained, are valued at the prices of the date a balance sheet is established.
2.122 The balancing item of a balance sheet is net worth, the difference between assets and liabilities.
Net worth is equivalent to the present value of the stock of economic value a unit or a sector holds.
2.123 The changes in the balance sheet recapitulate the content of the accumulation accounts, that is, the entry for each asset or liability is the sum of the entries in the four accumulation accounts corresponding to that asset or liability.
The changes in net worth can be calculated from these entries but must by definition be equal to the changes in net worth due to saving and capital transfers from the capital account plus changes in net worth due to other changes in the volume of assets from the other changes in the volume of assets account plus nominal holding gains and losses from the revaluation account.
2.124 Conceptually, the entries for the closing balance sheet are equal, asset by asset and liability by liability to the entries in the opening balance sheet plus the changes recorded in the four accumulation accounts.
2.125 It is now possible to put together the various elements which have been introduced in the previous subsections and to present in detail the integrated economic accounts. Table 2.13 gives a simplified version of the integrated current accounts.
It is formed by taking each of tables 2.1, 2.2, 2.3, 2.4 and 2.6 and placing them immediately one under the other.
In this presentation the transactions and other flows are shown in the middle of the table with columns to the left for the uses and columns to the right for resources.
In a full presentation of this type there would be one column for each sector or subsector of interest.
In the interest of introducing the table in a simple manner, only four columns are shown in table 2.13.
The first of these represents the sum of all the five sectors of the total economy (nonfinancial corporations, financial corporations, general government, NPISHs and households).
There follows a column for the rest of the world, then one headed goods and services and the last is a column representing the sum of the previous three.
This column has little economic meaning but is a critical way of ensuring that the tables are complete and consistent since the totals on the left-hand side and right-hand side of the accounts must be equal line by line.
(When balancing items are shown as the last item in one account and the first in the next account, this equality is misaligned but still obvious.)
2.126 Table 2.14 shows the continuation of the integrated accounts, including the accumulation accounts and balance sheets as previously presented in tables 2.8, 2.9, 2.10, 2.11 and 2.12.
Here the columns to the left represent assets or changes in assets and columns to the right liabilities or changes in liabilities and net worth.
Together tables 2.13 and 2.14 make up the integrated economic accounts.
The data in the two tables are drawn from the numerical example that runs through the entire publication.
The tables for each account in chapters 6 to 13 are expanded versions of the tables shown here with columns for all institutional sectors and a full set of transactions and other flows for each of these accounts.
A composite version of the tables, with all the details just mentioned, appears in Annex 2.
2.127 The integrated economic accounts give a complete picture of the accounts of the total economy including balance sheets, in a way that permits the principal economic relations and the main aggregates to be shown.
This table shows, simultaneously, the general accounting structure of the SNA and presents a set of data for the institutional sectors, the economy as a whole and the rest of the world.
2.128 The presentation of the integrated accounts in this form is one of several ways in which a bird's eye view of the accounts can be obtained.
Another way is by means of a diagram such as figure 2.1, which gives the same information in schematic form.
2.129 The integrated economic accounts provide an overview of the economy as a whole.
As already indicated, the integrated presentation contains much more detail than has actually been included in the tables and may be used to give a more detailed view if so desired.
Columns might be introduced for subsectors.
The rest of the world column can be subdivided according to various geographical zones.
The column for goods and services may show market goods and services separately.
The classification of transactions in the rows might be used at more detailed levels, and so on. However, including more detail directly in this scheme at the same time would result in a very complicated and unmanageable table.
For this reason, more detailed analysis of production and transactions in goods and services, transactions in financial instruments, detailed balance sheets, as well as analysis by purpose are done in other frameworks.
These are presented in the next section and their links with the integrated economic accounts are also explained.
2.130 The rest of the world account covers transactions between resident and non-resident institutional units and the related stocks of assets and liabilities where relevant.
2.131 As the rest of the world plays a role in the accounting structure similar to that of an institutional sector, the rest of the world account is established from the point of view of the rest of the world.
A resource for the rest of the world is a use for the total economy and vice versa.
If a balancing item is positive, it means a surplus of the rest of the world and a deficit of the total economy, and vice versa if the balancing item is negative.
2.132 The external account of goods and services is shown at the same level as the production account for institutional sectors.
Imports of goods and services (499) are a resource for the rest of the world, exports (540) are a use.
The external balance of goods and services is (-41).
With a positive sign, it is a surplus of the rest of the world (a deficit of the nation) and vice versa.
To this are added or deducted the various kinds of taxes, compensation of employees and other current transfers payable to, and receivable from, the rest of the world.
The current external balance is -32, indicating a deficit for the rest of the world but a surplus for the total economy.
Again, if it had a positive sign, it would be a surplus of the rest of the world (a deficit of the total economy).
2.133 As noted above, the integrated presentation of the account includes a column on each side labelled goods and services.
Entries in these columns reflect the various transactions in goods and services that appear in the accounts of the institutional sectors.
Uses of goods and services in the institutional sectors accounts are reflected on the right-hand column for goods and services; resources of goods and services in the institutional sectors accounts are reflected on the left-hand column for goods and services.
On the resources side of the table, the figures appearing in the column for goods and services are the counterparts of the uses made by the various sectors and the rest of the world: exports (540), intermediate consumption (1 883), final consumption (1 399), gross fixed capital formation (376), changes in inventories (28) and acquisitions less disposals of valuables (10).
On the use side of the table, the figures in the column for goods and services are the counterparts of the resources of the various sectors and the rest of the world: imports (499) and output (3 604).
Taxes on products (less subsidies) are also included on the resource side of the accounts.
The coverage of this item varies according to the way output is valued (see the discussion on valuation in section C).
The part (possibly the total) of taxes on products (less subsidies on products), that is not included in the value of output does not originate in any specific sector or industry; it is a resource of the total economy.
In the numerical example taxes, less subsidies, on products (133) are shown directly in the column for goods and services.
They are a component of the value of the supply of goods and services which has no counterpart in the value of the output of any institutional sector.
2.134 The goods and services account is a particularly important account as it forms the basis of the most familiar definition of GDP. Table 2.15 shows the account in the same format as earlier tables in the chapter (though with numeric values included).
Table 2.12: The opening balance sheet, changes in assets and liabilities and closing balance sheet
Table 2.13: The integrated presentation of the full sequence of the current accounts
Table 2.14: The integrated presentation of the full sequence of the accumulation accounts and balance sheets
Figure 2.1: Diagram of the integrated accounts for the total economy
2.135 The aggregates of the SNA, such as value added, income, consumption and saving, are composite values which measure one aspect of the activity of the entire economy.
They are summary indicators and key magnitudes for purposes of macroeconomic analysis and comparisons over time and space.
The SNA aims to provide a simplified but complete and detailed picture of complex economies, so the calculation of the aggregates is neither the sole nor the main purpose of national accounting; nevertheless summary figures are very important.
2.136 Some aggregates may be obtained directly as totals of particular transactions in the SNA; examples are final consumption, gross fixed capital formation and social contributions.
Others may result from aggregating balancing items for the institutional sectors; examples are value added, balance of primary incomes, disposable income and saving.
They may need some further elaboration.
However, some of them are so commonly used that they deserve additional explanation at this early stage.
2.137 An overview of the aggregates in the SNA and the accounts in which they appear is given in figure 2.2.
2.138 Basically, GDP derives from the concept of value added.
Gross value added is the difference between output and intermediate consumption.
GDP is the sum of gross value added of all resident producer units plus that part (possibly the total) of taxes on products, less subsidies on products, that is not included in the valuation of output.
2.139 Next, GDP is also equal to the sum of the final uses of goods and services (all uses except intermediate consumption) measured at purchasers’ prices, less the value of imports of goods and services.
2.140 Finally, GDP is also equal to the sum of primary incomes distributed by resident producer units.
2.141 In principle, the concept of value added should exclude the allowance for consumption of fixed capital.
The latter, in effect, is not newly created value, but a reduction in the value of previously created fixed assets when they are used up in the production process.
Thus, theoretically, value added is a net concept.
This conclusion applies to domestic product as well; theoretically, domestic product should be a net concept.
Net domestic product (NDP) is obtained by deducting the consumption of fixed capital from GDP.
2.142 However, gross measures of product and income are commonly used for various reasons.
The depreciation of fixed assets as calculated in business accounting does not generally meet the requirements of the SNA.
The calculation of consumption of fixed capital requires that statisticians estimate the present value of the stock of fixed assets, the lifetime of various types of assets, patterns of depreciation, etc.
Not all countries make such calculations, and when they do there may be differences in methodology (with some of them using business data even when inadequate).
Consequently, gross figures are more often available, or available earlier, and they are generally considered more comparable between countries.
So GDP is broadly used even if it is, on a conceptual basis, economically inferior to NDP.
However, NDP should also be calculated, with improved estimates of consumption of fixed capital when necessary, in order to provide a significant tool for various types of analysis.
2.143 Primary incomes generated in the production activity of resident producer units are distributed mostly to other resident institutional units; however, part of them may go to non-resident units.
Symmetrically, some primary incomes generated in the rest of the world may come from resident units.
This leads to the definition and measurement of gross national income (GNI).
GNI is equal to GDP less primary incomes payable to non-resident units plus primary incomes receivable from non-resident units.
In other words, GNI is equal to GDP less taxes (less subsidies) on production and imports, compensation of employees and property income payable to the rest of the world plus the corresponding items receivable from the rest of the world.
Thus GNI is the sum of gross primary incomes receivable by resident institutional units or sectors.
In contrast to GDP, GNI is not a concept of value added, but a concept of income.
2.144 By deducting the consumption of fixed capital from GNI, net national income (NNI) is obtained.
The remarks above about the conceptual relevance of the net concept in case of product apply even more strongly to national income.
Table 2.15: The goods and services account
2.145 Primary incomes receivable by resident institutional units may be used in part to make transfers to non-resident units and resident units may receive transfers originating out of primary incomes in the rest of the world.
Gross national disposable income is equal to GNI less current transfers (other than taxes, less subsidies, on production and imports) payable to non-resident units, plus the corresponding transfers receivable by resident units from the rest of the world.
Gross national disposable income measures the income available to the total economy for final consumption and gross saving.
By deducting the consumption of fixed capital from gross national disposal income, net national disposable income is obtained.
National disposable income is the sum of disposable income of all resident institutional units or sectors.
2.146 All the aggregates referred to above are calculated in current values.
The influence of changes in prices may also be eliminated.
Domestic product is calculated in volume terms in order to measure the real change that occurs from one period to another.
This is possible because output, intermediate consumption and taxes on products, less subsidies on products can all be calculated in volume terms.
On the other hand, aggregates of income may not be expressed in volume terms because income flows may not, strictly speaking, be broken down into a quantity and a price component.
They may, however, be calculated at constant purchasing power, which is described as being in real terms.
When moving from domestic product in volume terms to national income in real terms, the effect of changes in the terms of trade between the total economy and the rest of the world must be taken into account.
The necessary adjustment is described in chapter 15.
2.147 The detailed analysis of production by industries and flows of goods and services by kind of products is an integral part of the integrated central framework.
It would be feasible to include further details in the integrated economic accounts table; for example, the rows for output, intermediate consumption and value added might be subdivided by kind of economic activity; the columns for goods and services might be subdivided by type of products.
However, the SNA does not adopt this solution, because the table would become cumbersome.
Instead, tables that provide a systematic cross-classification by institutional sectors and industries of output, intermediate consumption, and value added and its components are proposed.
They are described in detail in chapters 14 and 28 but the main features are outlined here.
Figure 2.2: Summary of the main accounts, balancing items and main aggregates
2.148 The production and generation of income accounts in the integrated economic accounts are given only by institutional sectors and with a global balance of transactions on goods and services.
The detailed analysis of production activities and product balances is made in the supply and use tables presenting:
a. The resources and uses of goods and services for each type of product;
b. The production and generation of income accounts for each industry according to kind of economic activity;
c. Data on factors of production (labour and fixed capital) used by industries.
2.149 The integrated economic accounts show which sectors acquire which financial assets and incur which liabilities.
In order to examine the working of the financial sector, the first expansion of the financial account is to distinguish nine subsectors within financial corporations and eight categories of financial assets and liabilities.
The subsectors of financial institutions are discussed in chapter 4 and the details of the financial instruments are described in chapter 11.
2.150 However, as explained in the introduction to this chapter, the presentation of the financial account as described in this chapter even with the elaboration of subsectors and financial instruments described in chapters 4 and 11, is still not fully articulated.
It shows which sectors and subsectors incur loans and make deposits but it does not allow an in-depth examination of the intermediation process whereby a financial institution draws in funds, repackages them and issues them as other instruments to other units.
In order to explore this, a three-dimensional “from-whom-to-whom” style of presentation is needed.
This is sometimes referred to as a flow of funds matrix.
The three-dimensional table of financial transactions is usually presented as a series of matrices, one matrix for each kind of financial instrument showing the flows from one sector to another.
2.151 As such a presentation is not necessarily useful for actually presenting the data, other presentations may be preferred in practice for publication.
For example, a table showing each type of financial asset cross-classified by debtor sector and each type of liability cross-classified by creditor sectors may be considered.
As compared to the presentation of the financial accounts made in the integrated economic accounts, this means, in short, introducing a sector distinction below headings of financial instruments when relevant.
(For a more complete explanation see chapter 27.)
2.152 In the integrated economic accounts, balance sheets are presented in a very aggregated way.
For each sector or subsector more complete balance sheets may be built up using the detailed classification of assets and liabilities when appropriate.
Changes in assets and liabilities for each sector may also be analysed for each type of asset and liability and each source of change.
2.153 In addition, three-dimensional tables may be elaborated showing the “from-whom-to-whom” links for each type of financial instrument, to permit better analysis.
The presentation of such tables is exactly the same as for tables of financial transactions except that the stock of assets or liabilities is shown instead of changes in assets or liabilities and the net financial position of each sector appears instead of its net lending or borrowing.
These tables closely follow the principles for the similar flow tables and are also described in chapter 27.
2.154 As explained in section B, the description of a transaction explains what type of flow is being recorded but it does not explain why the transaction is being entered into.
In order to analyse the purpose of transactions, it is necessary to apply a functional classification to the basic transaction.
For example, instead of disaggregating household consumption by type of product, it may be disaggregated to show how much is spent on food, housing, health, recreation and so on. For government consumption a distinction may be made between consumption related to law and order, defence, health or education, for instance.
As compatible but different classifications are used according to the sector concerned, these partial analyses by purpose cannot be integrated in a single table and, in most cases, no exhaustive total for the total economy can be calculated in the central framework.
2.155 Another way of looking at function may be to identify all expenditure related to a particular functional activity, such as, for example, environmental protection.
This is not (yet) an area where all relevant expenditures are easily identified and so it may be desirable to develop this further outside the central framework in a satellite account.
2.156 A dimension is added to the usefulness of a number of national accounts aggregates by calculating these figures per head.
For broad aggregates such as GDP, GNI or household final consumption, the denominator commonly used is the total (resident) population.
When subsectoring the accounts or part of the accounts of the household sector, data on the number of households and the number of persons in each subsector are also necessary.
2.157 In productivity studies, data on the labour inputs used by each industry in the process of production are indispensable.
Total hours worked is the preferred measure of labour inputs for the SNA.
Inferior alternatives are full-time equivalent jobs, the number of jobs or the number of persons employed.
2.158 Data on population and labour inputs must generally be adjusted in order to be consistent with the concepts, definitions and classifications of the SNA.
The resulting tables are an integral part of the SNA and are explained in chapter 19.
2.159 The central framework of the SNA is consistent in terms of its concepts and its accounting structure.
Links between the various elements of the integrated SNA have been illustrated in order to depict its structure in a simple but complete way.
That presentation does not imply any order of priority or frequency (quarterly, annually, etc.) for implementing national accounts.
Priorities in compiling national accounts are a matter of statistical policy; no universal recommendation can be made.
(Some indications relevant to specific circumstances are provided in relevant handbooks.)
Similarly, the accounting structure does not imply that results always have to be presented exactly as they stand in this or other chapters.
A country may choose to publish mainly time series, to prepare only some accounts or aggregates, etc.
2.160 In general, the SNA has to be looked at in a consistent but flexible way.
According to analytical requirements and data availability, the attention paid to various aspects of the central framework may vary.
In general, greater emphasis may be given to one part rather than another by choosing the level of disaggregation to adopt for classifications of institutional sectors, industries, products, transactions, sequence of accounts, etc., by using different methods of valuation; by using different priorities for various parts of the accounts and different frequencies; by rearranging the results; by introducing some additional elements, etc.
2.161 The household sector provides a good illustration of what may be done in order to provide an in-depth analysis of the household conditions and the functioning of the economy as a whole.
A detailed approach to the household sector may be undertaken, first of all, by deconsolidating the household sector beyond the subsectors included in the main classification of the SNA, distinguishing, for instance, the type of economic activity carried out (formal or informal), the location of the household (urban or rural) or the level of skill.
Secondly, it is possible to adapt the way household activities are portrayed in the sequence of accounts.
For instance, a concept of discretionary income may be used by excluding from disposable income those elements which are provided in kind and for which the household has no choice on how to spend this part of income, or the classification of household transactions may be complemented, to show the industry of origin of various types of income, and so on.
2.162 The flexibility of the SNA is further illustrated with the public sector, whose components are systematically shown at various levels of detail in the classification of institutional sectors.
The components of the public sector may be rearranged to group the accounts of the overall public sector.
These accounts may be shown before consolidation and after consolidation to describe the relations between the public sector and the private sector and between the public sector and the rest of the world (by separating out the external transactions of the public sector).
2.163 Chapters 21-29 provide more detailed analyses of the above examples.
They also present illustrations of the flexible uses of the central framework in the field of key sector accounting, external accounts problems and the informal economy.
2.164 A social accounting matrix (SAM) is a presentation of the SNA in matrix terms that permits the incorporation of extra details of special interest.
To date, builders of SAMs have exploited the flexibility to highlight special interests and concerns such as disaggregating the household sector to show the link between income generation and consumption.
The power of a SAM, as well as of the SNA, comes from choosing the appropriate type of disaggregation to study the topic of interest.
In addition to a flexible application, SAMs may incorporate more extensive adjustments, which are of a satellite accounting nature, in order to serve specific analytical purposes.
For further explanation of the matrix presentation and SAMs, see chapters 28 and 29.
2.165 In some cases, working with the central framework, even in a flexible way, is not sufficient.
Even when conceptually consistent, the central framework may become overburdened with details.
Moreover, some requirements may conflict with the concepts and architecture of the central framework.
2.166 In some types of analysis, the basic intention is not to use alternative economic concepts, but simply to focus on a certain field or aspect of economic and social behaviour in the context of national accounts.
The intent is to make apparent and to describe in more depth aspects that are hidden in the accounts of the central framework or surface only to a limited extent.
Tourism is a good example.
Various aspects of producing and consuming activities connected with tourism may appear in detailed classifications of activities, products and purposes.
However, transactions and purposes specific to tourism appear separately in only a few cases.
In order to describe and measure tourism in a national accounts framework, it is necessary to make a choice between two approaches: either subdivide many elements in the accounts of the central framework to get the required figures for tourism and pay the price of overburdening and unbalancing the various components of the accounts, or elaborate a specific framework for tourism.
The latter approach also allows adaptation of the various classifications and measurement of additional aggregates, such as national expenditure on tourism, which may cover intermediate as well as final consumption.
2.167 In other types of analysis, more emphasis is given to alternative concepts.
For instance, the production boundary may be changed, generally by enlarging it, for example, the production of domestic services by members of the household for their own final consumption may be brought within the production boundary.
The concept of fixed assets and the related fixed capital formation may be broadened, by covering consumer durables or human capital.
It is also possible in environmental accounting to record the relationships between natural resources and economic activities differently by recording the depletion and the degradation of subsoil or other natural resources.
In these approaches, the economic process itself is depicted differently and complementary or alternative aggregates are calculated.
The analysis of a number of important fields such as social protection, health or the environment may benefit from building a framework to accommodate elements which are included in the central accounts, explicitly or implicitly, plus complementary elements (either monetary or in physical quantities) possibly as well as alternative concepts and presentations.
In all cases, however, the links with the central framework are made explicit; there are a number of common elements and any contradictory features are introduced, not by chance, but after explicitly considering various ways of looking at reality.
2.168 Those special constructs, which are consistent with but not fully integrated the central framework, are called satellite accounts and are described in more detail in chapter 29.
3.1 The SNA is a system of accounts designed to measure stocks of, and changes in, economic value and to identify the person, group of persons, legal or social entity with claims on the economic value.
This chapter discusses the concept of stocks of economic value, the flows that reflect changes in economic value and the accounting rules applied to the recording of stocks and flows.
In order to portray stocks and flows in an accounting system, it is necessary to identify the parties with a claim to economic value measured in stocks or affected by flows.
These parties are the persons, groups of persons, legal and social entities already referred to. They are described as institutional units in the SNA and are grouped into institutional sectors according to their economic objectives, functions and behaviour.
Units and sectors are the subject of chapter 4.
3.2 Stocks measure economic value at a point in time.
Flows measure changes in economic value over a period of time.
Stocks appear in the balance sheets and related tables (and, for certain stocks, with the use table in an input-output context).
Flows appear in all the other accounts and tables of the SNA.
The flow accounts in the full sequence of accounts for institutional sectors consist of the current accounts, which deal with production, income and use of income, and the accumulation accounts, which show all changes between two balance sheets.
3.3 In order to have a system that is complete and consistent, all changes in economic value between stock measures at two points in time must be captured in flows.
The first requirement in specifying the accounting conventions is thus to define precisely what is meant by stocks and flows.
Once that is done, the rules to set the changes in economic value within an accounting system need to be specified.
These rules are defined so as to ensure that the SNA is consistent in terms of value, time of recording and classification.
3.4 Stocks are a position in, or holdings of, assets and liabilities at a point in time.
The SNA records stocks in accounts, usually referred to as balance sheets, compiled in respect of the beginning and end of the accounting period.
However, stocks are connected with flows: they result from the accumulation of prior transactions and other flows, and they are changed by transactions and other flows in the period.
They result in fact from a continuum of entries and withdrawals, with some changes in volume or in value occurring during the time a given asset or liability is held.
3.5 An asset is a store of value representing a benefit or series of benefits accruing to the economic owner by holding or using the entity over a period of time.
It is a means of carrying forward value from one accounting period to another.
Assets may be financial in nature or not.
For almost all financial assets, there is a corresponding [financial] liability.
A liability is established when one unit (the debtor) is obliged, under specific circumstances, to provide a payment or series of payments to another unit (the creditor).
An elaboration of these definitions and the concepts embodied in them as well as a typology of the different assets and liabilities in the SNA is given in section B of this chapter.
3.6 Economic flows reflect the creation, transformation, exchange, transfer or extinction of economic value; they involve changes in the volume, composition, or value of an institutional unit's assets and liabilities.
Mirroring the diversity of the economy, economic flows have specific natures as wages, taxes, interest, capital flows, etc., that record the ways in which a unit's assets and liabilities are changed.
3.7 Economic flows consist of transactions and other flows.
A transaction is an economic flow that is an interaction between institutional units by mutual agreement or an action within an institutional unit that it is analytically useful to treat like a transaction, often because the unit is operating in two different capacities.
The value of an asset or a liability may be affected by economic flows that do not satisfy the requirements of a transaction.
Such flows are described as “other flows”.
Other flows are changes in the value of assets and liabilities that do not result from transactions.
Examples are losses due to natural disasters and the effect of price changes on the value of assets and liabilities.
3.8 There is a discussion of the different types of economic flows in section C of this chapter.
3.9 Economic flows are grouped together into accounts with outflows (which may be called debit entries, uses or changes in assets) on the left-hand side and inflows (credit entries, resources, or changes in liabilities or net worth) on the right-hand side.
A balancing item is an accounting construct obtained by subtracting the total value of the entries on one side of an account (resources or changes in liabilities) from the total value of the entries on the other side (uses or changes in assets).
It cannot be measured independently of the entries in the accounts; as a derived entry, it reflects the application of the general accounting rules to the specific entries on the two sides of the account.
There is also a balancing item for the balance sheet where the difference between assets and liabilities is known as net worth.
3.10 Balancing items are constructed because they convey interesting economic information.
Many of the key aggregates of the SNA including GDP actually emerge as balancing items.
Balancing items are discussed in section D.
3.11 The accounts and tables of the SNA contain information relating to the economic actions or events that take place within a given period of time and the effect of these events on the stocks of assets and liabilities at the beginning and end of that period.
3.12 The flows and stocks are grouped according to the classification hierarchy of the SNA, shown in annex 1.
The classification of transactions and other flows has five headings at the highest level, dealing with transactions in products, transactions showing how income is distributed and redistributed within the SNA, transactions in nonproduced assets, financial assets and liabilities, and other accumulation entries.
In the accumulation accounts, the hierarchy may show both the transaction and the type of asset it applies to.
3.13 The flows and stocks are entered in the accounts of the institutional units involved and thus in the accounts of the sectors into which the institutional units are grouped.
Institutional units and sectors are the subject of chapter 4.
In general, flows and stocks are entered in the accounts of the institutional units that own or owned the goods and assets involved, in the accounts of units that deliver or take delivery of services, or in the accounts of units that provide labour and capital or use them in production.
For some purposes, an institutional unit participating in production is viewed as one or more establishments and establishments may be grouped into industries.
Establishments and industries are defined and discussed in chapter 5.
3.14 All entries in the accounts have to be measured in terms of money, and therefore the elements from which the entries are built up must be measured in terms of money.
In some cases, the amounts entered are the actual payments that form part of flows that involve money; in other cases the amounts entered are estimated by reference to actual monetary values.
Money is thus the unit of account in which all stocks and flows are recorded.
3.15 In principle, any lapse of time may be chosen as the accounting period.
Periods that are too short have the disadvantage that statistical data are influenced by incidental factors, while long periods do not adequately portray changes going on in the economy.
Merely seasonal effects can be avoided by having the accounting period cover a whole cycle of regularly recurrent economic phenomena.
Most business and government accounting refers to complete years.
In general, calendar or financial years or quarters are best suited for drawing up a full set of national accounts.
3.16 The SNA covers all economic activity in such a way that it is possible to derive accounts for individual groups of units or for all units in the economy.
To permit this, the accounting rules ensure consistency with respect to valuation, timing, classification and grouping of flows and stocks.
These rules are summarized below to provide a context for the discussion of the nature of stocks, flows, and balancing items in sections B, C and D.
a. Flows and stocks must be recorded consistently with respect to their valuation.
Entries are at current value on the market (that is, the amount agreed upon by two parties) or at its closest equivalent.
The value on the market may need to be adjusted to the coverage of the flow or stock as defined in the SNA and expressed appropriately given the nature of the flow or stock with respect to taxes and subsidies on products, transport costs and trade margins.
b. Flows and stocks must be recorded consistently with respect to timing.
Flows are recorded at the moment of accrual within the accounting period (that is, the moment economic value is created, transformed, exchanged, transferred or extinguished).
Stocks are recorded at the moment to which the account relates, typically the beginning or end of the accounting period.
c. Individual flow and stock entries must be recorded consistently with respect to their classification, both in respect of the categories in the classifications of transactions, other flows and assets and the categories in the classification of transactors as (sub)sectors or industries.
d. Depending on the character of the entry, a distinction should be made between resources and uses or between assets and liabilities.
In the process of grouping, netting is implicit for several items, but consolidation is not advised.
3.17 The basic accounting framework of the SNA is one of quadruple accounting.
This implies that a transaction gives rise to two entries for each party to the transaction.
There is vertical consistency within each unit and horizontal consistency between the two units for each type of entry.
The principles of quadruple accounting are explained in more detail in section E in this chapter.
3.18 Stocks relate to the total level of assets or liabilities in an economy at a point of time.
(In balance of payments methodology, the levels of stocks are referred to as positions.)
In order to discuss stocks, it is necessary to define assets and liabilities and these definitions depend crucially on the concepts of benefits and ownership.
Once the definitions are clear, the way in which assets and liabilities are classified within a balance sheet are touched on as well as the way in which items enter and leave the balance sheet.
3.19 The heart of the SNA describes how labour, capital and natural resources including land are used to produce goods and services.
These goods and services are used for the three economic activities recognized in the SNA, production, consumption and accumulation.
An economic benefit is defined as denoting a gain or positive utility arising from an action.
It implies a comparison between two states.
This can be elaborated within the SNA so that benefits are seen as rewards for providing services, such as those of labour and capital to production and also the means of acquiring goods and services for production, consumption or accumulation in the current period or in future periods.
3.20 Sometimes the immediate benefit is in terms of goods and services directly, for example own account production or wages and salaries in kind.
More often a benefit is in the form of the medium of exchange (money), for example as wages and salaries.
Consumption is an activity that takes place in the current period only but may be financed from past benefits.
Production and accumulation also involve benefits postponed to future periods.
Thus, means of allowing benefits to be moved from one accounting period to another have to be recognized.
These take the form of assets and liabilities where a benefit in one period is converted to a benefit in one or more future periods.
Similarly goods and services, or current benefits, may be acquired by committing future benefits in the form of financial liabilities.
3.21 Two types of ownership can be distinguished, legal ownership and economic ownership.
The legal owner of entities such as goods and services, natural resources, financial assets and liabilities is the institutional unit entitled in law and sustainable under the law to claim the benefits associated with the entities.
3.22 Sometimes government may claim legal ownership of an entity on behalf of the community at large.
No entity that does not have a legal owner, either on an individual or collective basis, is recognized in the SNA.
3.23 The acts of production, consumption and accumulation involve varying degrees of risk.
Two main forms of risk can be identified.
The first sort refers to production.
These arise because of such uncertainties as the demand for goods and services once produced, developments in the economy in general and technical innovation that affects the benefits to be earned from capital and natural resources.
The consequence is that benefits from capital, natural resources and labour in the form of operating surplus and income from employment are not wholly predictable in advance, but embody a degree of risk.
3.24 The second type of risk refers to the process of transferring benefits between time periods.
It arises because of uncertainty over interest rates in future periods, which in turn affects the comparative performance of different types of benefits.
3.25 When economic agents make decisions about consumption or accumulation, they have to make a judgement about the relative advantages of benefits being converted to goods and services in the current period as against conversion in a later period.
Thus all economic activity involves both benefits and risks.
Transferring benefits between time periods inevitably involves transferring risks also.
An agent may opt for a lower but more certain benefit in future rather than a benefit that might be higher but is less certain.
Of particular interest is the case when an agent swaps benefits and risks associated with production with those associated with financial assets and liabilities.
3.26 The economic owner of entities such as goods and services, natural resources, financial assets and liabilities is the institutional unit entitled to claim the benefits associated with the use of the entity in question in the course of an economic activity by virtue of accepting the associated risks.
3.27 Every entity has both a legal owner and an economic owner, though in many cases the economic owner and the legal owner of an entity are the same.
Where they are not, the legal owner has handed responsibility for the risk involved in using the entity in an economic activity to the economic owner along with associated benefits.
In return the legal owner accepts another package of risks and benefits from the economic owner.
In general within the SNA, when the expression “ownership” or “owner” is used and the legal and economic owners are different, the reference should be understood to be to the economic owner.
Part 5 of chapter 17, on contracts, leases and licences, discusses a number of cases where legal and economic ownership are different.
3.28 When government claims legal ownership of an entity on behalf of the community at large, the benefits also accrue to the government on behalf of the community at large.
Thus government is both the legal and economic owner of these entities.
3.29 The benefits inherent in financial assets and liabilities are seldom transferred from a legal owner to an economic owner in exactly the same state.
They are usually transformed to new forms of financial assets and liabilities by the intermediation of a financial institution that assumes some of the risk and benefits while passing the balance on to other units.
3.30 Leading on from the above it is possible to define an asset as follows.
An asset is a store of value representing a benefit or series of benefits accruing to the economic owner by holding or using the entity over a period of time.
It is a means of carrying forward value from one accounting period to another.
3.31 All assets in the SNA are economic assets.
Attributes such as reputation or skill, which are sometimes described in common parlance as an asset, are not recognized as such in the SNA because they are not economic in nature in the sense described under ownership.
3.32 A particularly important mechanism in the economy is the device whereby one economic unit exchanges a particular set of benefits with another economic unit.
Benefits are exchanged by means of payments.
From this a financial claim, and hence a liability, can be defined.
There are no non-financial liabilities recognized in the SNA, thus the term liability necessarily refers to a liability that is financial in nature.
3.33 A liability is established when one unit (the debtor) is obliged, under specific circumstances, to provide a payment or series of payments to another unit (the creditor).
The most common circumstance in which a liability is established is a legally binding contract that specifies the terms and conditions of the payment(s) to be made and payment according to the contract is unconditional.
3.34 In addition, a liability may be established not by contract but by long and well-recognized custom that is not easily refuted.
In these cases, the creditor has a valid expectation of payment, despite the lack of a legally binding contract.
Such liabilities are called constructive liabilities.
3.35 Whenever either of these types of liability exists, there is a corresponding financial claim that the creditor has against the debtor.
A financial claim is the payment or series of payments due to the creditor by the debtor under the terms of a liability.
Like the liabilities, the claims are unconditional.
In addition, a financial claim may exist that entitles the creditor to demand payment from the debtor but whereas the payment by the debtor is unconditional if demanded, the demand itself is discretionary on the part of the creditor.
3.36 Financial assets consist of all financial claims, shares or other equity in corporations plus gold bullion held by monetary authorities as a reserve asset.
Gold bullion held by monetary authorities as a reserve asset is treated as a financial asset even though the holders have no claim over other designated units.
Shares are treated as financial assets even though the financial claim their holders have on the corporation is not a fixed or predetermined monetary amount.
3.37 All entities that meet the definition of an asset given above are included in the asset boundary of the SNA.
Assets that are not financial assets are non-financial assets.
Non-financial assets are further subdivided into those that are produced and those that are non-produced.
3.38 Because assets represent a store of future benefits, all assets can be represented by a monetary value.
This value represents the market's view of the total of the benefits embodied by the asset.
Where a direct market view of this value is not available, it must be approximated by other means.
There is a discussion of this topic in chapter 11.
3.39 The only non-financial assets included in the asset boundary of an economy are those whose economic owners are resident in the economy.
However, in the case of most natural resources and immobile fixed capital, which physically cannot leave the economy, a notional resident unit is established if the economic owner is technically a non-resident unit.
In this way the assets in question do become those with resident economic owners and so are included within the asset boundary and are included on the balance sheet.
Portable non-financial assets that are physically located in an economy but are owned by nonresidents are excluded from the balance sheet; those that are physically located in the rest of the world but owned by residents are included in the asset boundary.
For example, planes belonging to a domestic airline are always assets of the domestic economy regardless of where in the world they happen to be.
3.40 A liability, as defined in paragraph 3.33 above, is unconditional once the contract establishing the liability is agreed by both parties.
If the liability is established not by a legal contract but by long and well-established custom, it is referred to as a constructive liability.
Some liabilities may involve a legal contract but specify that one party is obliged to provide a payment or series of payments to another unit only if certain specified conditions prevail.
Such liabilities are called contingent liabilities.
In general, the SNA includes (legal) liabilities and constructive liabilities but not contingent liabilities.
An exception is made for standardized guarantees where, although each individual arrangement involves a contingent liability, the number of similar guarantees is such that an actual liability is established for the proportion of guarantees likely to be called.
3.41 A corporation may set aside funds to cover unexpected events or to cover default by their customers.
Such monies may be described as provisions.
These are not treated as liabilities in the SNA because they are not the subject of the sort of contract, legal or constructive, associated with a liability.
Though financial institutions may regularly write off bad debts, for example, it would not be appropriate to regard the provisions set aside for this as assets of the borrowers.
Even though they may be earmarked for specific purposes, the amounts designated as provisions remain part of the net worth of the corporation.
Provisions are thus a designation of the purpose for which funds may be used rather than a category of financial assets and liabilities in and of themselves.
3.42 All assets appear on the balance sheet of the economy.
The first level of classification of assets is important since the process by which assets enter and leave the balance sheet differs for the three types of assets.
3.43 Produced non-financial assets come into being via the production process or as imports.
Two exceptions exist.
Historical monuments are included as produced assets even though they may have been constructed long before economic accounts existed.
Occasionally a monument may be newly recognized as having value and thus enter the asset boundary as a produced asset other than through a current production process.
Similar arguments apply to artefacts treated as valuables.
Produced non-financial assets leave the asset boundary by being exhausted or by being sold to resident units that will not continue to use the asset in production as a source of future benefits or by being sold to non-resident units.
3.44 Non-produced non-financial assets are of three types; natural resources; contracts, leases and licences; and purchased goodwill and marketing assets.
The borderline determining which natural resources are considered assets and which are not depends on a number of factors described in chapter 10.
Contracts, leases and licences may represent an asset to the holder when the agreement restricts the general use or supply of products covered by the agreement and thus enhances the benefits accruing to the party to the agreement beyond what would accrue in the case of unrestricted supply.
These assets come into existence when the agreement is made and the enhanced benefits become apparent.
They leave the balance sheet when the conditions restricting access are lifted or when there is no longer a benefit to be earned from having restricted access to the asset.
Goodwill and marketing assets are only recognized as assets in the SNA when they are evidenced by a sale.
3.45 Financial assets and liabilities come into being when a commitment is made by one unit to make a payment to another unit.
They cease to exist when there is no longer a commitment for one unit to make payments to the other.
This may be because the term of the agreement specified in the commitment has expired or for other reasons.
3.46 The coverage of assets is limited to those assets used in economic activity and that are subject to ownership rights; thus for example, consumer durables and human capital, as well as natural resources that are not owned, are excluded.
3.47 Consumer durables are not regarded as assets in the SNA because the services they provide are not within the production boundary.
Because the information on the stock of durables is of analytical interest, though, it is suggested that this information appear as a memorandum item in the balance sheet but not be integrated into the totals of the table.
3.48 Human capital is not treated by the SNA as an asset.
It is difficult to envisage “ownership rights” in connection with people, and even if this were sidestepped, the question of valuation is not very tractable.
3.49 There are some environmental resources excluded from the SNA asset boundary.
These are usually of the same type as those within the boundary but are of no economic value.
3.50 Economic flows are of two kinds.
Most flows are transactions.
Flows included in the SNA that do not meet the characteristics of transactions as described below are called “other flows”. Transactions appear in all of the accounts and tables in which flows appear except the other changes in the volume of assets account and the revaluation account.
Other flows appear in only these two accounts.
More meaning can be given to the definition of flows by describing the two kinds.
3.51 A transaction is an economic flow that is an interaction between institutional units by mutual agreement or an action within an institutional unit that it is analytically useful to treat like a transaction, often because the unit is operating in two different capacities.
3.52 Institutional units, referred to in the definition, are the fundamental economic units of the SNA.
They are described and defined in chapter 4.
The following are the main attributes of institutional units that are relevant to their engaging in transactions:
a. They are entitled to own goods or assets in their own right, and therefore are able to exchange them;
b. They are able to take economic decisions and engage in economic activities for which they are held to be directly responsible and accountable at law;
c. They are able to incur liabilities on their own behalf, to take on other obligations or future commitments and to enter into contracts.
3.53 The definition of a transaction stipulates that an interaction between institutional units be by mutual agreement.
When a transaction is undertaken by mutual agreement, the prior knowledge and consent of the institutional units is implied.
This does not mean, however, that both units necessarily enter a transaction voluntarily, because some transactions are imposed by force of law, such as payments of taxes or other compulsory transfers.
Although individual institutional units are not free to fix the amounts of taxes they pay, there is nevertheless collective recognition and acceptance by the community of the obligation to pay taxes.
Thus, payments of taxes are considered transactions despite being compulsory.
3.54 Transactions take so many different forms that, even with these explanations, any general definition is inevitably rather imprecise.
To give more precision, the various kinds of transactions have to be systematically described and classified.
A first distinction is between monetary and non-monetary transactions.
Other distinctions, such as between transactions with and without a quid pro quo, are drawn within each of these kinds of transactions.
Frequently the individual, identifiable transactions of everyday economic life are simply grouped together in the accounts; sometimes they are subdivided and rearranged in order to form the transaction categories of the SNA.
3.55 A monetary transaction is one in which one institutional unit makes a payment (receives a payment) or incurs a liability (receives an asset) stated in units of currency.
In the SNA, all flows are recorded in monetary terms, but the distinguishing characteristic of a monetary transaction is that the parties to the transaction express their agreement in monetary terms.
For example, a good is purchased or sold at a given number of units of currency per unit of the good, or labour is hired or provided at a given number of units of currency per hour or day.
3.56 All monetary transactions are interactions between institutional units; that is, all monetary transactions are two-party transactions.
The following is a list of common monetary transactions:
a. Expenditure on consumption of goods and services,
b. Acquisition of a security,
c. Wages and salaries,
d. Interest, dividends and rent,
e. Taxes,
f. Social assistance benefits in cash.
3.57 The expenditure on consumption goods and services, the acquisition of a security, wages and salaries, and interest, dividends, and rent are two-party transactions in which one party provides a good, service, labour or asset to the other and receives a recompense of commensurate value in return.
This kind of transaction is sometimes called a “something for something” transaction or a transaction with a quid pro quo.
Such transactions are sometimes called exchanges.
3.58 Taxes and social assistance benefits are examples of two-party transactions in which one party provides a good, service or asset to the other but does not receive a recompense in return.
This kind of transaction, sometimes called a “something for nothing” transaction, or a transaction without a quid pro quo, is called a transfer in the SNA.
3.59 The scope of the recompenses mentioned in describing exchanges and transfers does not cover entitlement to contingent benefits or collective services.
Such benefits are generally uncertain or not quantifiable, or both.
Moreover, the amount of benefit that may eventually be received by an individual unit is not proportional to the amount of the previous payment and may be very much greater or smaller than the latter.
Thus, payments such as a social insurance contribution or a non-life insurance premium may entitle the unit making the payment to some contingent future benefits, and a household paying taxes may be able to consume certain collective services provided by government units, but these payments are regarded as transfers rather than exchanges.
3.60 A distinction is made between current and capital transfers.
A capital transfer is one in which the ownership of an asset (other than cash or inventories) is transferred or which obliges one or both parties to acquire, or dispose of, an asset (other than cash or inventories).
Capital transfers redistribute wealth but leave saving unaffected.
They include, for example, capital taxes and investment grants.
Other transfers are described as current.
Current transfers redistribute income.
They include, for example, taxes on income and social benefits.
A fuller description of transfers appears in chapter 8.
3.61 Monetary transactions may not always be recorded in the accounts in the same way as they appear to the institutional units involved.
The values of these actual, or observed, transactions are already available in the accounts of the units concerned, but the SNA rearranges certain transactions to bring out the underlying economic relationships more clearly.
The three kinds of rearrangements affect the channels through which the transactions are seen as taking place, the number of transactions that are seen as taking place, or the units that are seen as being involved.
The three sections below illustrate the main characteristics of these rearrangements and the kind of analytical purpose they serve.
3.62 Rerouting records a transaction as taking place through channels that differ from the actual ones or as taking place in an economic sense when it does not take place in fact.
In the first kind of rerouting, a direct transaction between unit A and unit C is recorded as taking place indirectly through a third unit B, usually, however, with some change in the transaction category.
In the second kind of rerouting, a transaction of one kind from unit A to unit B is recorded with a matching transaction of a different kind from unit B to unit A.
3.63 The recording of the payment of social security contributions is an example of the first kind of rerouting.
In practice, employers typically deduct the contributions that the employees are obliged to make to social security funds from the employee's wages and salaries.
In addition the employers make contributions to social security funds from their own resources on behalf of the employees.
Both contributions go directly from the employer to social security funds.
However, in the SNA, the employers' contributions are treated as part of compensation of employees and are recorded as being paid to the employee.
The employee is then recorded as making a payment to social security funds consisting of both the employer's and employee's own contributions.
Social security contributions are thus recorded strictly according to the general principles governing the recording of transactions in the SNA to bring out the economic substance behind arrangements adopted for administrative convenience.
As a result of the rerouting, employers' social contributions are included as a part of labour cost.
3.64 An example of the second kind of rerouting is provided by the treatment of the retained earnings of foreign direct investment enterprises.
The retention of some or all of the earnings of a foreign direct investment enterprise within that enterprise can be regarded as a deliberate investment decision by the foreign owners.
Accordingly, the retained earnings are rerouted in the SNA by showing them as first remitted to the foreign owners as property income and then reinvested in the equity of the direct investment enterprise.
3.65 Similarly, the property income earned on the reserves of certain life insurance corporations is deemed to be paid out to policyholders and then paid back again as premium supplements even though in actuality the property income is retained by the insurance enterprises.
As a result, the saving of persons or households includes the amount of the rerouted property income while the saving of insurance enterprises does not.
This alternative picture of saving, which better reflects economic reality, is the purpose of the rerouting.
3.66 Partitioning records a transaction that is a single transaction from the perspective of the parties involved as two or more differently classified transactions.
For example, the rental actually paid by the lessee under a financial lease is not recorded as a payment for a service; instead, it is partitioned into two transactions, a repayment of principal and a payment of interest.
This partitioning of the rental payment is part of a treatment that implements an economic view of financial leasing in the SNA.
Financial leasing is viewed as a method of financing the purchase of a fixed asset and a financial lease is shown in the SNA as a loan from the lessor to the lessee.
3.67 Another example is the treatment of certain financial services.
For example, the SNA prescribes partitioning interest payable by financial intermediaries on deposits and payable to financial intermediaries on loans into two components.
One component represents interest as defined in the SNA while the remainder represents the purchase of financial intermediation services for which the intermediaries do not charge explicitly.
The purpose of the partitioning is to make the service item explicit.
In consequence, intermediate and final consumption of particular industries and institutional sectors as well as gross domestic product are affected.
However, the saving of all the units concerned, including the financial intermediaries themselves, is not affected.
3.68 The recording in the SNA of transactions for wholesalers and retailers does not mirror the way in which those involved view them.
The purchases of goods for resale by wholesalers and retailers are not recorded by these units explicitly, and they are viewed as selling, not the goods, but the services of storing and displaying a selection of goods in convenient locations and making them easily available for customers.
This partitioning measures output for traders by the value of the margins realized on goods they purchase for resale.
3.69 Many service activities consist of one unit arranging for a transaction to be carried out between two other units in return for a fee from one or both parties to the transaction.
In such a case, the transaction is recorded exclusively in the accounts of the two parties engaging in the transaction and not in the accounts of the third party facilitating the transaction.
Some service output may be recognized with the facilitator.
For example, purchases a commercial agent makes under the orders of, and at the expense of, another party are directly attributed to the latter.
The accounts of the agent only show the fee charged to the principal for the facilitation services rendered.
3.70 A second example is the collection of taxes by one government unit on behalf of another.
The SNA follows the guidance of the Government Finance Statistics Manual (International Monetary Fund (IMF), 2001), known as GFSM2001 as follows.
In general, a tax is attributed to the government unit that
a. exercises the authority to impose the tax (either as a principal or through the delegated authority of the principal), and
b. has final discretion to set and vary the rate of the tax.
3.71 Where an amount is collected by one government for and on behalf of another government, and the latter government has the authority to impose the tax, set and vary its rate, then the former is acting as an agent for the latter and the tax is reassigned.
Any amount retained by the collecting government as a collection charge should be treated as a payment for a service.
Any other amount retained by the collecting government, such as under a tax-sharing arrangement, should be treated as a current grant.
If the collecting government was delegated the authority to set and vary the rate, then the amount collected should be treated as tax revenue of this government.
3.72 Where different governments jointly and equally set the rate of a tax and jointly and equally decide on the distribution of the proceeds, with no individual government having ultimate overriding authority, then the tax revenues are attributed to each government according to its respective share of the proceeds.
If an arrangement allows one government unit to exercise ultimate overriding authority, then all of the tax revenue is attributed to that unit.
3.73 There may also be the circumstance where a tax is imposed under the constitutional or other authority of one government, but other governments individually set the tax rate in their jurisdictions.
The proceeds of the tax generated in each respective government's jurisdiction are attributed as tax revenues of that government.
3.74 Similar principles are applied for the payment of subsidies or social benefits.
3.75 Non-monetary transactions are transactions that are not initially stated in units of currency.
The entries in the SNA therefore represent values that are indirectly measured or otherwise estimated.
In some cases, the transaction may be an actual one and a value has to be estimated to record it in the accounts.
Barter is an obvious example.
In other cases, the entire transaction must be constructed and then a value estimated for it. Consumption of fixed capital is an example.
(In the past, the estimation of a value has sometimes been called imputation, but it is preferable to reserve that term for the kind of situation that involves not only estimating a value but also constructing a transaction.)
3.76 The amounts of money associated with non-monetary transactions are entries whose economic significance is different from cash payments as they do not represent freely disposable sums of money.
The various methods of valuation to be employed for non-monetary transactions are dealt with in the section on valuation in section E.
3.77 Non-monetary transactions can be either two-party transactions or actions within an institutional unit.
The two-party transactions consist of barter, remuneration in kind, payments in kind other than compensation in kind and transfers in kind.
These two-party transactions are discussed first, followed by a discussion of internal transactions.
3.78 Although two-party transactions in kind do exist in practice, in the SNA they are frequently recorded in the same way as a monetary transaction with an associated expenditure of the item provided in kind.
This ensures that there is a change in wealth of the donor without the donor acquiring the product transferred while the recipient acquires the product without any change in wealth.
There is further discussion on this in respect of current transfers in chapter 8 and of capital transfers in chapter 10.
3.79 Barter transactions involve two parties, with one party providing a good, service or asset other than cash to the other in return for a good, service or asset other than cash.
As mentioned above, barter is an example of an actual transaction for which a value must be estimated.
Barter transactions in which goods are traded for goods have always been important.
The barter of goods may be systematically organized on proper markets or, in some countries, may occur only sporadically on a small scale.
Barter between nations involving exports and imports also occurs.
3.80 Remuneration in kind occurs when an employee accepts payment in the form of goods and services instead of money.
This practice is extensive in most economies for reasons ranging from the desire of employers to find captive markets for part of their output, to tax avoidance or evasion.
Remuneration in kind takes various forms and the following list includes some of the most common types of goods and services provided without charge, or at reduced prices, by employers to their employees:
a. Meals and drinks,
b. Housing services or accommodation of a type that can be used by all members of the household to which the employee belongs,
c. The services of vehicles provided for the personal use of employees,
d. Goods and services produced as outputs from the employer's own processes of production, such as free coal for miners.
Further, in addition to goods and services, some employees may be willing, or obliged, to accept part of their compensation in the form of financial or other assets.
3.81 Payments in kind other than remuneration in kind occur when any of a wide variety of payments is made in the form of goods and services rather than money.
For example, a doctor may accept payment in wine instead of money.
Or, instead of paying rent or rentals in money, the user of land or fixed capital, respectively, may pay the owner in goods or services.
In agriculture, for example, the “rent” may be paid by handing over part of the crops produced to the landlord.
(This is known as share cropping.)
Tax payments, also, may be paid in kind; for example, inheritance taxes may be paid by making donations of paintings or other valuables.
3.82 As noted above, transactions in kind are normally recorded in the accounts as if they are monetary transfers followed by the expenditure by the recipient on the products concerned.
This treatment applies to government international cooperation, gifts and charitable contributions.
Government international cooperation, gifts, and charitable contributions are often made in kind for convenience, efficiency, or tax purposes.
For example, international aid after a natural disaster may be more effective and delivered faster if made directly in the form of medicine, food, and shelter instead of money.
Charitable contributions in kind sometimes avoid taxes that would be due if the item in question were sold and the money given to the charity.
3.83 A special case of transfers in kind is that of social transfers in kind.
These consist of goods and services provided by general government and non-profit institutions serving households (NPISHs) that are delivered to individual households.
Health and education services are the prime examples.
Rather than provide a specified amount of money to be used to purchase medical and educational services, the services are often provided in kind to make sure that the need for the services is met.
(Sometimes the recipient purchases the service and is reimbursed by the insurance or assistance scheme.
Such a transaction is still treated as being in kind because the recipient is merely acting as the agent of the insurance scheme.)
3.84 Social transfers in kind are recorded as an implicit transfer of income from government and NPISHs to households and a transfer of consumption goods and services.
The measure of income after the transfer is called adjusted disposable income (rather than disposable income) and the measure of consumption is called actual final consumption (rather than final consumption expenditure).
3.85 The SNA treats certain kinds of actions within a unit as transactions to give a more analytically useful picture of final uses of output and of production.
These transactions that involve only one unit are called internal, or intra-unit, transactions.
3.86 Some households, all NPISHs and general government units operate as both producers and as final consumers.
When an institutional unit engages in both activities, it may make the choice to consume some or all of the output itself after the production is completed.
In such a case, no transaction takes place between institutional units, but it is useful to construct a transaction and estimate its value to record both output and consumption in the accounts.
3.87 For households, the principle in the SNA is that all goods produced by persons that are subsequently used by the same persons, or members of the same households, for purposes of final consumption are to be included in output in a manner analogous to that for goods sold on the market.
This means that transactions are assumed in which the persons responsible for the production of the goods are deemed to deliver the goods to themselves as consumers, or members of their own households, and then values have to be associated with them in order to enter them in the accounts.
3.88 Establishments owned by governments or NPISHs commonly provide education, health, or other kinds of services to individual households without charge or at prices that are not economically significant.
The costs of providing these services are incurred by the governments or NPISHs, and the values are recorded as internal transactions: that is, as final expenditures by governments or NPISHs on outputs produced by establishments they own themselves.
(As already explained, the acquisition of these services by households is recorded separately under social transfers in kind, another form of non-monetary transactions that take place between the government units or NPISHs and the households in question.)
3.89 The SNA recognizes several other transactions within enterprises to give a fuller view of production.
For example, when enterprises produce fixed assets for their own use, the SNA records deliveries by the enterprises to themselves as the subsequent users.
Also, when enterprises use fixed assets (whether own-account or purchased) during production, the SNA charges the decline in the value of the asset during the period of production as a cost.
3.90 The recording of deliveries between one establishment and another belonging to the same enterprise is discussed in paragraph 6.104.
3.91 The sections above describe the kinds of actions that are considered transactions in the SNA.
This section focuses on externalities and illegal actions, explaining why externalities are not considered transactions and distinguishing among kinds of illegal actions that are and are not considered transactions.
3.92 Certain economic actions carried out by institutional units cause changes in the condition or circumstances of other units without their consent.
These are externalities; they can be regarded as unsolicited services, or disservices, delivered without the agreement of the units affected.
It is an uncooperative action, usually with undesirable consequences, which is the antithesis of a market transaction.
3.93 It is necessary to consider, however, whether values should be assigned to such externalities.
Economic accounts have to measure economic functions such as production or consumption in the context of a particular legal and socioeconomic system within which relative prices and costs are determined.
Further, there would be considerable technical difficulties involved in trying to associate economically meaningful values with externalities when they are intrinsically non-market phenomena.
As externalities are not market transactions into which institutional units enter of their own accord, there is no mechanism to ensure that the positive or negative values attached to externalities by the various parties involved would be mutually consistent.
Moreover, accounts including values for externalities could not be interpreted as representing equilibrium, or economically sustainable, situations.
If such values were to be replaced by actual payments the economic behaviour of the units involved would change, perhaps considerably.
3.94 A typical example is the pollution by one producer of the air or water used by other units for purposes of production or consumption.
If the producer is allowed to pollute without charge or risk of being penalized, the private costs of production of the polluter will be less than the social costs to the community.
Some countries, at least at certain points in their history, may choose to frame their laws so that some producers are permitted to reduce their private costs by polluting with impunity.
This may be done deliberately to promote rapid industrialization, for example.
The wisdom of such a policy may be highly questionable, especially in the long run, but it does not follow that it is appropriate or analytically useful for economic accounts to try to correct for presumed institutional failures of this kind by attributing costs to producers that society does not choose to recognize.
For example, the whole purpose of trying to internalize some externalities by imposing taxes or other charges on the discharge of pollutants is to bring about a change in production methods to reduce pollution.
A complete accounting for externalities would be extremely complex as it is not sufficient merely to introduce costs into the accounts of the producers but would also necessitate introducing various other adjustments of questionable economic significance to balance the accounts.
3.95 This sort of example illustrates why some analyses are best carried out in the context of a satellite account where some of the normal constraints and conventions of the SNA are relaxed.
In the case of pollution, the SEEA 2003 has been developed precisely to explore this issue among other environmental topics.
3.96 Illegal actions that fit the characteristics of transactions (notably the characteristic that there is mutual agreement between the parties) are treated the same way as legal actions.
The production or consumption of certain goods or services, such as narcotics, may be illegal but market transactions in such goods and services have to be recorded in the accounts.
If expenditures on illegal goods or services by households were to be ignored on grounds of principle, household saving would be overestimated and households presumed to obtain assets that they do not in fact acquire.
Clearly, the accounts as a whole are liable to be seriously distorted if monetary transactions that in fact take place are excluded.
It may be difficult, or even impossible, to obtain data about illegal transactions, but in principle they should be included in the accounts if only to reduce error in other items, including balancing items.
3.97 However, many illegal actions are crimes against persons or property that in no sense can be construed as transactions.
For example, theft can scarcely be described as an action into which two units enter by mutual agreement.
Conceptually, theft or violence is an extreme form of externality in which damage is inflicted on another institutional unit deliberately and not merely accidentally or casually.
Thus, thefts of goods from households, for example, are not treated as transactions and estimated values are not recorded for them under household expenditures.
3.98 If thefts, or acts of violence (including war), involve significant redistributions, or destructions, of assets, it is necessary to take them into account.
As explained below, they are treated as other flows, not as transactions.
3.99 Other flows are changes in the value of assets and liabilities that do not result from transactions.
The reason that these flows are not transactions is linked to their not meeting one or more of the characteristics of transactions.
For example, the institutional units involved may not be acting by mutual agreement, as with an uncompensated seizure of assets.
Or the change may be due to a natural event such as an earthquake rather than a purely economic phenomenon.
Alternatively the value of an asset expressed in foreign currency may change as a result of an exchange rate change.
3.100 The entries for other flows appear in one of the two accounts that comprise the other changes in assets accounts.
The other changes in the volume of assets account includes changes that lead to a change in value of an asset because of a change in the quantity or physical characteristics of the asset in question.
The revaluation account includes changes in the value of assets, liabilities, and net worth due to only changes in the level and structure of prices, which are reflected in holding gains and losses.
3.101 Other changes in the volume of assets fall into three main categories.
3.102 The first category relates to the appearance and disappearance of assets and liabilities other than by transactions.
Some of these may relate to naturally occurring assets, such as subsoil resources, so that the entrances and exits come about as interactions between institutional units and nature.
Others relate to assets created by human activity, such as valuables.
For valuables, for example, the capital account records their acquisition as newly produced goods or imports in transactions, and it records transactions in existing goods already classified as valuables.
It is the recognition of a significant or special value for goods not already recorded in the balance sheets that is considered an economic appearance to be recorded as an other flow.
These valuables may not be in the balance sheets for any of several reasons.
For example, they may antedate the accounts or were originally recorded as consumption goods.
3.103 The second category relates to the effects of externalities and disasters.
One such event is one institutional unit's effectively removing an asset from its owner without the owner's agreement, an action that is not considered a transaction because the element of mutual agreement is absent.
These events also include those that destroy assets, such as natural disaster or war.
In contrast, transactions, such as consumption of fixed capital or change in inventories, refer to normal rates of loss or damage.
3.104 The third category relates to changes in assets and liabilities that reflect changes in the classification of institutional units among sectors and in the structure of institutional units, or in the classification of assets and liabilities.
For example, if an unincorporated enterprise becomes more financially distinct from its owner and takes on the characteristics of a quasi-corporation, it and the assets and liabilities it holds move from the household sector to the non-financial corporations sector and changes in the sector allocation of the assets and liabilities owned by the quasi-corporation are recorded under this heading.
3.105 Positive or negative nominal holding gains accrue during the accounting period to the owners of assets and liabilities as a result of a change in their prices.
Holding gains are sometimes described as “capital gains”, but “holding gain” is preferred here because it emphasizes that holding gains accrue purely as a result of holding assets or liabilities over time without transforming them in any way.
Holding gains include not only gains on “capital” such as fixed assets, land and financial assets but also gains on inventories of all kinds of goods held by producers, including work-inprogress, often described as “stock appreciation”. Holding gains may accrue on assets held for any length of time during the accounting period, not only on assets held throughout the period and may thus appear for assets appearing on neither the opening or closing balance sheet.
3.106 Nominal holding gains depend upon changes in the prices of assets and liabilities over time.
The prices in question are the prices at which the assets may be sold on the market.
Nominal holding gains may be further decomposed into neutral holding gains, which reflect changes in the general price level, and real holding gains which reflect changes in the relative prices of assets.
3.107 A balancing item is an accounting construct obtained by subtracting the total value of the entries on one side of an account from the total value for the other side.
It cannot be measured independently of the other entries; as a derived entry, it reflects the application of the general accounting rules to the specific entries on the two sides of the account.
It does not relate to any specific set of transactions, or any set of assets, and so it cannot be expressed in terms of its own price or quantity units.
3.108 Balancing items are not simply devices introduced to ensure that accounts balance.
They are often used as key macroeconomic indicators to assess economic performance.
They encapsulate a great deal of information and include some of the most important entries in the accounts, as can be seen by the examples of balancing items for the accounts containing flows reproduced below:
a. Value added or domestic product,
b. Operating surplus,
c. Disposable income,
d. Saving,
e. Net lending or net borrowing,
f. Current external balance.
3.109 Net worth, which is defined as the value of all the non-financial and financial assets owned by an institutional unit or sector less the value of all its outstanding liabilities, is the balancing item in the balance sheets.
As is true for other balancing items in the SNA, net worth cannot be measured independently of the other entries, nor does it relate to any specific set of transactions.
3.110 As well as net worth appearing as a stock level, changes in net worth due to different sorts of transactions and other flows may also be derived.
Just as the changes in the levels of any asset can be traced through changes in transactions and other flows throughout the period, so changes in total net worth can be exhaustively described according to the transactions and other flows that led to changes in the total level of assets and liabilities.
3.111 As noted in the introduction, this section covers the quadruple entry accounting principle, valuation, time of recording, classification of accounting entries and grouping of transactions.
The application of each of these to the individual flows and stocks is explained in detail in the chapters that describe the entries in the various tables and accounts of the central framework.
The details on classifications of accounting entries are discussed, account by account, in chapters 6 to 13.
3.112 The accounting system underlying the SNA derives from broad bookkeeping principles.
To understand the accounting system for the SNA, three bookkeeping principles can be distinguished:
1. Vertical double-entry bookkeeping, also known as simply double-entry bookkeeping used in business accounting,
2. Horizontal double-entry bookkeeping, and
3. Quadruple-entry bookkeeping.
3.113 The main characteristic of vertical double-entry bookkeeping is that each transaction leads to at least two entries, traditionally referred to as a credit entry and a debit entry, in the books of the transactor.
This principle ensures that the total of all credit entries and that of all debit entries for all transactions are equal, thus permitting a check on consistency of accounts for a single unit.
Each transaction requires two entries.
3.114 Other flows have their counterpart entries directly in changes in net worth.
As a result, vertical double-entry bookkeeping ensures the fundamental identity of a unit's balance sheet, that is, the total value of assets equals the total value of liabilities plus net worth.
The total value of the assets owned by an entity minus the total value of liabilities provides net worth.
3.115 The concept of horizontal double-entry bookkeeping is useful for compiling accounts that reflect the mutual economic relationships between different institutional units in a consistent way.
It implies that if unit A provides something to unit B, the accounts of both A and B show the transaction for the same amount: as a payment in A's account and as a receipt in B's account.
Horizontal double-entry bookkeeping ensures the consistency of recording for each transaction category by counterparties.
For example, dividends payable throughout the economy should be equal to dividends receivable throughout the economy once transactions with the rest of the world are taken into account.
3.116 The simultaneous application of both the vertical and horizontal double-entry bookkeeping results in a quadruple-entry bookkeeping, which is the accounting system underlying the recording in the SNA.
It deals in a coherent way with multiple transactors or groups of transactors, each of which satisfies vertical double-entry bookkeeping requirements.
A single transaction between two counterparties thus gives rise to four entries.
In contrast to business bookkeeping, national accounts deal with interactions among a multitude of units in parallel, and thus require special care from a consistency point of view.
As a liability of one unit is mirrored in a financial asset of another unit, for instance, they should be identically valued, allocated in time and classified to avoid inconsistencies in aggregating balance sheets of units by sectors or for the total economy.
The same is also true for all transactions and other flows that affect balance sheets of two counterparties.
3.117 The SNA uses the following conventions and terminologies for recording flows with the rest of the world.
Imports, for instance, are a resource of the rest of the world used in the domestic economy and payments for imports represent a drawdown of wealth for the domestic economy but a financial resource for the rest of the world.
By treating the rest of the world account as a pseudo-sector, the quadruple entry accounting principle can be applied and all stocks and flows within the economy and with the rest of the world are completely balanced.
The balance of payments accounts show the consolidated position of all domestic sectors relative to the rest of the world.
It is thus an exact mirror image of the accounts for the rest of the world within the SNA.
However, despite the reversal of the sides of the accounts on which items are shown, there is equality in coverage, measurement and classification between the two systems.
This is discussed further in chapter 24.
3.118 The power of the SNA as an analytical tool stems largely from its ability to link numerous, very varied economic phenomena by expressing them in a single accounting unit.
The SNA does not attempt to determine the utility of the flows and stocks that come within its scope.
Rather, it measures the current exchange value of the entries in the accounts in money terms, that is, the values at which goods, services, labour or assets are in fact exchanged or else could be exchanged for cash (currency or transferable deposits).
3.119 Market prices for transactions are defined as amounts of money that willing buyers pay to acquire something from willing sellers; the exchanges are made between independent parties and on the basis of commercial considerations only, sometimes called “at arm's length.” Thus, according to this strict definition, a market price refers only to the price for one specific exchange under the stated conditions.
A second exchange of an identical unit, even under circumstances that are almost exactly the same, could result in a different market price.
A market price defined in this way is to be clearly distinguished from a price quoted in the market, a world market price, a going price, a fair market price, or any price that is intended to express the generality of prices for a class of supposedly identical exchanges rather than a price actually applying to a specific exchange.
Furthermore, a market price should not necessarily be construed as equivalent to a free market price; that is, a market transaction should not be interpreted as occurring exclusively in a purely competitive market situation.
In fact, a market transaction could take place in a monopolistic, monopsonistic, or any other market structure.
Indeed, the market may be so narrow that it consists of the sole transaction of its kind between independent parties.
3.120 When a price is agreed by both parties in advance of a transaction taking place, this agreed, or contractual, price is the market price for that transaction regardless of the prices that prevail when the transaction takes place.
3.121 Actual exchange values in most cases will represent market prices as described in the preceding paragraph. Paragraphs 3.131 to 3.134 describe cases where actual exchange values do not represent market prices.
Transactions that involve dumping and discounting represent market prices.
Transaction prices for goods and services are inclusive of appropriate taxes and subsidies.
A market price is the price payable by the buyer after taking into account any rebates, refunds, adjustments, etc. from the seller.
3.122 Transactions in financial assets and liabilities are recorded at the prices at which they are acquired or disposed of. Transactions in financial assets and liabilities should be recorded exclusive of any commissions, fees, and taxes whether charged explicitly, included in the purchaser's price, or deducted from the seller's proceeds.
This is because both debtors and creditors should record the same amount for the same financial instrument.
The commissions, fees, and taxes should be recorded separately from the transaction in the financial asset and liability, under appropriate categories.
The valuation of financial instruments, which excludes commission charges, differs from the valuation of non-financial assets, which includes any costs of ownership transfer.
3.123 When market prices for transactions are not observable, valuation according to market-price-equivalents provides an approximation to market prices.
In such cases, market prices of the same or similar items when such prices exist will provide a good basis for applying the principle of market prices.
Generally, market prices should be taken from the markets where the same or similar items are traded currently in sufficient numbers and in similar circumstances.
If there is no appropriate market in which a particular good or service is currently traded, the valuation of a transaction involving that good or service may be derived from the market prices of similar goods and services by making adjustments for quality and other differences.
3.124 A significant qualification to the foregoing remark is necessary in the case of agricultural products sold directly from the farm.
The so-called farm-gate price may be significantly lower than a price in the nearest market where prices can be observed since the latter include the costs of bringing the goods to market.
Further, if only a small fraction of a crop gets to the market, it may command a higher price than would be the case if all the available crop were traded.
Such considerations are to be understood by the qualification that observed market prices are appropriate only when similar products are traded in sufficient number and in similar circumstances.
When these conditions do not hold, adjustments must be made to the observed prices.
3.125 The case of barter requires specific consideration.
The products bartered must be valued when produced as well as when acquired for consumption or for capital formation.
While it may often be the case that for small scale barter transactions entered into by the producer, there are no taxes on products payable (or if they are nominally payable the conditions of the barter means they are avoided and not paid) there is no automatic exclusion of bartered products from liability to taxes on products.
Subsidies on bartered products are possible conceptually but unlikely to be significant.
By the nature of barter, there are no wholesale or retail margins applicable to bartered products.
Goods subject to barter may, however, have associated transportation costs.
If the unit providing the goods for barter also provides the transport, this will, in general, mean that the barter “package” includes some transportation services and the value to the recipient will be a purchaser's price including this transportation cost.
If the unit receiving the goods must provide the transport, this may reduce the valuation of the goods to the recipient.
3.126 Barter transactions may concern new or existing goods acquired by one party to the barter in which case the value to that party will be the cost of acquisition (in the case of new goods) or the realizable value in the case of existing goods.
3.127 Barter transactions necessarily involve two units and (at least) two products.
Each unit may place a different value on either item being bartered.
In such a case, since the accounting rules of the SNA require a single value to be recorded for both parties, on pragmatic grounds a simple average of the different valuations (after allowing for any taxes and transportation costs) may be taken as the value of the transaction.
3.128 Barter transactions do not always take place simultaneously.
When this is not the case, an account receivable/payable should be recorded even though neither part of the barter transaction takes place in monetary terms.
3.129 Market valuation also poses problems for transactions in goods in which the contracts establish a quotation period often months after the goods have changed hands.
In such cases, market value at the time of change of ownership should be estimated.
The estimate should be revised with the actual market value, when known.
Market value is given by the contract price even if it is unknown at the time of change of ownership.
3.130 When non-financial resources are provided without a quid pro quo, such resources should be valued at the market prices that would have been received if the resources had been sold in the market.
In the absence of a market price, the donor's view of the imputed value of the transaction will often be quite different from that of the recipient.
The suggested rule of thumb is to use the value assigned by the donor as a basis for recording.
3.131 In some cases actual exchange values may not represent market prices.
Examples are transactions involving transfer prices between affiliated enterprises, manipulative agreements with third parties, and certain non-commercial transactions, including concessional interest (that is, interest payable at a reduced rate as a matter of policy).
Prices may be under- or over-invoiced, in which case an assessment of a market-equivalent price needs to be made.
Although adjustment should be made when actual exchange values do not represent market prices, this may not be practical in many cases.
Adjusting the actual exchange values to reflect market prices will have consequences in other accounts.
Therefore, when such adjustments are made, corresponding adjustments in other accounts should also be made, for example, if prices of goods are adjusted, associated income account or financial account transactions or both should also be adjusted.
3.132 Values put on an invoice may deviate systematically or to such a large extent from the prices paid in the market for similar items that it must be presumed that the sums paid cover more than the specified transactions.
An example is so-called transfer pricing: affiliated enterprises may set the prices of the transactions among themselves artificially high or low in order to effect an unspecified income payment or capital transfer.
Such transactions should be made explicit if their value is considerable and would hinder a proper interpretation of the accounts.
In some cases, transfer pricing may be motivated by income distribution or equity build-ups or withdrawals.
Replacing book values (transfer prices) with market-value equivalents is desirable in principle, when the distortions are large and when availability of data (such as adjustments by customs or tax officials or from partner economies) makes it feasible to do so. Selection of the best market-value equivalents to replace book values is an exercise calling for cautious and informed judgment.
3.133 The exchange of goods between affiliated enterprises may often be one that does not occur between independent parties (for example, specialized components that are usable only when incorporated in a finished product).
Similarly, the exchange of services, such as management services and technical know-how, may have no near equivalents in the types of transactions in services that usually take place between independent parties.
Thus, for transactions between affiliated parties, the determination of values comparable to market values may be difficult, and compilers may have no choice other than to accept valuations based on explicit costs incurred in production or any other values assigned by the enterprise.
3.134 While some non-commercial transactions, such as a grant in kind, have no market price, other non-commercial transactions may take place at implied prices that include some element of grant or concession so that those prices also are not market prices.
Examples of such transactions could include negotiated exchanges of goods between governments and government loans bearing lower interest rates than those with similar grace and repayment periods or other terms for purely commercial loans.
Concessional lending is described in chapter 24.
Transactions by general government bodies and private non-profit entities not engaged in purely commercial undertakings are often subject to non-commercial considerations.
However transfers involving provision of goods and services may also be provided or received by other sectors of the economy.
3.135 If there is no appropriate market from which the value of a particular non-monetary flow or stock item can be taken by analogy, its valuation may be derived from prices that are established in less closely related markets.
Ultimately, some goods and services can only be valued by the amount that it would cost to produce them currently.
Market and own-account goods and services valued in this way should include a mark-up that reflects the net operating surplus or mixed income attributable to the producer.
For non-market goods and services produced by government units or NPISHs, however, no allowance should be made for any net operating surplus.
3.136 Sometimes it is necessary to value stocks at their estimated written down current acquisition values or production costs.
The write-down should then include all changes that have occurred to the item since it was purchased or produced (such as consumption of fixed capital, partial depletion, exhaustion, degradation, unforeseen obsolescence, exceptional losses and other unanticipated events).
The same method could be applied to non-monetary flows of existing assets.
3.137 If none of the methods mentioned above can be applied, stocks, or flows arising from the use of assets, may be recorded at the discounted present value of expected future returns.
For some financial assets, particularly those with a face value applicable at some point in the future, the present market value is established as the face value discounted to the present by the market interest rate.
In principle, therefore, if a reasonably robust estimate of the stream of future earnings to come from an asset can be made, along with a suitable discount rate, this allows an estimate of the present value to be established.
However, because it may be difficult to determine the future earnings with the appropriate degree of certainty, and given that assumptions are also needed about the asset's life length and the discount factor to be applied, the other possible sources of valuation described in the preceding paragraphs should be exhausted before resorting to this method.
Further, if this method is used, some sensitivity testing of the assumptions made may be appropriate.
In fact, the method most commonly used to derive estimates of consumption of fixed capital and the capital stock of fixed assets associates a stream of future earnings with the decline in value of a fixed asset in use in production.
(This method, the perpetual inventory method, is described further in chapters 13 and 20.)
3.138 Although the net present value method depends on making projections of future earnings and discount rates, it is theoretically sound as can often be verified for a number of financial assets.
If it is used for non-financial assets, some sensitivity testing of the assumptions made may be appropriate.
3.139 In conformity with the general rule, provision of assets, services, labour or capital in exchange for foreign cash is recorded at the actual exchange value agreed upon by the two parties to the transaction.
Flows and stocks concerning foreign currency are converted to their value in national currency at the rate prevailing at the moment they are entered in the accounts, that is, the moment the transaction or other flow takes place or the moment to which the balance sheet applies.
The midpoint between the buying and selling rate should be used so that any service charge is excluded.
3.140 Business accounts, tax returns and other administrative records are main sources of data for drawing up the national accounts.
One should be aware, however, that none of these necessarily satisfies the valuation requirements of the SNA and that accordingly adjustments may have to be made.
In particular, in the interest of prudence, business accounting often adopts valuations that are not appropriate for the national accounts.
Similarly, valuations for tax purposes often serve objectives that differ from those of macroeconomic analysis.
For example, the depreciation methods favoured in business accounting and those prescribed by tax authorities almost invariably deviate from the concept of consumption of fixed capital employed in the SNA.
3.141 Where a single payment refers to more than one transaction category (as they are defined in the SNA), the individual flows need to be recorded separately.
In such a case, the total value of the individual transactions after partitioning must equal the market value of the exchange that actually occurred.
For example, actual exchange values involving foreign currency include commission for currency conversion.
The portion related to currency conversion should be recorded separately as transactions in services.
As another example, the SNA recommends dividing interest transactions with financial corporations between two transaction categories, one showing interest as understood in the SNA and the other representing the implicit payment for financial intermediation services.
3.142 Partitioning is not limited to transactions; an example is real holding gains, which are separated for analytical reasons from neutral holding gains that are simply proportionate to changes in the general price level.
3.143 In some cases partitioning is connected with deceptive behaviour.
An example is the sort of transfer pricing discussed in paragraph 3.132.
3.144 A less obvious mingling of transactions occurs when the provision of an asset and the related money payment or payments do not take place simultaneously.
When the time gap becomes unusually long and the amount of trade credit extended is very large, the conclusion may be that implicitly an interest fee has been charged.
In such extreme cases, the actual payment or payments should be adjusted for accrued interest in order to arrive at the correct value of the asset transferred.
Such adjustments are not recommended for normal trade credit.
3.145 Usually, the producer and the user of a given product perceive its value differently owing to the existence of taxes and subsidies on products, transport costs to be paid and the occurrence of trade margins.
In order to keep as close as possible to the views of the economic transactors themselves, the SNA records all uses at purchasers' prices including these elements, but excludes them from the value of output of the product.
3.146 Output of products is recorded at basic prices.
The basic price is defined as the amount receivable by the producer from the purchaser for a unit of good or service produced as output minus any tax payable and plus any subsidy receivable on the product as a consequence of its production or sale.
It excludes any transport charges invoiced separately by the producer.
If it proves impossible to obtain the required information at basic prices, output may be valued at producers' prices.
The producer's price is defined as the amount receivable by the producer from the purchaser for a unit of a good or service produced as output minus any value added tax (VAT), or similar deductible tax, invoiced to the purchaser.
It also excludes any transport charges invoiced separately by the producer.
3.147 Use of products is recorded at purchasers' prices.
The purchaser's price is defined as the amount payable by the purchaser, excluding any deductible VAT or similar deductible tax, in order to take delivery of a unit of a good or service at the time and place required by the purchaser.
The purchaser's price of a good includes any transport charges paid separately by the purchaser to take delivery at the required time and place.
3.148 The difference in value recorded for a product between when it is produced and the moment it is used for, say, final consumption expenditure can be considerable.
Components of this difference may be:
a. Taxes less subsidies on products payable by the producer;
b. Trade and transport margins, including taxes less subsidies on products payable by wholesale and retail traders;
c. Transport, including taxes less subsidies on products, paid separately by the consumer;
d. Predictable quality increases producing additional output volume less current losses during storage;
e. Holding gains while the product is with the producer and with wholesale and retail traders.
As one can see from the above, the difference between the original basic price and ultimate purchasers' price of a particular good encompasses both pure price and volume elements.
In practice, of course, the estimates do not keep track of individual products but are made at a more global level for groups of products.
3.149 Imports and exports of goods are recorded in the SNA at border values.
Total imports and exports of goods are valued free-on-board (FOB, that is, at the exporter's customs frontier).
As it may not be possible to obtain FOB values for detailed product breakdowns, the tables containing details on foreign trade show imports of goods valued at the importer's customs frontier (CIF, that is, cost, insurance and freight), supplemented with global adjustments to FOB values.
CIF values include the insurance and freight charges incurred between the exporter's frontier and that of the importer.
The value on the commercial invoice may of course differ from both of these.
3.150 As the overall balance of imports and exports must conform to actual circumstances, border valuation of goods has consequences for the recording of freight and insurance in the SNA.
Usually, the values of both imports and exports for these service items have to be adapted to compensate for the special conventions on goods traded with the rest of the world.
Further details on this treatment are in chapters 14 and 26.
3.151 In order to determine the valuation of the other changes in the volume of assets, it is usually necessary to value the asset before and after the change in volume and take the difference that is not explained by any transaction as the value of the other change.
3.152 Other changes in the volume of financial assets and liabilities are recorded at the market-equivalent prices of similar instruments.
For writing-off of financial instruments that are valued at nominal values, the value recorded in the other changes in the volume of assets account should correspond to their nominal value prior to being written off.
For all reclassifications of assets and liabilities, values of both the new and old instruments should be the same.
3.153 Holding gains and losses accrue continuously and apply to both non-financial and financial assets and liabilities.
In general, they are estimated by deducting from the total change in the value of assets those that can be attributed to transactions and to other changes in volumes.
3.154 Since most financial assets are matched by liabilities, either within the domestic economy or with the rest of the world, it is important that holding gains in one are matched by holding losses in the other and vice versa.
A holding gain occurs when an asset increases in value or a liability decreases in value; a holding loss occurs when an asset decreases in value or a liability increases in value.
The value of holding gains and losses during an accounting period shows net changes in holding gains and holding losses for an asset and a liability separately.
In practice, the value of holding gains and losses is calculated for each asset and liability between two points in time: the beginning of the period or when the asset or liability is acquired or incurred and the end of the period or when the asset or liability is sold or extinguished.
3.155 Stocks of financial assets and liabilities should be valued as if they were acquired in market transactions on the balance sheet reporting date.
Many financial assets are traded in markets on a regular basis and therefore can be valued by directly using the price quotations from these markets.
If the financial markets are closed on the balance sheet date, the market prices that should be used in the valuation are those that prevailed on the closest preceding date when the markets were open.
Debt securities have a current market value as well as a nominal value, and for some purposes supplementary data on the nominal values of positions of debt securities may be useful.
3.156 Valuation according to market-value equivalent is needed for valuing financial assets and liabilities that are not traded in financial markets or are traded only infrequently.
For these assets and liabilities, it will be necessary to estimate fair values that, in effect, approximate market prices.
The present value of future cash flows can also be used as an approximation to market prices, provided an appropriate discount rate can be used.
3.157 Market values, fair values, and nominal values should be distinguished from such notions as amortized values, face values, book values, and historic cost.
a. Fair value is a market-equivalent value.
It is defined as the amount for which an asset could be exchanged, or a liability settled, between knowledgeable, willing parties in an arm's length transaction.
It thus represents an estimate of what could be obtained if the creditor had sold the financial claim.
b. Nominal value refers to the amount the debtor owes to the creditor, which comprises the outstanding principal amount including any accrued interest.
c. Amortized value reflects the amount at which the financial asset or liability was measured at initial recognition minus the principal repayments.
Excess payments over the scheduled principal repayments reduce the amortized value whereas payments that are less than the scheduled principal repayments or scheduled interest increase the amortized value.
On each scheduled date, amortized value is the same as nominal value, but it may differ from the nominal value on other dates due to the accrued interest being included in the nominal value.
d. Face value is the undiscounted amount of principal to be repaid.
e. Book value in business accounts generally refers to the value recorded in the enterprise's records.
Book values may have different meanings because their values are influenced by timing of acquisition, company takeovers, frequency of revaluations, and tax and other regulations.
f. Historic cost, in its strict sense, reflects the cost at the time of acquisition, but sometimes it may also reflect occasional revaluations.
3.158 The valuation of financial assets and liabilities in data reported by enterprises or other respondents may be based on commercial, supervisory, tax, or other accounting standards that do not fully reflect the market prices of the assets and liabilities.
In such cases, the data should be adjusted to reflect, as closely as possible, the market value of the financial assets and liabilities.
(More information on valuation rules can be found in External Debt Statistics: Guide for Compilers and Users ( Bank for International Settlements, the Commonwealth Secretariat, Eurostat, International Monetary Fund, Organisation for Economic Co-operation and Development, the Paris Club Secretariat, the United Nations Conference on Trade and Development and World Bank (2003)), known as the External Debt Guide.)
3.159 When discussing timing in the SNA, an essential distinction should be made between stock data as recorded in balance sheets, on the one hand, and flow data as recorded in the accounts, on the other.
Balance sheets, by definition, refer to specific points in time.
In contrast, flows are aggregations, over some chosen accounting period, of individual transactions or other flows, which are themselves scattered over the accounting period.
3.160 Thus, the SNA does not show individual transactions or other flows, but there are two reasons why precise rules on their individual timing must be given.
In the first place, rules have to be formulated to say in which accounting period the discrete flows are to be recorded.
Secondly, an exact timing of individual flows within the accounting period is crucial to distinguish between changes in net worth due to transactions and changes due to holding gains or losses.
This distinction is particularly important in situations of high inflation.
3.161 One of the problems in pinning down the timing of transactions is that activities of institutional units often extend over periods in which several important moments can be distinguished.
For instance, many commercial sales commence with the signing of a contract between a seller and a buyer, encompass a date of delivery and a date or dates on which payments become due and are only completed as of the date the last payment is received by the seller.
Each of these distinct moments in time is to some extent economically relevant.
3.162 Similarly, in analysing government expenditure one can distinguish the day that a budget is voted upon by the legislature, the day on which the ministry of finance authorizes a department to pay out specified funds, the day a particular commitment is entered into by the departments, the day deliveries take place and finally the day payment orders are issued and cheques are paid.
With regard to taxes, for example, important moments are the day or the period in which the liability arises, the moment the tax liability is definitively assessed, the day that it becomes due for payment without penalty and the day the tax is actually paid or refunds are made.
3.163 Clearly, making entries for all successive stages discernible within the activities of institutional units, although theoretically possible, would severely overburden the SNA.
A choice has to be made, recognizing (a) the needs of macroeconomic analysis, (b) microeconomic views, and (c) commonly available sources.
Often, in this respect, a distinction is drawn between recording flows on a cash basis, due-for-payment basis, the commitment basis and accrual basis.
There may be other timing bases, such as physical movement or administrative process, used in some data sources.
The SNA recommends recording on an accrual basis throughout.
3.164 Cash accounting records only cash payments and records them at the times these payments occur.
This method is widely used for certain business purposes.
A practical advantage is the avoidance of problems connected with valuing non-monetary flows.
Yet, cash accounting cannot be used generally for economic and national accounting as the times at which payments take place may diverge significantly from the economic activities and transactions to which they relate and it is these underlying activities and transactions that the SNA seeks to portray.
Moreover, cash recording cannot be applied to the many non-monetary flows included in the SNA.
3.165 Due-for-payment recording shows flows that give rise to cash payments at the latest times they can be paid without incurring additional charges or penalties and, in addition to these, actual cash payments at the moments they occur.
The period of time (if any) between the moment a payment becomes due and the moment it is actually made is bridged by recording a receivable or a payable in the financial accounts.
Due-for-payment recording furnishes a more comprehensive description of monetary flows than does cash accounting.
A disadvantage is, of course, that the registration is still limited to monetary flows.
3.166 Accrual accounting records flows at the time economic value is created, transformed, exchanged, transferred or extinguished.
This means that flows that imply a change of ownership are entered when the change occurs, services are recorded when provided, output at the time products are created and intermediate consumption when materials and supplies are being used.
The SNA favours accrual accounting because:
a. The timing of accrual accounting is in full agreement with the way economic activities and other flows are defined in the SNA.
This agreement allows the profitability of productive activities to be evaluated correctly (that is, without the disturbing influence of leads and lags in cash flows) and a sector's net worth to be calculated correctly at any point in time;
b. Accrual accounting can be applied to non-monetary flows.
3.167 Many transactions, such as everyday purchases of households in shops, are monetary transactions in which some asset is delivered against immediate, or nearly immediate, payment in cash.
In those instances there are no differences between the three methods discussed here.
Accrual accounting is particularly relevant to the timing of various internal transactions (such as output that is added to the inventories of the producer), exchanges in which the parties deliver at differing times (such as sales with deferred payments) and obligatory transfers (taxes and flows connected with social security).
3.168 Usually, accrual accounting is the norm for the institutional units involved.
Numerous transactions consist of an exchange between two enterprises of, say, goods for financial assets.
In such an exchange, accounting entries will be made in the books of each enterprise, showing the same dates for the acquisition of the goods and the surrender of the financial assets, on the one hand, and for the acquisition of the financial assets and the surrender of the goods, on the other.
Sometimes, however, the two parties involved in a transaction will not perceive it as occurring at the same moment.
Furthermore, some transactors, in particular government units, do not keep records of purchases on an accrual basis.
In these cases, the rules of consistency in the SNA require that efforts should be undertaken to correct basic statistics for major deviations and flaws.
The application of the general rule of recording on an accrual basis to the most common circumstances is discussed below.
3.169 The time of recording of the acquisition of goods is the moment when the economic ownership of those goods changes hands.
When change of ownership is not obvious, the moment of entering in the books of the transaction partners may be a good indication and, failing that, the moment when physical possession and control is acquired.
These subsidiary rules apply in particular to internal transactions or when a change of ownership is taken to occur under a financial lease or hire-purchase arrangement.
Imports and exports of goods are recorded when change of ownership occurs.
In the absence of sources specifying the date on which ownership changes, there is a strong presumption that the goods will cross the frontiers of the countries concerned either shortly before or soon after the change of ownership takes place.
Trade statistics based on customs documents reflecting the physical movement of goods across the national or customs frontier may therefore often be used as an approximation.
3.170 Services are recorded in the SNA when they are provided.
Some services are special in the sense that they are characteristically supplied on a continuous basis.
Examples are operating leasing, insurance and housing services (including those of owner-occupied dwellings).
These services are recorded as provided continuously over the whole period the contract lasts or the dwelling is available.
3.171 Following the general rule, distributive transactions are recorded at the moment the related claims arise.
As a result, for example, compensation of employees, interest, rent on land, social contributions and benefits are all registered in the period during which the amounts payable are built up. Equally, entries for taxes are made at the moment on which the underlying transactions or other flows occur that give rise to the liability to pay.
This implies that taxes on products and imports are recorded at the times the products in question are produced, imported or sold, depending on the basis for taxation.
Current taxes on income are recorded when the income to which they pertain is earned although taxes deducted at source may have to be recorded when they are deducted.
With respect to some distributive transactions, the time of accrual depends on the unit's decision when to distribute income or make a transfer.
The level of dividends is not unambiguously attributable to a particular earning period, and dividends are to be recorded as of the moment the associated share starts to be quoted “ex dividend”. Other examples are withdrawals from income of quasi-corporations and various voluntary transfers, which are recorded when effected.
3.172 Transactions in financial assets (including payments of cash) are recorded in the SNA on a change-of-ownership basis.
Some financial claims or liabilities defined in the SNA, in particular trade credits and advances, are the implicit result of a non-financial transaction and are not otherwise evidenced.
In these cases the financial claim is deemed to arise when its non-financial counterpart occurs.
The same holds for financial transactions that the SNA records between a quasi-corporation and its owner.
3.173 Both parties involved in a financial transaction may record it at varying dates in their own books because they acquire the documents evidencing the transaction at different times.
This variation is caused by the process of clearing, the time cheques are in the mail, etc.
The amounts involved in such “floats” are generally substantial in the case of transferable deposits and other accounts receivable and payable.
Again, reasons of consistency require that the transactions are entered on the same date for both parties.
If no precise date can be fixed on which the change of ownership occurs, the date on which the transaction is fully completed (thus the date on which the creditor receives his payment) is decisive.
3.174 For securities, the transaction date (that is, the time of the change in ownership of the securities) may precede the settlement date (that is, the time of the delivery of the securities).
Both parties should record the transactions at the time ownership changes, not when the underlying financial asset is delivered.
Any significant difference between transaction and settlement dates gives rise to accounts payable or receivable.
3.175 According to the accrual basis, repayments of debts are recorded when they are extinguished (such as when they are paid, or rescheduled, or forgiven by the creditor).
When arrears occur, no transactions should be imputed, but the arrears should continue to be shown in the same instrument until the liability is extinguished.
If the contract provided for a change in the characteristics of a financial instrument when it goes into arrears, this change should be recorded as a reclassification in the other changes in the financial assets and liabilities account.
The reclassification applies to situations where the original contract remains, but the terms within it changes (for example, interest rates or repayment periods).
If the contract is renegotiated or the nature of the instrument changes from one instrument category to another (for example, from bonds to equity), the consequences are to be recorded as new transactions.
3.176 The principle of recording on an accrual basis implies that output is recorded over the period in which the process of production takes place.
Thus, additions to work-in-progress are recorded continuously as work proceeds.
When the production process is terminated, the whole of the work-inprogress accumulated up to that point is effectively transformed into a stock of finished product ready for delivery or sale.
3.177 Similarly, the intermediate consumption of a good or service is recorded at the time when the good or service enters the process of production, as distinct from the time it was acquired by the producer.
3.178 Inventories may be materials and supplies held as inputs by producers, output as yet unsold, or products held by wholesale and retail traders.
In all cases, additions to inventories are recorded when products are purchased, produced or otherwise acquired.
Deductions from inventories are recorded when products are sold, used up as intermediate consumption or otherwise relinquished.
3.179 The timing of consumption of fixed capital is inextricably linked with the question of its valuation.
Consumption of fixed capital is a cost category that accrues over the whole period the fixed asset in question is available for productive purposes.
The exact proportioning to accounting periods depends on the rate of depreciation.
3.180 Transactions that are measured as the balance of two or more other transactions follow the timing of the constituent basic flows.
For example, financial intermediation services indirectly measured (FISIM) are recorded as interest on loans and deposits accrues.
3.181 The same rule for time of recording applies to balancing items.
However, due to the variety of transactions and other flows covered, each with its own characteristics, some thought is needed in interpreting balancing items.
For instance, in analysing the balancing item “saving” of non-financial corporations, one should be aware that the time when the operating surplus arises does not necessarily tally with the timing of the other factors, such as when dividends are payable.
3.182 Other changes in the volume of assets are usually discrete events that accrue at precise moments or within fairly short periods of time.
3.183 Changes in prices often have a more continuous character, particularly in respect of assets for which active markets exist.
In practice, nominal holding gains or losses will be computed between two points in time:
a. The moment at which:
· The accounting period begins; or
· Ownership is acquired from other units (through purchase or a transaction in kind); or
· An asset is produced; and
b. The moment at which:
· The accounting period ends; or
· The ownership of an asset is relinquished (through sale or a transaction in kind); or
· An asset is consumed in the production process.
3.184 One may wonder why nominal holding gains and losses are not calculated over a period beginning at the moment on which two units agree to a mutual exchange of assets instead of the period that starts with the moment on which the assets are acquired.
After all, does not the signing of the contract fix prices, implying that the risk for any later price changes is being transferred? The SNA, however, regards commitments resulting from a contract as contingent until one of the parties has performed its obligation (by passing the ownership of some asset to the other party, providing a service or providing labour or capital).
Also, a unit can incur holding gains and losses only on the assets or liabilities over which it has economic ownership.
The combination of these two rules implies that during the period between the signing of the contract and the date on which the first party delivers, the second party cannot incur any price risks on this contract: the second party neither owns the assets to be delivered nor owns a claim on the first party to be recorded in the financial accounts.
3.185 Changes in structure and classification should be entered at the moment when, according to the rules adopted in the SNA, a unit or an asset is moved to a different category than that to which it was classified previously.
An integrated stock-flow system like the SNA requires that all reclassifications are recorded and all entries for the reclassification are recorded at the same time.
3.186 In order to obtain statistical series that are more comparable over time, one might be tempted to stockpile major reclassifications for a number of years and enter them as one block at the end of this period.
However understandable this procedure might be, it does not conform to the recommendations of the SNA, which aim at correct estimates on levels.
Keeping records of reclassifications makes it possible in principle to reconstruct time series based on the situation in any accounting period.
3.187 Differences in the time of recording by partner economies may occur due to various factors.
One of the intrinsic problems with recording international transactions is the difference in time zones.
Differences in time of recording may also arise from delays in mail deliveries or settlement clearing processes.
In most cases, data at some aggregate level rather than individual records are used in the compilation of international accounts.
Several data sources may often only approximate the required basis.
It is important to make timing adjustments where there are major divergences from the required basis.
3.188 In choosing among available statistical sources, compilers may wish to consider the advantage of using data for which the correct timing is already recorded.
For example, records of actual drawings on loans are preferred to sources that quote authorization dates or program dates that may not be realized in fact.
Some sources chosen by compilers as generally the most suitable may not have been specifically designed to yield information for balance of payments purposes.
3.189 Balance sheets can be drawn up for any point in time.
The SNA defines balance sheets for all sectors at the moment when one accounting period ends and a new accounting period begins.
The closing balance sheet of one period is identical to the opening balance sheet of the next one, so there remain no price changes, reclassifications or other economic flows that are not duly recognized by the SNA.
3.190 The immense number of individual transactions, other flows and assets within the scope of the SNA have to be arranged in a manageable number of analytically useful groups.
In the SNA, such groups are constructed by crossing two or more classifications.
As a minimum, a classification of institutional sectors or industries is crossed with the classification of transactions, other accumulation entries or assets.
Additionally, resources must be distinguished from uses and assets from liabilities.
In order to accommodate more detailed analysis, the classes thus generated may be further subdivided: examples are specifications of kind of product or asset, of function and of transaction partners.
3.191 Since the classifications in the SNA contain a number of levels made explicit in the codes, corresponding levels of aggregation may be distinguished.
3.192 Although conceptually the value for each aggregate is the sum of the values for all elementary items in the relevant category, in practice other estimation methods are frequently used.
In the first place, information on elementary transactions, other flows and assets may be incomplete or even non-existent.
Secondly, the data obtained from different primary sources are usually not fully consistent due to variations in definitions and coverage, so adjustments at aggregate level are necessary to reconcile them.
3.193 Individual units or sectors may have the same kind of transaction both as a use and as a resource (for example, they both pay and receive interest) and the same kind of financial instrument both as an asset and as a liability.
Combinations in which all elementary items are shown for their full values are called gross recordings.
Combinations whereby the values of some elementary items are offset against items on the other side of the account or which have an opposite sign are called net recordings.
3.194 The SNA recommends gross recording apart from the degree of netting that is inherent in the classifications themselves.
In fact, netting is already a feature of many of the recommendations of the SNA.
It mostly serves to highlight an economically important property that is not apparent from gross data.
3.195 Netting is implicit in various transaction categories, the most outstanding example being “changes in inventories”, which underlines the analytically significant aspect of overall capital formation rather than tracking daily additions and withdrawals.
Similarly, with few exceptions, the financial account and other changes in assets accounts record increases in assets and in liabilities on a net basis, bringing out the final consequences of these types of flows at the end of the accounting period.
All balancing items also involve netting.
To avoid confusion, the SNA uses the words “gross” and “net” in a very restrictive sense.
Apart from a few headings (“net premiums”, “net worth” and “net lending or net borrowing”), the SNA classifications employ the word “net” exclusively to indicate the value of variables after deduction of consumption of fixed capital.
3.196 In the case of flows of financial assets and liabilities, the terms “net changes in assets” and “net changes in liabilities” are used to reflect the nature of the financial flows.
Financial flows reflect changes due to all credit and debit entries during an accounting period.
That is, financial flows are recorded on a net basis separately for each financial asset and liability.
The use of the terms “net changes in assets” and “net changes in liabilities” brings the financial account into line with the convention used in the accumulation accounts.
These are general terms that apply to both the financial account and other changes in financial assets and liabilities account.
The use of these terms also simplifies the interpretation of data.
For both assets and liabilities, a positive change indicates an increase in stocks and a negative change indicates a decrease in stocks.
The interpretation of increase or decrease under the credit or debit notion, however, depends on whether the increase or decrease refers to assets or liabilities (a debit for an asset is an increase while a debit for a liability is a decrease).
While the debit and credit presentation is not emphasized for financial account transactions, it is important to recognize and maintain the accounting identities; for example, a credit is always conceptually matched with a corresponding debit, the latter relating to either an increase in an asset, or reduction in a liability.
3.197 Consolidation is a special kind of cancelling out of flows and stocks that should be distinguished from other kinds of netting.
It involves the elimination of those transactions or debtor or creditor relationships that occur between two transactors belonging to the same institutional sector or subsector.
Consolidation should not be seen as a sheer loss of information; it entails an elementary specification by the transaction partner.
Consolidation may be most relevant for financial institutions and general government.
There is more detail on this in chapters 22 and 27.
For certain kinds of analysis, information on the transactions of these (sub)sectors with other sectors and the corresponding “external” financial position is more significant than overall gross figures.
As a rule, however, the entries in the SNA are not consolidated.
3.198 The rule of non-consolidation takes a special form regarding the transaction categories “output” and “intermediate consumption”. These transactions are to be recorded throughout at the level of establishments.
This implies specifically that the accounts for institutional sectors and for industries should not be consolidated in respect of output delivered between establishments belonging to the same institutional unit.
4.1 This chapter is concerned with the definition and description of institutional units and the way in which they are grouped to make up the sectors and subsectors of the SNA.
Another key concept to be discussed is residence since the total economy consists of the entire set of resident institutional units.
4.2 An institutional unit is an economic entity that is capable, in its own right, of owning assets, incurring liabilities and engaging in economic activities and in transactions with other entities.
The main attributes of institutional units may be described as follows:
a. An institutional unit is entitled to own goods or assets in its own right; it is therefore able to exchange the ownership of goods or assets in transactions with other institutional units;
b. It is able to take economic decisions and engage in economic activities for which it is itself held to be directly responsible and accountable at law;
c. It is able to incur liabilities on its own behalf, to take on other obligations or future commitments and to enter into contracts;
d. Either a complete set of accounts, including a balance sheet of assets and liabilities, exists for the unit, or it would be possible and meaningful, from an economic viewpoint, to compile a complete set of accounts if they were to be required.
4.3 There are two main types of units in the real world that may qualify as institutional units, namely persons or groups of persons in the form of households, and legal or social entities.
4.4 For purposes of the SNA, a household is a group of persons who share the same living accommodation, who pool some, or all, of their income and wealth and who consume certain types of goods and services collectively, mainly housing and food.
As well as individual households, there are units described as institutional households that comprise groups of persons staying in hospitals, retirement homes, convents, prisons, etc. for long periods of time.
4.5 The individual members of multiperson households are not treated as separate institutional units.
Many assets are owned, or liabilities incurred, jointly by two or more members of the same household while some or all of the income received by individual members of the same household may be pooled for the benefit of all members.
Moreover, many expenditure decisions, especially those relating to the consumption of food, or housing, may be made collectively for the household as a whole.
It may be impossible, therefore, to draw up meaningful balance sheets or other accounts for members of the household on an individual basis.
For these reasons, the household as a whole rather than the individual persons in it must be treated as the institutional unit.
4.6 The second type of institutional unit is a legal or social entity that engages in economic activities and transactions in its own right, such as a corporation, non-profit institution (NPI) or government unit.
A legal or social entity is one whose existence is recognized by law or society independently of the persons, or other entities, that may own or control it.
Such units are responsible and accountable for the economic decisions or actions they take, although their autonomy may be constrained to some extent by other institutional units; for example, corporations are ultimately controlled by their shareholders.
Some unincorporated enterprises belonging to households or government units may behave in much the same way as corporations, and such enterprises are treated as quasi-corporations when they have complete sets of accounts.
4.7 In the legal sense, corporations may be described by different names: corporations, incorporated enterprises, public limited companies, public corporations, private companies, joint-stock companies, limited liability companies, limited liability partnerships, and so on. Conversely, some legal entities that are non-profit institutions may sometimes be described as “corporations”. The status of an institutional unit cannot always be inferred from its name, and it is necessary to examine its objectives and functions.
In the SNA, the term corporation covers legally constituted corporations and also cooperatives, limited liability partnerships, notional resident units and quasi-corporations.
The description of these various institutional units is given in section B.
4.8 Non-profit institutions (NPIs) are legal or social entities created for the purpose of producing goods and services but whose status does not permit them to be a source of income, profit or other financial gain for the units that establish, control or finance them.
In practice, their productive activities are bound to generate either surpluses or deficits but any surpluses they happen to make cannot be appropriated by other institutional units.
The articles of association by which they are established are drawn up in such a way that the institutional units that control or manage them are not entitled to a share in any profits or other income they generate.
For this reason, they are frequently exempted from various kinds of taxes.
A description of the treatment of NPIs within the SNA is given in section C.
4.9 Government units are unique kinds of legal entities established by political processes that have legislative, judicial or executive authority over other institutional units within a given area.
Viewed as institutional units, the principal functions of government are to assume responsibility for the provision of goods and services to the community or to individual households and to finance their provision out of taxation or other incomes; to redistribute income and wealth by means of transfers; and to engage in non-market production.
4.10 The residence of each institutional unit is the economic territory with which it has the strongest connection, in other words, its centre of predominant economic interest.
The concept of economic territory in the SNA coincides with that of the BPM6.
Some key features are as follows.
In its broadest sense, an economic territory can be any geographic area or jurisdiction for which statistics are required.
The connection of entities to a particular economic territory is determined from aspects such as physical presence and being subject to the jurisdiction of the government of the territory.
The most commonly used concept of economic territory is the area under the effective economic control of a single government.
However economic territory may be larger or smaller than this, as in a currency or economic union or a part of a country or the world.
4.11 The economic territory includes the land area, airspace, territorial waters, including jurisdiction over fishing rights and rights to fuels or minerals.
In a maritime territory, the economic territory includes islands that belong to the territory.
The economic territory also includes territorial enclaves in the rest of the world.
These are clearly demarcated land areas (such as embassies, consulates, military bases, scientific stations, information or immigration offices, aid agencies, central bank representative offices with diplomatic immunity, etc.) located in other territories and used by governments that own or rent them for diplomatic, military, scientific, or other purposes with the formal agreement of governments of the territories where the land areas are physically located.
4.12 Economic territory has the dimensions of physical location as well as legal jurisdiction.
The concepts of economic territory and residence are designed to ensure that each institutional unit is a resident of a single economic territory.
The use of an economic territory as the scope of economic statistics means that each member of a group of affiliated enterprises is resident in the economy in which it is located, rather than being attributed to the economy of location of the head office.
4.13 In general, an institutional unit is resident in one and only one economic territory determined by the unit's centre of predominant economic interest.
Exceptions may be made for multiterritory enterprises that operate a seamless operation over more than one economic territory.
Although the enterprise has substantial activity in more than one economic territory, it cannot be broken up into separate branches or a parent and branch(es) because it is run as an indivisible operation with no separate accounts or decisions.
Such enterprises are typically involved in cross-border activities and include shipping lines, airlines, hydroelectric schemes on border rivers, pipelines, bridges, tunnels and undersea cables.
If it is not possible to identify a parent or separate branches, it is necessary to prorate the total operations of the enterprise into the individual economic territories.
For more information on these special cases, reference should be made to BPM6.
4.14 An institutional unit has a centre of predominant economic interest in an economic territory when there exists, within the economic territory, some location, dwelling, place of production, or other premises on which or from which the unit engages and intends to continue engaging, either indefinitely or over a finite but long period of time, in economic activities and transactions on a significant scale.
The location need not be fixed so long as it remains within the economic territory.
Actual or intended location for one year or more is used as an operational definition; while the choice of one year as a specific period is somewhat arbitrary, it is adopted to avoid uncertainty and facilitate international consistency.
4.15 The concept of residence in the SNA is exactly the same as in BPM6.
Some key consequences follow:
a. The residence of individual persons is determined by that of the household of which they form part and not by their place of work.
All members of the same household have the same residence as the household itself, even though they may cross borders to work or otherwise spend periods of time abroad.
If they work and reside abroad so long that they acquire a centre of economic interest abroad, they cease to be members of their original households;
b. Unincorporated enterprises that are not quasi-corporations are not separate institutional units from their owners and, therefore, have the same residence as their owners;
c. Corporations and NPIs may normally be expected to have a centre of economic interest in the country in which they are legally constituted and registered.
Corporations may be resident in countries different from their shareholders and subsidiary corporations may be resident in countries different from their parent corporations.
When a corporation, or unincorporated enterprise, maintains a branch, office or production site in another country in order to engage in production over a long period of time (usually taken to be one year or more) but without creating a subsidiary corporation for the purpose, the branch, office or site is considered to be a quasi-corporation (that is, a separate institutional unit) resident in the country in which it is located;
d. Owners of land, buildings and immovable structures in the economic territory of a country, or units holding long leases on either, are deemed always to have a centre of economic interest in that country, even if they do not engage in other economic activities or transactions in the country.
All land and buildings are therefore owned by residents;
e. Extraction of subsoil resources can only be undertaken by resident institutional units.
An enterprise that will undertake extraction is deemed to become resident when the requisite licences or leases are issued, if not before;
f. For entities such as many special purpose entities, that have few if any attributes of location, the location is determined by their place of incorporation.
Further elaboration of borderline cases is given in chapter 26 and in BPM6.
4.16 The institutional sectors of the SNA group together similar kinds of institutional units.
Corporations, NPIs, government units and households are intrinsically different from each other in that their economic objectives, functions and behaviour are different.
4.17 Institutional units are allocated to sector according to the nature of the economic activity they undertake.
The three basic economic activities recorded in the SNA are production of goods and services, consumption to satisfy human wants or needs and accumulation of various forms of capital.
Corporations undertake either production or accumulation (or both) but do not undertake (final) consumption.
Government undertakes production (but mainly of a different type from corporations), accumulation and final consumption on behalf of the population.
All households undertake consumption on their own behalf and may also engage in production and accumulation. NPIs are diverse in nature.
Some behave like corporations, some are effectively part of government and some undertake activities similar to government but independently of it.
4.18 Fundamental to the distinction between corporations and government is the basis on which production is undertaken.
Corporations produce for the market and aim to sell their products at economically significant prices.
Prices are said to be economically significant if they have a significant effect on the amount that producers are willing to supply and the amounts purchasers wish to buy.
These prices normally result when the producer has an incentive to adjust supply either with the goal of making a profit in the long run (or at a minimum, covering capital and other costs) and consumers have the freedom to purchase or not purchase and make the choice on the basis of the prices charged.
There is more extensive discussion of the definition of economically significant prices and the meaning of market and non-market production in chapters 6 and 22.
4.19 Corporations are divided between those mainly providing financial services and those mainly providing goods and other services.
The two groups are known as financial corporations and non-financial corporations respectively.
The distinction is made because of the special role that financial corporations play in the economy.
4.20 The economic objectives, functions and behaviour of government units are quite distinct.
They organize and finance the provision of goods and services, to individual households and the community at large and therefore incur expenditures on final consumption.
They may produce most of these goods and services themselves but the products are usually either provided free or at prices determined by considerations other than purely market forces.
Government units are also concerned with distribution and redistribution of income and wealth through taxation and other transfers.
Government units include social security funds.
4.21 The economic objectives, functions and behaviour of households are different again.
Although primarily consumer units, they can also engage in production.
Often this production activity is relatively small scale and includes informal and subsistence activities.
When the production units of households are not legal entities (and cannot be treated as such) they are described as unincorporated enterprises.
They remain part of the same institutional unit as the household to which they belong.
4.22 NPIs are institutional units created for the purpose of producing or distributing goods or services but not for the purpose of generating any income or profit for the units that control or finance them.
Nevertheless, some NPIs deliver goods and services to customers at economically significant prices and, when they do, these NPIs are treated in the same way as corporations in the SNA.
Other NPIs that are controlled by government are treated as government units.
The remaining NPIs, those that produce goods and services but do not sell them at economically significant prices and are not controlled by government, are treated as a special group of units called non-profit institutions serving households (NPISHs).
They are in effect non-governmental social institutions.
4.23 The total economy is defined as the entire set of resident institutional units.
The resident institutional units that make up the total economy are grouped into five mutually exclusive institutional sectors.
Sectors are groups of institutional units and the whole of each institutional unit must be classified to one or other sector of the SNA.
The full sequence of accounts of the SNA may be constructed for a single institutional unit or a group of units.
The attributes of an institutional unit described in paragraph 4.2 explain why it is not possible to compile a full set of accounts for only part of a unit.
However, it is possible, useful and common practice to compile some accounts for sub-divisions of corporations, discriminating on the basis of the type of production the parts undertake.
This is the subject of chapter 5.
For the present chapter attention focuses on the allocation of complete units to one sector or another.
Figure 4.1: Illustrative allocation of units to institutional sectors
4.24 All resident institutional units are allocated to one and only one of the following five institutional sectors:
The non-financial corporations sector;
The financial corporations sector;
The general government sector;
The non-profit institutions serving households sector;
The households sector.
4.25 The conceptual basis for the allocation of a unit to the appropriate sector can be seen in figure 4.1.
The boxes for the sectors of the total economy, plus the box for the rest of the world, appear with double borders.
Once non-resident units and households are set aside, only resident legal and social entities remain.
Three questions determine the sectoral allocation of all such units.
The first is whether the unit is a market or non-market producer.
This depends on whether the majority of the unit's production is offered at economically significant prices or not.
4.26 The second question determining sectoral allocation applies to non-market units, all of which, including non-market NPIs, are allocated either to general government or to the NPISH sector.
The determining factor is whether the unit is part of, or controlled by, government.
The criteria to establish control are discussed in section C below.
4.27 The third question determining sectoral allocation applies to market units, all of which, including market NPIs, are allocated to either the non-financial corporations sector or the financial corporations sector.
In the context of sectors as elsewhere in the SNA, the term “corporation” is used to encompass cooperatives, limited liability partnerships, notional resident units and quasi-corporations as well as legally constituted corporations.
4.28 All resident non-financial corporations are included in the non-financial corporations sector and make up most of the sector in practice.
In addition, the sector includes non-profit institutions (NPIs) engaged in the market production of goods and non-financial services: for example, hospitals, schools or colleges that charge fees that enable them to recover their current production costs, or trade associations financed by subscriptions from non-financial corporate or unincorporated enterprises whose role is to promote and serve the interests of those enterprises.
The non-financial corporations sector is described further in section D.
4.29 The financial corporations sector includes all resident corporations whose principal activity is providing financial services including financial intermediation, insurance and pension fund services, and units that provide activities that facilitate financial intermediation.
In addition, the sector includes NPIs engaged in market production of a financial nature such as those financed by subscriptions from financial enterprises whose role is to promote and serve the interests of those enterprises.
The financial corporations sector is described further in section E.
4.30 The general government sector consists mainly of central, state and local government units together with social security funds imposed and controlled by those units.
In addition, it includes NPIs engaged in non-market production that are controlled by government units or social security funds.
4.31 The non-profit institutions serving households sector consists of all resident NPIs, except those controlled by government, that provide non-market goods or services to households or to the community at large.
4.32 The households sector consists of all resident households.
These include institutional households made up of persons staying in hospitals, retirement homes, convents, prisons, etc. for long periods of time.
As already noted, an unincorporated enterprise owned by a household is treated as an integral part of the latter and not as a separate institutional unit unless the accounts are sufficiently detailed to treat the activity as that of a quasi-corporation.
4.33 Each of the five institutional sectors listed above may be divided into subsectors.
No single method of subsectoring may be optimal for all purposes or all countries, so that alternative methods of subsectoring are recommended for certain sectors.
Dividing the total economy into sectors enhances the usefulness of the accounts for purposes of economic analysis by grouping together institutional units with similar objectives and types of behaviour.
Sectors and subsectors are also needed in order to be able to target or monitor particular groups of institutional units for policy purposes.
For example, the household sector has to be divided into subsectors in order to be able to observe how different sections of the community are affected by, or benefit from, the process of economic development or government economic and social policy measures.
Similarly, it may be important to treat corporations subject to control by non-residents as subsectors of the financial and non-financial corporate sectors not only because they are liable to behave differently from domestically controlled corporations but because policymakers may wish to be able to identify and observe those parts of the economy that are subject to influence from abroad.
The division of sectors into subsectors depends upon the type of analysis to be undertaken, the needs of policymakers, the availability of data and the economic circumstances and institutional arrangements within a country.
4.34 One common subsectoring is to identify those non-financial and financial corporations that are controlled by the government, called public corporations, and those that are controlled from abroad.
The remaining corporations form the national private corporations in an economy.
The criteria for determining control by government and from abroad are discussed in section B. Figure 4.1 includes this type of subsectoring for both groups of corporations.
4.35 As described above, the SNA assigns NPIs to different sectors according to whether they produce for the market or not, regardless of motivation, status of employees or the activity they are engaged in. However, there is increasing interest in considering the full set of NPIs as evidence of “civil society” so it is recommended that NPIs within the corporate and government sectors be identified in distinct subsectors so that supplementary tables summarizing all NPI activities can be derived in a straightforward manner as and when required.
4.36 The question of subsectoring is included in the more extensive consideration of each institutional sector in following sections.
Particular subsectors are suggested for general government, financial corporations and households.
4.37 On occasion it is convenient to refer to non-resident households or corporations as units that are resident in the rest of the world.
Whenever accounts are drawn up for institutional sectors, as well as an account for the total economy, a further account is shown showing the relationship with the rest of the world.
In effect, therefore transactions with the rest of the world are recorded as if the rest of the world is a de facto sixth sector.
4.38 In the SNA, the term corporation is used more broadly than in just the legal sense.
In general, all entities that are:
a. capable of generating a profit or other financial gain for their owners,
b. recognized at law as separate legal entities from their owners who enjoy limited liability,
c. set up for purposes of engaging in market production,
are treated as corporations in the SNA, however they may describe themselves or whatever they may be called.
As well as legally constituted corporations the term corporations is used to include cooperatives, limited liability partnerships, notional resident units and quasi-corporations.
Whenever the term corporation is used, the broader coverage rather than the narrow legal definition is intended unless otherwise stated.
Each of the main components of the broader coverage is discussed in turn below.
4.39 Legally constituted corporations may be described by different names: corporations, incorporated enterprises, public limited companies, public corporations, private companies, joint-stock companies, limited liability companies, limited liability partnerships, and so on.
A legally constituted corporation is a legal entity, created for the purpose of producing goods or services for the market, that may be a source of profit or other financial gain to its owner(s); it is collectively owned by shareholders who have the authority to appoint directors responsible for its general management.
4.40 The laws governing the creation, management and operations of legally constituted corporations may vary from country to country so that it is not feasible to provide a precise, legal definition of a corporation that would be universally valid.
It is possible, however, to indicate in more detail the typical features of corporations that are most relevant from the point of view of the SNA.
They may be summarized as follows:
a. A corporation is an entity created by process of law whose existence is recognized independently of the other institutional units that may own shares in its equity.
The existence, name and address of a corporation are usually recorded in a special register kept for this purpose.
A corporation may normally be expected to have a centre of predominant economic interest (that is, to be resident) in the country in which it is created and registered.
b. A corporation that is created for the purpose of producing goods or services for sale on the market does so at prices that are economically significant.
This implies that it is a market producer.
(A description of economically significant prices and the difference between market and non-market production is given in chapters 6 and 22.)
c. A corporation is fully responsible and accountable at law for its own actions, obligations and contracts, this being an essential attribute of an institutional unit in the SNA.
A corporation is subject to the tax regime of the country where it is resident in respect of its productive activities, income or assets.
d. Ownership of a corporation is vested in the shareholders collectively.
The amount of income actually distributed to shareholders as dividends in any single accounting period is decided by the directors of the corporation.
Income is usually distributed to shareholders in proportion to the value, or amounts, of the shares or other capital participations they own.
There may be different kinds of shares in the same corporation carrying different entitlements.
e. In the event of a corporation being wound up, or liquidated, the shareholders are similarly entitled to a share in the net worth of the corporation remaining after all assets have been sold and all liabilities paid.
If a corporation is declared bankrupt because its liabilities exceed the value of its assets, the shareholders are not liable to repay the excess liabilities.
f. Control of a corporation is ultimately exercised by the shareholders collectively.
A corporation has a board of directors that is responsible for the corporation's policy and appoints the senior management of the corporation.
The board of directors is usually appointed by the collective vote of the shareholders.
g. In practice, however, some shareholders may exert much more influence or control over the policies and operations of a corporation than others.
h. The voting rights of shareholders may not be equal.
Some types of shares may carry no voting rights, while others may carry exceptional rights, such as the right to make specific appointments to the board of directors or the right to veto other appointments made on a majority vote.
Such exceptional rights may be held by the government when it is a shareholder in a corporation.
i. Many shareholders with voting rights do not choose to exercise them, so that a small, organized minority of active shareholders may be in a position to control the policy and operations of a corporation.
4.41 Cooperatives are set up by producers for purposes of marketing their collective output.
The profits of such cooperatives are distributed in accordance with their agreed rules and not necessarily in proportion to shares held, but effectively they operate like corporations.
Similarly, partnerships whose members enjoy limited liability are separate legal entities that behave like corporations.
In effect, the partners are at the same time both shareholders and managers.
4.42 Some unincorporated enterprises function in all (or almost all) respects as if they were incorporated.
These are termed quasi-corporations in the SNA and are included with corporations in the non-financial and financial corporations sectors.
A quasi-corporation is:
a. either an unincorporated enterprise owned by a resident institutional unit that has sufficient information to compile a complete set of accounts and is operated as if it were a separate corporation and whose de facto relationship to its owner is that of a corporation to its shareholders, or
b. an unincorporated enterprise owned by a nonresident institutional unit that is deemed to be a resident institutional unit because it engages in a significant amount of production in the economic territory over a long or indefinite period of time.
4.43 Three main kinds of quasi-corporations are recognized in the SNA:
a. Unincorporated enterprises owned by government units that are engaged in market production and that are operated in a similar way to publicly owned corporations;
b. Unincorporated enterprises, including unincorporated partnerships or trusts, owned by households that are operated as if they were privately owned corporations;
c. Unincorporated enterprises that belong to institutional units resident abroad, referred to as “branches”.
4.44 The intent behind the concept of a quasi-corporation is clear: namely, to separate from their owners those unincorporated enterprises that are sufficiently self-contained and independent that they behave in the same way as corporations.
If they function like corporations, they must keep complete sets of accounts.
Indeed, the existence of a complete set of accounts, including balance sheets, for the enterprise is a necessary condition for it to be treated as a quasi-corporation.
Otherwise, it would not be feasible from an accounting point of view to distinguish the quasi-corporation from its owner.
4.45 As a quasi-corporation is treated as a separate institutional unit from its owner, it must have its own value added, saving, assets, liabilities, etc.
It must be possible to identify and record any flows of income and capital that are deemed to take place between the quasi-corporation and its owner.
The amount of income withdrawn from a quasi-corporation during a given accounting period is decided by the owner, such a withdrawal being equivalent to the payment of a dividend by a corporation to its shareholder(s).
Given the amount of the income withdrawn, the saving of the quasi-corporation (that is, the amount of earnings retained within the quasi-corporation) is determined.
A balance sheet is also needed for the quasi-corporation showing the values of its non-financial assets used in production and also the financial assets and liabilities owned or incurred in the name of the enterprise.
4.46 Experience has shown that countries have difficulty treating unincorporated enterprises owned by households as quasi-corporations.
However, it is not useful to introduce additional criteria, such as size, into the definition of quasi-corporations owned by households.
If an enterprise is not in fact operated like a corporation and does not have a complete set of accounts of its own, it cannot and should not be treated as a quasi-corporation however large it may be.
4.47 When a non-resident unit has substantial operations over a significant period in an economic territory, but no separate legal entity, a branch may be identified as an institutional unit.
This unit is identified for statistical purposes because the operations have a strong connection to the location of operations in all ways other than incorporation.
An unincorporated enterprise abroad should be treated as a quasi-corporation when indications of substantial operations can be identified separately from the rest of the entity.
As with other quasi-corporations, either a complete set of accounts for the unit exists or it would be meaningful from an economic point of view to compile them.
The availability of separate records indicates that an actual unit exists and makes it practical to prepare statistics.
In addition, all or most of the following factors tend to be present for a branch to be recognized:
a. Production based in the territory is undertaken or intended for one year or more in a territory other than that of its head office:
· If the production process involves physical presence, then the operations should be physically located in that territory.
Some indicators of an intention to locate in the territory include purchasing or renting business premises, acquiring capital equipment, and recruiting local staff.
· If the production does not involve physical presence, such as some cases of banking, insurance, or other financial services, the operations should be recognized as being in the territory by virtue of the registration or legal domicile of those operations in that territory.
b. The operations are recognized as being subject to the income tax system, if any, of the economy in which it is located even if it may have a tax-exempt status.
4.48 Some construction projects undertaken by a nonresident contractor may give rise to a branch.
Construction may be carried out or managed by a nonresident enterprise, without the creation of a local legal entity, for example, major projects (such as bridges, dams, power stations) that take a year or more to complete and that are managed through a local site office.
4.49 Immovable assets such as land and other natural resources, and buildings and structures are treated as being owned by resident units except in one particular circumstance.
If the legal owner is actually non-resident, an artificial unit, called a notional resident unit, is created in the SNA.
The notional resident unit is recorded as owning the asset and receiving the rent or rentals that accrue to the asset.
The legal owner owns the equity in the notional resident unit and then receives income from the notional resident unit in the form of property income paid abroad.
The only exception is made for land and buildings in extraterritorial enclaves of foreign governments (such as embassies, consulates and military bases) that are subject to the laws of the home territory and not those of the territory where they are physically situated.
4.50 A long-term lease to use immovable assets such as land and other natural resources must also be held by a resident.
If necessary, a notional resident unit is identified in this case also.
4.51 Large groups of corporations, or conglomerates, may be created whereby a parent corporation controls several subsidiaries, some of which may control subsidiaries of their own, and so on. For certain purposes, it may be desirable to have information relating to a group of corporations as a whole.
However, each individual corporation should be treated as a separate institutional unit, whether or not it forms part of a group.
Even subsidiaries that are wholly owned by other corporations are separate legal entities that are required by law and the tax authorities to produce complete sets of accounts, including balance sheets.
Although the management of a subsidiary corporation may be subject to the control of another corporation, it remains responsible and accountable for the conduct of its own production activities.
4.52 Another reason for not treating groups of corporations as single institutional units is that groups are not always well defined, stable or easily identified in practice.
It may be difficult to obtain data for groups whose activities are not closely integrated.
Moreover, many conglomerates are much too large and heterogeneous for them to be treated as single units, and their size and composition may be continually shifting over time as a result of mergers and takeovers.
4.53 Two quite different types of units exist that are both often referred to as holding companies.
The first is the head office that exercises some aspects of managerial control over its subsidiaries.
These may sometimes have noticeably fewer employees, and more at a senior level, than its subsidiaries but it is actively engaged in production.
These types of activities are described in ISIC Rev. 4 in section M class 7010 as follows:
This class includes the overseeing and managing of other units of the company or enterprise; undertaking the strategic or organizational planning and decision making role of the company or enterprise; exercising operational control and manage the day-to-day operations of their related units.
Such units are allocated to the non-financial corporations sector unless all or most of their subsidiaries are financial corporations, in which case they are treated by convention as financial auxiliaries in the financial corporations sector.
4.54 The type of unit properly called a holding company is a unit that holds the assets of subsidiary corporations but does not undertake any management activities.
They are described in ISIC Rev. 4 in section K class 6420 as follows:
This class includes the activities of holding companies, i.e. units that hold the assets (owning controlling-levels of equity) of a group of subsidiary corporations and whose principal activity is owning the group.
The holding companies in this class do not provide any other service to the enterprises in which the equity is held, i.e. they do not administer or manage other units.
Such units are always allocated to the financial corporations sector and treated as captive financial institutions even if all the subsidiary corporations are non-financial corporations.
4.55 A number of institutional units may be described as special purpose entities (SPEs) or special purpose vehicles.
There is no common definition of an SPE but some of the following characteristics may apply.
4.56 Such units often have no employees and no non-financial assets.
They may have little physical presence beyond a “brass plate” confirming their place of registration.
They are always related to another corporation, often as a subsidiary, and SPEs in particular are often resident in a territory other than the territory of residence of the related corporations.
In the absence of any physical dimension to an enterprise, its residence is determined according to the economic territory under whose laws the enterprise is incorporated or registered.
For more detail on problematical cases see BPM6.
4.57 Entities of this type are commonly managed by employees of another corporation which may or may not be a related one.
The unit pays fees for services rendered to it and in turn charges its parent or other related corporation a fee to cover these costs.
This is the only production the unit is involved in though it will often incur liabilities on behalf of its owner and will usually receive investment income and holding gains on the assets it holds.
4.58 Whether a unit has all or none of these characteristics, and whether it is described as an SPE or some similar designation or not, it is treated in the SNA in the same way as any other institutional unit by being allocated to sector and industry according to its principal activity unless it falls into one of the three following categories:
a. Captive financial institutions,
b. Artificial subsidiaries of corporations,
c. Special purpose units of general government.
Each of these is described below.
4.59 A holding company that simply owns the assets of subsidiaries is one example of a captive financial institution.
Other units that are also treated as captive financial institutions are units with the characteristics of SPEs as described above including investment and pension funds and units used for holding and managing wealth for individuals or families, holding assets for securitization, issuing debt securities on behalf of related companies (such a company may be called a conduit), securitization vehicles and to carry out other financial functions.
4.60 The degree of independence from its parent may be demonstrated by exercising some substantive control over its assets and liabilities to the extent of carrying the risks and reaping the rewards associated with the assets and liabilities.
Such units are classified in the financial corporations sector.
4.61 An entity of this type that cannot act independently of its parent and is simply a passive holder of assets and liabilities (sometimes described as being on auto-pilot) is not treated as a separate institutional unit unless it is resident in an economy different from that of its parent.
If it is resident in the same economy as its parent, it is treated as an “artificial subsidiary” as described immediately below.
4.62 Within the SNA, the term corporation is used to denote both those institutions legally recognized as corporations and other units treated in the SNA as corporations, specifically quasi-corporations, branches and notional units.
For the following six paragraphs, however, the term corporation is used in the sense of a corporation as a legal entity.
4.63 A subsidiary corporation, wholly owned by a parent corporation, may be created to provide services to the parent corporation, or other corporations in the same group, in order to avoid taxes, to minimize liabilities in the event of bankruptcy, or to secure other technical advantages under the tax or corporation legislation in force in a particular country.
For example, the parent may create a subsidiary to which ownership of its land, buildings or equipment is transferred and whose sole function is to lease them back again to the parent corporation; the subsidiary may be the nominal employer of all the staff who are then contracted to other corporations in the group, the subsidiary may keep the accounts and records of the parent on a separate computer installation; the role of the subsidiary may be established to take advantage of favourable funding or regulatory treatments and so on. In some cases, corporations may create “dormant” subsidiaries that are not actually engaged in any production but which may be activated at the convenience of the parent corporation.
4.64 In general, these sorts of corporations do not satisfy the definition of an institutional unit in the SNA because they lack the ability to act independently from their parent corporation and may be subject to restrictions on their ability to hold or transact assets held on their balance sheets.
Their level of output and the price they receive for it are determined by the parent that (possibly with other corporations in the same group) is their sole client.
They are thus not treated as separate institutional units in the SNA but are treated as an integral part of the parent and their accounts are consolidated with those of the parent.
As noted above, the accounts for passive SPEs (those on autopilot) are also consolidated with their parent corporation unless they are resident in an economy different from that where the parent is resident.
4.65 Quasi-corporations such as a partnership or trust may also be set up by a parent corporation for similar reasons to the subsidiary corporations just described.
Within the SNA, these are also treated as an integral part of the parent and their accounts are consolidated with the parent.
4.66 A distinction must be made between artificial subsidiaries as just described and a unit undertaking only ancillary activities.
As described in more detail in section D of chapter 5, ancillary activities are limited in scope to the type of service functions that virtually all enterprises need to some extent or another such as cleaning premises, running the staff payroll or providing the information technology infrastructure for the enterprise.
Units undertaking only ancillary activities will in general not satisfy the conditions of being an institutional unit (for the same sort of reason as artificial subsidiaries do not) but they may sometimes be treated as a separate establishment of the enterprise if this is analytically useful.
4.67 General government may also set up special units, with characteristics and functions similar to the captive financial institutions and artificial subsidiaries of corporations just described.
Such units do not have the power to act independently and are restricted in the range of transactions they can engage in. They do not carry the risks and rewards associated with the assets and liabilities they hold.
Such units, if they are resident, are treated as an integral part of general government and not as separate units.
If they are non-resident they are treated as separate units.
Any transactions carried out by them abroad are reflected in corresponding transactions with government.
Thus a unit that borrows abroad is then regarded as lending the same amount to general government, and on the same terms, as the original borrowing.
4.68 The ownership of a listed corporation is diffused among the institutional units that own its shares in proportion to the shareholdings.
It is possible for one single institutional unit, whether another corporation, a household or a government unit, to own all the equity or shares in a corporation but, in general, ownership of a listed corporation is diffused among several, possibly very many, institutional units.
4.69 A single institutional unit owning more than a half of the shares, or equity, of a corporation is able to control its policy and operations by outvoting all other shareholders, if necessary.
Similarly, a small, organized group of shareholders whose combined ownership of shares exceeds 50 per cent of the total is able to control the corporation by acting in concert.
There may be exceptional cases in which certain shareholders enjoy privileged voting rights, such as a “golden share” giving a right of veto, but in general an individual institutional unit or group of units owning more than half the voting shares of a corporation can exercise complete control by appointing directors of its own choice.
The degree of autonomy exercised by the directors and managers of a corporation is, therefore, likely to vary considerably, depending upon the extent to which the ownership of its shares is concentrated in the hands of a small number of other institutional units, whether these are other corporations, households or government units.
In general, institutional units do not have to be autonomous but they do have to be responsible, and accountable, for the decisions and actions they take.
4.70 Because many shareholders do not exercise their voting rights, a single shareholder, or small number of shareholders acting together, may be able to secure control over a corporation, even though they may hold considerably less than half of the total shares.
When ownership of shares is widely diffused among a large number of shareholders, control may be secured by owning considerably less than half of the total shares.
4.71 However, it is not possible to stipulate a minimum shareholding below 50 per cent that will guarantee control in all cases.
The minimum must vary depending upon the total number of shareholders, the distribution of shares among them, and the extent to which small shareholders take an active interest, etc.
4.72 It is common for corporations to own shares in other corporations, and certain interrelationships between corporations need to be specified for purposes of the SNA.
4.73 Corporation B is said to be a subsidiary of corporation A when:
a. Either corporation A controls more than half of the shareholders' voting power in corporation B; or
b. Corporation A is a shareholder in corporation B with the right to appoint or remove a majority of the directors of corporation B.
4.74 Corporation A may be described as the parent corporation in this situation.
As the relationship of a parent corporation to a subsidiary is defined in terms of control rather than ownership, the relationship must be transitive: that is, if C is a subsidiary of B and B is a subsidiary of A, then C must also be a subsidiary of A. If A has a majority shareholding in B while B has a majority shareholding in C, A cannot also have a majority shareholding in C. Nevertheless, A must be able to control C if it controls B. By analogy with families of persons, corporation B can be described as a first generation subsidiary of corporation A, and corporation C as a second generation subsidiary of A. Evidently, large families of corporations may be built up with any number of subsidiaries at each level or generation and also any number of generations.
Very large families of corporations, described as conglomerates, are encountered in some countries.
Conglomerates that include corporations resident in different countries are usually described as multinational corporations.
4.75 Corporation B is said to be an associate of corporation A when corporation A and its subsidiaries control between 10 per cent and 50 per cent of the shareholders' voting power in B so that A has some influence over the corporate policy and management of B.
4.76 By definition, a corporation is able to exert less influence over an associate corporation than over a subsidiary.
Although some corporations may be able to exert considerable influence over their associates, this cannot be guaranteed.
The relationship between associates is weaker than that between parent and subsidiary corporations, and groups of associates may not be well defined.
4.77 A corporation is a public corporation if a government unit, another public corporation, or some combination of government units and public corporations controls the entity, where control is defined as the ability to determine the general corporate policy of the corporation.
The expression “general corporate policy” as used here is understood in a broad sense to mean the key financial and operating policies relating to the corporation's strategic objectives as a market producer.
4.78 Because governments exercise sovereign powers through legislation, regulations, orders and the like, care needs to be applied in determining whether the exercise of such powers amounts to a determination of the general corporate policy of a particular corporation and therefore control of the corporation.
Laws and regulations applicable to all units as a class or to a particular industry should not be viewed as amounting to control of these units.
4.79 The ability to determine general corporate policy does not necessarily include the direct control of the day-to-day activities or operations of a particular corporation.
The officers of such corporations would normally be expected to manage these in a manner consistent with and in support of the overall objectives of the particular corporation.
Nor does the ability to determine the general corporate policy of a corporation include the direct control over any professional, technical or scientific judgments, as these would normally be viewed as part of the core competence of the corporation itself.
For example, the professional or technical judgments exercised by a corporation set up to certify aircraft airworthiness would not be considered controlled in respect of individual approvals and disapprovals, though its broader operating and financial policies, including the airworthiness criteria, may well be determined by a government unit as part of the corporation's corporate policy.
4.80 Because the arrangements for the control of corporations can vary considerably, it is neither desirable nor feasible to prescribe a definitive list of factors to be taken into account.
The following eight indicators, however, will normally be the most important and likely factors to consider:
a. Ownership of the majority of the voting interest.
Owning a majority of shares will normally constitute control when decisions are made on a one-share one-vote basis.
The shares may be held directly or indirectly, and the shares owned by all other public entities should be aggregated.
If decisions are not made on a one-share one-vote basis, the classification should be based on whether the shares owned by other public entities provide a majority voice.
b. Control of the board or other governing body.
The ability to appoint or remove a majority of the board or other governing body as a result of existing legislation, regulation, contractual, or other arrangements will likely constitute control.
Even the right to veto proposed appointments can be seen as a form of control if it influences the choices that can be made.
If another body is responsible for appointing the directors, it is necessary to examine its composition for public influence.
If a government appoints the first set of directors but does not control the appointment of replacement directors, the body would then be part of the public sector until the initial appointments had expired.
c. Control of the appointment and removal of key personnel.
If control of the board or other governing body is weak, the appointment of key executives, such as the chief executive, chairperson and finance director, may be decisive.
Non-executive directors may also be relevant if they sit on key committees such as the remuneration committee determining the pay of senior staff.
d. Control of key committees of the entity.
Subcommittees of the board or other governing body could determine the key operating and financial policies of the entity.
Majority public sector membership on these subcommittees could constitute control.
Such membership can be established under the constitution or other enabling instrument of the corporation.
e. Golden shares and options.
A government may own a “golden share,” particularly in a corporation that has been privatized.
In some cases, this share gives the government some residual rights to protect the interests of the public by, for example, preventing the company selling off some categories of assets or appointing a special director who has strong powers in certain circumstances.
A golden share is not of itself indicative of control.
If, however, the powers covered by the golden share do confer on the government the ability to determine the general corporate policy of the entity in particular circumstances and those circumstances currently existed, then the entity should be in the public sector from the date in question.
The existence of a share purchase option available to a government unit or a public corporation in certain circumstances may also be similar in concept to the golden share arrangement discussed above.
It is necessary to consider whether, if the circumstance in which the option may be exercised exists, the volume of shares that may be purchased under the option and the consequences of such exercise means that the government has “the ability to determine the general corporate policy of the entity” by exercising that option.
An entity's status in general should be based on the government's existing ability to determine corporate policy exercised under normal conditions rather than in exceptional economic or other circumstances such as wars, civil disorders or natural disasters.
f. Regulation and control.
The borderline between regulation that applies to all entities within a class or industry group and the control of an individual corporation can be difficult to judge.
There are many examples of government involvement through regulation, particularly in areas such as monopolies and privatized utilities.
It is possible for regulatory involvement to exist in important areas, such as in price setting, without the entity ceding control of its general corporate policy.
Choosing to enter into or continue to operate in a highly regulated environment suggests that the entity is not subject to control.
When regulation is so tight as to effectively dictate how the entity performs its business, then it could be a form of control.
If an entity retains unilateral discretion as to whether it will take funding from, interact commercially with, or otherwise deal with a public sector entity, the entity has the ultimate ability to determine its own corporate policy and is not controlled by the public sector entity.
g. Control by a dominant customer.
If all of the sales of a corporation are to a single public sector customer or a group of public sector customers, there is clear scope for dominant influence.
The presence of a minority private sector customer usually implies an element of independent decision-making by the corporation so that the entity would not be considered controlled.
In general, if there is clear evidence that the corporation could not choose to deal with non-public sector clients because of the public sector influence, then public control is implied.
h. Control attached to borrowing from the government.
Lenders often impose controls as conditions of making loans.
If the government imposed controls through lending or issuing guarantees that are more than would be typical when a healthy private sector entity borrows from a bank, control may be indicated.
Similarly, control may be implied if only the government was prepared to lend.
Although a single indicator could be sufficient to establish control, in other cases, a number of separate indicators may collectively indicate control.
A decision based on the totality of all indicators must necessarily be judgmental in nature but clearly similar judgements must be made in similar cases.
4.81 In general, a non-resident unit controls a resident corporation if the non-resident unit owns more than 50 per cent of the equity of the corporation.
Branches of nonresident corporations are by their nature always under foreign control.
However, control may also be possible with a holding of less than half the equity if the nonresident unit can exercise some of the powers just described as indicating possible control by government, for example the control of the board or other governing body, control of the appointment and removal of key personnel, control of key committees of the corporations and so on.
4.82 Within the balance of payments, a distinction is made between corporations where over 50 per cent of the equity is held by non-residents and those corporations where between 10 and 50 per cent of the equity is held abroad.
All corporations with foreign holdings of 10 per cent or more are described as foreign direct investment enterprises and special treatment of their earnings is applied.
Further details on this are given in chapters 7 and 26.
It is important to note, however, that while all foreign controlled corporations are foreign direct investment enterprises, the reverse is not true, for example even a publicly controlled corporation may be a foreign direct investment enterprise if, in addition to government controlling half of the equity, a further 10 per cent is owned by a non-resident.
4.83 Non-profit institutions are legal or social entities, created for the purpose of producing goods and services, whose status does not permit them to be a source of income, profit or other financial gain for the units that establish, control or finance them.
In practice, their productive activities are bound to generate either surpluses or deficits but any surpluses they happen to make cannot be appropriated by other institutional units.
The articles of association by which they are established are drawn up in such a way that the institutional units that control or manage them are not entitled to a share in any profits or other income they receive.
For this reason, they are frequently exempted from various kinds of taxes.
4.84 NPIs may be created by households, corporations, or government but the motives leading to their creation are varied.
For example, NPIs may be created to provide services for the benefit of the households or corporations who control or finance them; or they may be created for charitable, philanthropic or welfare reasons to provide goods or services to other persons in need; or they may be intended to provide health or education services for a fee, but not for profit; or they may be intended to promote the interests of pressure groups in business or politics; etc.
4.85 The main features of NPIs may be summarized as follows:
a. Most NPIs are legal entities created by process of law whose existence is recognized independently of the persons, corporations or government units that establish, finance, control or manage them.
The purpose of the NPI is usually stated in the articles of association or similar document drawn up at the time of its establishment.
In some countries, especially developing countries, an NPI may be an informal entity whose existence is recognized by society but does not have any formal legal status; such NPIs may be created for the purpose of producing non-market goods or services for the benefit of individual households or groups of households.
b. Many NPIs are controlled by associations whose members have equal rights, including equal votes on all major decisions affecting the affairs of the NPI.
Members enjoy limited liability with respect to the NPI's operations.
c. There are no shareholders with a claim on the profits or equity of the NPI.
The members are not entitled to a share in any profits, or surplus, generated by the productive activities of the NPI, such profits being retained within the NPI.
d. The direction of an NPI is usually vested in a group of officers, executive committee or similar body elected by a simple majority vote of all the members.
These officers are the counterpart of the board of directors of a corporation and are responsible for appointing any paid managers.
e. The term “non-profit institution” derives from the fact that the members of the association controlling the NPI are not permitted to gain financially from its operations and cannot appropriate any surplus that it may make.
It does not imply that an NPI cannot make an operating surplus on its production.
4.86 In some countries NPIs are subject to preferential tax treatment, possibly to exemption from income tax, but this is not necessarily so and is not a determining factor in the identification of an NPI.
4.87 As in the case of producer units owned by government units, it is important to distinguish between NPIs engaged in market and non-market production as this affects the sector of the economy to which an NPI is allocated.
NPIs do not necessarily engage in non-market production.
4.88 Market producers are producers that sell most or all of their output at prices that are economically significant, that is, at prices that have a significant influence on the amounts the producers are willing to supply and on the amounts purchasers wish to buy.
Schools, colleges, universities, clinics, hospitals, etc. constituted as NPIs are market producers when they charge fees that are based on their production costs and that are sufficiently high to have a significant influence on the demand for their services.
Their production activities must generate an operating surplus or loss.
Any surpluses they make must be retained within the institutions as their status prevents them from distributing them to others.
On the other hand, because of their status as “non-profit institutions” they are also able to raise additional funds by appealing for donations from persons, corporations or government.
In this way, they may be able to acquire assets that generate significant property income in addition to their revenues from fees, thereby enabling them to charge fees below average costs.
However, they must continue to be treated as market producers so long as their fees are determined mainly by their costs of production and are high enough to have a significant impact on demand.
Such NPIs are not charities, their real objective often being to provide educational, health or other services of a very high quality using their incomes from endowments merely to keep down somewhat the high fees they have to charge.
4.89 Some market NPIs restrict their activities to serving a particular subset of other market producers.
Most market NPIs serving enterprises are created by associations of the enterprises whose interests they are designed to promote.
They consist of chambers of commerce, agricultural, manufacturing or trade associations, employers' organizations, research or testing laboratories or other organizations or institutes that engage in activities that are of common interest or benefit to the group of enterprises that control and finance them.
The NPIs often engage in publicity on behalf of the group, lobby politicians or provide advice or assistance to individual members in difficulty for one reason or another.
The NPIs are usually financed by contributions or subscriptions from the group of enterprises concerned.
The subscriptions are treated not as transfers but as payments for services rendered and these NPIs are, therefore, classed as market producers.
However, as explained below, when chambers of commerce or similar organizations intended for the benefit of enterprises are controlled by government units, they are classified as non-market NPIs and allocated to the general government sector.
4.90 The majority of NPIs in most countries are non-market rather than market producers.
Non-market producers are producers that provide most of their output to others free or at prices that are not economically significant.
Thus, NPIs engaged mainly in non-market production may be distinguished not only by the fact that they are incapable of providing financial gain to the units that control or manage them, but also by the fact that they must rely principally on funds other than receipts from sales to cover their costs of production or other activities.
Their principal source of finance may be regular subscriptions paid by the members of the association that controls them or transfers or donations from third parties, including government or from property income.
4.91 NPIs engaged mainly in non-market production are divided into two groups: those NPIs controlled by government and those that are not.
The former are included in the general government sector.
The latter are described as “non-profit institutions serving households” (NPISHs) and constitute a separate sector in the SNA.
4.92 Control of an NPI is defined as the ability to determine the general policy or programme of the NPI.
All NPIs allocated to the general government sector should retain their identity as NPIs in statistical records, to facilitate analysis of the complete set of NPIs.
To determine if an NPI is controlled by the government, the following five indicators of control should be considered:
a. The appointment of officers.
The government may have the right to appoint the officers managing the NPI either under the NPI’s constitution, its articles of association or other enabling instrument.
b. Other provisions of enabling instrument.
The enabling instrument may contain provisions other than the appointment of officers that effectively allow the government to determine significant aspects of the general policy or programme of the NPI.
For example, the enabling instrument may specify or limit the functions, objectives and other operating aspects of the NPI, thus making the issue of managerial appointments less critical or even irrelevant.
The enabling instrument may also give the government the right to remove key personnel or veto proposed appointments, require prior approval of budgets or financial arrangements by the government, or prevent the NPI from changing its constitution, dissolving itself, or terminating its relationship with government without government approval.
c. Contractual agreements.
The existence of a contractual agreement between a government and an NPI may allow the government to determine key aspects of the NPI’s general policy or programme.
As long as the NPI is ultimately able to determine its policy or programme to a significant extent, such as by being able to renege on the contractual agreement and accept the consequences, by being able to change its constitution or dissolve itself without requiring government approval other than that required under the general regulations, then it would not be considered controlled by government.
d. Degree of financing.
An NPI that is mainly financed by government may be controlled by that government.
Generally, if the NPI remains able to determine its policy or programme to a significant extent along the lines mentioned in the previous indicator, then it would not be considered controlled by government.
e. Risk exposure.
If a government openly allows itself to be exposed to all, or a large proportion of, the financial risks associated with an NPI’s activities, then the arrangement constitutes control.
The criteria are the same as in the previous two indicators.
A single indicator could be sufficient to establish control in some cases, but in other cases, a number of separate indicators may collectively indicate control.
A decision based on the totality of all indicators will necessarily be judgmental in nature.
4.93 Non-profit institutions serving households (NPISHs) consist of non-market NPIs that are not controlled by government.
They provide goods and services to households free or at prices that are not economically significant.
Most of these goods and services represent individual consumption but it is possible for NPISHs to provide collective services.
4.94 Non-financial corporations are corporations whose principal activity is the production of market goods or non-financial services.
The non-financial corporations sector is composed of the following set of resident institutional units:
a. All resident non-financial corporations (as understood in the SNA and not just restricted to legally constituted corporations), regardless of the residence of their shareholders;
b. The branches of non-resident enterprises that are engaged in non-financial production on the economic territory on a long-term basis;
c. All resident NPIs that are market producers of goods or non-financial services.
4.95 Some non-financial corporations or quasi-corporations may have secondary financial activities: for example, producers or retailers of goods may provide consumer credit directly to their own customers.
As explained more fully below, such corporations or quasi-corporations are nevertheless classified as belonging in their entirety to the non-financial corporate sector provided their principal activity is nonfinancial.
Sectors are groups of institutional units, and the whole of each institutional unit must be classified to one or other sector of the SNA even though that unit may be engaged in more than one type of economic activity.
Table 4.1: Subsectors of the non-financial corporations sector
4.96 Two classification criteria are used to subsector the nonfinancial corporations sector.
One criterion is to show NPIs separately from other units in the sector.
These units other than NPIs may be described as for profit institutions (FPIs).
The second criterion is that of control to show:
a. Public non-financial corporations,
b. National private non-financial corporations, and
c. Foreign controlled non-financial corporations.
The criteria for control of corporations and NPIs by government and non-resident units are described in detail in section B. Corporations controlled by non-resident units are described as being foreign controlled.
4.97 The full subsectoring of the non-financial corporations sector can be seen as a two-way table as shown in table 4.1.
The exact form of presentation of the subsectors will depend on both analytical and statistical considerations.
It may be that the number of NPIs is such that some control categories are empty or sufficiently sparse that the detail cannot be shown for reasons of confidentiality.
At the least, though, it is useful, and should be feasible, to distinguish the entries for the left-most column and bottom row of table 4.1.
4.98 Financial corporations consist of all resident corporations that are principally engaged in providing financial services, including insurance and pension funding services, to other institutional units.
The financial corporations sector is composed of the following set of resident institutional units:
a. All resident financial corporations (as understood in the SNA and not just restricted to legally constituted corporations), regardless of the residence of their shareholders;
b. The branches of non-resident enterprises that are engaged in financial activity on the economic territory on a long-term basis;
c. All resident NPIs that are market producers of financial services.
The production of financial services is the result of financial intermediation, financial risk management, liquidity transformation or auxiliary financial activities.
Because the provision of financial services is typically subject to strict regulation, it is usually the case that units providing financial services do not produce other goods and services and financial services are not provided as secondary production.
4.99 One form of financial innovation has seen a substantial growth in activity of a kind traditionally carried out by, or through, financial corporations but that may also be done directly by non-financial enterprises themselves.
For example, there is a tendency in some countries for producers or retailers of goods to provide consumer credit directly to their customers.
Another example is the tendency for non-financial enterprises in some countries to raise funds themselves by selling their own obligations directly on the money or capital markets.
However, the enterprise as a whole must continue to be classified as nonfinancial provided that:
a. A non-financial enterprise does not create a new institutional unit, such as a subsidiary corporation, to carry out the financial activity; and
b. The financial activity remains secondary to the principal activity of the enterprise.
4.100 The same principle applies to the subsectoring of financial corporations.
For example, many central banks also engage in some commercial banking.
However, as a single institutional unit, the central bank as a whole, including its commercial banking activities, is classified in the subsector “central banks”. For the same reason, central bank or monetary authority-type functions carried out by agencies within the central government that are not separate institutional units from government are not allocated to the central bank subsector.
(This is discussed further in the following section and in chapter 22.)
4.101 Financial corporations can be divided into three broad classes namely, financial intermediaries, financial auxiliaries and other financial corporations.
Financial intermediaries are institutional units that incur liabilities on their own account for the purpose of acquiring financial assets by engaging in financial transactions on the market.
They include insurance corporations and pension funds.
Financial auxiliaries are institutional units principally engaged in serving financial markets, but do not take ownership of the financial assets and liabilities they handle.
Other financial corporations are institutional units providing financial services, where most of their assets or liabilities are not available on open financial markets.
4.102 The financial corporations sector can be divided into nine subsectors according to its activity in the market and the liquidity of its liabilities.
These nine subsectors are shown in table 4.2 and each is described later in this section.
Subsector 6 corresponds to financial auxiliaries; subsector 7 corresponds to other financial corporations.
All the other subsectors are financial intermediaries of one sort or another.
4.103 As well as being subsectored according to the nature of the financial activity being undertaken, the financial corporations sector can also be subsectored in the same manner as the non-financial corporations sector to show the difference between NPIs and FPIs and to show which units are subject to public control, which are national private corporations and which are foreign controlled.
Thus in principle each of the rows in table 4.2 may be further disaggregated in the manner of table 4.1 though it is unlikely that all possible cross-classifications exist and a compressed subsectoring based on local circumstance and particular analytical interest may be sufficient.
4.104 The central bank is the national financial institution that exercises control over key aspects of the financial system.
In general, the following financial intermediaries are classified in this subsector:
a. The national central bank, including where it is part of a system of central banks.
b. Currency boards or independent currency authorities that issue national currency that is fully backed by foreign exchange reserves.
c. Central monetary agencies of essentially public origin (for example, agencies managing foreign exchange or issuing bank notes and coin) that keep a complete set of accounts but are not classified as part of central government.
Supervisory authorities that are separate institutional units are not included with the central bank but are included with financial auxiliaries.
As long as the central bank is a separate institutional unit, it is always allocated to the financial corporations sector even if it is primarily a non-market producer.
4.105 Deposit-taking corporations except the central bank have financial intermediation as their principal activity.
To this end, they have liabilities in the form of deposits or financial instruments (such as short-term certificates of deposit) that are close substitutes for deposits.
The liabilities of deposit-taking corporations are typically included in measures of money broadly defined.
4.106 In general, the following financial intermediaries are classified in this subsector:
a. Commercial banks, “universal” banks, “all-purpose” banks;
b. Savings banks (including trustee savings banks and savings and loan associations);
c. Post office giro institutions, post banks, giro banks;
d. Rural credit banks, agricultural credit banks;
e. cooperative credit banks, credit unions; and
f. Specialized banks or other financial corporations if they take deposits or issue close substitutes for deposits.
4.107 Money market funds (MMFs) are collective investment schemes that raise funds by issuing shares or units to the public.
The proceeds are invested primarily in money market instruments, MMF shares or units, transferable debt instruments with a residual maturity of not more than one year, bank deposits and instruments that pursue a rate of return that approaches the interest rates of money market instruments.
MMF shares can be transferred by cheque or other means of direct third-party payment.
Because of the nature of the instruments the schemes invest in, their shares or units may be regarded as close substitutes for deposits.
4.108 Non-MMF investment funds are collective investment schemes that raise funds by issuing shares or units to the public.
The proceeds are invested predominantly in financial assets, other than short-term assets, and in non-financial assets (usually real estate).
Investment fund shares or units are generally not close substitutes for deposits.
They are not transferable by means of cheque or direct third-party payments.
Table 4.2: Subsectors of the financial corporations sector
1. Central Bank
2. Deposit-taking corporations except the Central Bank
3. Money market funds (MMF)
4. Non-MMF investment funds
5. Other financial intermediaries except insurance corporations and pension funds (ICPF)
6. Financial auxiliaries
7. Captive financial institutions and money lenders
8. Insurance corporations (IC)
9. Pension funds (PF)
4.109 Other financial intermediaries except insurance corporations and pension funds consist of financial corporations that are engaged in providing financial services by incurring liabilities, in forms other than currency, deposits or close substitutes for deposits, on their own account for the purpose of acquiring financial assets by engaging in financial transactions on the market.
It is a feature of a financial intermediary that transactions on both sides of the balance sheet are carried out in open markets.
4.110 In general, the following financial intermediaries are classified in this subsector:
a. Financial corporations engaged in the securitization of assets;
b. Security and derivative dealers (operating on own account);
c. Financial corporations engaged in lending, including the finance associates of retailers, who may be responsible for financial leasing and both personal or commercial finance;
d. Central clearing counterparties.
These organizations provide clearing and settlement transactions in securities and derivatives.
Clearing relates to identifying the obligations of both parties to the transaction, while settlement is the exchange of the securities or derivatives and the corresponding payment.
The central clearing counterparties involve themselves in the transaction and mitigate counterparty risk;
e. Specialized financial corporations that provide:
· Short-term financing for corporate mergers and takeovers;
· Export/import finance;
· Factoring services;
· Venture capital and development capital firms.
4.111 Financial auxiliaries consist of financial corporations that are principally engaged in activities associated with transactions in financial assets and liabilities or with providing the regulatory context for these transactions but in circumstances that do not involve the auxiliary taking ownership of the financial assets and liabilities being transacted.
4.112 In general, the following financial auxiliaries are classified in this subsector:
a. Insurance brokers, salvage and claims adjusters (whether employed by the insurance company, an independent adjuster or a public adjuster employed by the policyholder), insurance and pension consultants;
b. Loan brokers, securities brokers, investment advisers, etc.;
c. Flotation corporations that manage the issue of securities;
d. Corporations whose principal function is to guarantee, by endorsement, bills and similar instruments;
e. Corporations that arrange derivative and hedging instruments, such as swaps, options and futures (without issuing them);
f. Corporations providing infrastructure for financial markets;
g. Managers of pension funds, mutual funds, etc. (but not the funds they manage);
h. Corporations providing stock exchange and insurance exchange;
i. Foreign exchange bureaux;
j. Non-profit institutions recognized as independent legal entities serving financial corporations,;
k. Head offices of financial corporations that are principally engaged in controlling financial corporations or groups of financial corporations but that do not themselves conduct the business of financial corporations;
l. Central supervisory authorities of financial intermediaries and financial markets when they are separate institutional units.
4.113 Captive financial institutions and money lenders consist of institutional units providing financial services, where most of either their assets or liabilities are not transacted on open financial markets.
It includes entities transacting within only a limited group of units (such as with subsidiaries) or subsidiaries of the same holding corporation or entities that provide loans from own funds provided by only one sponsor.
4.114 In general, the following financial corporations are classified in this subsector:
a. Units which are legal entities such as trusts, estates, agencies accounts or brass plate companies.
b. Holding corporations that hold only the assets (owning controlling-levels of equity) of a group of subsidiary corporations and whose principal activity is owning the group without providing any other service to the life, accident, sickness, fire or other forms of insurance to enterprises in which the equity is held, that is, they do individual institutional units or groups of units or not administer or manage other units.
c. SPEs or conduits that qualify as institutional units and raise funds in open markets to be used by their parent corporation.
d. Units which provide financial services exclusively with own funds, or funds provided by a sponsor to a range of clients and incur the financial risk of the debtor defaulting, including
· Moneylenders.
· Corporations engaged in lending (for example providing student loans, import/export loans) from funds received from a sponsor such as a government unit or non-profit institution.
· Pawnshops that predominantly engage in lending.
4.115 Insurance corporations consist of incorporated, mutual and other entities whose principal function is to provide life, accident, sickness, fire or other forms of insurance to individual institutional units or groups of units or reinsurance services to other insurance corporations.
Captive insurance is included, that is, an insurance company that serves only its owners.
Deposit insurers, issuers of deposit guarantees and other issuers of standardized guarantees that are separate entities and act like insurers by charging premiums and have reserves, are classified as insurance corporations.
4.116 Pension liabilities arise when an employer or government obliges or encourages members of households to participate in a social insurance scheme that will provide income in retirement.
The social insurance schemes may be organized by employers or by government, they may be organized by insurance corporations on behalf of employees or separate institutional units may be established to hold and manage the assets to be used to meet the pensions and to distribute the pensions.
The pension fund subsector consists of only those social insurance pension funds that are institutional units separate from the units that create them.
4.117 Government units are unique kinds of legal entities established by political processes that have legislative, judicial or executive authority over other institutional units within a given area.
Viewed as institutional units, the principal functions of government are to assume responsibility for the provision of goods and services to the community or to individual households and to finance their provision out of taxation or other incomes, to redistribute income and wealth by means of transfers, and to engage in non-market production.
In general terms:
a. A government unit usually has the authority to raise funds by collecting taxes or compulsory transfers from other institutional units.
In order to satisfy the basic requirements of an institutional unit in the SNA, a government unit, whether at the level of the total economy, a region or a locality, must have funds of its own either raised by taxing other units or received as transfers from other government units and the authority to disburse some, or all, of such funds in the pursuit of its policy objectives.
It must also be able to borrow funds on its own account;
b. Government units typically make three different kinds of final outlays:
· The first group consists of actual or imputed expenditures on the free provision to the community of collective services such as public administration, defence, law enforcement, public health, etc. that are organized collectively by government and financed out of general taxation or other income;
· The second group consists of expenditures on the provision of goods or services free, or at prices that are not economically significant, to individual households.
These expenditures are deliberately incurred and financed out of taxation or other income by government in the pursuit of its social or political objectives, even though individuals could be charged according to their usage;
· The third group consists of transfers paid to other institutional units, mostly households, in order to redistribute income or wealth.
4.118 Within a single territory there may be many separate government units when there are different levels of government, specifically central, state or local governments.
In addition, social security funds also constitute government units.
These different kinds of government units are described later when the subsectoring of the general government sector is explained.
4.119 The fact that governments choose to supply not only collective services but also many goods and individual services free, or at prices that are not economically significant, to households or other units does not necessitate that they produce them themselves.
Even in the case of most collective services, or so-called “public goods”, governments are obliged only to assume responsibility for organizing and financing their production.
They are not obliged to produce them.
However, government units do usually engage in a wide range of productive activities in practice, covering not only collective services but also many other goods and individual services.
Because it is largely a matter of political choice, the range of goods and services produced by government units varies greatly from one country to another.
Apart from some collective services such as public administration and defence, it is therefore difficult to categorize certain types of production, such as the production of education or health services, as intrinsically governmental, even though they are often produced by government units.
4.120 When a government unit wishes to intervene in the sphere of production it has three options:
a. it may create a public corporation whose corporate policy, including pricing and investment, it is able to control;
b. it may create an NPI that it controls;
c. it may produce the goods or services itself in an establishment that it owns but that does not exist as a separate legal entity from the government unit itself.
4.121 However, a government establishment, or group of establishments engaged in the same kind of production under common management, should be treated as a quasi-corporation if the following three criteria hold:
a. the unit charges prices for its outputs that are economically significant;
b. the unit is operated and managed in a similar way to a corporation; and
c. the unit has a complete set of accounts that enable its operating surpluses, savings, assets and liabilities to be separately identified and measured.
Such quasi-corporations are market producers that are treated as separate institutional units from the government units that own them.
They are classified, sectored and subsectored in the same way as public corporations.
4.122 In order to be treated as a quasi-corporation the government must allow the management of the enterprise considerable discretion not only with respect to the management of the production process but also the use of funds.
Government quasi-corporations must be able to maintain their own working balances and business credit and be able to finance some or all of their capital formation out of their own savings, depreciation reserves or borrowing.
The ability to distinguish flows of income and capital between quasi-corporations and government implies that their operating and financing activities are not fully integrated with government revenue or finance statistics in practice, despite the fact that they are not separate legal entities.
4.123 Producer units of government that cannot be treated as quasi-corporations, like all unincorporated enterprises that cannot be separated from their owners, remain in the same institutional unit as the owner, in this case within the general government sector.
They are likely to consist largely, or entirely, of non-market producers: that is, producers most or all of whose output is supplied to other units free, or at prices that are not economically significant.
In addition to providing non-market goods or services to the general public, such units may include government producers supplying non-market goods or services to other government units for purposes of intermediate consumption or gross fixed capital formation: for example, munitions factories, government printing offices, transport agencies, computer or communications agencies, etc.
However, it is possible for an unincorporated enterprise within a government to be a market producer.
The example often quoted is that of a bookshop within a museum.
4.124 Social security schemes are social insurance schemes that cover the community as a whole or large sections of the community and are imposed and controlled by government units.
The schemes cover a wide variety of programmes, providing benefits in cash or in kind for old age, invalidity or death, survivors, sickness and maternity, work injury, unemployment, family allowance, health care, etc.
There is not necessarily a direct link between the amount of the contribution paid by an individual and the benefits he or she may receive.
4.125 When social security schemes are separately organized from the other activities of government units and hold their assets and liabilities separately from the latter and engage in financial transactions on their own account, they qualify as institutional units that are described as social security funds.
However, institutional arrangements in respect of social security schemes differ from country to country and in some countries they may become so closely integrated with the other finances of government as to bring into question whether they should be treated as separate institutional units.
4.126 The amounts raised, and paid out, in social security contributions and benefits may be deliberately varied in order to achieve objectives of government policy that have no direct connection with the concept of social security as a scheme to provide social benefits to members of the community.
They may be raised or lowered in order to influence the level of aggregate demand in the economy, for example.
Nevertheless, so long as they remain separately constituted funds, they must be treated as separate institutional units in the SNA.
4.127 The general government sector consists of the following groups of resident institutional units:
a. All units of central, state or local government (as described immediately below);
b. All non-market NPIs that are controlled by government units.
The sector also includes social security funds, either as separate institutional units or as part of any or all of central, state or local government.
The sector does not include public corporations, even when all the equity of such corporations is owned by government units.
Nor does it include quasi-corporations that are owned and controlled by government units.
However, unincorporated enterprises owned by government units that are not quasi-corporations remain integral parts of those units and, therefore, must be included in the general government sector.
4.128 A full subsectoring of the general government would allow for both NPIs and social security funds to be distinguished for each of central, state and local government.
In practice, though, it is usual to show all social security funds together as one subsector or to merge them all with their appropriate level of government and not show social security funds by level of government separately.
Further, NPIs may be shown as an “of which” item for general government as a whole or for central, state and local government individually.
4.129 The first method of subsectoring general government is as follows:
a. Central government;
b. State government;
c. Local government;
d. Social security funds;
where it is understood that each of the subsectors a, b and c include NPIs but exclude social security funds at that level of government.
4.130 The second method of subsectoring general government is as follows:
a. Central government;
b. State government;
c. Local government;
where it is understood that each of the subsectors a, b and c include both NPIs and social security funds at that level of government.
4.131 Under either method of subsectoring, NPIs should be shown as an “of which” heading under the appropriate level of government.
4.132 The choice between the two methods of subsectoring depends mainly on the size, or importance, of social security funds within a country and on the way in which they are managed.
4.133 In some countries there may not exist a proper intermediate level of government between central and local government, in which case the subsector “state government” is not distinguished.
In others there may be more than two levels of government below the central government.
In that case, the lower levels should be aggregated with state or local government as appropriate.
4.134 The central government subsector consists of the institutional unit or units making up the central government plus those non-market NPIs that are controlled by central government.
4.135 The political authority of central government extends over the entire territory of the country.
Central government has therefore the authority to impose taxes on all resident and non-resident units engaged in economic activities within the country.
Its political responsibilities include national defence, the maintenance of law and order and relations with foreign governments.
It also seeks to ensure the efficient working of the social and economic system by means of appropriate legislation and regulation.
It is responsible for providing collective services for the benefit of the community as a whole, and for this purpose incurs expenditures on defence and public administration.
In addition it may incur expenditures on the provision of services, such as education or health, primarily for the benefit of individual households.
Finally, it may make transfers to other institutional units, namely to households, NPIs, corporations and other levels of government.
4.136 Central government is a large and complex subsector in most countries.
It is generally composed of a central group of departments or ministries that make up a single institutional unit plus, in many countries, other institutional units.
The departments may be responsible for considerable amounts of expenditure within the framework of the government's overall budget, but often they are not separate institutional units capable of owning assets, incurring liabilities, engaging in transactions, etc., independently of central government as a whole.
4.137 The departments of central government are often deliberately dispersed geographically and located in different parts of the country, but they nevertheless remain parts of a single institutional unit.
Similarly, if the central government maintains branch offices or agencies in different parts of the country to meet local needs, including military bases or installations that serve national defence purposes, these must also be counted as parts of a single institutional unit for central government.
4.138 In addition to government departments and ministries, there may be agencies of central government with separate legal identity and substantial autonomy; they may have discretion over the volume and composition of their expenditures and may have a direct source of revenue such as earmarked (“hypothecated”) taxes.
Such agencies are often established to carry out specific functions such as road construction or the non-market production of health or education services.
These should be treated as separate institutional units if they maintain full sets of accounts but are part of the central government subsector if the services they produce are non-market and if they are controlled by central government.
4.139 In some countries, the central government may include units that engage in financial transactions that in other countries would be performed by central banks.
In particular, units of central government may be responsible for the issue of currency, the maintenance of international reserves and the operation of exchange stabilization funds, and also transactions with the International Monetary Fund (IMF).
When the units in question remain financially integrated with central government and under the direct control and supervision of central government, they cannot be treated as separate institutional units.
Moreover, whatever monetary authority functions are carried out by central government are recorded in the government sector and not the financial corporations sector.
However, because of the analytical importance that is attached to obtaining accounts covering the monetary authorities as a whole, and in order to provide links with other statistical systems, such as the BPM6, the GFSM2001 and the Monetary and Financial Statistics Manual (International Monetary Fund (IMF) 2000, known as MSFM), it is recommended that the transactions of central government agencies carrying out monetary authority and deposit-taking functions should be separately identified, so that they can be combined with those of the central bank and other deposit-taking corporations in special tabulations if desired.
4.140 The state government subsector consists of state governments that are separate institutional units plus those non-market NPIs that are controlled by state governments.
4.141 State governments are institutional units exercising some of the functions of government at a level below that of central government and above that of the governmental institutional units existing at a local level.
They are institutional units whose fiscal, legislative and executive authority extends only over the individual “states” into which the country as a whole may be divided.
Such “states” may be described by different terms in different countries.
In some countries, especially small countries, individual states and state governments may not exist.
However, in large countries, especially those that have federal constitutions, considerable powers and responsibilities may be assigned to state governments.
4.142 A state government usually has the fiscal authority to levy taxes on institutional units that are resident in, or engage in economic activities or transactions within, its area of competence (but not other areas).
In order to be recognized as an institutional unit it must be able to own assets, raise funds and incur liabilities on its own account.
It must also be entitled to spend or allocate some, or possibly all, of the taxes or other income that it receives according to its own policies, within the general rules of law of the country, although some of the transfers it receives from central government may be tied to certain specified purposes.
It should also be able to appoint its own officers, independently of external administrative control.
On the other hand, if a regional unit is entirely dependent on funds from central government, and if the central government also dictates the ways in which those funds are to be spent at the regional level, it should be treated as an agency of central government rather than as a separate institutional unit.
4.143 State governments, when they exist, are distinguished by the fact that their fiscal authority extends over the largest geographical areas into which the country as a whole may be divided for political or administrative purposes.
In a few countries more than one level of government exists between the central government and the smallest governmental institutional units at a local level; in such cases, for purposes of sectoring within the SNA, these intermediate levels of government are grouped together with the level of government, either state or local, with which they are most closely associated.
4.144 State governments may own, or control, corporations in the same way as central government.
Similarly, they may have units that engage in market production, in which case the relevant producer units should be treated as quasi-corporations whenever their operations and accounting records justify this.
4.145 The local government subsector consists of local governments that are separate institutional units plus those non-market NPIs that are controlled by local governments.
In principle, local government units are institutional units whose fiscal, legislative and executive authority extends over the smallest geographical areas distinguished for administrative and political purposes.
The scope of their authority is generally much less than that of central government or state governments, and they may, or may not, be entitled to levy taxes on institutional units resident in their areas.
They are often heavily dependent on grants or transfers from higher levels of government, and they may also act as agents of central or regional governments to some extent.
However, in order to be treated as institutional units they must be entitled to own assets, raise funds and incur liabilities by borrowing on their own account; similarly, they must have some discretion over how such funds are spent.
They should also be able to appoint their own officers, independently of external administrative control.
The fact that they may also act as agents of central or state governments to some extent does not prevent them from being treated as separate institutional units provided they are also able to raise and spend some funds on their own initiative and own responsibility.
4.146 As they are the government units that are in closest contact with the institutional units resident in their localities, they typically provide a wide range of services to local residents, some of which may be financed out of transfers from higher levels of government.
The same rules govern the treatment of the production of goods and services by local government units as are applied to central and state governments.
Units such as municipal theatres, museums, swimming pools, etc., that supply goods or services on a market basis should be treated as quasi-corporations whenever the appropriate accounting information is available and classified to the non-financial corporations sector.
Other units supplying goods and services on a market basis are treated as unincorporated enterprises within local government.
Units supplying services such as education or health on a non-market basis remain an integral part of the local government unit to which they belong.
4.147 The social security funds subsector consists of the social security funds operating at all levels of government.
4.148 The alternative method of subsectoring the general government sector is to group the social security funds operating at each level of government with the corresponding government units and government controlled and financed NPIs at that level of government.
The two alternative methods of subsectoring are designed to accommodate different analytical needs.
The decision as to which method is more appropriate in a given country cannot be made a priori.
It depends on how important social security funds are and on the extent to which they are managed independently of the government units with which they are associated.
If the management of social security funds is so closely integrated with the short- or medium-term requirements of the government's general economic policy that contributions and benefits are deliberately adjusted in the interests of overall economic policy, it becomes difficult, at a conceptual level, to draw any clear distinction between the management of social security and the other economic functions of government.
Alternatively, in some countries, social security funds may exist in only a very rudimentary form.
In either of these circumstances it is difficult to justify treating social security funds as a separate subsector on a par with central, state and local government, and it is more appropriate to use the alternative method of subsectoring in which they are grouped with the corresponding government units at each level of government.
This is the approach generally favoured in the GFSM2001.
4.149 For the purposes of the SNA, a household is defined as a group of persons who share the same living accommodation, who pool some, or all, of their income and wealth and who consume certain types of goods and services collectively, mainly housing and food.
In general, each member of a household should have some claim upon the collective resources of the household.
At least some decisions affecting consumption or other economic activities must be taken for the household as a whole.
4.150 Households often coincide with families, but members of the same household do not necessarily have to belong to the same family so long as there is some sharing of resources and consumption.
Households may be of any size and take a wide variety of different forms in different societies or cultures depending on tradition, religion, education, climate, geography, history and other socio-economic factors.
The definition of a household that is adopted by survey statisticians familiar with the socio-economic conditions within a given country is likely to approximate closely to the concept of a household as defined in the SNA, although survey statisticians may add more precise, or operational, criteria within a particular country.
4.151 Domestic staff who live on the same premises as their employer do not form part of their employer's household even though they may be provided with accommodation and meals as remuneration in kind.
Paid domestic employees have no claim upon the collective resources of their employers' households and the accommodation and food they consume are not included with their employer's consumption.
They should therefore be treated as belonging to separate households from their employers.
4.152 Persons living permanently in an institution, or who may be expected to reside in an institution for a very long, or indefinite, period of time are treated as belonging to a single institutional household when they have little or no autonomy of action or decision in economic matters.
Some examples of persons belonging to institutional households are the following:
a. Members of religious orders living in monasteries, convents or similar institutions;
b. Long-term patients in hospitals, including mental hospitals;
c. Prisoners serving long sentences;
d. Persons living permanently in retirement homes.
4.153 On the other hand, persons who enter hospitals, clinics, convalescent homes, religious retreats, or similar institutions for short periods, who attend residential schools, colleges or universities, or who serve short prison sentences should be treated as members of the individual households to which they normally belong.
4.154 The residence of individual persons is determined by that of the household of which they form part and not by their place of work.
All members of the same household have the same residence as the household itself, even though they may cross borders to work or otherwise spend periods of time abroad.
If they work and reside abroad so long that they acquire a centre of economic interest abroad, they cease to be members of their original households.
4.155 As noted in the introduction, households are unlike corporations in that they undertake final consumption.
However, like corporations, they may also engage in production.
Household unincorporated market enterprises are created for the purpose of producing goods or services for sale or barter on the market.
They can be engaged in virtually any kind of productive activity: agriculture, mining, manufacturing, construction, retail distribution or the production of other kinds of services.
They can range from single persons working as street traders or shoe cleaners with virtually no capital or premises of their own through to large manufacturing, construction or service enterprises with many employees.
4.156 Household unincorporated market enterprises also include unincorporated partnerships that are engaged in producing goods or services for sale or barter on the market.
The partners may belong to different households.
When the liability of the partners for the debts of the enterprises is unlimited, the partnerships must be treated as unincorporated enterprises and remain within the household sector since all the assets of the household, including the dwelling itself, are at risk if the enterprise goes bankrupt.
However, unincorporated partnerships with many partners, such as some large legal, accounting or architectural firms, are likely to behave like corporations and should be treated as quasi-corporations assuming complete sets of accounts are available for the partnerships.
Partnerships whose partners enjoy limited liability are effectively separate legal entities and, as already noted, are treated as corporations.
4.157 An unincorporated enterprise can only be treated as a corporation if it is possible to separate all assets, including financial assets down to the level of cash, into those that belong to the household in its capacity as a consumer from those belonging to the household in its capacity as a producer.
4.158 The household sector consists of all resident households.
There are many useful ways in which the households sector may be subsectored and statistical agencies are advised to give due consideration to the various possibilities.
More than one method may be adopted if there is a demand for different breakdowns of the households sector from different users, analysts or policymakers.
4.159 The SNA has to be applied flexibly, not rigidly.
In order to implement any of the possible methods of subsectoring the households sector suggested below, individual countries are obliged to make their own decisions about what they consider to be the most relevant classification.
Thus, the fact that a specific, detailed classification according to a criterion of interest is proposed here should not be interpreted as implying that the characteristics proposed are necessarily or always the most important for purposes of economic analysis and policymaking.
4.160 Households may be grouped into subsectors according to the nature of their largest source of income.
For this purpose, the following types of household income need to be distinguished:
a. Income accruing to the owners of household unincorporated enterprises with paid employees (employers' mixed income);
b. Incomes accruing to the owners of household unincorporated enterprises without paid employees (own-account workers mixed income);
c. Compensation of employees;
d. Property and transfer incomes.
4.161 Households are allocated to subsectors according to which of the four categories of income listed above is the largest for the household as a whole, even if it does not always account for more than half of total household income.
When more than one income of a given category is received within the same household, for example, because more than one member of the household earns compensation of employees or because more than one property or transfer income is received, the classification should be based on the total household income within each category.
The four subsectors are described as follows:
a. Employers;
b. Own-account workers;
c. Employees;
d. Recipients of property and transfer incomes.
4.162 The fourth subsector, households for which property and transfer incomes make up the largest source of income, constitutes a heterogeneous group and it is recommended that it should be divided into three further subsectors when possible.
These subsectors are defined as follows:
· Recipients of property incomes;
· Recipients of pensions;
· Recipients of other transfer incomes.
4.163 Other methods of subsectoring usually require a reference person to be identified for each household.
The reference person is not necessarily the person that other members of the household regard as the “head of the household”, as the reference person should be decided on grounds of economic importance rather than age or seniority.
The reference person should normally be the person with the largest income although the reference person could also be the person who makes the major decisions with regard to the consumption of the household.
4.164 Once a reference person has been identified, it is possible to group households into subsectors on the basis of the reference person's characteristics.
For example, subsectors may be defined according to:
a. Occupation of the reference person;
b. Industry, if any, in which the reference person works;
c. Educational attainment of the reference person;
d. Qualifications or skills possessed by the reference person.
Each of the criteria listed above provides its own possible scheme of subsectoring.
It would also be possible to group households into subsectors according to the main income of the reference person if, for some reason, it was not possible to group on the basis of the largest income received by the household.
For this purpose, the same income categories may be used as those recommended for the household's largest income.
4.165 Finally, it may be noted that households may be subsectored using criteria that apply to the household as a whole.
For example, subsectors may be defined according to:
a. Size of the total income of the household;
b. Size of the household as measured by number of persons;
c. Type of area in which the household is located.
The last criterion enables households living in agricultural, urban or metropolitan areas to be distinguished from each other, or from households located in different geographical regions.
4.166 Previous sections have explained that NPIs are allocated to the corporations sectors when they are engaged in market production and to the general government sector if they are engaged in non-market production but subject to government control.
The remaining NPIs are termed nonprofit institutions serving households (NPISHs).
All provide goods and services free or at prices that are not economically significant.
4.167 One type of NPISHs consists of those that are created by associations of persons to provide goods or, more often, services primarily for the benefit of the members themselves.
The services are usually provided free, being financed by regular membership subscriptions or dues.
They include NPISHs such as professional or learned societies, political parties, trades unions, consumers' associations, churches or religious societies, and social, cultural, recreational or sports clubs.
They do not include bodies serving similar functions that are controlled by government units.
Religious institutions are treated as NPISHs even when mainly financed by government units if this majority financing is not seen as empowering control by government.
Political parties in countries with one-party political systems that are controlled by government units by means of providing the necessary finance are included in the general government sector.
4.168 In some communities, NPISHs may be found that do not possess any legal status or formal articles of association.
They should be treated as NPISHs when they perform the same kinds of functions as the societies, political parties, trades unions, etc., described above, even if they are not legally constituted as NPISHs.
However, when groups of households collaborate on communal construction projects (such as construction of buildings, roads, bridges, ditches, dykes, etc.), they should be treated as informal partnerships engaged on own-account construction rather than NPISHs.
NPISHs should normally have a continuing role to play and not be deemed to be created for single projects of limited duration.
4.169 A second type of NPISH consists of charities, relief or aid agencies that are created for philanthropic purposes and not to serve the interests of the members of the association controlling the NPISH.
Such NPISHs provide goods or services on a non-market basis to households in need, including households affected by natural disasters or war.
The resources of such NPISHs are provided mainly by donations in cash or in kind from the general public, corporations or governments.
They may also be provided by transfers from non-residents, including similar kinds of NPISHs resident in other countries.
4.170 The third type of NPISHs consist of those that provide collective services, such as research institutions that make their results freely available, environmental groups, etc.
These are less common that the first two types of NPISHs and may not always be significantly represented in a country.
4.171 If the number or size of NPISHs funded from abroad is significant, it may be useful to disaggregate NPISHs into those that are mainly funded domestically and those that are mainly funded from abroad.
4.172 For purposes of the SNA, the rest of the world consists of all non-resident institutional units that enter into transactions with resident units, or have other economic links with resident units.
It is not a sector for which complete sets of accounts have to be compiled, although it is often convenient to describe the rest of the world as if it were a sector.
The accounts, or tables, for the rest of the world are confined to those that record transactions between residents and non-residents or other economic relationships, such as claims by residents on non-residents, and vice versa.
The rest of the world includes certain institutional units that may be physically located within the geographic boundary of a country; for example, foreign enclaves such as embassies, consulates or military bases, and also international organizations.
4.173 Certain international organizations have all the essential attributes of institutional units.
The special characteristics of an “international organization” as this term is used in the SNA may be summarized as follows:
a. The members of an international organization are either national states or other international organizations whose members are national states; they thus derive their authority either directly from the national states that are their members or indirectly from them through other international organizations;
b. They are entities established by formal political agreements between their members that have the status of international treaties; their existence is recognized by law in their member countries;
c. Because they are established by international agreement, they are accorded sovereign status; that is, international organizations are not subject to the laws or regulations of the country, or countries, in which they are located; they are not treated as resident institutional units of the countries in which they are located;
d. International organizations are created for various purposes including, among others, the following types of activities:
· The provision of non-market services of a collective nature for the benefit of their members;
· Financial intermediation at an international level, that is, channelling funds between lenders and borrowers in different countries.
4.174 Formal agreements concluded by all the member countries of an international organization may sometimes carry the force of law within those countries.
4.175 Most international organizations are financed wholly or partly by contributions (transfers) from their member countries, but some organizations may raise funds in other ways such as borrowing on financial markets or by subscriptions to the capital stock of international organizations and lending by member countries.
For purposes of the SNA, international organizations are treated as units that are resident in the rest of the world.
4.176 The central bank of a currency union is treated as a special kind of international organization.
The members of the international organization of which the central bank is part are the governments or the national central banks of the countries in the currency union.
The central bank is treated as being non-resident in any of the member countries of the currency union but is resident in the currency area as a whole.
More on the treatment of currency and economic unions can be found in appendix 3 of BPM6.
5.1 Institutional units are defined in chapter 4.
The present chapter is concerned with production activities and the units that undertake them, starting with institutional units and then considering parts of institutional units.
An enterprise is the view of an institutional unit as a producer of goods and services.
The term enterprise may refer to a corporation, a quasi-corporation, an NPI or an unincorporated enterprise.
Since corporations and NPIs other than NPISHs are primarily set up to engage in production, the whole of their accounting information relates to production and associated accumulation activities.
Government, households and NPISHs necessarily engage in consumption and may engage in production also; indeed government and NPISHs always engage in production and many, but not all, households do. As explained in chapter 4, whenever the necessary accounting information exists, the production activity of these units is separated from their other activities into a quasi-corporation.
It is when this separation is not possible that an unincorporated enterprise exists within the government unit, household or NPISH.
It is thus possible to define an unincorporated enterprise as follows.
An unincorporated enterprise represents the production activity of a government unit, NPISH or household that cannot be treated as the production activity of a quasi-corporation.
5.2 The majority of enterprises by number engages in only one sort of production.
The majority of production, though, is carried out by a relatively small number of large corporations that undertake many different kinds of production, there being virtually no upper limit to the extent of diversity of production in a large enterprise.
If enterprises are grouped together on the basis of their principal activities, at least some of the resulting groupings are likely to be very heterogeneous with respect to the type of production processes carried out and also the goods and services produced.
Thus, for analyses of production in which the technology of production plays an important role, it is necessary to work with groups of producers that are engaged in essentially the same kind of production.
This requirement means that some institutional units must be partitioned into smaller and more homogeneous units, which the SNA defines as establishments.
An establishment is an enterprise, or part of an enterprise, that is situated in a single location and in which only a single productive activity is carried out or in which the principal productive activity accounts for most of the value added.
Further, the SNA defines industries in terms of establishments.
An industry consists of a group of establishments engaged in the same, or similar, kinds of activity.
In the SNA, production accounts and generation of income accounts are compiled for industries as well as sectors.
5.3 This chapter first discusses productive activity and its classification in order to lay the ground for defining establishments and subsequently industries.
All enterprises require some basic, routine services to support their production activities.
When they are provided in house they are called ancillary activities.
The recording of ancillary activities follows a number of conventions depending on exactly how they are provided.
Ancillary activities are described in section D.
5.4 The definitions that emerge, as well as the underlying definitions of kinds of activities and of statistical units other than establishments, are consistent with the definitions in ISIC, Rev. 4.
Any slight differences in wording between this chapter and the “Introduction” to the ISIC are noted and explained in the appropriate places below.
Here and elsewhere reference is also made to the CPC, which is the classification of products used in the SNA.
5.5 Production in the SNA, as will be discussed in detail in chapter 6, consists of processes or activities carried out under the control and responsibility of institutional units that use inputs of labour, capital, goods and services to produce outputs of goods and services.
Any such activity may be described, and classified, with reference to various characteristics, for example:
a. Type of goods or services produced as outputs,
b. Type of inputs used or consumed,
c. Technique of production employed,
d. Ways in which the outputs are used.
The same goods or services may be produced using different methods of production.
Certain types of goods may be produced from quite different inputs; for example, sugar may be produced from sugar cane or from sugar beet, or electricity from coal, oil, nuclear power stations or from hydroelectric plants.
Many production processes also produce joint products, such as meat and hides, whose uses are quite different.
5.6 The classification of production activities used in the SNA is ISIC (Rev.4).
The criteria used in ISIC to delineate each of its four levels of the classification are complex.
The structure consists of 21 Sections, 88 Divisions, 238 Groups and 419 Classes.
At the Division and Group levels, substantial weight is placed on the nature of the good or service that is produced as the principal product of the activity in question by referring to the physical composition and stage of fabrication of the item and the needs served by the item.
This criterion furnishes the basis for grouping producer units according to similarities in, and links between, the raw materials consumed and the sources of demand for the items.
As well, two other major criteria are considered at these levels: the uses to which the goods and services are put, and the inputs, the process and the technology of production.
5.7 While it is not necessary for purposes of this chapter to explain the concept of an activity in any detail, it is necessary to clarify the fundamental distinction between principal and secondary activities on the one hand and ancillary activities on the other.
5.8 The principal activity of a producer unit is the activity carried out within the same unit. (The producer unit may be an enterprise or an establishment as defined below.)
The classification of the principal activity is determined by reference to ISIC, first at the highest level of the classification and then at more detailed levels.
The principal activity of an enterprise consists of the principal product and any by-products, that is, products necessarily produced together with principal products.
The output of the principal activity must consist of goods or services that are capable of being delivered to other units even though they may be used for own consumption or own capital formation.
5.9 A secondary activity is an activity carried out within a single producer unit in addition to the principal activity and whose output, like that of the principal activity, must be suitable for delivery outside the producer unit.
The value added of a secondary activity must be less than that of the principal activity, by definition of the latter.
The output of the secondary activity is a secondary product.
Most producer units produce at least some secondary products.
5.10 As its name implies, an ancillary activity is incidental to the main activity of an enterprise.
It facilitates the efficient running of the enterprise but does not normally result in goods and services that can be marketed.
For enterprises that are relatively small and have only a single location, ancillary activities are not separately identified.
For larger enterprises with multiple locations, it may be useful to treat ancillary activities in the same way as a secondary or even a principal product.
A detailed discussion of the recording of ancillary activities is given in section D after the discussion on the recording of primary and secondary production is complete.
5.11 Although it is possible to classify enterprises according to their principal activities using the ISIC and to group them into “industries”, some of the resulting “industries” are likely to be very heterogeneous because some enterprises may have several secondary activities that are quite different from their principal activities.
In order to obtain groups of producers whose activities are more homogeneous, enterprises have to be partitioned into smaller and more homogeneous units.
5.12 One way to partition an enterprise is by reference to activities.
A unit resulting from such a partitioning is called a kind-of-activity unit (KAU).
A kind-of-activity unit is an enterprise, or a part of an enterprise, that engages in only one kind of productive activity or in which the principal productive activity accounts for most of the value added.
Each enterprise must, by definition, consist of one or more kind-of-activity units.
When partitioned into two or more kind-of-activity units, the resulting units must be more homogeneous with respect to output, cost structure and technology of production than the enterprise as a whole.
5.13 Enterprises often engage in productive activity at more than one location, and for some purposes it may be useful to partition them accordingly.
Thus, a local unit is an enterprise, or a part of an enterprise, that engages in productive activity at or from one location.
The definition has only one dimension in that it does not refer to the kind of activity that is carried out.
Location may be interpreted according to the purpose, narrowly, such as a specific address, or more broadly, such as within a province, state, county, etc.
5.14 The establishment combines both the kind-of-activity dimension and the locality dimension.
An establishment is an enterprise, or part of an enterprise, that is situated in a single location and in which only a single productive activity is carried out or in which the principal productive activity accounts for most of the value added.
Establishments are sometimes referred to as local kind-of activity units (local KAUs).
5.15 Although the definition of an establishment allows for the possibility that there may be one or more secondary activities carried out, they should be on a small scale compared with the principal activity.
If a secondary activity within an enterprise is as important, or nearly as important, as the principal activity, then that activity should be treated as taking place within a separate establishment from that in which the principal activity takes place.
5.16 Thus, establishments are designed to be units that provide data that are more suitable for analyses of production in which the technology of production plays an important role.
However, it may still be necessary to transform the resulting data subsequently for purposes of input-output analysis, as explained briefly below in describing the unit of homogeneous production and in more detail in chapter 28.
5.17 In practice, an establishment may usually be identified with an individual workplace in which a particular kind of productive activity is carried out: an individual farm, mine, quarry, factory, plant, shop, store, construction site, transport depot, airport, garage, bank, office, clinic, etc.
5.18 The only data that can meaningfully be compiled for an establishment relate to its production activities.
They include the following:
a. The items included in the production account and the generation of income account;
b. Statistics of numbers of employees, types of employees and hours worked;
c. Estimates of the stock of non-financial capital and natural resources used;
d. Estimates of changes in inventories and gross fixed capital formation undertaken.
5.19 The compilation of a production account and a generation of income account implies that it must be feasible to calculate output and intermediate consumption and thus value added and also compensation of employees, taxes on production and imports, subsidies and the operating surplus or mixed income.
In principle, it must be feasible to collect at least the above kinds of statistics for an establishment, even if they may not always be available, or needed, in practice.
5.20 The application of the principles given above for partitioning an enterprise into establishments is not always straightforward.
This section discusses several situations in which the organization of production is such that the application is particularly difficult.
5.21 A horizontally integrated enterprise is one in which several different kinds of activities that produce different kinds of goods or services for sale on the market are carried out simultaneously using the same factors of production.
This definition is consistent with ISIC Rev.4 which reads in part:
Horizontal integration occurs when an activity results in end-products with different characteristics.
This could theoretically be interpreted as activities carried out simultaneously using the same factors of production.
In this case, it will not be possible to separate them statistically into different processes, assign them to different units or generally provide separate data for these activities.
Another example would be the production of electricity through a waste incineration process.
The activity of waste disposal and the activity of electricity production cannot be separated in this case.
5.22 Within the SNA, a separate establishment should be identified for each different kind of activity wherever possible.
5.23 A vertically integrated enterprise is one in which different stages of production, which are usually carried out by different enterprises, are carried out in succession by different parts of the same enterprise.
The output of one stage becomes an input into the next stage, only the output from the final stage being actually sold on the market. ISIC describes vertically integrated enterprises as follows:
Vertical integration of activities occurs where the different stages of production are carried out in succession by the same unit and where the output of one process serves as input to the next.
Examples of common vertical integration include tree felling and subsequent on-site sawmilling, a clay pit combined with a brickworks, or production of synthetic fibres in a textile mill.
5.24 In ISIC Rev.4, vertical integration should be treated like any other form of multiple activities.
A unit with a vertically integrated chain of activities should be classified to the class corresponding to the principal activity within this chain, that is, to the activity accounting for the largest share of value added, as determined by the top-down method.
This treatment has changed from previous versions of ISIC.
It should be noted that the term “activity” in this context is used for each step in the production process that is defined in a separate ISIC class, even though the output of each step may not be intended for sale.
5.25 If value added or substitutes for the individual steps in a vertically integrated process cannot be determined directly from accounts maintained by the unit itself, comparisons with other units (for example, based on market prices for intermediate and final products) could be used.
The same precautions for using substitutes as listed above apply here.
If it is still impossible to determine the share of value added for the different stages in the chain of production activities, default assignments for typical forms of vertical integration can be applied.
The Companion Guide to ISIC and CPC (United Nations (forthcoming)) provides a set of examples for such cases.
5.26 While the procedure for the treatment of vertically integrated activities could be applied to any unit, it should be noted that the SNA recommends that when a vertically integrated enterprise spans two or more sections of ISIC, at least one establishment must be distinguished within each section.
With such a treatment, activities of units engaged in vertically integrated activities will not cross section boundaries of ISIC.
5.27 From an accounting point of view it can be difficult to partition a vertically integrated enterprise into establishments because values have to be imputed for the outputs from the earlier stages of production which are not actually sold on the market and which become intermediate inputs into later stages.
Some of these enterprises may record the intra-enterprise deliveries at prices that reflect market values, but others may not.
Even if adequate data are available on the costs incurred at each stage of production, it may be difficult to decide what is the appropriate way in which to allocate the operating surplus of the enterprise among the various stages.
One possibility is that a uniform rate of operating surplus be applied to the costs incurred at each stage.
5.28 Despite the practical difficulties involved in partitioning vertically integrated enterprises into establishments, it is recommended in the SNA, as noted in the section of ISIC quoted above, that when a vertically integrated enterprise spans two or more sections of the ISIC, at least one establishment must be distinguished within each section.
ISIC sections correspond to broad industry groups such as agriculture, fishing, mining and quarrying, manufacturing, etc.
5.29 Government units, especially central governments, may be particularly large and complex in terms of the kinds of activities in which they engage.
The principles outlined above have to be applied consistently and systematically to government units.
The procedures to be followed when dealing with the main kinds of producer units owned by government may be summarized as follows.
5.30 If an unincorporated enterprise of government is a market producer and there is sufficient information available to treat it as a quasi-corporation, it should be treated as a publicly controlled unit in the non-financial or financial corporations sectors as appropriate.
The usual conventions about distinguishing different establishments within the quasi-corporation apply.
5.31 An example of an unincorporated market enterprise that can be treated as a quasi-corporation is a municipal swimming pool that is independently managed and whose accounts permit its income, saving and capital to be measured separately from government so that flows of income, or capital, between the unit and government can be identified.
5.32 If an unincorporated enterprise of government is a market producer and there is insufficient information to treat it as a quasi-corporation, or if the unincorporated enterprise is a non-market producer, then it remains within the general government sector but it should be treated as an establishment in its own right and allocated to the appropriate industry.
5.33 Non-market producers such as public administration, defence, health and education providing final goods or services should be partitioned into establishments using the activity classification given in Sections O, P and Q of ISIC Rev. 4.
Agencies of central government may be dispersed over the country as a whole in which case it will be necessary to distinguish different establishments for activities that are carried out in different locations.
5.34 When a government agency supplies goods to other government agencies it should be treated as a separate establishment and classified under the appropriate heading of ISIC.
This applies to the production of munitions or weapons, printed documents or stationery, roads or other structures, etc.
A government that produces its own weapons to supply to its own armed forces is, in effect, a vertically integrated enterprise that spans two or more sections of ISIC.
Therefore, at least one separate establishment should be distinguished in each heading.
The same argument applies to a government printing office and other goods producers owned by government.
5.35 As noted in section B, ancillary activities require special consideration because of the different ways of recording that are recommended depending on circumstances.
As a preliminary step, though, it is as well to review exactly what is meant by an ancillary activity.
Essentially, they are the basic services that every enterprise needs to have in order to operate effectively.
The sorts of services referred to include keeping records, files or accounts in written form or on computers; providing electronic and traditional written communication facilities; purchasing materials and equipment; hiring, training, managing and paying employees; storing materials or equipment: warehousing; transporting goods or persons inside or outside the producer unit; promoting sales; cleaning and maintenance of buildings and other structures; repairing and servicing machinery and equipment; and providing security and surveillance.
5.36 These types of services can be produced in house or can be purchased on the market from specialist service producers though, in practice, the requisite services may not be readily available in the right quantities on local markets.
When the services are produced in house, they are termed ancillary activities.
An ancillary activity is a supporting activity undertaken within an enterprise in order to create the conditions within which the principal or secondary activities can be carried out.
In addition, ancillary activities have certain common characteristics related to their output.
These additional characteristics include:
a. The output of an ancillary activity is not intended for use outside the enterprise.
b. Ancillary activities typically produce outputs that are commonly found as inputs into almost any kind of productive activity;
c. Ancillary activities produce services (and, as exceptions, goods that do not become a physical part of the output of the principal or secondary activity) as output;
d. The value of ancillary activity output is likely to be small compared with that of the principal or secondary activities of an enterprise.
5.37 The defining characteristics that ancillary activities support the principal and secondary activities of an enterprise and are used within the enterprise are by no means sufficient to identify an ancillary activity.
There are many kinds of activities whose outputs are entirely consumed within the same enterprise but which could not possibly be considered as ancillary.
Goods are not commonly used as inputs in the same way as services such as accounting, transportation or cleaning.
For example, an enterprise may produce milk, all of which is processed into butter or cheese within the same enterprise.
However, milk production cannot be considered an ancillary activity, because milk is a particular kind of input found only in special types of productive activity.
In general, goods that become embodied in the output of the principal or secondary activities are not outputs of ancillary activities.
5.38 Certain activities, although common, are not so common as to be considered ancillary.
Many enterprises produce their own machinery and equipment, build their own structures and carry out their own research and development.
These activities are not to be treated as ancillary, whether carried out centrally or not, as they are not found frequently and extensively in all kinds of enterprises, small as well as large.
5.39 An ancillary activity is not undertaken for its own sake but purely in order to provide supporting services for the principal or secondary activities with which it is associated.
If all the ancillary activity is undertaken in the establishment where its output is used, the ancillary activity is regarded as an integral part of the principal or secondary activities with which it is associated.
As a result:
a. The output of an ancillary activity is not explicitly recognized and recorded separately in the SNA.
It follows that the use of this output is also not recorded.
b. All the inputs consumed by an ancillary activity, materials, labour, consumption of fixed capital, etc., are treated as inputs into the principal or secondary activity that it supports.
In this case it is not possible to identify the value added of an ancillary activity because that value added is combined with the value added of the principal or secondary activity.
5.40 When the production of an enterprise takes place in two or more different establishments, certain ancillary activities may be carried out centrally for the benefit of all the establishments collectively.
For example, the purchasing, sales, accounts, computing, maintenance or other departments of an enterprise may all be the responsibility of a head office located separately from the establishments in which the principal or secondary activities of the enterprise are carried out.
5.41 If an establishment undertaking purely ancillary activities is statistically observable, in that separate accounts for the production it undertakes are readily available, or if it is in a geographically different location from the establishments it serves, it may be desirable and useful to consider it as a separate unit and allocate it to the industrial classification corresponding to its principal activity.
However, it is recommended that statisticians do not make extraordinary efforts to create separate establishments for these activities artificially in the absence of suitable basic data being available.
5.42 When such a unit is recognized, the ancillary activity is recognized as a primary output.
The value of its output should be derived on a sum of costs basis, including the cost of the capital used in the unit.
The output will be deemed to be non-market output when the parent enterprise is a non-market enterprise and market otherwise.
If the output is treated as non-market, the cost of capital should be replaced by the consumption of fixed capital when summing costs to determine the value of output.
The output of the ancillary unit is treated as intermediate consumption of the establishments it serves and should be allocated across them using an appropriate indicator such as the output, value added or employment of these establishments.
5.43 It is appropriate to treat specialized agencies serving central government as a whole, for example, computer or communications agencies, which tend to be large, as separate establishments.
5.44 Even when an ancillary activity is undertaken in the establishment where it is used, it may grow to the point that it has the capacity to provide services outside the enterprise.
For example, a computer processing unit may develop in-house capabilities for which there is an outside demand.
When an activity starts to provide a proportion of its services to outsiders, the part of the output that is sold has to be treated as secondary rather than ancillary output.
5.45 The production accounts of the SNA do not provide comprehensive information about the production of services treated in some cases as ancillary services.
It is therefore difficult to obtain information about their role in the economy.
For example, it is difficult to know how much output is produced, how many persons are engaged in such activities, how many resources are consumed, etc.
This may be regarded as a serious disadvantage for certain purposes, such as analysing the impact of “information technology” on productivity when the processing and communication of information are typical ancillary activities or when looking at the role of freight transport.
For some purposes, a satellite account may be compiled that makes estimates of all activities of a certain type regardless of whether they are ancillary or not.
The overall measure of value added does not alter because both output and intermediate consumption increase by the same amount but a more inclusive picture of the role of the activity in the economy can be obtained.
There is a discussion on the role of satellite accounts in chapter 29.
5.46 Industries are defined in the SNA in the same way as in ISIC: an industry consists of a group of establishments engaged in the same, or similar, kinds of activity.
At the most detailed level of classification, an industry consists of all the establishments falling within a single Class of ISIC.
At higher levels of aggregation corresponding to the Groups, Divisions and, ultimately, Sections of the ISIC, industries consist of a number of establishments engaged on similar types of activities.
5.47 The term “industry” is not reserved for market producers.
An industry, as defined in the ISIC and in the SNA, consists of a number of establishments engaged in the same type of production, whether the institutional units to which they belong are market producers or not.
The distinction between market and other production is a different dimension of production and economic activity.
For example, the health industry in a particular country may consist of a number of establishments, some of which are market producers while others are non-market producers.
Because the distinction between market and other kinds of production is based on a different criterion from the nature of activity itself, it is possible to cross-classify establishments by type of activity and by whether they are market producers, non-market producers or producers for own final use.
5.48 As already mentioned, a one-to-one correspondence does not exist between activities and products and hence between industries and products.
Certain activities produce more than one product simultaneously, while the same product may sometimes be produced by using different techniques of production.
5.49 When two or more products are produced simultaneously by a single productive activity they are “joint products”. Examples of joint products are meat and hides produced by slaughtering animals or sugar and molasses produced by refining sugar canes.
The by-product from one activity may also be produced by other activities, but there are examples of by-products, such as molasses, that are produced exclusively as the by-products of one particular activity.
5.50 The relationship between an activity and a product classification is exemplified by that between the ISIC and the CPC.
The CPC is a classification based on the physical characteristics of goods or on the nature of the services rendered, while the ISIC also takes into account the inputs in the production process and the technology used in the production process.
In the development of the CPC, it is intended that each good or service distinguished in the CPC is defined in such a way that it is normally produced by only one activity as defined in ISIC.
However, due to different types of criteria employed, this is not always possible.
An example would be the product of mushrooms, which can be produced by controlled growing, that is, an activity classified in Agriculture in ISIC, or by simply gathering wild growing mushrooms, an activity classified in Forestry.
More detailed national classifications may distinguish different forms of energy production in ISIC, based on different technologies, resulting in separate activities for the operation of hydroelectric power plants, nuclear power plants etc.
The output of all these activities, however, would be the single product electricity.
5.51 Conversely, each activity of the ISIC, no matter how narrowly defined, will tend to produce a number of products as defined in the CPC, although they are often clustered within the CPC structure and could be perceived as one “type” of product.
As far as practically possible, an attempt is made to establish a correspondence between the two classifications, by allocating to each category of the CPC a reference to the ISIC class in which the good or service is mainly produced.
However, due to the reasons outlined above, this typically does not result in a one-to-one correspondence.
The majority of links between ISIC and CPC will tend to be one-to-many links, with a few cases requiring many-to-one links.
It is possible to force this correspondence into a stricter relationship by selecting one link out of the many-to-one correspondence.
This selection may facilitate data conversion, but is not a real description of the link between the two classifications.
5.52 In most fields of statistics the choice of statistical unit, and methodology used, are strongly influenced by the purposes for which the resulting statistics are to be used.
For purposes of input-output analysis, the optimal situation would be one in which each producer unit were engaged in only a single productive activity so that an industry could be formed by grouping together all the units engaged in a particular type of production without the intrusion of any secondary activities.
Such a unit is called a “unit of homogeneous production”.
5.53 Although the unit of homogeneous production may be the optimal unit for purposes of certain kinds of analysis, particularly input-output analysis, it may not be possible to collect directly from the enterprise or establishment the accounting data corresponding to units of homogeneous production.
Such data may have to be estimated subsequently by transforming the data supplied by enterprises on the basis of various assumptions or hypotheses.
Units that are constructed by statistical manipulation of the data collected by the agency are called analytical units.
5.54 If a producer unit carries out a principal activity and also one or more secondary activities, it will be partitioned into the same number of units of homogeneous production.
If it is desired to compile production accounts and input-output tables by region, it is necessary to treat units of homogeneous production located in different places as separate units even though they may be engaged in the same activity and belong to the same institutional unit.
5.55 Chapter 28 discusses the estimation of analytical units for use in an input-output context.
6.1 The production account is the starting point for the sequence of accounts for institutional units and sectors displaying how income is generated, distributed and used throughout the economy.
Activities defined as production therefore determine the extent of GDP and the level of income for the economy.
In concept, the economy-wide production account is the aggregation of a similar account for each production unit.
Importantly, while production accounts can be compiled for an individual institutional unit as well as for sectors, they can also be compiled for establishments and thus for industries.
It is this feature that allows the study of industrial activity in the economy and permits the compilation of supply and use tables and input-output tables.
6.2 The production account is linked to the definition of production.
Production is an activity, carried out under the responsibility, control and management of an institutional unit, that uses inputs of labour, capital, and goods and services to produce outputs of goods and services.
The production account shows the output of production and the various inputs to it. To do this, three concepts need clarifying.
6.3 The first concept to be clarified is what constitutes production within the SNA.
This delineation is referred to as the production boundary of the SNA.
Thereafter several key types of production need to be identified depending on whether production is for sale, for own use or is made available to others at little or no cost.
6.4 The next concept to be addressed is how output is to be valued.
Key to this question is the role played by the various types of taxes imposed by (and subsidies given by) government on products and on the activity of production.
6.5 The third major concept to be considered is how the production process adds to the value of goods and services and leads to the generation of income.
Does the whole contribution of labour and capital add to the value of these goods and services or should the fact that most capital declines in value as it is used need to be taken into account?
6.6 The general format of an account in the sequence of accounts is to show how resources are received and, after uses are deducted, a balancing item is left.
Because the production account is the first in the sequence of accounts, it is the first time the concept of a balancing item appears.
The importance of balancing items in general and the one in this account in particular is also discussed before considering each of the entries of the production account in turn.
6.7 The production account for institutional units and sectors is illustrated in table 6.1.
It contains only three items apart from the balancing item.
The output from production is recorded under resources on the right-hand side of the account.
This item may be disaggregated to distinguish different kinds of output.
For example, non-market output should be shown separately from market output and output for own final use in the sector accounts, when possible.
The uses recorded on the left-hand side of the account consist of intermediate consumption and consumption of fixed capital.
Both of these may also be disaggregated.
6.8 The balancing item in the production account is value added.
It can be measured either gross or net, that is, before or after deducting consumption of fixed capital:
a. Gross value added is the value of output less the value of intermediate consumption;
b. Net value added is the value of output less the values of both intermediate consumption and consumption of fixed capital.
6.9 As value added is intended to measure the value created by a process of production, it ought to be measured net, since the consumption of fixed capital is a cost of production.
However, as explained later, consumption of fixed capital can be difficult to measure in practice and it may not always be possible to make a satisfactory estimate of its value and hence of net value added.
Provision has therefore to be made for value added to be measured gross as well as net.
It follows that provision has also to be made for the balancing items in subsequent accounts of the SNA to be measured either gross or net of the consumption of fixed capital.
6.10 Production can be described in general terms as an activity in which an enterprise uses inputs to produce outputs.
The economic analysis of production is mainly concerned with activities that produce outputs of a kind that can be delivered or provided to other institutional units.
Unless outputs are produced that can be supplied to other units, either individually or collectively, there can be no division of labour, no specialization of production and no gains from trading.
There are two main kinds of output, namely goods and services, and it is necessary to examine their characteristics in order to be able to delineate activities that are productive in an economic sense from other activities.
Collectively, goods and services are described as products.
6.11 In the SNA, it is seldom if ever necessary to make a clear distinction between goods and services but in making the link to other data sets it is often necessary to understand which products have been treated as goods and which as services.
6.12 Industrial classifications, such as ISIC, identify a group of manufacturing industries.
However, many of these industries also produce services.
For example, some aircraft engine manufacturers may both fabricate aircraft engines and repair and service existing engines.
When goods dispatched to another unit for processing do not change ownership, the work done on them constitutes a service even though it may be undertaken by a manufacturing industry.
The fact that the processing is classified as a service does not prevent the processor from being classified within manufacturing.
6.13 Similarly, some service-producing industries may produce products that have many of the characteristics of goods.
For convenience, the products of these industries are described in the SNA as knowledge-capturing products.
6.14 Products are goods and services (including knowledge-capturing products) that result from a process of production.
6.15 Goods are physical, produced objects for which a demand exists, over which ownership rights can be established and whose ownership can be transferred from one institutional unit to another by engaging in transactions on markets.
They are in demand because they may be used to satisfy the needs or wants of households or the community or used to produce other goods or services.
The production and exchange of goods are quite separate activities.
Some goods may never be exchanged while others may be bought and sold numerous times.
The production of a good can always be separated from its subsequent sale or resale.
6.16 The production of services must be confined to activities that are capable of being carried out by one unit for the benefit of another.
Otherwise, service industries could not develop and there could be no markets for services.
It is also possible for a unit to produce a service for its own consumption provided that the type of activity is such that it could have been carried out by another unit.
6.17 Services are the result of a production activity that changes the conditions of the consuming units, or facilitates the exchange of products or financial assets.
These types of service may be described as change-effecting services and margin services respectively.
Change-effecting services are outputs produced to order and typically consist of changes in the conditions of the consuming units realized by the activities of producers at the demand of the consumers.
Change-effecting services are not separate entities over which ownership rights can be established.
They cannot be traded separately from their production.
By the time their production is completed, they must have been provided to the consumers.
6.18 The changes that consumers of services engage the producers to bring about can take a variety of different forms as follows:
a. Changes in the condition of the consumer's goods: the producer works directly on goods owned by the consumer by transporting, cleaning, repairing or otherwise transforming them;
b. Changes in the physical condition of persons: the producer transports the persons, provides them with accommodation, provides them with medical or surgical treatments, improves their appearance, etc.;
c. Changes in the mental condition of persons: the producer provides education, information, advice, entertainment or similar services in a face to face manner.
Table 6.1: The production account - uses
6.19 The changes may be temporary or permanent.
For example, medical or education services may result in permanent changes in the condition of the consumers from which benefits may be derived over many years.
On the other hand, attending a football match is a short-lived experience.
In general, the changes may be presumed to be improvements, as services are produced at the demand of the consumers.
The improvements usually become embodied in the persons of the consumers or the goods they own and are not separate entities that belong to the producer.
Such improvements cannot be held in inventories by the producer or traded separately from their production.
6.20 A single process of production may provide services to a group of persons, or units, simultaneously.
For example, groups of persons or goods belonging to different institutional units may be transported together in the same plane, ship, train or other vehicle.
People may be instructed or entertained in groups by attending the same class, lecture or performance.
Certain services are provided collectively to the community as a whole, or large sections of the community, for example, the maintenance of law and order, and defence.
6.21 Margin services result when one institutional unit facilitates the change of ownership of goods, knowledge-capturing products, some services or financial assets between two other institutional units.
Margin services are provided by wholesalers and retailers and by many types of financial institutions.
Margin services resemble change-effecting services in that they are not separate entities over which ownership rights can be established.
They cannot be traded separately from their production.
By the time their production is completed they must have been provided to the consumers.
6.22 Knowledge-capturing products concern the provision, storage, communication and dissemination of information, advice and entertainment in such a way that the consuming unit can access the knowledge repeatedly.
The industries that produce the products are those concerned with the provision, storage, communication and dissemination of information, advice and entertainment in the broadest sense of those terms including the production of general or specialized information, news, consultancy reports, computer programs, movies, music, etc.
The outputs of these industries, over which ownership rights may be established, are often stored on physical objects (whether on paper or on electronic media) that can be traded like ordinary goods.
They have many of the characteristics of goods in that ownership rights over these products can be established and they can be used repeatedly.
Whether characterized as goods or services, these products possess the essential common characteristic that they can be produced by one unit and supplied to another, thus making possible division of labour and the emergence of markets.
6.23 Given the general characteristics of the goods and services produced as outputs, it becomes possible to define production.
A general definition of production is given first, followed by the rather more restricted definition that is used in the SNA.
Following this there is a discussion of the production boundary as it affects household activities and non-observed activities.
6.24 Economic production may be defined as an activity carried out under the control and responsibility of an institutional unit that uses inputs of labour, capital, and goods and services to produce outputs of goods or services.
There must be an institutional unit that assumes responsibility for the process of production and owns any resulting goods or knowledge-capturing products or is entitled to be paid, or otherwise compensated, for the change-effecting or margin services provided.
A purely natural process without any human involvement or direction is not production in an economic sense.
For example, the unmanaged growth of fish stocks in international waters is not production, whereas the activity of fish farming is production.
Table 6.1(cont): The production account - resources
6.25 While production processes that produce goods can be identified without difficulty, it is not always so easy to distinguish the production of services from other activities that may be both important and beneficial.
Activities that are not productive in an economic sense include basic human activities such as eating, drinking, sleeping, taking exercise, etc., that it is impossible for one person to employ another person to perform instead.
Paying someone else to take exercise is no way to keep fit.
On the other hand, activities such as washing, preparing meals, caring for children, the sick or aged are all activities that can be provided by other units and, therefore, fall within the general production boundary.
Many households employ paid domestic staff to carry out these activities for them.
6.26 The production boundary in the SNA is more restricted than the general production boundary.
For reasons explained below, activities undertaken by households that produce services for their own use are excluded from the concept of production in the SNA, except for services provided by owner-occupied dwellings and services produced by employing paid domestic staff.
Otherwise, the production boundary in the SNA is the same as the more general one defined in the previous paragraphs.
6.27 The production boundary of the SNA includes the following activities:
a. The production of all goods or services that are supplied to units other than their producers, or intended to be so supplied, including the production of goods or services used up in the process of producing such goods or services;
b. The own-account production of all goods that are retained by their producers for their own final consumption or gross capital formation;
c. The own-account production of knowledge-capturing products that are retained by their producers for their own final consumption or gross capital formation but excluding (by convention) such products produced by households for their own use;
d. The own-account production of housing services by owner occupiers; and
e. The production of domestic and personal services by employing paid domestic staff.
6.28 The production of services by members of the household for their own final consumption has traditionally been excluded from measured production in national accounts and it is worth explaining briefly why this is so. It is useful to begin by listing those services for which no entries are recorded in the accounts when they are produced by household members and consumed within the same household:
a. The cleaning, decoration and maintenance of the dwelling occupied by the household, including small repairs of a kind usually carried out by tenants as well as owners;
b. The cleaning, servicing and repair of household durables or other goods, including vehicles used for household purposes;
c. The preparation and serving of meals;
d. The care, training and instruction of children;
e. The care of sick, infirm or old people;
f. The transportation of members of the household or their goods.
6.29 In most countries a considerable amount of labour is devoted to the production of these services, and their consumption makes an important contribution to economic welfare.
However, national accounts serve a variety of analytical and policy purposes and are not compiled simply, or even primarily, to produce indicators of welfare.
The reasons for not imputing values for unpaid domestic or personal services produced and consumed within households may be summarized as follows:
a. The own-account production of services within households is a self-contained activity with limited repercussions on the rest of the economy.
The decision to produce a household service entails a simultaneous decision to consume that service.
This is not true for goods.
For example, if a household engages in the production of agricultural goods, it does not follow that it intends to consume them all.
Once the crop has been harvested, the producer has a choice about how much to consume, how much to store for future consumption or production and how much to offer for sale or barter on the market.
Indeed, although it is customary to refer to the own-account production of goods, it is not possible to determine at the time the production takes place how much of it will eventually be consumed by the producer.
For example, if an agricultural crop turns out to be better than expected, the household may dispose of some of it on the market even though it may have originally supposed it would consume it all.
This kind of possibility is non-existent for services; it is not possible to produce a service and then decide whether to offer it for sale or not.
b. As the vast majority of household services are not produced for the market, there are typically no suitable market prices that can be used to value such services.
It is therefore extremely difficult to estimate values not only for the outputs of the services but also for the associated incomes and expenditures that can be meaningfully added to the values of the monetary transactions on which most of the entries in the accounts are based.
c. With the exception of the imputed rental of owner-occupied dwellings, the decision to produce services for own consumption is not influenced by and does not influence economic policy because the imputed values are not equivalent to monetary flows.
Changes in the levels of household services produced do not affect the tax yield of the economy or the level of the exchange rate, to give two examples.
6.30 Thus, the reluctance of national accountants to impute values for the outputs, incomes and expenditures associated with the production and consumption of services within households is explained by a combination of factors, namely the relative isolation and independence of these activities from markets, the extreme difficulty of making economically meaningful estimates of their values, and the adverse effects it would have on the usefulness of the accounts for policy purposes and the analysis of markets and market disequilibria.
6.31 The exclusion of household services from the production boundary has consequences for labour force and employment statistics.
According to International Labour Organization (ILO) guidelines, economically active persons are persons engaged in production included within the boundary of production of the SNA.
If that boundary were to be extended to include the production of own-account household services, virtually the whole adult population would be economically active and unemployment eliminated.
In practice, it would be necessary to revert to the existing boundary of production in the SNA, if only to obtain meaningful employment statistics.
6.32 Although services produced for own consumption within households fall outside the boundary of production used in the SNA, it is nevertheless useful to give further guidance with respect to the treatment of certain kinds of household activities which may be particularly important in some developing countries.
The SNA includes the production of all goods within the production boundary.
The following types of production by households are included whether intended for own final consumption or not:
a. The production of agricultural products and their subsequent storage; the gathering of berries or other uncultivated crops; forestry; wood-cutting and the collection of firewood; hunting and fishing;
b. The production of other primary products such as mining salt, cutting peat, etc.;
c. The processing of agricultural products; the production of grain by threshing; the production of flour by milling; the curing of skins and the production of leather; the production and preservation of meat and fish products; the preservation of fruit by drying, bottling, etc.; the production of dairy products such as butter or cheese; the production of beer, wine, or spirits; the production of baskets or mats; etc.;
d. Other kinds of processing such as weaving cloth; dress making and tailoring; the production of footwear; the production of pottery, utensils or durables; making furniture or furnishings; etc.;
e. The supply of water is also considered a goods-producing activity in this context.
In principle, supplying water is a similar kind of activity to extracting and piping crude oil.
6.33 It is not feasible to draw up a complete, exhaustive list of all possible productive activities but the above list covers the most common types.
When the amount of a good produced within households is believed to be quantitatively important in relation to the total supply of that good in a country, its production should be recorded.
Otherwise, it may not be worthwhile trying to estimate it in practice.
6.34 The production of housing services for their own final consumption by owner occupiers has always been included within the production boundary in national accounts, although it constitutes an exception to the general exclusion of own-account service production.
The ratio of owner-occupied to rented dwellings can vary significantly between countries, between regions of a country and even over short periods of time within a single country or region, so that both international and inter-temporal comparisons of the production and consumption of housing services could be distorted if no imputation were made for the value of own-account housing services.
The imputed value of the income generated by such production is taxed in some countries.
6.35 Although paid domestic staff produce many of the services excluded from the production boundary of the SNA when undertaken by household members, paying a person who comes to the house to wash, cook or look after children, for example, is as much a market activity as taking clothes to a laundry, eating at a restaurant or paying a nursery to care for children.
By convention, though, only the wages of the domestic staff are treated as the value of output.
Other materials used in their work are treated as household consumption expenditure because of the difficulty of identifying what is used by the staff and what by household members.
Nor are payments to other household members treated as payments for services even if the payments are nominally for the performance of chores, for example pocket-money paid to children.
6.36 “Do-it-yourself” repairs and maintenance to consumer durables and dwellings carried out by members of the household constitute the own-account production of services and are excluded from the production boundary of the SNA.
The materials purchased are treated as final consumption expenditure.
6.37 In the case of dwellings, “do-it-yourself” activities cover decoration, maintenance and small repairs, including repairs to fittings, of types that are commonly carried out by tenants as well as by owners.
On the other hand, more substantial repairs, such as replastering walls or repairing roofs, carried out by owners, are essentially intermediate inputs into the production of housing services.
However, the production of such repairs by an owner-occupier is only a secondary activity of the owner in his capacity as a producer of housing services.
The production accounts for the two activities may be consolidated so that, in practice, the purchases of materials for repairs become intermediate expenditures incurred in the production of housing services.
Major renovations or extensions to dwellings are fixed capital formation and recorded separately.
6.38 The use of goods within the household for the direct satisfaction of human needs or wants is not treated as production.
This applies not only to materials or equipment purchased for use in leisure or recreational activities but also to foodstuffs purchased for the preparation of meals.
The preparation of a meal is a service activity and is treated as such in the SNA and ISIC Rev.4.
It therefore falls outside the production boundary when the meal is prepared for own consumption within the household.
The use of a durable good, such as a vehicle, by persons or households for their own personal benefit or satisfaction is intrinsically a consumption activity and should not be treated as if it were an extension, or continuation, of production.
6.39 There is considerable interest in the phenomenon of the non-observed economy.
This term is used to describe activities that, for one reason or another, are not captured in regular statistical enquiries.
The reason may be that the activity is informal and thus escapes the attention of surveys geared to formal activities; it may be that the producer is anxious to conceal a legal activity, or it may be that the activity is illegal. Chapter 25 discusses measurement of the informal economy within households.
6.40 Certain activities may clearly fall within the production boundary of the SNA and also be quite legal (provided certain standards or regulations are complied with) but deliberately concealed from public authorities for the following kinds of reasons:
a. To avoid the payment of income, value added or other taxes;
b. To avoid the payment of social security contributions;
c. To avoid having to meet certain legal standards such as minimum wages, maximum hours, safety or health standards, etc.;
d. To avoid complying with certain administrative procedures, such as completing statistical questionnaires or other administrative forms.
6.41 Because certain kinds of producers try to conceal their activities from public authorities, it does not follow that they are not included in national accounts in practice.
Many countries have had considerable success in compiling estimates of production that cover the non-observed economy as well as the ordinary economy.
In some industries, such as agriculture or construction, it may be possible by using various kinds of surveys and the commodity flow method to make satisfactory estimates of the total output of the industry without being able to identify or measure that part of it that is not observed.
Because the non-observed economy may account for a significant part of the total economy of some countries, it is particularly important to try to make estimates of total production that include it, even if it cannot always be separately identified as such.
6.42 There may be no clear borderline between the non-observed economy and illegal production.
For example, production that does not comply with certain safety, health or other standards could be described as illegal.
Similarly, the evasion of taxes is itself usually a criminal offence.
However, it is not necessary for the purposes of the SNA to try to fix the precise borderline between non-observed and illegal production as both are included within the production boundary in any case.
It follows that transactions on unofficial markets that exist in parallel with official markets (for example, for foreign exchange or goods subject to official price controls) must also be included in the accounts, whether or not such markets are actually legal or illegal.
6.43 There are two kinds of illegal production:
a. The production of goods or services whose sale, distribution or possession is forbidden by law;
b. Production activities that are usually legal but become illegal when carried out by unauthorized producers; for example, unlicensed medical practitioners.
6.44 Examples of activities that may be illegal but productive in an economic sense include the manufacture and distribution of narcotics, illegal transportation in the form of smuggling of goods and of people, and services such as prostitution.
6.45 Both kinds of illegal production are included within the production boundary of the SNA provided they are genuine production processes whose outputs consist of goods or services for which there is an effective market demand.
The units that purchase smuggled goods, for example, may not be involved in any kind of illegal activities and may not even be aware that the other party to the transaction is behaving illegally.
Transactions in which illegal goods or services are bought and sold need to be recorded not simply to obtain comprehensive measures of production and consumption but also to prevent errors appearing elsewhere in the accounts.
The incomes generated by illegal production may be disposed of quite legally, while conversely, expenditures on illegal goods and services may be made out of funds obtained quite legally.
The failure to record illegal transactions may lead to significant errors within the accounts if the consequences of the activity are recorded in the financial account and the external accounts, say, but not in the production and income accounts.
6.46 Regular thefts of products from inventories are not included in the value of output.
Suppose a shop suffers regular theft from inventories.
In calculating the value of output of the shop, part of the margin on the goods sold must cover the cost of the goods stolen.
Thus the margin is calculated as the value received for the goods sold less the cost of both 6.48 the goods sold and the goods stolen.
If the stolen products are sold elsewhere, for example on a street stall, the value of the output of the street trader is still calculated as the difference between the value received for the goods and the value paid for them.
In this case, though, if nothing is paid for the goods, the whole of the sales value appears as the margin.
6.47 Illegal production does not refer to the generation of externalities such as the discharge of pollutants.
Externalities may result from production processes that are themselves quite legal.
Externalities are created without the consent of the units affected and no values are imputed for them in the SNA.
6.48 Although non-observed and illegal activities require special consideration, it is not necessarily the case that they are excluded from normal data collection processes.
6.49 More than one set of prices may be used to value outputs and inputs depending upon how taxes and subsidies on products, and also transport charges, are recorded.
Moreover, value added taxes (VAT), and similar deductible taxes may also be recorded in more than one way.
The methods of valuation used in the SNA are explained in this section.
6.50 The detailed discussion of taxes related to production appears in section C of chapter 7 but it is important in the context of discussing alternative price measures to make the distinction between taxes (and subsidies) on products and other taxes (and subsidies) on production.
As the name implies, taxes on products are payable per unit of the product.
The tax may be a flat amount dependent on the physical quantity of the product or may be a percentage of the value at which the product is sold.
Other taxes on production are taxes imposed on the producer that do not apply to products nor are levied on the profits of the producer.
Examples include taxes on land or premises used in production or on the labour force employed.
The distinction between subsidies on products and other subsidies on production is made on similar grounds.
6.51 The SNA utilizes two kinds of prices to measure output, namely, basic prices and producers' prices:
a. The basic price is the amount receivable by the producer from the purchaser for a unit of a good or service produced as output minus any tax payable, and plus any subsidy receivable, by the producer as a consequence of its production or sale.
It excludes any transport charges invoiced separately by the producer.
b. The producer's price is the amount receivable by the producer from the purchaser for a unit of a good or service produced as output minus any VAT, or similar deductible tax, invoiced to the purchaser.
It excludes any transport charges invoiced separately by the producer.
Neither the producer's nor the basic price includes any amounts receivable in respect of VAT, or similar deductible tax, invoiced on the output sold.
6.52 Unlike the basic price, the producer's price includes taxes on products (taxes payable per unit of output) and excludes subsidies on products (subsidies receivable per unit of output).
The producer's price is the price, excluding VAT, that the producer invoices to the purchaser.
The basic price measures the amount retained by the producer and is, therefore, the price most relevant for the producer's decision-taking.
It is becoming increasingly common in many countries for producers to itemize taxes separately on their invoices so that purchasers are informed about how much they are paying to the producer and how much as taxes to the government.
6.53 Basic prices exclude any taxes on products the producer receives from the purchaser and passes on to government but include any subsidies the producer receives from government and uses to lower the prices charged to purchasers.
6.54 Both producers' and basic prices are actual transaction prices that can be directly observed and recorded.
Basic prices are often reported in statistical inquiries and some official “producer price” indices actually refer to basic prices rather than to producers' prices as defined here.
6.55 Many countries have adopted some form of VAT.
VAT is a wide-ranging tax usually designed to cover most or all goods and services.
In some countries, VAT may replace most other forms of taxes on products, but VAT may also be levied in addition to some other taxes on products, such as excise duties on tobacco, alcoholic drink or fuel oils.
6.56 VAT is a tax on products collected in stages by enterprises.
Producers are required to charge certain percentage rates of VAT on the goods or services they sell.
The VAT is shown separately on the sellers' invoices so that purchasers know the amounts they have paid.
However, producers are not required to pay to the government the full amounts of the VAT invoiced to their customers because they are usually permitted to deduct the VAT that they themselves have paid on goods and services purchased for their own intermediate consumption, resale or gross fixed capital formation.
Producers are obliged to pay only the difference between the VAT on their sales and the VAT on their purchases for intermediate consumption or capital formation, hence the expression value added tax.
The percentage rate of VAT is liable to vary between different categories of goods and services and also according to the type of purchaser.
For example, sometimes goods purchased by visiting non-residents, which count as exports, may be exempt from VAT.
6.57 Other tax regimes exist, not called VAT, that operate in a similar manner.
Within the SNA, the term VAT is used to apply to any similar deductible tax scheme even if the scope is narrower than a full system of VAT.
6.58 The following terminology needs to be defined:
a. Invoiced VAT is the VAT payable on the sales of a producer; it is shown separately on the invoice that the producer presents to the purchaser.
b. Deductible VAT is the VAT payable on purchases of goods or services intended for intermediate consumption, gross fixed capital formation or for resale that a producer is permitted to deduct from his own VAT liability to the government in respect of VAT invoiced to his customers.
c. Non-deductible VAT is VAT payable by a purchaser that is not deductible from his own VAT liability, if any.
Thus, a market producer is able to recover the costs of any deductible VAT payable on his own purchases by reducing the amount of his own VAT liability in respect of the VAT invoiced to his own customers.
On the other hand, the VAT paid by households for purposes of final consumption or fixed capital formation in dwellings is not deductible.
The VAT payable by non-market producers owned by government units or NPISHs may also not be deductible.
6.59 There are two alternative systems that may be used to record VAT, the “gross” or “net” systems.
Under the gross system, all transactions are recorded including the amounts of any invoiced VAT.
Thus, the purchaser and the seller record the same price, irrespective of whether or not the purchaser is able to deduct the VAT subsequently.
6.60 While the gross system of recording seems to accord with the traditional notion of recording at “market” prices, it presents some difficulties.
Practical experience with the operation of VAT over many years in a number of countries has shown it may be difficult, if not impossible, to utilize the gross system because of the way business accounts are computed and records are kept.
Sales are normally reported excluding invoiced VAT in most industrial inquiries and business surveys.
Conversely, purchases of goods and services by producers are usually recorded excluding deductible VAT.
Although the gross system has been tried in some countries, it has had to be abandoned for these reasons.
Further, it can be argued that the gross system distorts economic reality to the extent that it does not reflect the amounts of VAT actually paid by businesses.
Large amounts of invoiced VAT are deductible and thus represent only notional or putative tax liabilities.
6.61 The SNA therefore requires that the net system of recording VAT should be followed.
In the net system:
a. Outputs of goods and services are valued excluding invoiced VAT; imports are similarly valued excluding invoiced VAT;
b. Purchases of goods and services are recorded including non-deductible VAT.
Under the net system, VAT is recorded as being payable by purchasers, not sellers, and then only by those purchasers who are not able to deduct it. Almost all VAT is therefore recorded in the SNA as being paid on final uses, mainly on household consumption.
However, small amounts of VAT may be paid by businesses in respect of certain kinds of purchases on which VAT may not be deductible.
6.62 The disadvantage of the net system is that different prices must be recorded for the two parties to the same transaction when the VAT is not deductible.
The price recorded for the producer does not include invoiced VAT whereas the price recorded for the purchaser does include the invoiced VAT to the extent that it is not deductible.
Thus, in aggregate, the total value of the expenditures recorded for purchasers must exceed the total value of the corresponding sales receipts recorded for producers by the total amount raised as nondeductible VAT.
6.63 The producer's price thus defined is a hybrid that excludes some, but not all, taxes on products.
The basic price, which does not include any taxes on the product (but includes subsidies on the product) becomes a clearer concept in these circumstances and is the preferred method for valuing the output of producers.
6.64 The purchaser's price is the amount paid by the purchaser, excluding any VAT or similar tax deductible by the purchaser, in order to take delivery of a unit of a good or service at the time and place required by the purchaser.
The purchaser's price of a good includes any transport charges paid separately by the purchaser to take delivery at the required time and place.
6.65 When a purchaser buys directly from the producer, the purchaser's price may exceed the producer's price by:
a. The value of any non-deductible VAT, payable by the purchaser; and
b. The value of any transport charges on a good paid separately by the purchaser and not included in the producer's price.
It follows that the purchaser's price may exceed the basic price by the amount of the two items just listed plus the value of any taxes less subsidies on the product (other than VAT).
6.66 If purchasers buy output not from the producer directly but from a wholesaler or retailer, it is necessary to include their margins in the difference between basic and purchasers' prices also.
6.67 For certain purposes, including input-output analysis, it may be convenient to consider that the purchase of a product consists of two separate transactions.
The first of these is the purchase of the product from the producer and the second is the margin paid to the wholesaler or retailer of the product.
The margin represents the difference between the price paid by the final purchaser of a product after it has passed through the wholesale and retail distribution chains and the producer's price received by its original producer.
6.68 The traditional concept of the “market” price becomes somewhat blurred under a system of VAT or similar deductible taxes because there may be two different prices for a single transaction: one from the seller's point of view and another from the purchaser's, depending upon whether or not the tax is deductible.
It is recommended in the SNA that the term “market prices” should be avoided when referring to value added and the price basis used, (basic, producers' or purchasers'), be specified to avoid ambiguity.
6.69 Figure 1 gives an overview of the essential differences between basic, producers' and purchasers' prices.
Figure 6.1: Basic, producers' and purchasers' prices
Basic prices
+
Taxes on products excluding invoiced VAT
-
Subsidies on products
=
Producers' prices
+
VAT not deductible by the purchaser
+
Separately invoiced transport charges
+
Wholesalers' and retailers' margins
=
Purchasers' prices
6.70 The balancing item of a current account is the excess of resources over uses.
The rationale for dividing transactions into sets of accounts is that the balancing item of each account is of economic interest.
The balancing item of the production account is value added, so called because it measures the value created by production.
Because a production account may be compiled for an institutional unit or sector, or establishment or industry, so value added may be derived for any of these.
Value added is of analytical interest because when the value of taxes on products (less subsidies on products) is added, the sum of value added for all resident units gives the value of gross domestic product (GDP).
6.71 Value added represents the contribution of labour and capital to the production process.
Once the amount of value added appropriated by government in the form of other taxes on production is deducted from value added and the value of subsidies is added, the compensation of labour and capital is revealed.
However, capital in the form of fixed capital has a finite life length.
Some part of value added should therefore be regarded as the reduction in value of fixed capital due to its use in production.
This allowance is called consumption of fixed capital.
6.72 Consumption of fixed capital is one of the most important elements in the SNA.
In most cases, when a distinction is drawn between “gross” and “net” recording, “gross” means without deducting consumption of fixed capital while recording “net” means after deducting consumption of fixed capital.
In particular, all the major balancing items in the accounts from value added through to saving may be recorded gross or net, that is, before or after deducting consumption of fixed capital.
It should also be noted that consumption of fixed capital is typically quite large compared with most of the net balancing items.
It may account for 10 per cent or more of GDP.
6.73 Consumption of fixed capital is one of the most difficult items in the accounts to define conceptually and to estimate in practice.
Further, consumption of fixed capital does not represent the aggregate value of a set of transactions.
It is an imputed value whose economic significance is different from entries in the accounts based mainly on market transactions.
For these reasons, the major balancing items in national accounts have always tended to be recorded both gross and net of consumption of fixed capital.
This tradition is continued in the SNA where provision is made for balancing items from value added through to saving to be recorded both ways.
In general, the gross figure is the easier to estimate and so may be more reliable, but the net figure is usually the one that is conceptually more appropriate and relevant for analytical purposes.
6.74 As stated above:
a. Gross value added is defined as the value of output less the value of intermediate consumption;
b. Net value added is defined as the value of output less the values of both intermediate consumption and consumption of fixed capital.
To avoid repetition, only gross value added will be cited in the following sections when the corresponding conclusions for net value added are obvious.
6.75 In the SNA, intermediate inputs are valued and recorded at the time they enter the production process, while outputs are recorded and valued as they emerge from the process.
Intermediate inputs are normally valued at purchasers' prices and outputs at basic prices, or alternatively at producers' prices if basic prices are not available.
The difference between the value of the intermediate inputs and the value of the outputs is gross value added against which must be charged consumption of fixed capital, taxes on production (less subsidies) and compensation of employees.
The positive or negative balance remaining is the net operating surplus or mixed income.
6.76 As indicated above, alternative measures of gross value added may be obtained by associating different sets of prices with a set of quantities of inputs and outputs.
The various measures that may be derived using the different sets of prices recognized in the SNA are considered below.
6.77 Gross value added at basic prices is defined as output valued at basic prices less intermediate consumption valued at purchasers' prices.
Although the outputs and inputs are valued using different sets of prices, for brevity the value added is described by the prices used to value the outputs.
From the point of view of the producer, purchasers' prices for inputs and basic prices for outputs represent the prices actually paid and received.
Their use leads to a measure of gross value added that is particularly relevant for the producer.
6.78 Gross value added at producers' prices is defined as output valued at producers' prices less intermediate consumption valued at purchasers' prices.
As already explained, in the absence of VAT, the total value of the intermediate inputs consumed is the same whether they are valued at producers' or at purchasers' prices, in which case this measure of gross value added is the same as one that uses producers' prices to value both inputs and outputs.
It is an economically meaningful measure that is equivalent to the traditional measure of gross value added at market prices.
However, in the presence of VAT, the producer's price excludes invoiced VAT, and it would be inappropriate to describe this measure as being at “market” prices.
6.79 Both this measure of gross value added and that described in the previous section use purchasers' prices to value intermediate inputs.
The difference between the two measures is entirely attributable to their differing treatments of taxes or subsidies on products payable on outputs (other than invoiced VAT).
By definition, the value of output at producers' prices exceeds that at basic prices by the amount, if any, of the taxes on products, less subsidies on products so that the two associated measures of gross value added must differ by the same amount.
6.80 Gross value added at factor cost is not a concept used explicitly in the SNA.
Nevertheless, it can easily be derived from either of the measures of gross value added presented above by subtracting the value of any taxes on production, less subsidies on production, payable out of gross value added as defined.
For example, the only taxes on production remaining to be paid out of gross value added at basic prices consist of “other taxes on production”. These consist mostly of current taxes (or subsidies) on the labour or capital employed in the enterprise, such as payroll taxes or current taxes on vehicles or buildings.
Gross value added at factor cost can thus be derived from gross value added at basic prices by subtracting other taxes on production, less subsidies on production.
6.81 The conceptual difficulty with gross value added at factor cost is that there is no observable set of prices such that gross value added at factor cost is obtained directly by multiplying this set of prices by the sets of quantities of outputs.
By definition, other taxes or subsidies on production are not taxes or subsidies on products that can be eliminated from the input and output prices.
Thus, despite its traditional name, gross value added at factor cost is not strictly a measure of value added; it is essentially a measure of income and not output.
It represents the amount remaining for distribution out of gross value added, however defined, after the payment of all taxes on production and the receipt of all subsidies on production.
It makes no difference which measure of gross value added is used to derive this income measure because the alternative measures of value added considered above differ only in respect of the amounts of the taxes or subsidies on production that remain payable out of gross value added.
6.82 The underlying rationale behind the concept of gross domestic product (GDP) for the economy as a whole is that it should measure the total gross value added from all institutional units resident in the economy.
However, while the concept of GDP is based on this principle, GDP as defined in the SNA is such that an identity exists between a measure built on value added, a measure built on income and one based on final expenditures.
To achieve this, it is important that the same contribution to GDP is made by taxes on production under all three measures.
The expenditure measure of GDP includes all taxes on production and taxes on imports since ultimately these are included in the purchasers' prices of the final users.
6.83 Given this definition of GDP, the following identities hold when the summations are taken over all resident producers:
a. GDP = the sum of the gross value added at producers' prices,
plus taxes on imports,
less subsidies on imports,
plus non-deductible VAT.
b. GDP = the sum of the gross value added at basic prices,
plus all taxes on products,
less all subsidies on products.
c. GDP = the sum of the gross value added at factor cost
plus all taxes on products,
less all subsidies on products,
plus all other taxes on production,
less all other subsidies on production.
In cases (b) and (c), the items taxes on products and subsidies on products includes taxes and subsidies on imports as well as on outputs.
6.84 GDP measures the production of all resident producers.
This does not necessarily coincide with all production taking place within the geographical boundary of the economic territory.
Some of the production of a resident producer may take place abroad, while some of the production taking place within the geographical boundary of the economy may be carried out by non-resident producer units.
For example, a resident producer may have teams of employees working abroad temporarily on the installation, repair or servicing of equipment.
This output is an export of a resident producer and the productive activity does not contribute to the GDP of the country in which it takes places.
Thus, the distinction between resident and non-resident institutional units is crucial to the definition and coverage of GDP.
In practice most of the productive activity of resident producers takes place within the country in which they are resident.
However, producers in service industries that typically have to deliver their outputs directly to their clients wherever they are located are increasingly tending to engage in production in more than one country, a practice that is encouraged by rapid transportation and instantaneous communication facilities.
Geographical boundaries between adjacent countries are becoming less significant for mobile service producers, especially in small countries bordered by several other countries.
6.85 Production is an activity carried out by an establishment.
It may not always be clear whether an establishment is producing a good or is providing a service.
For example, an oil refinery processing crude oil that it owns is producing a good (refined petroleum); if the same refinery processes crude oil belonging to another unit, then it is providing a refinery service to that unit.
This lack of clarity may often appear for goods passing between establishments of the same enterprise and it is important to know when to record the output of a good and when of a change-effecting service.
When the establishments belong to different enterprises (that is to different institutional units), the defining principle is that of economic ownership.
If an establishment has no discretion about the level of production, the price to be charged for the good or the destination of the good, there is evidence that the establishment has not taken economic ownership of the goods being processed and the value of the output should be treated as the processing element only.
This is the case for the refinery service cited above.
6.86 When the establishments involved belong to the same enterprise, there is no change of ownership since both establishments have the same owner.
However, the principle of transferring risk, which accompanies change of ownership, can still be applied.
Suppose, for example, that an establishment receives coal from another establishment in the same enterprise, uses it to generate electricity and then sells the electricity on the open market.
The electricity generator has discretion about the amount of coal it demands, the amount of electricity to be generated and the prices to be charged.
In such a case, the value of electricity generated should be measured including the cost of the coal consumed in the process even though there is no legal change in ownership given that both establishments belong to the same enterprise.
6.87 In general, all goods and services that are produced and used by the same establishment are excluded from the measure of output.
However, there are exceptions here also.
For example, output is recorded if the goods and services being produced are used for capital formation of the establishment.
Similarly output is recorded for products entering inventories even if eventually they are withdrawn from inventories for use as intermediate consumption in the same establishment in a later period.
If the establishment is a household unincorporated enterprise growing maize, the value of maize produced includes maize kept for household consumption.
6.88 An establishment may produce goods and services that are used as its own intermediate consumption.
An example is unglazed china that is only delivered to other units after glazing.
In general the unglazed china is not recorded as output but if there is some china remaining unglazed at the end of the production period, it should be recorded as being produced and entering inventories.
In the subsequent period, the unglazed china is withdrawn from inventories and the act of glazing constitutes output in the second period.
6.89 Although production is related to activities and thus the output of one production process is one set of products, output is measured for an establishment and may include the output of several production processes.
Thus output is defined as the goods and services produced by an establishment,
a. excluding the value of any goods and services used in an activity for which the establishment does not assume the risk of using the products in production, and
b. excluding the value of goods and services consumed by the same establishment except for goods and services used for capital formation (fixed capital or changes in inventories) or own final consumption.
6.90 The output of most goods or services is usually recorded when their production is completed.
However, when it takes a long time to produce a unit of output, it becomes necessary to recognize that output is being produced continuously and to record it as “work-in-progress”. For example, the production of certain agricultural goods or large durable goods such as ships or buildings may take months or years to complete.
In such cases, it would distort economic reality to treat the output as if it were all produced at the moment of time when the process of production happens to terminate.
Whenever a process of production extends over two or more accounting periods, it is necessary to calculate the work-in-progress completed within each of the periods in order to be able to measure how much output is produced in each period.
6.91 On the other hand, goods and services may be completed in an accounting period but not delivered (sold) to a user in that period.
Output is recorded when the work is completed and not when sold.
There is thus a significant difference between the value of output in a period and the value of sales, the difference being accounted for by changes in inventories of finished goods and work-in-progress.
6.92 Goods and services produced for sale on the market at economically significant prices may be valued either at basic prices or at producers' prices.
The preferred method of valuation is at basic prices, especially when a system of VAT, or similar deductible tax, is in operation.
Producers' prices should be used only when valuation at basic prices is not feasible.
6.93 Output produced by market producers for own final use should be valued at the average basic prices of the same goods or services sold on the market, provided they are sold in sufficient quantities to enable reliable estimates to be made of those average prices.
If not, the output should be valued by the total production costs incurred, including consumption of fixed capital, plus any taxes (less subsidies) on production other than taxes or subsidies on products, plus a net return on the fixed capital and natural resources used in production.
The concept of the net return to capital is introduced in section H and discussed more fully in chapter 20.
6.94 The non-market output produced by government units and NPISHs that is supplied free, or at prices that are not economically significant, to other institutional units or the community as a whole is valued by total production costs, including consumption of fixed capital, plus taxes (less subsidies) on production other than taxes or subsidies on products.
By convention, no net return to capital is included for non-market production.
Similarly, no net return to capital is included in the estimates of production for own final use by non-market producers when these are estimated as the sum of costs.
6.95 A fundamental distinction is drawn in the SNA between market output and non-market output because of the way the output of each is valued.
Market output is the normal situation in a market economy where producers make decisions about what to produce and how much to produce in response to expected levels of demand and expected costs of supply.
The determining factor behind production decisions is that economically significant prices prevail.
Economically significant prices are prices that have a significant effect on the amounts that producers are willing to supply and on the amounts purchasers wish to buy.
These prices normally result when:
a. The producer has an incentive to adjust supply either with the goal of making a profit in the long run or, at a minimum, covering capital and other costs; and
b. Consumers have the freedom to purchase or not purchase and make the choice on the basis of the prices charged.
6.96 There is further discussion on economically significant prices in chapter 22.
6.97 Non-market output is output undertaken by general government and NPISHs that takes place in the absence of economically significant prices.
A price is said to be not economically significant when it has little or no influence on how much the producer is prepared to supply and is expected to have only a marginal influence on the quantities demanded.
It is a price that is not quantitatively significant from the point of view of either supply or demand.
Such prices are likely to be charged in order to raise some revenue or achieve some reduction in the excess demand that may occur when services are provided completely free, but they are not intended to eliminate such excess demand.
Once a decision has been taken on administrative, social or political grounds about the total amount of a particular non-market good or service to be supplied, its price is deliberately fixed below the equilibrium price that would clear the market.
The difference between a price that is not economically significant and a zero price is, therefore, a matter of degree.
The price merely deters those units whose demands are the least pressing without greatly reducing the total level of demand.
6.98 Non-market output may be produced for two reasons:
a. It may be technically impossible to make individuals pay for collective services because their consumption cannot be monitored or controlled.
The pricing mechanism cannot be used when transactions costs are too high and there is market failure.
The production of such services has to be organized collectively by government units and financed out of funds other than receipts from sales, namely taxation or other government incomes;
b. Government units and NPISHs may also produce and supply goods or services to individual households for which they could charge but choose not to do so as a matter of social or economic policy.
The most common examples are the provision of education or health services, free or at prices that are not economically significant, although other kinds of goods and services may also be supplied.
6.99 Market output consists of output intended for sale at economically significant prices.
The value of market output is determined as the sum of the following items:
a. The value of goods and services sold at economically significant prices;
b. The value of goods or services bartered in exchange for other goods, services or assets;
c. The value of goods or services used for payments in kind, including compensation in kind;
d. The value of goods or services supplied by one establishment to another belonging to the same market enterprise to be used as intermediate inputs where the risk associated with continuing the production process is transferred along with the goods;
e. The value of changes in inventories of finished goods and work-in-progress intended for one or other of the above uses;
f. The margins charged on the supply of goods and services, transport margins, margins on the acquisition and disposal of financial assets, etc.
6.100 The times at which sales are to be recorded are when the receivables and payables are created: that is, when the ownership of the goods passes from the producer to the purchaser or when the services are provided to the purchaser.
Goods or services are valued at the basic prices at which they are sold.
If valuation at basic prices is not feasible, they may be valued at producers' prices instead.
If it is necessary to value the sale of goods at producers' prices rather than basic prices, then the implicit value of margin services should also include any applicable taxes on products.
For some margin services, especially those concerning financial assets, the value of the service provided may be implicit.
6.101 The values of sales are determined by the amounts receivable and payable by the producers and purchasers, suitably adjusted for trade and transport margins.
The amounts receivable and payable do not always coincide with the amounts actually received and paid.
The amount payable should be shown in the production account and the difference between amounts payable and paid should be shown as accounts payable or receivable in the financial account.
Subsequent payments of these amounts outstanding are recorded as financial transactions and not as part of the production account.
If payments made in advance or in arrears attract interest charges, these should be shown as separate transactions and not included in the value of sales.
6.102 Barter occurs when goods and services are exchanged for other goods, services or assets.
The value of goods or services bartered should be recorded when the ownership of the goods is transferred or the services are provided.
The output of goods bartered is valued at the basic prices that would have been received if they had been sold.
6.103 Goods or services provided to employees as compensation in kind, or used for other payments in kind, should be recorded when the legal ownership of the goods is transferred or the services are provided.
They should be valued at the basic prices that would have been received if they had been sold.
6.104 Intra-enterprise deliveries are recorded only when the establishment receiving the goods assumes responsibility for making the decisions about the levels of supply and prices at which their output is delivered to the market.
When incoming deliveries are recorded, they should be valued at the basic prices that would have been received if they had been sold.
6.105 The basic principle underlying the measurement of changes in inventories of finished goods is that output should be recorded at the time it is produced and valued at the same price whether it is sold, otherwise used or entered into inventories for sale or use later.
In effect, goods only enter inventories when they are not immediately used for sale or other use in the period they are produced.
Similarly, goods are withdrawn from inventories when the demand for the goods exceeds the amount produced in a period.
No output is recorded when goods produced previously are withdrawn from inventories and sold or otherwise used unless a storage activity as described below in section F takes place.
6.106 Inventories of finished goods therefore explain the difference between production and sales (or other use) in a single period.
It follows that entries into inventories must be valued at the basic prices prevailing at the time of entry, while withdrawals must be valued at the prices at which they are then sold.
This method of valuing changes in inventories, which may be described as the “perpetual inventory method” or PIM, is not always easy to implement in practice, however, and it sometimes leads to results that may be counter intuitive.
6.107 When prices are stable, the measurement of changes in inventories is relatively simple.
However, when there is inflation (or deflation), significant price increases (decreases) may occur while goods are held in inventories.
Holding gains (losses) accruing on goods held in inventories after they have been produced must not be included in the value of output.
It follows from the valuation method used that, when prices are changing, goods entering and leaving inventories at different times are valued at different prices, even within the same accounting period (as also are goods sold at different times).
This requires that, in principle, all entries to, and withdrawals from, inventories be recorded continuously as they occur, and helps explain the complexity of the perpetual inventory method.
The perpetual inventory method ensures their exclusion by valuing goods withdrawn from inventories at the prices prevailing at the time they are withdrawn and not at the prices at which they are entered, or their “historic costs”. This method of valuation can lead to much lower figures for both output and profits in times of inflation than those obtained by business accounting methods based on historic costs.
Further discussion on the valuation of inventories appears in chapter 10.
6.108 It follows from the general principles outlined in the previous section that:
a. Goods entering inventories are valued at the basic prices prevailing at that time: that is, at the prices at which they could have been sold when first produced;
b. Goods withdrawn from inventories are valued at the basic prices prevailing at that time: that is, at the prices at which they can then be sold.
6.109 Goods held in inventories are subject to deterioration through the passage of time and are at risk from theft or accidental damage.
Recurrent losses due to normal rates of wastage, theft and accidental damage are treated in the same way as withdrawals from inventories and thus reduce the value of output.
This practice is followed even if the losses are high relative to output as long as they are recurrent.
The total value of the changes in inventories of finished goods recorded within a specified accounting period is then given by:
the sum of the values of all goods entering inventories
less the sum of the values of all goods withdrawn from inventories
less the value of any recurrent losses of goods held in inventories.
6.110 When the process of production takes a long time to complete, output must be recognized as being produced continuously as work-in-progress.
As the process of production continues, intermediate inputs are continually being consumed so that it is necessary to record some corresponding output.
Otherwise, recording the inputs and outputs as if they took place at different times, or even in different accounting periods would give meaningless figures for value added.
Work-in-progress is essentially incomplete output that is not yet marketable: that is, output that is not sufficiently processed to be in a state in which it can easily be supplied or sold to other institutional units.
It is essential to record such output whenever the process of production is not completed within a single accounting period so that work-in-progress is carried forward from one period to the next.
In this case, the current value of the work-in-progress completed up to the end of one period is recorded in the closing balance sheet, which also serves as the opening balance sheet for the next period.
6.111 Work-in-progress may need to be recorded in any industry, including service industries such as the production of movies, depending upon the length of time it takes to produce a unit of output.
It is particularly important in industries with long gestation periods, such as certain types of agricultural production or durable producers' goods production, where the period of production may extend over several years.
6.112 Work-in-progress is treated in the SNA as one component of inventories of outputs held by producers.
However, the borderline between inventories of partially completed buildings and structures and gross fixed capital formation may not always be clear.
Gross fixed capital formation is undertaken by users of fixed assets so gross fixed capital formation cannot be recorded until the legal ownership of the assets is transferred from their producers to their users.
This transfer does not usually occur until the process of production is completed.
However, when a contract of sale has been concluded in advance, the transfer of legal ownership may be deemed to occur in stages as value is put in place.
In such cases, stage payments made by the purchaser can often be used to approximate the value of the gross fixed capital formation although stage payments may sometimes be made in advance or in arrears of the completion of the stage, in which case short-term credits are also extended from the purchaser to the producer, or vice versa.
In the absence of a contract of sale, the output produced must be treated as additions to the producer's inventories, that is, as work-in-progress, however large the partially completed structure may be. When the production process is terminated, the whole of the work-in-progress accumulated up to that point is effectively transformed into inventories of finished product ready for delivery or sale.
When a sale takes place, the value of the sale must be cancelled by a withdrawal from inventories of equal value so that only the additions to work-in-progress recorded while production was taking place in the period in question remain as measures of output.
In this way, the output is distributed over the entire period of production.
6.113 Additions to, and withdrawals from, work-in-progress are treated in the accounts in the same way as entries to, and withdrawals from, inventories of finished goods.
They must be recorded at the times they take place and at the basic prices prevailing at those times.
However, further explanation is needed of the valuation in view of the special characteristics of work-in-progress.
This explanation appears in chapter 20.
6.114 Output for own final use consists of products retained by the producer for his own use as final consumption or capital formation.
The value of output for own final use is determined as the sum of the following:
a. The value of goods produced by an unincorporated enterprise and consumed by the same household;
b. The value of services provided to households by paid domestic staff;
c. The value of the imputed services of owner-occupied dwellings;
d. The value of the fixed assets produced by an establishment that are retained within the same enterprise for use in future production (own-account gross fixed capital formation);
e. The value of changes in inventories of finished goods and work-in-progress intended for one or other of the above uses;
f. In exceptional cases, as described later in this section, there may be output for own intermediate use.
6.115 All goods produced by households are within the production boundary and those that are not delivered to other units should be treated as either being consumed immediately or stored in inventories for later use.
6.116 Paid domestic staff (child minders, cooks, gardeners, chauffeurs, etc.) are formally treated as employees of an unincorporated enterprise that is owned by the household.
The services produced are consumed by the same unit that produces them and they constitute a form of own-account production.
By convention, any intermediate costs in the production of the domestic services are treated not as intermediate consumption of the output of the domestic services but as final consumption expenditure of the household.
Thus the value of the output produced is deemed to be equal to the compensation of employees paid, including any compensation in kind such as food or accommodation.
6.117 Households that own the dwellings they occupy are formally treated as owners of unincorporated enterprises that produce housing services consumed by those same households.
When well-organized markets for rented housing exist, the output of own-account housing services can be valued using the prices of the same kinds of services sold on the market in line with the general valuation rules adopted for goods or services produced on own account.
In other words, the output of the housing services produced by owner occupiers is valued at the estimated rental that a tenant would pay for the same accommodation, taking into account factors such as location, neighbourhood amenities, etc. as well as the size and quality of the dwelling itself.
The same figure is recorded under household final consumption expenditures.
In many instances, no well-organized markets exist and other means of estimating the value of housing services must be developed.
6.118 Goods or services used for own gross fixed capital formation can be produced by any kind of enterprise, whether corporate or unincorporated.
They include, for example, the special machine tools produced for their own use by engineering enterprises, or dwellings, or extensions to dwellings, produced by households.
A wide range of construction activities may be undertaken for the purpose of own gross fixed capital formation in rural areas in some countries, including communal construction activities undertaken by groups of households.
In addition, intellectual property products such as R&D and software products may be produced on own account.
6.119 Additions to work-in-progress on structures intended for own use are treated as acquisitions of fixed assets by their producers.
Goods or services produced for own final use may be placed in inventories of finished products for use later.
They are valued at the basic prices of similar products sold on the market at the time they enter inventories or by their costs of production if no suitable basic prices are available.
6.120 It is unusual to record goods and services used as intermediate consumption within the same establishment but there are occasions where it may be desirable.
If such recording is made, the goods and services in question add to both intermediate consumption and output so value added is unaffected by this practice.
6.121 If an activity such as delivery services is of particular interest and there is a diversity of practice about whether it is treated as secondary output (that is, is charged for) or as being for own use (not charged for) then it may be desirable to show all delivery services as if they were secondary products with the output shown as own intermediate consumption where appropriate.
6.122 As explained in paragraph 6.104 if a product is delivered by one establishment to another within the same enterprise, the delivery is recorded as output of the first establishment and intermediate consumption of the second only when the second establishment assumes the responsibility for making the decisions about the level of supply and prices at which the output is delivered to the market.
When this is not the case, the output of the first establishment is shown as entering inventories while the second establishment delivers a processing service and charges for it. If a production account is being compiled for the enterprise, in the first case it may be preferable to show the product as both output and intermediate consumption of the enterprise rather than to consolidate it out.
In the second case, the output of the enterprise will be the value of the product as produced by the first establishment plus the processing fee for the second.
6.123 In some cases, part of the current output may be placed in inventories for use as intermediate consumption in future.
An example is agriculture where some of the current crop may be used for seed in future.
6.124 Output for own final use should be valued at the basic prices at which the goods and services could be sold if offered for sale on the market.
In order to value them in this way, goods or services of the same kind must actually be bought and sold in sufficient quantities on the market to enable reliable market prices to be calculated for use for valuation purposes.
The expression “on the market” means the price that would prevail between a willing buyer and willing seller at the time and place that the goods and services are produced.
In the case of agricultural produce, for example, this does not necessarily equate to the prices in the local market where transportation costs and possibly wholesale margins may be included.
The nearest equivalent price is likely to be the so-called “farm-gate” price; that is, the price that the grower could receive by selling the produce to a purchaser who comes to the farm to collect the produce.
6.125 When reliable market prices cannot be obtained, a second best procedure must be used in which the value of the output of the goods or services produced for own final use is deemed to be equal to the sum of their costs of production: that is, as the sum of:
a. Intermediate consumption;
b. Compensation of employees;
c. Consumption of fixed capital;
d. A net return to fixed capital;
e. Other taxes (less subsidies) on production.
By convention, no net return to capital is included when own-account production is undertaken by non-market producers.
6.126 For unincorporated enterprises, it may not be possible to estimate compensation of employees, consumption of fixed capital and a return to capital separately in which case an estimate of mixed income, covering all these items, should be made.
6.127 It will usually be necessary to value the output of own-account construction on the basis of costs as it is likely to be difficult to make a direct valuation of an individual and specific construction project that is not offered for sale.
When the construction is undertaken for itself by an enterprise, the requisite information on costs may be easily ascertained, but not in the case of the construction of dwellings by households or communal construction for the benefit of the community undertaken by informal associations or groups of households.
Most of the inputs into communal construction projects, including labour inputs, are likely to be provided free so that even the valuation of the inputs may pose problems.
As unpaid labour may account for a large part of the inputs, it is important to make some estimate of its value using wage rates paid for similar kinds of work on local labour markets.
While it may be difficult to find an appropriate rate, it is likely to be less difficult than trying to make a direct valuation of a specific construction project itself.
The fact that an imputation is made for the value of labour input is a means to approximate the market price for the construction.
It does not imply that these labour costs should also be treated as compensation of employees.
As explained in chapter 7, when labour is provided on a voluntary basis to a producer unit other than the labourer's own household, no imputation for compensation of employees is made.
If labour is provided for a nominal payment, only the nominal payment is recorded as compensation of employees.
The other labour costs are treated as mixed income.
6.128 Non-market output consists of goods and individual or collective services produced by non-profit institutions serving households (NPISHs) or government that are supplied free, or at prices that are not economically significant, to other institutional units or the community as a whole.
Although this output is shown as being acquired by government and NPISHs in the use of income account, it should not be confused with production for own use.
The expenditure is made by government and by NPISHs but the use of individual goods and services is by households, and the use of collective services by households or other resident institutional units.
Thus non-market output should never be confused with output for own use where the producer unit not only has imputed expenditure on the output but also actually uses the output. Chapter 9 discusses the difference between expenditure and use in more detail.
6.129 As explained above, government units or NPISHs may engage in non-market production because of market failure or as a matter of deliberate economic or social policy.
Such output is recorded at the time it is produced, which is also the time of delivery in the case of non-market services.
In general, however, it cannot be valued in the same way as goods or services produced for own final consumption or own capital formation that are also produced in large quantities for sale on the market.
There are no markets for collective services such as public administration and defence, but even in the case of non-market education, health or other services provided to individual households, suitable prices may not be available.
It is not uncommon for similar kinds of services to be produced on a market basis and sold alongside the non-market services but there are usually important differences between the types and quality of services provided.
In most cases it is not possible to find enough market services that are sufficiently similar to the corresponding non-market services to enable their prices to be used to value the latter, especially when the non-market services are produced in very large quantities.
6.130 The value of the non-market output provided without charge to households is estimated as the sum of costs of production, as follows:
a. Intermediate consumption;
b. Compensation of employees;
c. Consumption of fixed capital;
d. Other taxes (less subsidies) on production.
6.131 If the output is made available at nominal cost, the prices are not economically significant prices and may reflect neither relative production costs nor relative consumer preferences.
They therefore do not provide a suitable basis for valuing the outputs of the goods or services concerned.
The non-market output of goods or services sold at these prices is valued in the same way as goods or services provided free, that is, by their costs of production.
Part of this output is purchased by households, the remainder constituting final consumption expenditures by government units or NPISHs.
6.132 Government units and NPISHs may be engaged in both market and non-market production.
Whenever possible, separate establishments should be distinguished for these two types of activities, but this may not always be feasible.
Thus, a non-market establishment may have some receipts from sales of market output produced by a secondary activity: for example, sales of reproductions by a non-market museum.
However, even though a non-market establishment may have sales receipts, its total output covering both its market and its non-market output is still valued by the production costs.
The value of its market output is given by its receipts from sales of market products, the value of its non-market output being obtained residually as the difference between the values of its total output and its market output.
The value of receipts from the sale of non-market goods or services at prices that are not economically significant remains as part of the value of its non-market output.
6.133 Market producers are establishments, all or most of whose output is market production.
Non-market producers consist of establishments owned by government units or NPISHs that supply goods or services free, or at prices that are not economically significant, to households or the community as a whole.
These producers may also have some sales of secondary market output whose prices are intended to cover their costs or earn a surplus: for example, sales of reproductions by non-market museums.
Though government and NPISHs may have establishments undertaking market production, including own account capital construction, most of their activity will be undertaken on a non-market basis.
6.134 When production for own final use is undertaken by a unit in the general government or NPISHs sector it is treated as being undertaken by a non-market producer.
It may also be undertaken by market producers or by units outside general government and NPISHs who produce only for own final use.
6.135 The rules governing the recording and valuation of output are not sufficient to determine the way in which the output of certain kinds of industries, mostly service industries, such as wholesale and retail trade and financial institutions, is measured.
The following sections provide further information about the measurement of the output of a number of specific industries.
For convenience, the industries concerned are given in the same order as they appear in the ISIC.
6.136 The growth and regeneration of crops, trees, livestock or fish which are controlled by, managed by and under the responsibility of institutional units constitute a process of production in an economic sense.
Growth is not to be construed as a purely natural process that lies outside the production boundary.
Many processes of production exploit natural forces for economic purposes, for example, hydroelectric plants exploit rivers and gravity to produce electricity.
6.137 The measurement of the output of agriculture, forestry and fishing is complicated by the fact that the process of production may extend over many months, or even years.
Many agricultural crops are annual with most costs incurred at the beginning of the season when the crop is sown and again at the end when it is harvested.
However, immature crops have a value depending on their closeness to harvest.
The value of the crop has to be spread over the year and treated as work-in-progress.
Often the final value of the crop will differ from the estimate made of it and imputed to the growing crop before harvest.
In such cases revisions to the early estimates will have to be made to reflect the actual outcome.
When the crop is harvested, the cumulated value of work-in-progress is converted to inventories of finished goods that is then run down as it is used by the producer, sold or is lost to vermin.
6.138 Some plants and many animals take some years to reach maturity.
In this case, the increase in their value is shown as output and treated as increases in fixed capital or inventories depending on whether the plant or animal yields repeat products or not.
(There is more discussion of this distinction in chapter 10.)
The value of the increase in the plants or animals should take account of the delay before the yield from them is realized as explained in chapter 20.
Once the plant or animal has reached maturity, it will decline in value and this decline should be recorded as consumption of fixed capital.
6.139 The production of high value capital goods such as ships, heavy machinery, buildings and other structures may take several months or years to complete.
The output from such production must usually be measured by work-in-progress and cannot be recorded simply at the moment in time when the process of production is completed.
The way in which work-in-progress is to be recorded and valued is explained in chapter 20.
6.140 When a contract of sale is agreed in advance for the construction of buildings and structures, but not for other production spreading over several periods, the output produced each period is treated as being sold to the purchaser at the end of each period, that is, as a sale rather than work-in-progress.
In effect, the output produced by the construction contractor is treated as being sold to the purchaser in stages as the latter takes legal possession of the output.
It is recorded as gross fixed capital formation by the purchaser and not as work-in-progress by the producer.
When the contract calls for stage payments, the value of the output may often be approximated by the value of stage payments made each period.
In the absence of a contract of sale, however, the incomplete output produced each period must be recorded as work-in-progress of the producer.
Dwellings built speculatively (that is, without a prior contract of sale) remain in the inventories of the construction company until sold, changing status within inventories from work-in-progress to finished products if they remain unsold on completion.
6.141 The output of transportation is measured by the value of the amounts receivable for transporting goods or persons.
In economics a good in one location is recognized as being a different quality from the same good in another location, so that transporting from one location to another is a process of production in which an economically significant change takes place even if the good remains otherwise unchanged.
The volume of transport services may be measured by indicators such as tonne-kilometres or passengerkilometres, which combine both the quantities of goods, or numbers of persons, and the distances over which they are transported.
Factors such as speed, frequency or comfort also affect the quality of services provided.
6.142 Although the production of storage for the market may not be very extensive, the activity of storage is important in the economy as a whole as it is carried out in many enterprises.
During storage the inventories of goods have to be physically stored somewhere.
Many goods have to be stored in a properly controlled environment and the activity of storage can become an important process of production in its own right whereby goods are “transported” from one point of time to another.
In economics, it is generally recognized that the same goods available at different times, or locations, may be qualitatively different from each other and command different prices for this reason.
The increase in price of a product due to the fact that it has been in storage and storage costs have been incurred is a production process.
However, it is important that the increase in price due to storage is clearly distinguished from holding gains and losses, which must be excluded from the value of production in the case of storage as in other activities.
6.143 When goods are first produced, they may be held in store for a time in the expectation that they may be sold, exchanged or used more advantageously in the future.
If the increase in value simply reflects a rise in price with no change in quality resulting from being held in storage, then there is no further production during the period in addition to the costs of storage just described.
However, there are three reasons why the increase in value can be construed as further production.
The first is that the production process is sufficiently long that discounting factors should be applied to work put in place significantly long before delivery.
The second reason is that the quality of the good may improve with the passage of time (such as wine).
The third reason is that there may be seasonal factors affecting the supply or the demand for the good that lead to regular, predictable variations in its price over the year, even though its physical qualities may not have changed otherwise.
In all these circumstances, storage can be regarded as an extension of the production process over time.
The storage services become incorporated in the goods, thereby increasing their value while being held in store.
Thus, in principle, the values of additions to inventories should include not only the values of the goods at the time they are stored but also the value of the additional output produced while the goods are held in store.
6.144 However, most manufactured goods are produced and sold continuously throughout the year and are not subject to regular changes in supply or demand conditions.
Nor do they “mature” while being stored.
Changes in the prices of such goods while in inventories cannot be treated as additions to work-in-progress.
In order to estimate the increase in the value of goods stored over and above the storage costs, use may be made of the expected increase in value over and above the general rate of inflation over a predetermined period.
Any gain that occurs outside the predetermined period continues to be recorded as a holding gain or loss.
Further explanation of the calculation of the value of storage and its separation from holding gains and losses is given in the annex to this chapter.
6.145 This inclusion of output due to storage applies only to goods that take a long time to complete, those that have an established annual seasonal pattern or those where maturing is part of the regular production process.
It does not apply to holding financial assets, valuables or other non-financial assets including land and buildings.
Even if anticipated increases in value result in these cases, the motive for holding the items is speculation.
The increases in value are treated as holding gains and not as part of the production process.
6.146 Although wholesalers and retailers actually buy and sell goods, the goods purchased are not treated as part of their intermediate consumption when they are resold with only minimal processing such as grading, cleaning, packaging, etc.
Wholesalers and retailers are treated as supplying services to their customers by storing and displaying a selection of goods in convenient locations and making them easily available for customers to buy.
Their output is measured by the total value of the trade margins realized on the goods they purchase for resale.
A trade margin is defined as the difference between the actual or imputed price realized on a good purchased for resale and the price that would have to be paid by the distributor to replace the good at the time it is sold or otherwise disposed of.
The margins realized on some goods may be negative if their prices have to be marked down.
They must also be negative on goods that are never sold because they go to waste or are stolen.
6.147 The standard formula for measuring output has to be modified for wholesalers or retailers by deducting from the value of the goods sold or otherwise used the value of the goods that would need to be purchased to replace them.
The latter includes the additional goods needed to make good recurrent losses due to normal wastage, theft or accidental damage.
In practice, the output of a wholesaler or retailer is given by the following identity:
the value of output = the value of sales,
plus the value of goods purchased for resale and used for intermediate consumption, compensation of employees, etc.,
minus the value of goods purchased for resale, plus the value of additions to inventories of goods for resale,
minus the value of goods withdrawn from inventories of goods for resale,
minus the value of recurrent losses due to normal rates of wastage, theft or accidental damage.
6.148 The following points should be noted:
a. Goods sold are valued at the prices at which they are actually sold, even if the trader has to mark their prices down to get rid of surpluses or avoid wastage.
Allowance should also be made for the effect of reductions in price due to loyalty programmes or other schemes to offer reduced prices to certain customers in certain circumstances.
b. Goods provided to employees as remuneration in kind should be valued at the current purchasers' prices payable by the traders to replace them; that is, the realized margins are zero.
Similarly, goods withdrawn by the owners of unincorporated enterprises for their own final consumption should be valued at the current purchasers' prices payable by the traders to replace them.
c. Goods purchased for resale should be valued excluding any transport charges invoiced separately by the suppliers or paid to third parties by wholesalers or retailers: these transport services form part of the intermediate consumption of the wholesalers or retailers.
d. Additions to inventories of goods for resale should be valued at the prices prevailing at the time of entry into inventories.
e. The value of goods withdrawn from inventories of goods for resale depends on whether the goods were acquired with the intention of making a real holding gain over a given period in storage.
In the general case, when the goods being resold were not expected to realize a real holding gain while in storage, the value of the goods on withdrawal from inventories should be the cost to the wholesaler or retailer at the time of the withdrawal of acquiring exactly similar replacement goods for later sale.
This valuation is necessary to exclude holding gains and losses from the measurement of output, as is the general rule in the SNA.
However, when the goods have been stored for reasons of seasonal variation in prices or as part of the maturing process, the expected real holding gain over the anticipated period is deducted from the replacement value of goods withdrawn from inventories.
This deduction is fixed in value at the time the goods enter storage and is not altered in the light of actual holding gains, real or nominal.
f. The value of recurrent losses due to wastage, theft or accidental damage; goods lost are valued in the same way as goods withdrawn from inventories.
For this reason, the two terms are often combined.
6.149 The costs of storage incurred by wholesalers and retailers are not added to the value of the goods when they are withdrawn from inventories but are treated as part of intermediate consumption.
6.150 The margins realized on goods purchased for resale thus vary according to their eventual use.
The margins realized on goods sold at the full prices intended by the traders could be described as the normal margins.
In fixing these margins, traders take account not only of their ordinary costs such as intermediate consumption and compensation of employees but also of the fact that some goods may ultimately have to be sold off at reduced prices while others may go to waste or be stolen.
The margins realized on goods whose prices have to be marked down are obviously less than the normal margins and could be negative.
The margins on goods used to pay employees as compensation in kind or withdrawn for final consumption by owners are zero because of the way these goods are valued.
Finally, the margins on goods wasted or stolen are negative and equal to the current purchasers' prices of replacements for them.
The average margin realized on goods purchased for resale may be expected to be less than the normal margin, possibly significantly less for certain types of goods such as fashion goods or perishable goods.
6.151 Before discussing financial services more generally, it is helpful to discuss the output of the central bank.
There are three broad groups of central bank services.
These are monetary policy services, financial intermediation and borderline cases.
Monetary policy services are collective in nature, serving the community as a whole, and thus represent non-market output.
Financial intermediation services are individual in nature and in the absence of policy intervention in the interest rates charged by the central banks, would be treated as market production.
The borderline cases, such as supervisory services may be classified as market or non-market services depending on whether explicit fees are charged that are sufficient to cover the costs of providing the services.
6.152 In principle, a distinction should be made between market and non-market output but in practice the possible resource intensiveness of the exercise and the relative importance of making the distinction should be considered before implementing the conceptual recommendations.
In cases where market output is not separated from non-market output, the whole of the output of the central bank should be treated as non-market and valued at the sum of costs.
6.153 Central banks frequently provide supervisory services overseeing the financial corporations.
One could argue that this is for the benefit of society in general and the national accounts should record them as government final consumption.
In support of this view, one could draw a parallel with government performing market regulation policies, which it also may entrust to a specialized agency, or to government providing for roads, dams and bridges.
From this point of view, surveillance services are collective services and should be recorded as government consumption expenditure.
6.154 However, one could also argue that government's regulatory services are to the benefit of the financial intermediaries, because these services contribute to the functioning and financial performance of these institutions.
From this perspective, they are comparable to regulatory services of government such as quality control on food and drugs, which the national accounts record as intermediate consumption of producers.
The fact that financial intermediaries pay a fee for these services in some countries (for example in a number of countries in Latin America) supports this view.
Following this reasoning, surveillance services are not collective services but should be recorded as intermediate consumption of financial intermediaries.
However, even if the view is taken that supervisory services are market output because a fee is charged, if the fees are not sufficient to cover the supervisory costs incurred by the bank, then the services should be treated as non-market output and part of government consumption expenditure.
6.155 As long as it can be identified as a separate institutional unit, the central bank is always included in the financial institutions sector and never in general government.
The collective consumption represented by monetary policy services is recorded as expenditure by general government but government does not incur the costs incurred by the central bank.
Therefore a current transfer of the value of the non-market output should be recorded as payable by the central bank and receivable by the general government to cover the purchase of the non-market output of the central bank by government.
This is described in paragraph 8.130.
6.156 If the financial intermediation services provided by the central bank are significant, and if it is possible and worthwhile to compile data for a separate establishment providing them, these services should be shown as payable by the units to whom they are delivered.
Supervisory services treated as market output are recorded similarly.
6.157 A comprehensive discussion of the contribution of financial assets and liabilities to the generation and distribution of income and changes in wealth in an accounting period is given in part 4 of chapter 17.
What follows is a summary of the main aspects affecting the measurement of the output of financial services.
There are three types of financial activities; financial intermediation, the services of financial auxiliaries and other financial services.
Financial services include monitoring services, convenience services, liquidity provision, risk assumption, underwriting and trading services.
6.158 Financial intermediation involves financial risk management and liquidity transformation, activities in which an institutional unit incurs financial liabilities for the purpose of acquiring mainly financial assets.
Corporations engaged in these activities obtain funds, not only by taking deposits but also by issuing bills, bonds or other securities.
They use these funds as well as own funds to acquire mainly financial assets not only by making advances or loans to others but also by purchasing bills, bonds or other securities.
Auxiliary financial activities facilitate risk management and liquidity transformation activities.
Financial auxiliaries, which are the units primarily engaged in auxiliary financial activities, typically act on behalf of other units and do not put themselves at risk by incurring financial liabilities or by acquiring financial assets as part of an intermediation service.
6.159 Financial services are produced almost exclusively by financial institutions because of the usually stringent supervision of the provision of those services.
Similarly, financial institutions rarely produce other services.
If a retailer wishes to offer credit facilities to its customers, for example, the credit facilities are usually offered by a subsidiary of the retailer, the subsidiary being treated as a financial institution in its own right regardless of the classification of the parent.
Financial institutions may also create subsidiaries dealing with only particular forms of financial services.
For example, a credit card operation may be associated with a given bank but may be institutionally separate.
6.160 Financial services may be paid for explicitly or implicitly.
Some transactions in financial assets may involve both explicit and implicit charges.
Four main ways in which financial services are provided and charged for may be considered:
a. Financial services provided in return for explicit charges;
b. Financial services provided in association with interest charges on loans and deposits;
c. Financial services associated with the acquisition and disposal of financial assets and liabilities in financial markets;
d. Financial services associated with insurance and pension schemes.
The following sections look at each of these in turn.
In chapter 17 there is an overview of the transactions and other flows associated with each type of financial instrument.
The recording of investment income is described in chapter 7 and the acquisition and disposal of financial assets and liabilities in chapter 11.
Changes in the value of financial assets and liabilities not arising from transactions are described in chapter 12.
6.161 Many services come under this heading and may be provided by different categories of financial institutions.
Deposit taking institutions, such as banks, may charge households to arrange a mortgage, manage an investment portfolio, give taxation advice, administer an estate, and so on. Specialized financial institutions may charge non-financial corporations to arrange a flotation of shares or to administer a restructuring of a group of corporations.
However, the most pervasive and probably largest direct fee is likely to be that charged by credit card issuers to the units that accept credit cards as a means of payment for the goods and services they provide.
The charge is usually calculated as a percentage of the sale; in the case of retailers the sale value corresponds to turnover and not output.
Although the percentage is usually small in absolute terms, maybe one or two percent, the fact that it is applied to such large totals means that the total value of the charge is very large.
The charge represents output of the credit card companies and intermediate consumption of the corporations that accept credit cards as means of payment.
Ignoring the role of the credit card company does not affect the measurement of the expenditure (usually final consumption or exports) on the goods and services concerned but does underestimate the costs of the provider of goods and services and the output of the credit card company.
This in turn leads to a misallocation of value added from the credit card company to the provider of the goods and services paid for by credit card.
6.162 The example of the credit card company is one that clearly demonstrates that a financial corporation may provide services that are paid for by different means by different customers or in different circumstances.
The fee charged to the corporations accepting a credit card as means of payment has just been discussed.
A card holder may also be charged an explicit fee, usually each year, for holding the card.
In addition, if a card holder uses the credit facilities offered by the card, he will pay indirect charges associated with interest payable on the outstanding credit (which is treated as a loan in the SNA).
6.163 One traditional way in which financial services are provided is by means of financial intermediation.
This is understood to refer to the process whereby a financial institution such as a bank accepts deposits from units wishing to receive interest on funds for which the unit has no immediate use and lends them to other units whose funds are insufficient to meet their needs.
The bank thus provides a mechanism to allow the first unit to lend to the second.
Each of the two parties pays a fee to the bank for the service provided, the unit lending funds by accepting a rate of interest lower than that paid by the borrower, the difference being the combined fees implicitly charged by the bank to the depositor and to the borrower.
From this basic idea the concept emerges of a “reference” rate of interest.
The difference between the rate paid to banks by borrowers and the reference rate plus the difference between the reference rate and the rate actually paid to depositors represent charges for financial intermediation services indirectly measured (FISIM).
6.164 However, it is seldom the case that the amount of funds lent by a financial institution exactly matches the amount deposited with them.
Some money may have been deposited but not yet loaned; some loans may be financed by the bank's own funds and not from borrowed funds.
However, the depositor of funds receives the same amount of interest and service whether or not his funds are then lent by the bank to another customer, and the borrower pays the same rate of interest and receives the same service whether his funds are provided by intermediated funds or the bank's own funds.
For this reason an indirect service charge is to be imputed in respect of all loans and deposits offered by a financial institution irrespective of the source of the funds.
The reference rate applies to both interest paid on loans and interest paid on deposits so that the amounts of interest recorded as such in the SNA are calculated as the reference rate times the level of loan or deposit in question.
The difference between these amounts and the amounts actually paid to the financial institution are recorded as service charges paid by the borrower or depositor to the financial institution.
For clarity the amounts based on the reference rate recorded in the SNA as interest are described as “SNA interest” and the total amounts actually paid to or by the financial institution are described as “bank interest”. The implicit service charge is thus the sum of the bank interest on loans less the SNA interest on the same loans plus the SNA interest on deposits less the bank interest on the same deposits.
The service charge is payable by or to the unit in receipt of the loan or owning the deposit as appropriate.
6.165 By convention within the SNA, these indirect charges in respect of interest apply only to loans and deposits and only when those loans and deposits are provided by, or deposited with, financial institutions.
The financial institutions in question need not be resident; nor need the clients of the financial institution be resident.
Thus imports and exports of this type of financial service are possible.
Nor need the financial institution necessarily offer deposit-taking facilities as well as making loans.
The financial subsidiaries of retailers are examples of financial institutions that make loans without accepting deposits.
A money lender who has sufficiently detailed accounts to be treated as an actual or quasi-corporation may receive this sort of charge; indeed since money lenders usually charge especially high rates of interest, their service charges may exceed the SNA interest payments by significant amounts.
6.166 The reference rate to be used in the calculation of SNA interest is a rate between bank interest rates on deposits and loans.
However, because there is no necessary equality between the level of loans and deposits, it cannot be calculated as a simple average of the rates on loans or deposits.
The reference rate should contain no service element and reflect the risk and maturity structure of deposits and loans.
The rate prevailing for inter-bank borrowing and lending may be a suitable choice as a reference rate.
However, different reference rates may be needed for each currency in which loans and deposits are denominated, especially when a non-resident financial institution is involved.
For banks within the same economy, there is often little if any service provided in association with banks lending to and borrowing from other banks.
6.167 Banks may offer loans that they describe as being fixed interest loans.
This is to be interpreted as a situation where the level of bank interest is fixed but as the reference rate changes, the level of SNA interest and the service charge will vary.
6.168 When an enterprise acquires a fixed asset under the terms of a financial lease, a loan is imputed between the lessor and the lessee.
Regular payments under the lease are treated as being payments of interest and repayment of capital.
When the lessor is a financial institution, the interest payable under the terms of a financial lease corresponds to bank interest and should be separated into SNA interest and financial service charge as for any other loan.
6.169 Even when a loan is described as non-performing, interest and the associated service charge continue to be recorded in the SNA.
There is discussion on the treatment of non-performing loans in chapter 13.
6.170 Debt securities such as bills and bonds are other forms of financial assets that give rise to interest payments, interest being payable to the owner of the security by the issuer.
As described in chapter 17, some of these interest charges may themselves be imputed from changes in the value of securities as they approach maturity.
When a financial institution offers a security for sale, a service charge is levied, the purchase price (or ask price) representing the estimated market value of the security plus a margin.
Another charge is levied when a security is sold, the price offered to the seller (the bid price) representing the market value less a margin.
6.171 Prices of securities may change rapidly and to avoid including holding gains and losses in the calculation of the service margins, it is important to calculate the margins on sales and purchases in terms of mid-prices.
The mid-price of a security is the average at a given point in time between the bid and ask price.
Thus the margin on the purchase of a security is the difference between the ask price and mid-price at the time of the purchase and the margin on a sale is the difference between the mid-price and the bid price at the time of the sale.
6.172 It is important when measuring interest as the increase in value of a security between the date it is purchased and the date it matures (or is subsequently sold) to measure from one mid-point value to another and to treat the differences between mid-point price and bid or ask price at the time of purchase, sale or redemption as a service margin.
Ignoring the margins understates the value of output of financial institutions and may understate interest payments also.
6.173 Equities and investment fund shares or units give rise to property income other than interest but, like debt securities, they are offered for sale and purchase at different prices.
The difference between the buying price and mid-price and the mid-price and selling price should be treated as the provision of financial services as in the case of securities.
The same principles as for securities apply for the same reason.
6.174 Although no property income flows are involved, margins between buying and selling prices also apply to purchases of foreign currencies (including transactions denominated in foreign currencies such as payments for imports and exports as well as the acquisition of physical notes and coins of a foreign currency).
Again these margins should be treated as the provision of financial services in a manner similar to that described for securities.
6.175 Five types of activities are covered under this heading:
Non-life insurance;
Life insurance and annuities;
Reinsurance;
Social insurance schemes;
Standardized guarantee schemes.
6.176 All these schemes lead to redistribution of funds, which are recorded in either the secondary distribution of income account or the financial account.
For non-life insurance and standardized guarantee schemes, most of the redistribution takes place between different units in the same period.
Many client units pay relatively small policy premiums or fees and a small number of them receive relatively large claims or payments.
For life insurance, annuities and pension schemes, the redistribution is primarily, though not entirely, between different periods for a single client.
In fulfilling their responsibilities as managers of these funds, insurance companies and pension funds are involved in both risk management and liquidity transformation, the prime functions of financial institutions.
6.177 Non-life insurance provides cover to the policyholder against loss or damage suffered as a result of an accident.
A premium is paid to the insurance corporation and a claim is paid to the policyholder only if the event insured against occurs.
If the event occurs then the maximum amount to be paid is specified in the policy so that the uncertainty concerns whether a payment will take place, not the amount of it.
6.178 Under a life insurance policy, many small payments are made over a period of time and either a single lump sum or a stream of payments is made at some pre-agreed time in the future.
There is little conditionality involved in life insurance, usually the fact that a payment will be made is certain but the amount may be uncertain.
6.179 Annuities are offered by insurance corporations and are a means for an individual person to convert a lump sum into a stream of payments in the future.
6.180 Just as an individual may limit their exposure to risk by taking out an insurance policy, so may insurance corporations themselves.
Insurance between one insurance corporation and another is called reinsurance.
(Insurance other than reinsurance is called direct insurance.)
Many reinsurance transactions are with specialized institutions in a few international financial centres.
Reinsurers may also take out a further reinsurance policy.
This practice is known as “retrocession”.
6.181 A social insurance scheme is one where a third party, usually an employer or the government, encourages or obliges individuals to participate in a scheme to provide benefits for a number of identified circumstances, including pensions in retirement.
Social insurance schemes have much in common with direct insurance and may be run by insurance corporations.
This is not necessarily the case, however, and there are special variations in how the payment of contributions (corresponding to premiums in the case of direct insurance) and benefits are recorded.
6.182 In some circumstances a unit, possibly but not necessarily within general government, may offer very many guarantees of very similar nature.
One example is export guarantees and another is student loans.
Because the guarantees are very similar and numerous, it is possible to make robust statistical estimates of the number of defaults the guarantor will have to cover and so these also are treated in a manner similar to direct non-life insurance.
6.183 The detailed recording for each of these activities, including the measurement of output, the recording of flows between the insurance corporations or pension funds on the one hand and policyholders or beneficiaries on the other, and the implications for changes in the balance sheets of both sets of institutions are described in part 3 of chapter 17.
What follows is a summary of the key features of measuring output for the various activities listed above.
6.184 Under a non-life insurance policy, the insurance company accepts a premium from a client and holds it until a claim is made or the period of the insurance expires.
In the meantime, the insurance company invests the premium and the property income is an extra source of funds from which to meet any claim due.
The property income represents income foregone by the client and so is treated as an implicit supplement to the actual premium.
The insurance company sets the level of the actual premiums to be such that the sum of the actual premiums plus the property income earned on them less the expected claim will leave a margin that the insurance company can retain; this margin represents the output of the insurance company.
Within the SNA, the output of the insurance industry is determined in a manner intended to mimic the premium setting policies of the insurance corporations.
6.185 The basic method for measuring non-life insurance output is the following:
Total premiums earned,
plus premium supplements,
less adjusted claims incurred.
6.186 The actual premium is the amount payable to the direct insurer or reinsurer to secure insurance cover for a specific event over a stated time period.
Cover is frequently provided for one year at a time with the premium due to be paid at the outset, though cover may be provided for shorter (or longer) periods and the premium may be payable in instalments, for example monthly.
6.187 The premium earned is the part of the actual premium that relates to cover provided in the accounting period.
For example, if an annual policy with a premium of 120 units comes into force on April 1 and accounts are being prepared for a calendar year, the premium earned in the calendar year is 90.
The unearned premium is the amount of the actual premium received that relates to the period past the accounting point.
In the example just given, at the end of the accounting period there will be an unearned premium of 30, intended to provide cover for the first three months of the next year.
A claim (benefit) is the amount payable to the policyholder by the direct insurer or reinsurer in respect of an event covered by the policy occurring in the period for which the policy is valid.
Claims normally become due when the event occurs, even if the payment is made some time later.
(The exception to this time of recording is described in paragraph 8.121.)
Claims that become due are described as claims incurred.
In some contested cases the delay between the occurrence of the event giving rise to the claim and the settlement of the claim may be several years.
Claims outstanding cover claims that have not been reported, have been reported but are not yet settled or have been both reported and settled but not yet paid.
6.188 The insurance corporation has at its disposal reserves consisting of unearned premiums and claims outstanding.
These reserves are called technical reserves and are used by the insurance company to generate investment income.
Because the technical reserves are a liability of the insurance corporation to the policyholders, the investment income they generate is treated as being attributed to the policyholders.
However, the amounts remain with the insurance corporation and are in effect a hidden supplement to the apparent premium.
This income is therefore treated as a premium supplement paid by the policyholder to the insurance corporation.
6.189 In setting the level of premiums, which obviously the insurance corporation must do ex ante, it makes an estimate of the level of claims it expects to be faced with.
Within the SNA there are two ways in which the appropriate level of claims (described as adjusted claims) can be determined.
One is an ex ante method, described as the expectation method, and estimates the level of adjusted claims from a model based on the past pattern of claims payable by the corporation.
The other means of deriving adjusted claims is to use accounting information.
Within the accounts for the insurance corporations there is an item called “equalization provisions” that gives a guide to the funds the insurance corporation sets aside to meet unexpectedly large claims.
Adjusted claims are derived ex post as actual claims incurred plus the change in equalization provisions.
In circumstances where the equalization provisions are insufficient to bring adjusted claims back to a normal level, some contribution from own funds must be added also.
6.190 On occasion, the levels of technical reserves and of equalization provisions may be altered in response to financial regulation and not because of changes in the expected patterns of premiums and claims.
Such changes should be recorded in the other changes in the volume of assets account and excluded from the formula to determine output.
6.191 In circumstances where information is not available for either approach to deriving adjusted claims, it may be necessary to estimate output instead by the sum of costs including an allowance for normal profits.
6.192 A life insurance policy is a sort of saving scheme.
For a number of years, the policyholder pays premiums to the insurance corporation against a promise of benefits at some future date.
These benefits may be expressed in terms of a formula related to the premiums paid or may be dependent on the level of success the insurance corporation has in investing the funds.
6.193 The insurance corporation cumulates premiums paid until the promised date when benefits become payable and in the meantime uses the reserves to produce investment income.
Some of the investment income is added to the life insurance reserves belonging to the policyholders to meet benefits in future.
This allocation is an asset of the policyholders but is retained by the insurance corporation which continues to invest the amounts until benefits become payable.
The remainder of the investment income not allocated to the policyholders is retained by the insurance corporation as its fee for the service they provide.
6.194 The method of calculating output for life insurance follows the same general principles as for non-life insurance but because of the time interval between when premiums are received and when benefits are paid, special allowances must be made for changes in the technical reserves.
6.195 The output of life insurance is derived as:
Premiums earned,
plus premium supplements,
less benefits due,
less increases (plus decreases) in life insurance technical reserves.
6.196 Premiums are defined in exactly the same way for life insurance as for non-life insurance.
6.197 Premium supplements are more significant for life insurance than for non-life insurance.
They consist of all the investment income earned on the reserves of the policyholders.
The amount involved is earnings forgone by the policyholders by putting the funds at the disposal of the insurance corporation and are thus recorded as property income in the distribution of primary income account.
6.198 Benefits are recorded as they are awarded or paid.
There is no need under life insurance to derive an adjusted figure since there is not the same unexpected volatility in the payment due under a life policy.
It is possible for the insurance corporation to make robust estimates of the benefits due to be paid even years in advance.
6.199 Life insurance technical reserves increase each year because of new premiums paid, new investment income allocated to the policyholders (but not withdrawn by them) and decrease because of benefits paid.
It is thus possible to express the level of output of life insurance as the difference between the total investment income earned on the life insurance technical reserves less the part of this investment income actually allocated to the policyholders and added to the insurance technical reserves.
6.200 The method of calculating the output of reinsurance is exactly the same as for non-life insurance, whether it is life or non-life policies that are being reinsured.
6.201 There are four different ways in which social insurance may be organized.
a. Some social insurance is provided by government under a social security scheme;
b. An employer may organize a social insurance scheme for his employees;
c. An employer may have an insurance corporation run the scheme for the employer in return for a fee;
d. An insurance corporation may offer to run a scheme for several employers in return for any property income and holding gains they may make in excess of what is owed to the participants in the scheme.
The resulting arrangement is called a multiemployer scheme.
The output for each of these modes of running a social insurance scheme is calculated in a different manner.
6.202 Social security schemes are run as part of the operation of general government.
If separate units are distinguished, their output is determined in the same way as all non-market output as the sum of costs.
If separate units are not distinguished, the output of social security is included with the output of the level of government at which it operates.
6.203 When an employer operates his own social insurance scheme, the value of the output is also determined as the sum of costs including an estimate for a return to any fixed capital used in the operation of the scheme.
Even if the employer establishes a segregated pension fund to manage the scheme, the value of output is still measured in the same way.
6.204 When an employer uses an insurance corporation to manage the scheme on his behalf, the value of the output is the fee charged by the insurance corporation.
6.205 For a multiemployer scheme, the value of output is measured as for life insurance policies; it is the excess of the investment income receivable by the schemes less the amount added to the reserves to meet present and future pension entitlements.
6.206 If a standardized guarantee scheme operates as a market producer, the value of output is calculated in the same way as non-life insurance.
If the scheme operates as a non-market producer, the value of output is calculated as the sum of costs.
6.207 Research and development is creative work undertaken on a systematic basis to increase the stock of knowledge, and use this stock of knowledge for the purpose of discovering or developing new products, including improved versions or qualities of existing products, or discovering or developing new or more efficient processes of production.
Research and development is not an ancillary activity, and a separate establishment should be distinguished for it when possible.
The research and development undertaken by market producers on their own behalf should, in principle, be valued on the basis of the estimated basic prices that would be paid if the research were subcontracted commercially, but in practice is likely to have to be valued on the basis of the total production costs including the costs of fixed assets used in production.
Research and development undertaken by specialized commercial research laboratories or institutes is valued by receipts from sales, contracts, commissions, fees, etc. in the usual way.
Research and development undertaken by government units, universities, non-profit research institutes, etc. is non-market production and is valued on the basis of the total costs incurred.
The activity of research and development is different from teaching and is classified separately in ISIC.
In principle, the two activities ought to be distinguished from each other when undertaken within a university or other institute of higher education, although there may be considerable practical difficulties when the same staff divide their time between both activities.
There may also be interaction between teaching and research which makes it difficult to separate them, even conceptually, in some cases.
The treatment of R&D as capital formation is discussed in chapter 10.
6.208 The production of books, recordings, films, software, tapes, disks, etc. is a two-stage process of which the first stage is the production of the original and the second stage the production and use of copies of the original.
The output of the first stage is the original itself over which legal or de facto ownership can be established by copyright, patent or secrecy.
The value of the original depends on the actual or expected receipts from the sale or use of copies at the second stage, which have to cover the costs of the original as well as costs incurred at the second stage.
6.209 The output of the first stage is a fixed asset that belongs to the producer of the original (author, film company, program writer, etc.).
It may be produced for sale or for own-account gross fixed capital formation by the original producer.
As the asset may be sold to another institutional unit the owner of the asset at any given time need not be the original producer, although they are often one and the same unit.
If the original is sold when it has been produced, the value of the output of the original producer is given by the price paid.
If it is not sold, its value may be estimated on the basis of its production costs with a mark-up. However, the size of any mark-up must depend on the discounted value of the future receipts expected from using it in production, so that it is effectively this discounted value, however uncertain, that determines its value.
6.210 The owner of the asset may use it directly to produce copies in subsequent periods.
The value of the copies made is also recorded as production separately from the production involved in the making of the original.
Consumption of fixed capital is recorded in respect of the use of the asset in the making of the copies the same way as for any other fixed asset used in production.
6.211 The owner may also license other producers to make use of the original in production.
The latter may produce and sell copies, or use copies in other ways, for example, for film or music performances.
The copier undertakes production in making the copies.
Part of the cost of making the copies is the fee paid by the licensee to the owner or licensor.
This fee represents both intermediate consumption of the licensee and output of the owner that is recorded as a service sold to the licensee.
The payments made for the licences may be described in various ways, such as fees, commissions or royalties, but however they are described they are treated as payments for services rendered by the owner.
6.212 In certain circumstances the licence to make copies may also be treated as an asset, distinct from the original.
The conditions under which this applies and the consequences are discussed in greater detail in chapter 17.
6.213 Intermediate consumption consists of the value of the goods and services consumed as inputs by a process of production, excluding fixed assets whose consumption is recorded as consumption of fixed capital.
The goods or services may be either transformed or used up by the production process.
Some inputs re-emerge after having been transformed and incorporated into the outputs, for example, grain may be transformed into flour which in turn may be transformed into bread.
Other inputs are completely consumed or used up, for example, electricity and most services.
6.214 Intermediate consumption does not include expenditures by enterprises on valuables consisting of works of art, precious metals and stones and articles of jewellery fashioned out of them.
Valuables are assets acquired as stores of value: they are not used up in production and do not deteriorate physically over time.
Expenditures on valuables are recorded in the capital account.
Intermediate consumption also does not include costs incurred by the gradual using up of fixed assets owned by the enterprise: the decline in their value during the accounting period is recorded as consumption of fixed capital.
However, intermediate consumption does include the rentals paid on the use of fixed assets, whether equipment or buildings, that are leased from other institutional units under an operating lease, and also fees, commissions, royalties, etc., payable under licensing arrangements, as explained above.
6.215 Where ancillary services are not shown as the output of a separate establishment, intermediate consumption includes the value of all the goods or services used as inputs into ancillary activities such as purchasing, sales, marketing, accounting, data processing, transportation, storage, maintenance, security, etc.
In this case, the goods and services consumed by these ancillary activities are not distinguished from those consumed by the principal (or secondary) activities of a producing establishment.
When a unit provides only ancillary services, it continues to be shown as a separate unit as long as the necessary information is available.
There is more discussion of the treatment of ancillary activities in chapter 5.
6.216 The intermediate consumption of a good or service is recorded at the time when the good or service enters the process of production, as distinct from the time it was acquired by the producer.
In practice, establishments do not usually record the actual use of goods in production directly.
Instead, they keep records of purchases of materials and supplies intended to be used as inputs and also of any changes in the amounts of such goods held in inventories.
An estimate of intermediate consumption during a given accounting period can then be derived by subtracting the value of changes in inventories of materials and supplies from the value of purchases made.
Changes in inventories of materials and supplies are equal to entries less withdrawals and recurrent losses on goods held in inventories.
Thus, by reducing the value of changes in inventories, recurrent losses increase intermediate consumption.
Even if they are consistently large, as long as they occur regularly, losses are treated as increasing intermediate consumption.
Goods entering and leaving inventories are valued at the purchasers' prices prevailing at the times the entries, withdrawals or recurrent losses take place.
This is exactly the same method as that used to value changes in inventories of goods produced as outputs from the production process.
Thus, the earlier discussion of the properties and behaviour of the PIM applies to inventories of inputs.
6.217 A good or service consumed as an intermediate input is normally valued at the purchaser's price prevailing at the time it enters the process of production; that is, at the price the producer would have to pay to replace it at the time it is used.
As explained in more detail in section C, the purchaser's price can be regarded as being composed of three elements:
a. The basic price received by the producer of the good or service;
b. Any transportation costs paid separately by the purchaser in taking delivery of a good at the required time and location plus the cumulative trade margin on a good that passes through the chain of wholesale or retail distribution;
c. Any non-deductible tax on the product payable on the good or service when it was produced or while in transit to the purchaser less any subsidy on the product.
For purposes of the input-output tables, it may be necessary to distinguish all three elements but this is not necessary in the accounts for institutional sectors or the central supply and use table.
6.218 Intermediate inputs treated as being acquired from other establishments belonging to the same enterprise should be valued at the same prices as were used to value them as outputs of those establishments plus any additional transport charges not included in the output values.
6.219 When goods or services produced within the same establishment are fed back as inputs into the production within the same establishment, they are only recorded as part of the intermediate consumption if they have been recorded as part of the output of that establishment.
There is discussion on when this might be appropriate in section E. Deliveries of goods and services between different establishments belonging to the same enterprise are recorded as outputs by the producing establishments and intermediate inputs by the receiving establishments only when the receiving establishment effectively assumes all risks for completing the production process.
6.220 Certain goods and services used by enterprises do not enter directly into the process of production itself but are consumed by employees working on that process.
In such cases it is necessary to decide whether the goods and services are intermediate consumption or, alternatively, remuneration in kind of employees.
In general, when the goods or services are used by employees in their own time and at their own discretion for the direct satisfaction of their needs or wants, they constitute remuneration in kind.
However, when employees are obliged to use the goods or services in order to enable them to carry out their work, they constitute intermediate consumption.
6.221 It is immaterial to the employer whether they are treated as intermediate consumption or compensation of employees because they are both costs from the employer's viewpoint and the net operating surplus is the same.
However, reclassifying such goods and services from remuneration in kind to intermediate consumption, or vice versa, changes value added and balance of primary incomes, and hence GDP as a whole.
6.222 The following types of goods and services provided to employees must be treated as part of intermediate consumption:
a. Tools or equipment used exclusively, or mainly, at work;
b. Clothing or footwear of a kind that ordinary consumers do not choose to purchase or wear and which are worn exclusively, or mainly, at work; for example, protective clothing, overalls or uniforms;
c. Accommodation services at the place of work of a kind that cannot be used by the households to which the employees belong: barracks, cabins, dormitories, huts, etc.;
d. Special meals or drinks necessitated by exceptional working conditions, or meals or drinks provided to servicemen or others while on active duty;
e. Transportation and hotel services including allowances for meals provided while the employee is travelling on business;
f. Changing facilities, washrooms, showers, baths, etc. necessitated by the nature of the work;
g. First aid facilities, medical examinations or other health checks required because of the nature of the work.
Employees may sometimes be responsible for purchasing the kinds of goods or services listed above and be subsequently reimbursed in cash by the employer.
Such cash reimbursements must be treated as intermediate expenditures by the employer and not as part of the employee's wages and salaries.
6.223 The provision of other kinds of goods and services, such as ordinary housing services, the services of vehicles or other durable consumer goods used extensively away from work, transportation to and from work, etc. should be treated as remuneration in kind, as explained more fully in chapter 7.
6.224 Intermediate consumption measures the value of goods and services that are transformed or entirely used up in the course of production during the accounting period.
It does not cover the costs of using fixed assets owned by the enterprise nor expenditures on the acquisition of fixed assets.
The boundary between these kinds of expenditures and intermediate consumption is explained in more detail below.
6.225 Expenditures on durable producer goods that are small, inexpensive and used to perform relatively simple operations may be treated as intermediate consumption when such expenditures are made regularly and are very small compared with expenditures on machinery and equipment.
Examples of such goods are hand tools such as saws, spades, knives, axes, hammers, screwdrivers, and so on. However, in countries where such tools account for a significant part of the stock of producers' durable goods, they may be treated as fixed assets.
6.226 The distinction between maintenance and repairs and gross fixed capital formation is not clear-cut.
The ordinary, regular maintenance and repair of a fixed asset used in production constitute intermediate consumption.
Ordinary maintenance and repair, including the replacement of defective parts, are typical ancillary activities but such services may also be provided by a separate establishment within the same enterprise or purchased from other enterprises.
6.227 The practical problem is to distinguish ordinary maintenance and repairs from major renovations, reconstructions or enlargements that go considerably beyond what is required simply to keep the fixed assets in good working order.
Major renovations, reconstructions, or enlargements of existing fixed assets may enhance their efficiency or capacity or prolong their expected working lives.
They must be treated as gross fixed capital formation as they add to the stock of fixed assets in existence.
6.228 Ordinary maintenance and repairs are distinguished by two features:
a. They are activities that owners or users of fixed assets are obliged to undertake periodically in order to be able to utilize such assets over their expected service lives.
They are current costs that cannot be avoided if the fixed assets are to continue to be used.
The owner or user cannot afford to neglect maintenance and repairs as the expected service life may be drastically shortened otherwise;
b. Maintenance and repairs do not change the fixed asset or its performance, but simply maintain it in good working order or restore it to its previous condition in the event of a breakdown.
Defective parts are replaced by new parts of the same kind without changing the basic nature of the fixed asset.
6.229 On the other hand, major renovations or enlargements to fixed assets are distinguished by the following features:
a. The decision to renovate, reconstruct or enlarge a fixed asset is a deliberate investment decision that may be undertaken at any time and is not dictated by the condition of the asset.
Major renovations of ships, buildings or other structures are frequently undertaken well before the end of their normal service lives;
b. Major renovations or enlargements increase the performance or capacity of existing fixed assets or significantly extend their previously expected service lives.
Enlarging or extending an existing building or structure obviously constitutes a major change in this sense, but a complete refitting or restructuring of the interior of a building, or ship, also qualifies.
6.230 Research and development is treated as capital formation except in any cases where it is clear that the activity does not entail any economic benefit for its owner in which case it is treated as intermediate consumption.
6.231 Expenditures on mineral exploration and evaluation are not treated as intermediate consumption.
Whether successful or not, they are needed to acquire new reserves and so are all classified as gross fixed capital formation.
6.232 Expenditures on military equipment, including large military weapons systems, are treated as fixed capital formation.
Expenditure on durable military goods such as bombs, torpedoes and spare parts are recorded as inventories until used when they are recorded as intermediate consumption and a withdrawal from inventories.
6.233 Government may provide services to producers.
To the extent that a charge is made for these services, the charges form part of the intermediate consumption of the producer.
However, when the charge does not represent an economically significant price, the value of the service to the producer is greater than the cost.
However, no estimation of this benefit is made and the costs of the services not covered by the charges made are included in collective consumption of government.
6.234 Expenditures by government or NPISHs on goods or services produced by market producers that are provided directly to households, individually or collectively, without any further processing constitute final consumption expenditures by government or NPISHs and not intermediate consumption.
The goods and services in question are treated as social transfers in kind and enter into the actual consumption of households.
6.235 By convention, non-financial and financial corporations do not make social transfers in kind, nor engage in final consumption.
6.236 Non-profit institutions in the form of business associations that exist to protect the interests of their members and are financed by them are market producers.
The subscriptions paid by the businesses constitute payments for services rendered.
These services are consumed as intermediate inputs by the members of the association and are valued by the amounts paid in subscriptions, contributions or dues.
6.237 It is increasingly common for producers to change the way in which a production activity is completed.
Different stages in the process or different support activities such as office cleaning or assembly of electronic components may be contracted out to another producer, in the same country or abroad.
This changes the pattern of intermediate inputs even though the underlying technology may be the same.
The impact of this on input-output tables is discussed in chapters 14 and 28.
6.238 The decision to rent buildings, machinery or equipment under an operating lease, rather than purchase them, can have a major impact on the ratio of intermediate consumption to value added and the distribution of value added between producers.
Rentals paid on buildings or on machinery or equipment under an operating lease constitute purchases of services that are recorded as intermediate consumption.
However, if an enterprise owns its buildings, machinery and equipment, most of the costs associated with their use are not recorded under intermediate consumption.
The consumption of fixed capital on the assets forms part of gross value added while interest costs, both actual and implicit, have to be met out of the net operating surplus.
Only the costs of the materials needed for maintenance and repairs appear under intermediate consumption.
Decisions to rent rather than purchase may be influenced by factors quite unrelated to the technology of production, such as taxation, the availability of finance, or the consequences for the balance sheet.
6.239 There is a significant difference between rentals of fixed assets under an operating lease and the acquisition of an asset under a financial lease.
Under an operating lease, the lessor has a productive activity that involves the equipment in question and is responsible for the production risks associated with the operational status of the asset.
Payments by the lessee are treated as payments for a service.
Under a financial lease, the lessee accepts all risks and rewards associated with the use of the asset in production.
A financial lease is thus treated as a loan by the lessor to the lessee and purchase of the equipment by the lessee.
Subsequent payments are treated as payments of interest and repayments of principal by the lessee to the lessor.
Further details on the treatment of operating and financial leases are given in chapter 17.
6.240 Consumption of fixed capital is the decline, during the course of the accounting period, in the current value of the stock of fixed assets owned and used by a producer as a result of physical deterioration, normal obsolescence or normal accidental damage.
The term depreciation is often used in place of consumption of fixed capital but it is avoided in the SNA because in commercial accounting the term depreciation is often used in the context of writing off historic costs whereas in the SNA consumption of fixed capital is dependent on the current value of the asset.
6.241 Consumption of fixed capital is calculated for all fixed assets owned by producers, but not for valuables (precious metals, precious stones, etc.) that are acquired precisely because their value, in real terms, is not expected to decline over time.
Fixed assets must have been produced as outputs from processes of production as defined in the SNA.
Consumption of fixed capital does not, therefore, cover the depletion or degradation of natural assets such as land, mineral or other deposits, coal, oil, or natural gas, or contracts, leases and licences.
6.242 The value of assets may decline not merely because they deteriorate physically but because of a decrease in the demand for their services as a result of technical progress and the appearance of new substitutes for them.
In practice, many structures, including roads and railway tracks, are scrapped or demolished because they have become obsolete.
Even though the estimated service lives may be very long for some structures, such as roads, bridges, dams, etc., they cannot be assumed to be infinite.
Thus, capital consumption needs to be calculated for all types of structures, including those owned and maintained by government units, as well as machinery and equipment.
6.243 Losses of fixed assets due to normal or expected levels of accidental damage are also included under consumption of fixed capital; that is, damage caused to assets used in production resulting from their exposure to the risk of fires, storms, accidents due to human error, etc.
When these kinds of accidents occur with predictable regularity they are taken into account in calculating the average service lives of the goods in question.
For an individual unit, or group of units, any difference between the average and the actual normal accidental damage within a given period is recorded in the other changes in the volume of assets account.
However, at the level of the economy as a whole, the actual normal accidental damage within a given accounting period may be expected to be equal, or close, to the average.
6.244 On the other hand, losses due to war or to major natural disasters that occur very infrequently, such as major earthquakes, volcanic eruptions, tidal waves or exceptionally severe hurricanes, are not included under consumption of fixed capital.
There is no reason for such losses to be charged in the production account as costs of production.
The values of the assets lost in these ways are recorded in the other changes in the volume of assets account.
Similarly, although consumption of fixed capital includes reductions in the value of fixed assets resulting from normal, expected rates of obsolescence, it should not include losses due to unexpected technological developments that may significantly shorten the service lives of a group of existing fixed assets.
Such losses are treated in the same way as losses due to above average rates of normal accidental damage.
6.245 It is possible to draw a comparison between consumption of fixed capital and rental of assets under an operating lease.
The rental is the amount payable by the user of a fixed asset to its owner, under an operating lease or similar contract, for the right to use that asset in production for a specified period of time.
The rental needs to be large enough to cover (i) any direct costs incurred by the owner including the costs of maintaining the asset, (ii) the reduction in the value of the asset over that period (the consumption of fixed capital) and (iii) the interest costs on the value of the asset at the start of the period.
The interest costs may consist either of actual interest paid on borrowed funds or the loss of interest incurred as a result of investing own funds in the purchase of the fixed asset instead of a financial asset.
Whether owned or rented, the full cost of using the fixed asset in production is measured by the actual or imputed rental on the asset and not by consumption of fixed capital alone.
When the asset is actually rented under an operating lease or similar contract, the rental is recorded under intermediate consumption as the purchase of a service produced by the lessor.
When the user and the owner are one and the same unit, the direct costs are recorded as intermediate consumption.
The consumption of fixed capital represents the second element of the cost of using the asset.
The third part of the cost, referred to above as the interest cost, is also known as the return to fixed capital.
Like consumption of fixed capital, the return to capital is part of value added.
The sum of the consumption of fixed capital and the value of the return to capital is known as the capital services rendered by the asset.
Capital services are discussed in more detail in chapter 20.
6.246 The value of a fixed asset to its owner at any point of time is determined by the present value of the future capital services (that is, the sum of the values of the stream of future rentals less operating costs discounted to the present period) that can be expected over its remaining service life.
Consumption of fixed capital is measured by the decrease, between the beginning and the end of the current accounting period, in the present value of the remaining sequence of expected future benefits.
The extent of the decrease will be influenced not only by the amount by which the efficiency of the asset may have declined during the current period but also by the shortening of its service life and the rate at which its economic efficiency declines over its remaining service life.
The decrease is expressed in the average prices of the current period for an asset of exactly the same quality and should exclude holding gains and losses.
When the flow of future benefits that determines the present values used to derive consumption of fixed capital is expressed in terms of flows that include an element of inflation, then the discount factor should be nominal.
When the flows are expressed in terms of current period prices, then a real discount rate should be used.
Either procedure results in a present value expressed in current period prices.
6.247 Consumption of fixed capital is a forward-looking measure that is determined by future, and not past, events namely, the benefits that institutional units expect to derive in the future from using the asset in production over the remainder of its service life.
Unlike depreciation as usually calculated in business accounts, consumption of fixed capital is not, at least in principle, a method of allocating the costs of past expenditures on fixed assets over subsequent accounting periods.
The value of a fixed asset at a given moment in time depends only on the remaining benefits to be derived from its use and consumption of fixed capital must be based on values calculated in this way.
6.248 Fixed assets may have been purchased in the past at times when both relative prices and the general price level were very different from prices in the current period.
In order to be consistent with the other entries in the same production account, consumption of fixed capital must be valued with reference to the same overall set of current prices as that used to value output and intermediate consumption.
Consumption of fixed capital should reflect underlying resource costs and relative demands at the time the production takes place.
It should therefore be calculated using the actual or estimated prices and rentals of fixed assets prevailing at that time and not at the times the goods were originally acquired.
The “historic costs” of fixed assets, that is, the prices originally paid for them, become quite irrelevant for the calculation of consumption of fixed capital as prices change over time.
6.249 For these reasons, depreciation as recorded in business accounts may not provide the right kind of information for the calculation of consumption of fixed capital.
If data on depreciation are used, they must, at the very least, be adjusted from historic costs to current prices.
However, depreciation allowances for tax purposes have often been grossly manipulated in quite arbitrary ways to try to influence rates of investment and are best ignored altogether in many cases.
It is recommended that independent estimates of consumption of fixed capital should be compiled in conjunction with estimates of the capital stock.
These can be built up from data on gross fixed capital formation in the past combined with estimates of the rates at which the efficiency of fixed assets decline over their service lives.
6.250 Whenever possible, the initial value of a new fixed asset should be that prevailing on the market when the asset is acquired.
If assets of all ages and specifications were regularly traded on markets, these prices should be used to value every asset as it ages.
However, there is scarce information on the prices of second-hand assets and faced with this lack, a more theoretical approach to determining the price of an asset as it ages must be adopted.
6.251 Conceptually, market forces should ensure that the purchaser's price of a new fixed asset is equivalent to the present value of the future benefits that can be derived from it. Given the initial market price, therefore, and knowledge of the characteristics of the asset in question, it is possible to project the stream of future benefits and continually update the remaining present value of these.
This method of building up estimates of the capital stock and changes in the capital stock over time is known as the perpetual inventory method, or PIM.
Estimates of consumption of fixed capital are obtained as a by-product of the PIM.
6.252 A brief explanation of how consumption of fixed capital may be calculated as a by-product of the perpetual inventory method of calculating the capital stock is given in this section.
An overview of the link between the calculation of consumption of fixed capital, the return to capital and the stock of assets is given in chapter 20.
Much more guidance on the way to calculate capital stock estimates appears in the manual Measuring Capital. (OECD, 2009).
6.253 The perpetual inventory method requires an estimate to be made of the stock of fixed assets in existence and in the hands of producers.
The first step is to estimate how many of the fixed assets installed as a result of gross fixed capital formation undertaken in previous years have survived to the current period.
Average service lives, or survival functions, based on observations or technical studies may be applied to past investments for this purpose.
Fixed assets purchased at different prices in the past have then to be revalued at the prices of the current period by utilizing appropriate price indices for fixed assets.
The construction of suitable price indices covering long periods of time raises difficult conceptual and practical problems, but these technical problems of price measurement must be faced in any case in developing balance sheet values of assets.
The stock of fixed assets surviving from past investment and revalued at the purchasers' prices of the current period is described as the gross capital stock.
The gross capital stock can also be measured at the prices of a given base year if it is desired to have annual time series for the gross capital stock in volume terms.
6.254 The inputs into production obtained from the use of a given fixed asset tend to diminish over time.
The rate at which the efficiency declines may vary from one type of asset to another.
The simplest case to consider is one where the efficiency of the asset remains constant until it disintegrates, like a light bulb.
Other simple cases include the case where the efficiency declines linearly or exponentially over its life.
Other methods employ a hyperbolic rate of efficiency loss with relatively little decline in the initial years but increasingly steeper decline as time progresses.
However, in practice calculations are not undertaken asset by asset individually but for cohorts of assets of similar ages and characteristics.
Individual assets within the cohort will retire at different moments but the efficiency-retirement profile for the cohort as a whole is typically convex to the origin.
6.255 The efficiency profiles of fixed assets determine the profiles of the benefits they command over their service lives.
Once the profiles of the benefits over the service lives of the fixed asset have been determined, it becomes possible to calculate the consumption of fixed capital, period by period.
6.256 Consumption of fixed capital is derived as the reduction in the present value of the remaining benefits, as explained earlier.
This reduction, and the rate at which it takes place over time, must be clearly distinguished from the decline in the efficiency of the capital assets themselves.
Although the efficiency, and hence the benefit, of an asset with the efficiency characteristics of a light bulb may remain constant from period to period until it disintegrates, the value of the asset declines over time.
It also follows that the consumption of fixed capital is not constant.
It can easily be shown in this case that the decline in the present value of the remaining benefits from period to period is considerably lower earlier in the life of the asset than when the asset is approaching the end of its life.
Consumption of fixed capital tends to increase as the asset gets older even though the efficiency and benefits remain constant to the end.
6.257 Consumption of fixed capital should not be estimated in isolation from the derivation of a set of capital stock data.
Such data are needed for the balance sheet and, as shown in chapter 20, trying to identify consumption of fixed capital in isolation from the level of the stock of the asset and its patterns of price and efficiency decline is likely to be error prone.
A6.1 Paragraphs 6.142 to 6.145 recommend that, in some cases, the increase in value of goods held in inventories may be regarded as output due to storage rather than to holding gains.
This annex explores the topic further and gives examples of when it is appropriate to treat any of the increase in value of a product as due to production and how this may be separated from any remaining holding gains and losses.
A6.2 Holding products in inventories always involves costs whether they are being held by the original producer or a subsequent wholesaler or retailer.
These costs include those associated with providing the physical storage capacity, maintaining information on levels and types of inventories, costs of supplying withdrawals to customers and costs associated with renewing the level of inventories by acquiring replacement goods (other than the cost of the goods themselves).
These costs form part of the basic price charged by a manufacturer or are recovered in the margins charged by wholesalers and retailers.
The costs incurred are included in intermediate consumption, compensation of employees and the cost of capital.
It may also be the case that specialist storage producers provide a service to other producers and again their costs are included in intermediate consumption.
A6.3 For most products, called “type I” products, this is the only aspect of storage that is relevant.
All the costs associated with storage are included in production costs.
The value of the goods as they are withdrawn from inventories is valued at the costs of producing or acquiring replacement items at that time.
As a consequence, output is measured excluding any change in the value of products held in inventories; this change in value is treated as a holding gain or loss, as illustrated in the following example.
A6.4 Suppose a wholesaler buys and sells 100 packets of washing powder every period and in order to allow for marginal variations in demand keeps an inventory of 10 packets.
At the beginning of a period the price paid per packet is 2, so the value of his inventories is 20. During the period the acquisition cost per packet increases to 2.1. The value of the 10 packets in inventories rises to 21 but the increase in value of 1 reflects the fact only that if the 10 packets were withdrawn from inventories for sale and replaced by identical products, the new products would cost 21 to acquire.
Because output is measured with all units, whether newly produced or withdrawn from inventories, valued at the new price of 2.1, the 1 increase in the value of inventories does not enter the measures of production but appears only in the revaluation account explaining how the value of a stock of 10 packets at the beginning of the period, valued at 20, is replaced by a similar stock of 10 packets at the end of the period now valued at 21.
A6.5 There are three specific cases where the treatment described above is unsatisfactory because other factors intervene in the time while the goods are held in storage.
Goods where this is the case are described as “type II” period of time because of the length of the production products.
The three specific circumstances are the process, in principle, discount factors should be used when following:
a. Goods that have a very long production process;
b. Goods that change their physical characteristics while in inventories;
c. Goods that have seasonal patterns of supply or demand but not both.
Each of these is discussed in turn below.
A6.6 When a product is held in inventories for an extended period of time because of the length of the production process, in principle, discount factors should be used when calculating the value of work put in place each period before the delivery date.
For example, if a construction project ultimately worth 200 is put in place steadily over four years, it is unrealistic to count 50 as the contribution to production in the first year.
Any purchaser would take account of the fact that he would not be able to realize the value of this production for another three years and discount the value accordingly.
As time passes, there is income arising to the unit holding the products as the discount factor unwinds.
This case is described in chapter 20, with the full details of this numerical example.
A6.7 It is suggested that in practice it is necessary to make an allowance for the discount factor only for goods of a significantly high value and significantly long production process, where goods are recorded as work-in-progress or capital formation on own account for many periods before completion.
A6.8 The second set of circumstances relates to goods whose physical characteristics change during storage because maturing is part of the production process.
The goods concerned are those that in the absence of any general or relative change in prices still increase in value because they improve in quality over the time held in storage.
Examples are fermentation affecting food products and the ageing of wine and spirits.
When the product is withdrawn from storage, it is physically different from a new item entering the maturing phase and so it is not appropriate to use the acquisition cost of the new entry into inventories as the value of the product being withdrawn.
The question is how to separate the increase in value due to maturing from the overall price increases of the goods concerned.
A6.9 Suppose a product takes three years to reach a sufficient maturity to be sold and there is final demand for the product until it reaches this state.
If the good is traded, even in its immature state, then prices will exist for the immature, newly manufactured product, for the one year old product, the two year old product and the mature product.
Supposing the product is well-established, at any point in time there will be a mix of newly manufactured items and those of maturities of one, two and three years.
If prices exist for these different maturities, separating the value of storage is not difficult.
In the first year the new product is transformed into a product of one year's maturity.
If the price when the product is brand new is P0and when it is one year old is P1, and t is the first year and t+1 the second, the change in value of a quantity Q of the product is Q(P1,t+1– P0,t).
The increase in value is due to two factors, the increase in the price of the new product made last year to the price of a similar new product made this year (Q(P0,t+1 - P0,t)) and the difference between the price of a similar new product made this year and the price of the one year mature product this year (Q(P1,t+1 - P0,t+1)).
By applying the price differences to the volumes involved, the first difference gives rise to a holding gain; the second to the value of output due to storage.
A6.10 The identity that:
the increase in value from period t to period t+1,
is equal to the change in value between products of the same maturity (or vintage) from period t to period t+1 (treated as a holding gain),
plus the change in value between products of successive maturities (or vintages) in period t+1 treated as the output due to storage,
is true for any two successive time periods.
Thus, in the second year the increase in price between the one year mature product at the beginning of the year and the price of a one year mature product at the end of the year gives rise to a holding gain and the difference in price between a one year mature product at the end of the year and the two year mature product at the same time gives the value of output due to storage, and so on.
A6.11 The identity in paragraph A6.10 holds in current values, when each term contains (or consists of) nominal holding gains (or losses) or when each term is deflated by the general level of inflation so that each term contains or consists of real holding gains (or losses).
In volume terms, as when there are no price increases, the increase in value is identified with the output due to storage.
A6.12 In practice it is very likely that robust time series of prices at different points in the maturing process do not exist.
It is possible that some close equivalent might be available but even this is not very likely.
How can storage be separated from holding gains in the absence of these prices?
A6.13 From long experience the producer may be able to make a reasonable prediction about the increase in value due to storage.
Suppose in a particular case he expects the value in volume terms after three years to be two and a half times the cost of producing the new product.
If the new product is worth 100, the three year old, mature, product is worth 250. This suggests that the volume of output due to storage is 50 in each of the next three years.
(Like the long construction product discussed above, in principle, a discount factor should be applied to the initial 100 and the first two tranches of 50 because the product is not ready for sale until the end of the third year.)
In the absence of information about the increase in the price of the product relative to the general increase in prices, it may be necessary to assume there are no real holding gains in the product and the actual increase in value must be taken as the value of the output due to storage in current values.
Once the price of the fully mature product is known, some adjustment could be made or, pragmatically, the difference between the original prediction and the outturn, adjusted for general inflation, may be taken as a real holding gain or loss.
A6.14 It is not ideal that the output due to storage is assumed to be invariant to fluctuations in relative prices, but in circumstances where most of the price increase will be due to storage and better basic data are not available, this approach gives a pragmatic estimate of output due to storage that is superior to the assumption that the whole of the increase in value is simply a holding gain.
A6.15 The third case where there is a change in value that is not attributable solely to holding gains and losses is when goods are placed in storage to take advantage of changes in the pattern of supply and demand over a year.
The most common case is storage of a staple crop, such as maize, where there is a relatively short harvest period but demand is fairly constant throughout the year.
As a result, the price rises as inventories decrease until the next harvest when an increase in supply causes the price to fall again.
It is possible to envisage the opposite case where demand is seasonal but it is cost effective for producers to produce the good for the whole, or most, of the year, even though for much of that time the production goes straight into inventories and stays there until demand peaks.
A6.16 The reason that this type of product is different from a type I product is that, as with the goods that change characteristics due to maturing, the price increases, relative to the general level of inflation, in a more or less predictable way because of the effect of transporting the goods through time, from a period of abundance to one of relative scarcity.
This is a quite different motivation from holding items in store for purely speculative reasons when there is no pattern established for the probable increase in prices and no predetermined time over which the goods might be held.
A6.17 The ideal situation is one where there is a well-established and robust seasonal pattern for the expected price increases in the crop.
In such a case, the seasonal pattern of the prices can be used to establish the output due to storage and the remaining increase in value represents holding gains and losses that can be separated into real and neutral elements as normal.
A6.18 However, given that the total level of a harvest can be quite different year on year and the actual time of harvest may vary slightly from year to year depending on climatic conditions, establishing a robust seasonal pattern of prices may not be easy.
In such a case, the pragmatic suggestion is similar to that for maturing goods when there is imperfect information.
The premise is that the increase in price will be attributable to two factors; the first is an increase matching the general increase in prices.
The element of increase in the value of inventories corresponding to this should be treated as nominal holding gains and losses.
The second factor leading to the increase in prices is a seasonal scarcity value and this element should be treated as giving rise to output due to storage.
Assuming that all the increase other than that matching average price increases is due to storage implies that there are no real holding gains.
A6.19 The fact that type II products give rise to production of storage depends only on the type of product, not on the producer.
If a farmer produces a seasonal crop and then stores most of it to sell bit by bit throughout the year, he records the benefits of the increase in value due to storage in his output.
However, if he sells all of his crop at harvest time to another unit (for example, a wholesaler) and that unit puts it in inventories and sells it continuously throughout the year, then that unit derives the benefits from holding the crop in storage and records in his output these benefits that would otherwise have been recorded by the farmer as output.
However many times a type II good changes hands between its production and sale, the value of output due to storage will be the same.
It is likely that every time it changes hands, the associated intermediate consumption will increase so that value added will decrease but the level of output will not be affected.
Thus an increase in value accrues to the unit holding the goods, if they are type II goods and the holder is a wholesaler or retailer, he may have output just as the original producer may.
A6.20 Output due to storage is produced on a continuous basis.
In order to have an articulated set of information on production and inventories, output from storage must be calculated period by period.
If the goods that are changing value remain in inventories, the owner of the goods has output that is treated as an addition to inventories.
Even though the quantity of the inventories may not change, the quality-adjusted measures do change to reflect the increase in price that is treated as a quality change and not as a holding gain.
A6.21 These simple examples show how the approximate approach to calculating storage works under different assumptions.
A6.22 Unit A purchases goods to the value of 100 and they rise in value to 110 by the middle of year 2 when he sells them.
At the end of the year the value of the goods is 108. There is no general inflation in the period.
A6.23 In year 1, A records output of 8 and additions to inventories of 108 in total.
In year 2, A records output of 2, additions to inventories of 2 and sales of the withdrawals from inventories of 110.
A6.24 The goods bought in example 1 also increase in line with inflation so that they are worth 115 by the end of year 1 and 120 on disposal.
A6.25 The recordings in year 1 are complemented by holding gains of 7 in year 1. At the end of year 1, it is necessary to re-estimate the expected price level on disposal.
If this is estimated to be 117, showing the same absolute increase as previously expected, for example, then a holding gain of 3 will be recorded in year 2.
A6.26 The goods in example 1 are sold to unit B for 105 part way through the year.
B then holds the goods until selling them at the same point in time in year 2 for 110.
A6.27 In year 1, A has output of 5 and acquisition of inventories of 105. A withdraws inventories of 105 and sells them to B. B has output in year 1 of 3, which is recorded as an addition to inventories.
The value of B's total additions to inventories in year 1 is thus 108. In year 2, B has output of 2, additions to inventories of 2 and sales that represent withdrawals from inventories of 110.
7.1 There are two accounts that record how income arising from involvement in processes of production or from ownership of assets needed for production are distributed among institutional units and the second of these is further subdivided in two also:
a. The generation of income account;
b. The allocation of primary income account;
· The entrepreneurial income account; and
· The allocation of other primary income account.
7.2 Basic to all these accounts is the concept of primary income.
Primary incomes are incomes that accrue to institutional units as a consequence of their involvement in processes of production or ownership of assets that may be needed for purposes of production.
A major item of primary income is compensation of employees that represents the income accruing to individuals in return for their labour input into production processes.
Property income is that part of primary incomes that accrues by lending or renting financial or natural resources, including land, to other units for use in production.
Receipts from taxes on production and imports (less subsidies on production and imports) are treated as primary incomes of governments even though not all of them may be recorded as payable out of the value added of enterprises.
Primary incomes do not include the payments of social contributions to social insurance schemes and the receipt of benefits from them, current taxes on income, wealth, etc. and other current transfers, such current transfers being recorded in the secondary distribution of income account.
7.3 The generation of income account (shown in table 7.1) represents a further extension or elaboration of the production account in which the primary incomes accruing to government units and to the units participating directly in production are recorded.
Like the production account, it may be compiled for establishments and industries as well as for institutional units and sectors.
The generation of income account shows the sectors, subsectors or industries in which the primary incomes originate, as distinct from the sectors or subsectors destined to receive such incomes.
For example, the only compensation of employees recorded in the generation of income account for the household sector consists of the compensation of employees payable by unincorporated enterprises owned by households.
This item is very different from the compensation of employees receivable by the household sector, which is recorded in the account below, the allocation of primary income account.
7.4 The resources, listed on the right-hand side of the generation of income account, consist of only a single item, value added, the balancing item carried forward from the production account.
As stated in chapter 6, value added may be measured before the deduction of consumption of fixed capital (gross) or after the deduction of consumption of fixed capital (net).
Provision must also be made throughout the remaining accounts of the SNA for the relevant balancing items to be measured gross or net of consumption of fixed capital.
The concept and measurement of consumption of fixed capital have already been explained in detail in chapter 6.
For simplicity, it will be assumed that value added is measured net, except when the context requires gross value added to be referred to explicitly.
7.5 The left-hand side of the generation of income account records the uses of value added.
There are only two main types of charges that producers have to meet out of value added: compensation of employees payable to workers employed in the production process and any taxes, less subsidies, on production payable or receivable as a result of engaging in production.
Compensation of employees is defined as the total remuneration, in cash or in kind, payable by an enterprise to an employee in return for work done by the latter during the accounting period.
Taxes less subsidies on production consist of taxes payable or subsidies receivable on goods or services produced as outputs and other taxes or subsidies on production, such as those payable on the labour, machinery, buildings or other assets used in production.
Taxes on production do not include any income taxes payable by the recipients of incomes accruing from production, whether employers or employees.
7.6 The content of the item taxes less subsidies on production payable out of value added varies according to the way in which output is valued.
Value added tax (VAT), or other similar deductible tax, invoiced on output is never treated as part of the price receivable by the producer from the purchaser.
Invoiced VAT is always omitted from value of output, whether output is valued at producers' or basic prices.
Hence, invoiced VAT is not a charge against value added and is not recorded as a payable in the producer's generation of income account.
However, when output is valued at producers' prices, any other tax on products payable on the output is treated as an integral part of the price receivable by the producer from the purchaser.
The tax is recorded as being payable by the producer out of value added at producers' prices in the generation of income account, that is, as a component of the item “taxes less subsidies on production”. Similarly, any subsidy on products receivable on the output is recorded as being receivable by the producer from government in the generation of income account as a supplement to value added at producers' prices.
By convention, it is not recorded under resources but as a component of “taxes less subsidies on production” as if it were a negative tax on output.
7.7 As explained in chapter 6, the basic price is obtained from the producer's price by deducting any tax on products payable on a unit of output (other than invoiced VAT already omitted from the producer's price) and adding any subsidy on products receivable on a unit of output.
In consequence, no taxes on products or subsidies on products are to be recorded as payables or receivables in the producer's generation of income account when value added is measured at basic prices, the preferred valuation basis in the SNA.
When basic prices are used to value output, the item “taxes less subsidies on production” refers only to other taxes or subsidies on production.
7.8 After deducting compensation of employees and taxes, less subsidies, on production from value added, the balancing item of the generation of income account is obtained.
The balancing item is shown on the left-hand side of the account under uses.
It measures the surplus or deficit accruing from production before taking account of any interest, rent or similar charges payable on financial assets or natural resources borrowed or rented by the enterprise, or any interest, rent or similar receipts receivable on financial assets or natural resources owned by the enterprise.
7.9 The balancing item is described as operating surplus except for unincorporated enterprises owned by households in which the owner(s) or members of the same household may contribute unpaid labour inputs of a similar kind to those that could be provided by paid employees.
In the latter case, the balancing item is described as mixed income because it implicitly contains an element of remuneration for work done by the owner, or other members of the household, that cannot be separately identified from the return to the owner as entrepreneur.
In many cases, though, the element of remuneration may dominate the value of mixed income.
In practice, all unincorporated enterprises owned by households that are not quasi-corporations are deemed to have mixed income as their balancing item, except owner-occupiers in their capacity as producers of housing services for own final consumption, households leasing dwellings and households employing paid domestic staff.
For owner-occupiers and those leasing dwellings, all value added is operating surplus.
For domestic staff all value added is compensation of employees (unless any taxes or subsidies on production are payable or receivable on the output).
7.10 As noted in chapter 6, gross domestic product (GDP) at market prices is equal to the sum of the gross value added of all resident enterprises plus those taxes, less subsidies, on products that are not payable on the values of the outputs of those enterprises, that is, taxes or subsidies on imports plus non-deductible VAT when output is valued at producers' prices, and all taxes or subsidies on products when output is valued at basic prices.
For this reason, taxes and subsidies on imports and VAT must also be recorded under uses of GDP in the generation of income account for the total economy, even though they do not appear in the generation of income account for individual institutional units or sectors.
7.11 As already noted, the preferred measure of value added is after deducting consumption of fixed capital, that is, net value added.
However, provision is made in the accounts of the SNA for value added, and all subsequent balancing items that depend on value added, to be measured gross or net of consumption of fixed capital.
Operating surplus and mixed income may therefore both be expressed as gross or net.
7.12 Operating surplus or mixed income is a measure of the surplus accruing from processes of production before deducting any explicit or implicit interest charges, rent or other property incomes payable on the financial assets, land or other natural resources required to carry on the production.
It is, therefore, invariant as to whether:
a. The land or other natural resources used in production are owned or rented by the enterprise; and
b. The inventories, fixed assets, land or other natural resources owned by the enterprise and used in production are financed out of own funds (or equity capital) or out of borrowed funds (or loan capital).
Table 7.1: The generation of income account - concise form - uses
7.13 Although operating surplus or mixed income is invariant to the extent to which land is owned or assets in general are financed, it needs to be sufficient to cover both any explicit, or implicit, rent on land and the explicit, or implicit, interest charges on the value of all the assets owned by the enterprise in order to justify their continued use in production.
The implicit interest costs of using the enterprise's own funds to purchase inventories, fixed assets or other assets are the opportunity costs of using the funds in this way rather than to acquire financial assets on which interest could be earned.
These costs are captured in estimates of capital services.
The amounts of rent and interest actually payable on rented land and borrowed funds are recorded in the allocation of primary income account and the entrepreneurial income account.
7.14 The operating surplus or mixed income of an individual producer unit is not invariant, however, to the extent to which the fixed assets used in production are owned or rented.
When buildings, other structures, machinery or equipment are rented by an enterprise, the payments of rentals under an operating lease are recorded as purchases of services.
These services form part of intermediate consumption.
Thus, as explained in chapter 17, the payment of the rental on a fixed asset tends to reduce gross value added below what it would be if the producer owned the asset.
The impact on net value added is mitigated by the fact that a tenant, or lessee, incurs no consumption of fixed capital.
However, even net value added will tend to be lower when a fixed asset is rented as the rental has to cover the lessor's operating and interest costs.
At the level of the total economy, the lower surpluses accruing to tenants or lessees will tend to be counterbalanced by the operating surpluses earned by the lessors.
7.15 Whereas the generation of income account focuses on resident institutional units or sectors in their capacity as producers whose activities generate primary incomes, the allocation of primary income account (shown in table 7.2) focuses on resident institutional units or sectors in their capacity as recipients of primary incomes.
The allocation of primary income account shows where the items payable in the generation of income account are receivable and also includes the amounts of property incomes receivable and payable by institutional units or sectors.
As already noted, the generation of income account, being related to production activities, can be compiled for establishments and industries as well as for institutional units and sectors.
However, the allocation of primary income account has no such direct link with production and can only be compiled for institutional units and sectors.
7.16 Enterprises may invest surplus funds in financial assets or even land, especially in times of uncertainty and high interest rates.
Considerable property income may be received from such investments.
The property income paid out by a corporation will be influenced by the amount of property income received as well as by its operating surplus.
Thus, it is not appropriate to record all the property income paid out by an enterprise as if it were chargeable against operating surplus.
Some interest costs, especially implicit costs, may be attributable to assets other than those used in production.
For this reason, the explicit and implicit interest costs payable by an enterprise ought not to be recorded in the generation of income account in which the resources consist only of value added accruing from production.
They are recorded in the allocation of primary income account along with any property income receivable as well as the operating surplus.
7.17 There are two kinds of income listed under resources on the right-hand side of the allocation of primary income account.
The first shows where primary incomes already recorded in the generation of income account are receivable, as follows:
a. Compensation of employees receivable by households or non-resident households;
b. Taxes (less subsidies) on production or imports receivable (or payable) by government units or a foreign government;
c. Operating surplus, or mixed income, of enterprises carried forward from the generation of income account.
The second kind of income consists of property incomes receivable from the ownership of financial assets or natural resources:
d. Investment income receivable by the owners of financial assets from either resident or non-resident units;
e. Rent receivable by owners of natural resources leased to other units.
Table 7.1(cont): The generation of income account - concise form - resources
7.18 The uses, listed on the left-hand side of the allocation of primary income account, consist only of the property incomes payable by institutional units or sectors to creditors, shareholders, landowners, etc.
7.19 The composition of the balance of primary incomes varies considerably from one sector to another as certain types of primary incomes are receivable by certain sectors only or by non-residents.
7.20 Net national income (NNI) is the aggregate value of the net balances of primary incomes summed over all sectors.
7.21 Gross value added is strictly a production measure defined only in terms of output and intermediate consumption.
Table 7.2: The allocation of primary income account - concise form - uses
The balancing items and national income
Except for rent on natural resources, these may be payable to non-residents as well as residents.
The remaining item recorded under uses is the balancing item, the balance of primary incomes, defined as the total value of the primary incomes receivable by an institutional unit or sector less the total of the primary incomes payable.
At the level of the total economy it is described as national income.
In particular, taxes are received only by the general government sector and non-residents while compensation of employees is received only by the household sector and non-residents.
These balances are described below.
a. The balance of primary incomes of the non-financial and financial corporate sectors consists only of operating surplus plus property income receivable less property income payable.
b. The balance of primary incomes of the general government sector consists of taxes on production and on imports receivable less subsidies on production payable, plus property income receivable less property income payable.
It may also include a small amount of operating surplus from units within general government undertaking market production.
c. The balance of primary incomes of the household sector consists of compensation of employees and mixed incomes accruing to households, plus property income receivable less property income payable.
It also includes the operating surplus from housing services produced for own consumption by owner-occupiers.
d. The balance of primary incomes of the non-profit institutions serving households (NPISHs) sector consists almost entirely of property income receivable less property income payable.
Net national income and gross national income
Similarly, gross national income (GNI) is the aggregate value of the gross balances of primary incomes for all sectors.
It follows that GDP is also a production measure as it is obtained by summing the gross value added of all resident institutional units, in their capacities as producers, and adding the values of any taxes, less subsidies, on production or imports not already included in the values of the outputs, and value added, of resident producers. GNI is obtained by summing the balance of primary incomes of the same resident institutional units.
It follows that the difference between the numerical values of GNI and GDP is equal to the difference between the total primary incomes receivable by residents from non-residents and the total primary incomes payable by residents to non-residents (that is, net income from abroad).
However, as both GDP and GNI are obtained by summing over the same set of resident institutional units, there is no justification for labelling one as “domestic” and the other as “national”. Both aggregates refer to the total economy defined as the complete set of resident institutional units or sectors.
The difference between them is not one of coverage but the fact that one measures production while the other measures income.
Both have an equal claim to be described as domestic or as national.
However, as the terms “gross domestic product” and “gross national income” are deeply embedded in economic usage, it is not proposed to change them.
Emphasis should be given, however, to the third rather than second letter of the acronym to emphasize the fact that GDP refers to production (output) and GNI to income.
7.22 The allocation of primary income account may be partitioned into two sub-accounts: the entrepreneurial income account and the allocation of other primary income account.
The purpose is to identify an additional balancing item, entrepreneurial income, that may be useful for market producers.
Like operating surplus and mixed income, it is a balancing item that is relevant only to producers, but one that can be calculated only for institutional units and sectors and not for establishments and industries.
7.23 Entrepreneurial income is calculated by deducting from operating surplus any interest, investment income disbursements and rent payable and adding property incomes receivable.
For the non-financial and financial corporations sectors, the only difference between entrepreneurial income and the balance of primary incomes is that entrepreneurial income is measured before the payment of dividends, the withdrawals of income from quasi-corporations and reinvested earnings.
Entrepreneurial income is not calculated for other sectors.
Although government and households may contain unincorporated enterprises undertaking market production, the fact that the assets attributed to this activity cannot be distinguished from the entirety of assets of the institution means that identification of property income relating to the activity is also difficult.
(If the assets and property income could be identified, it is probable that the unincorporated enterprise could be treated as a quasi-corporation and included in one of the corporate sectors.)
7.24 Entrepreneurial income is an income concept that is close to the concept of profit or loss as understood in business accounting (at least when there is no inflation).
On the other hand, it should be remembered that when profits are calculated at historic costs in business accounts, they also include nominal holding gains on the inventories and other assets owned by the enterprise; these holding gains and losses may be quite substantial during inflationary conditions.
7.25 When the entrepreneurial income account is compiled for an institutional unit or sector, it is followed by the allocation of other primary income account in order to arrive at the balance of primary incomes.
In the allocation of other primary income account, the first item listed under resources is entrepreneurial income, the balancing item carried forward from the entrepreneurial income account instead of operating surplus or mixed income, which are the balancing items carried forward from the generation of income account.
The only item in the account, for non-financial and financial corporations, apart from the balancing items, is the entry for the distributed income of corporations.
7.26 For general government, households and NPISHs, the allocation of other primary income account matches the allocation of primary income account.
7.27 The entrepreneurial income account and the account for other primary income are shown in table 7.3.
Table 7.2(cont): The allocation of primary income account - concise form - resources
7.28 It is not always self-evident whether a person is an employee or self-employed, for example, some workers paid by results may be employees while others may be self-employed.
The boundary also affects the subsectoring of the household sector.
The definitions in the SNA are consistent with resolutions of the International Conference of Labour Statisticians (ICLS) concerning the definitions of the economically active population.
For the SNA, though, the main objective is to clarify the nature of the employment relationship in order to fix the boundary between compensation of employees and other kinds of receipts.
Some persons who in labour statistics may be included with the self-employed, in particular some owners of quasi-corporations and owner-managers of corporations, are treated in the SNA as employees.
Further discussion on the measurement of the labour force and definitions of the related terms appear in chapter 19.
7.29 In order to be classified as employed, that is, either as an employee or self-employed, the person must be engaged in an activity that falls within the production boundary of the SNA.
The relationship of employer to employee exists when there is a written or oral agreement, which may be formal or informal, between an enterprise and a person, normally entered into voluntarily by both parties, whereby the person works for the enterprise in return for remuneration in cash or in kind.
The remuneration is normally based on either the time spent at work or some other objective indicator of the amount of work done.
7.30 The self-employed are persons who work for themselves, when the enterprises they own are distinguished neither as separate legal entities nor as separate institutional units in the SNA.
They may be persons who are the sole owners, or joint owners, of the unincorporated enterprises in which they work; members of a producers' cooperative or contributing family workers (that is, family members who work in an unincorporated enterprise without pay).
a. Workers engaged in production undertaken entirely for their own final consumption or own capital formation, either individually or collectively, are self-employed.
Although a value may be imputed for the output of own-account production based on costs, including estimated labour costs, no imputation is made for the wages of workers engaged in such production, even in the case of collective, or communal, projects undertaken by groups of persons working together.
The surplus of the imputed value of the output over any monetary costs or taxes on production explicitly incurred is treated as gross mixed income.
b. Contributing family workers, including those working without pay in unincorporated enterprises engaged wholly or partly in market production, are also treated as self-employed.
c. The whole of the equity of a corporation may be owned by a single shareholder or small group of shareholders.
When those shareholders also work for the corporation and receive paid remuneration other than dividends, the shareholders are treated as employees.
The owners of quasi-corporations who work in those quasi-corporations and receive paid remuneration other than withdrawal of earnings from the quasi-corporation are also treated as employees.
d. Outworkers may be either employees or self-employed depending on their exact status and circumstances.
The treatment of outworkers is specified in more detail below.
Table 7.3: The entrepreneurial income and allocation of other primary income accounts - uses
7.31 The remuneration of the self-employed is treated as mixed income.
7.32 Students in their capacity as consumers of educational or training services are not employees.
However, if students also have a formal commitment whereby they contribute some of their own labour as an input into an enterprise’s process of production, for example, as apprentices or similar kinds of worker trainees, articled clerks, student nurses, research or teaching assistants, hospital interns, etc., they are treated as employees, whether or not they receive any remuneration in cash for the work that they do in addition to training received as in-kind payment.
Table 7.3(cont): The entrepreneurial income and allocation of other primary income accounts - resources
7.33 Self-employed persons may be divided into two groups: those who do and those who do not engage paid employees on a continuous basis.
7.34 An outworker is a person who agrees to work for a particular enterprise or to supply a certain quantity of goods or services to a particular enterprise, by prior arrangement or contract with that enterprise, but whose place of work is not within any of the establishments that make up that enterprise.
7.35 Outworkers have some of the characteristics of employees and some of the characteristics of self-employed workers.
7.36 In practice it may not always be easy to distinguish between employees and self-employed on the basis of these criteria.
7.37 An outworker is considered an employee when an employment relationship exists between the enterprise and the outworker.
Table 7.4: The generation of income account - compensation of employees - uses
7.38 The status of an outworker has important implications for the accounts.
Employers and own-account workers
Those who do engage employees on a continuous basis are described as employers and those without paid employees are described as own-account workers.
The distinction is used for purposes of subsectoring the household sector.
Own-account workers may be further subdivided into outworkers who are under some kind of formal or informal contract to supply goods or services to a particular enterprise, and ordinary own-account workers who may be engaged in either market production or production for own final consumption or own capital formation.
Outworkers
The enterprise does not control the time spent at work by an outworker and does not assume responsibility for the conditions in which that work is carried out, although it may carry out checks on the quality of work.
Most outworkers work at home but may use other premises of their own choice.
Some outworkers are provided with the equipment or materials, or both, on which they work, by an enterprise but other outworkers may purchase their own equipment or materials, or both.
In any case, outworkers have to meet some production costs themselves: for example, the actual or imputed rentals on the buildings in which they work; heating, lighting and power; storage or transportation; etc.
The way in which they are to be classified is determined primarily by the basis on which they are remunerated.
A distinction can be drawn between two cases that, in principle, are quite different from one another:
a. The person is remunerated directly, or indirectly, on the basis of the amount of work done, that is, by the amount of labour that is contributed as an input into some process of production, irrespective of the value of the output produced or the profitability of the production process.
This kind of remuneration implies that the worker is an employee.
b. The income received by the person is a function of the value of the outputs from some process of production for which that person is responsible, however much or little work was put in. This kind of remuneration implies that the worker is self-employed.
Outworkers who employ and pay others to work for them must be treated as the self-employed owners of unincorporated enterprises, that is as employers.
The issue, therefore, is to distinguish own-account workers from employees.
This implies the existence of an implicit or explicit employment contract or agreement whereby it is agreed that the outworker is remunerated on the basis of the work done.
Conversely, an outworker is considered to be an own-account worker when there is no such implicit or explicit employment contract or agreement and the income earned by the outworker depends on the value of the goods or services supplied to the enterprise.
This suggests that decisions on markets, scale of operations and finance are likely to be in the hands of self-employed outworkers who are also likely to own, or rent, the machinery or equipment on which they work.
When the outworker is an own-account worker, the payment from the enterprise to the outworker constitutes a purchase of intermediate goods or services.
For the outworker, the payment from the enterprise represents the value of output and the excess over direct costs to the outworker (treated as intermediate consumption) is gross mixed income.
When the outworker is an employee, the payment constitutes compensation of employees and so is paid out of the value added of the enterprise.
Thus, the outworker's status affects the distribution of value added between enterprises as well as the distribution of incomes between compensation of employees of the employing enterprise and net mixed income of the household of the outworker.
7.39 Compensation of employees is recorded under uses in the generation of income account and under resources in the allocation of primary income account.
The uses side of the generation of income account showing the detailed entries for compensation of employees is given in table 7.4 and the corresponding resources part of the allocation of primary income account in table 7.5.
The only item, apart from the balancing items, relevant to these accounts that is not shown is the entry for compensation of employees payable by the rest of the world, which appears in the uses part of the allocation of primary income account.
7.40 As noted above, compensation of employees is defined as the total remuneration, in cash or in kind, payable by an enterprise to an employee in return for work done by the latter during the accounting period.
7.41 Compensation of employees is recorded on an accrual basis; that is, it is measured by the value of the remuneration in cash or in kind that an employee becomes entitled to receive from an employer in respect of work done during the relevant period, whether paid in advance, simultaneously or in arrears of the work itself.
No compensation of employees is payable in respect of unpaid work undertaken voluntarily, including the work done by members of a household within an unincorporated enterprise owned by the same household.
Compensation of employees does not include any taxes payable by the employer on the wage and salary bill, for example, a payroll tax; such taxes are treated as taxes on production in the same way as taxes on buildings, land or other assets used in production.
7.42 Compensation of employees has two main components:
a. Wages and salaries payable in cash or in kind;
b. Social insurance contributions payable by employers, which include contributions to social security schemes; actual social contributions to other employment-related social insurance schemes and imputed social contributions to other employment-related social insurance schemes.
Social insurance schemes and the nature of benefits they provide are discussed in section D of chapter 8.
Table 7.5: The allocation of primary income account - compensation of employees - resources
7.43 Wages and salaries include the values of any social contributions, income taxes, etc., payable by the employee even if they are actually withheld by the employer for administrative convenience or other reasons and paid directly to social insurance schemes, tax authorities, etc., on behalf of the employee.
7.44 Wages and salaries in cash include the following kinds of remuneration:
7.45 Wages and salaries in cash do not include the reimbursement by employers of expenditures made by employees in order to enable them to take up their jobs or to carry out their work.
7.46 Wages and salaries in cash also do not include social insurance benefits paid by employers in the form of:
7.47 In some instances a benefit such as a car or extra pension contributions may not be provided free but be “purchased” from the employer by foregoing some salary.
7.48 Employers may remunerate their employees in kind for various reasons.
7.49 Income in kind may bring less satisfaction than income in cash because employees are not free to choose how to spend it. Some of the goods or services provided to employees may be of a type or quality that the employee would not normally buy.
7.50 Goods or services that employers are obliged to provide to their employees in order for them to be able to carry out their work are treated as intermediate consumption by the employer: for example, special protective clothing.
7.51 5Almost any kind of consumption good or service may be provided as remuneration in kind.
7.52 Some of the services provided by employers, such as transportation to and from work, car parking and childcare have some of the characteristics of intermediate consumption.
7.53 A frequent item provided as income in kind is a car.
7.54 Remuneration in kind may also include the value of the interest foregone by employers when they provide loans to employees at reduced, or even zero rates of interest for purposes of buying houses, furniture or other goods or services.
7.55 Another form of income in kind results from the practice of an employer giving an employee the option to buy stocks (shares) at some future date.
7.56 Employers' social contributions are social contributions payable by employers to social security funds or other employment-related social insurance schemes to secure social benefits for their employees.
7.57 As employers' social contributions are made for the benefit of their employees, their value is recorded as one of the components of compensation of employees together with wages and salaries in cash and in kind.
7.58 An amount equal in value to employers' social contributions is first recorded in the generation of income account as one of the components of compensation of employees and then recorded either in the secondary distribution of income account as being transferred by households to social security funds or other employment-related social insurance schemes as the case may be, or is recorded in the use of income account as the payment by households for the financial services associated with running the schemes.
7.59 Social insurance schemes in respect of pensions are of two types, described as defined contribution schemes or defined benefit schemes.
7.60 The contributions made by employers to social insurance schemes are divided into actual and imputed contributions.
7.61 For both actual and imputed contributions, the components relating to pensions and other benefits are shown separately.
7.62 The actual contributions by employers to social insurance schemes consist of actual contributions made to both social security and other employment-related schemes.
7.63 There are no imputed contributions to social security schemes.
7.64 For a defined contribution pension scheme, there are no imputed contributions unless the employer operates the scheme himself.
7.65 For a defined benefit pension scheme, there is an imputed contribution by the employer calculated as a residual.
7.66 Some defined benefit pension schemes may be so well run that the funds available to the scheme exceed the liabilities of the scheme to present and past employees.
7.67 Some schemes may be expressed as non-contributory because no actual contributions are ever made by the employee.
7.68 Some employers provide non-pension benefits themselves directly to their employees, former employees or dependants without involving an insurance enterprise or autonomous pension fund, and without creating a special fund or segregated reserve for the purpose.
7.69 In practice, however, it may be difficult to decide how large such imputed contributions should be. The enterprise may make estimates itself, perhaps on the basis of the contributions paid into similar funded schemes, in order to calculate its likely liabilities in the future, and such estimates may be used when available.
7.70 The fact that, failing other information, the value of contributions for a non-contributory scheme may be set equal to the value of benefits does not mean that the benefits themselves are treated as part of compensation of employees.
Wages and salaries
Wages and salaries may be paid in various ways, including goods or services provided to employees as remuneration in kind instead of, or in addition to, remuneration in cash.
Wages and salaries in cash
a. Wages or salaries payable at regular weekly, monthly or other intervals, including payments by results and piecework payments; enhanced payments or special allowances for working overtime, at nights, at weekends or other unsocial hours; allowances for working away from home or in disagreeable or hazardous circumstances; expatriation allowances for working abroad; etc.;
b. Supplementary allowances payable regularly, such as housing allowances or allowances to cover the costs of travel to and from work, but excluding social benefits (see below);
c. Wages or salaries payable to employees away from work for short periods, for example, on holiday or as a result of a temporary halt to production, except during absences due to sickness, injury, etc. (see below);
d. Ad hoc bonuses or other exceptional payments linked to the overall performance of the enterprise made under incentive schemes;
e. Commissions, gratuities and tips received by employees: these should be treated as payments for services rendered by the enterprise employing the worker, and so should also be included in the output and gross value added of the employing enterprise when they are paid directly to the employee by a third party.
For example:
a. The reimbursement of travel, removal or related expenses made by employees when they take up new jobs or are required by their employers to move their homes to different parts of the country or to another country;
b. The reimbursement of expenditures by employees on tools, equipment, special clothing or other items that are needed exclusively, or primarily, to enable them to carry out their work.
The amounts reimbursed are treated as intermediate consumption by employers.
To the extent that employees who are required by their contract of employment to purchase tools, equipment, special clothing, etc., are not fully reimbursed, the remaining expenses they incur should be deducted from the amounts they receive in wages and salaries and the employers' intermediate consumption increased accordingly.
Expenditures on items needed exclusively, or primarily, for work do not form part of household final consumption expenditures, whether reimbursed or not.
a. Children's, spouse's, family, education or other allowances in respect of dependants;
b. Payments made at full, or reduced, wage or salary rates to workers absent from work because of illness, accidental injury, maternity leave, etc.;
c. Severance payments to workers or their survivors who lose their jobs because of redundancy, incapacity, accidental death, etc.
In practice, it may be difficult to separate payments of wages or salaries during short periods of absence due to sickness, accidents, etc., from other payments of wages and salaries, in which case they have to be grouped with the latter.
The attraction of such schemes lies in the tax advantages of doing so. A car bought by the employer and sold to the employee may be taxed at a lower rate than a car purchased by an individual; pension contributions may be taxed differently from other income if deducted at source.
In these cases, the full salary should be recorded as payable in cash with the cost to the employee shown as consumption expenditure or pension contribution etc. as appropriate.
Wages and salaries in kind
For example:
a. There may be tax advantages for the employer, the employee, or both by avoiding payments in cash;
b. The employer may wish to dispose of outputs that are periodically in excess supply.
Nevertheless, they must be valued consistently with other goods and services.
When the goods or services have been purchased by the employer, they should be valued at purchasers' prices.
When produced by the employer, they should be valued at producers' prices.
When provided free, the value of the wages and salaries in kind is given by the full value of the goods and services in question.
When provided at reduced prices, the value of the wages and salaries in kind is given by the difference between the full value of the goods and services and the amount paid by the employees.
A list of such items is given in paragraph 6.222.
Remuneration in kind, on the other hand, consists of goods and services that are not necessary for work and can be used by employees in their own time, and at their own discretion, for the satisfaction of their own needs or wants or those of other members of their households.
The following includes some of the most common types of goods and services provided without charge, or at reduced prices, by employers to their employees:
a. meals and drinks provided on a regular basis including any subsidy element of an office canteen (for practical reasons, it is unnecessary to make estimates for meals and drinks consumed as part of official entertainment or during business travel);
b. housing services or accommodation of a type that can be used by all members of the household to which the employee belongs;
c. the services of vehicles or other durables provided for the personal use of employees;
d. goods and services produced as outputs from the employer's own processes of production, such as free travel for the employees of railways or airlines, or free coal for miners;
e. sports, recreation or holiday facilities for employees and their families;
f. transportation to and from work, free or subsidized car parking, when it would otherwise have to be paid for;
g. childcare for the children of employees.
However, employers are obliged to provide these facilities to attract and retain labour, and not because of the nature of the production process or the physical conditions under which employees have to work.
On balance, they are more like other forms of compensation of employees than intermediate consumption.
Many workers have to pay for transportation to and from work, car parking and childcare out of their own incomes, the relevant expenditures being recorded as final consumption expenditures.
The car may be provided free to the employee but for tax purposes an imputed cash amount is attached to the benefit.
In a country where many cars are provided as a fringe benefit to employees, the purchasing power of the employer may be such as to obtain a significant discount on the purchase price of the car.
Thus the employee receives a higher quality car than the cash equivalent would buy for an individual.
The value of the car to the employee should be estimated at the actual cost to the employer.
Its value may be estimated as the amount the employee would have to pay if average mortgage, or consumer loan, interest rates were charged less the amount of interest actually paid.
The sums involved could be large when nominal interest rates are very high because of inflation but otherwise they may be too small and too uncertain to be worth estimating.
Stock options
The details of valuing and recording of stock options are described in part 6 of chapter 17.
Employers' social contributions
Social security schemes are operated by general government; other employer-related social insurance schemes may be operated by the employers themselves, by an insurance corporation or may be an autonomous pension scheme.
The social contributions are then recorded as being paid by the employees as current transfers to the social security schemes or other employment-related social insurance schemes.
Although it is administratively more efficient for employers to pay the contributions on behalf of their employees, this must not be allowed to obscure the underlying economic reality.
The payment made by the employer to the social security scheme or other employment-related social insurance schemes is not, in fact, a current transfer to the fund on the part of the employer.
The transfer takes place between the employee and the social security scheme or other employment-related social insurance schemes out of remuneration provided by the employer.
The situation is parallel to one in which income taxes payable by employees are deducted by employers from the wages or salaries and paid directly to the tax authorities.
In this case, it is evident that the taxes are not current transfers payable by the employers.
It is customary to describe the employers' social contributions as being re-routed in the accounts via the employees' primary and secondary distribution of income accounts.
However, the accounts depict the various payables and receivables correctly.
The direct payment of social contributions, or income taxes, by employers to social security schemes, other employment-related social insurance schemes or tax authorities is merely a short cut taken on grounds of administrative convenience and efficiency.
The transactions are recorded simultaneously in all three accounts at the times when the work that gives rise to the requirement to pay the contributions is carried out.
The contributions paid to social security schemes may be fixed amounts per employee or may vary with the levels of wages or salaries paid.
The amounts paid under other employment-related social insurance schemes depend on the arrangements agreed between employers and employees.
A defined contribution scheme is one where the benefits are determined by the contributions actually made to the scheme.
Under a defined benefit scheme, the ultimate benefit is calculated by means of a formula embodied in the terms of the social insurance scheme.
Similarly, the increase in the employee's entitlement due to the period of employment in the current accounting period can also be determined by the formula.
Employers' actual contributions to social insurance schemes
The contributions relating to pensions and other benefits are shown separately.
Employers' imputed contribution to social insurance schemes
Employers' imputed pension contributions
In that case, the value of the costs of operating the scheme is treated as an imputed contribution payable to the employee as part of compensation of employees.
This amount is also recorded as final consumption expenditure by households on financial services.
It must be such that the sum of the employer's actual contribution plus the sum of any contribution by the employee plus the imputed contribution by the employer is equal to the increase in benefit due to current period employment plus the costs of operating the scheme.
It is possible that in this case the employer may take a “contribution holiday” and not make actual contributions for one or more periods.
Nonetheless, an imputed contribution by the employer should be calculated and recorded as described here.
Nevertheless, an imputed contribution by the employer is calculated and imputed as just described.
Employers' imputed non-pension contributions
In this situation, existing employees may be considered as being protected against various specified needs or circumstances, even though no reserves are built up to provide future entitlement.
Remuneration should therefore be imputed for such employees equal in value to the amount of social contributions that would be needed to secure the de facto entitlements to the social benefits they accumulate.
These amounts take into account any actual contributions made by the employer or employee and depend not only on the levels of the benefits currently payable but also on the ways in which employers' liabilities under such schemes are likely to evolve in the future as a result of factors such as expected changes in the numbers, age distribution and life expectancies of their present and previous employees.
Thus, the values that should be imputed for the contributions ought, in principle, to be based on the same kind of actuarial considerations that determine the levels of premiums charged by insurance enterprises.
Otherwise, the only practical alternative may be to use the unfunded non-pension benefits payable by the enterprise during the same accounting period as an estimate of the imputed remuneration that would be needed to cover the imputed contributions.
While there are obviously many reasons why the value of the imputed contributions that would be needed may diverge from the unfunded non-pension benefits actually paid in the same period, such as the changing composition and age structure of the enterprise's labour force, the benefits actually paid in the current period may nevertheless provide the best available estimates of the contributions and associated imputed remuneration.
7.71 Taxes are compulsory, unrequited payments, in cash or in kind, made by institutional units to government units.
They are described as unrequited because the government provides nothing in return to the individual unit making the payment, although governments may use the funds raised in taxes to provide goods or services to other units, either individually or collectively, or to the community as a whole.
7.72 The full classification of taxes on production and on imports consists of:
· Taxes on products,
·· Value added type taxes (VAT),
·· Taxes and duties on imports excluding VAT,
··· Import duties,
··· Taxes on imports excluding VAT and duties,
·· Export taxes,
·· Taxes on products, excluding VAT, import and export taxes,
· Other taxes on production.
7.73 At the highest level of the classification, taxes on production and on imports consist of taxes on products and other taxes on production.
Taxes on products consist of taxes on goods and services that become payable as a result of the production, sale, transfer, leasing or delivery of those goods or services, or as a result of their use for own consumption or own capital formation.
The way in which taxes on products are recorded in the SNA depends on the valuation used for the recording of output as described below.
Other taxes on production consist mainly of taxes on the ownership or use of land, buildings or other assets used in production or on the labour employed, or compensation of employees paid.
Whatever the valuation of output used, other taxes on production are always recorded as a charge on value added in the generation of income account.
7.74 A full explanation of the content of each of the categories of taxes on production and on imports is given below after a discussion of the rules of recording taxes.
This explanation provides links to the main publications of data on tax yields, the GFSM2001 and Revenue Statistics (Organisation for Economic Co-operation and Development (OECD), annual publication).
7.75 In business accounting, taxes on production, except invoiced VAT, are usually regarded as costs of production that may be charged against sales or other receipts when calculating profits for tax or other purposes.
They correspond to “indirect taxes” as traditionally understood, indirect taxes being taxes that supposedly can be passed on, in whole or in part, to other institutional units by increasing the prices of the goods or services sold.
However, it is extremely difficult, if not impossible, to determine the real incidence of different kinds of taxes, and the use of the terms “direct” and “indirect” taxes has fallen out of favour in economics and is not used in the SNA.
7.76 Taxes on production and imports are recorded under uses in the generation of income account and under resources in the allocation of primary income account.
7.77 In the generation of income account, taxes on imports are recorded only at the level of the total economy as they are not payable out of the value added of domestic producers.
Moreover, at the level of an individual institutional unit or sector, only those taxes on products that have not been deducted from the value of the output of that unit or sector need to be recorded under uses in its generation of income account.
These vary depending upon the way in which output is valued.
When output is valued at basic prices, all taxes (subsidies) on products payable (receivable) on the goods or services produced as outputs are deducted from (added to) the value of that output at producers' prices.
Therefore they do not have to be recorded under uses in the generation of income account of the units or sectors concerned, being recorded only at the level of the total economy, in the same way as taxes on imports.
When output is valued at producers' prices, all taxes or subsidies on products payable or receivable on outputs have to be recorded under uses in the generation of income accounts of the units or sectors concerned, except invoiced VAT or similar deductible taxes as invoiced VAT is never included in the value of output.
Non-deductible VAT and similar taxes are recorded under uses only at the level of the total economy, like taxes on imports.
7.78 Other taxes or subsidies on production, that is, taxes payable on the land, assets, labour, etc., employed in production are not taxes payable per unit of output and cannot be deducted from the producer's price.
They are recorded as being payable out of the value added of the individual producers or sectors concerned.
7.79 In the allocation of primary income account, taxes on production and imports appear under resources only for the general government sector and the total economy, apart from any such taxes payable to foreign governments.
7.80 One of the regulatory functions of governments is to forbid the ownership or use of certain goods or the pursuit of certain activities, unless specific permission is granted by issuing a licence or other certificate for which a fee is demanded.
If the issue of such licences involves little or no work on the part of government, the licences being granted automatically on payment of the amounts due, it is likely that they are simply a device to raise revenue, even though the government may provide some kind of certificate, or authorization, in return.
However, if the government uses the issue of licences to exercise some proper regulatory function, for example, checking the competence, or qualifications, of the person concerned, checking the efficient and safe functioning of the equipment in question, or carrying out some other form of control that it would otherwise not be obliged to do, the payments made should be treated as purchases of services from government rather than payments of taxes, unless the payments are clearly out of all proportion to the costs of providing the services.
The borderline between taxes and payments of fees for services rendered is not always clear-cut in practice (see paragraph 8.64 (c) below for a further explanation of this matter in the case of households).
The general case of government issued permits is discussed in part 5 of chapter 17.
7.81 The coverage of taxes in the SNA coincides with that of “tax revenue” as defined in the GFSM2001 except for implicit taxes resulting from the central bank imposing a higher rate of interest than the market rate.
In contrast to “taxes” as defined in Revenue Statistics, the SNA includes imputed taxes or subsidies resulting from the operation of official multiple exchange rates, imputed taxes and subsidies resulting from a central bank imposing interest rates above or below the market rate but does not classify social security contributions under the heading of taxes. Chapter 5 of the GFSM2001 contains a detailed listing and classification of taxes according to the nature of the tax.
Annex A of Revenue Statistics contains a closely related classification.
7.82 The categories of taxes distinguished in the SNA depend on the interaction of the following three factors, of which the nature of tax is only one:
a. The nature of the tax, as specified in the GFSM2001/ OECD classification;
b. The type of institutional unit paying the tax;
c. The circumstances in which the tax is payable.
Table 7.6: The generation of income account - taxes and subsidies on production - uses
7.83 Thus, payments of exactly the same tax may be recorded under two different headings in the SNA.
For example, payment of an excise duty may appear under “taxes on imports, except value added taxes (VAT) and duties” or under “taxes on products, except VAT, import and export taxes” depending upon whether the excise duty is paid on an imported or domestically produced good.
Similarly, payments of an annual tax on automobiles may be recorded under “other taxes on production” or under “current taxes on income, wealth, etc.” depending upon whether the tax is paid by an enterprise or by a household.
For this reason, it is not possible to arrive at the SNA categories simply by regrouping the GFSM2001/OECD classifications.
However, in order to take advantage of the existence of these detailed classifications, each category of tax listed below contains a cross-reference to the corresponding GFSM2001 and OECD classifications.
It should be noted, though, that the SNA categories are included within the GFSM2001 and OECD categories but may not be identical with them.
7.84 All taxes should be recorded on an accrual basis in the SNA, that is, when the activities, transactions or other events occur that create the liabilities to pay taxes.
However, some economic activities, transactions or events, which under tax legislation ought to impose on the units concerned the obligation to pay taxes, permanently escape the attention of the tax authorities.
It would be unrealistic to assume that such activities, transactions or events give rise to financial assets or liabilities in the form of payables and receivables.
For this reason the amounts of taxes to be recorded in the SNA are determined by the amounts due for payment only when evidenced by tax assessments, declarations or other instruments, such as sales invoices or customs declarations, that create liabilities in the form of clear obligations to pay on the part of taxpayers.
(In determining the amount of tax accruing, care must be taken not to include tax unlikely ever to be collected.)
Nevertheless, in accordance with the accrual principle, the times at which the taxes should be recorded are the times at which the tax liabilities arise.
For example, a tax on the sale, transfer or use of output should be recorded when that sale, transfer or use took place, which is not necessarily the same time as when the tax authorities were notified, when a tax demand was issued, when the tax was due to be paid or when the payment was actually made.
Some flexibility is permitted, however, as regards the time of recording of income taxes deducted at source.
7.85 In some countries, and for some taxes, the amounts of taxes eventually paid may diverge substantially and systematically from the amounts due to be paid to the extent that not all of the latter can be effectively construed as constituting financial liabilities as these are understood within the SNA.
In such cases, it may be preferable for analytic and policy purposes to ignore unpaid tax liabilities and confine the measurement of taxes within the SNA to those actually paid.
Nevertheless, the taxes actually paid should still be recorded on an accrual basis at the times at which the events took place that gave rise to the liabilities.
7.86 In principle, interest charged on overdue taxes or fines, or penalties imposed for the attempted evasion of taxes, should be recorded separately and not as taxes.
However, it may not be possible to separate payments of interest, fines or other penalties from the taxes to which they relate, so that in practice they are usually grouped with taxes.
Table 7.7: The allocation of primary income account - taxes and subsidies on production - resources
7.87 Table 7.6 shows the details of taxes and subsidies as uses in the generation of income account; table 7.7 shows them as resources in the allocation of primary income account.
Because of the way that taxes on products and subsidies on products are recorded in the SNA, no details of payables by sector appear in table 7.6, only the totals.
This is consistent with the presentation in table 6.1.
Taxes and subsidies on products payable by the rest of the world appear in the resources part of the allocation of primary income account, not shown here.
7.88 A tax on a product is a tax that is payable per unit of some good or service.
The tax may be a specific amount of money per unit of quantity of a good or service (the quantity units being measured either in terms of discrete units or continuous physical variables such as volume, weight, strength, distance, time, etc.), or it may be calculated ad valorem as a specified percentage of the price per unit or value of the goods or services transacted.
A tax on a product usually becomes payable when it is produced, sold or imported, but it may also become payable in other circumstances, such as when a good is exported, leased, transferred, delivered, or used for own consumption or own capital formation.
An enterprise may or may not itemize the amount of a tax on a product separately on the invoice or bill that it charges its customers.
7.89 A value added type tax (VAT) is a tax on goods or services collected in stages by enterprises but that is ultimately charged in full to the final purchasers.
Such taxes have already been described in paragraphs 6.55 to 6.62.
They are described as a “deductible” tax because producers are not usually required to pay to the government the full amount of the tax they invoice to their customers, being permitted to deduct the amount of tax they have been invoiced on their own purchases of goods or services intended for intermediate consumption or fixed capital formation.
VAT is usually calculated on the price of the good or service including any other tax on the product.
VAT is also payable on imports of goods or services in addition to any import duties or other taxes on the imports (GFSM2001 11411; OECD, 5111).
7.90 Taxes and duties on imports consist of taxes on goods and services that become payable at the moment when those goods cross the national or customs frontiers of the economic territory or when those services are delivered by non-resident producers to resident institutional units.
7.91 Imported goods on which all the required taxes on imports have been paid when they enter the economic territory may subsequently become subject to a further tax, or taxes, as they circulate within the economy.
For example, excise duties or sales taxes may become due on goods as they pass through the chain of wholesale or retail distribution, such taxes being levied on all goods at the same point, whether those goods have been produced by resident enterprises or imported.
Taxes payable subsequently on goods that have been already imported are not recorded as taxes on imports but as taxes on products, excluding VAT, import and export taxes.
7.92 Exceptionally, some taxes and duties may be payable on goods that physically enter the country but where there is no change of ownership so they are not treated as imports.
Nevertheless, any such taxes and duties are still included in the heading of taxes and duties on imports.
7.93 Import duties consist of customs duties, or other import charges, that are payable on goods of a particular type when they enter the economic territory.
The duties are specified under customs tariff schedules.
They may be intended as a means of raising revenue or discouraging imports in order to protect resident goods producers (GFSM2001, 1151; OECD, 5123).
7.94 Taxes on imports, excluding VAT and duties consist of all taxes (except VAT and import duties) as defined in the GFSM/OECD classifications that become payable when goods enter the economic territory or services are delivered by non-residents to residents.
They include the following:
a. General sales taxes: these consist of general sales taxes (excluding VAT) that are payable on imports of goods and services when the goods enter the economic territory or the services are delivered to residents (GFSM2001, 11412; OECD, 5110-5113);
b. Excise duties: excise duties are taxes levied on specific kinds of goods, typically alcoholic beverages, tobacco and fuels; they may be payable in addition to import duties when the goods enter the economic territory (GFSM2001, 1142; OECD, 5121);
c. Taxes on specific services: these may be payable when non-resident enterprises provide services to resident units within the economic territory (GFSM2001, 1156; OECD, 5126);
d. Profits of import monopolies: these consist of the profits transferred to governments of import marketing boards, or other public enterprises exercising a monopoly over the imports of some good or service.
The justification for treating these profits as implicit taxes on products is the same as that shown in paragraph 7.96 (e) for fiscal monopolies (GFSM2001, 1153; OECD, 5127);
e. Taxes resulting from multiple exchange rates: these consist of implicit taxes resulting from the operation of multiple exchange rates by the central bank or other official agency (GFSM2001, 1154).
7.95 Export taxes consist of taxes on goods or services that become payable by government when the goods leave the economic territory or when the services are delivered to non-residents.
They include the following:
a. Export duties: general or specific taxes or duties on exports (GFSM2001, 1152; OECD, 5124);
b. Profits of export monopolies: these consist of the profits transferred to governments of export marketing boards, or other public enterprises exercising a monopoly over the exports of some good or service.
The justification for treating these profits as implicit taxes on products is the same as that shown in paragraph 7.96(e) for fiscal monopolies (GFSM2001, 1153; OECD, 5124);
c. Taxes resulting from multiple exchange rates: these consist of implicit taxes on exports resulting from the operation of an official system of multiple exchange rates. (GFSM2001, 1154).
7.96 Taxes on products, excluding VAT, import and export taxes, consist of taxes on goods and services that become payable as a result of the production, sale, transfer, leasing or delivery of those goods or services, or as a result of their use for own consumption or own capital formation.
They include the following commonly occurring taxes:
a. General sales or turnover taxes: these include manufacturers', wholesale and retail sales taxes, purchase taxes, turnover taxes, and so on, but exclude VAT and other systems of deductible taxes (GFSM2001, 11412-11413; OECD, 5110-5113).
b. Excise duties: these consist of taxes levied on specific kinds of goods, typically alcoholic beverages, tobacco and fuels (GFSM2001, 1142; OECD, 5121).
c. Taxes on specific services: these include taxes on transportation, communications, insurance, advertising, hotels or lodging, restaurants, entertainments, gambling and lotteries, sporting events, etc. (GFSM2001, 1144; OECD, 5126).
d. Taxes on financial and capital transactions: these consist of taxes payable on the purchase or sale of non-financial and financial assets including foreign exchange.
They become payable when the ownership of land or other assets changes, except as a result of capital transfers (mainly inheritances and gifts) (GFSM2001, 1134; OECD, 4400).
They are treated as taxes on the services of the unit selling the asset.
e. Profits of fiscal monopolies: these consist of the profits of fiscal monopolies that are transferred to government.
Fiscal monopolies are public corporations, public quasi-corporations, or government-owned unincorporated enterprises that have been granted a legal monopoly over the production or distribution of a particular kind of good or service in order to raise revenue and not in order to further the interests of public economic or social policy.
Such monopolies are typically engaged in the production of goods or services that may be heavily taxed in other countries, for example, alcoholic beverages, tobacco, matches, petroleum products, salt, playing cards, etc.
The exercise of monopoly powers is simply an alternative way for the government to raise revenue instead of the more overt procedure of taxing the private production of such products.
In such cases the sales prices of the monopolies are deemed to include implicit taxes on the products sold.
While in principle only the excess of the monopoly profits over some notional “normal” profits should be treated as taxes, it is difficult to estimate this amount and, in practice, the value of the taxes should be taken as equal to the amount of the profits actually transferred from fiscal monopolies to government (GFSM2001, 1143; OECD, 5122).
When a public enterprise is granted monopoly powers as a matter of deliberate economic or social policy because of the special nature of the good or service or the technology of production (for example, public utilities, post offices and telecommunications, railways, etc.) it should not be treated as a fiscal monopoly.
As a general rule, fiscal monopolies tend to be confined to the production of consumer goods or fuels.
As the profits of a fiscal monopoly are calculated for the enterprise as a whole, it is not possible to estimate the average amount of the tax per unit of good or service sold when the enterprise has more than one good or service as output without introducing an assumption about the rates of tax on the different products.
Unless there is good reason otherwise, it should be assumed that the same ad valorem rate of tax is applied to all products, this rate being given by the ratio of the total value of the implicit taxes to the value of total sales less the total value of the implicit taxes.
It is necessary to establish this rate in order to be able to calculate the basic prices of the products concerned.
f. Taxes resulting from the central bank imposing a higher rate of interest than the market rate: These taxes are described in paragraphs 7.122 to 7.126.
(These taxes are not mentioned in GFSM2001.)
7.97 Other taxes on production consist of all taxes except taxes on products that enterprises incur as a result of engaging in production.
Such taxes do not include any taxes on the profits or other income received by the enterprise and are payable regardless of the profitability of the production.
They may be payable on the land, fixed assets or labour employed in the production process or on certain activities or transactions.
Other taxes on production include the following:
a. Taxes on payroll or work force: these consist of taxes payable by enterprises assessed either as a proportion of the wages and salaries paid or as a fixed amount per person employed.
They do not include compulsory social security contributions paid by employers or any taxes paid by the employees themselves out of their wages or salaries (GFSM2001, 112; OECD, 3000);
b. Recurrent taxes on land, buildings or other structures: these consist of taxes payable regularly, usually each year, in respect of the use or ownership of land, buildings or other structures utilized by enterprises in production, whether the enterprises own or rent such assets (GFSM2001, 1131; OECD, 4100);
c. Business and professional licences: these consist of taxes paid by enterprises in order to obtain a licence to carry on a particular kind of business or profession.
Licences such as taxi and casino licences are included.
In certain circumstances, licences to use a natural resource, however, are treated not as a tax but as the sale of an asset.
These circumstances are described in part 5 of chapter 17.
However, if the government carries out checks on the suitability, or safety of the business premises, on the reliability, or safety, of the equipment employed, on the professional competence of the staff employed, or on the quality or standard of goods or services produced as a condition for granting such a licence, the payments are not unrequited and should be treated as payments for services rendered, unless the amounts charged for the licences are out of all proportion to the costs of the checks carried out by governments (GFSM2001, 11452; OECD, 5210).
(See also paragraph 8.64 (c) for the treatment of licences obtained by households for their own personal use.);
d. Taxes on the use of fixed assets or other activities: these include taxes levied periodically on the use of vehicles, ships, aircraft or other machinery or equipment used by enterprises for purposes of production, whether such assets are owned or rented.
These taxes are often described as licences, and are usually fixed amounts that do not depend on the actual rate of usage (GFSM2001, 11451-11452 and 5.5.3; OECD, 5200);
e. Stamp taxes: these consist of stamp taxes that do not fall on particular classes of transactions already identified, for example, stamps on legal documents or cheques.
These are treated as taxes on the production of business or financial services.
However, stamp taxes on the sale of specific products, such as alcoholic beverages or tobacco, are treated as taxes on products (GFSM2001, 1161; OECD, 6200);
f. Taxes on pollution: these consist of taxes levied on the emission or discharge into the environment of noxious gases, liquids or other harmful substances.
They do not include payments made for the collection and disposal of waste or noxious substances by public authorities, which constitute intermediate consumption of enterprises (GFSM2001, 11452; OECD, 5200);
g. Taxes on international transactions: these consist of taxes on travel abroad, foreign remittances or similar transactions with non-residents (GFSM2001, 1156; OECD, 5127).
7.98 Subsidies are current unrequited payments that government units, including non-resident government units, make to enterprises on the basis of the levels of their production activities or the quantities or values of the goods or services that they produce, sell or import.
They are receivable by resident producers or importers.
In the case of resident producers they may be designed to influence their levels of production, the prices at which their outputs are sold or the remuneration of the institutional units engaged in production.
Subsidies have the same impact as negative taxes on production in so far as their impact on the operating surplus is in the opposite direction to that of taxes on production.
7.99 Subsidies are not payable to final consumers; current transfers that governments make directly to households as consumers are treated as social benefits.
Subsidies also do not include grants that governments may make to enterprises in order to finance their capital formation, or compensate them for damage to their capital assets, such grants being treated as capital transfers.
7.100 A subsidy on a product is a subsidy payable per unit of a good or service.
The subsidy may be a specific amount of money per unit of quantity of a good or service, or it may be calculated ad valorem as a specified percentage of the price per unit.
A subsidy may also be calculated as the difference between a specified target price and the market price actually paid by a buyer.
A subsidy on a product usually becomes payable when the good or service is produced, sold or imported, but it may also be payable in other circumstances such as when a good is transferred, leased, delivered or used for own consumption or own capital formation.
7.101 Import subsidies consist of subsidies on goods and services that become payable when the goods cross the frontier of the economic territory or when the services are delivered to resident institutional units.
They include implicit subsidies resulting from the operation of a system of official multiple exchange rates.
They may also include losses incurred as a matter of deliberate government policy by government trading organizations whose function is to purchase products from non-residents and then sell them at lower prices to residents (see also export subsidies in paragraph 7.103).
7.102 As in the case of taxes on products, subsidies on imported goods do not include any subsidies that may become payable on such goods after they have crossed the frontier and entered into free circulation within the economic territory of the country.
7.103 Export subsidies consist of all subsidies on goods and services that become payable by government when the goods leave the economic territory or when the services are delivered to non-resident units.
They include the following:
a. Direct subsidies on exports payable directly to resident producers when the goods leave the economic territory or the services are delivered to non-residents;
b. Losses of government trading organizations: these consist of losses incurred as a matter of deliberate government policy by government trading organizations whose function is to buy the products of resident enterprises and then sell them at lower prices to non-residents.
The difference between the buying and selling prices is an export subsidy (see also paragraph 7.105 (b));
c. Subsidies resulting from multiple exchange rates: these consist of implicit subsidies resulting from the operation of an official system of multiple exchange rates.
7.104 Export subsidies do not include the repayment at the customs frontier of taxes on products previously paid on goods or services while they were inside the economic territory.
They also exclude the waiving of the taxes that would be due if the goods were to be sold or used inside the economic territory instead of being exported.
General taxes on products such as sales or purchase taxes, VAT, excise taxes or other taxes on products are usually not payable on exports.
7.105 Other subsidies on products consist of subsidies on goods or services produced as the outputs of resident enterprises, or on imports, that become payable as a result of the production, sale, transfer, leasing or delivery of those goods or services, or as a result of their use for own consumption or own capital formation.
The most common types are the following:
a. Subsidies on products used domestically: these consist of subsidies payable to resident enterprises in respect of their outputs that are used or consumed within the economic territory;
b. Losses of government trading organizations: these consist of the losses incurred by government trading organizations whose function is to buy and sell the products of resident enterprises.
When such organizations incur losses as a matter of deliberate government economic or social policy by selling at lower prices than those at which they purchased the goods, the difference between the purchase and the selling prices should be treated as a subsidy.
Entries to the inventories of goods held by such organizations are valued at the purchasers' prices paid by the trading organizations and the subsidies are recorded at the time the goods are sold;
c. Subsidies to public corporations and quasi-corporations: these consist of regular transfers paid to public corporations and quasi-corporations that are intended to compensate for persistent losses (that is, negative operating surpluses) incurred on their productive activities as a result of charging prices that are lower than their average costs of production as a matter of deliberate government economic and social policy.
In order to calculate the basic prices of the outputs of such enterprises, it will usually be necessary to assume a uniform ad valorem implicit rate of subsidy on those outputs determined by the size of the subsidy as a percentage of the value of sales plus subsidy.
d. Subsidies resulting from the central bank accepting a lower rate of interest than the market rate: These subsidies are described in paragraphs 7.122 to 7.126.
(These subsidies are not mentioned in GFSM2001.)
7.106 Other subsidies on production consist of subsidies except subsidies on products that resident enterprises may receive as a consequence of engaging in production.
Examples of such subsidies are the following:
a. Subsidies on payroll or workforce: these consist of subsidies payable on the total wage or salary bill, or total work force, or on the employment of particular types of persons such as physically handicapped persons or persons who have been unemployed for long periods.
The subsidies may also be intended to cover some or all of the costs of training schemes organized or financed by enterprises;
b. Subsidies to reduce pollution: these consist of subsidies intended to cover some or all of the costs of additional processing undertaken to reduce or eliminate the discharge of pollutants into the environment.
7.107 Property income accrues when the owners of financial assets and natural resources put them at the disposal of other institutional units.
The income payable for the use of financial assets is called investment income while that payable for the use of a natural resource is called rent.
Property income is the sum of investment income and rent.
7.108 Investment income is the income receivable by the owner of a financial asset in return for providing funds to another institutional unit.
The terms governing the payment of investment income are usually specified in the financial instrument created when the funds are transferred from the creditor to the debtor.
Such arrangements are typically made only for a limited period of time, after which the funds must be returned.
The period of time may be several months or several years, though the arrangements may be renewed.
7.109 Rent is the income receivable by the owner of a natural resource (the lessor or landlord) for putting the natural resource at the disposal of another institutional unit (a lessee or tenant) for use of the natural resource in production.
The terms under which rent on a natural resource is payable are expressed in a resource lease.
A resource lease is an agreement whereby the legal owner of a natural resource that the SNA treats as having an infinite life makes it available to a lessee in return for a regular payment recorded as property income and described as rent.
A resource lease may apply to any natural resource recognized as an asset in the SNA.
For resources such as land it is assumed that, at the end of the resource lease, the land is returned to the legal owner in the same state as when the lease started.
For resources such as subsoil assets, though the resources potentially have an infinite life, they are not all returned to the legal owner at the end of the lease since the purpose of the lease is to permit extraction and disposal of the resource.
Although the resource may suffer depletion in excess of any new discoveries or re-evaluations (or natural replenishments for renewable resources) the fact that rent is shown without deduction for any consumption of natural resources means that, in the SNA, the resource is effectively treated as having an infinite life as far as income generation is concerned.
7.110 The regular payments made by the lessees of natural resources such as subsoil assets are often described as royalties, but they are treated as rent in the SNA.
The term “rent” is reserved in this manual for rent on natural resources, payments under operating leases being described as “rentals”.
7.111 Property incomes are classified in the following way in the SNA:
· Investment income
·· Interest
·· Distributed income of corporations
··· Dividends
··· Withdrawals from income of quasi-corporations
··· Reinvested earnings on foreign direct investment
·· Other investment income
··· Investment income attributable to insurance policyholders
··· Investment income payable on pension entitlements
··· Investment income attributable to collective investment fund shareholders
· Rent
Each of these items is described in more detail below.
Table 7.8: The allocation of primary income account - property income - uses
7.112 Table 7.8 shows an expansion of table 7.2 to include the details of property income payable and receivable.
7.113 Interest is a form of income that is receivable by the owners of certain kinds of financial assets, namely: deposits, debt securities, loans and (possibly) other accounts receivable for putting the financial asset at the disposal of another institutional unit.
Income on SDR holdings and allocations is also treated as interest.
The financial assets giving rise to interest are all claims of creditors over debtors.
Creditors lend funds to debtors that lead to the creation of one or other of the financial instruments listed above.
The amount the debtor owes the creditor is known as the principal.
Over time, the amount due to the creditor declines as the debt is repaid and increases as interest accrues.
The balance at any time is referred to as the principal outstanding.
7.114 Interest may be a predetermined sum of money or a fixed or variable percentage of the principal outstanding.
If some or all of the interest accruing to the creditor is not paid during the period in question, it may be added to the amount of the principal outstanding or it may constitute an additional, separate liability incurred by the debtor.
However, the interest may not necessarily be due for payment until a later date and sometimes not until the loan, or other financial instrument matures.
7.115 Interest is recorded on an accrual basis, that is, interest is recorded as accruing continuously over time to the creditor on the amount of principal outstanding.
The interest accruing is the amount receivable by the creditor and payable by the debtor.
It may differ not only from the amount of interest actually paid during a given period but also the amount due to be paid within the period.
Some financial instruments are drawn up in such a way that the debtor is obliged to make regular interest payments, period by period, as the interest accrues but in other cases there may be no such requirement.
As explained in part 4 of chapter 17, there are many different kinds of financial instruments and new instruments are continually being developed.
Interest may therefore be paid in various different ways, not always explicitly described as interest.
However, streams of net settlement payments under a swap or forward rate agreement contract (possibly described as “interest” in the contract) are not considered as property income but are to be recorded as transactions in financial derivatives in the financial account (see paragraphs 11.111 to 11.115).
7.116 As explained in chapter 6, the amounts of interest on loans and deposits payable to and receivable from financial corporations include a margin that represents an implicit payment for the services provided by the financial corporations in providing loans and accepting deposits.
The actual payments or receipts to or from financial corporations, described as bank interest, need to be partitioned so that SNA interest and the service charges may be recorded separately.
The amounts of SNA interest paid by borrowers to financial corporations are less than bank interest by the estimated values of the charges payable, while the amounts of SNA interest receivable by depositors is higher than bank interest by the amount of the service charge payable.
The values of the charges are recorded as sales of services in the production accounts of financial corporations and as uses in the accounts of their customers.
Table 7.8(cont): The allocation of primary income account - property income - resources
7.117 If bank interest is unpaid, it must be the case that both SNA interest and the service charge are unpaid.
In other words, the amount of principal outstanding increases by both the amount of SNA interest unpaid plus the unpaid service charge.
7.118 Certain financial instruments, for example, bills and zero coupon bonds, are such that the debtor is under no obligation to make any payments to the creditor until the asset matures.
In effect, no interest becomes due for payment until the end of the asset's life at which point the debtor's liability is discharged by a single payment covering both the amount of the funds originally provided by the creditor and the interest accumulated over the entire life of the asset.
In such cases the amount of interest payable over the life of the security is derived as the difference between the value at which the instrument is acquired and its value when it matures.
7.119 Chapter 17 contains in part 4 a section detailing how all the transactions and other flows associated with financial instruments are to be recorded in the accounts.
It contains, in particular, specific recommendations on how interest on each of the relevant financial instruments is to be calculated.
7.120 When a debtor discharges the principal by making payments equal in money value to the funds borrowed plus the interest accruing at the agreed rate over the time the debt exists, the associated interest payments are described as “nominal”. Such interest payments do not represent the “real” return to the creditor when, as a result of inflation, the purchasing power of the funds repaid is less than that of the funds borrowed.
In situations of chronic inflation the nominal interest payments demanded by creditors typically rise in order to compensate them for the losses of purchasing power that they expect when their funds are eventually repaid.
7.121 In practice, the interest recorded in the allocation of primary income account is not partitioned in this way.
The interest recorded is always the amount of nominal interest receivable or payable (plus or minus the charges for services of financial intermediaries for which no explicit charges are made, when relevant).
However, the information needed to calculate real interest is provided within the SNA as a whole since the real holding losses incurred by creditors are recorded in the revaluation account.
7.122 The central bank's main responsibility is to formulate and carry out part of economic policy.
It therefore often acts differently than other financial corporations and generally has received the authority from government to enforce its views.
In cases where the central bank uses its special powers to oblige market participants to pay transfers without a direct quid pro quo, it is appropriate to record the proceeds as implicit taxes.
Conversely, in cases when the central bank makes payments that are clearly for policy rather than commercial purposes, it may be argued that implicit subsidies are paid.
Three cases are considered:
a. The central bank is able to dictate below market rates for reserve deposits;
b. The central bank pays above market rates in a situation where the external value of the currency is under pressure;
c. The central bank acts as a development bank offering loans at below market rates to priority industries.
7.123 If central bank interest rates are out of line with those of commercial banks, then the difference between flows calculated using the reference rate and the actual rate set by the central bank should be recorded not as market output, specifically FISIM, but as implicit taxes and subsidies as described immediately below.
This procedure is analogous to and consistent with the practice of treating the difference between the market exchange rate and an alternative exchange rate imposed by the central bank as an implicit tax or subsidy.
7.124 Suppose the central bank pays only three per cent to a commercial bank on reserve deposits when the market rate is five per cent.
The following recording is made in the SNA:
a. Although the commercial bank actually receives only three per cent as “interest”, it is recorded as receiving five per cent as interest and paying two per cent to government as a tax on production;
b. Government is recorded as receiving two per cent from the commercial bank as a tax on production and as making a payment of a current transfer of two per cent to the central bank (both these flows are notional); and
c. The central bank actually pays three per cent to the commercial bank but is recorded as paying five per cent to the commercial bank and receiving two per cent from government in the form of a current transfer.
No financial account transactions are involved with this rerouting.
7.125 Suppose the central bank pays seven per cent to a commercial bank for a limited period when the currency is under pressure at a time when the market rate is five per cent.
The following recording is made in the SNA:
a. Although the commercial bank actually receives seven per cent as “interest”, it is recorded as receiving five per cent as interest and receiving another two per cent from government as a subsidy on production;
b. Government is recorded as paying two per cent to the commercial bank as a subsidy on production and as receiving a current transfer of two per cent from the central bank (both these flows are notional); and
c. The central bank actually pays seven per cent to the commercial bank but is recorded as paying five per cent to the commercial bank and paying two per cent to government in the form of a current transfer.
No financial account transactions are involved with this rerouting.
7.126 Suppose the central bank charges only three per cent to a priority industry when the market rate is five per cent.
The following recording is made in the SNA:
a. Although the priority industry actually pays only three per cent as “interest”, it is recorded as paying five per cent as interest but receiving two per cent from government as a subsidy on production;
b. Government is recorded as paying two per cent to the priority industry as a subsidy on production and as receiving a current transfer of two per cent from the central bank (both these flows are notional); and
c. The central bank actually receives three per cent from the priority industry but is recorded as receiving five per cent from the priority industry and paying two per cent to government in the form of a current transfer.
No financial account transactions are involved with this rerouting.
7.127 Corporations obtain funds by issuing shares in their equity that entitle the holders to a proportion of both distributed profits and the residual value of the assets of the corporation in the event of its liquidation.
Shareholders are the collective owners of a corporation.
7.128 Dividends are a form of investment income to which shareholders become entitled as a result of placing funds at the disposal of corporations.
Raising equity capital through the issue of shares is an alternative to borrowing as a way of raising funds.
In contrast to loan capital, however, equity capital does not give rise to a liability that is fixed in monetary terms and it does not entitle the holders of shares of a corporation to a fixed or predetermined income.
7.129 Just as corporations are understood in the SNA to cover a set of institutional units engaged in production that may be described by different names such as private or public corporations, private or public companies, cooperatives and limited liability partnerships, so dividends must also be understood to cover all distributions of profits by corporations to their shareholders or owners, by whatever name they are called.
Dividends may occasionally take the form of an issue of shares, but this excludes issues of bonus shares that simply represent a reclassification between own funds, reserves and undistributed profits.
7.130 Although dividends represent a part of income that has been generated over a substantial period, often six or twelve months, dividends are not recorded in the SNA on a strict accrual basis.
For a short period after a dividend is declared but before it is actually payable, shares may be sold “ex dividend” meaning that the dividend is still payable to the owner at the date the dividend was declared and not to the owner on the date payable.
A share sold “ex dividend” is therefore worth less than one sold without this constraint.
The time of recording of dividends in the SNA is the point at which the share price starts to be quoted on an ex dividend basis rather than at a price that includes the dividend.
7.131 Although dividends are notionally paid out of the current period's operating surplus, corporations often smooth the payments of dividends, often paying out rather less than operating surplus but sometimes paying out a little more, especially when the operating surplus itself is very low.
For practical reasons, no attempt is made in the SNA to align dividend payments with earnings except in one circumstance.
The exception occurs when the dividends are disproportionately large relative to the recent level of dividends and earnings.
In order to determine whether the dividends are disproportionately large, it is helpful to introduce the concept of distributable income.
Distributable income of a corporation is equal to entrepreneurial income, plus all current transfers receivable, less all current transfers payable and less the adjustment for the change in pension entitlements relating to the pension scheme of that corporation.
From this it is possible to look at the ratio of dividends to distributable income over the recent past and assess the plausibility that the current level of dividends declared is in line with past practice, accepting some degree of smoothing from year to year.
If the level of dividends declared is greatly in excess of this, the excess should be treated as a financial transaction, specifically the withdrawal of owners' equity from the corporation.
7.132 This treatment applies to all corporations, whether incorporated or quasi-corporate and whether subject to public, foreign or domestic private control.
There is more discussion on the case of publicly controlled corporations in chapter 22.
7.133 Withdrawal of income from a quasi-corporation consists of that part of distributable income that the owner withdraws from the quasi-corporation.
The income that the owners of quasi-corporations withdraw from them is analogous to the income withdrawn from corporations by paying out dividends to their shareholders.
It is therefore treated as property income accruing to the owners of quasi-corporations.
The withdrawal of income by the owners of quasi-corporations needs to be identified in order to be able to establish a full set of accounts for the entity and to treat it as an institutional unit separate from that of its owner.
7.134 Withdrawals of income from a quasi-corporation do not include withdrawals of funds realized by the sale or disposal of the quasi-corporation's assets: for example, the sale of inventories, fixed assets, land or other non-produced assets.
Such sales would be recorded as disposals in the capital account of the quasi-corporation and the transfer of the resulting funds would be recorded as a withdrawal from the equity of quasi-corporations in the financial account of the quasi-corporation and as a receivable by its owner(s).
Similarly, funds withdrawn by liquidating large amounts of accumulated retained savings or other reserves of the quasi-corporation, including those built up out of provisions for consumption of fixed capital, are treated as withdrawals from equity.
This situation corresponds to the treatment of superdividends payable by listed enterprises described immediately above.
7.135 Conversely, any funds provided by the owner(s) of a quasi-corporation for the purpose of acquiring assets or reducing its liabilities should be treated as additions to its equity.
Just as there cannot be a negative distribution from the distributable income of corporations in the form of negative dividends, it is not possible to have a negative distribution from the distributable income of quasi-corporations in the form of negative withdrawals.
However, if the quasi-corporation is owned by government, and if it runs a persistent operating deficit as a matter of deliberate government economic and social policy, any regular transfers of funds into the enterprise made by government to cover its losses should be treated as subsidies, as explained in paragraph 7.105 (c) above.
7.136 As explained in chapter 26, a foreign direct investment enterprise is a corporate or unincorporated enterprise in which a foreign investor has made a foreign direct investment.
A foreign direct investment enterprise may be either:
a. The (unincorporated) branch of a non-resident corporate or unincorporated enterprise: this is treated as a quasi-corporation; or
b. A corporation in which at least one foreign investor (which may, or may not, be another corporation) owns sufficient shares to have an effective voice in its management.
7.137 Actual distributions may be made out of the distributable income of foreign direct investment enterprises in the form of dividends or withdrawals of income from quasi-corporations.
The payments made in these ways to foreign direct investors are recorded in the accounts of the SNA and in the balance of payments as international flows of investment income.
However, both systems also require the retained earnings of a foreign direct investment enterprise to be treated as if they were distributed and remitted to foreign direct investors in proportion to their ownership of the equity of the enterprise and then reinvested by them by means of additions to equity in the financial account.
The imputed remittance of these retained earnings is classified in the SNA as a form of distributed income that is separate from, and additional to, any actual payments of dividends or withdrawals of income from quasi-corporations.
7.138 The rationale behind this treatment is that since a foreign direct investment enterprise is, by definition, subject to control, or influence, by a foreign direct investor or investors, the decision to retain some of its earnings within the enterprise must represent a deliberate investment decision on the part of the foreign direct investor(s).
In practice, the great majority of direct investment enterprises are subsidiaries of foreign corporations or the unincorporated branches of foreign enterprises, which are completely controlled by their parent corporations or owners.
7.139 Retained earnings of a corporation or quasi-corporation are equal to the distributable income less the dividends payable or withdrawal of income from the corporation or quasi-corporation respectively.
If the foreign direct investment enterprise is wholly owned by a single foreign direct investor (for example, a branch of a foreign enterprise), the whole of the retained earnings is deemed to be remitted to that investor and then reinvested, in which case the saving of the enterprise must be zero.
When a foreign direct investor owns only part of the equity of the direct investment enterprise, the amount that is deemed to be remitted to, and reinvested by, the foreign investor is proportional to the share of the equity owned.
7.140 A suggestion has been made to extend the treatment of distributing retained earnings to the owners of other corporations, in particular of public corporations.
Investigation of this suggestion is part of the research agenda.
7.141 Investment income attributable to insurance policyholders should be divided between holders of non-life and life policies.
7.142 For non-life policies, the insurance corporation has a liability towards the policyholder of the amount of the premium deposited with the corporation but not yet earned, the value of any claims due but not yet paid and a reserve for claims not yet notified or notified but not yet settled.
Set against this liability, the insurance corporation holds technical reserves.
The investment income on these reserves is treated as income attributable to the policyholders, then distributed to the policyholders in the allocation of primary income account and paid back to the insurance corporation as a premium supplement in the secondary distribution of income account.
The reserves concerned are those where the insurance corporation recognizes a corresponding liability to the policyholders.
7.143 For an institutional unit operating a standardized guarantee scheme against fees, there may also be investment income earned on the reserves of the scheme and this should also be shown as being distributed to the units paying the fees (who may not be the same units which stand to benefit from the guarantees) and treated as supplementary fees in the secondary distribution of income account.
7.144 For life insurance policies and annuities, the insurance corporations have liabilities towards the policyholders and annuitants equal to the present value of expected claims.
Set against these liabilities, the insurance corporations have funds belonging to the policyholders consisting of bonuses declared for with-profits policies as well as provisions for both policyholders and annuitants of the payment of future bonuses and other claims.
These funds are invested in a range of financial assets and possibly non-financial assets such as property and land.
The insurance enterprises receive investment income from the financial assets and land, and earn net operating surpluses from the renting or leasing of residential and other buildings.
In addition they make holding gains or losses on the financial assets held.
The bonuses declared to holders of life policies should be recorded as investment income receivable by the policyholders (resident and possibly non-resident households) and are treated as premium supplements paid by the policyholders to the insurance corporations.
As with interest and dividends, the source of the investment income payable may not be investment income itself, but for the SNA, the decisive criterion for recording this as investment income is that of the recipient who regards these payments as the rewards for putting financial assets at the disposal of the insurance corporation.
7.145 The investment income attributed to life insurance policyholders is recorded as payable by the insurance company and receivable by households in the allocation of primary income account.
This amount carries through automatically to saving without the need of an adjustment item as is the case for changes in pension entitlements.
The investment income is treated as premium supplements and so forms part of the net premiums, less claims, recorded in the financial account as payable by households and receivable by insurance corporations as changes in life insurance and annuities entitlements.
7.146 Unlike the case of non-life insurance or pensions, the amount carries through to saving and is then recorded as a financial transaction, specifically an increase in the liabilities of life insurance corporations, in addition to new premiums less the service charge offset by claims payable.
7.147 As explained in part 2 of chapter 17, pension entitlements arise from one of two different types of pension schemes.
These are defined contribution schemes (sometimes described as money purchase schemes) and defined benefit schemes.
7.148 A defined contribution scheme is one where contributions by both employers and employees are invested on behalf of the employees as future pensioners.
No other source of funding of pensions is available and no other use is made of the funds.
The investment income payable on defined contribution entitlements is equal to the investment income on the funds plus any net operating surplus earned by renting land or buildings owned by the fund.
7.149 A defined benefit scheme is one where the benefits payable are defined in terms of a formula.
The formula often takes the form of a link to final salary (hence the alternative terminology final salary schemes) or average salary over some defined period.
The formula may be expressed in many ways including, for example, a variation on a defined contribution scheme such as the growth in earnings of the funds or a minimum percentage growth.
7.150 Because the benefits are calculated according to a formula, it is possible to determine the level of entitlements necessary at any point in time to meet future obligations.
The value of the entitlements is the present value of all future payments, calculated using actuarial assumptions about life lengths and economic assumptions about the interest or discount rate.
The present value of the entitlements existing at the start of the year increases because the date when the entitlements become payable has become one year nearer.
The amount of the increase is not affected by whether the pension scheme actually has sufficient funds to meet all the obligations nor by the type of increase in the funds, whether it is investment income or holding gains, for example.
7.151 Investment income attributed to holders of shares or units in investment funds (including mutual funds and unit trusts) is shown as two separate items.
The first of these is the dividends distributed to investment fund shareholders.
The second is retained earnings attributed to investment fund shareholders.
7.152 The dividend component is recorded in exactly the same manner as dividends for individual corporations, as described above.
The retained earnings component is recorded using the same principles as those described for foreign direct investment enterprises but is calculated excluding any reinvested earnings on foreign direct investment.
That is to say, the remaining retained earnings are distributed to the shareholders (leaving the investment fund with no saving) and are reinjected into the fund by the shareholders in a transaction recorded in the financial account.
7.153 The distinction between rent and the rentals receivable and payable under operating leases is basic to the SNA as rent is a form of property income and rentals are treated as sales or purchases of services.
Rentals are payments made under an operating lease to use a fixed asset belonging to another unit where that owner has a productive activity in which the fixed assets are maintained, replaced as necessary and made available on demand to lessees.
Rent is a payment made under a resource lease for the use of a natural resource.
Not only is the type of asset leased different as between rent and rentals, so is the nature of the lease.
The distinction between different types of leases is explained in part 5 of chapter 17.
7.154 Rent is the income receivable by the owner of a natural resource (the lessor or landlord) for putting the natural resource at the disposal of another institutional unit (a lessee or tenant) for use of the natural resource in production.
Two particular cases of resource rent are considered, rent on land and rent on subsoil resources.
Resource rent on other natural resources follows the pattern laid out by these two instances.
7.155 Rent on land is recorded as accruing continuously to the landowner throughout the period of the contract agreed between the landowner and the tenant.
The rent recorded for a particular accounting period is equal to the value of the accumulated rent payable over that period of time, as distinct from the amount of rent due to be paid during that period or the rent actually paid.
7.156 Rent may be paid in cash or in kind.
Under share-cropping or similar schemes, the value of the rent payable is not fixed in advance in monetary terms and is measured by the value at basic prices of the crops that the tenants are obliged to provide to the landowner under the contract between them.
Rent on land also includes the rent payable to the owners of inland waters and rivers for the right to exploit such waters for recreational or other purposes, including fishing.
7.157 A landowner may be liable to pay land taxes or incur certain maintenance expenses solely as a consequence of owning the land.
By convention, such taxes or expenses are treated as payable by the tenant who is deemed to deduct them from the rent that he would otherwise be obliged to pay to the landowner.
Rent reduced in this way by taxes or other expenses for which the landowner is liable is described as “after-tax rent”. By adopting the convention that the tenant pays only the after-tax rent, the taxes or expenses are recorded in the production or generation of income accounts of the tenant.
This treatment does not change the income of the tenant.
The convention avoids the necessity to create a notional enterprise for the landowner as the lessor.
7.158 Rentals payable on buildings or other structures are treated as purchases of services.
In practice, however, a single payment may cover both rent and rentals when an institutional unit rents land that consists of land improvements and land in its natural state and may include any buildings situated on it in a single contract, or lease, in which the two kinds of payments are not differentiated from each other.
For example, a farmer may rent a farmhouse, farm buildings, cultivated and grazing farmland in a contract in which only a single payment is required to cover all four.
If there is no objective basis on which to split the payment between rent on land and rental on the buildings, it is recommended to treat the whole amount as rent when the value of the grazing land is believed to exceed the value of the buildings and cultivated land, and as a rental otherwise.
7.159 The ownership of subsoil assets in the form of deposits of minerals or fossil fuels (coal, oil or natural gas) depends upon the way in which property rights are defined by law and also on international agreements in the case of deposits below international waters.
In some cases the assets may belong to the owner of the ground below which the deposits are located but in other cases they may belong to a local or central government unit.
7.160 The owners of the assets, whether private or government units, may grant leases to other institutional units permitting them to extract such deposits over a specified period of time in return for the payment of rent.
These payments are often described as royalties, but they are essentially rent that accrues to owners of the assets in return for putting them at the disposal of other institutional units for specified periods of time and are treated as such in the SNA.
The rent may take the form of periodic payments of fixed amounts, irrespective of the rate of extraction or, more commonly, they may be a function of the quantity or volume of the asset extracted.
Enterprises engaged in exploration may make payments to the owners of surface land in exchange for the right to make test drillings or investigate by other means the existence and location of subsoil resources.
Such payments are also to be treated as rent even though no extraction is taking place.
8.1 This chapter describes two accounts that show how income is redistributed between institutional units by means of the payments and receipts of current transfers.
This redistribution represents the second stage in the process of income distribution as shown in the accounts of the SNA.
The two accounts are the secondary distribution of income account and the redistribution of income in kind account.
8.2 The secondary distribution of income account shows how the balance of primary incomes of an institutional unit or sector is transformed into its disposable income by the receipt and payment of current transfers excluding social transfers in kind.
8.3 The redistribution of income in kind account takes the process of income redistribution one stage further.
It shows how the disposable incomes of households, non-profit institutions serving households (NPISHs) and government units are transformed into their adjusted disposable incomes by the receipt and payment of social transfers in kind.
Non-financial and financial corporations are not involved in this process.
8.4 Much of this chapter is concerned with the detailed definition, description and classification of the various types of current transfers recorded in the secondary distribution of income and redistribution of income in kind accounts.
As part of this description, there is discussion of the composition of social insurance schemes and their role as the recipients of social contributions and dispensers of social benefits.
8.5 Understanding the difference between four related concepts is crucial to an appreciation of the two accounts described in this chapter.
These terms are social insurance, social security, social assistance and social transfers in kind.
These are explained very briefly below and in greater detail in later parts of the chapter.
8.6 Social insurance schemes are schemes in which social contributions are paid by employees or others, or by employers on behalf of their employees, in order to secure entitlement to social insurance benefits, in the current or subsequent periods, for the employees or other contributors, their dependants or survivors.
The social benefits payable by social insurance schemes are of two kinds, pensions and other benefits such as medical, education, housing or unemployment benefits.
Pensions are always paid in cash; non-pension benefits may be payable in cash or in kind.
8.7 Two main types of social insurance schemes may be distinguished:
a. The first consists of social security schemes covering the entire community, or large sections of the community, that are imposed, controlled and financed by government units.
Pensions payable under these schemes may or may not be related to levels of salary of the beneficiary or history of employment.
Non-pension benefits are less frequently linked to salary levels.
b. The second type consists of other employment-related schemes.
These schemes derive from an employer-employee relationship in the provision of pension entitlement that is part of the conditions of employment and where responsibility for the provision of benefits does not devolve to general government under social security provisions.
8.8 Social assistance benefits in cash are current transfers payable to households by government units or NPISHs to meet the same needs as social insurance benefits but which are not made under a social insurance scheme requiring participation usually by means of social contributions.
8.9 Social transfers in kind consist of social security benefits payable in kind and social assistance benefits payable in kind.
8.10 Apart from the balance of primary incomes, the balancing item carried forward from the primary distribution of income accounts, and disposable income, the balancing item on the secondary distribution of income account, all the entries in the secondary distribution of income account consist of current transfers.
A transfer is a transaction in which one institutional unit provides a good, service or asset to another unit without receiving from the latter any good, service or asset in return as a direct counterpart.
Transfers are separated into current transfers and capital transfers.
Capital transfers are unrequited transfers where either the party making the transfer realizes the funds involved by disposing of an asset (other than cash or inventories), relinquishing a financial claim (other than accounts receivable) or the party receiving the transfer is obliged to acquire an asset (other than cash) or both conditions are met.
Capital transfers are often large and irregular but neither of these are necessary conditions for a transfer to be considered a capital rather than a current transfer.
Other transfers are described as current.
A current transfer is a transaction in which one institutional unit provides a good or service to another unit without receiving from the latter any good or service directly in return as counterpart and does not oblige one or both parties to acquire, or dispose of, an asset.
The concept of a transfer is explained in more detail in section B below.
8.11 Table 8.1 shows the concise form of the secondary distribution of income account identifying the main kinds of transfers.
Current transfers may take place between resident and non-resident units as well as between resident institutional units.
8.12 The transfers payable by an institutional unit or sector are recorded on the left-hand side of the account under uses.
For example, in table 8.1, taxes on income, wealth etc. payable by the household sector are recorded at the intersection of the row for this item and the uses column for the household sector.
The transfers receivable by an institutional unit or sector are recorded on the right-hand side of the account under resources.
For example, social benefits other than social transfers in kind receivable by the household sector are recorded at the intersection of the row for this item and the resources column for the household sector.
8.13 In accordance with the general accounting rules of the SNA, the entries in the account, apart from the balancing items, refer to amounts payable and receivable.
These may not necessarily coincide with the amounts actually paid or received in the same accounting period.
Any amounts payable and not paid or receivable and not received are recorded in the financial account, under accounts receivable or payable.
8.14 Three main kinds of current transfers are distinguished in the secondary distribution of income account:
a. Current taxes on income, wealth, etc.;
b. Social contributions and benefits;
c. Other current transfers.
Their general nature and the purposes they serve are summarized in the following paragraphs.
8.15 Current taxes on income, wealth, etc. consist mainly of taxes on the incomes of households or profits of corporations and of taxes on wealth that are payable regularly every tax period (as distinct from capital taxes levied infrequently).
In table 8.1, current taxes on income, wealth, etc. receivable appear under resources for the general government sector and possibly the rest of the world, while taxes payable appear under uses for the household and non-financial and financial corporation sectors, and possibly for the non-profit institutions serving households (NPISHs) sector and the rest of the world.
8.16 Social contributions are actual or imputed payments to social insurance schemes to make provision for social insurance benefits to be paid.
Social contributions may be made by employers on behalf of their employees.
As such they form part of compensation of employees and are included in the balance of primary income of households.
In the secondary distribution of income account, these contributions together with payments made by households themselves in their capacity as employed, self-employed or unemployed persons, are recorded as payable by households and receivable by the units responsible for the social insurance schemes.
Social contributions may be receivable by a unit in any sector in their capacity as providing a social insurance scheme to their employees (even exceptionally households if in their capacity as unincorporated enterprises they run a social insurance scheme for their employees) or by a third-party unit designated as the institution responsible for administering the scheme.
Most contributions, however, are likely to be recorded under resources for the general government sector, including social security funds, and insurance corporations and pension funds in the financial corporations sector.
Social contributions are recorded under uses only for households, either resident or non-resident.
8.17 Social benefits are current transfers received by households intended to provide for the needs that arise from certain events or circumstances, for example, sickness, unemployment, retirement, housing, education or family circumstances.
Social benefits may be provided under social insurance schemes or by social assistance.
Table 8.1: The secondary distribution of income account - concise form - uses
8.18 Social insurance benefits in kind provided by employers are treated as if they were paid in cash and included in the secondary distribution of income account.
If this were not so, the purchase of the goods and services concerned would have to be shown as incurred by employers but these products are not intermediate consumption and enterprises cannot have final consumption.
However, social insurance benefits in kind provided under general social security schemes and all social assistance benefits in kind constitute social transfers in kind and are therefore included only in the redistribution of income in kind account.
In table 8.1 social benefits, except social transfers in kind, are recorded under resources for the household sector and may, in principle, be recorded under uses for any sector operating a social insurance scheme in its capacity as an employer.
8.19 Other current transfers consist of all current transfers between resident institutional units, or between resident and non-resident units, other than current taxes on income, wealth, etc., social contributions and benefits, and social benefits in kind.
The group includes net premiums and claims under non-life insurance policies, current transfers between different kinds of government units, usually at different levels of government, and also between general government and foreign governments, as well as current transfers to and from NPISHs and between resident and non-resident households.
8.20 Disposable income is the balancing item in the secondary distribution of income account.
It is derived from the balance of primary incomes of an institutional unit or sector by:
a. Adding all current transfers, except social transfers in kind, receivable by that unit or sector; and
b. Subtracting all current transfers, except social transfers in kind, payable by that unit or sector.
8.21 Disposable income, like the balance of primary incomes, may be recorded gross or net of consumption of fixed capital.
As elsewhere, the net measure is conceptually preferable but it may be necessary to record the balancing items gross because of the difficulty of measuring consumption of fixed capital even though consumption of fixed capital is a cost of production and not a component of income.
The following discussion refers to the net concept of disposable income.
8.22 Disposable income is not all available in cash.
The inclusion in the accounts of non-monetary transactions associated with production for own consumption or barter, or with remuneration in kind, means that households have no choice but to consume certain kinds of goods and services for which the values of the corresponding expenditures out of disposable income are imputed.
Although social transfers in kind from government units or NPISHs to households are recorded separately in the redistribution of income in kind account, other transfers in kind are recorded in the secondary distribution of income account together with transfers in cash.
They may include international transfers of food, clothing, medicines, etc. to relieve the effects of famine or other hardships caused by natural disasters or wars.
The recipients of transfers in kind, other than social transfers in kind, are, by convention, recorded as making imputed consumption expenditures on the goods or services in question as if the transfers were received in cash.
8.23 Households also receive several kinds of imputed property income flows that are not available to the household to spend as they wish.
These include investment income on insurance, annuity and pension entitlements as well as income from investment fund shares or units.
Income flows related to investment funds and to life insurance and annuities that are not treated as social insurance do carry through to disposable income even though they automatically go to increase the assets held by households in the financial institutions managing these funds and policies and the household therefore has no discretion about spending these amounts.
Income flows that are related to non-life insurance and social insurance schemes are recorded in the secondary distribution of income account as if repaid to the non-life insurance corporation or social insurance schemes and are not included in disposable income except for the part already committed to meet the service charge associated with the insurance policy or social insurance scheme.
Table 8.1(cont): The secondary distribution of income account - concise form - resources
8.24 For households, disposable income includes the excess of SNA interest over bank interest on deposits by households and the excess of bank interest over SNA interest on loans to households.
These differences are also precommitted to meeting the indirect service charges levied by financial institutions on loans and deposits (FISIM).
(For other institutional sectors excluding financial intermediaries, FISIM is treated as part of intermediate consumption so is excluded from income measures.)
8.25 Disposable income as measured in the SNA can be compared with the concept of income as it is generally understood in economics.
From a theoretical point of view, income is often defined as the maximum amount that a household, or other unit, can consume without reducing its real net worth.
However, the real net worth of a unit may be changed as a result of the receipt or payment of capital transfers and as a result of real holding gains or losses that accrue on its assets or liabilities.
It may also be changed by events such as natural disasters that change the volume of assets.
Capital transfers, real holding gains or losses and other changes in the volume of assets due to the effect of events such as natural disasters are specifically excluded from disposable income as measured here.
(Capital transfers are recorded in the capital account of the SNA, while other changes in the volume of assets and real holding gains or losses are recorded in the other changes in assets accounts.)
Disposable income can be interpreted in a narrow sense as the maximum amount that a household or other unit can afford to spend on consumption goods or services during the accounting period without having to finance its expenditures by reducing its cash, by disposing of other financial or non-financial assets or by increasing its liabilities.
This concept is equivalent to the economic theoretical concept only when the net worth at the beginning of the period is not changed by capital transfers, other changes in the volume of assets or real holding gains or losses recorded during the period.
8.26 Most current transfers, whether in cash or in kind, can take place between resident and non-resident institutional units as well as between resident units.
Gross or net national disposable income may be derived from gross or net national income by:
a. Adding all current transfers in cash or in kind receivable by resident institutional units from nonresident units; and
b. Subtracting all current transfers in cash or in kind payable by resident institutional units to non-resident units.
8.27 Among the more important current transfers taking place between residents and non-residents are the following:
a. Social contributions or benefits;
b. Current taxes on income or wealth;
c. Non-life insurance premiums and claims;
d. Current international cooperation; that is, current transfers between different governments, such as transfers under aid programmes intended to sustain the consumption levels of populations affected by war or natural disasters such as droughts, floods or earthquakes;
e. Remittances between resident and non-resident households.
8.28 The net disposable income of a country is a better measure than its net national income (NNI) for purposes of analysing its consumption possibilities.
8.29 Apart from the balancing items, disposable income and adjusted disposable income, all the entries in the redistribution of income in kind account consist of social transfers in kind.
Social transfers in kind consist only of social benefits in kind and transfers of individual non-market goods and services provided to resident households by government units, including social security funds, and NPISHs.
Table 8.2: The redistribution of income account - uses
8.30 As social transfers in kind only take place between government units, NPISHs and households, the redistribution of income in kind account is not needed for the non-financial and financial corporate sectors.
8.31 The social transfers in kind payable by government units or NPISHs are recorded on the left-hand side of their redistribution of income in kind accounts under uses.
For example, in table 8.2, the value of individual non-market goods or services provided free, or at prices that are not economically significant, by government units is recorded at the intersection of the row for this item and the uses column for the general government sector.
Social transfers receivable by the household sector are recorded on the right-hand side of their account under resources.
As only the household sector receives social transfers in kind, the resources columns for the other four sectors are empty.
8.32 Adjusted disposable income is the balancing item in the redistribution of income in kind account.
It is derived from the disposable income of an institutional unit or sector by:
a. Adding the value of the social transfers in kind receivable by that unit or sector; and
b. Subtracting the value of the social transfers in kind payable by that unit or sector.
Adjusted disposable income, like disposable income, may be recorded gross or net of consumption of fixed capital.
Because social transfers in kind are payable only by government units and NPISHs and only receivable by households, it follows that the adjusted disposable incomes of the general government and NPISHs sectors are lower than their disposable incomes, while the adjusted disposable income of the household sector exceeds its disposable income.
In both cases, the value of the difference is equal to the total value of social transfers in kind so adjusted disposable income for the total economy is the same as its disposable income.
8.33 The adjusted disposable income of a household can be interpreted as measuring the maximum value of the final consumption goods or services that it can afford to consume in the current period without having to reduce its cash, dispose of other assets or increase its liabilities for the purpose.
Its consumption possibilities are determined not only by the maximum amount it can afford to spend on consumption goods and services (its disposable income), but also by the value of the consumption goods and services it receives from government units or NPISHs as social transfers in kind.
Conversely, the adjusted disposable income of general government can be interpreted as measuring the maximum value of the collective services that it can afford to provide to the community without having to dispose of assets or increase its liabilities.
8.34 As defined above, a transfer is a transaction in which one institutional unit provides a good, service or asset to another unit without receiving from the latter any good, service or asset in return as a direct counterpart.
A unit making a transfer receives no specific quantifiable benefit in return that can be recorded as part of the same transaction.
Nevertheless, the payment of a social insurance contribution or non-life insurance premium may entitle the unit making the payment to some contingent future benefits.
For example, a household may be entitled to receive some social benefits should certain events occur or certain conditions prevail.
In addition, all resident households benefit from services provided by government units.
However, the fact that a transfer has been made does not automatically mean a benefit will be received by the unit making the transfer nor, if it does, that the amount of the benefit is commensurate with the amount of the transfer.
It is for this reason that the SNA holds there is no direct counterpart to the transfer.
8.35 The process of government collecting taxes and using the revenue generated to pay for the provision of government services and the process by which an insurance corporation accepts premiums for non-life insurance in a year from many policyholders and pays claims to a relatively small number of them are essentially distributive in nature.
Within a single accounting period, an institutional unit (the government or the insurance corporation) receives and disburses funds according to a given set of procedures but the events giving rise to payments to and disbursements by these units are not directly related.
Table 8.2(cont): The redistribution of income account - resources
8.36 In contrast, payments of premiums on individual life insurance policies taken out by members of households on their own initiative outside any social insurance scheme, and the corresponding benefits, are not transfers.
For life insurance, the insurance corporation manages funds on behalf of named households.
There is relatively little redistribution among the various households holding similar policies and each household is able to predict with a reasonable degree of certainty what they will receive and when.
Such policies therefore constitute the acquisition and disposal of financial assets and are recorded as such in the financial accounts of the SNA as components of the change in the life insurance and annuities entitlements.
8.37 It could be argued that pension schemes function in a manner similar to life insurance schemes and that they should be treated as savings schemes of individual households.
There are three reasons in the SNA why the designation of social insurance scheme is used to cover employment-related pensions, a designation that brings with it the recording of contributions and benefits as transfers.
The first is that social security is essentially a process of redistribution across a wide section of the population with many individuals contributing so that those in need may benefit.
A second reason is that pensions provide a regular and stable source of funding postretirement.
In other economic applications, such as surveys of income and expenditure, pensions are regarded as income rather than dis-saving.
The third reason for treating pensions as income rather than dis-saving is that they frequently cease when the pensioner (or survivor) dies.
In this respect, pension entitlements are distinct from other financial assets that are unaffected by the death of the owner.
8.38 Transfers may be either current or capital.
In order to distinguish one from the other, it is preferable to focus on the special characteristics of capital transfers.
As noted above, a capital transfer is one that is linked to the acquisition or disposal of an asset, either financial or non-financial.
Institutional units must be capable of distinguishing capital from current transfers and must be presumed to treat capital transferred during the course of the accounting period in the same way as capital held throughout the period.
For example, a prudent household will not treat a capital transfer that happens to be received during a particular period as being wholly available for final consumption within the same accounting period.
Conversely, a household making a capital transfer (for example, the payment of an inheritance tax) will not plan to reduce its final consumption by the whole amount of the transfer.
Unless institutional units are capable of distinguishing capital from current transfers and react differently to them, it becomes impossible to measure income, both in theory and in practice.
8.39 Current transfers consist of all transfers that are not transfers of capital.
They directly affect the level of disposable income and should influence the consumption of goods or services.
In practice, capital transfers tend to be large, infrequent and irregular, whereas current transfers tend to be comparatively small and are often made frequently and regularly.
However, while size, frequency and regularity help to distinguish current from capital transfers they do not provide satisfactory criteria for defining the two types of transfer.
For example, social security benefits in the form of maternity or death benefits are essentially current grants designed to cover the increased consumption expenditures occasioned by births or deaths, even though the events themselves are obviously infrequent.
8.40 It is possible that some cash transfers may be regarded as capital by one party to the transaction and as current by the other.
For example, the payment of an inheritance tax may be regarded as a capital transfer by the household but as a current transfer by government.
Similarly, a large country that regularly makes investment grants to a number of smaller countries may regard the outlays as current, even though they may be specifically intended to finance the acquisition of assets.
In an integrated system of accounts such as the SNA, however, it is not feasible to have the same transaction classified differently by the two parties.
Accordingly, a transfer should be classified as capital for both parties if it clearly involves a transfer of an asset for one of the parties.
8.41 Although no good, service or asset is received in return as a direct counterpart to a transfer, the recording of a transfer nevertheless must give rise to four entries in the accounts.
The ways in which transfers (whether in cash or in kind) and social transfers in kind are recorded are shown below in the following examples.
8.42 The first example is of a current transfer in cash, such as the payment of a social security benefit in cash.
The transfer is recorded as payable by the social security fund and receivable by the household in the secondary distribution of income account.
(If the transfer were a capital transfer, it would be recorded in the capital account instead of the secondary distribution of income account.)
The consequence of the transfer is a reduction in the financial assets (or increase in the financial liabilities) of the social security scheme and an increase in the financial assets of the household.
The eventual use of the cash by the household is recorded subsequently as a separate transaction.
8.43 The next example is of an enterprise producing medicines that donates some of its output free of charge to a charity (NPISH).
As mentioned above, two transactions should be recorded, each with four entries.
In this example, the first is the provision of a transfer by the enterprise to the NPISH, the second is the purchase of the medicine by the NPISH using the funds made available by the transfer.
Both transactions imply two entries in the financial account and, if both transactions are completed in the same accounting period, these changes in financial assets will cancel each other for both units involved, leaving only four entries apparent in the accounts.
However, if there is a difference in the timing between when the transfer is recorded and when the delivery of the medicine takes place, it will be necessary to include the entries in the financial accounts, specifically under other accounts receivable or payable.
8.44 A more complex variant occurs if enterprise A purchases the medicine from enterprise B and then gives it to an NPISH.
Although A actually purchases the goods from B, they do not form part of A's intermediate consumption or capital formation.
Nor can they be recorded as final consumption by A, since it is an enterprise.
As before, a cash transfer is imputed from enterprise A to the NPISH and an imputed purchase by the NPISH.
If both transactions occur in the same accounting period, the two entries of the financial account for the NPISH will cancel, leaving only six of the eight entries apparent in the accounts.
8.45 In the SNA, final consumption expenditure is incurred only by general government, NPISHs and households.
All consumption expenditure by households is incurred on their own behalf.
Consumption expenditure by general government, on the other hand, is either for the benefit of the community at large (collective consumption) or for the benefit of individual households.
This distinction between collective and individual consumption expenditure is of considerable importance in the SNA and is discussed in detail in chapter 9.
Consumption expenditures by general government and NPISHs on behalf of households (their individual consumption expenditures) are undertaken for the purpose of making social transfers in kind.
They cover the non-market output of both general government and NPISHs delivered to households free, or at prices that are not economically significant, as well as goods and services bought from market producers and provided to households free or at prices that are not economically significant.
8.46 The next example is of an education service provided to a household by a non-market producer owned by a government unit.
The provision of the service is actually recorded twice in the accounts of the SNA.
First, it is recorded in the traditional way in national accounting as output by government in the production account and final consumption expenditure of government in the use of income account.
As this transaction is recorded as an internal transaction within government, it leads to only two, not four entries, in the accounts, both being recorded under general government.
8.47 This method of recording does not portray the fact that in reality the education service is actually provided to a household as a social transfer in kind paid for by government.
8.48 For a social transfer in kind, the consumption of the education service is recorded as actual consumption by households in the use of adjusted disposable income account.
The resources for this are provided via social transfers in kind from government to households in the redistribution of income in kind account.
(The distinction between actual consumption and consumption expenditure for households, general government and NPISHs is further elaborated in chapter 9.)
8.49 The final example is a more complex case involving two interrelated transactions in which a government unit, or NPISH, purchases a good or service, such as a medicine, from a market producer and then provides it free to a household.
8.50 Under the normal recording in the SNA, four entries would be required showing the sale of the medicine by the enterprise and the purchase as final consumption expenditure of government with consequences for the financial accounts for both units.
The purchase would be recorded as consumption expenditure by government.
When explicitly recording social transfers in kind, the entry for the consumption expenditure by government is replaced by two entries for the social transfers in kind and one for actual consumption by households.
The entries for the financial account remain as under the normal recording of government purchases.
8.51 This example also covers the case in which the household purchases the medicine directly from a pharmacist and is then reimbursed by the social security fund, other government unit or NPISH that ultimately bears the cost.
In this case, the household is not recorded as actually incurring any expenditure, the expenditure being attributed to the social security fund or other unit that ultimately bears the cost.
Any difference between the time when the household incurs the expense and the time when it is reimbursed is shown as an other account receivable (by households) and payable (by the unit ultimately bearing the cost).
8.52 Taxes are compulsory, unrequited payments, in cash or in kind, made by institutional units to government units.
They are transfers because the government provides nothing directly in return to the individual unit paying the tax, although governments do provide goods and services to the community as a whole or to individual units, or groups of units, depending on their general economic and social policy.
Current taxes on income, wealth, etc. consist mainly of taxes levied on the incomes of households and corporations.
They constitute charges against income and are recorded under uses for the households and corporations sectors in the secondary distribution of income account.
The taxes may also be payable by non-residents or possibly by government units or NPISHs. Current taxes on income, wealth, etc. were described as “direct taxes” in the past, but the terms “direct” and “indirect” are no longer used in the SNA, as explained in chapter 7.
The taxes cannot be described simply as “current taxes on income and wealth” because they include some periodic taxes on households that are assessed neither on the income nor the wealth of the household or its members, for example, poll taxes.
8.53 The general nature of taxes and the accounting rules governing their recording in the SNA were described in paragraphs 7.80 to 7.86.
For convenience, these paragraphs are repeated below.
8.54 One of the regulatory functions of governments is to forbid the ownership or use of certain goods or the pursuit of certain activities, unless specific permission is granted by issuing a licence or other certificate for which a fee is demanded.
If the issue of such licences involves little or no work on the part of government, the licences being granted automatically on payment of the amounts due, it is likely that they are simply a device to raise revenue, even though the government may provide some kind of certificate, or authorization, in return.
However, if the government uses the issue of licences to exercise some proper regulatory function, for example, checking the competence, or qualifications, of the person concerned, checking the efficient and safe functioning of the equipment in question, or carrying out some other form of control that it would otherwise not be obliged to do, the payments made should be treated as purchases of services from government rather than payments of taxes, unless the payments are clearly out of all proportion to the costs of providing the services.
The borderline between taxes and payments of fees for services rendered is not always clear-cut in practice (see paragraph 8.64 (c) for a further explanation of this matter in the case of households).
8.55 The coverage of taxes in the SNA coincides with that of “tax revenue” as defined in the GFSM2001, and also with “taxes” as defined in Revenue Statistics.
In contrast to the latter, the SNA includes imputed taxes or subsidies resulting from the operation of official multiple exchange rates, imputed taxes and subsidies resulting from a central bank imposing interest rates above or below the market rate and does not classify social security contributions under the heading of taxes. Chapter 5 of the GFSM2001 contains a detailed listing and classification of taxes according to the nature of the tax.
Annex A of Revenue Statistics contains a closely related classification.
8.56 The categories of tax distinguished in the SNA depend on the interaction of the following three factors, of which the nature of tax is only one:
a. The nature of the tax, as specified in the GFSM2001/ OECD classification;
b. The type of institutional unit paying the tax;
c. The circumstances in which the tax is payable.
8.57 Thus, payments of exactly the same tax may be recorded under two different headings in the SNA.
For example, payment of an excise duty may appear under “taxes on imports, except value added taxes (VAT) and duties” or under “taxes on products, except VAT, import and export taxes” depending upon whether the excise duty is paid on an imported or domestically produced good.
Similarly, payments of an annual tax on automobiles may be recorded under “other taxes on production” or under “current taxes on income, wealth, etc.” depending upon whether the tax is paid by an enterprise or by a household.
For this reason, it is not possible to arrive at the SNA categories simply by regrouping the GFSM2001/OECD classifications.
However, in order to take advantage of the existence of these detailed classifications, each category of tax listed below contains a cross-reference to the corresponding GFSM2001 and OECD classifications.
It should be noted, though, that the SNA categories are included within the GFSM2001 and OECD categories but may not be identical with them.
8.58 All taxes should be recorded on an accrual basis in the SNA, that is, when the activities, transactions or other events occur that create the liabilities to pay taxes.
However, some economic activities, transactions or events, which under tax legislation ought to impose on the units concerned the obligation to pay taxes, permanently escape the attention of the tax authorities.
It would be unrealistic to assume that such activities, transactions or events give rise to financial assets or liabilities in the form of payables and receivables.
For this reason the amounts of taxes to be recorded in the SNA are determined by the amounts due for payment only when evidenced by tax assessments, declarations or other instruments, such as sales invoices or customs declarations, that create liabilities in the form of clear obligations to pay on the part of taxpayers.
(In determining the amount of tax accruing, care must be taken not to include tax unlikely ever to be collected.)
Nevertheless, in accordance with the accrual principle, the times at which the taxes should be recorded are the times at which the tax liabilities arise.
For example, a tax on the sale, transfer or use of output should be recorded when that sale, transfer or use took place, which is not necessarily the same time as that at which the tax authorities were notified, at which a tax demand was issued, at which the tax was due to be paid or the payment was actually made.
Some flexibility is permitted, however, as regards the time of recording of income taxes deducted at source (see paragraph 8.61).
8.59 In some countries, and for some taxes, the amounts of taxes eventually paid may diverge substantially and systematically from the amounts due to be paid to the extent that not all of the latter can be effectively construed as constituting financial liabilities as these are understood within the SNA.
In such cases, it may be preferable for analytic and policy purposes to ignore unpaid tax liabilities and confine the measurement of taxes within the SNA to those actually paid.
Nevertheless, the taxes actually paid should still be recorded on an accrual basis at the times at which the events took place that gave rise to the liabilities.
8.60 In principle, interest charged on overdue taxes or fines, or penalties imposed for the attempted evasion of taxes, should be recorded separately and not as taxes.
However, it may not be possible to separate payments of interest, fines or other penalties from the taxes to which they relate, so that in practice they are usually grouped with taxes.
8.61 Taxes on income consist of taxes on incomes, profits and capital gains.
They are assessed on the actual or presumed incomes of individuals, households, NPISHs or corporations.
They include taxes assessed on holdings of property, land or real estate when these holdings are used as a basis for estimating the income of their owners.
In some cases the liability to pay income taxes can only be determined in a later accounting period than that in which the income accrues.
Some flexibility is therefore needed in the time at which such taxes are recorded.
Income taxes deducted at source, such as pay-as-you-earn taxes and regular prepayments of income taxes, may be recorded in the periods in which they are paid and any final tax liability on income can be recorded in the period in which the liability is determined.
Taxes on income include the following types of taxes:
a. Taxes on individual or household income: These consist of personal income taxes, including those deducted by employers (pay-as-you-earn taxes), and surtaxes.
Such taxes are usually levied on the total declared or presumed income from all sources of the person concerned: compensation of employees, property income, pensions, etc., after deducting certain agreed allowances.
Taxes on the income of owners of unincorporated enterprises are included here (GFSM2001, 1111; OECD, 1110);
b. Taxes on the income of corporations:
These consist of corporate income taxes, corporate profits taxes, corporate surtaxes, etc.
Such taxes are usually assessed on the total incomes of corporations from all sources and not simply profits generated by production (GFSM2001, 1112; OECD, 1210);
c. Taxes on capital gains:
These consist of taxes on the capital gains (described as holding gains in the SNA) of persons or corporations that become due for payment during the current accounting period, irrespective of the periods over which the gains have accrued.
They are usually payable on nominal, rather than real, capital gains and on realized, rather than unrealized, capital gains (GFSM2001, 1111-1113; OECD, 1120, 1220);
d. Taxes on winnings from lotteries or gambling: These are taxes payable on the amounts received by winners as distinct from taxes on the turnover of producers that organize gambling or lotteries, which are treated as taxes on products (GFSM2001, 1111-113; OECD, 1120).
8.62 The calculation of taxes due on income frequently exempts some part of income from taxes; such exemptions being described as tax allowances.
In addition, or as an alternative, a government may determine an amount that is treated as if it is tax already paid; such an amount is called a tax credit.
In some cases, if the tax due is less than the tax credit, the balance may be payable to the beneficiary; this is called a payable tax credit.
There is more discussion on tax credits in chapter 22.
8.63 Current taxes on capital consist of taxes that are payable periodically, usually annually, on the property or net wealth of institutional units, excluding taxes on land or other assets owned or rented by enterprises and used by them for production, such taxes being treated as other taxes on production.
They also exclude taxes on property or wealth levied infrequently and at irregular intervals, or in exceptional circumstances (for example, death duties), such taxes being treated as capital taxes.
They also exclude income taxes assessed on the basis of the value of the property owned by institutional units when their incomes cannot be estimated satisfactorily, such taxes being recorded under the previous heading, taxes on income.
Current taxes on capital include the following:
a. Current taxes on land and buildings:
These consist of taxes payable periodically, in most cases annually, on the ownership of land or buildings excluding taxes on land or buildings rented or owned by enterprises and used by them in production including use for owner-occupied dwelling services (GFSM2001, 1131; OECD, 4100);
b. Current taxes on net wealth:
These consist of taxes payable periodically, in most cases annually, on the value of land or fixed assets less any debt incurred on those assets, excluding taxes on assets owned by enterprises and used by them in production (GFSM2001, 1132; OECD, 4200);
c. Current taxes on other assets:
These include taxes payable periodically, usually annually, on assets such as jewellery or other external signs of wealth (GFSM2001, 1136; OECD, 4600).
8.64 Miscellaneous current taxes consist of various different kinds of taxes payable periodically, usually annually, of which the most common are the following:
a. Poll taxes:
These are taxes levied as specific amounts of money per adult person, or per household, independently of actual or presumed income or wealth.
The amounts levied may vary, however, according to the circumstances of the person or household (GFSM2001, 1162; OECD, 6000);
b. Expenditure taxes: These are taxes payable on the total expenditures of persons or households instead of on their incomes.
Expenditure taxes are alternatives to income taxes and may be levied at progressively higher rates in the same way as personal income taxes, depending upon the total level of expenditure.
They are uncommon in practice (GFSM2001, 1162; OECD, 6000);
c. Payments by households to obtain certain licences:
Payments by persons or households for licences to own or use vehicles, boats or aircraft and for licences for recreational hunting, shooting or fishing are treated as current taxes.
Payments for all other kinds of licences (for example, driving or pilot's licences, television or radio licences, firearm licences, etc.) or fees to government (for example, payments for passports, airport fees, court fees, etc.) are treated as purchases of services rendered by governments.
The boundary between taxes and purchases of services is based on the practices actually followed in the majority of countries in their own accounts (GFSM2001, 11451 and 11452; OECD, 5200);
d. Taxes on international transactions:
These consist of taxes on travel abroad, foreign remittances, foreign investments, etc. except those payable by producers (GFSM2001, 1155 and 1156; OECD, 5127).
8.65 A social insurance scheme is an insurance scheme where the following two conditions are satisfied:
a. the benefits received are conditional on participation in the scheme and constitute social benefits as this term is used in the SNA; and
b. at least one of the three conditions following is met:
· Participation in the scheme is obligatory either by law or under the terms and conditions of employment of an employee, or group of employees;
· The scheme is a collective one operated for the benefit of a designated group of workers, whether employed or non-employed, participation being restricted to members of that group;
· An employer makes a contribution (actual or imputed) to the scheme on behalf of an employee, whether or not the employee also makes a contribution.
Social insurance schemes may be organized privately or by government units.
Social insurance benefits may be provided in cash or in kind.
They become payable when certain events occur, or certain circumstances exist, that may adversely affect the welfare of the households concerned either by imposing additional demands on their resources or reducing their incomes.
The contingencies covered are liable to vary from scheme to scheme.
However, the identification of certain receivables as social insurance benefits depends not just on the contingencies covered but also the way in which coverage is provided.
8.66 Social benefits may be payable under social insurance schemes or social assistance but similar circumstances may be covered under both.
8.67 Social benefits may be divided into two main classes; pensions and all other social benefits, described in the SNA as non-pension benefits.
The most important type of pension is one paid to an individual when they cease employment on retirement.
Pensions may also be payable to other individuals, for example a bereaved spouse or someone suffering from a permanent disability.
Payments made while a person is temporarily unemployed or suffering a medical condition that prevents them from working for a period are treated as non-pension benefits.
8.68 Six kinds of circumstances illustrate when non-pension social benefits may be payable as follows:
a. The beneficiaries, or their dependants, require medical, dental or other treatments, or hospital, convalescent or long-term care, as a result of sickness, injuries, maternity needs, chronic invalidity, old age, etc.
The social insurance benefits are usually provided in kind in the form of treatment or care provided free or at prices that are not economically significant, or by reimbursing expenditures made by households.
Social insurance benefits in cash may also be payable to beneficiaries needing health care;
b. The beneficiaries have to support dependants of various kinds: spouses, children, elderly relatives, invalids, etc.
The social insurance benefits are usually paid in cash in the form of regular dependants' or family allowances;
c. The beneficiaries suffer a reduction in income as a result of not being able to work full-time.
The social insurance benefits are usually paid regularly in cash for the duration of the condition.
In some instances a lump sum may be provided additionally or instead of the regular payment.
People may be prevented from working for various different reasons, including involuntary unemployment, including temporary layoffs and short-time working, and sickness, accidental injury, the birth of a child, etc. that prevents a person from working, or from working full-time;
d. The beneficiaries suffer a reduction in income because of the death of the main income earner.
The social insurance benefits are usually paid in cash in the form of regular allowances or, in some instances, a lump sum;
e. The beneficiaries are provided with housing either free or at prices that are not economically significant or by reimbursing expenditure made by households;
f. The beneficiaries are provided with allowances to cover education expenses incurred on behalf of themselves or their dependants; education services may occasionally be provided in kind.
8.69 The above are typical circumstances in which social benefits are payable.
However, the list is illustrative rather than exhaustive.
It is possible, for example, that under some schemes other benefits may be payable.
Conversely, by no means do all schemes provide benefits in all the circumstances listed above.
In practice, the scope of social benefits is liable to vary significantly from country to country, or from scheme to scheme within the same country.
8.70 In cases where no qualifying contribution has to have been paid in order to receive benefits, these are treated as part of social assistance.
Typically social assistance is provided by government to all persons who are in need without any formal requirement to participate as evidenced by the payment of contributions, for example.
The extent of social assistance varies very considerably from country to country.
In many countries, benefits are only payable to people on low incomes.
This is often described as saying the benefits are “means-tested”, where the term “means” is used in the sense of indicating a maximum qualifying level of income.
8.71 Social insurance schemes are intended to cover beneficiaries and their dependants during their working lives and usually also into retirement, whether they are employees, employers, own-account workers, or persons temporarily without employment.
Eligibility for social insurance benefits requires social contributions to have been paid by, or on behalf of, the beneficiaries or their dependants in the current or previous accounting periods.
As already noted, the social contributions may be payable not only by the participants themselves but also by employers on behalf of their employees.
8.72 Social insurance schemes must be organized collectively for groups of workers or be available by law to all workers or designated categories of workers, possibly including non-employed persons as well as employees.
They may range from private schemes arranged for selected groups of workers employed by a single employer to social security schemes covering the entire labour force of a country.
Participation in such schemes may be voluntary for the workers concerned, but it is more common for it to be obligatory.
For example, participation in schemes organized by individual employers may be required by the terms and conditions of employment collectively agreed between employers and their employees.
Participation in nationwide social security schemes organized by government units may be compulsory by law for the entire labour force, except perhaps for persons who are already covered by private schemes.
8.73 Many social insurance schemes are organized collectively for groups of workers so that those participating do not have to take out individual insurance policies in their own names.
In such cases, there is no difficulty about distinguishing social insurance from insurance taken out on a personal basis.
However, some social insurance schemes may permit, or even require, participants to take out policies in their own names.
In order for an individual policy to be treated as part of a social insurance scheme the eventualities or circumstances against which the participants are insured must be of the kind listed in paragraph 8.65, and in addition, one or more of the following conditions must be satisfied:
a. Participation in the scheme is obligatory either by law for a specified category of worker, whether employer or non-employed, or under the terms and conditions of employment of an employee, or group of employees;
b. The scheme is a collective one operated for the benefit of a designated group of workers, whether employees or non-employed, participation being restricted to members of that group;
c. An employer makes a contribution (actual or imputed) to the scheme on behalf of an employee, whether or not the employee also makes a contribution.
The premiums payable, and claims receivable, under individual policies taken out under a social insurance scheme are recorded as social contributions and social insurance benefits.
Table 8.3: The secondary distribution of income account - with details for taxes and social contributions - uses
8.74 Social insurance schemes are essentially schemes in which workers are obliged, or encouraged, by their employers or by general government to take out insurance against certain eventualities or circumstances that may adversely affect their welfare or that of their dependants.
When individuals take out insurance policies in their own names, on their own initiative and independently of their employers or government, the premiums payable and claims receivable are not treated as social contributions and social insurance benefits, even though the policies may be taken out against the same kinds of eventualities or situations as are covered by social insurance schemes such as accident, ill health, retirement, etc.
The premiums payable and claims receivable under such individual insurance policies are recorded as current transfers in the secondary distribution of income account in the case of non-life insurance, while the premiums payable and claims receivable under individual life insurance policies are recorded as acquisitions and disposals of financial assets in the financial account.
8.75 As can be seen from the consideration of individual insurance policies, the nature of the benefit is by no means sufficient to identify the social nature of the transactions.
For example, the receipt of free medical services does not always constitute a social benefit.
If the medical services received by one household are paid for by another, they are not social benefits but transfers between households.
First aid rendered to employees at work is not a social benefit, the costs involved being recorded as intermediate consumption of the employer.
In general, social benefits cannot be provided by one household to another except in the relatively rare case in which an unincorporated enterprise owned by a household operates a social insurance scheme for the benefit of its employees.
8.76 All social insurance schemes are founded on an employment relationship even if the participants are self-employed or currently unemployed.
Two main types of social insurance schemes may be distinguished:
a. The first consists of social security schemes covering the entire community, or large sections of the community, that are imposed, controlled and financed by government units.
Pensions payable under these schemes may or may not be related to levels of salary of the beneficiary or history of employment.
Non-pension benefits are less frequently linked to salary levels.
b. The second type consists of other employment-related schemes.
These schemes derive from an employer-employee relationship in the provision of pension and possibly other entitlements that are part of the conditions of employment and where responsibility for the provision of benefits does not devolve to general government under social security provisions.
Making this distinction is difficult in some countries where the ultimate responsibility for administering the scheme and paying benefits is undertaken by government on behalf of many employers not working for general government.
In countries where there is no such arrangement, social insurance schemes organized by government units for their own employees, as opposed to the working population at large, should, if possible, be included in the group of other employment-related schemes and not remain within social security schemes.
Table 8.3(cont): The secondary distribution of income account - with details for taxes and social contributions -resources
8.77 In many countries, social security schemes are by far the most important category of social insurance schemes and it is worth summarizing their main characteristics.
8.78 The terms of employment-related social insurance schemes are determined by employers, possibly in conjunction with their employees and may be administered by the employers themselves.
8.79 Not all employment-related social insurance schemes are adequately funded.
Social security schemes
Social security schemes are schemes imposed, controlled and financed by government units for the purpose of providing social benefits to members of the community as a whole, or of particular sections of the community.
When social security funds are established for this purpose and are organized and managed separately from other government funds, they are treated as separate institutional units.
Their receipts consist mainly of contributions paid by individuals and by employers on behalf of their employees, but they may also include transfers from other government funds.
The payment of social security contributions by, or on behalf of, certain specified individuals, such as employees, is generally compulsory by law, but some other individuals may choose to pay voluntarily in order to qualify for the receipt of social security benefits.
Other employment-related social insurance schemes
Very often, though, the funds may form a separate institutional unit (an autonomous pension fund) or may be managed by an insurance corporation on behalf of the employer.
In the secondary distribution of income account, transactions are recorded as if the schemes are adequately funded and any discrepancies are recorded in the financial account under other accounts receivable or payable.
A complete overview of the recording of pension schemes is given in part 2 of chapter 17.
8.80 In the SNA, all contributions to social insurance schemes are shown as made by households.
There are, however, several elements to the amounts paid.
The first is the amount of contributions made by the employer on behalf of the employee.
This amount is part of compensation of employees and is received by households in the generation of income account and thus forms part of the balance of primary income of households.
The second element consists of actual payments made by households in the current period to cover their share of the pension and other provisions relating to the current period.
These payments may be made by employees, self-employed persons or non-employed persons.
A third element consists of contribution supplements, or imputed payments by households, which represent the return to the pension fund of the property income earned on the start of year pension entitlement and on any reserves established for non-pension benefits.
These are attributed to households in the allocation of primary income account and, like the employers' contributions, are included in the balance of primary incomes for households.
Set against these is the service fee charged by the unit administering the pension scheme.
This may be an explicit charge made by a unit separate from the employer or may be the sum of costs incurred by the employer in administering the scheme if it is not a separate unit.
Depending on the nature of the scheme, either the contribution by the employer or the property income includes the value of the service charge.
Table 8.4: The secondary distribution of income account - with details of social benefits - uses
8.81 Table 8.3 shows table 8.1 with social contributions disaggregated according to these criteria.
For practical reasons, the tables show the employers' contributions and property income at the same value as recorded in the distribution of primary income account with the service charge shown separately.
This charge, though, is not a redistributive transaction but part of output and consumption expenditure.
It is included in the table to clarify the way in which social insurance is funded.
Each heading is discussed briefly in turn below.
A more extensive discussion of the transactions to be recorded for pension schemes is given in part 2 of chapter 17.
8.82 Net social contributions are the actual or imputed contributions made by households to social insurance schemes to make provision for social benefits to be paid.
Fees charged by the administrators of the schemes are excluded from contributions payable.
These fees are treated as consumption expenditure by households in the use of income account.
8.83 This item is exactly the same as that recorded in the allocation of primary income account and described in paragraph 7.62.
8.84 This item is exactly the same as that recorded in the allocation of primary income account and described in paragraphs 7.63 to 7.69.
8.85 Households' actual social contributions are social contributions payable on their own behalf by employees, self-employed or non-employed persons to social insurance schemes.
They are recorded on an accrual basis.
For those in work, this is at the times when the work that gives rise to the liability to pay the contributions is carried out.
8.86 Households' social contribution supplements consist of the property income earned during the accounting period on the stock of pension and non-pension entitlements.
This amount is included in property income payable by the administrators of pension funds to households in the allocation of primary income account.
Table 8.4(cont): The secondary distribution of income account - with details of social benefits - resources
8.87 Social benefits are current transfers received by households intended to provide for the needs that arise from certain events or circumstances.
Benefits are divided into two groups, the first consists of pensions and the second of all other benefits, described as non-pension benefits.
These cover, for example, payments due in respect of sickness, unemployment, housing, education or family circumstances.
8.88 The way in which the receipt of social benefits is recorded in the accounts depends on a number of intersecting factors.
As well as the type of social benefit, pension or non-pension, it is necessary to specify whether the benefits are payable under a social insurance scheme or not, whether they are paid by government or not and whether they are paid in cash or not.
The following sections discuss the different institutional arrangements for paying benefits, then the different types of benefits before summarizing how these appear in the accounts.
8.89 Social benefits may be payable as part of a social insurance scheme or by government as social assistance.
Unlike social assistance, all social insurance schemes require formal participation by the beneficiaries.
This participation is linked to employment and is usually evidenced by the payment of contributions to the scheme either by the participants, an employer or both.
Social security is an important kind of social insurance and like social assistance, is provided by government.
It is therefore necessary to determine when a social benefit provided by government is made as part of social security and when it is part of social assistance.
8.90 There is a fundamental difference between government provision of benefits under social security and under social assistance although the proportion of benefits allocated to one or the other heading varies considerably from country to country depending on national institutional arrangements.
8.91 Social security is one form of a social insurance scheme.
The beneficiary is enrolled in the scheme or participates usually by paying a contribution to the scheme or having one paid to the scheme on his behalf.
The payment may be made by the employer or a family member or even in some cases by government itself (perhaps for the duration of unemployment, for instance).
Because it is a contributory scheme, there is some sort of contract between the government and the beneficiaries.
In some countries this contract has a strict legal form and cannot be altered retrospectively; in others the contract is much looser and retroactive adjustments are possible.
For all social security schemes, the difference between the contributions receivable and the benefits payable is monitored in the context of the government budget since persistent deficits cannot be sustained for ever without intervention to raise contributions, lower benefits or both.
8.92 Social assistance is distinguished from social security in that eligibility to receive social assistance benefits is not dependent on having elected to participate as demonstrated by the payment of contributions.
Usually all members of resident households are entitled to apply for social assistance but the conditions under which it is granted are often restrictive.
Frequently there is an assessment of available income in relation to the perceived needs of a household and only those households falling below a given threshold may be entitled to this type of social assistance.
(This process is often described as “means-testing”.)
8.93 The extent to which social assistance provides incomes to households varies extensively from country to country.
In some countries, indeed, there is no social security and all provision by government of income to meet social needs is provided without contribution but this is not the general case.
8.94 Social benefits may be paid under three different sorts of institutional arrangements.
They may be paid by government as either social assistance or social security or they may be paid by other employment related social insurance schemes.
Pensions under all three arrangements are recorded in a similar way but with a distinction drawn between those that are made under social assistance and those that are made under social insurance.
Non-pension benefits payable in cash are also recorded in a similar way but with a distinction drawn between those that are made under social assistance and those that are made under social insurance.
Non-pension benefits payable in kind are recorded differently for those payable by government, whether as social assistance or social security.
8.95 The main social benefit payable in cash is pension provision for retirees.
However, others may be entitled to pensions, for example widows and the permanently disabled.
Pensions are almost always paid in cash though there may be some circumstances where housing is available free or at a reduced rate to some pensioners in which case the value of this housing benefit is treated as part of the cash payment with the same amount showing as purchase of housing services from the provider.
8.96 As noted, pensions payable under social insurance pensions are distinguished from those payable as social assistance.
8.97 While the nature of a pension payment is generally unambiguous, other social insurance payments must be carefully distinguished from other payments made to households.
Once such payments are eliminated, non pension benefits in cash are recorded under social insurance non-pension benefits and social assistance benefits in cash.
8.98 Government may make payments to a household in respect of the production activities of the household.
An example might be a payment to encourage the production of a particular agricultural crop.
Such payments are treated as subsidies to the household enterprise.
Less common, but conceptually possible, is if government made a payment to permit the household to acquire a fixed asset for use in production, this would be recorded as an investment grant (a capital transfer).
8.99 An employer, whether government or not, may provide an employee with equipment that is necessary to carrying out the labour services the employee provides.
Examples are uniforms or small tools, such as scissors for hairdressers or bicycles for delivering mail.
This equipment is recorded as intermediate consumption of the employing enterprise and is never recorded as being acquired by the household to which the employee belongs.
The same convention applies to services provided to employees carrying out their tasks, for example the cost of food and hotel accommodation when travelling on business is treated as intermediate consumption of the employer and not final consumption of the employee.
8.100 When an employer makes available to the employee a good or service that the employee does use other than in the course of his employment, these goods and services are treated as the provision of wages and salaries in kind that are recorded as being in cash with corresponding expenditure by the employees on the goods and services.
Examples include the provision of free housing or making a car available to the employee to use for personal purposes as well as for business.
Typically the value of these goods and services will be treated as part of the employee's income for tax purposes.
8.101 Households may receive significant gifts from other households, both resident in the same economy and abroad, or may receive compensation from another unit in respect of an injury sustained or wrongful arrest, for example.
Even though these payments may enable the household to improve their standard of living (as might a lottery win also) they are not treated as social benefits in the SNA.
Other current transfers, both those payable and receivable by households and other sectors of the economy also, are discussed in more detail in section G.
8.102 All benefits arising from employment-related social insurance schemes other than social security are recorded as if they are received in cash.
Even if the employee does not initially pay for health treatment, for example, but simply sends the bill to his social insurance scheme for payment by them, the amount paid by the social insurance scheme is recorded as paid to the employee and the expenditure on the health service is then recorded as being undertaken by the employee.
The rationale for this is that a private social insurance scheme operates simply as a financial corporation and cannot have final consumption expenditure.
Some services provided by an employer are regarded as intermediate consumption by the employer, for example a medical service at the workplace to provide assistance to someone falling ill at work or training that it is in the interests of the employer that the employee should undertake.
However, general health and education provision via a social insurance scheme are part of the compensation package of the employee and not part of the intermediate consumption of the employer.
8.103 Social benefits paid in cash allow households to use this cash indistinguishably from income coming from other sources.
When social benefits are payable in kind, the household has no discretion over the use of the benefit; the benefits simply relieve the household from having to meet these expenses out of income from other sources.
However, governments all over the world take on responsibility to provide households with services they can make use of but not trade for other services or exchange them with other households.
These are the individual services provided by government to households either free or at prices that are not economically significant.
These benefits are described as social transfers in kind.
They are recorded not in the secondary distribution of income account but in the redistribution of income in kind account as described below in section H.
8.104 A special case of benefits payable in kind is that of reimbursements, when the household initially makes a cash outlay but the government reimburses some or all of the expense.
For example, when a payment is made by an employee or other member of a resident household for health or education benefits and these are subsequently reimbursed by government, they are not shown as a social insurance benefit and thus as part of compensation of employees but as part of the expenditure by government on health services provided to individual household members.
The expenditure by government on individual services is part of government final consumption expenditure and not part of household final consumption expenditure nor of compensation of employees.
8.105 If a household is reimbursed by government for only a part of the health (or other) services provided, the part that is reimbursed is treated as government final consumption expenditure and the part that is not reimbursed by government as household final consumption expenditure.
Only if the employer explicitly agrees to reimburse the part of the expenditure not reimbursed by government is it treated as part of compensation of employees.
8.106 All social benefits in kind provided by government are treated in the same way with no attempt made to separate these into social security and social assistance.
8.107 Taking the foregoing considerations into account, social benefits recorded in the secondary distribution of income account are structured as follows:
· Social benefits other than social transfers in kind
-- Social security benefits in cash
--- Social security pension benefits
--- Social security non-pension benefits in cash
-- Other social insurance benefits
--- Other social insurance pension benefits
--- Other social insurance non-pension benefits
-- Social assistance benefits in cash.
8.108 Social security benefits in cash are social insurance benefits payable in cash to households by social security funds.
The benefits are divided between pensions and non-pension benefits.
8.109 Other employment-related social insurance benefits are social benefits payable by social insurance schemes other than social security to contributors to the schemes, their dependants or survivors.
The benefits are divided between pensions and other benefits.
8.110 Social assistance benefits in cash are current transfers payable to households by government units or NPISHs to meet the same needs as social insurance benefits but which are not made under a social insurance scheme requiring participation usually by means of social contributions.
They therefore exclude all benefits paid by social security funds.
The benefits are divided between pensions and other benefits.
8.111 Social assistance benefits do not include current transfers paid in response to events or circumstances that are not normally covered by social insurance schemes.
Thus, social assistance benefits do not cover transfers in cash or in kind made in response to natural disasters such as drought, floods or earthquakes.
Such transfers are recorded separately under other current transfers.
8.112 Table 8.4 shows table 8.1 with the disaggregation of social benefits described here.
8.113 Other current transfers consist of all current transfers between resident institutional units, or between residents and non-residents, except for current taxes on income, wealth, etc. and social contributions and benefits.
Other current transfers include a number of different kinds of transfers serving quite different purposes.
The four categories are insurance-related transactions, transfers within government, current international cooperation and miscellaneous current transfers.
Each of these is described in turn below.
Table 8.5: The secondary distribution of income account - with details of current transfers - uses
8.114 Table 8.5 shows table 8.1 with this disaggregation of current transfers.
8.115 There are three types of transactions included under the heading of insurance.
These are net premiums and claims related to direct insurance, net premiums and claims related to reinsurance and payments related to standardized guarantees.
Each of these is described below.
A more detailed description of transactions to be recorded for insurance appears in part 1 of chapter 17 and for standardized guarantees in part 3 of chapter 17.
8.116 It should be noted that in this context “net” as applied to premiums implies that the service charge for the insurance services has been deducted from actual premiums paid plus premium supplements.
There is no netting between direct insurance and reinsurance; each is recorded in full and separately from the other.
8.117 Non-life insurance policies provide cover against various events or accidents resulting in damage to goods or property or harm to persons as a result of natural or human causes (for example, fires, floods, crashes, collisions, sinkings, theft, violence, accidents, sickness, etc.) or against financial losses resulting from events such as sickness, unemployment, accidents, etc.
Such policies are taken out by enterprises, government units, NPISHs or individual households.
The policies taken out by individual households are those taken out on their own initiative and for their own benefit, independently of their employers or government and outside any social insurance scheme.
Net non-life insurance premiums comprise both the actual premiums payable by policyholders to obtain insurance cover during the accounting period (premiums earned) and the premium supplements payable out of the investment income attributed to insurance policyholders less the service charges payable to the insurance corporation.
The way in which the service charges are calculated is explained in paragraphs 6.184 to 6.191.
After deducting the service charges from the sum of non-life insurance premiums and premium supplements, the remainder is described as net non-life insurance premiums.
Only the net non-life insurance premiums constitute current transfers and are recorded in the secondary distribution of income account.
The service charges constitute purchases of services by the policyholders and are recorded as intermediate or final consumption, as appropriate.
8.118 Non-life insurance claims are the amounts payable in settlement of damages that result from an event covered by a non-life insurance policy during the current accounting period.
Claims normally become due at the moment when the eventuality occurs that gives rise to a valid claim under the terms of the policy.
An exception is made in cases where the possibility of making a claim is recognized only long after the event has happened.
For example, an important series of claims were recognized only when exposure to asbestos was established as a cause of serious illness.
In such cases the claim is recorded at the time that the insurance company accepts the liability.
This may not be the same time as when the size of the claim is agreed on or when the claim is paid.
Table 8.5(cont): The secondary distribution of income account - with details of current transfers - resources
8.119 The settlement of a non-life insurance claim is treated as a transfer to the claimant.
The claimant is usually but not invariably the policyholder.
Claims are usually treated as current transfers, even when large sums may be involved as a result of the accidental destruction of a fixed asset or serious personal injury to an individual.
The amounts received by claimants are usually not committed for any particular purpose and goods or assets that have been damaged or destroyed need not necessarily be repaired or replaced.
8.120 Some claims arise because of damages or injuries that the policyholders cause to the property or persons of third parties, for example, the damages or injuries that insured drivers of vehicles may cause to other vehicles or persons.
In these cases, valid claims are recorded as being payable directly by the insurance enterprise to the injured parties and not indirectly via the policyholder.
8.121 In exceptional circumstances, some proportion of claims may be recorded not as current transfers but as capital transfers.
The description of the functioning of the insurance activity in part 1 of chapter 17 explains when this is deemed to be appropriate.
8.122 Direct insurers provide a means of redistribution amongst regular policyholders.
Instead of a large loss on an irregular basis, policyholders face regular smaller costs in the knowledge that, when and if a large loss happens, it will be settled by the insurance company and thus avoid the policyholder from bearing a large loss in that year.
Reinsurance policies work in the same way to allow direct insurers (and other reinsurers) to protect themselves against particularly heavy claims by taking out a policy with another insurance corporation that specializes in reinsurance.
8.123 Net reinsurance premiums and claims are calculated in exactly the same manner as non-life insurance premiums and claims.
However, because the reinsurance business is concentrated in a few countries, globally most reinsurance policies are with non-resident units.
8.124 Some units, especially government units, may provide a guarantee against a creditor defaulting in conditions that have many of the same characteristics as non-life insurance.
This happens when many guarantees of the same sort are issued and it is possible to make a realistic estimate of the probable level of defaults overall.
In this case, the fees payable (and the property income earned on them) are treated in the same way as non-life insurance premiums and the calls under the guarantees are treated in the same way as non-life insurance claims.
Part 3 of chapter 17 discusses the topic of standardized guarantees in detail.
8.125 Standardized guarantees provide cover only for financial instruments and do not extend to product warranties
8.126 Current transfers within general government consist of current transfers between different government units.
They include current transfers between different levels of government, such as frequently occur between central and state or local government units, and between general government and social security funds.
They do not include transfers of funds committed to finance gross fixed capital formation, such transfers being treated as capital transfers.
8.127 One government unit may act as an agent on behalf of a second government unit by, for example, collecting taxes that are due to the second unit, at the same time as it collects its own taxes.
Taxes collected on behalf of the second unit in this way are to be recorded as accruing directly to the second unit and are not to be treated as a current transfer from the first to the second unit.
Delays in remitting the taxes from the first to the second government unit give rise to entries under “other accounts receivable or payable” in the financial account.
8.128 Current international cooperation consists of current transfers in cash or in kind between the governments of different countries or between governments and international organizations.
These include:
a. Transfers between governments that are used by the recipients to finance current expenditures, including emergency aid after natural disasters; they include transfers in kind in the form of food, clothing, blankets, medicines, etc.;
b. Annual or other regular contributions paid by member governments to international organizations (excluding taxes payable to supranational organizations);
c. Payments by governments or international organizations to other governments to cover the salaries of those technical assistance staff who are resident in the country in which they are working and are employed by the host government.
8.129 Miscellaneous current transfers consist of current transfers other than insurance-related premiums and claims, current transfers within general government and current international cooperation.
Some of the more important examples are described below.
8.130 As described in paragraph 6.155, a current transfer representing the value of non-market output of the central bank is recorded as payable by the central bank to general government.
The non-market output consists of monetary policy services, which are regarded as collective consumption.
8.131 This item may also include transfers between the central bank and government that are recorded when the central bank charges interest at a rate that is out of line with market rates for policy purposes.
The recording in such cases is described in paragraphs 7.122 to 7.126.
8.132 Current transfers to NPISHs consist of transfers received by NPISHs from other resident or non-resident institutional units in the form of membership dues, subscriptions, voluntary donations, etc. whether made on a regular or occasional basis.
Transfers to NPISHs are intended to cover the costs of the non-market production of NPISHs or to provide the funds out of which current transfers may be made to resident or non-resident households in the form of social benefits.
Transfers in the form of gifts of food, clothing, blankets, medicines, etc. to charities for distribution to resident or non-resident households are included to the extent that they are newly acquired and are treated as transfers in cash used to purchase these commodities.
Gifts of unwanted or used articles from households typically do not have a market value and so do not feature in the accounts as transfers.
Gifts of valuables are treated as transfers of the value of the valuable in the balance sheet.
Payments of membership dues or subscriptions to market NPIs serving businesses, such as chambers of commerce or trade associations, are treated as payments for services rendered and are therefore not transfers (see paragraph 4.88).
They are recorded in the production account as intermediate consumption and not in the secondary distribution of income account.
8.133 Current transfers between households consist of all current transfers made, or received, by resident households to or from other resident or non-resident households.
The transfers include all cash transfers and the value of transfers in kind.
In the context of remittances, current transfers between households are often referred to as personal transfers.
They include regular remittances between members of the same family resident in different parts of the same country or in different countries, usually from a member of a family working in a foreign country for a period of a year or longer.
Earnings remitted by seasonal workers to their families are not international transfers as the workers remain resident in their country of origin (that is, they are still members of their original households) when they work abroad for periods of less than a year.
Their earnings are recorded as compensation of employees from abroad if they have the status of an employee in the non-resident country while they are working there or as the provision of services otherwise.
8.134 Transfers from non-resident households to resident households (and vice versa) are an item of considerable policy interest.
In addition, memorandum items in the balance of payments are suggested for personal remittances and total remittances.
Personal remittances from abroad are equal to personal transfers from abroad plus compensation of employees from abroad less expenditure abroad by the employees.
Personal remittances thus show the total flows into a resident household from households abroad or from a member of the household working abroad for part of the year.
Total remittances from abroad are equal to personal remittances plus social benefits (including pensions due from abroad in relation to earlier work abroad by a member of the household).
Payments to abroad are defined correspondingly.
For more details, reference should be made to chapter 26 and to BPM6.
8.135 Fines and penalties are compulsory payments imposed on institutional units by courts of law or quasi-judicial bodies.
However, fines or other penalties imposed by tax authorities for the evasion or late payment of taxes cannot usually be distinguished from the taxes themselves and are, therefore, grouped with the latter in practice and not recorded under this heading; nor are payments of fees to obtain licences, such payments being either taxes or payments for services rendered by government units (see paragraph 8.54).
8.136 The amounts paid for lottery tickets or placed in bets consist of two elements: the payment of a service charge to the unit organizing the lottery or gambling and a residual current transfer that is paid out to the winners.
The service charge may be quite substantial and may have to cover taxes on the production of gambling services.
The transfers are regarded in the SNA as taking place directly between those participating in the lottery or gambling, that is, between households.
8.137 Some lotteries may be organized with three components, the two as just described and a third element that is donated to charity.
This element shows as a transfer to the charity, usually an NPISH.
8.138 When non-resident households take part there may be significant net transfers between the household sector and the rest of the world.
8.139 In some cases the winner of a lottery does not receive a lump sum immediately but a stream of income over future periods.
In the SNA this should be recorded as the receipt of the lump sum and the immediate purchase of an annuity.
The recording of annuities is described in part 1 of chapter 17.
8.140 Payments of compensation consist of current transfers paid by institutional units to other institutional units in compensation for injury to persons or damage to property caused by the former that are not settled as payments of non-life insurance claims.
Payments of compensation could be either compulsory payments awarded by courts of law, or ex gratia payments agreed out of court.
This heading covers compensation for injuries or damages caused by other institutional units and ex gratia payments made by government units or NPISHs in compensation for injuries or damages caused by natural disasters.
8.141 As explained in section G, the secondary distribution of income account is concerned with how income is redistributed among sectors by means of transfers in cash or transfers that are treated as if they are in cash.
However, there remains an important class of transfers that are recorded as a transfer of consumption expenditure originally undertaken by general government and NPISHs. These are described as social transfers in kind.
Social transfers in kind consist of goods and services provided to households by government and NPISHs either free or at prices that are not economically significant.
These transfers are sufficiently distinctive that two separate accounts are devoted to recording them.
8.142 Social transfers in kind consist of final consumption expenditure undertaken by government and NPISHs on behalf of households.
For this reason they are described as individual goods and services.
This is in distinction from public goods such as defence and street lighting, which the SNA refers to as collective services.
(There is more discussion on the difference between individual and collective expenditure of government in chapter 9.)
There are two main reasons why government may choose to provide individual services to households.
One is that by meeting the needs of very large sections, or even all, the population centrally there are cost efficiencies to be realized.
The other is that the government can ensure that these services are available to the population at reasonable cost to households, prescribe the standards of the service to be observed and can insist that households avail themselves of the services, for example by requiring children to attend school.
8.143 For some analytical purposes, it is instructive to consider a measure of household consumption that includes the goods and services provided as social transfers in kind.
The expanded view of consumption, though, must be matched by a similarly extended view of income since household saving is unaffected by this different perspective.
In order to accommodate this different view of household income and consumption, the SNA introduces two accounts, one of which derives an alternative measure of income (the redistribution of income in kind account, described below.
The second account shows the alternative measure of consumption (the use of adjusted disposable income account) and is described in chapter 9.
8.144 The redistribution of income in kind account takes the balancing item of the secondary distribution of income account, disposable income, and adjusts this for the value of social transfers in kind to reach a new balancing item called adjusted disposable income.
For households, adjusted disposable income is higher than disposable income; for government and NPISHs, it is lower.
8.145 In principle, social transfers in kind may be paid to nonresidents.
One simple example is emergency medical care provided to a foreign tourist by a hospital within general government.
However, just as non-resident households may benefit from social transfers in kind from the national government, so resident households may benefit from social transfers in kind paid by the government of another economy.
In general these flows to non-residents will be small relative to the total level of social transfers in kind and, unless there is strong evidence to the contrary, by convention it may be assumed that the flows to nonresidents are balanced by flows from governments (and NPISHs) of other economies.
Subject to this convention, it is therefore the case that total disposable income for the total economy is exactly equal to total adjusted disposable income.
9.1 The purpose of the use of income accounts is to show how households, government units and non-profit institutions serving households (NPISHs) allocate their disposable income between final consumption and saving.
Throughout this chapter, unless otherwise stated, the expression consumption should be taken to mean final consumption.
There are two use of income accounts that correspond to two concepts of disposable income and consumption.
In the first account, the use of disposable income account, shown in table 9.1, attention is focused on disposable income and the expenditure on consumption goods and services that can be met out of that income.
In the second account, the use of adjusted disposable income account, shown in table 9.2, attention is focused on the consumption goods and services acquired and used by institutional units, especially households, whether acquired by expenditure or by social transfers in kind.
To explain the difference between the two accounts it is necessary to define some key terms.
9.2 A consumption good or service is defined as a good or service that is used (without further transformation in production as defined in the SNA) by households, NPISHs or government units for the direct satisfaction of individual needs (or wants) or for the collective needs of members of the community.
9.3 An individual consumption good or service is one that is acquired by a household and used to satisfy the needs or wants of members of that household.
Individual goods and services can always be bought and sold on the market, although they may also be provided free, or at prices that are not economically significant, as social transfers in kind.
In practice, all goods and most services are individual.
9.4 A collective consumption service is a service provided simultaneously to all members of the community or to all members of a particular section of the community, such as all households living in a particular region.
Collective services are automatically acquired and consumed by all members of the community, or section of the community, without any action on their part.
Typical examples are public administration and the provision of security, either at a national or local level.
Collective services are the “public goods” of economic theory.
By their nature, collective services cannot be sold to individuals on a market, and they are financed by government units out of taxation or other revenues.
The differences between individual and collective consumption goods or services are elaborated further in paragraphs 9.91 to 9.98.
9.5 Some of the services provided by NPISHs to the members of the associations that own them have some of the characteristics of collective services; for example, some research carried out by NPISHs may benefit all members of the community.
However, most of the services provided by NPISHs are individual in nature and, if it is not practicable to identify the outputs of NPISHs that may be considered to be collective in nature, all the services provided by NPISHs may be treated as individual.
9.6 As explained in later sections of this chapter, expenditure is attributed to the institutional units that bear the costs even if they are not the units to whom the goods or services are delivered.
Thus, expenditures that government units or NPISHs make on individual goods and services that they provide to households as social transfers in kind are recorded as final consumption expenditure incurred by government units or NPISHs.
Although they do not physically consume the goods and services provided as social transfers in kind, government units or NPISHs are the units that pay for them and take the decisions about the amounts to be provided.
Information about their expenditure on such goods and services must, therefore, be recorded in the accounts of the SNA in conjunction with their disposable income.
However, merely to record the expenditure is not sufficient when the goods and services are consumed by units different from those that control and finance the expenditure.
In order to identify the units that benefit from their consumption it is necessary to recognize that the goods and services are in fact transferred to, and used by, households.
From this stems the distinction between final consumption expenditure and actual final consumption.
9.7 In the use of disposable income account, the main resource is disposable income, which is the balancing item carried forward from the secondary distribution of income account.
The main use is final consumption expenditure.
Final consumption expenditure is the amount of expenditure on consumption goods and services.
In the use of adjusted disposable income account, the main resource is adjusted disposable income which is the balancing item carried forward from the redistribution of income in kind account.
The main use is actual final consumption.
Actual final consumption measures the amount of consumption goods and services acquired.
9.8 In the redistribution of income in kind account, described in chapter 8, the adjusted disposable income of households is derived from their disposable income by adding the value of social transfers in kind receivable, while that for government units and NPISHs is derived by subtracting the value of social transfers in kind payable.
Corresponding to the redistribution of income in kind account, is the use of adjusted disposable income account in which the actual final consumption of households is derived from their final consumption expenditure by adding the value of social transfers in kind receivable, while the actual final consumption of government units and NPISHs is derived by subtracting the value of social transfers in kind payable.
Thus there are two accounts describing the derivation of disposable income in the SNA and two use of income accounts.
9.9 In both the use of disposable income account and the use of adjusted disposable income account, an adjustment item is needed in order to show the change in pension entitlements recorded in the financial account.
Saving is the balancing item for both the use of disposable income account and the use of adjusted disposable income account.
It is calculated as disposable income adjusted for the change in pension entitlements less final consumption expenditure, or as adjusted disposable income adjusted for the change in pension entitlements less actual final consumption.
It follows that saving is the same whether it is calculated in the use of disposable income account or the use of adjusted disposable income account.
9.10 Saving, like disposable income and adjusted disposable income, may have to be recorded gross of consumption of fixed capital because of the difficulty of measuring the latter.
As elsewhere, however, the net figures are conceptually preferable.
9.11 Corporations do not have final consumption expenditure.
They may purchase the same kinds of goods or services as households use for final consumption (for example electricity or food) but such goods or services are either used for intermediate consumption or provided to employees as remuneration in kind.
It is assumed in the SNA that corporations do not make transfers of consumption goods or services to households.
As corporations neither make nor receive social transfers in kind, it is also not possible to draw a meaningful distinction between their disposable and adjusted disposable incomes.
It follows that both the use of disposable income account and the use of adjusted disposable income account for corporations are only dummy accounts that contain no entries for final consumption expenditure or actual final consumption.
Apart from the adjustment item for pension entitlements referred to above and explained in more detail in paragraphs 9.20 to 9.25, the gross or net saving of corporations must be equal to their gross or net disposable, or adjusted disposable, incomes.
In other contexts, the saving of corporations is often described as the “retained earnings” or “undistributed incomes” of corporations.
9.12 As shown in Table 9.1, the use of disposable income account contains only three main entries apart from the balancing item, saving.
Disposable income, the balancing item carried forward from the secondary distribution of income account, is recorded on the right-hand side of the account under resources, while final consumption expenditure is recorded on the left-hand side under uses.
As just noted, the account is relevant mainly for the three sectors that incur final consumption expenditure, namely the general government, NPISHs and household sectors.
9.13 The balancing item for the account is saving.
Before the balance is struck, however, an adjustment item showing the adjustment for the change in pension entitlements is entered in order to reallocate a certain amount of saving between sectors.
This item is needed because of the way in which pension contributions and benefits are recorded in the secondary distribution of income accounts.
The adjustment is shown on the right-hand side under resources for households and on the left-hand side under uses for financial corporations or other units responsible for pension liabilities.
9.14 Final consumption expenditure is shown in table 9.1, disaggregated between individual consumption expenditure and collective consumption expenditure to bring out the accounting interrelationships described below.
However, it is usually desirable to break down final consumption expenditure using a classification of expenditure by purpose or by type of good or service.
Most users will expect at least some degree of disaggregation, for example, between expenditures on goods or services or between expenditures on durable and non-durable goods.
Disaggregation by type of goods and services is needed for the supply and use tables, as explained in chapter 14.
Table 9.1: The use of disposable income account - uses
9.15 As shown in Table 9.2, the use of adjusted disposable income account also contains three main entries apart from the balancing item, saving.
Adjusted disposable income, the balancing item brought forward from the redistribution of income in kind account, is recorded on the right-hand side of the account under resources, while actual final consumption is recorded on the left-hand side under uses.
As with the use of disposable income account, before the balancing item, saving, is struck, the adjustment for the change in pension entitlements is entered.
The account is relevant mainly for the general government, NPISHs and household sectors.
9.16 The actual final consumption of households is obtained by augmenting their final consumption expenditure by the value of social transfers in kind receivable, while that for government units and NPISHs is obtained by subtracting from their final consumption expenditure the value of social transfers in kind payable.
Some social transfers in kind may be receivable by non-residents, for example emergency medical treatment in a public hospital for a nonresident tourist, but the figures involved are likely to be very small compared with total social transfers in kind.
Further, residents abroad may also benefit from social transfers in kind from a non-resident government (or NPISH) in like manner.
Unless there is strong reason to believe otherwise, therefore, it is assumed these two figures offset one another so that all social transfers in kind can be shown as payable to resident households.
Thus, the value of actual final consumption for the total economy is equal to that of total final consumption expenditure.
9.17 The actual final consumption of households is a measure of the value of the consumption goods and services acquired by households, whether by purchase or by transfer from government units or NPISHs, and used by households for the satisfaction of their needs (or wants).
It is therefore a better indicator of their living standards than their final consumption expenditure.
In some countries, the value of the individual non-market goods and services provided to households as social transfers in kind may be quite large, depending upon the kinds of economic and social policies pursued by their governments, so that the value of the actual final consumption of households may exceed that of their expenditure by a significant margin.
For these reasons, the actual final consumption of households has sometimes been described as their “enlarged” consumption or their “total” consumption, although these terms are not used in the SNA.
The actual final consumption of the general government sector is correspondingly smaller than government final consumption expenditure.
9.18 The two use of income accounts are neither sequential nor hierarchical.
They are parallel accounts that serve different analytical or policy purposes.
One shows which units incur expenditure; the other which unit benefits from the expenditure and the extent to which households' consumption levels are provided by themselves.
The values of the goods and services involved in social transfers in kind are recorded in two different ways in the SNA, both of which represent uses of resources by government units or NPISHs:
a. As final consumption expenditure, payable by government units or NPISHs; and
b. As social transfers in kind, payable by government units or NPISHs but receivable by households and recorded as part of their actual final consumption.
9.19 Although the difference between disposable and adjusted disposable income is attributable to social transfers in kind, even disposable income should not be interpreted as if it were a measure of income available in cash.
Its several non-cash elements, such as those associated with production for own consumption or remuneration in kind, were pointed out in paragraphs 8.22 and 8.23.
9.20 As individuals accrue pension entitlements in a social insurance scheme throughout their working lives, the corresponding entitlements become their assets and the liabilities of the units ultimately responsible for paying the pensions.
Pensions due under social assistance are excluded because the amounts due do not necessarily accrue in a predictable fashion over time or for predictable reasons.
Similar arguments apply to benefits due under social security.
In some countries, government assumes responsibility for paying pensions even for non-government employees and these pensions are paid via social security funds.
There is detailed discussion in part 2 of chapter 17 about when the liabilities for these schemes can be integrated into the sequence of accounts and when they only appear in a supplementary table.
In this chapter, the expression “pension scheme” is used to cover those parts of social security schemes where liabilities can be integrated into the sequence of accounts, including the accumulation accounts and balance sheets, together with all other employment-related schemes.
Table 9.1(cont): The use of disposable income account - resources
9.21 Pension schemes are treated in the SNA as having liabilities towards the households with claims on the schemes.
The payments of pension contributions into the schemes and the receipts of pensions by pensioners constitute the acquisition and disposal of financial assets.
However, this may not accord with the perception of the households concerned, especially pensioners' households, who tend to regard the pensions they receive as income in the form of current transfers.
Moreover, at least some pensions received under social security schemes and those received under social assistance are in fact treated as current transfers in the SNA.
9.22 In order to present income information that may be more useful for analysing the behaviour of the households concerned, the payments of pension contributions to all pension schemes and to social security and the receipts of pensions by pensioners' households under both pension schemes and social security are recorded in the secondary distribution of income account as social contributions and social insurance benefits, respectively.
They therefore affect the level of disposable incomes of households.
9.23 The rationale for treating pension contributions and benefits as current transfers is that, when looked at for the economy as a whole, the effect of pension provision can be seen as if it were a redistributive process among households.
To the extent that contributions and benefits are not exactly equal, there is an impact on household saving.
For example, if households as a whole pay more contributions than they receive as benefits, their saving is reduced by this difference.
Similarly if household benefits exceed their contributions, saving does not reflect the fact that the negative change in entitlements represents a reduction in net worth.
However, as is clear in the financial account, the change in pension entitlements is part of household net worth.
It is therefore necessary to adjust saving for the difference between contributions payable and benefits receivable shown in the secondary distribution of income account.
9.24 An item described as the adjustment for the change in pension entitlements therefore appears in both the use of disposable income account and the use of the adjusted disposable income account.
It is equal to: the total value of the actual and imputed social contributions payable into pension schemes,
plus the total value of contribution supplements payable out of the property income attributed to pension fund beneficiaries,
minus the value of the associated service charges,
minus the total value of the pensions paid out as social insurance benefits by pension schemes.
9.25 Opposite adjustments are needed in the use of income accounts of the units responsible for paying pensions.
These adjustments can affect non-resident institutional units, both households and pension providers.
9.26 Saving is the balancing item in the two use of income accounts.
Its value is the same whether it is derived as disposable income less final consumption expenditure or as adjusted disposable income less actual final consumption (in both cases, after making the adjustment for the change in pension entitlements just described).
9.27 As already noted, non-financial and financial corporations have no final consumption expenditure or actual final consumption.
Their net saving is equal to their net disposable, or adjusted disposable, income (apart from the adjustment item for pension entitlements).
Table 9.2: The use of adjusted disposable income account - uses
9.28 Saving represents that part of disposable income (adjusted for the change in pension entitlements) that is not spent on final consumption goods and services.
It may be positive or negative depending on whether disposable income exceeds final consumption expenditure, or vice versa.
Assuming that saving is positive (and in the absence of capital transfers), the unspent income must be used to acquire assets (possibly only an increase in cash) or reduce liabilities.
If saving is negative, some financial or non-financial assets must have been liquidated, (including a run down of cash) or some liabilities increased.
Thus, saving provides the link between the current accounts of the SNA and the subsequent accumulation accounts.
9.29 If saving is zero, final consumption expenditure equals disposable income plus the change in pension entitlements.
In that case, the institutional unit is not obliged to dispose of any assets or increase any of its liabilities unless capital transfers are receivable or payable.
As already indicated in chapter 8, disposable income can, therefore, be interpreted as the maximum amount that an institutional unit can afford to spend on final consumption goods and services in the accounting period without having to reduce its cash, liquidate other assets or increase its liabilities.
9.30 The savings ratio, especially for households, is a key economic variable.
It is usually calculated by dividing saving by disposable income for the sector.
However, the entry of the change in pension entitlements in both the use of disposable income account and the use of adjusted disposable income account complicates this calculation.
It is necessary to use not the balancing item from the secondary distribution of income account (disposable income) or from the redistribution of income in kind account (adjusted disposable income) but to add the adjustment for the change in pension entitlements to each of these figures to derive a figure for total disposable income or total adjusted disposable income.
It is this total figure that should be the denominator in the savings ratio calculation.
9.31 The distinction between final consumption expenditure and actual final consumption depends on the general distinction between expenditures on, and acquisitions of, goods and services.
The purpose of this section is to explain not only how expenditure differs from acquisition but also how both of them differ from the actual or physical use of goods and services.
9.32 Expenditures on goods and services are defined as the values of the amounts that buyers pay, or agree to pay, to sellers in exchange for goods or services that sellers provide to them or to other institutional units designated by the buyers.
The buyer incurring the liability to pay need not be the same unit that takes possession of the good or service.
As already noted, it is common for government units or NPISHs to pay for goods or services that the sellers provide to households.
Moreover, as explained below, the liability incurred by the buyer does not necessarily have to be settled by a payment of cash.
9.33 Expenditures on goods or services occur at the times when buyers incur liabilities to sellers.
These are usually the times when:
a. The ownership of the good is transferred from the seller to the new owner; or
b. The delivery of a service by the producer is completed to the satisfaction of the consumer.
Table 9.2(cont): The use of adjusted disposable income account - resources
9.34 The times at which sellers are actually paid for the goods or services they deliver are not necessarily the times at which the expenditures occur.
As explained in chapter 3, payments may either precede, or lag behind, the actual deliveries of the goods or services sold.
For this reason, the values of expenditures are measured by the values of the amounts receivable and payable at the times the expenditures are incurred.
When payments take place before or after the expenditures are incurred, there must be consequential changes in the financial assets or liabilities (other than cash) of the two units concerned at the time the change of ownership takes place or the service is delivered.
9.35 The precise moment at which the ownership of a good is transferred, or delivery of a service is completed to the satisfaction of the consumer, may not be easy to determine in practice in some cases.
It may be perceived differently, or even disputed, by the two parties concerned.
9.36 Acquisitions of goods and services by institutional units occur when they become the new owners of the goods or when the delivery of services to them is completed.
Acquisitions are valued at the transaction prices paid by the units that incur the expenditures.
In most cases, the transaction price is the market price.
The value of the goods or services acquired by an institutional unit or sector consists of the value the goods or services acquired through its expenditure plus the value of goods or services received through social transfers in kind less the value of goods or services paid to other units as social transfers in kind.
9.37 The difference between final consumption expenditure and actual final consumption is exactly the difference between expenditure on consumption goods and services and acquisition of consumption goods and services.
Since all consumption goods and services must be both the subject of expenditure and also be acquired, this difference between final consumption expenditure and actual final consumption, sector by sector, explains the redistribution of goods and services by means of social transfers in kind.
9.38 The distinction between consumption expenditure and actual consumption and thus between expenditure and acquisitions is made only in respect of final consumption.
The difference is explained exactly by social transfers in kind.
9.39 Consumption of goods and services is the act of completely using up the goods and services in a process of production or for the direct satisfaction of human needs or wants.
The activity of consumption consists of the use of goods and services for the satisfaction of individual or collective human needs or wants.
The satisfaction of needs or wants is immediate and direct in the case of final consumption; it is indirect and delayed in the case of intermediate consumption where goods and services are used to produce other goods and services that ultimately lead to the satisfaction of human needs or wants.
9.40 In the case of goods, the distinction between acquisition and consumption is clear.
Producers acquire goods that they may hold for varying periods of time before physically using them up in processes of production.
Households may hold consumption goods before using them for the satisfaction of their needs or wants.
Few goods are so perishable that they have to be used immediately.
For example, most foodstuffs need not be eaten until some time after they have been acquired.
9.41 In the case of services, however, the distinction between acquisition and use may not be relevant in a practical sense.
The situations of units to whom services are delivered are automatically affected by those services and no further action may be needed in order to benefit from them.
9.42 In the case of goods, the distinction between acquisition and use is analytically important.
It underlies the distinction between durable and non-durable goods that is used extensively in economic analysis.
In fact, the distinction between durable and non-durable goods is not based on physical durability as such.
Instead, the distinction is based on whether the goods can be used once only for purposes of production or consumption or whether they can be used repeatedly, or continuously.
For example, coal is a highly durable good in a physical sense, but it can be burnt only once.
A durable good is one that may be used repeatedly or continuously over a period of more than a year, assuming a normal or average rate of physical usage.
A consumer durable is a good that may be used for purposes of consumption repeatedly or continuously over a period of a year or more.
9.43 A consumption function that expresses utility as a function of the quantities of goods and services consumed describes the using up of those goods and services rather than expenditures or acquisitions.
In order to measure consumption as an activity, it would be necessary to adopt accounting procedures similar to those used in a production account, where a clear distinction is drawn between purchases of goods to be used in production and their subsequent use as inputs.
9.44 In practice, the SNA measures household consumption by expenditures and acquisitions only.
The repeated use of durables by households could be recognized only by extending the production boundary by postulating that the durables are gradually used up in hypothetical production processes whose outputs consist of services.
These services could then be recorded as being acquired by households over a succession of time periods.
However, durables are not treated in this way in the SNA.
A possible supplementary extension to the SNA to allow for such an extension of the production boundary could usefully take place in a satellite account.
9.45 By mutual agreement between the buyer and the seller, the liability incurred by the buyer may be discharged by providing a good, service or asset other than cash in exchange.
For example, goods or services may be exchanged for each other in barter transactions, or employees may provide labour in exchange for goods or services received as remuneration in kind.
9.46 When the buyers do not pay cash, or expect to pay cash, values have to be imputed for the expenditures using the appropriate prices of similar goods or services sold for cash on the market.
9.47 The value of goods produced and consumed within the same household as well as for those household services falling within the production boundary must also be measured indirectly.
9.48 In the interests of brevity, a transaction for which a value has to be imputed may be described as an “imputed expenditure” and this terminology is used below.
Strictly speaking, however, the imputation refers to the value of goods or services involved and not to the expenditure itself.
In other words it is the valuation that is imputed, not the fact that the transaction takes place.
It is therefore preferable to refer to measuring the flows indirectly rather than by imputation.
9.49 A barter transaction is one where one basket of goods and services is exchanged for another basket of different goods and services without any accompanying monetary payment.
The values of the goods or services acquired in barter transactions constitute imputed expenditures.
Values have to be estimated indirectly for goods or services exchanged in barter transactions equal to their market values.
Thus, when the goods or services obtained through barter are used for household consumption their estimated values must be recorded as household final consumption expenditure.
When a good offered for barter is an existing good and not newly produced output, negative imputed expenditure must be recorded for the unit offering the good, in the same way that sales of existing goods are recorded as negative expenditures.
9.50 In barter, both parties to a transaction must be recorded as making expenditures.
The value of these expenditures should be based on the purchasers' prices of these bartered products.
In practice, neither taxes on products or transportation costs may apply, in which case the purchasers' prices will not differ from the basic prices of the products.
As the values of the goods or services bartered may not be the same, the values imputed for the barter transaction may on pragmatic grounds be taken as a simple average of the estimated values of the goods or services exchanged, so that equal expenditures are recorded for both parties.
Goods that have been the subject of a barter transaction may be subsequently bartered with another party at a higher price, earning a margin for the unit conducting both barter transactions.
However, each barter transaction involves two parties only and no wholesale or retail margin.
9.51 Income in kind received by employees is measured by the value of the goods and services provided by employers to their employees in remuneration for work done.
Workers receiving remuneration in kind are treated as making expenditures equal to the market value of the goods or services received (at producers' prices if produced by the employer or at purchasers' prices if bought by the employer), the costs of the expenditures being met out of the income they receive as remuneration in kind.
Thus, the values of the goods and services must be recorded as final consumption expenditure incurred by households as well as income in kind.
9.52 A distinction has to be made between goods or services provided to employees as remuneration in kind and goods or services provided because they are needed at work, the latter constituting intermediate consumption by the enterprise.
In principle, the distinction is clear.
Goods or services that employers are obliged to provide to their employees to enable them to carry out their work, such as tools, equipment, special clothing, etc., constitute intermediate consumption.
On the other hand, goods or services that employees are able to use in their own time for the direct satisfaction of their needs or wants, or those of their families, constitute remuneration in kind.
In practice, there are inevitably borderline cases, such as uniforms that must be worn at work but are also worn extensively by employees away from work.
A detailed listing of the kinds of goods and services that are included in remuneration in kind is given in the section on compensation of employees in chapter 7.
9.53 When institutional units retain goods or services produced by themselves for their own final consumption or gross fixed capital formation, they clearly bear the costs themselves.
They are, therefore, recorded as incurring expenditures whose values have to be estimated using the basic prices of similar goods or services sold on the market or their costs of production in the absence of suitable basic prices.
9.54 Household final consumption expenditure includes estimates for the values of goods or services produced as outputs of unincorporated enterprises owned by households that are retained for consumption by members of the household.
The production of services for own consumption within the same household falls outside the production boundary of the SNA, except for housing services produced by owner-occupiers and services produced by employing paid domestic staff.
As the costs of producing goods or services for own consumption are borne by the households themselves, it is clear that the expenditures on them are also incurred by households, even though their values must be estimated indirectly.
The main types of goods and services produced and consumed within the same household are as follows:
a. Food or other agricultural goods produced for own final consumption by farmers, including subsistence farmers, or others for whom agricultural production is only a secondary, or even a leisure, activity;
b. Other kinds of goods produced by unincorporated enterprises owned by households that are consumed by members of the same households;
c. Housing services produced for own final consumption by owner-occupiers (discussed further below); and
d. Domestic or other services produced for own final consumption by households that employ paid staff for this purpose (domestic staff, cooks, gardeners, chauffeurs, etc.).
9.55 Values are estimated for these goods or services on the basis of the current basic prices of similar goods or services sold on the market, or by costs of production when suitable prices are not available, except for the services of paid staff; by convention, services of paid staff are valued simply by the compensation of employees paid, in cash and in kind.
9.56 Household final consumption expenditure consists of expenditure incurred by resident households on consumption goods or services.
As well as purchases of consumer goods and services, final consumption expenditure includes the estimated value of barter transactions, goods and services received in kind, and goods and services produced and consumed by the same household, valued as explained in section C.
9.57 Final consumption expenditure excludes expenditure on fixed assets in the form of dwellings or on valuables.
Dwellings are goods used by their owners to produce housing services.
Expenditure on dwellings by households, therefore, constitutes gross fixed capital formation.
When dwellings are rented by their owners, rentals are recorded as output of housing services by owners and final consumption expenditure by tenants.
When dwellings are occupied by their owners, the imputed value of the housing services enters into both the output and final consumption expenditure of the owners.
Valuables are expensive durable goods that do not deteriorate over time, are not used up in consumption or production, and are acquired primarily as stores of value.
They consist mainly of works of art, precious stones and metals and jewellery fashioned out of such stones and metals.
Valuables are held in the expectation that their prices, relative to those of other goods and services, will tend to increase over time, or at least not decline.
Although the owners of valuables may derive satisfaction from possessing them, they are not used up in the way that consumption goods, including consumer durables, are used up over time.
9.58 The treatment of expenditure in some specific situations or on certain specific types of goods and services is outlined in the following sections.
9.59 When a household includes one or more persons who own an unincorporated enterprise, all expenditure incurred for business purposes is excluded from household consumption expenditure.
It is necessary to ensure that only expenditure for the direct satisfaction of human needs and wants is included in household final consumption expenditure.
This may not be easy in practice when the same good or service (for example, electricity or other fuels) may be used equally well for business purposes or for final consumption.
Business expenditures cannot therefore be identified purely on the basis of the type of good or service purchased.
Particular care needs to be exercised in the case of farms, including subsistence farms, where goods that have been purchased, or produced on own account, may be used either for household final consumption or for intermediate consumption; for example, corn or potatoes may be consumed by members of the households, fed to animals or used as seeds for future crops.
9.60 Care is also needed with purchases of consumer durables such as vehicles, furniture, or electrical equipment, which are to be classified as gross fixed capital formation by the household enterprise when purchased for business purposes but as final consumption expenditure when purchased for the personal use of household members.
While the nature of the distinction may be clear in principle, it is often blurred in practice, especially when the owner of the business uses a durable good, such as a vehicle, partly for business purposes and partly for personal benefit.
In such cases, the expenditure on the purchase of the durable should be split between gross fixed capital formation by the enterprise and household final consumption expenditure in proportion to its usage for business and personal purposes.
When durables are purchased wholly or partly for business purposes, the decline in their value attributable to their use within the business should be recorded under the consumption of fixed capital of the unincorporated enterprise.
9.61 When appropriate, values must be estimated for the expenditures that households incur on services provided by financial institutions for which no explicit charges are made.
Expenditures on services for which financial institutions do make charges are recorded in the usual way.
9.62 Financial institutions, except insurance corporations and pension funds, and money lenders charge interest rates higher than a reference rate and pay interest at a rate lower than the reference interest rate.
As explained in chapters 6 and 7, SNA interest is recorded in the allocation of primary income account at a reference rate and the difference between SNA interest and bank interest is recorded as final consumption expenditure of households.
(If it is possible to identify interest payments and receipts relating exclusively to unincorporated household enterprises, the charges would appear as intermediate consumption of those enterprises, but this is often not possible.)
9.63 When households acquire or dispose of foreign exchange and some other financial assets, the dealer in the financial asset will typically quote a buying price and a selling price for the asset.
The difference between the price actually receivable or payable and the average of the buying and selling price at the time of the transaction is also treated as expenditure on the services of financial institutions.
9.64 The way in which the value of the services produced by insurance enterprises and pension schemes is calculated in the SNA is explained in chapter 6.
The values of the insurance services consumed by different sectors, subsectors or institutional units are estimated by allocating the value of the services produced by an insurance enterprise in proportion to the actual premiums.
When the value of output is estimated by line of business, which is desirable if practicable, the service charge should be allocated across premiums by line of business also.
The amounts paid by households are recorded as final consumption expenditure (except for the insurance services purchased by unincorporated enterprises owned by households, which are treated as intermediate consumption).
The whole of the service charge on pension schemes is borne by households (some of which may be non-resident).
9.65 Persons who own the dwellings in which they live are treated as owning unincorporated enterprises that produce housing services that are consumed by the household to which the owner belongs.
The housing services produced are deemed to be equal in value to the rentals that would be paid on the market for accommodation of the same size, quality and type.
Care must be taken in respect of any taxes paid on housing.
Taxes such as value added tax are rarely paid on housing services, but if they are payable, they should be excluded from the value of owner-occupied housing if the owner-occupier is exempt from payment.
The imputed values of the housing services are recorded as final consumption expenditures of the owners.
9.66 “Do-it-yourself” activities of decoration and undertaking minor repairs, often of a routine nature, of a kind that would normally be seen as the responsibility of a tenant are treated as falling outside the production boundary.
Purchases of materials used for such decoration or repairs should therefore be treated as final consumption expenditure, as should fees and service charges paid to builders, carpenters, plumbers, etc.
Maintenance that is the responsibility of tenants is also treated as final consumption expenditure.
9.67 Expenditures that owners, including owner-occupiers, incur on the decoration, minor repairs and maintenance of the dwelling that would normally be seen as the responsibility of a landlord should not be treated as household final consumption expenditure but as intermediate expenditure incurred in the production of housing services.
These expenditures may consist either of payments for services provided by professional builders or decorators or purchases of materials for “do-it-yourself” repairs and decoration.
In the latter case, no cost of the labour involved in the activity is included.
The only value added for the imputed rental of owner-occupied housing is operating surplus.
9.68 Expenditures on major improvements (that is, reconstructions, renovations or enlargements) to dwellings are not classed in the same way as decoration, minor repairs and maintenance.
They are excluded from household consumption expenditure and are treated as gross fixed capital formation on the part of the owners of those dwellings, including owner-occupiers.
9.69 Expenditures on all repair and maintenance of consumer durables, including vehicles, are treated in the same way as minor repairs to dwellings of the type carried out by tenants.
Repairs and maintenance constitute final consumption expenditure whether they are carried out by specialist producers or by members of the household as “do-it-yourself” activities.
In the latter case, only the values of the materials purchased should be included in household consumption expenditure.
9.70 Households make payments to government units to obtain various kinds of licences, permits, certificates, passports, etc., and in some cases it is not clear whether the government units actually provide services in return, such as testing or inspection, or whether the payments are de facto taxes.
As explained in paragraph 8.64 (c), the treatment of certain borderline cases has been decided by the following convention, based on the practices followed in the majority of countries: payments by households for licences to own or use vehicles, boats or aircraft and also licences for recreational hunting, shooting or fishing are treated as taxes.
Payments for licences to undertake a specific activity, for example a taxi licence, are treated as a tax on production.
Payments for all other kinds of licences, permits, certificates, passports, etc., are treated as purchases of services and included in household consumption expenditure.
9.71 Household final consumption expenditure is typically a large aggregate covering a wide range of goods and services.
It is thus usually desirable to break down the figure.
The CPC may be used for a breakdown by type of good or service.
The Classification of Individual Consumption by Purpose (COICOP) may be used for a breakdown by purpose or function, such as food, health and education services.
9.72 In accordance with the general principles adopted in the SNA, expenditures should be recorded when the payables are created, that is, when the purchaser incurs a liability to the seller.
This implies that expenditure on a good is to be recorded at the time its ownership changes while expenditure on a service is recorded when the delivery of the service is completed.
Non-monetary transactions are recorded when the goods involved are made available to the household.
9.73 When a good is acquired under a hire purchase agreement, financial lease or similar method of financing, the purchaser accepts the risks and rewards of ownership on the good from the time the good is delivered.
A change of ownership is therefore imputed at the time of delivery.
Even though there is no legal change of ownership at this point, it is assumed that there is a change of economic ownership.
The purchaser must also be shown in the financial accounts as incurring a liability to the hire purchase or finance corporation.
9.74 Household expenditure is recorded at the purchasers' prices paid by households including any taxes on products that may be payable at the time of purchase.
As defined in paragraphs 6.64 to 6.68, the purchaser's price of a good is the amount payable to take delivery of a unit of the good at the time and place required by the purchaser.
It includes any transport charges incurred by the purchaser not already included in the seller's invoice price.
9.75 The value of barter and goods received as income in kind is recorded at the prices paid by the units incurring the expenditure initially.
Goods produced on own account are valued at basic prices, consistently with their valuation as production.
9.76 Different households may pay different prices for identical products because of market imperfections.
Price differences may persist because households may not be aware of them, or they may have imperfect information because the costs of searching for the retail outlets selling at the lowest prices may be too great.
Even when households are aware of the price differences, it may be too inconvenient or costly to visit the outlets selling at the lowest prices.
Another reason for the persistence of price differences is that many service producers deliberately practise price discrimination by charging different households different prices for identical services (for example, by charging lower prices or fees to pensioners or people with low incomes).
As services cannot be retraded, price discrimination is extremely common, or even prevalent, among service producers.
Household expenditures are nevertheless recorded at the prices actually paid, as this is the appropriate value of the transaction.
9.77 Apparent price differences between the same goods or services are often not genuine price differences as they may be due to differences in quality, including differences in the terms or conditions of sale.
For example, lower prices are often charged for bulk purchases of goods or off-peak purchases of services.
Such expenditures are recorded at the prices actually paid; that is, after deducting from the standard or list prices or charges any discounts for bulk or off-peak purchases.
9.78 The purchaser's price does not include any interest or service charges that may be added when the seller arranges for credit to be provided to the purchaser.
Similarly, the purchaser's price does not include any extra charges that may be incurred as a result of failing to pay within the period stated at the time the purchases were made, such charges being effectively interest payments on the credit extended by the seller.
If the credit is arranged by a financial institution, the total charge may need to be allocated between a financial service charge and interest, as explained in paragraph 9.62.
If the credit is provided by a non-financial institution, no financial service charge is provided.
Note, however, that many large retailers have subsidiaries handling credit facilities, which are classed as financial institutions in their own right.
9.79 Resident households make expenditures while travelling abroad, and non-resident households may make expenditures inside the economic territory of a country.
Household final consumption expenditure in the SNA refers to the expenditure incurred by resident households, whether that expenditure is incurred within the economic territory or abroad.
9.80 In order to calculate total household final consumption expenditure it may be convenient to calculate the total expenditure made by all households, whether resident or not, within the economic territory and to adjust this figure by adding expenditures by residents abroad and subtracting expenditures by non-residents within the economy territory.
Expenditures by residents abroad constitute imports, while expenditures by non-residents are exports.
However, while the total expenditures by all households within the economic territory may be used for calculation in this way, it is not an aggregate recognized within the SNA.
9.81 Household actual final consumption consists of the consumption goods and services acquired by individual households.
The value of household actual final consumption is given by the sum of three components:
a. The value of households’ expenditures on consumption goods or services including expenditures on nonmarket goods or services sold at prices that are not economically significant;
b. The value of the expenditures incurred by government units on individual consumption goods or services provided to households as social transfers in kind; and
c. The value of the expenditures incurred by NPISHs on individual consumption goods or services provided to households as social transfers in kind.
9.82 The values of social transfers in kind provided by government units or NPISHs are equal to the values of the goods or services supplied to households less the amounts of any expenditures incurred by households when the prices charged are not economically significant.
9.83 As described in sections F and H, the consumption expenditure on individual goods and services by both general government and NPISHs is broken down between those that are produced by the units themselves as nonmarket producers and those that are purchased from market producers for onward transmission to households free or at prices that are not economically significant.
This means that total household actual final consumption can also be split into these two components.
9.84 Expenditures on a wide range of consumption goods and services are incurred by general government, either on collective services or on selected individual goods or services.
9.85 The final consumption expenditures of general government can be classified in several ways.
In particular, they may be classified:
a. According to whether the goods or services have been produced by market or non-market producers;
b. According to whether the expenditures are on collective services or individual goods or services;
c. By function or purpose according to the classification of the functions of government (COFOG); or
d. By type of good or service according to the CPC.
9.86 Expenditures on the outputs of non-market producers that are provided free, or at prices that are not economically significant, to individual households or the community account for most of the final consumption expenditure by general government.
It is therefore appropriate to take them first.
9.87 Government may produce output for own final use and some market output but most production by units of general government is non-market in nature.
As explained in chapter 6 the value of the non-market output is estimated by the sum of the costs involved in production.
Although government delivers goods and services to the population individually and collectively, the costs of so doing are shown as final consumption expenditure by government.
9.88 The value of government final consumption expenditure on non-market goods and services is not necessarily exactly equal to the value of government output of these goods and services.
The values of these expenditures are equal to the estimated values of all types of output less the value of production for own capital formation and less the values of any receipts from sales.
These receipts may be derived from sales of some goods or services at prices that are not economically significant or from sales of a few goods or services at prices that are economically significant (sales of secondary market output).
9.89 Government units also purchase consumption goods and services produced by market producers that are supplied directly to households.
The role of the government unit is confined to paying for the goods or services and ensuring that they are distributed to households as social transfers in kind.
The government unit does not engage in any further processing of such goods or services and the expenditures are treated as final consumption expenditure and not intermediate consumption of the government unit.
The values of the goods or services distributed in this way form part of social transfers in kind.
In this way, expenditure by government on market goods and services on behalf of households is recorded as both final consumption expenditure of government and actual final consumption of households.
9.90 Final consumption expenditure of government can be derived as follows:
The value of all types of output of general government,
less the value of output for own account capital formation,
less the value of sales of goods and services at both economically insignificant prices and at economically significant prices,
plus the value of goods and services purchased from market producers for delivery to households free or at economically insignificant prices.
9.91 The consumption expenditures incurred by government units have to be divided into those incurred for the benefit of individual households and those incurred for the benefit of the community as a whole, or large sections of the community.
9.92 Individual goods and services are essentially “private”, as distinct from “public”, goods and services.
They have the following characteristics:
a. It must be possible to observe and record the acquisition of the good or service by an individual household or member thereof and also the time at which it took place;
b. The household must have agreed to accept the provision of the good or service and to take whatever action is necessary to make it possible, for example, by attending a school or clinic; and
c. The good or service must be such that its acquisition by one household or person, or possibly by a small, restricted group of persons, precludes its acquisition by other households or persons.
9.93 The reference to a small, restricted group of persons is needed because certain services are provided to small groups of people simultaneously; for example, several persons may travel in the same bus, train, ship or plane or attend the same class, lecture, concert or live theatre performance.
However, these are still essentially individual services if there is a restriction on the number of individuals who can consume them.
Other members of the community are excluded and derive no benefit from them.
9.94 From a welfare point of view, the important characteristic of an individual good or service is that its acquisition by one household, person or group of persons brings no (or very little) benefit to the rest of the community.
While the provision of certain individual health or education services (for example, vaccination or immunization) may bring some external benefits to the rest of the community, in general the individuals concerned derive the main benefit.
Thus, when a government unit incurs expenditures on the provision of individual goods or services, it must decide not only how much to spend in total but how to allocate, or distribute, the goods or services among individual members of the community.
From the point of view of economic and social policy, the way in which they are distributed may be as important as the total amount spent.
9.95 The whole of individual consumption of general government is treated as social transfers in kind in the redistribution of income in kind account and in the use of adjusted disposable income account.
It is analytically interesting to split individual consumption into those goods and services produced by general government as a non-market producer and those that are purchased by general government from market producers for onward transmission to households either free or at prices that are not economically significant.
9.96 Most goods can be privately owned and are individual in the sense used here.
On the other hand, certain kinds of services can be provided collectively to the community as a whole.
The characteristics of these collective services may be summarized as follows:
a. Collective services are delivered simultaneously to every member of the community or to particular sections of the community, such as those in a particular region of a locality;
b. The use of such services is usually passive and does not require the explicit agreement or active participation of all the individuals concerned; and
c. The provision of a collective service to one individual does not reduce the amount available to others in the same community or section of the community.
There is no rivalry in acquisition.
9.97 The collective services provided by government consist mostly of the provision of security and defence, the maintenance of law and order, legislation and regulation, the maintenance of public health, the protection of the environment, etc.
All members of the community can benefit from such services.
As the individual usage of collective services cannot be recorded, individuals cannot be charged according to their usage.
9.98 Expenditures incurred by governments in connection with individual services such as health and education are to be treated as collective when they are concerned with the formulation and administration of government policy, the setting and enforcement of public standards, the regulation, licensing or supervision of producers, etc.
For example, the expenditures incurred by Ministries of Health or Education at a national level are to be included in collective consumption expenditures as they are concerned with general matters of policy, standards and regulation.
On the other hand, any overhead expenses connected with the administration or functioning of a group of hospitals, schools, colleges or similar institutions are to be included in individual expenditures.
For example, if a group of private hospitals has a central unit that provides certain common services such as purchasing, laboratories, ambulances, or other facilities, the costs of these common services would be taken into account in the prices charged to patients.
The same principle must be followed when the hospitals are non-market producers: all the costs that are associated with the provision of services to particular individuals, including those of any central units providing common services, should be included in the value of expenditures on individual services.
9.99 The classification of the functions of government (COFOG) is a classification of transactions designed to apply to general government and its subsectors.
There are ten classes in the classification as follows:
01 General public services;
02 Defence;
03 Public order and safety;
04 Economic affairs;
05 Environmental protection;
06 Housing and community amenities;
07 Health;
08 Recreation, culture and religion;
09 Education;
10 Social protection.
9.100 All of classes 01 to 06 are collective services, as are section 07.5 and 07.6 of health, sections 08.3 to 08.6 of recreation, culture and religion, sections 09.7 and 09.8 of education, and sections 10.8 and 10.9 of social protection.
These sections cover expenditures on general administration, regulation, research that is not recorded as capital formation and so on. The remaining sections of health, recreation, culture and religion, education and social protection (which dominate each of the classes) are individual services.
9.101 Many government expenditures benefit enterprises as much as households; expenditures on the cleaning, maintenance and repair of public roads, bridges, tunnels, etc. including the provision of street lighting, are examples.
These are services whose consumption can be monitored and for this reason they are frequently provided on a market basis by charging tolls on road usage.
When they are provided free, however, it would be difficult to separate the services provided free to enterprises from those provided free to households and, by convention, all these expenditures are treated as collective final expenditure.
9.102 Collective services such as the provision of security by the police, fire services, etc. that are provided free to the community at large also benefit individual enterprises as well as households.
9.103 The value of the actual final consumption of general government is equal to the value of its total final consumption expenditure less its expenditure on individual goods or services provided as social transfers in kind to households.
The value of the actual final consumption of government units is thus equal to the value of the expenditures they incur on collective services.
Although collective services benefit the community, or certain sections of the community, rather than the government, the actual consumption of these services cannot be distributed among individual households, or even among groups of households such as subsectors of the household sector, or to enterprises, as just noted.
It is therefore attributed to the government units that incur the corresponding expenditures.
9.104 The identification and measurement of government actual final consumption serves two main analytical or policy purposes:
a. Collective services can be identified with “public goods” as defined in public finance and economic theory.
While it may be technically possible to charge individual consumers of certain collective services according to their usage, the transactions costs of so doing would be prohibitively high.
This provides an economic, rather than political, rationale for government involvement;
b. Collective services do not provide a mechanism for redistributing resources among individual households.
As redistribution may be one of the main economic objectives of government policy, it is useful to separate the collective services that do not serve this purpose from the individual goods and services that are ultimately channelled to individual households, even though paid for by government.
9.105 The treatment of consumption expenditures incurred by NPISHs is very similar to that for general government.
This section itemizes only those aspects that differ.
Whereas government expenditures are financed in large part out of taxation, those of NPISHs are financed principally out of subscriptions, contributions or donations or property income.
9.106 The services provided by NPISHs are often confined to the members of the associations that own them, although they may also provide individual goods or services to third parties.
Many NPISHs are only concerned with protecting the interests or welfare of their members or providing recreational, sporting or cultural facilities that households or persons cannot otherwise easily obtain for themselves acting individually.
Although NPISHs may provide services to their members in groups, the services are essentially individual rather than collective.
In general, persons other than their members are excluded and derive no benefit from the services provided.
9.107 It is possible for NPISHs to produce collective services.
For example a privately funded non-profit institution may undertake medical research and make its results freely available.
However, unless such activities are evident and quantifiable, the assumption can be made that the expenditure of NPISHs is on individual goods and services only.
9.108 The final consumption expenditures of NPISHs can be classified in several ways.
In particular, they may be classified:
a. According to whether the goods or services have been produced by market or non-market producers;
b. According to whether the expenditures are on collective services or individual goods and services;
c. By function or purpose according to the classification of the purposes of non-profit institutions serving households (COPNI); and
d. By type of good or service according to the CPC.
9.109 For NPISHs as for government, it is possible that they purchase goods from market producers for distribution to households.
It is also possible that they may have some receipts from sales either of non-market output at prices that are not economically significant or from sales of secondary market production at economically significant prices.
However for many NPISHs, the value of their consumption expenditure will exactly match the value of their non-market output.
9.110 The whole of individual consumption of NPISHs is treated as social transfers in kind in the redistribution of income in kind account and in the use of adjusted disposable income account.
It is analytically interesting to split individual consumption into those goods and services produced by NPISHs as non-market producers and those that are purchased by NPISHs from market producers for onward transmission to households either free or at prices that are not economically significant.
9.111 The value of the actual final consumption of NPISHs is equal to the value of its total final consumption expenditure less its expenditure on individual goods or services provided as social transfers in kind to households.
The value of the actual final consumption of NPISHs is thus equal to the value of the expenditures they incur on collective services.
If it is not possible to identify and measure collective services provided by NPISHs, there may be no actual final consumption of NPISHs shown in the accounts.
9.112 The purpose of this section is to summarize the conceptual interrelationship between the main consumption aggregates for the three sectors in which final consumption takes place, namely, the household sector, the NPISH sector and the general government sector.
9.113 Household final consumption expenditure consists of the expenditure, including expenditure whose value must be estimated indirectly, incurred by resident households on individual consumption goods and services, including those sold at prices that are not economically significant and including consumption goods and services acquired abroad.
9.114 General government final consumption expenditure consists of expenditure, including expenditure whose value must be estimated indirectly, incurred by general government on both individual consumption goods and services and collective consumption services.
9.115 Final consumption expenditure of NPISHs consists of the expenditure, including expenditure whose value must be estimated indirectly, incurred by resident NPISHs on individual consumption goods and services and possibly on collective consumption services.
9.116 Actual final consumption of households is measured by the value of all the individual consumption goods and services acquired by resident households.
There are three sets of goods and services entering into household actual final consumption:
a. Those acquired through expenditure by households themselves;
b. Those acquired as social transfers in kind from general government and NPISHs that are the output of these institutions as non-market producers;
c. Those acquired as social transfers in kind from general government and NPISHs that have been purchased by these institutions from market producers for onward transmission to households free or at prices that are not economically significant.
9.117 Actual final consumption of general government is measured by the value of the collective consumption services provided to the community, or large sections of the community, by general government.
9.118 Actual final consumption of NPISHs is measured by the value of the collective consumption services provided to the community, or large sections of the community, by NPISHs.
9.119 Total final consumption in the economy may be viewed from two angles.
It may be defined from the expenditure side as the total value of all expenditures on individual and collective consumption goods and services incurred by resident households, resident NPISHs and general government units.
Or, it may be defined in terms of actual final consumption as the value of all the individual goods and services acquired by resident households plus the value of the collective services provided by general government and NPISHs to the community or large sections of the community.
9.120 As noted in paragraph 8.145, social transfers in kind may be paid to non-residents.
One simple example is emergency medical care provided to a foreign tourist by a hospital within general government.
However, just as non-resident households may benefit from social transfers in kind from the national government, so resident households may benefit from social transfers in kind paid by the government of another economy.
In general these flows to non-residents will be small relative to the total level of social transfers in kind and, unless there is strong evidence to the contrary, by convention it may be assumed that the flows to non-residents are balanced by flows from governments (and NPISHs) of other economies.
Subject to this convention, it is therefore the case that consumption expenditure for the total economy is exactly equal to total actual consumption.
9.121 In order to ensure that the values of the two aggregates are the same, the goods and services acquired by resident households through social transfers in kind must always be valued at the same prices at which they are valued in the expenditure aggregates and the time of recording the goods and services acquired by social transfers in kind must be the same as the time of recording in the expenditure aggregates.
10.1 The capital account is the first of four accounts dealing with changes in the values of assets held by institutional units.
It records transactions in non-financial assets.
The financial account records transactions in financial assets and liabilities.
The other changes in the volume of assets account records changes in the value of both non-financial and financial assets that result from neither transactions nor price changes.
The effects of price changes are recorded in the revaluation account.
These four accounts enable the change in the net worth of an institutional unit or sector between the beginning and end of the accounting period to be decomposed into its constituent elements by recording all changes in the prices and volumes of assets, whether resulting from transactions or not.
The impact of all four accounts is brought together in the balance sheets.
The immediately following chapters describe the other accounts just mentioned.
10.2 The purpose of the capital account, shown in table 10.1, is to record the values of the non-financial assets that are acquired, or disposed of, by resident institutional units by engaging in transactions and to show the change in net worth due to saving and capital transfers.
The transactions may be either with other institutional units, both resident and non-resident, or internal transactions in which units retain products that they have produced themselves for use as capital formation.
10.3 When compiling balance sheets, it is customary to record assets on the left-hand side and liabilities and net worth on the right-hand side.
The same convention is followed in the accumulation accounts, where changes in assets are recorded on the left-hand side and other items on the right-hand side.
As in the current accounts, the balancing item of the capital account, net lending or net borrowing, is recorded on the left-hand side.
Consumption of fixed capital is also recorded on the left-hand side of the capital account.
10.4 The right-hand side of the capital account records the resources available for the accumulation of assets.
These consist of net saving, the balancing item carried forward from the use of income account, and capital transfers.
Capital transfers payable are recorded with a negative sign.
10.5 Ownership and assets are defined in chapter 3 but it is helpful to recall some of the key features of the definitions here.
It is important to distinguish between legal ownership and economic ownership.
The legal owner of entities such as goods and services, natural resources, financial assets and liabilities is the institutional unit entitled in law and sustainable under the law to claim the benefits associated with the entities.
By contrast, the economic owner of entities such as goods and services, natural resources, financial assets and liabilities is the institutional unit entitled to claim the benefits associated with the use of the entity in question in the course of an economic activity by virtue of accepting the associated risks.
10.6 Every entity has both a legal owner and an economic owner, though in many cases the economic owner and the legal owner of an entity are the same.
Where they are not, the legal owner has handed responsibility for the risk involved in using the entity in an economic activity to the economic owner along with associated benefits.
In return the legal owner accepts another package of risks and benefits from the economic owner.
10.7 When government claims legal ownership of an entity on behalf of the community at large, the benefits also accrue to the government on behalf of the community at large.
Thus government is regarded as both the legal and economic owner of these entities.
10.8 An asset is a store of value representing a benefit or series of benefits accruing to the economic owner by holding or using the entity over a period of time.
It is a means of carrying forward value from one accounting period to another.
All assets in the SNA are economic assets.
10.9 Two different categories of non-financial assets are distinguished from each other: produced assets and non-produced assets.
a. Produced assets are non-financial assets that have come into existence as outputs from production processes that fall within the production boundary of the SNA.
b. Non-produced assets are non-financial assets that have come into existence in ways other than through processes of production.
10.10 There are three main types of produced assets: fixed assets, inventories and valuables.
Both fixed assets and inventories are assets that are held only by producers for purposes of production.
Valuables may be held by any institutional unit and are primarily held as stores of value.
10.11 Fixed assets are produced assets that are used repeatedly or continuously in production processes for more than one year.
The distinguishing feature of a fixed asset is not that it is durable in some physical sense, but that it may be used repeatedly or continuously in production over a long period of time, which is taken to be more than one year.
Some goods, such as coal, may be highly durable physically but cannot be fixed assets because they can be used once only.
Fixed assets include not only structures, machinery and equipment but also cultivated assets such as trees or animals that are used repeatedly or continuously to produce other products such as fruit or dairy products.
They also include intellectual property products such as software or artistic originals used in production.
10.12 Inventories are produced assets that consist of goods and services, which came into existence in the current period or in an earlier period, and that are held for sale, use in production or other use at a later date.
Inventories consist of stocks of outputs that are still held by the units that produced them prior to their being further processed, sold, delivered to other units or used in other ways and stocks of products acquired from other units that are intended to be used for intermediate consumption or for resale without further processing.
Inventories of services consist of workin-progress or finished products, for example architectural drawings, which are in the process of completion or are completed and waiting for the building to which they relate to be started.
Inventories held by government include, but are not limited to, inventories of strategic materials, and grain and other commodities of special importance to the nation.
10.13 Valuables are produced goods of considerable value that are not used primarily for purposes of production or consumption but are held as stores of value over time.
Valuables are expected to appreciate or at least not to decline in real value, nor to deteriorate over time under normal conditions.
They consist of precious metals and stones, jewellery, works of art, etc.
Valuables may be held by all sectors of the economy.
10.14 Non-produced assets consist of three categories: natural resources; contracts, leases and licences; and purchased goodwill and marketing assets.
10.15 Natural resources consist of naturally occurring resources such as land, water resources, uncultivated forests and deposits of minerals that have an economic value.
10.16 Contracts, leases and licences are treated as assets only when two conditions are both satisfied.
a. The terms of the contract, lease or licence specify a price for the use of an asset or provision of a service that differs from the price that would prevail in the absence of the contract, lease or licence.
b. One party to the contract must be able legally and practically to realize this price difference.
The second condition presupposes that a market for the contract exists.
It is recommended that in practice contracts, leases and licences should only be recorded in the accounts when the holder does actually exercise his right to realize the price difference.
10.17 Purchased goodwill and marketing assets represent the whole or part of the net worth of an institutional unit.
They are recorded only when a unit is purchased in its entirety or an identifiable marketing asset is sold to another unit.
Table 10.1: The capital account - concise form - changes in assets
10.18 The right-hand side of the capital account represents changes in liabilities and net worth.
The first item recorded on the right-hand side is the balancing item carried down from the use of disposable income account, net saving.
When positive, net saving represents that part of disposable income that is not spent on consumption goods and services and must, therefore, be used to acquire non-financial or financial assets of one kind or another, including cash, or to repay liabilities.
When negative, net saving measures the amount by which final consumption expenditure exceeds disposable income: the excess must be financed by disposing of assets or incurring new liabilities.
10.19 Capital transfers are unrequited transfers where either the party making the transfer realizes the funds involved by disposing of an asset (other than cash or inventories), relinquishing a financial claim (other than accounts receivable) or the party receiving the transfer is obliged to acquire an asset (other than cash) or both conditions are met.
Capital transfers are often large and irregular but neither of these are necessary conditions for a transfer to be considered a capital rather than a current transfer.
If there is doubt about whether a transfer should be treated as current or capital, it should be treated as current.
10.20 Capital transfers receivable represent an increase in net worth and so are shown on the right-hand side of the account for the recipient.
By convention, the matching amounts payable are also shown on the right-hand side of the account but as a negative entry (that is, a decrease in net worth) for the payer.
10.21 The total of the entries on the right-hand side of the account is explicitly shown and described as changes in net worth due to saving and capital transfers.
It is not a balancing item.
Changes in net worth due to saving and capital transfers represent the positive or negative amount available to the unit or sector for the acquisition of non-financial and financial assets.
10.22 The left-hand side of the capital account records how much of the change in net worth due to saving and capital transfers is used to acquire non-financial assets and how much is left to be explained by the acquisition of financial assets or liabilities in the financial account.
Resources coming from the disposal of existing assets appear as negative entries on the left-hand side of the account also.
As well as purchases and sales of assets, non-financial assets acquired (or disposed of) via barter or by means of production for own use are included.
10.23 Three headings for the net change in the value of non-financial assets are shown in the capital account:
a. Gross capital formation;
b. Consumption of fixed capital;
c. Acquisitions less disposals of non-produced non-financial assets.
10.24 Gross capital formation shows the acquisition less disposal of produced assets for purposes of fixed capital formation, inventories or valuables.
It is possible (if uncommon) for the gross capital formation of an individual institutional unit or sector to be negative if it sells off enough of its existing assets to other units or sectors.
Table 10.1cont: The capital account - concise form - changes in liabilities and net worth
10.25 Consumption of fixed capital is the decline, during the course of the accounting period, in the current value of the stock of fixed assets owned and used by a producer as a result of physical deterioration, normal obsolescence or normal accidental damage.
When, as recommended in the SNA, the balancing item carried down from the use of income account is net saving, it already reflects the fact that net worth has been reduced by the amount of consumption of fixed capital, the amount by which fixed assets are reduced in the period.
Since the capital account is designed to show the way in which net worth is augmented by the acquisition of non-financial assets, this amount has to be offset from the value of new acquisitions of fixed assets so the addition to the capital stock of fixed assets is a net amount.
For this reason, consumption of fixed capital is recorded as a negative change in assets on the left-hand side of the capital account.
10.26 If it is not feasible to measure consumption of fixed capital because of lack of data, the saving figure carried forward from the use of income account has to be gross.
In this case, there is no entry for consumption of fixed capital in the capital account.
If consumption of fixed capital has to be omitted from both sides of the account, the balancing item of the account is not affected; net lending or borrowing can be derived residually whether or not consumption of fixed capital can be estimated.
However, if consumption of fixed capital is not estimated, the accumulation accounts do not record all changes between two successive balance sheets.
10.27 The remaining item on the left-hand side of the capital account refers to non-produced non-financial assets.
The total value of the acquisitions less disposals of non-produced non-financial assets may also be positive or negative.
Since natural resources are owned by units that are either actually or notionally resident, this part will generally be zero for the economy as a whole.
(An exception exists for land purchased by a foreign government for an embassy or military base.)
However, there may be transactions in contracts, leases and licences or marketing assets with non-resident units.
10.28 The balancing item of the capital account, net lending, is defined as the difference between changes in net worth due to saving and capital transfers and net acquisitions of non-financial assets (acquisitions less disposals of non-financial assets, less consumption of fixed capital).
If the amount is negative it represents net borrowing.
It shows the amount of the resources remaining for purposes of lending or that need to be borrowed.
Even if funds are not actively lent but are retained in cash, or in a bank deposit, the holder of the counterpart obligations represented by these financial assets has in effect borrowed from the unit holding the cash or bank deposit.
10.29 The identity between the balancing items of the capital account and the financial account is an important feature of the set of the accounts as a whole.
What is borrowed by one unit must be lent by another and vice versa.
The conceptual identity between the balancing items provides a check on the numerical consistency of the set of accounts as a whole, although the two balancing items are likely to diverge in practice because of errors of measurement.
10.30 In general in the SNA, and especially in balancing items, the prefix net means excluding the consumption of fixed capital.
For net lending this is not the case; it represents the difference between those assets giving rise to making funds available to other units and those drawing funds from other units.
10.31 Gross capital formation is measured by the total value of the gross fixed capital formation, changes in inventories and acquisitions less disposals of valuables.
Before discussing in detail the entries to be recorded under each of these items, it is necessary to clarify the coverage of the item and the application of accounting rules such as valuation, time of recording and the identification of ownership.
10.32 Gross fixed capital formation is measured by the total value of a producer's acquisitions, less disposals, of fixed assets during the accounting period plus certain specified expenditure on services that adds to the value of non-produced assets.
In order to ensure that the coverage of gross fixed capital formation is precisely defined, it is necessary first to define what does and what does not constitute a fixed asset and what activities are treated as adding to the value of non-produced assets.
10.33 All goods and services supplied to the economy by means of production, imports or the disposal of produced assets must be used for exports, consumption (intermediate or final) or as part of capital formation.
The boundary line between those products that are retained in the economy and are used for consumption and those products that are used for capital formation is known as the asset boundary.
The asset boundary for fixed assets consists of goods and services that are used in production for more than one year.
10.34 Two exclusions from the asset boundary should be noted at the outset.
The first is that consumer durables are not treated as fixed assets.
The services these durables produce are household services outside the production boundary of the SNA.
If, for example, a washing machine were to be treated as a fixed asset, the production boundary would have to be extended to include all laundry services, whether undertaken by machine or by hand.
As it stands, the production boundary restricts laundry services to those services provided to other units but includes services provided by both machine and by hand.
However, owner-occupied dwellings are not treated as consumer durables but are included within the asset boundary.
The owner-occupiers are treated as owners of unincorporated enterprises producing housing services for their own consumption.
10.35 The second exclusion is pragmatic rather than conceptual and concerns small tools.
Some goods may be used repeatedly, or continuously, in production over many years but may nevertheless be small, inexpensive and used to perform relatively simple operations.
Hand tools such as saws, spades, knives, axes, hammers, screwdrivers and spanners or wrenches are examples.
If expenditures on such tools take place at a fairly steady rate and if their value is small compared with expenditures on more complex machinery and equipment, it may be appropriate to treat the tools as materials or supplies used for intermediate consumption.
Some flexibility is needed, however, depending on the relative importance of such tools.
In countries in which they account for a significant part of the value of the total stock of an industry's durable producers' goods, they may be treated as fixed assets and their acquisition and disposal by producers recorded under gross fixed capital formation.
10.36 Not all goods included within the asset boundary must be newly produced.
Since assets have a long life, they may change hands but continue to function as fixed assets for their new owners.
Thus it is important to define what existing fixed assets are and how they are treated in measuring gross fixed capital formation.
10.37 Nor are all services included within the asset boundary immediately recognizable.
Important classes of services are included in the asset boundary because of the impact they have on the value of new or existing assets.
These are improvements to existing assets and the cost of ownership transfer of assets.
These are described below after defining existing fixed assets.
10.38 Because assets have service lives that may range up to 50 years or more for dwellings or other structures, their ownership may change several times before they are eventually scrapped, demolished or abandoned.
An existing fixed asset is one whose value was included in the stock of fixed capital of at least one producer unit in the domestic economy at some earlier point in time either in the current period or in the immediately previous accounting period.
In many countries, well-organized markets exist to facilitate the buying and selling of many kinds of existing fixed assets, notably automobiles, ships, aircraft, dwellings and other structures.
Indeed, the number of existing dwellings bought and sold within a given time period may considerably exceed the number of new dwellings.
In practice, most existing fixed assets will have been used in production by their current owners, but an existing capital good might be sold by its owner before it has actually been used.
10.39 In general, sales or other disposals of existing goods, whether fixed assets or not, are recorded as negative expenditures or negative acquisitions.
Thus, when the ownership of an existing fixed asset is transferred from one resident producer to another, the value of the asset sold, bartered or transferred is recorded as negative gross fixed capital formation by the former and as positive gross fixed capital formation by the latter.
The value of the positive gross fixed capital formation recorded for the purchaser exceeds the value of the negative gross fixed capital formation recorded for the seller by the value of the costs of ownership transfer incurred by the purchaser.
The treatment of these costs is explained in more detail in a later section.
10.40 When the sale takes place between two resident producers, the positive and negative values recorded for gross fixed capital formation cancel out for the economy as a whole except for the costs of ownership transfer.
Similarly, if an existing immovable fixed asset, such as a building, is sold to a non-resident, by convention the latter is treated as purchasing a financial asset that is the equity of a notional resident unit while the notional resident unit is deemed to purchase the asset, so that the sale and purchase of the asset takes place between resident units.
However, if an existing movable fixed asset, such as a ship or aircraft, is exported, no positive gross fixed capital formation is recorded elsewhere in the economy to offset the seller's negative gross fixed capital formation.
10.41 Some durable goods, such as vehicles, may be classified as fixed assets or as consumer durables depending upon the owner and the purpose for which they are used.
If, therefore, the ownership of such a good were transferred from an enterprise to a household to be used for final consumption, negative gross fixed capital formation is recorded for the enterprise and positive consumption expenditure by the household.
If a vehicle owned by a household were to be acquired by an enterprise, it would be recorded as an acquisition of a “new” fixed asset by the enterprise, even though it is an existing good, and as negative consumption expenditure by the household.
A similar treatment is applied to imports of used products acquired by resident producers as assets.
10.42 Thus, it is perfectly possible for gross fixed capital formation to be negative as a result of the sale or disposal of existing fixed assets, although aggregate gross fixed capital formation is unlikely to be negative for large groups of units such as subsectors, sectors or the economy as a whole.
10.43 Gross fixed capital formation may take the form of improvements to existing fixed assets, such as buildings or computer software, that increase their productive capacity, extend their service lives, or both.
By definition, such gross fixed capital formation does not lead to the creation of new assets that can be separately identified and valued, but to an increase in the value of the asset that has been improved.
Accordingly, it is the improved asset that is henceforth relevant to the SNA and on which consumption of fixed capital must be calculated subsequently.
10.44 A different treatment is applied to improvements to land in its natural state.
In this case the improvements are treated as the creation of a new fixed asset and are not regarded as giving rise to an increase in the value of the natural resource.
If land, once improved, is further improved, then the normal treatment of improvements to existing fixed assets applies.
10.45 The distinction between ordinary maintenance and repairs that constitute intermediate consumption and those that are treated as capital formation is not clear cut.
As explained in paragraphs 6.226 to 6.229, ordinary maintenance and repairs are distinguished by two features:
a. They are activities that must be undertaken regularly in order to maintain a fixed asset in working order over its expected service life.
The owner or user of the asset has no choice about whether or not to undertake ordinary maintenance and repairs if the asset in question is to continue to be used in production;
b. Ordinary maintenance and repairs do not change the fixed asset's performance, productive capacity or expected service life.
They simply maintain it in good working order, if necessary by replacing defective parts by new parts of the same kind.
10.46 On the other hand, improvements to existing fixed assets that constitute gross fixed formation must go well beyond the requirements of ordinary maintenance and repairs.
They must bring about significant changes in some of the characteristics of existing fixed assets.
They may be distinguished by the following features:
a. The decision to renovate, reconstruct or enlarge a fixed asset is a deliberate investment decision that may be taken any time, even when the good in question is in good working order and not in need of repair.
Major renovations of ships, buildings or other structures are frequently undertaken well before the end of their normal service lives;
b. Major renovations, reconstructions or enlargements increase the performance or productive capacity of existing fixed assets or significantly extend their previously expected service lives, or both.
Enlarging or extending an existing building or structure constitutes a major change in this sense, as does the refitting or restructuring of the interior of a building or ship or a major extension to or enhancement of an existing software system.
10.47 It is difficult to provide simple objective criteria that enable improvements to be distinguished from repairs because any repair may be said to improve the performance or extend the working life of the unrepaired asset.
For example, machines may cease to function at all because of the failure of one small part.
The replacement of such a part does not, however, constitute gross fixed capital formation.
Thus, improvements have to be identified either by the magnitude of the changes in the characteristics of the fixed assets such as size, shape, performance, capacity, or expected service lives, or by the fact that improvements are not the kinds of changes that are observed to take place routinely in other fixed assets of the same kind, as part of ordinary maintenance and repair programmes.
10.48 Purchasing a fixed asset is often a complicated procedure that may involve using lawyers to establish legal title to the asset, engineers to certify that it is in satisfactory working order and so on. There may also be taxes to be paid occasioned by the change of ownership of the item.
Further, in the case of highly complex machinery there may be significant costs associated with delivery and installation that were not included in the purchase price.
10.49 The benefits to be derived from the use of the asset in production have to cover these costs as well as the initial price of the asset.
Costs incurred on acquisition of an asset are treated as an integral part of the value of that unit's gross fixed capital formation.
The value at which the asset enters the balance sheet of its new owner therefore includes these costs.
This applies to both new and existing assets.
10.50 Just as there may be costs incurred on the acquisition of an asset, there may also be costs incurred on the disposal of an asset.
Some of these may be parallel to those costs incurred on acquisition, for example legal fees and disinstallation costs.
However, in the case of some significantly large and important assets, such as oil rigs and nuclear power stations, there may also be major costs associated with the decommissioning of the asset at the end of its productive life.
For some land sites, such as those used for landfill, there may be large costs associated with rehabilitation of the site.
These are referred to collectively as terminal costs.
10.51 All these costs associated with acquiring and disposing of assets may be described as costs of ownership transfer.
The costs of ownership transfer consist of the following kinds of items:
a. All professional charges or commissions incurred by both units acquiring or disposing of an asset such as fees paid to lawyers, architects, surveyors, engineers and valuers, and commissions paid to estate agents and auctioneers;
b. Any trade and transport costs separately invoiced to the purchaser;
c. All taxes payable by the unit acquiring the asset on the transfer of ownership of the asset;
d. Any tax payable on the disposal of an asset;
e. Any delivery and installation or disinstallation costs not included in the price of the asset being acquired or disposed of; and
f. Any terminal costs incurred at the end of an asset's life such as those required to render the structure safe or to restore the environment in which it is situated.
10.52 All these costs of ownership transfer are treated as gross fixed capital formation.
They are attributed to the purchaser or seller of the asset according to which unit bears the responsibility of meeting the costs.
The time of recording of these costs is discussed below.
The costs are written off via consumption of fixed capital over the period the new owner expects to hold the asset, as discussed in the section on consumption of fixed capital except for the terminal costs that should be written off over the whole life of the asset.
10.53 The general principle for the time of recording of acquisitions less disposals of fixed assets is when the ownership of the fixed assets is transferred to the institutional unit that intends to use them in production.
Except in two special cases, this time is not generally the same as the time at which the fixed assets are produced.
Nor is it necessarily the time at which they are put to use in the production of other goods or services.
10.54 The two exceptions cover assets that take some time to produce such as construction projects and some cultivated biological resources.
In general, incomplete construction projects and immature animals and plantations are treated as work-in-progress.
They are reclassified from inventories to fixed capital when complete and delivered to the unit intending to use them as fixed assets.
However, when the assets are being produced on own account, the partially complete products are recorded as fixed capital formation as work takes place.
10.55 When assets are developed under a contract of sale, the producer records work-in-progress as normal but when stage payments are made, these are regarded as purchase of [part of] a fixed asset or as a trade advance if the value of the stage payment exceeds the value of the work put in place.
In the latter case, work is recorded as fixed capital delivered to the final owner as work proceeds until the trade credit is exhausted.
When there is no contract of sale agreed in advance, the output produced by the enterprise must be recorded as work-in-progress or as additions to the producers' inventories of finished goods, depending on whether the product is completed.
For example, finished dwellings built speculatively remain as additions to the producers' inventories of finished goods until they are sold or otherwise acquired by users.
10.56 In most cases, the ownership of fixed assets is straightforward; it is the unit that acquires the asset for use in production.
There are however, three exceptions to be noted.
One concerns assets subject to a financial lease; the second concerns assets produced by communal effort; the third concerns immovable assets owned by non-residents.
10.57 A financial lease is a contract between a lessor and a lessee whereby the lessor legally owns the good but the terms of the lease are such that the lessee takes over both the economic risks and rewards of using the asset in production.
In effect, therefore, the lessee becomes the economic owner of the asset even if the lessor remains the legal owner.
In these cases, the asset is recorded as being acquired by the lessee in return for a loan extended by the lessor to the lessee.
The asset is then recorded on the balance sheet of the lessee and not the lessor.
The payments due under the lease arrangement are treated as forming a repayment of the principal of the loan and a payment of interest and possibly a service charge.
More details of these arrangements are given in chapter 17.
10.58 Certain structures may be produced for own communal use by groups of households: for example, buildings, roads, bridges, etc.
After they are finished, the ownership of such structures may then be transferred to some government unit that assumes responsibility for their maintenance.
When the transfer occurs, the gross fixed capital formation on own account originally attributed to the group of households is cancelled by their negative gross fixed capital formation resulting from the capital transfer in kind made to the government unit.
The final gross fixed capital formation remaining is that of the government unit resulting from its acquisition of the asset through the capital transfer in kind.
If no such transfer exists and the structure remains the communal property of the group of households responsible for its construction, an NPISH providing collective services should be created.
10.59 A further consideration to be taken into account in determining ownership concerns assets built under a private finance initiative (PFI), sometimes also described as a public-private partnership (PPP) or a build, own, operate, transfer (BOOT) scheme or some other similar shorthand.
Such schemes are under accounting scrutiny at the time of writing.
Provisional guidance on how to ascribe the ownership of such schemes is given in chapter 22.
10.60 All buildings and other structures within the economic territory are deemed, by convention, to be owned by resident units.
If the economic owner (or lessee under a financial lease) would not otherwise qualify as a resident unit, a notional resident unit is created for this purpose.
The notional resident unit is assumed to purchase (or lease) the building or structure.
The legal owner (or lessor) is deemed to hold equivalent equity in the notional resident unit.
If a building or structure is owned in part by a resident unit and in part by one or several non-residents, there is one notional resident unit established with each of the owners having a proportionate share of the equity of the notional resident unit.
10.61 The various components of acquisitions and disposals of fixed assets are listed below:
a. Value of fixed assets purchased;
b. Value of fixed assets acquired through barter;
c. Value of fixed assets received as capital transfers in kind;
d. Value of fixed assets retained by their producers for their own use, including the value of any fixed assets being produced on own account that are not yet completed or fully mature;
less
e. Value of existing fixed assets sold;
f. Value of existing fixed assets surrendered in barter;
g. Value of existing fixed assets surrendered as capital transfers in kind.
Items (a) to (d) include new assets, existing assets, the value of improvements to assets and the cost of ownership transfers in respect of these assets.
Items (e), (f) and (g) include disposals of assets that may cease to be used as fixed assets by their new owners: for example, vehicles sold by enterprises to households for their personal use, assets that are scrapped or demolished by their new owners and assets that are exported.
10.62 Fixed assets acquired through barter are valued at their estimated purchasers' prices plus any costs of ownership transfer.
In practice, neither taxes on products nor transportation costs may apply, in which case the purchasers' prices will not differ from the basic prices of the product.
Fixed assets produced for own gross fixed capital or assets transferred in kind are valued at their estimated basic prices, or by their costs of production when satisfactory estimates of their basic prices cannot be made.
10.63 Special considerations apply to fixed assets produced by communal construction by households.
If the value of the asset must be estimated on the basis of costs, and some or all of the labour is provided free, as may happen, an estimate of what the cost of paid labour would be must be included in the estimated total production costs using wage rates for similar kinds of labour in the vicinity or region.
Otherwise, the value of the finished structure will be seriously underestimated.
However, this estimate is not treated as compensation of employees but as gross mixed income.
This income accrues to the households concerned who are then assumed to use it to “purchase” the final construction.
If the construction is then handed over to government, there is negative gross fixed capital formation recorded by the community offsetting their previously recorded acquisition of the asset and positive gross fixed capital formation recorded by government, along with a capital transfer of the value of the construction from the community to government.
10.64 Gross fixed capital formation in a particular category of fixed asset consists of the value of producers' acquisitions of new and existing products of this type less the value of their disposals of fixed assets of the same type.
Gross fixed capital formation is not recorded until the ownership of the fixed assets is transferred to the unit that intends to use them in production unless it is being constructed to order under a contract agreed in advance.
Thus, new assets that have not yet been sold form part of additions to inventories of finished goods held by the producers of the assets.
Similarly, an imported product is not recorded as gross fixed capital formation until it is acquired by the unit that intends to use it.
10.65 Table 10.2 shows the changes in assets side of table 10.1 expanded to show the entries for transactions in fixed assets.
It will be noted that the SNA recommends showing acquisitions of certain categories of assets separately from disposals of those assets when this provides analytically useful data.
10.66 In presentations of the capital account, gross fixed capital formation is usually shown by type of asset, where the accounting principles of the last paragraph are applied to each category of fixed asset in turn. Table 10.2 also incorporates the classification of fixed assets used in the SNA.
Each of the main categories of fixed assets is defined and described in turn below.
10.67 The SNA does not formally include a division between tangible and intangible assets in the classification.
However, the categories of dwellings, other buildings and structures, machinery and equipment, weapons systems and cultivated biological resources can be taken to correspond to tangible assets and the other categories to intangible assets.
10.68 Dwellings are buildings, or designated parts of buildings, that are used entirely or primarily as residences, including any associated structures, such as garages, and all permanent fixtures customarily installed in residences.
Houseboats, barges, mobile homes and caravans used as principal residences of households are also included, as are public monuments identified primarily as dwellings.
10.69 Examples include products included in CPC 2 class 5311, residential buildings and part of CPC 2.0 group 387. The former class includes single and multiple dwelling buildings as well as residential buildings for communities, retirement homes, hostels, orphans etc.
The latter class includes prefabricated buildings, including those intended for housing or for buildings associated with housing such as garages.
10.70 The costs of clearing and preparing the site for construction are part of the costs of new dwellings (and other buildings and structures) and are therefore included in the value of the buildings.
10.71 Incomplete dwellings are included to the extent that the ultimate user is deemed to have taken ownership, either because the construction is on own-account or as evidenced by the existence of a contract of sale or purchase.
10.72 Dwellings acquired for military personnel are included because they are used for the production of housing services, in the same way as dwellings acquired by civilian units.
10.73 Other buildings and structures comprise non-residential buildings, other structures and land improvements.
These are described in turn below.
10.74 Buildings other than dwellings include whole buildings or parts of buildings not designated as dwellings.
Fixtures, facilities and equipment that are integral parts of the structures are included.
For new buildings, costs of site clearance and preparation are included.
Public monuments identified primarily as non-residential buildings are also included.
10.75 Examples include products included in CPC 2.0 class 5312, non-residential buildings, such as warehouses and industrial buildings, commercial buildings, buildings for public entertainment, hotels, restaurants, schools, hospitals, prisons etc.
Prisons, schools and hospitals are regarded as buildings other than dwellings despite the fact that they may shelter institutional households.
10.76 Other structures include structures other than buildings, including the cost of the streets, sewer, etc.
The costs of site clearance and preparation are also included.
Public monuments for which identification as dwellings or nonresidential buildings is not possible are included as are shafts, tunnels and other structures associated with mining mineral and energy resources, and the construction of sea walls, dykes, flood barriers etc. intended to improve the quality and quantity of land adjacent to them.
The infrastructure necessary for aquaculture such as fish farms and shellfish beds is also included.
10.77 Examples include products included in CPC 2.0 group 532, civil engineering works, such as highways, streets, roads, railways and airfield runways; bridges, elevated highways, tunnels and subways; waterways, harbours, dams and other waterworks; long-distance pipelines, communication and power lines; local pipelines and cables, ancillary works; constructions for mining and manufacture; and constructions for sport and recreation.
Table 10.2: The capital account - the classification of fixed assets
10.78 The construction of new public monuments constitutes gross fixed capital formation and similarly, major improvements to existing public monuments are also included in gross fixed capital formation.
Public monuments are identifiable because of particular historical, national, regional, local, religious or symbolic significance.
They are accessible to the general public, and visitors are often charged for admission to the monuments or their vicinity.
Their owners, who may be government units, non-profit institutions (NPIs), corporations or households, typically use public monuments to produce cultural or entertainment-type services.
In principle, the gross fixed capital formation in public monuments should be included in dwellings, non-residential buildings, and other structures as appropriate; in practice, it may be desirable to classify them with other structures.
Consumption of fixed capital on new monuments, or on major improvements to existing monuments, should be calculated on the assumption of appropriately long service lives.
10.79 Land improvements are the result of actions that lead to major improvements in the quantity, quality or productivity of land, or prevent its deterioration.
Activities such as land clearance, land contouring, creation of wells and watering holes that are integral to the land in question are to be treated as resulting in land improvements.
Activities such as the creation of seawalls, dykes, dams and major irrigation systems which are in the vicinity of the land but not integral to it, which often affect land belonging to several owners and which are often carried out by government, result in assets that are to be classified as structures.
10.80 Land improvements represent a category of fixed assets distinct from the non-produced land asset as it existed before improvement.
Land before improvements are effected remains a non-produced asset and as such is subject to holding gains and losses separately from price changes affecting the improvements.
In cases where it is not possible to separate the value of the land before improvement and the value of those improvements, the land should be allocated to the category that represents the greater part of the value.
10.81 The costs of ownership transfer on all land are to be included with land improvements.
10.82 Machinery and equipment cover transport equipment, machinery for information, communication and telecommunications (ICT) equipment, and other machinery and equipment.
As explained above, machinery and equipment under a financial lease are treated as acquired by the user (lessee) rather than as acquired by the lessor.
Tools that are relatively inexpensive and purchased at a relatively steady rate, such as hand tools, may be excluded.
Also excluded are machinery and equipment integral to buildings that are included in dwellings and nonresidential buildings.
Machinery and equipment other than weapons systems acquired for military purposes are included; weapons systems form another category.
10.83 Machinery and equipment such as vehicles, furniture, kitchen equipment, computers, communications equipment, etc. that are acquired by households for purposes of final consumption are not fixed assets and their acquisition is not treated as gross fixed capital formation.
However, houseboats, barges, mobile homes and caravans that are used as the principal residences of households are treated as dwellings, so that their acquisition by households is included in gross fixed capital formation.
10.84 Transport equipment consists of equipment for moving people and objects.
Examples include products other than parts included in CPC 2.0 division 49, transport equipment, such as motor vehicles, trailers and semi-trailers; ships; railway and tramway locomotives and rolling stock; aircraft and spacecraft; and motorcycles, bicycles, etc.
10.85 Information, computer and telecommunications (ICT) equipment consists of devices using electronic controls and also the electronic components forming part of these devices.
Examples are products within CPC 2.0 categories 452 and 472. In practice, this narrows the coverage of ICT equipment mostly to computer hardware and telecommunications equipment.
10.86 Other machinery and equipment consists of machinery and equipment not elsewhere classified.
Examples include products other than parts and items identified in other categories of fixed capital formation included in CPC 2.0 divisions 43, general purpose machinery; 44, special purpose machinery; 45, office, accounting and computing equipment; 46, electrical machinery and apparatus; 47, radio, television and communication equipment and apparatus; and 48, medical appliances, precision and optical instruments, watches and clocks.
Other examples are products other than parts included in CPC 2.0 groups 337, fuel elements (cartridges) for nuclear reactors; 381, furniture; 383, musical instruments; 384, sports goods; and 423, steam generators except central heating boilers.
10.87 Weapons systems include vehicles and other equipment such as warships, submarines, military aircraft, tanks, missile carriers and launchers, etc.
Most single-use weapons they deliver, such as ammunition, missiles, rockets, bombs, etc., are treated as military inventories.
However, some single-use items, such as certain types of ballistic missile with a highly destructive capability, may provide an ongoing service of deterrence against aggressors and therefore meet the general criteria for classification as fixed assets.
10.88 Cultivated biological resources cover animal resources yielding repeat products and tree, crop and plant resources yielding repeat products whose natural growth and regeneration are under the direct control, responsibility and management of institutional units.
10.89 In general, when the production of fixed assets takes a long time to complete, those assets whose production is not yet completed at the end of the accounting period are recorded as work-in-progress.
However, when the assets are produced on own account they are treated as being acquired by their users at the same time as they are produced and not as work-in-progress.
These general principles also apply to the production of cultivated assets such as animals or trees that may take a long time to reach maturity.
Two cases need to be distinguished from each other: the production of cultivated products by specialized producers, such as breeders or tree nurseries, and the own-account production of cultivated assets by their users.
10.90 In the case of the specialist producers, animals or trees whose production is not yet complete and are not ready for sale or delivery are recorded as work-in-progress.
Examples are one-year-old horses bred for sale as twoyear-old race horses, or young fruit trees that need further growth before being marketable.
Such work-in-progress is recorded and valued in exactly the same way as that originating in any other kind of production.
10.91 However, when animals or trees intended to be used as fixed assets are produced on own account by farmers or others, incomplete assets in the form of immature animals, trees, etc. that are not ready to be used in production are treated not as work-in-progress but as gross fixed capital formation by the producing unit in its capacity as eventual user.
10.92 Animal resources yielding repeat products cover animals whose natural growth and regeneration are under the direct control, responsibility and management of institutional units.
They include breeding stocks, dairy cattle, draft animals, sheep or other animals used for wool production and animals used for transportation, racing or entertainment.
Animals raised for slaughter, including poultry, are not fixed assets but inventories.
Immature cultivated assets are excluded unless produced for own use.
10.93 This heading includes aquatic resources yielding repeat products, consisting of aquatic resources maintained for controlled reproduction.
In all but exceptional cases, though, these will be small and may be ignored unless of significant importance.
10.94 Gross fixed capital formation in livestock that are cultivated for the products they yield year after year (dairy cattle, draught animals, etc.) is measured by the value of acquisitions less disposals, taking account of the treatment just described of immature livestock reared on own account.
It is therefore equal to the total value of all mature animals and immature animals produced on own account acquired by users of the livestock less the value of their disposals.
Disposals consist of animals sold or otherwise disposed of, including those sold for slaughter, plus those animals slaughtered by their owners.
Exceptional losses of animals due to major outbreaks of disease, contamination, drought, famine, or other natural disasters are recorded in the other changes in the volume of assets account and not as disposals.
Incidental losses of animals due to occasional deaths from natural causes form part of consumption of fixed capital.
Consumption of fixed capital of an individual animal is measured by the decline in its value as it gets older.
10.95 Tree, crop and plant resources yielding repeat products cover plants whose natural growth and regeneration are under the direct control, responsibility and management of institutional units.
They include trees (including vines and shrubs) cultivated for fruits and nuts, for sap and resin and for bark and leaf products.
Trees grown for timber that yield a finished product once only when they are ultimately felled are not fixed assets, just as cereals or vegetables that produce only a single crop when they are harvested cannot be fixed assets.
10.96 Gross fixed capital formation in plantations, orchards, etc., consists of the value of the acquisitions less disposals of mature trees, shrubs, etc., including acquisitions of immature trees, shrubs, etc., produced on own account.
As explained above, the value of the latter may be approximated, if necessary, by the value of costs incurred in their production during the period: for example, the costs of preparing the ground, planting, staking, protection from weather or disease, pruning, training, etc., until the tree reaches maturity and starts to yield a product.
Disposals consist of trees, shrubs, etc., sold or otherwise transferred to other units plus those cut down before the end of their service lives.
All agricultural output is at the mercy of the weather.
Expected output must take account of normal variations in climatic conditions and exceptional losses should be confined to those outside recent past experience.
Disposals do not include exceptional losses of trees due to drought or other natural disasters such as gales or hurricanes, these being recorded in the other changes in the volume of assets account.
10.97 The costs of ownership transfer on non-produced assets represent produced assets but their value cannot be integrated with the value of another produced asset.
They must therefore be shown as a separate category of gross fixed capital formation.
An exception is made in the case of land where costs of ownership transfer are treated by convention as land improvements.
Costs of ownership transfer are defined in paragraphs 10.48 to 10.52.
10.98 Examples of intellectual property products are the results of research and development, mineral exploration and evaluation, computer software and databases, and entertainment, literary or artistic originals.
They are characterized by the fact that most of their value is attributable to intellectual endeavour.
They can be described in general terms in the following way. Intellectual property products are the result of research, development, investigation or innovation leading to knowledge that the developers can market or use to their own benefit in production because use of the knowledge is restricted by means of legal or other protection.
The knowledge may be embodied in a free-standing product or may be embodied in another.
When the latter is the case, the product embodying the knowledge has an increased price relative to a similar product without this embodied knowledge.
The knowledge remains an asset as long as its use can create some form of monopoly profits for its owner.
When it is no longer protected or becomes outdated by later developments, it ceases to be an asset.
10.99 Some intellectual property products are used solely by the unit responsible for their development or by a single unit to whom the product is transferred.
Mineral exploration and evaluation is an example.
Other products, such as computer software and artistic originals, are used in two forms.
The first is the original or “master copy”. This is frequently controlled by a single unit but exceptions exist as explained below.
The original is used to make copies that are in turn supplied to other units.
The copies may be sold outright or made available under a licence.
10.100 A copy sold outright may be treated as a fixed asset if it satisfies the necessary conditions, that is, it will be used in production for a period in excess of one year.
A copy made available under a licence to use may also be treated as a fixed asset if it meets the necessary conditions, that is, it is expected to be used in production for more than one year and the licensee assumes all the risks and rewards of ownership.
A good, but not necessary, indication is if the licence to use is purchased with a single payment for use over a multiyear period.
If the acquisition of a copy with a licence to use is purchased with regular payments over a multiyear contract and the licensee is judged to have acquired economic ownership of the copy, then it should be regarded as the acquisition of an asset.
If regular payments are made for a licence to use without a long-term contract, then the payments are treated as payments for a service.
If there is a large initial payment followed by a series of smaller payments in succeeding years, the initial payment is recorded as gross fixed capital formation and the succeeding payments are treated as payments for a service.
If the licence allows the licensee to reproduce the original and subsequently assume responsibility for the distribution, support and maintenance of these copies, then this is described as a licence to reproduce and should be regarded as the sale of part or whole of the original to the unit holding the licence to reproduce.
10.101 When copies are distributed by the owner free of charge, then no flows between the owner and recipients are recorded in the SNA.
If, despite making copies freely available, the owner still expects to obtain benefits, then the present value of those benefits should be recorded in its balance sheet.
It may be that when the information was distributed freely it was incomplete and the owner intends to make more detailed information available at a price later.
Software distributed freely at the beta test stage is one example.
Alternatively, the owner justifies the expenditure on the basis of the benefits to its own production and may make copies available for marketing purposes, generating goodwill or in cases it considers deserving.
10.102 It is often the case for some intellectual property products that some of the benefits accrue to units other than the owner to the extent they stimulate the production of other intellectual property products by other units.
Examples of such spillovers include a breakthrough in the development of a new class of drug leading other enterprises to develop competing drugs of the same type, and the success or failure of mineral exploration in a particular zone informing other units with exploration rights in a neighbouring zone.
These are treated in the same way as other externalities in the SNA.
Unless there is a quantifiable monetary impact for one or both parties, nothing is recorded in the SNA.
A Handbook on Deriving Capital Measures of Intellectual Property Products (Organisation for Economic Cooperation and Development, forthcoming) is under preparation.
10.103 Intellectual property products include the results of research and development (R&D).
Research and [experimental] development consists of the value of expenditures on creative work undertaken on a systematic basis in order to increase the stock of knowledge, including knowledge of man, culture and society, and use of this stock of knowledge to devise new applications.
This does not extend to including human capital as assets within the SNA.
The value of research and development (R&D) should be determined in terms of the economic benefits it is expected to provide in the future.
This includes the provision of public services in the case of R&D acquired by government.
In principle, R&D that does not provide an economic benefit to its owner does not constitute a fixed asset and should be treated as intermediate consumption.
Unless the market value of the R&D is observed directly, it may, by convention, be valued at the sum of costs, including the cost of unsuccessful R&D, as described in chapter 6.
10.104 R&D should be recognized as part of capital formation.
In order to achieve this, several issues have to be addressed.
These include deriving measures of research and development, price indices and service lives.
Specific guidelines, together with handbooks on methodology and practice, will provide a useful way of working towards solutions that give the appropriate level of confidence in the resulting measures.
10.105 With the inclusion of R&D expenditure as capital formation, patented entities no longer feature as assets in the SNA.
The patent agreement is to be seen instead as the legal agreement concerning the terms on which access to the R&D is granted.
The patent agreement is a form of licence to use which is treated as giving rise to payments for services or the acquisition of an asset.
10.106 Mineral exploration and evaluation consists of the value of expenditures on exploration for petroleum and natural gas and for non-petroleum deposits and subsequent evaluation of the discoveries made.
These expenditures include prelicence costs, licence and acquisition costs, appraisal costs and the costs of actual test drilling and boring, as well as the costs of aerial and other surveys, transportation costs, etc., incurred to make it possible to carry out the tests.
Re-evaluations may take place after commercial exploitation of the reserve has started and the cost of these re-evaluations is also included in gross fixed capital formation.
10.107 Mineral exploration is undertaken in order to discover new deposits of minerals or fuels that may be exploited commercially.
Such exploration may be undertaken on own account by enterprises engaged in mining or the extraction of fuels.
Alternatively, specialized enterprises may carry out exploration either for their own purposes or for fees.
The information obtained from exploration influences the production activities of those who obtain it over a number of years.
The expenditures incurred on exploration within a given accounting period, whether undertaken on own account or not, are therefore treated as expenditures on the acquisition of an intellectual property product and included in the enterprise's gross fixed capital formation.
10.108 The expenditures included in gross fixed capital formation include not only the costs of actual test drillings and borings, but also the costs incurred to make it possible to carry out tests, for example, the costs of aerial or other surveys, transportation costs, etc.
The value of the resulting asset is not measured by the value of new deposits discovered by the exploration but by the value of the resources allocated to exploration during the accounting period.
When the activities are carried out by contractors, the prices charged by these contractors, including their operating surplus, become part of the value of the expenditures incurred.
Consumption of fixed capital may be calculated for such assets by using average service lives similar to those used by mining or oil corporations in their own accounts.
10.109 Computer software and databases are grouped together because a computerized database cannot be developed independently of a database management system (DBMS), which is itself computer software.
10.110 Computer software consists of computer programs, program descriptions and supporting materials for both systems and applications software.
Gross fixed capital formation in computer software includes both the initial development and subsequent extensions of software as well as acquisition of copies that are classified as assets.
10.111 The development of computer software represents the development of an intellectual property product.
It is treated as an asset if it is to be used in production by its owner for more than one year.
The software may be intended only for own use or may be intended for sale by means of copies.
If copies of the software are sold on the market, their treatment follows the principles described in paragraph 10.100.
Software purchased on the market is valued at purchasers' prices, while software developed inhouse is valued at its estimated basic price, or at its costs of production if it is not possible to estimate the basic price.
10.112 Databases consist of files of data organized in such a way as to permit resource-effective access and use of the data.
Databases may be developed exclusively for own use or for sale as an entity or for sale by means of a licence to access the information contained.
The standard conditions apply for when an own-use database, a purchased database or the licence to access a database constitutes an asset.
10.113 The creation of a database will generally have to be estimated by a sum-of-costs approach.
The cost of the data base management system (DBMS) used should not be included in the costs but be treated as a computer software asset unless it is used under an operating lease.
The cost of preparing data in the appropriate format is included in the cost of the database but not the cost of acquiring or producing the data.
Other costs will include staff time estimated on the basis of the amount of time spent in developing the database, an estimate of the capital services of the assets used in developing the database and costs of items used as intermediate consumption.
10.114 Databases for sale should be valued at their market price, which includes the value of the information content.
If the value of a software component is available separately, it should be recorded as the sale of software.
10.115 Entertainment, literary and artistic originals consist of the original films, sound recordings, manuscripts, tapes, models, etc., on which drama performances, radio and television programming, musical performances, sporting events, literary and artistic output, etc., are recorded or embodied.
Such works are frequently developed on own account.
Subsequently they may be sold outright or by means of licences.
The standard conditions on when the originals and copies are recognized as fixed assets apply.
If an original is acquired as a valuable, its production does not count as own account production of a fixed asset but it may have been classified as work-in-progress.
10.116 An original purchased on the market is valued at the purchaser's price.
One developed in-house is valued at its estimated basic price or at its costs of production if it is not possible to estimate the basic price.
10.117 Other intellectual property products include any such products that constitute fixed assets but are not captured in one of the specific items above.
10.118 Changes in inventories are measured by the value of the entries into inventories less the value of withdrawals and less the value of any recurrent losses of goods held in inventories during the accounting period.
Some of these acquisitions and disposals are attributable to actual purchases or sales, but others reflect transactions that are internal to the enterprise.
10.119 It is useful to distinguish between two functions performed by an enterprise: its function as a producer of goods and services and its function as an owner of assets.
When a good is entered into inventories it is acquired as an asset by the enterprise in its capacity as owner either by purchase (or barter) or by an internal transaction with itself as the producer.
Conversely, a good leaving inventories represents the disposal of an asset by the owner either by sale or other use, by an internal transfer to the producer or possibly as a result of recurrent losses (recurrent wastage, accidental damage or pilfering).
10.120 Most goods going into inventories simply remain there until they are withdrawn in the same state as when they entered.
Not infrequently, the price of the goods will have increased while they are in inventories, but these increases are not due to production but are simply holding gains.
There are some goods, though, where the passage of time in store changes the character of the goods.
In such cases, the increase in value due to storage is to be treated as production and not as holding gains, though holding gains (or losses) may occur as well.
10.121 The indication that storage is being undertaken as a production activity is that the price of the good stored, relative to the general level of prices, is expected to increase by a certain amount over a predetermined time.
For example, winter wheat may be expected, on the basis of past experience, to fetch a given multiple of its price at harvest.
Similarly, wine that is several years old is more valuable than the current year's vintage by a predictable factor.
10.122 The activity of storage may be undertaken by any institutional unit, not just the original producer of the product or may be undertaken by several units in succession if the ownership of the goods changes during storage.
10.123 The goods in storage are classified as work-in-progress and not finished goods.
The increase in value during the accounting period up to the expected level at that time is treated as production of storage; any difference from this level is treated as a holding gain or loss.
The method of valuing storage is described in the annex-to-chapter 6.
The expected level of price increase for items being stored for more than one year, though, needs to be calculated in accordance with the principles of valuing work-in-progress described below.
10.124 The enterprise in its capacity as a producer may obtain goods or services for intermediate consumption either by purchasing them on the market for immediate use or by internal transfers out of inventories.
In order to ensure that all the goods and services used for intermediate consumption are consistently valued at current prices, the goods transferred out of inventories are valued at purchasers' prices current at the time of the withdrawal from inventories.
10.125 Similarly, the output produced by the producer may either be sold or otherwise disposed of or be transferred to inventories as finished products or work-in-progress.
In order to ensure that output is consistently valued, finished goods transferred into inventories are valued as if they were sold at that time, while additions to work-in-progress are given the value they have at the time they are added to inventories.
Table 10.3: The capital account - changes in inventories and valuables
10.126 Much work-in-progress is of short duration and occurs only because production is a continuous process and some goods will be incomplete at the end of one accounting period but will be completed long before the end of the next.
10.127 For agricultural products, this method of allocating output over multiple periods may not be satisfactory.
10.128 There are important activities, such as construction of buildings, structures and complex machinery, where the production process may take several years.
10.129 Even if one fifth of the work involved is put in place annually over a period of five years, it does not follow that one fifth of the value (assuming zero inflation for simplicity) should be recorded in each year.
Valuation of work-in-progress
For output with a production period of a year or less, and assuming that prices and costs remain stable during the period of production, the value of the additions to work-inprogress for non-agricultural products within a given accounting period can be approximated by calculating the proportion of the total production costs incurred in that period and applying that ratio to the basic price realized by the finished product.
Thus, the value of the output of the finished product is distributed over the accounting periods in which it was produced in proportion to the costs incurred in each period.
If the average levels of prices and costs change from period to period, the output should be allocated initially using the prices and costs at the time the production is finished, and then the values of the work-inprogress thus calculated for earlier periods should be recalculated in proportion to the change in average cost levels from period to period.
A disproportionate share of the costs may be incurred in sowing a crop with little if any costs being incurred until harvest.
Prorating the output to the physical growth of the crop may be considered a possibility but in cases where there is serious risk of climatic damage just before the crop is harvested, this may give over-optimistic indications of probable output.
Pragmatic distributions over quarters based on past experience may have to be used, or where multicropping is the norm, to allow the whole output of each crop to be counted in the period when it is harvested.
In these cases, the valuation of the partially complete product requires careful consideration especially since such large projects are by their nature very costly.
The work put in place in the first year cannot be used for four more years and so the value of it must be discounted to allow for this delay.
In the second year, the value of the work put in place in the first year will increase by one discount factor and this should be added to the value of the work put in place in the second year and so on. This case is discussed in more detail in chapter 20.
10.130 The transactions in the capital account relating to inventories show the change in the level of inventories of each type.
The changes comprise the additions less withdrawals and less regular losses from inventories. Table 10.3 shows the expansion of table 10.1 to incorporate changes in inventories.
Each of the categories is described and defined below.
10.131 Materials and supplies consist of all products that an enterprise holds in inventory with the intention of using them as intermediate inputs into production.
Not all necessarily get used in this way, however, as some may be lost as a result of physical deterioration, or recurrent accidental damage or pilfering.
Such losses of materials and supplies are recorded and valued in the same way as materials and supplies actually withdrawn to be used up in production.
10.132 Enterprises may hold a variety of quite different kinds of goods under the heading of materials and supplies, the most common types being fuels, industrial raw materials, agricultural materials, semi-processed goods, components for assembly, packaging materials, foodstuffs, office supplies, etc.
Every enterprise, including non-market producers owned by government units, may be expected to hold some inventories of materials and supplies, if only inventories of office supplies.
10.133 Materials and supplies do not include works of art or stocks of precious metals or stones acquired by enterprises as valuables.
However, there are some producers that do use gold, diamonds, etc. as intermediate inputs into the production of other goods or services, for example, manufacturers of jewellery or dentists.
Stocks of gold, diamonds, etc., intended for use in production are recorded under materials and supplies.
10.134 Work-in-progress consists of output produced by an enterprise that is not yet sufficiently processed to be in a state in which it is normally supplied to other institutional units.
Work-in-progress occurs in all industries, but is especially important in those in which some time is needed to produce a unit of finished output, for example, in agriculture, or in industries producing complex fixed assets such as ships, dwellings, software or films.
Work-inprogress can therefore take a wide variety of different forms ranging from growing crops to partially completed film productions or computer programs.
Although work-inprogress is output that has not reached the state in which it is normally supplied to others, its ownership is nevertheless transferable, if necessary.
For example, it may be sold under exceptional circumstances such as the liquidation of the enterprise.
10.135 Work-in-progress must be recorded for any output that is not complete at the end of the accounting period.
This is a particular problem for output taking a long time to complete, such as construction.
The shorter the accounting period, the more important work-in-progress is likely to be relatively to finished output.
In particular, it is likely to be more significant for quarterly accounts than annual accounts, if only because the production of many agricultural crops is completed within a year but not necessarily within a quarter.
The only exceptions to recording incomplete work as work-in-progress are for partially completed projects for which the ultimate owner is deemed to have taken ownership, either because the production is for own use or as evidenced by the existence of a contract of sale or purchase.
10.136 Reductions in work-in-progress take place when the production process is completed.
At that point, all work-inprogress is reclassified as a finished product.
This reclassification appears in the other changes in the volume of assets account.
10.137 If prices and costs have risen, work-in-progress carried forward from previous periods must be revalued using the prices and costs of the period in which the production is finished.
10.138 Current losses from work-in-progress resulting from physical deterioration or recurrent accidental damage or pilfering should be deducted from the additions to work-inprogress accruing as a result of the production carried out in the same period.
10.139 Work-in-progress is subdivided between work-in-progress on cultivated assets and other work-in-progress, as defined below.
10.140 Work-in-progress on cultivated biological resources consists of output that is not yet sufficiently mature to be in a state in which it is normally supplied to other institutional units.
In the present context it is necessary to distinguish single-use plants, trees and livestock that produce an output once only (when the plants or trees are cut down or uprooted or the livestock slaughtered) from trees (including vines and shrubs) and livestock that are used repeatedly or continuously for more than one year to produce outputs such as fruit, nuts, rubber, milk, wool, power, transportation and entertainment.
Work-in-progress should be recorded for single use resources.
For repeat yield resources, being cultivated on own account, or under an agreed contract with another unit, the growth is counted as fixed capital formation and so excluded from inventories.
Any remaining cultivation of resources with repeat yields should be included in work-in-progress.
This may be the case for nurseries and breeders of race horses or other special animals, for example.
10.141 Other work-in-progress consists of output (other than on cultivated biological resources) that is not yet sufficiently processed to be in a state in which it is normally supplied to other institutional units.
10.142 Finished goods consist of goods produced as outputs that their producer does not intend to process further before supplying them to other institutional units.
A good is finished when its producer has completed his intended production process, even though it may subsequently be used as an intermediate input into other processes of production.
Thus, inventories of coal produced by a mining enterprise are classified as finished products, although inventories of coal held by a power station are classified under materials and supplies.
Inventories of batteries produced by a manufacturer of batteries are finished goods, although inventories of the same batteries held by manufacturers of vehicles and aircraft are classified under materials and supplies.
10.143 Inventories of finished goods may be held only by the enterprises that produce them.
Finished goods entering inventories are valued at the basic prices of those goods at the times the entries take place; finished goods withdrawn from inventories are valued at the basic prices at the time when their withdrawals take place.
Current losses of finished goods resulting from physical deterioration or recurrent accidental damage or pilfering should be valued at the prices at the time when the losses occur.
10.144 Military inventories consist of single-use items, such as ammunition, missiles, rockets, bombs, etc., delivered by weapons or weapons systems.
As noted above in the discussion of weapons systems as fixed capital, most single-use items are treated as inventories but some types of missiles with highly destructive capability may be treated as fixed capital because of their ability to provide an ongoing deterrence service against aggressors.
10.145 Goods for resale are goods acquired by enterprises, such as wholesalers or retailers, for the purpose of reselling them to their customers.
Goods for resale are not processed further by the enterprises that purchase them, except for presenting them for resale in ways that are attractive to their customers.
Thus, goods for resale may be transported, stored, graded, sorted, washed, packaged, etc. by their owners but are not otherwise transformed.
10.146 Goods for resale entering the inventories of the enterprises are valued at their actual or estimated purchasers' prices.
These prices include any additional transportation charges paid to enterprises other than the suppliers of the goods, but not the costs of any transport services produced on own account by the enterprise taking delivery.
In principle, goods acquired by barter are valued at their estimated purchasers' prices at the time of acquisition.
However, because there are no taxes or margins on bartered goods, the purchaser's price is the same as the basic price.
10.147 Goods for resale withdrawn from inventories are valued at the purchasers' prices at which they can be replaced at the time they are withdrawn as distinct from the purchasers' prices that may have been paid for them when they were acquired.
Reductions in inventories are valued in this way whether the goods withdrawn are sold at a profit or at a loss, or even not sold at all as a result of physical deterioration or recurrent accidental damage or pilfering.
10.148 By convention, goods acquired by government for distribution as social transfers in kind but that have not yet been so delivered are also included in goods for resale.
10.149 Valuables include precious metals and stones, antiques and other art objects and other valuables.
However, not all items that may be described by one of these titles should necessarily be included as a valuable in the balance sheet of the owner.
The intent of the heading is to capture those items that are often regarded as alternative forms of investment.
At various times, investors may choose to buy gold rather than a financial asset and pension funds have been known to buy “old master” paintings when the prices of financial assets were behaving in a volatile manner.
Individuals (households in SNA terminology) may also choose to acquire some of these items knowing that they may be sold if there is a need to raise funds.
10.150 Costs of ownership transfer, such as valuers' and auctioneers' margins, are often incurred when valuables are exchanged.
As with other non-financial assets, these costs are treated as gross capital formation and included in the value of the items when recorded in the balance sheet.
10.151 A possible categorization of valuables is: precious metals and stones; antiques and other art objects; and other valuables.
This list should be regarded as indicative and supplementary rather than a standard breakdown.
The context of each category is described to assist in identifying and valuing valuables.
10.152 Precious metals and stones are treated as valuables when they are not held by enterprises for sale or use as inputs into processes of production nor are held as monetary gold and are not held as a financial asset in the form of unallocated metal accounts.
10.153 Paintings, sculptures, etc., recognized as works of art and antiques are treated as valuables when they are not held by enterprises for sale.
In principle, museum exhibits are included under valuables.
10.154 Other valuables not elsewhere classified include such items as collections of stamps, coins, china, books etc. that have a recognized market value and fine jewellery, fashioned out of precious stones, and metals of significant and realizable value.
10.155 The concept of consumption of fixed capital is first described and defined in chapter 6 in connection with the difference between gross and net value added and then carries through all subsequent balancing items that may also be shown gross or net of consumption of fixed capital.
The capital account is where the counterpart entry to the entry in the production account appears though unusually it appears on the same side as in the production account but with a negative sign rather than on the opposite side of the account.
10.156 Consumption of fixed capital constitutes a negative change in the value of the fixed assets used in production.
Consumption of fixed capital must be measured with reference to a given set of prices, that is, the average prices of the type of asset of constant quality over the period.
It may then be defined as the decline, between the beginning and the end of the accounting period, in the value of the fixed assets owned by an enterprise, as a result of their physical deterioration and normal rates of obsolescence and accidental damage.
Consumption of fixed capital may be deducted from gross fixed capital formation to obtain net fixed capital formation to match the balancing item of net saving carried down from the use of income account.
10.157 Consumption of fixed capital applies to all fixed assets and for every year the asset is in use in production.
Because costs of ownership transfer are treated as fixed assets, including terminal costs, they are also subject to consumption of fixed capital.
All buildings and other structures are assumed to have finite service lives, even when properly maintained, so that consumption of fixed capital is calculated for all such fixed assets, including railways, roads, bridges, tunnels, airports, harbours, pipelines, dams, etc.
Service lives are not determined purely by physical durability, and many pieces of equipment as well as buildings and structures are eventually scrapped because they have become obsolete.
However, the service lives for some structures such as certain roads, bridges, dams, etc., may be as long as a century or more.
10.158 The costs of ownership transfer on the acquisition and disposal of a fixed asset are treated as gross fixed capital formation and included in the value of the asset on acquisition and disposal as recorded in the capital account and in the value of the asset in the balance sheet.
However, although consumption of fixed capital is calculated on the value of the asset excluding the costs of ownership transfer over the whole of its life, the consumption of fixed capital in respect of the costs of ownership transfer is calculated only over the period that the owner expects to hold the asset.
In this way there are no remaining costs of ownership transfer included in the value of the asset when it is sold to a new owner, so the amount the old owner receives is equal to the amount the new owner pays except for any costs of ownership transfer incurred by the new owner.
10.159 In the case of natural resources other than land, the costs of ownership transfer are shown as transactions in gross fixed capital formation in the capital account separately from the acquisition and disposal of natural resources, but the value of the natural resources in the balance sheet includes the value of the costs of ownership transfer.
The costs of ownership transfer are still written off according to the expected length of time the owner will hold the asset and treated as consumption of fixed capital in the relevant production account.
10.160 In the case of land, costs of ownership transfer are treated as a part of land improvement, which is itself treated as a produced asset.
The value of land improvements other than the costs of ownership transfer is written off over a suitably long period but the costs of ownership transfer are written off over the period the owner expects to own the land.
10.161 In principle, the value of consumption of fixed capital cumulated over the life of an asset, once price changes are taken into account, should be equal to the difference between the acquisition and disposal values.
In the case of assets with actual costs at the time of disposal, this means that consumption of fixed capital should cover anticipated terminal costs.
Terminal costs should therefore be written off over the whole life of the asset, regardless of the number of owners during the life of the asset.
Immediately before the disposal, the value of the asset will have a negative value which is reduced to zero when the terminal costs incurred are treated as gross fixed capital formation.
The apparent oddity of an asset with negative value reflects the fact that the owner not only could not sell it but would have to pay another unit to take over responsibility for the asset.
10.162 In practice, it may be difficult to predict terminal costs accurately.
In that case, cumulated consumption of fixed capital may not cover all the terminal costs.
However, the full costs are still treated as gross fixed capital formation and any amount not already covered by consumption of fixed capital during the life of the asset is written off at the time the costs are incurred as consumption of fixed capital.
This is a pragmatic recommendation and will lead to NDP being overstated over the time the asset is in use and understated in the year when the remaining costs are incurred.
10.163 There is further discussion on the treatment of costs of ownership transfer and terminal costs in chapter 20.
10.164 There are three distinct types of non-produced non-financial assets in the SNA: natural resources, contracts, leases and licences, and goodwill and marketing assets.
These three types of assets have little in common except that they are all non-produced and non-financial.
A separate section discusses each of the three.
10.165 Table 10.4 shows table 10.1 expanded to show the standard detail of non-produced non-financial assets.
Each of the categories is discussed under the appropriate section.
10.166 Not all environmental resources qualify as economic assets.
It is useful, therefore, to delineate those naturally occurring resources that fall within the asset boundary of the SNA from those that do not.
10.167 In the first place, it must be noted that the accounts and balance sheets of the SNA are compiled for institutional units or groups of units and can only refer to the values of assets that belong to the units in question.
Only those naturally occurring resources over which ownership rights have been established and are effectively enforced can therefore qualify as economic assets and be recorded in balance sheets.
They do not necessarily have to be owned by individual units, and may be owned collectively by groups of units or by governments on behalf of entire communities.
Certain naturally occurring resources, however, may be such that it is not feasible to establish ownership over them: for example, air, or the oceans.
In addition, there may be others that cannot be treated as economic assets because they do not actually belong to any particular units.
These include not only those whose existence is unknown but also those, including uncultivated forests, that may be known to exist but remain so remote or inaccessible that, in practice, they are not under the effective control of any units.
10.168 Secondly, in order to comply with the general definition of an economic asset, natural assets must not only be owned but must also be capable of bringing economic benefits to their owners, given the technology, scientific knowledge, economic infrastructure, available resources and set of relative prices prevailing on the dates to which the balance sheet relates or expected to do so in the near future.
Thus, known deposits of minerals that are not commercially exploitable in the foreseeable future are not included in the balance sheets of the SNA, even though they may possibly become commercially exploitable at a later date as a result of major, unforeseen advances in technology or major changes in relative prices.
10.169 Naturally occurring assets in the form of biota (trees, vegetation, animals, birds, fish, etc.) are renewable.
The growth and regeneration of trees, crops or other vegetation or the rearing of animals, birds, fish, etc., may take place under the direct control, responsibility and management of institutional units.
In this situation, the assets are cultivated, and the activity is treated as falling within the production boundary of the SNA.
The growth of animals, birds, fish, etc., living in the wild, or growth of uncultivated vegetation in forests, is not an economic process of production so that the resulting assets cannot be classed as produced assets.
Nevertheless, when the forests or the animals, birds, fish, etc. are actually owned by institutional units and are a source of benefit to their owners, they constitute economic assets.
When wild animals, birds, fish, etc. live in locations such that no institutional unit is able to exercise effective ownership rights over them they fall outside the asset boundary.
Similarly, the forests or other vegetation growing in such regions are not counted as economic assets.
On the other hand, fish stocks in the high seas which are subject to international agreement on how much may be caught by individual countries may be counted as falling within the asset boundary.
10.170 All owners and purchasers of land and immovable natural resources within the economic territory are deemed to have a centre of economic interest in the economy.
If an owner or purchaser would not otherwise qualify as a resident unit, a notional resident unit is created for this purpose.
The notional resident unit is deemed to purchase the land while the non-resident is deemed to purchase the equity of the notional unit and thus acquires a financial instead of a non-financial asset.
Thus, all purchases and sales of land normally take place between resident units.
The one exception is when the boundaries of the economic territory itself are changed, for example, when a foreign government, or international organization, purchases or sells land that is added to, or taken away from, the enclave in which its embassy or offices are located.
10.171 Moreover, as purchases and sales of land and natural resources are recorded excluding costs of ownership transfer for both buyers and sellers, the total value of the purchases and sales of land and natural resources must be equal to each other at the level of the total economy, although not at the level of individual sectors or subsectors.
10.172 Similarly, it is assumed that extraction of subsoil resources can only be undertaken by resident institutional units.
As soon as an enterprise starts to prepare to establish for extraction, for example by obtaining the requisite licences, it is assumed to become resident at that point.
10.173 Since natural resources are non-produced, the costs of ownership transfer, which are part of fixed capital formation, must be shown separately in the capital account and not as part of the value of the transaction in the non-produced asset.
For land, the costs of ownership transfer are treated, by convention, as being included with land improvements.
Table 10.4: The capital account - non-produced non-financial assets
10.174 Transactions in natural resources are shown as acquisitions less disposals of the asset in question, according to the classification given in table 10.4.
10.175 Land consists of the ground, including the soil covering and any associated surface waters, over which ownership rights are enforced and from which economic benefits can be derived by their owners by holding or using them.
10.176 As explained above, land improvements and the costs of ownership transfer on land are treated as fixed assets and shown separately.
10.177 Buildings, or other structures, and plantations are often purchased or sold together with the land on which they are situated, without separate valuations being placed on the structures and the land.
10.178 The SNA does not specify a disaggregation of land but it is recommended that if a disaggregation is required, it should be according to that used in the SEEA.
10.179 Mineral and energy resources consist of mineral and energy reserves located on or below the earth's surface that are economically exploitable, given current technology and relative prices.
10.180 The transactions in mineral and energy resources recorded in the capital account refer to acquisitions or disposals of deposits of mineral and energy resources in which the ownership of such assets passes from one institutional unit to another.
10.181 Again if a disaggregation is required, it is recommended to follow that in the SEEA.
10.182 Non-cultivated biological resources consist of animals, birds, fish and plants that yield both once-only and repeat products over which ownership rights are enforced but for which natural growth or regeneration is not under the direct control, responsibility and management of institutional units.
10.183 In the SEEA, this category is further split into aquatic resources, animal resources other than aquatic resources, tree, crop and plant resources.
10.184 Water resources consist of surface and groundwater resources used for extraction to the extent that their scarcity leads to the enforcement of ownership or use rights, market valuation and some measure of economic control.
10.185 The category other natural resources currently includes radio spectra.
Transactions in natural resources
Land
The value of land excludes any buildings or other structures situated on it or running through it; cultivated crops, trees and animals; mineral and energy resources; non-cultivated biological resources and water resources below the ground.
The associated surface water includes any inland waters (reservoirs, lakes, rivers, etc.) over which ownership rights can be exercised and that can, therefore, be the subject of transactions between institutional units.
However, water bodies from which water is regularly extracted, against payment, for use in production (including for irrigation) are included not in water associated with land but in water resources.
In consequence, acquisitions and disposals of natural land are recorded at the same value for both the purchaser and the seller.
Since both parties to the transaction must be residents, it follows that, for the economy as a whole, the aggregate value of total purchases of land must equal the aggregate value of total sales, although this is not generally true at lower levels of aggregation, such as individual sectors or subsectors.
The value of acquisitions less disposals of land is thus zero for the economy as a whole (excluding transactions that change the boundary of the economic territory itself, as noted in paragraph 10.170.
Even if it is not feasible to obtain separate valuations, as may be the case for existing structures, it may be possible to determine which out of the land or the structure accounts for most of their combined value and to classify the transaction as the purchase of land or of a structure depending upon which has the greater value.
If it is not possible to determine whether the land or the structure is the more valuable, by convention, the transaction should be classified as the purchase of a structure, that is, as gross fixed capital formation.
A similar convention holds for plantations.
Mineral and energy resources
Ownership rights to the mineral and energy resources are usually separable from those to the land itself.
Mineral and energy resources consist of known reserves of coal, oil, gas or other fuels and metallic ores, and non-metallic minerals, etc., that are located below or on the earth's surface, including reserves under the sea.
The transactions recorded in the capital account refer only to those mineral and energy resources over which ownership rights have been established.
In most cases, mineral and energy resources may be owned separately from land below which they are located, but in other cases the law may stipulate that the ownership of the mineral and energy resources is inseparably linked to that of the land.
Reductions in the value of known reserves of mineral and energy resources resulting from their depletion as a result of extracting the assets for purposes of production are not recorded in the capital account but in the other changes in the volume of assets account.
Non-cultivated biological resources
Examples are virgin forests and fisheries within the territory of the country.
Only those resources that are currently, or are likely soon to be, exploitable for economic purposes should be included.
Aquatic resources are further split into aquatic resources in national waters including the exclusive economic zone (EEZ) and those in the high seas.
Water resources
If it is not possible to separate the value of surface water from the associated land, the whole should be allocated to the category representing the greater part of the total value.
Other natural resources
Given the increasing move to carry out environmental policy by means of market instruments, it may be that other natural resources will come to be recognized as economic assets.
If so, this is the category to which they should be allocated.
10.186 Contracts, leases and licences are treated as assets only when both the following conditions are satisfied.
a. The terms of the contract, lease or licence specify a price for the use of an asset or provision of a service that differs from the price that would prevail in the absence of the contract, lease or licence.
b. One party to the contract must be able legally and practically to realize this price difference.
The second condition presupposes that a market for the contract exists.
It is recommended that in practice contracts, leases and licences should only be recorded in the accounts when the holder does actually exercise his right to realize the price difference.
10.187 Part 5 of chapter 17 discusses the whole question of the treatment of leases within the SNA and should be consulted if there is doubt about whether a contract, lease or licence should be treated as an asset.
10.188 As with natural resources, the costs of ownership transfer on the acquisition and disposal of contracts, leases and licences should be shown separately as gross capital formation.
10.189 There are four classes of contracts, leases and licences considered to be assets in the SNA: marketable operating leases, permits to use natural resources, permits to undertake specific activities and entitlement to future goods and services on an exclusive basis.
10.190 Marketable operating leases are third-party property rights relating to fixed assets.
An example is where a tenant of a building has a fixed rental but the building could fetch a higher rental in the absence of the lease.
If, in these circumstances, the tenant is able both legally and practically to sublet the building, then he has an asset of the type of a marketable operating lease.
10.191 Permits to use natural resources are third-party property rights relating to natural resources.
An example is where a person holds a fishing quota and he is able, again both legally and practically, to sell this to another person.
10.192 A permit to undertake a specific activity is one where:
a. the permits are limited in number and so allow the holders to earn monopoly profits,
b. the monopoly profits do not come from the use of an asset belonging to the permit-issuer,
c. a permit holder is able both legally and practically to sell the permit to a third party.
Such permits are issued mainly by government but may also be issued by other units.
10.193 When governments restrict the number of cars entitled to operate as taxis or limit the number of casinos permitted by issuing licences, they are in effect creating monopoly profits for the approved operators and recovering some of the profits as the fee.
The incentive to acquire such a licence is that the licensee believes that he will thereby acquire the right to make monopoly profits at least equal to the amount he paid for the licence.
This stream of future income is treated as an asset if the licensee can realize this by on-selling the asset.
The type of asset is described as a permit to undertake a specific activity.
The value of the asset is determined by the future stream of monopoly profits.
10.194 It is less common for units other than government to be able to limit the participation in a given activity.
One instance may be where the owner of property limits the numbers of units allowed to operate on his property, for example a hotel with a policy of only allowing one taxi firm to pick up guests.
In this sort of case, the permits are treated as giving rise to payments for services.
There is no reason in principle why such permits could not be treated as assets if they were marketable though this may not be a common situation.
10.195 Entitlement to future goods and services on an exclusive basis relates to the case where one party which has contracted to purchase goods or services at a fixed price at a time in the future is able to transfer the obligation of the second party to the contract to a third party.
Examples are footballers' contracts, a publisher's exclusive right to publish new works by a named author or issue recordings by named musicians.
10.196 Potential purchasers of an enterprise are often prepared to pay a premium above the net value of its individually identified and valued assets and liabilities.
This excess is described as “goodwill” and reflects the value of corporate structures and the value to the business of an assembled workforce and management, corporate culture, distribution networks and customer base.
It may not have value in isolation from other assets, but it enhances the value of those other assets.
Looked at another way, it is the addition to the value of individual assets because they are used in combination with each other.
10.197 Goodwill cannot be separately identified and sold to another party.
The value has to be derived by deducting from the sale value of the corporation the value of assets and liabilities classified elsewhere within the asset boundary of the SNA.
(In practice, since it is estimated as a residual, an estimate of goodwill will also reflect errors and omissions in the valuation of other assets and liabilities.)
10.198 As well as residual errors, the value of goodwill may include the value to the corporation of items known as marketing assets.
Marketing assets consist of items such as brand names, mastheads, trademarks, logos and domain names.
A brand can be interpreted as far more than just a corporate name or logo.
It is the overall impression a customer or potential customer gains from their experience with the company and its products.
Interpreted in that wider sense it can also be seen to encompass some of the characteristics of goodwill such as customer loyalty.
10.199 The value of goodwill and marketing assets is defined as the difference between the value paid for an enterprise as a going concern and the sum of its assets less the sum of its liabilities, each item of which has been separately identified and valued.
Although goodwill is likely to be present in most corporations, for reasons of reliability of measurement it is only recorded in the SNA when its value is evidenced by a market transaction, usually the sale of the whole corporation.
Exceptionally, identified marketing assets may be sold individually and separately from the whole corporation in which case their sale should also be recorded under this item.
10.200 Capital transfers are unrequited transfers where either the party making the transfer realizes the funds involved by disposing of an asset (other than cash or inventories), by relinquishing a financial claim (other than accounts receivable) or the party receiving the transfer is obliged to acquire an asset (other than cash or inventories) or both conditions are met.
Capital transfers are often large and irregular but neither of these are necessary conditions for a transfer to be considered a capital rather than a current transfer.
Table 10.5: The capital account - capital transfers - changes in liabilities and net worth
10.201 A current transfer reduces the income and consumption possibilities of the first party and increases the income and consumption possibilities of the second party.
Current transfers are therefore not linked to, or conditional on, the acquisition or disposal of assets by one or both parties to the transaction.
10.202 Some cash transfers may be regarded as capital by one party to the transfer but as current by the other.
For example, the payment of an inheritance tax may be regarded as the transfer of capital by the taxpayer but be regarded as a current receipt by government because it receives many such transfers.
Similarly, a large country that makes investment grants to a number of smaller countries may regard the grants as current transfers even though they are specifically intended to finance the acquisition of capital assets.
In an integrated system of accounts, such as the SNA, it is not feasible, however, to classify the same transaction differently in different places.
Accordingly, a transfer should be classified as capital for both parties even if it involves the acquisition or disposal of an asset, or assets, by only one of the parties.
By convention, social transfers are always treated as current transfers.
10.203 There may be cases in which it is difficult to decide on the evidence available whether to classify a cash transfer as current or capital.
When there is serious doubt, the transfer should be classified as current rather than capital.
It should be noted, however, that the decision as to which way to classify a transfer has important consequences for the allocation of saving between sectors and subsectors, and possibly between the economy as a whole and the rest of the world.
Other things being equal, a current transfer increases the saving of the recipient and reduces that of the donor, whereas a capital transfer does not affect the saving of either party.
If, therefore, cash transfers are incorrectly classified between current and capital, the saving behaviour recorded for the units or subsectors involved may be misleading for purposes of economic analysis and policymaking.
10.204 As explained in chapter 9, transfers may take place in cash or in kind.
A capital transfer in kind necessarily concerns the change of ownership of a product previously recorded as a non-financial asset in the accounts of the donor.
In this case, the four entries relating to the transaction are all recorded in the capital account.
Two relate to the transfer of wealth implied by a capital transfer; the other two are shown as disposal of the asset being transferred by the donor and its acquisition by the recipient.
The treatment of fixed assets produced by communal construction and then transferred to government to maintain is discussed in paragraph 10.58.
10.205 All other capital transfers have two entries in the capital account and two in the financial account.
In the case of debt forgiveness, the two entries in the financial account show the reduction in the debt liability of the recipient towards the donor and the claim of the donor on the recipient.
Other capital transfers are recorded as a transfer in cash and show a decrease in cash or deposits of the donor and an increase by the recipient.
10.206 The value of a non-financial asset being transferred is the estimated price at which the asset, whether new or used, could be sold on the market plus any transport, installation or other costs of ownership transfer incurred by the donor but excluding any such charges incurred by the recipient.
Transfers of financial assets, including the cancellation of debts, are valued in the same way as other acquisitions or disposals of financial assets or liabilities.
10.207 Capital taxes consist of taxes levied at irregular and infrequent intervals on the values of the assets or net worth owned by institutional units or on the values of assets transferred between institutional units as a result of legacies, gifts inter vivos or other transfers.
They include capital levies and taxes on capital transfers:
a. Capital levies consist of taxes on the values of the assets or net worth owned by institutional units levied at irregular, and very infrequent, intervals of time.
Capital levies are treated as exceptional both by units concerned and by the government.
They may be payable by households or enterprises.
They include betterment levies: that is, taxes on the increase in the value of agricultural land due to planning permission being given by government units to develop the land for commercial or residential purposes (GFSM2001 tax code 1133; OECD 4500));
b. Taxes on capital transfers consist of taxes on the values of assets transferred between institutional units.
They consist mainly of inheritance taxes, or death duties, and gift taxes, including gifts inter vivos made between members of the same family to avoid, or minimize, the payment of inheritance taxes.
They do not include taxes on sales of assets as these are not transfers (GFSM2001 tax code 1134; OECD 4300).
10.208 Investment grants consist of capital transfers made by governments to other resident or non-resident institutional units to finance all or part of the costs of their acquiring fixed assets.
The recipients are obliged to use investment grants for purposes of gross fixed capital formation, and the grants are often tied to specific investment projects, such as large construction projects.
If the investment project continues over a long period of time, an investment grant in cash may be paid in instalments.
Payments of instalments continue to be classified as capital transfers even though they may be recorded in a succession of different accounting periods.
10.209 Investment grants in kind consist of transfers of transport equipment, machinery and other equipment by governments to other resident or non-resident units and also the direct provision of buildings or other structures for resident or non-resident units.
These may be constructed by enterprises owned by the donor government or by other enterprises that are paid directly by the donor government.
In such cases, a capital transfer in cash is usually recorded followed by purchase of the items actually transferred in kind.
Exceptionally, if the transfer is of an existing asset, and the recipient is resident, the transfer of ownership of the asset may be recorded as negative capital formation by government and positive capital formation by the recipient, but a capital transfer is still also recorded so that the balance sheet of both parties correctly reflects the change in net worth that has taken place.
10.210 Other capital transfers consist of all capital transfers except capital taxes and investment grants.
One notable category included here is the cancellation of debt by mutual agreement between the creditor and the debtor.
Such a cancellation is treated as a capital transfer from the creditor to the debtor equal to the value of the outstanding debt at the time of cancellation.
It includes, but is not confined to, the cancellation of debt owed by non-residents to residents, and vice versa.
10.211 However, the unilateral writing off of debt is not a transaction between institutional units and therefore does not appear either in the capital account or the financial account of the SNA.
If the creditor accepts such a write off or default, it should be recorded in the other changes in the volume of assets account of the creditor and the debtor.
Provisions for bad debt are treated as bookkeeping entries that are internal to the enterprise and do not appear in the SNA except in the case of expected losses on non-performing loans, which appear as memorandum items in the balance sheets.
The unilateral repudiation of debt by a debtor is also not a transaction and is not recognized in the SNA.
10.212 Capital transfers may take various other forms, of which some examples are given below:
a. Major payments in compensation for extensive damages or serious injuries not covered by insurance policies.
The payments may be awarded by courts of law or settled out of court.
They may be made to resident or non-resident units.
They include payments of compensation for damages caused by major explosions, oil spillages, the side effects of drugs, etc.;
b. Exceptionally large insurance settlements in the wake of a disaster.
For more details on when this is the appropriate form of recording see chapter 17;
c. Transfers from government units to publicly or privately owned enterprises to cover large operating deficits accumulated over two or more years;
d. Transfers from central government to units at lower levels of government to cover some, or all, of the costs of gross fixed capital formation or large expenditure deficits accumulated over two or more years;
e. Legacies or large gifts inter vivos, including legacies to NPIs;
f. Exceptionally large donations by households or enterprises to NPIs to finance gross fixed capital formation: for example, gifts to universities to cover the costs of building new residential colleges, libraries, laboratories, etc.;
g. Transfers of responsibility for pension entitlements, for example when general government assumes responsibility for pensions provision from an employer;
h. Community built assets where responsibility for maintenance is then assumed by government or by an NPISH.
11.1 The financial account is the final account in the full sequence of accounts that records transactions between institutional units.
Net saving is the balancing item of the use of income accounts, and net saving plus net capital transfers receivable or payable can be used to accumulate non-financial assets.
If they are not exhausted in this way, the resulting surplus is called net lending.
Alternatively, if net saving and capital transfers are not sufficient to cover the net accumulation of non-financial assets, the resulting deficit is called net borrowing.
This surplus or deficit, net lending or net borrowing, is the balancing item that is carried forward from the capital account into the financial account.
The financial account does not have a balancing item that is carried forward to another account, as has been the case with all the accounts discussed in previous chapters.
It simply explains how net lending or net borrowing is effected by means of changes in holdings of financial assets and liabilities.
The sum of these changes is conceptually equal in magnitude, but on the opposite side of the account, to the balancing item of the capital account.
11.2 The financial account records transactions that involve financial assets and liabilities and that take place between resident institutional units and between resident institutional units and the rest of the world.
The left-hand side of the account (table 11.1) records acquisitions of financial assets less disposals, while the right-hand side records incurrence of liabilities less their repayment.
11.3 As described in chapter 3, an asset is defined as follows.
An asset is a store of value representing a benefit or series of benefits accruing to the economic owner by holding or using the entity over a period of time.
It is a means of carrying forward value from one accounting period to another.
11.4 Benefits are exchanged by means of payments.
From this a financial claim, and hence a liability, can be defined.
There are no non-financial liabilities recognized in the SNA, thus the term liability necessarily refers to a liability that is financial in nature.
11.5 A liability is established when one unit (the debtor) is obliged, under specific circumstances, to provide a payment or series of payments to another unit (the creditor).
The most common circumstance in which a liability is established is a legally binding contract that specifies the terms and conditions of the payment(s) to be made and payment according to the contract is unconditional.
11.6 In addition, a liability may be established not by contract but by long and well-recognized custom that is not easily refuted.
Some payments by government to individuals fall under this category.
In these cases, the creditor has a valid expectation of payment, despite the lack of a legally binding contract.
Such liabilities are called constructive liabilities.
11.7 Whenever either of these types of liability exists, there is a corresponding financial claim that the creditor has against the debtor.
A financial claim is the payment or series of payments due to the creditor by the debtor under the terms of a liability.
Like the liabilities, the claims are unconditional.
In addition, a financial claim may exist that entitles the creditor to demand payment from the debtor but whereas the payment by the debtor is unconditional if demanded, the demand itself is discretionary on the part of the creditor.
11.8 Financial assets consist of all financial claims, shares or other equity in corporations plus gold bullion held by monetary authorities as a reserve asset.
Gold bullion held by monetary authorities as a reserve asset is treated as a financial asset even though the holders do not have a claim on other designated units.
Shares are treated as financial assets even though the financial claim their holders have on the corporation is not a fixed or predetermined monetary amount.
11.9 The accounting rules of the SNA, explained in chapter 3, describe how the quadruple principle of accounting is implemented.
When a good, service, asset or liability is sold by one institutional unit to another, two pairs of entries are recorded.
The first pair records the supply of the item by one unit and the acquisition by the other.
The second pair of entries records the second party supplying the means of payment for the item, and the first party receiving this.
Similar quadruple entries are required in respect of transactions involving property income and transfers.
The second pair of entries usually appears in the financial account though in a few cases of transfers in kind, the second pair of entries may appear as negative and positive final consumption expenditure or disposal and acquisition of a non-financial asset.
In all cases except the acquisition of a financial asset or settlement of a liability, the first pair of entries appears in one or more of the non-financial accounts.
In the case of the exchange of a financial instrument, all four entries appear in the financial account.
11.10 There are thus two reasons for entries in the financial account.
The first reason is as counterpart to entries in other accounts; the second is to record transactions involving the exchange of financial assets and liabilities only, so both the original and the counterpart entries are recorded in the financial account.
11.11 Transactions involving the transfer of ownership of a good or non-financial asset, or the provision of a service or labour almost always entail a counterpart entry in the financial account for means of payment or claims on future means of payment.
Even many transactions in kind, such as barter sales and remuneration in kind, conceptually lead to entries in the financial account.
If unit A provides a product of value x to unit B, expecting another product of the same value in return, A has a financial claim of x on B. This financial claim is settled and thus no longer needs to be recorded when B fulfils delivery of the product promised.
Entries in the financial account are needed when all elements of the in-kind transaction are not completed simultaneously.
11.12 The sale of a good, service, or asset may have as its counterpart a change in currency or transferable deposit.
Alternatively, the counterpart may be reflected in the financial account in a trade credit or other category of accounts receivable or payable.
11.13 Whenever one financial asset is exchanged for another or when a liability is repaid with a financial asset, transactions are recorded only in the financial account.
These transactions change the distribution of the portfolio of financial assets and liabilities and may change the totals of both financial assets and liabilities, but they do not change the difference between total financial assets and liabilities.
For example, trade credits are extinguished by payments.
The claim represented by the trade credit no longer exists when the debtor provides means of payment to the creditor.
The resulting four entries in the financial account are:
a. the creditor reduces its holdings of trade credits and increases its means of payment (currency or transferable deposits); and
b. the debtor reduces its liabilities (in the form of trade credits) and reduces its financial assets (in the form of means of payment).
11.14 When existing financial assets are exchanged for other financial assets, all entries take place in the financial account and only affect assets.
For example, if a debt security such as an existing bond is sold by one institutional unit to another on the secondary market, the seller reduces his holdings of securities and increases his holdings of means of payment by an equal amount.
The purchaser increases his holdings of securities and decreases his holdings of means of payment.
11.15 When a new financial asset is created through the incurrence of a liability by an institutional unit, all related entries are also made in the financial account.
For example, a corporation may issue short-term securities in exchange for means of payment.
The financial account of the corporate sector accordingly shows an increase in liabilities in the form of securities and an increase in financial assets in the form of means of payment; the financial account of the purchasing sector shows a reduction in assets in the form of means of payment and an increase in assets in the form of securities.
11.16 Some sectors or subsectors are net lenders while others are net borrowers.
When institutional units engage in financial transactions with each other, the surplus resources of one sector can be made available by the units concerned for use by other sectors.
The financial account indicates how deficit, or net borrowing, sectors obtain the necessary financial resources by incurring liabilities or reducing assets and how the net lending sectors allocate their surpluses by acquiring financial assets or reducing liabilities.
The account also shows the relative contributions of various categories of financial assets to these transactions.
Table 11.1: The financial account - concise form - changes in assets
11.17 The evolution of net lending can be seen clearly in table 11.1.
Non-financial corporations are shown to have a net borrowing requirement of 72. This requirement is financed by incurring liabilities of 135 and acquiring financial assets of 63; the difference between the two equals net borrowing.
Similarly, the household sector, which has a net lending balance of 206, achieves this result by acquiring financial assets of 220 and incurring liabilities of 14.
11.18 Although much borrowing and lending is routed through financial intermediaries, some borrowers can transact directly with non-financial lenders.
For example, governments can issue securities in the market; these securities can be purchased by households, non-financial corporations and the rest of the world as well as by financial institutions.
In many other cases, financial intermediaries have as their special function the creation of a financial market that links lenders and borrowers indirectly.
The financial institution incurs liabilities to net lenders through taking deposits or issuing securities and providing the financial resources thus mobilized to borrowers, for example in the form of loans, holding of debt securities and holdings of equity securities.
Thus, their transactions in financial assets and liabilities will be comparatively large relative to other sectors and to the size of their own net lending or borrowing.
In table 11.1, the financial corporations sector has a net borrowing of 15, which is financed by net incurrence of liabilities of 182 and net acquisition of financial assets of 167.
11.19 An examination of the financial transactions of the subsectors of the financial corporations sector, in addition to those of the consolidated financial sector, is often useful.
11.20 It is important to note that, for each institutional sector, the financial account indicates the types of financial instruments utilized by that sector to incur liabilities and acquire financial assets.
The financial account does not, however, indicate to which sectors the liabilities are incurred and on which sectors the assets indicate financial claims.
A more detailed and complex analysis of financial flows between sectors is discussed in chapter 27.
The analysis there illustrates debtor or creditor relationships by type of financial asset.
11.21 In the hypothetical case of a closed economy in which resident institutional units do not engage in transactions with non-residents, the total net lending and total net borrowing of the various sectors would have to be equal since the net borrowing requirements of deficit sectors would be met by net lending of surplus sectors.
For the economy as a whole, net lending or borrowing would have to be zero.
This equality reflects the symmetric nature of financial assets and liabilities.
When residents engage in transactions with non-residents, the sum of the net lending and net borrowing of each of the sectors making up the total economy must equal the economy's net lending to, or borrowing from, the rest of the world.
In table 11.1 the total economy has acquired financial assets of 436 and incurred liabilities of 426. Net lending for the total economy to the rest of the world is therefore 10.
11.22 Many types of contractual financial arrangements between institutional units do not give rise to unconditional requirements either to make payments or to provide other objects of value; often the arrangements themselves do not have transferable economic value.
These arrangements, which are often referred to as contingencies, are not actual current financial assets and are not recorded in the SNA.
The principal characteristic of contingencies is that one or more conditions must be fulfilled before a financial transaction takes place.
One-off guarantees of payment by third parties are contingencies since payment is only required if the principal debtor defaults.
Until the default is evident, the value of the one-off guarantee should be shown as a memorandum item.
Loan commitments provide a guarantee that funds will be made available but no financial asset exists until funds are actually advanced.
Letters of credit constitute promises to make a payment conditional upon the presentation of certain documents specified by contract.
Underwritten note issuance facilities (NIFs) provide a guarantee that a potential debtor will be able to sell short-term securities (notes) that he issues and that the bank or banks issuing the facility will take up any notes not sold in the market or will provide equivalent advances.
The facility itself is contingent, and the creation of the facility gives rise to no entry in the financial account.
Only if the underwriting institution is requested to make funds available will it acquire an actual asset, which is recorded in the financial account.
Table 11.1cont: The financial account - concise form - changes in liabilities and net worth
11.23 Certain financial derivatives are not treated as contingent financial assets but as actual assets.
These are described in section C below.
Standardized guarantees are also treated as giving rise to actual and not contingent liabilities.
A standardized guarantee is one where many guarantees of similar characteristics are issued.
Even though the probability of any one guarantee being called is uncertain, the fact that there are many similar guarantees means that a reliable estimate of the number of calls under the guarantee can be made.
Liabilities of this sort where the size of the liability may be determined probabilistically are often described as provisions.
The term liability is used when the fact that payment will be required and the amount of the payment or the way in which the amount will be calculated are agreed.
The term provision is used when the fact that a payment will be required is regarded as certain but there is no agreement on how the amount payable will be determined.
A contingent liability is one where the size of payment may or may not be known with certainty but there is uncertainty about whether there will be a payment required or not.
11.24 For the purposes of the SNA, the treatment of contingencies is simple.
Any payments of fees related to the establishment of contingent arrangements are treated as payments for services.
Transactions are recorded in the financial account only when an actual financial asset is created or changes ownership.
However, by conferring certain rights or obligations that may affect future decisions, contingent arrangements obviously produce an economic impact on the parties involved.
Collectively, such contingencies may be important for financial programming, policy, and analysis.
Therefore, where contingent positions are important for policy and analysis, it is recommended that information be collected and presented as supplementary data.
Even though no payments may eventually be due for contingent liabilities, the existence of a high level of them may indicate an undesirable level of risk on the part of those units offering them.
An example is an overdraft facility on a bank account, which is contingent until exercised.
11.25 Country practices vary in determining which instruments are considered contingent and which are considered actual assets to be recorded in the balance sheet.
Flexibility in the application of this recommendation is required to take national practices and variations in the nature of these instruments into account.
An example, which is quantitatively important in trade financing, is the bankers’ acceptance.
A banker’s acceptance involves the acceptance by financial institutions of drafts or bills of exchange and the unconditional promise to pay a specific amount at a specified date.
The banker’s acceptance represents an unconditional claim on the part of the holder and an unconditional liability on the part of the accepting bank; the bank’s counterpart asset is a claim on its customer.
For this reason, the banker’s acceptance is treated as an actual financial asset in the SNA even though no funds may have been exchanged.
11.26 There are other circumstances where future payments are not treated as assets, even though both the size of the payment and the fact that it will be paid are known with a high degree of certainty.
One example is that although a bank loan may be granted to an individual using the fact that he is in permanent employment with a regular wage as security, the promise of future earnings is not recognized as a financial asset; nor are future receipts from sales for an enterprise nor a stream of future tax revenue for government.
11.27 Because of the symmetry of financial claims and liabilities, the same classification can be used to portray both assets and liabilities.
Further, the same classification is used in all accumulation accounts for financial transactions.
Within the SNA, the term “instrument” may be used to relate to the asset or liability aspect of an item on the financial balance sheet.
In monetary statistics, some off-balance sheet items may also be described as instruments.
The use of the same term in the SNA is for convenience only and does not imply an extension of the coverage of assets and liabilities to include these off-balance-sheet items.
11.28 Two classes of financial assets that cannot properly be equated with identified claims over other designated institutional units are included in the classification of financial instruments.
The first class is gold bullion owned by monetary authorities and others subject to the monetary authorities’ effective control and held as a financial asset and as a component of foreign reserves.
There is no matching liability for gold bullion.
The second class is shares, other corporate equity securities and financial participations.
These do not have fixed redemption values, as is the case for many other financial assets, but represent claims by the share holders on the net worth of the corporation.
11.29 Table 11.2 shows an elaboration of table 11.1 incorporating the classification of financial instruments.
The exact coverage and the definition of each of the items are described in section C along with an explanation of the types of transactions appearing in the financial account that apply to each instrument.
The remainder of this section deals with general matters of classification and the application of the accounting rules of the SNA as they apply to transactions in financial instruments.
11.30 The detail in which the classification is employed depends on the institutional sector to be analysed.
The types of financial assets in which households transact are more limited than those for other sectors, and sources of information are generally more limited than those for other sectors.
Financial corporations, on the other hand, transact in the full range of instruments, and information on their operations is often the most detailed and timely of any institutional units.
Consequently, a detailed breakdown may be developed for financial corporations.
Blanks, rather than zeros in table 11.2 show where entries are conceptually impossible; zeros show that entries are possible but expected to be small.
11.31 The standard items in the classification of financial assets and liabilities provide a useful basis for international comparison of national data.
Presentation of data for individual countries, however, must be tailored to meet their analytical needs and to reflect national practices.
Thus the particular form of presentation chosen may reflect differing institutional arrangements, the extent and nature of national financial markets, the complexity of financial assets available, and the degree of regulation and other financial control exercised.
For this reason, a number of supplementary items are suggested for use in addition to the standard components of the SNA.
These are described together with the standard items in section C.
11.32 The classification of financial transactions has become more difficult because of financial innovation that has led to the development and increased use of new and often complex financial assets and other financial instruments to meet the needs of investors with respect to maturity, yield, avoidance of risk, and other factors.
The identification issue is further complicated by variations in characteristics of financial instruments across countries and variations in national practices on accounting and classification of instruments.
These factors tend to limit the scope for firm recommendations with respect to the treatment of certain transactions within the SNA.
Thus, a substantial amount of flexibility, particularly with regard to further breakdowns, is required to match the classification scheme to national capabilities, resources and needs.
In particular, further breakdowns of the standard items are desirable for many countries to distinguish important types of assets within categories (such as short-term securities included in measures of money).
11.33 Financial claims can be distinguished as to whether they are negotiable or not.
A claim is negotiable if its legal ownership is readily capable of being transferred from one unit to another unit by delivery or endorsement.
While any financial instrument can potentially be traded, negotiable instruments are designed to be traded on organized and other markets.
Negotiability is a matter of the legal form of the instrument.
Those financial claims that are negotiable are referred to as securities.
Some securities may be legally negotiable, but there is not, in fact, a liquid market where they can be readily bought or sold.
Securities include shares and debt securities; listed financial derivatives, such as warrants, are sometimes considered to be securities.
11.34 The payments required under a contract relating to financial assets and liabilities almost always represent more than one transaction in the sense used in the SNA.
Payments of interest on loans and deposits, as specified by financial institutions, involve both interest as recorded in the SNA and a service fee, which is the service payment to the financial institution for making the loan available or safeguarding the deposit.
The buying and selling prices for foreign currency and shares are usually different; the difference between the buying price and mid-price represents a service provided to and charged to the buyer and the difference between the mid-price and selling price a service provided to and charged to the seller.
The mid-price is the mid-point of the buying and selling price at the time a transaction takes place; if the purchase and sale of a share, for instance, do not take place simultaneously, the midpoint for the sale and purchase price at the time of sale and of purchase will not necessarily be equal.
For some financial instruments, for example bonds, the increase in value over time is taken to represent interest, not simply a price increase in the value of the asset.
In some cases more than one adjustment may be needed to the apparent transaction value to identify and re-route both the service charge and interest associated with the asset.
11.35 It is essential that the value of the transactions in financial instruments recorded in the financial account carefully excludes these service charges and interest payments.
Part 4 of chapter 17 describes the adjustments necessary to make these exclusions on an instrument-by-instrument basis.
11.36 Financial transactions with respect to proprietors' net additions to the accumulation of equity in quasi-corporations and changes in households' claims on insurance companies and pension funds raise complex issues of valuation that are referred to in the relevant item under classification of these categories below and more extensively in chapter 17.
11.37 In principle, the two parties to a financial transaction should record the transaction at the same point in time.
When the counterpart to an entry in the financial account is in another account, the time of recording of financial claims is to be aligned with the time of recording in the other accounts of the transactions that gave rise to the financial claim.
For example, when sales of goods or services give rise to a trade credit, the entries in the financial accounts should take place when ownership of the goods is transferred or when the service is provided.
Similarly, when accounts receivable or payable arise from transactions related to taxes, compensation of employees and other distributive transactions, the entries in the financial account should take place when the entries are made in the relevant non-financial account.
11.38 When all entries relating to a transaction pertain only to the financial account, they should be recorded when the ownership of the asset is transferred.
This point in time is usually clear when the transaction involves the sale of existing financial assets.
When the transaction involves the incurrence or redemption of a liability, both parties should record the transaction when the liability is incurred or redeemed.
In most cases, this will occur when cash or some other financial asset is paid by the creditor to the debtor or repaid by the debtor to the creditor.
11.39 In practice, the two parties to a financial transaction may perceive the transaction as being completed at different points in time.
This is especially true when trade credits or other accounts payable or receivable are extinguished by final payments and there is a lag between the point in time when payments are made and received, creating a “float”. There are several stages at which creditors and debtors could record a transaction.
The debtor could record the liability as being extinguished when the cheque or other means of payment is issued to the creditor.
A substantial period of time may elapse before the creditor receives the means of payment and records the payment in his accounts.
There may then be further time-lags between presentation of a cheque to a bank, cheque clearance, and final settlement of the transaction.
Asymmetries in time of recording of this transaction are, therefore, likely to emerge unless the debtor records his transaction on a “cheques cleared” basis, a fairly uncommon accounting procedure.
A financial claim exists up to the point that the payment is cleared and the creditor has control of the funds; this would be the optimal point in time for recording the transaction.
The float, in practice, may be very large and may affect, in particular, transferable deposits, trade credits, and other accounts receivable.
This effect is especially pronounced in countries where the postal system and bank clearing procedures are weak.
When the float is significant and accounts for large discrepancies in reporting, it is necessary to develop estimates of the size of the float in order to adjust the accounts.
11.40 As described in chapter 3, netting is a process whereby entries on alternate sides of the account for the same transaction item and same institutional unit are offset against one another.
In general the preference of the SNA is to avoid netting where possible but this may not always be possible and for some particular analyses, not always desirable.
11.41 The degree of netting at which transactions in financial assets and liabilities should be recorded depends to a great extent on the analysis for which the data are to be used.
In practice, the degree of netting will depend on how data can be reported, and reporting may vary substantially for different classes of institutional units.
If detailed information on financial transactions is maintained and reported, gross presentations are possible; if transactions must be inferred from balance sheet data, a certain level of netting is inevitable.
A number of degrees of netting can be identified:
a. no netting or fully gross reporting in which purchases and sales of assets are separately recorded, as are the incurrence and repayment of liabilities;
b. netting within a given specific asset, such as subtracting sales of bonds from acquisition of bonds and redemption of bonds from new incurrences of liabilities in the form of bonds;
c. netting within a given category of assets, such as subtracting all disposals of debt securities from all acquisitions of such assets;
d. netting transactions in liabilities against transactions in assets in the same asset category; and
e. netting transactions in groups of liability categories against transactions in assets in the same groups.
11.42 Transactions recorded in the financial account represent net acquisition of assets and net incurrence of liabilities.
However, it is clear that, when data are collected on as gross a basis as possible, they can be netted to whatever degree is necessary for a particular use; when data are collected net, they cannot be grossed up. In general, netting beyond the level described in (c) above is discouraged as it hinders the usefulness of the financial accounts for tracing how the economy mobilizes resources from institutional units with positive net lending and transmits them to net borrowers.
For detailed flow of funds analysis, gross reporting or netting at level (b) above is desirable, particularly for analysis of securities, but netting at level (c) above still provides useful information on financial flows.
11.43 Consolidation in the financial account refers to the process of offsetting transactions in assets for a given group of institutional units against the counterpart transactions in liabilities for the same group of institutional units.
Consolidation can be performed at the level of the total economy, institutional sectors, and subsectors.
Different levels of consolidation are appropriate for different types of analysis.
For example, consolidation of the financial accounts for the total economy emphasizes the economy's financial position with the rest of the world since all domestic financial positions are netted on consolidation.
Consolidation for sectors permits the tracing of overall financial movements between sectors with positive net lending and those with net borrowing and the identification of financial intermediation.
Consolidation only at the subsector level for financial corporations can provide much more detail on intermediation and allow, for example, the identification of the central bank's operations with other financial intermediaries.
Another area where consolidation can be instructive is within the general government sector when transactions between the various levels of government are consolidated. Chapter 22 makes a specific recommendation in this regard.
Within the main sequence of accounts, however, the SNA discourages consolidation.
11.44 Monetary gold and Special Drawing Rights (SDRs) issued by the International Monetary Fund (IMF) are assets that are normally held only by monetary authorities.
11.45 Monetary gold is gold to which the monetary authorities (or others who are subject to the effective control of the monetary authorities) have title and is held as a reserve asset.
It comprises gold bullion (including gold held in allocated gold accounts) and unallocated gold accounts with non-residents that give title to claim the delivery of gold.
All monetary gold is included in reserve assets or is held by international financial organizations.
Only gold that is held as a financial asset and as a component of foreign reserves is classified as monetary gold.
Therefore, except in limited institutional circumstances, gold bullion can be a financial asset only for the central bank or central government.
Transactions in monetary gold consist of sales and purchases of gold among monetary authorities.
Purchases (sales) of monetary gold are recorded in the financial account of the domestic monetary authority as increases (decreases) in assets, and the counterparts are recorded as decreases (increases) in assets of the rest of the world.
Transactions in non-monetary gold (including non-reserve gold held by the monetary authorities and all gold held by financial institutions other than the monetary authorities) are treated as acquisitions less disposals of valuables (if the sole purpose is to provide a store of wealth) and otherwise as final or intermediate consumption, change in inventories, exports or imports.
Deposits, loans, and securities denominated in gold are treated as financial assets (not as gold) and are classified along with similar assets denominated in foreign currencies in the appropriate category.
A discussion on the treatment of allocated and unallocated gold accounts appears under currency and deposits.
11.46 Gold bullion takes the form of coins, ingots, or bars with a purity of at least 995 parts per thousand; it is usually traded on organized markets or through bilateral arrangements between central banks.
Therefore, valuation of transactions is not a problem.
Gold bullion held as a reserve asset is the only financial asset with no corresponding liability.
11.47 Special Drawing Rights (SDRs) are international reserve assets created by the International Monetary Fund (IMF) and allocated to its members to supplement existing reserve assets.
The Special Drawing Rights Department of the IMF manages reserve assets by allocating SDRs among member countries of the IMF and certain international agencies (collectively known as the participants).
11.48 The mechanism by which SDRs are created (referred to as allocations of SDRs) and extinguished (cancellations of SDRs) gives rise to transactions.
These transactions are recorded at the gross amount of the allocation and are recorded in the financial accounts of the monetary authority of the individual participant on the one part and the rest of the world representing the participants collectively on the other.
11.49 SDRs are held exclusively by official holders, which are central banks and certain other international agencies, and are transferable among participants and other official holders.
SDR holdings represent each holder's assured and unconditional right to obtain other reserve assets, especially foreign exchange, from other IMF members.
SDRs are assets with matching liabilities but the assets represent claims on the participants collectively and not on the IMF.
A participant may sell some or all of its SDR holdings to another participant and receive other reserve assets, particularly foreign exchange, in return.
11.50 Financial transactions in currency and deposits consist of additions to, or disposals of, currency and establishing or incrementing a deposit or making a withdrawal from it. In the case of a deposit, an apparent increase in the value may be due to the payment of interest on an existing stock level.
Payments of bank interest are always separated into SNA interest and a charge for financial intermediation services indirectly measured (FISIM).
SNA interest is first recorded in the distribution of primary income account and then may be recorded in the financial account as a new deposit.
An increase in deposits may correspond to a rundown of currency or vice versa.
11.51 The aggregate of currency, transferable deposits (including inter-bank deposits) and other deposits should always be calculated.
A distinction should always be made between currency and deposits in domestic currency and in foreign currency.
If it is considered useful to have data for individual foreign currencies, a distinction should be made between currency and deposits in each currency.
11.52 Currency consists of notes and coins that are of fixed nominal values and are issued or authorized by the central bank or government. (Commemorative coins that are not actually in circulation should be excluded as should unissued or demonetized currency.)
A distinction should be drawn between domestic currency (that is, currency that is the liability of resident units, such as the central bank, other banks and central government) and foreign currencies that are liabilities of non-resident units (such as foreign central banks, other banks and governments).
All sectors may hold currency as assets, but normally only central banks and government may issue currency.
In some countries, commercial banks are able to issue currency under the authorization of the central bank or government.
11.53 Notes and coins are treated as liabilities at full face value.
The cost of producing the physical notes and coins is recorded as government expenditure and not netted against the receipts from issuing the currency.
11.54 Transferable deposits comprise all deposits that:
a. are exchangeable for bank notes and coins on demand at par and without penalty or restriction; and
b. are directly usable for making payments by cheque, draft, giro order, direct debit/credit, or other direct payment facility.
Some types of deposit accounts embody only limited features of transferability; these are excluded from the category of transferable deposits and treated as other deposits.
For example, some deposits have restrictions such as on the number of third-party payments that can be made per period or on the minimum size of the individual third-party payments.
A transferable deposit cannot have a negative value.
A bank current or checking account, for example, is normally treated as a transferable deposit but if it is overdrawn, the withdrawal of funds to zero is treated as the withdrawal of a deposit and the amount of the overdraft is treated as the granting of a loan.
11.55 Transferable deposits should be cross-classified according to:
a. whether they are denominated in domestic currency or in foreign currencies; and
b. whether they are liabilities of resident institutions or the rest of the world.
11.56 Though not strictly accurate, the term bank is frequently used as a synonym for the central bank and other deposit-taking corporations.
Banks take deposits from and make loans to all other sectors.
There may also be substantial borrowing and lending within the banking subsector, but this is of different economic significance from their intermediation activities involving other sectors. Chapter 27 describes how a full analysis of the debtor and creditor sector for each instrument can be portrayed.
Such an analysis is known as a detailed flow of funds table.
However, not all countries are able to provide these tables on a timely basis.
Inter-bank positions can usually be identified and are usefully recorded as a separate instrument category.
This is one reason to consider separating inter-bank loans and deposits from other loans and deposits.
A second reason concerns the calculation of the charge for financial intermediation services indirectly measured (FISIM).
This calculation depends on knowing the level of loans and deposits extended by banks to non-bank customers and calculating the difference between the interest the banks receive or pay and the interest when a reference rate is applied to the same levels of loans and deposits.
However, there is normally little if any FISIM payable between banks as banks usually borrow from and lend to each other at a risk-free rate.
For both these reasons, inter-bank loans and deposits should be separated from other loans and deposits.
Table 11.2: The financial account - full detail - changes in assets
11.57 There may be cases where the instrument classification of inter-bank positions is unclear, for example because the parties are uncertain, or one party considers it as a loan and the other a deposit.
Therefore, as a convention to assure symmetry, all inter-bank positions other than securities and accounts receivable or payable and changes in the positions are classified under deposits. Chapter 27 describes the detailed flow of funds table which removes the need for identifying inter-bank deposits as a separate category.
11.58 Other transferable deposits are those where one party or both parties to the transaction, or either the creditor or debtor or both of the positions, is not a bank.
Table 11.2cont: The financial account - full detail - changes in liabilities and net worth
11.59 Other deposits comprise all claims, other than transferable deposits, that are represented by evidence of deposit.
Typical forms of deposits that should be included under this classification are savings deposits (which are always non-transferable), fixed-term deposits and nonnegotiable certificates of deposit.
The category also covers shares or similar evidence of deposit issued by savings and loan associations, building societies, credit unions and the like.
Deposits of limited transferability that are excluded from the category of transferable deposits are included here.
Claims on the IMF that are components of international reserves and are not evidenced by loans should be recorded in other deposits.
(Claims on the IMF evidenced by loans should be included in loans.)
Repayable margin payments in cash related to financial derivative contracts (described below) are included in other deposits, as are overnight and very short-term repurchase agreements if they are considered part of the national definition of broad money.
Other repurchase agreements should be classified under loans.
11.60 It is possible to hold accounts for both “allocated gold” and “unallocated gold”. The distinction is precise, practical and recognized in the balance sheets of units holding these accounts.
An allocated gold account gives full outright ownership of the gold and is equivalent to a custody record of title.
The unallocated gold account does not give the holder the title to physical gold but provides a claim against the account provider denominated in gold.
In effect, therefore, it is a deposit denominated in gold.
They are thus treated as deposits in foreign currency.
Accounts that are held for allocated gold, on the other hand, are treated as holdings of valuables unless they are held by monetary authorities, or other units authorized by them, as reserves.
11.61 Similar accounts, distinguishing between unallocated and allocated accounts for different precious metals, are also possible and should be treated in a similar way; those for unallocated metals are deposits in foreign currency, those for allocated accounts are holdings of valuables.
If the practice of using commodities in this way extends beyond metals, it will be for consideration whether to extend this practice.
11.62 Transferable and other deposits may be held as assets by all sectors.
Deposits are most often accepted as liabilities by financial corporations but institutional arrangements in some countries permit non-financial corporations, general government and households to accept deposits as liabilities.
11.63 Other deposits should be cross-classified according to:
a. whether the deposits are denominated in domestic currency or in foreign currencies, and
b. whether they are liabilities of resident institutions or the rest of the world.
11.64 Debt securities are negotiable instruments serving as evidence of a debt.
They include bills, bonds, negotiable certificates of deposit, commercial paper, debentures, asset-backed securities, and similar instruments normally traded in the financial markets.
Bills are defined as securities that give the holders the unconditional rights to receive stated fixed sums on a specified date.
Bills are issued and usually traded in organized markets at discounts to face value that depend on the rate of interest and the time to maturity.
Examples of short-term securities are Treasury bills, negotiable certificates of deposit, bankers' acceptances and commercial paper.
Bonds and debentures are securities that give the holders the unconditional right to fixed payments or contractually determined variable payments, that is, the earning of interest is not dependent on earnings of the debtors.
Bonds and debentures also give holders the unconditional rights to fixed sums as payments to the creditor on a specified date or dates.
11.65 Loans that have become negotiable from one holder to another are to be reclassified from loans to debt securities under certain circumstances.
For such reclassification, there needs to be evidence of secondary market trading, including the existence of market makers, and frequent quotations of the instrument, such as provided by bid-offer spreads.
11.66 Non-participating preferred stocks or shares are those that pay a fixed income but do not provide for participation in the distribution of the residual value of an incorporated enterprise on dissolution.
These shares are classified as debt securities.
Bonds that are convertible into equity should also be classified in this category prior to the time that they are converted.
11.67 Asset-backed securities and collateralized debt obligations are arrangements under which payments of interest and principal are backed by payments on specified assets or income streams.
Securitization may also be used as a term to describe this process.
Asset-backed securities may be issued by a specific holding unit or vehicle, which issues securities that are sold to raise funds to pay the originator for the underlying assets.
Asset-backed securities are classified as debt securities because the security issuers have a requirement to make payments, while the holders do not have a residual claim on the underlying assets; if they did, the instrument would be equity or investment funds shares.
Asset-backed securities are backed by various types of financial assets, for example, mortgages and credit card loans, non-financial assets, or by future income streams (such as the earnings of a musician or a government's future revenue) that are not recognized in themselves as an economic asset in macroeconomic statistics.
11.68 A banker's acceptance involves the acceptance by a financial corporation, in return for a fee, of a draft or bill of exchange and the unconditional promise to pay a specific amount at a specified date.
In contrast to acceptances more generally, a banker's acceptance must be tradable.
Much international trade is financed this way.
Bankers' acceptances are classified under the category of debt securities.
The banker's acceptance represents an unconditional claim on the part of the holder and an unconditional liability on the part of the accepting financial corporation; the financial corporation's counterpart asset is a claim on its customer.
Bankers' acceptances are treated as financial assets from the time of acceptance, even though funds may not be exchanged until a later stage.
11.69 Stripped securities are securities that have been transformed from a principal amount with coupon payments into a series of zero-coupon bonds, with a range of maturities matching the coupon payment date(s) and the redemption date of the principal amount(s).
The function of stripping is that investor preferences for particular cash flows can be met in ways different from the mix of cash flows of the original security.
Stripped securities may have an issuer different from the original issuer; in which instance, new liabilities are created.
There are two cases of stripped securities:
a. When a third party acquires the original securities and uses them to back the issue of the stripped securities.
Then new funds have been raised and there is a new financial instrument.
b. When no new funds are raised and the payments on the original securities are stripped and marketed separately by the issuer or through agents (such as strip dealers) acting with the issuer's consent.
11.70 Index-linked securities are instruments for which either the coupon payments (interest) or the principal or both are linked to an index such as a price index or the price of a commodity.
The objective is to conserve purchasing power or wealth during a period of inflation in addition to earning interest income.
When the coupon payments are index-linked they are treated entirely as interest, as is the case with any variable interest rate financial asset.
When the value of the principal is indexed to an indicator that moves in line with a broad-based measure of inflation, the issue price of the security is recorded as the principal and the index payment paid periodically and at maturity is treated as interest.
The payment owing to indexation should be recorded as interest (property income) over the life of the security and the counterpart should be recorded under debt securities in the financial account.
When a security is indexed to a commodity and thus may be subject to large price fluctuations, a variation on this procedure is recommended.
It is explained in detail in part 4 of chapter 17.
11.71 A supplementary subclassification of debt securities by maturity into short-term and long-term should be based on the following criteria.
a. Short-term debt securities include those securities that have an original maturity of one year or less.
Securities with a maturity of one year or less should be classified as short-term even if they are issued under long-term facilities such as note issuing facilities.
b. Long-term debt securities include those securities that have an original maturity of more than one year.
Claims with optional maturity dates, the latest of which is more than one year away, and claims with indefinite maturity dates should be classified as long-term.
In addition, it may sometimes be useful to distinguish listed debt securities from unlisted ones and to record them according to whether they are short- or long-term.
11.72 Loans are financial assets that:
a. are created when a creditor lends funds directly to a debtor, and
b. are evidenced by documents that are not negotiable.
11.73 The category of loans includes overdrafts, instalment loans, hire-purchase credit and loans to finance trade credit.
Claims on or liabilities to the IMF that are in the form of loans are also included.
An overdraft arising from the overdraft facility of a transferable deposit account is classified as a loan.
However, undrawn lines of credit are not recognized as a liability as they are contingent.
Securities, repurchase agreements, gold swaps and financing by means of a financial lease may also be classified as loans.
However, accounts receivable/payable, which are treated as a separate category of financial assets, and loans that have become debt securities are also excluded from loans.
11.74 A securities repurchase agreement is an arrangement involving the provision of securities in exchange for cash with a commitment to repurchase the same or similar securities at a fixed price either on a specified future date (often one or a few days hence, but also further in the future) or with an “open” maturity.
Securities lending with cash collateral and sale/buy-backs are economically the same as a repurchase agreement; all involve the provision of securities as collateral for a loan or deposit.
A repo is a securities repurchase agreement where securities are provided for cash with a commitment to repurchase the same or similar securities for cash at a fixed price on a specified future date. (It is called a repo from the perspective of the security provider and a reverse repo from the perspective of the security taker.)
11.75 The supply and receipt of funds under a securities repurchase agreement may be treated as a loan or deposit.
It is generally a loan, but is classified as a deposit if it involves liabilities of a deposit-taking corporation and is included in national measures of broad money.
If a securities repurchase agreement does not involve the supply of cash (that is, there is an exchange of one security for another, or one party supplies a security without collateral), there is no loan or deposit.
However, margin calls in cash under a repo are classified as loans.
11.76 The securities provided as collateral under securities lending, including a securities repurchase agreement, are treated as not having changed economic ownership.
This treatment is adopted because the cash receiver is still subject to the risks or benefits of any change in the price of the security.
11.77 A gold swap involves an exchange of gold for foreign exchange deposits with an agreement that the transaction be reversed at an agreed future date at an agreed gold price.
The gold taker (cash provider) will not usually record the gold on its balance sheet, while the gold provider (cash taker) will not usually remove the gold from its balance sheet.
In this manner, the transaction is analogous to a repurchase agreement and should be recorded as a collateralized loan or deposit.
Gold swaps are similar to securities repurchase agreements except that the collateral is gold.
11.78 When goods are acquired under a financial lease, a change of economic ownership of the goods from the lessor to the lessee is deemed to take place.
The change of economic ownership may be distinguished by the fact that all the risks and rewards of ownership are transferred from the legal owner of the good, the lessor, to the user of the good, the lessee.
The lessee contracts to make payments that enable the lessor, over the period of the contract, to recover all, or virtually all, of his costs including interest.
This de facto change in ownership is recorded by assuming a loan is made by the lessor to the lessee, the lessee uses this loan to acquire the asset and the payments by the lessee to the lessor represent not rentals on the asset but payments of interest, possibly a service charge and repayments of principal on the imputed loan.
Interest is recorded as property income payable or receivable and debt repayment is recorded in the financial account as reducing the value of the asset (loan) of the lessor and the liability of the lessee.
There is more extensive discussion of financial leases in part 5 of chapter 17.
11.79 Loans may be divided, on a supplementary basis, between short- and long-term loans.
a. Short-term loans comprise loans that have an original maturity of one year or less.
Loans repayable on the demand of the creditor should be classified as short-term even when these loans are expected to be outstanding for more than one year.
b. Long-term loans comprise loans that have an original maturity of more than one year.
11.80 It may also be useful to distinguish loans that, though taken out for a period longer than a year, have less than one year to maturity in the accounting period considered, as well as loans secured by mortgages.
11.81 Equity and investment fund shares have the distinguishing feature that the holders own a residual claim on the assets of the institutional unit that issued the instrument.
Equity represents the owner's funds in the institutional unit.
In contrast to debt, equity does not generally provide the owner with a right to a predetermined amount or an amount determined according to a fixed formula.
11.82 Investment fund shares have a specialized role in financial intermediation as a kind of collective investment in other assets, so they are identified separately.
11.83 Equity comprises all instruments and records acknowledging claims on the residual value of a corporation or quasi-corporation after the claims of all creditors have been met.
Equity is treated as a liability of the issuing institutional unit.
11.84 Ownership of equity in legal entities is usually evidenced by shares, stocks, depository receipts, participations, or similar documents.
Shares and stocks have the same meaning, while depository receipts are securities that facilitate ownership of securities listed in other economies; a depository issues receipts listed on one exchange that represent ownership of securities listed on another exchange.
Participating preferred shares are those that provide for participation in the residual value on the dissolution of an incorporated enterprise.
Such shares are also equity securities, whether or not the income is fixed or determined according to a formula.
(Non-participating preferred shares are treated as debt securities as explained above.)
11.85 Equities are subdivided into:
a. listed shares;
b. unlisted shares; and
c. other equity.
Both listed and unlisted shares are negotiable and are therefore equity securities.
11.86 Listed shares are equity securities listed on an exchange.
They are also referred to as quoted shares.
The existence of quoted prices of shares listed on an exchange means that current market prices are usually readily available.
11.87 Unlisted shares are equity securities not listed on an exchange.
Unlisted shares can also be called private equity; venture capital usually takes this form.
Unlisted shares tend to be issued by subsidiaries and smaller scale enterprises and typically have different regulatory requirements but neither qualification is necessarily the case.
11.88 Other equity is equity that is not in the form of securities.
It can include equity in quasi-corporations (such as branches, trusts, limited liability and other partnerships), unincorporated funds and notional units for ownership of real estate and other natural resources.
The ownership of some international organizations is not in the form of shares and so is classified as other equity (although equity in the Bank for International Settlements (BIS) is in the form of unlisted shares).
11.89 Transactions in equity in the financial account cover three different types of transactions.
The first is the recording of the value of shares bought and sold on an exchange.
From time to time corporations restructure their shares and may offer shareholders a new number of shares for each share previously held.
These bonus shares are not however treated as transactions but as a form of redenomination since the value of the new number of shares times the new price represents the same proportion of the value of the corporation as the old number of shares times the old price.
11.90 The second type of transaction concerning equity is capital injections by the owners or, on occasion, withdrawals of equity by the owners.
Dividends are recorded in the distribution of primary income account as if they were always paid out of operating surplus earned in the current period.
An enterprise, though, usually aims to have a smooth track record of dividend payments and will therefore sometimes pay out more than the current operating surplus and sometimes rather less, the balance carrying through to the accumulation accounts by way of saving (which might be negative).
However, if the dividends paid out are significantly in excess of recent average earnings, then the excess should no longer all be recorded in the allocation of primary income account but should be regarded as a withdrawal of equity by the owners and be reflected under this item.
Such payments are sometimes referred to as “superdividends”. Withdrawals may take the form of proceeds from sales of fixed or other assets, transfers of fixed and other assets from the quasi-corporation to the owner and funds taken from accumulated retained earnings and reserves for the consumption of fixed capital.
(The particular case of payments between government and public enterprises is discussed in chapter 22.)
Equally, liquidating dividends paid to shareholders when an enterprise becomes bankrupt should be recorded as withdrawal of equity.
11.91 Conversely, owners may inject extra finance into an enterprise.
If the enterprise is publicly controlled and runs a regular deficit each year as a matter of government economic or social policy that is covered by a receipt from government to match this deficit, the payment is regarded as a subsidy.
If the payment from government is irregular but clearly designed to cover accumulated losses, it is treated as a capital transfer.
If government makes an investment grant to a public corporation this also is recorded as a capital transfer.
However, there may be cases where the owners (public or private) agree to make new finance available to permit expansion, say, and represent not just a reduction of debt but a positive addition to the enterprise's own funds.
The finance consists of funds for use by the enterprise in purchasing fixed assets, accumulating inventories, acquiring financial assets or redeeming liabilities.
Transfers by owners of fixed and other assets to the quasi-corporation are also included as addition to equity.
Such payments are to be included in this item as an acquisition of equity, even if no new shares are issued in response to the financial contribution.
11.92 The third type of transaction concerning equity is the special case of equity addition and withdrawal that happens in respect of the reinvestment of earnings of foreign direct investment enterprises.
In the distribution of primary income account, the share of operating surplus proportionate to the foreign direct investor's share of equity is shown as being withdrawn and distributed to him as reinvested earnings.
Because it is not actually withdrawn, it adds to the value of the equity of the enterprise by a recording as reinvestment of earnings in the financial account.
11.93 Notional resident units are treated in the same manner as quasi-corporations.
For example, an extension to a holiday home of a non-resident is recorded as an increase in the value of an asset owned by a resident notional unit with a matching increase in the equity of the non-resident owner.
However, the entire income from a holiday home is treated as a withdrawal by the owner of the notional resident unit so there are no earnings left to be reinvested.
This ensures that the entire net worth of the notional resident unit is the value of the property in question.
11.94 Investment funds are collective investment undertakings through which investors pool funds for investment in financial or non-financial assets.
Those units acquiring shares in the funds thus spread their risk across all the instruments in the fund.
11.95 In a detailed flow-of-funds table, the acquisition of instruments by the investment funds is shown separately from the acquisition of shares in the funds and a full analysis of the from-whom-to-whom transactions captures the holdings of instruments via investment funds without needing to have a separate category for it. However, as noted in connection with the category of inter-bank positions, timely flow-of-funds tables are not always available.
Therefore, in order to distinguish when non-financial units acquire instruments such as securities and equities directly and when they are acquired via investment funds, the latter are shown separately.
11.96 Investment funds include mutual funds and unit trusts.
Investment funds issue shares when a corporate structure is used and units when a trust structure is used.
Investment fund shares refer to the shares issued by mutual funds, rather than the shares the mutual fund may hold.
11.97 Investment funds are divided into money market funds (MMF) and non-MMF investment funds.
The fundamental difference between them is that MMFs typically invest in money market instruments with a residual maturity of less than one year, are often transferable and are often regarded as close substitutes for deposits.
Non-MMF investment funds typically invest in longer-term financial assets and possibly real estate.
They are not transferable and are typically not regarded as substitutes for deposits.
11.98 The increase in value of investment fund shares or units other than from holding gains and losses and after any reinvested earnings are deducted is shown in the SNA as distributed to the share or unit holders and reinvested by them in the financial account.
11.99 Money market funds are investment funds that invest only or primarily in short-term money market securities such as Treasury bills, certificates of deposit and commercial paper.
Money market funds sometimes are functionally close to transferable deposits, for example, accounts with unrestricted cheque-writing privileges.
If these fund shares are included in broad money in the reporting economy, they should be recorded as a separate item to allow reconciliation with monetary statistics.
Money market fund shares or units represent a claim on a proportion of the value of an established money market fund.
11.100 Other investment fund shares or units represent a claim on a proportion of the value of an established investment fund other than a money market fund.
11.101 It may be useful to distinguish listed from unlisted investment fund shares.
11.102 Investment funds invest in a range of assets including debt securities, equity, commodity-linked investments, real estate, shares in other investment funds and structured assets.
Data on the composition of their assets could be useful in economies where investment funds are significant.
11.103 Insurance, pension and standardized guarantee schemes all function as a form of redistribution of income or wealth mediated by financial institutions.
The redistribution may be between individual institutional units in the same period or for the same institutional unit over different periods or a combination of the two.
Units participating in the schemes contribute to them and may receive benefits (or have claims settled) in the same or later periods.
While they hold the funds, insurance corporations invest them on behalf of the participants.
The part of the investment income that is distributed to the participants as property income is returned as extra contributions.
In all cases, net contributions or premiums are defined as actual contributions or premiums plus distributed property income less the service charge retained by the financial institution concerned.
Entries in the financial account, therefore, reflect the difference between net contributions or net premiums paid to the schemes less benefits and claims paid out.
Significant other additions to the reserves of the schemes come via other changes in the volume of assets and especially holding gains.
There is more extensive discussion on the recording of all these schemes in parts 1, 2 and 3 of chapter 17.
11.104 There are five sorts of reserves applicable to insurance, pension and standardized guarantee schemes.
These are non-life insurance technical reserves, life insurance and annuities entitlements, pension entitlements, claims of pension funds on the pension manager and provisions for calls under standardized guarantees.
11.105 Non-life insurance technical reserves consist of prepayments of net non-life insurance premiums and reserves to meet outstanding non-life insurance claims.
They consist of premiums paid but not yet earned (called unearned premiums) and claims due but not yet settled, including cases where the amount is in dispute or the event leading to the claim has occurred but has not yet been reported (called claims outstanding).
The only transactions for non-life insurance technical reserves recorded in the financial account are accrual adjustments.
11.106 Life insurance and annuities entitlements show the extent of financial claims policyholders have against an enterprise offering life insurance or providing annuities.
The only transaction for life insurance and annuity entitlements recorded in the financial account is the difference between net premiums receivable and claims payable.
11.107 Pension entitlements show the extent of financial claims both existing and future pensioners hold against either their employer or a fund designated by the employer to pay pensions earned as part of a compensation agreement between the employer and employee.
The only transaction for pension entitlements recorded in the financial account is the difference between net contributions receivable and benefits payable.
The increase in pension entitlements shown in the financial account is equal to the entry in the use of income accounts for the change in pension entitlements plus any transfer of entitlements from a previous pension manager.
11.108 An employer may contract with a third party to administer the pension funds for his employees.
If the employer continues to determine the terms of the pension schemes and retains the responsibility for any deficit in funding as well as the right to retain any excess funding, the employer is described as the pension manager and the unit working under the direction of the pension manger is described as the pension administrator.
If the agreement between the employer and the third party is such that the employer passes the risks and responsibilities for any deficit in funding to the third part in return for the right of the third part to retain any excess, the third party becomes the pension manger as well as the administrator.
11.109 When the pension manger is a unit different from the administrator, with the consequences that responsibility for any deficit, or claims on any excess, rest with the pension manager, the claim of the pension fund on the pension manager is shown under this heading.
(The entry is negative if the pension fund makes more investment income from the pension entitlements it holds than is necessary to cover the increase in entitlements and the difference is payable to the pension manager of the scheme.)
11.110 Provisions for calls under standardized guarantees consist of prepayments of net fees and provisions to meet outstanding calls under standardized guarantees.
The transactions for provisions for calls under standardized guarantee schemes recorded in the financial account are similar to the reserves for non-life insurance; they include unearned fees and calls not yet settled.
11.111 Financial derivatives are financial instruments that are linked to a specific financial instrument or indicator or commodity, through which specific financial risks can be traded in financial markets in their own right.
The value of a financial derivative derives from the price of the underlying item: the reference price.
The reference price may relate to a commodity, a financial asset, an interest rate, an exchange rate, another derivative or a spread between two prices.
The derivative contract may also refer to an index or a basket of prices.
11.112 An observable market price or an index for the underlying item is essential for calculating the value of any financial derivative.
If a financial derivative cannot be valued because a prevailing market price or index for the underlying item is not available, it cannot be regarded as a financial asset.
Unlike debt instruments, no principal amount is advanced to be repaid and no investment income accrues.
Financial derivatives are used for a number of purposes including risk management, hedging, arbitrage between markets and speculation.
Financial derivatives enable parties to trade specific financial risks (interest rate risk, currency, equity and commodity price risk and credit risk, etc.) to other entities who are more willing, or better suited, to take or manage these risks, typically, but not always, without trading in a primary asset or commodity.
The risk embodied in a derivatives contract can be “traded” either by trading the contract itself, such as is possible with options, or by creating a new contract that embodies risk characteristics that match, in a countervailing manner, those of the existing contract owned.
The latter is termed offsetability and is particularly common in forward markets or where there are no formal exchanges through which to trade derivatives.
11.113 Financial derivative instruments that can be valued separately from the underlying item to which they are linked should be treated as financial assets, regardless of whether “trading” occurs on- or off-exchange.
Transactions in financial derivatives should be treated as separate transactions, rather than as integral parts of the value of underlying transactions to which they may be linked.
The two parties to the derivatives may have different motives for entering into the transaction.
One may be hedging, while the other may be dealing in derivative instruments or acquiring the derivative as an investment.
Even if both parties are hedging, they may be hedging transactions or risks that involve different financial assets or even transactions in different accounts.
Therefore, if derivative transactions were treated as integral parts of other transactions, such treatment would lead to asymmetries of measurement in different parts of the accounts or to asymmetries of measurement between institutional sectors.
11.114 Any commissions paid to or received from brokers or other intermediaries for arranging options, futures, swaps and other derivatives contracts are treated as payments for services in the appropriate accounts.
Financial derivatives transactions may take place between two parties directly, or through an intermediary.
In the latter case, implicit or explicit service charges may be involved.
However, it is usually not possible to distinguish the implicit service element.
Net settlement payments under derivative contracts are therefore recorded as financial transactions.
However, where possible, the service charge component should be separately recorded.
Financial derivatives contracts are usually settled by net payments of cash.
This often occurs before maturity for exchange-traded contracts such as commodity futures.
Cash settlement is a logical consequence of the use of financial derivatives to trade risk independently of ownership of an underlying item.
However, some financial derivative contracts, particularly involving foreign currency, are associated with transactions in the underlying item.
A transaction in an asset underlying a financial derivative contract that goes to delivery should be recorded at the prevailing market price for the asset with the difference between the prevailing price and the price actually paid (times the quantity of the asset) recorded as a transaction in financial derivatives.
11.115 There are two broad classes of financial derivatives: option contracts (options) and forward-type contracts (forwards).
Within each class, a further distinction could be made by market risk categories; foreign exchange, single-currency interest rate, equity, commodity, credit and other.
11.116 A major difference between forward and option contracts is that, whereas either party to a forward contract is a potential debtor, the buyer of an option contract acquires an asset and the option writer incurs a liability.
However, option contracts frequently expire without worth; options are exercised only if settling a contract is advantageous for the option holder.
11.117 Options are contracts that give the purchaser of the option the right, but not the obligation, to buy (a “call” option) or to sell (a “put” option) a particular financial instrument or commodity at a predetermined price (the “strike” price) within a given time span (American option) or on a given date (European option).
Many options contracts, if exercised, are settled by a cash payment rather than by delivery of the underlying assets or commodities to which the contract relates.
Options are sold or “written” on many types of underlying bases such as equities, interest rates, foreign currencies, commodities and specified indices.
The buyer of the option pays a premium (the option price) to the seller for the latter's commitment to sell or purchase the specified amount of the underlying instrument or commodity on demand of the buyer.
While the premium paid to the seller of the option can conceptually be considered to include a service charge, in practice, it is usually not possible to distinguish the service element.
The full price should be recorded as acquisition of a financial asset by the buyer and as incurrence of a liability by the seller.
However, where possible, the service charge component should be separately recorded.
11.118 The timing of premium payments on options varies.
Depending on the type of contract, premiums are paid when the contracts begin, when the options are exercised, or when the options expire.
The value of an option at inception should be recorded at the full price of the premium.
If the premiums are paid after the purchase of an option, the value of the premium payable is recorded as an asset at the time the derivative is purchased, financed by an account receivable from the writer.
Subsequent purchases and sales of options are also to be recorded in the financial account.
If an option based on a financial asset is exercised or if a commodity based option proceeds to delivery, the acquisition or sale of the underlying asset should be recorded at the prevailing market price in the appropriate accounts with the difference between this amount and the amount actually paid recorded as transactions in financial derivatives.
11.119 Warrants are a form of options that are treated in the financial account in the same way as other options.
Warrants are tradable instruments giving the holder the right to buy, under specified terms for a specified period of time, from the issuer of the warrant (usually a corporation) a certain number of shares or bonds.
There are also currency warrants based on the amount of one currency required to buy another and cross-currency warrants tied to third currencies.
They can be traded apart from the underlying securities to which they are linked and therefore have a market value.
The issuer of the warrant incurs a liability, which is the counterpart of the asset held by the purchaser.
11.120 Under a forward contract, the two counterparties agree to exchange a specified quantity of an underlying item (a particular product or financial asset) at an agreed contract price (the “strike” price) on a specified date.
Futures contracts are forward contracts traded on organized exchanges.
A forward contract is an unconditional financial contract that represents an obligation for settlement on a specified date.
Futures and other forward contracts are typically, but not always, settled by the payment of cash or the provision of some other financial instrument rather than the actual delivery of the underlying item and therefore are valued and traded separately from the underlying item.
At the inception of the contract, risk exposures of equal market value are exchanged and hence the contract has zero value.
Some time must elapse for the market value of each party's risk to differ so that an asset (creditor) position is created for one party and a liability (debtor) position for the other.
The debtor/creditor relationship may change both in magnitude and direction during the life of the forward contract.
11.121 Common forward-type contracts include interest rate swaps, forward rate agreements (FRA), foreign exchange swaps, forward foreign exchange contracts and cross-currency interest rate swaps.
a. An interest rate swap contract involves an exchange of cash flows related to interest payments, or receipts, on a notional amount of principal, which is never exchanged, in one currency over a period of time.
Settlements are often made through net cash payments by one counterparty to the other.
b. A forward rate agreement (FRA) is an arrangement in which two parties, in order to protect themselves against interest rate changes, agree on an interest rate to be paid, at a specified settlement date, on a notional amount of principal that is never exchanged.
FRAs are settled by net cash payments.
The only payment that takes place is related to the difference between the agreed forward rate agreement rate and the prevailing market rate at the time of settlement.
The buyer of the forward rate agreement receives payment from the seller if the prevailing rate exceeds the agreed rate; the seller receives payment if the prevailing rate is lower than the agreed rate.
c. A foreign exchange swap is a spot sale/purchase of currencies and a simultaneous forward purchase/sale of the same currencies.
d. A forward foreign exchange contract involves two counterparties who agree to transact in foreign currencies at an agreed exchange rate in a specified amount at some agreed future date.
e. A cross-currency interest rate swap, sometimes known as a currency swap, involves an exchange of cash flows related to interest payments and an exchange of principal amounts at an agreed exchange rate at the end of the contract.
11.122 There might also be an exchange of principal at the beginning of the contract and, in these circumstances, there may be subsequent repayments, which include both interest and principal, over time according to the predetermined rules.
Streams of net settlement payments resulting from swap arrangements are to be recorded as transactions in financial derivatives and repayments of principal are to be recorded under the relevant instrument item in the financial account.
11.123 The financial derivatives described in the previous paragraphs are related to market risk, which pertains to changes in the market prices of securities, commodities, interest and exchange rates.
Credit derivatives are financial derivatives whose primary purpose is to trade credit risk.
They are designed for trading in loan and security default risk.
Credit derivatives take the form of both forward-type and option-type contracts and like other financial derivatives, they are frequently drawn up under standard master legal agreements and involve collateral and margining procedures, which allow for a means to make a market valuation.
11.124 Margins are payments of cash or collateral that cover actual or potential obligations under financial derivatives, especially futures or exchange-traded options.
Repayable margins consist of deposits or other collateral deposited to protect a counterparty against default risk, but that remain under the ownership of the unit that placed the margins.
Although its use may be restricted, a deposit is classified as repayable if the depositor retains the risks and rewards of ownership.
Repayable margin payments in cash are transactions in deposits, not transactions in a financial derivative.
The depositor has a claim on the exchange or other institution holding the deposit.
Some compilers may prefer to classify these margins within other accounts receivable or payable in order to reserve the term deposits for monetary aggregates.
When repayable margin payments are made in non-cash assets, such as securities, no entries are required because the entity on whom the depositor has a claim (the issuer of the security) is unchanged.
Non-repayable margins reduce a financial liability created under a financial derivative contract.
The entity that pays a non-repayable margin no longer retains ownership of the margin nor has the right to the risks and rewards of ownership, such as the receipt of income or exposure to holding gains and losses.
A payment of a non-repayable margin is normally recorded as a decline in currency and deposits with a counter entry in the reduction in financial derivative liabilities and the receipt of a non-repayable margin is recorded as an increase of holdings of currency and deposits with the counter entry in the reduction in financial derivative assets.
11.125 An employee stock option is an agreement made on a given date (the “grant” date) under which an employee may purchase a given number of shares of the employer's stock at a stated price (the “strike” price) either at a stated time (the “vesting” date) or within a period of time (the “exercise” period) immediately following the vesting date.
The exercise date is the time at which the option is exercised.
It cannot be earlier than the vesting date or later than the end of the exercise period.
Transactions in employee stock options are recorded in the financial account as the counterpart to the element of compensation of employees represented by the value of the stock option.
The means of valuing and time of recording ESOs is discussed in part 6 of chapter 17.
11.126 This category comprises trade credit for goods and services extended to corporations, government, NPISHs, households and the rest of the world, and advances for work that is in progress (if classified as such under inventories) or is to be undertaken.
Trade credits and advances do not include loans to finance trade credit, which are classified as loans.
It may be valuable to separate short-term trade credits and advances from long-term trade credit and advances by employing the same criteria used to distinguish between other short- and long-term financial assets.
11.127 This category includes accounts receivable and payable, other than those described previously, that is the amounts are not related to the provision of goods and services.
It covers amounts related to taxes, dividends, purchases and sales of securities, rent, wages and salaries, and social contributions.
Interest that accrues but is not paid is included in this item only if the accrued interest is not added to the value of the asset on which the interest is payable (as is usually the case).
11.128 This category does not include statistical discrepancies.
11.129 Transactions in financial assets and liabilities arising from the provision of, or receipt of, foreign direct investment are to be recorded under the appropriate categories: debt securities, loans, equity, trade credit or other.
However, the amounts of foreign direct investment included within each of those categories should also be recorded separately as memorandum items.
Foreign direct investment is discussed further in chapters 17 and 24.
11.130 It is useful to identify transactions relating to non-performing loans as memorandum items.
There is a discussion of the definition of and recording for non-performing loans in chapter 13.
In addition, when they are important it may be useful to group all arrears of interest and repayment under a memorandum item.
12.1 This chapter is concerned with the recording of changes in the values of assets and liabilities, and thus of the changes in net worth, between opening and closing balance sheets that result from flows that are not transactions, referred to as other flows.
Transactions in assets and liabilities and the immediate consequences of transactions on net worth are recorded in the capital account and financial account.
The change in the value of produced assets resulting from consumption of fixed capital and from recurrent losses from inventories are treated as transactions and so do not appear in the other changes in assets accounts.
12.2 Although the entries relate to flows that are not transactions, they are not “residual” entries.
Rather they serve to demonstrate significant changes in the value and composition of items between the opening and closing balance sheets due to other events.
12.3 The entries in the other changes in assets accounts cover many different kinds of changes in assets, liabilities and net worth.
Some of these are particular to the type of asset concerned, some may apply to all types of assets.
All changes relating to holding gains and losses are included in the revaluation account.
Holding gains and losses arise from changes over time in the level and structure of prices.
All other changes in the value of assets are treated as being due to a change in volume due to quality change rather than due to changes in prices and are recorded in the other changes in the volume of assets account.
This includes changes in value that result instantaneously, for example, from a reclassification of an asset or from other one-off events.
12.4 The chapter discusses the two accounts in turn, beginning with the other changes in the volume of assets account and proceeding to the revaluation account.
Under each account, the entries for each type of asset are discussed separately.
12.5 The other changes in the volume of assets account records the changes in assets, liabilities, and net worth between opening and closing balance sheets that are due neither to transactions between institutional units, as recorded in the capital and financial accounts, nor to holding gains and losses as recorded in the revaluation account.
The format of the other changes in the volume of assets account, shown in table 12.1, is similar to that of the other accumulation accounts.
The entries for changes in assets are on the left-hand side and the entries for changes in liabilities are on the right-hand side.
Non-financial assets, both produced and non-produced, and financial assets are shown separately.
The balancing item in the account, the change in net worth due to other changes in volume of assets, is the excess of the sum of the changes in assets over the sum of the changes in liabilities recorded in the account and is shown on the right-hand side of the account.
12.6 In the capital account, produced assets enter and leave the SNA through acquisition less disposal of fixed assets, consumption of fixed capital and additions to, withdrawals from and recurrent losses from inventories.
In the financial account, most financial assets enter the SNA when the debtor acquires something of value and accepts the obligation to make payment, or payments, to the creditor.
Financial assets are extinguished when the debtor has fulfilled the financial obligation under the terms of the agreement.
12.7 Both the capital and financial accounts also record transactions in existing assets among the institutional sectors.
However, these acquisitions and disposals merely change the ownership of the assets without changing the total net worth for the economy as a whole except where the transactions are between residents and the rest of the world.
12.8 One important function of the other changes in the volume of assets account is to allow certain assets to enter and leave the SNA other than by transactions.
The acts of entering and exiting from the balance sheet are referred to as economic appearances and disappearances.
Some entrances and exits happen when naturally occurring assets, such as subsoil assets, gain economic value or become worthless.
Such entrances and exits come about as interactions between institutional units and nature, thus contrasting with entrances and exits that come about as a result of transactions, which typically are interactions by mutual agreement between institutional units.
Yet other entrances and exits may also relate to assets created by human activity, such as valuables, purchased goodwill or gold.
12.9 A second function of the account is to record the effects of exceptional, unanticipated events that affect the economic benefits derivable from assets (and corresponding liabilities).
These occurrences are referred to as the effect of external events.
They include one institutional unit's effectively removing an asset from its owner without the owner's agreement, an action that is not considered a transaction because the element of mutual agreement is absent.
These events also include those that destroy assets, such as natural disaster or war.
12.10 A third function of the account is to record changes in classifications of institutional units and assets and in the structure of institutional units.
12.11 The three sections that follow discuss first the recording of the economic appearance and disappearance of assets, then the effects of external events on the value of assets and finally changes in the classification and structure of assets.
12.12 Entries relating to the appearance and disappearance of assets can be grouped according to the main type of asset under consideration as follows:
a. entries relating to recognition of produced assets;
b. entries relating to entry and exit from the asset boundary of natural resources;
c. entries relating to contracts, leases and licences;
d. changes in goodwill and marketing assets; and
e. entries relating to financial assets.
Table 12.2 shows a disaggregation of table 12.1 including the various entries for economic appearance and disappearance of assets.
12.13 Two types of assets can appear under this item: public monuments and valuables.
As was described in chapter 10, public monuments are objects, structures or sites of significant or special value.
Valuables are items held as stores of value because their value is expected to appreciate, or at least not depreciate, over time.
The capital account records the acquisition of valuables and public monuments when these are newly produced goods or imported and it records transactions in existing goods already classified as valuables and public monuments.
12.14 However, existing goods, valuables and public monuments may not already have been recorded in the balance sheets for any of several reasons; they may date from a time before the time period covered by the accounts, they were originally recorded as consumption goods or, if structures, they have already been written off.
12.15 Public monuments are included with dwellings and with other buildings and structures in the classification of fixed assets.
When the special archaeological, historical or cultural significance of a structure or site not already recorded in the balance sheet is first recognized, it is classified as an economic appearance and recorded in the other changes in the volume of assets account.
For example, such recognition might be accorded to an existing structure or site that is fully written off and thus no longer recorded in the balance sheet.
Alternatively, a structure or site that is already within the asset boundary but is new or only partially written off, may be assessed as having the status of a public monument.
If the monument was previously written off, then its recognition as a public monument is recorded as an economic appearance of an asset.
If it was previously classified as another type of asset, it is recorded as a reclassification of an asset (discussed below) and if at the same time a new valuation is placed on the monument, this increase in value is recorded under economic appearance.
If the reclassification occurs at the time of a sale of the asset, for example the acquisition of an asset by general government, this acquisition is recorded in the capital account as normal.
Table 12.1: The other changes in the volume of assets account - concise form - transactions in assets
12.16 For valuables, such as precious stones, antiques and other art objects, when the high value or artistic significance of an object not already recorded in the balance sheet is first recognized, it is classified as an economic appearance.
Hitherto, the object may have been of little value and not considered an asset.
For example, the item might have been considered an ordinary good whose purchase had been included in household final consumption expenditure or been regarded as a consumer durable.
Recognition of its worth as a store of value leads to its entrance into the balance sheet as a valuable.
The recognition of the value of a previously unvalued item is often associated with a sale (for example at auction).
The sale is recorded in the capital account as the sale and purchase of a valuable, it having been entered first into the balance sheet of the seller.
12.17 In the SNA, subsoil assets are defined as those proven subsoil resources of coal, oil and natural gas, of metallic minerals or of non-metallic minerals that are economically exploitable, given current technology and relative prices.
The capital account records acquisitions and disposals among sectors of the resources that exist under those conditions.
The other changes in the volume of assets account, in contrast, records increases and decreases that change the total volume for the economy as a whole.
12.18 One way in which the resources may increase is by the discovery of new exploitable deposits, whether as a result of systematic scientific explorations or surveys or by chance.
Economic appearance may also occur because resources may be increased by the inclusion of deposits for which exploitation was previously uneconomic but becomes economic as a result of technological progress or relative price changes.
12.19 The natural growth of uncultivated biological resources, such as natural forests and fish stocks, may take various forms: a stand of natural timber may grow taller, or fish in the estuaries may become more numerous.
Although these resources are economic assets, growth of this kind is not under the direct control, responsibility and management of an institutional unit and thus is not treated as production.
The increment in the asset must then be regarded as an economic appearance, and it is recorded in the other changes in the volume of assets account.
12.20 In principle, natural growth should be recorded gross, and the depletion of these resources should be recorded as economic disappearance, as described below.
This recording would be consistent with the separate recording of acquisitions and disposals described in the capital account.
In practice, however, many countries will record natural growth net because the physical measures that are likely to be the only basis available for the recording are, in effect, net measures.
These measures may be used in conjunction with a market price for a unit of the asset to estimate the value of the volume change to be recorded.
12.21 Not all land included in the geographic surface area of a country is necessarily within the asset boundary of the SNA.
Land may make its economic appearance when it is transferred from a wild or waste state to one in which ownership may be established and the land can be put to economic use.
It may also acquire value because of activity in the vicinity, for example, land that becomes more desirable and thus more valuable because a new development is established nearby or the creation of an access road.
The cost of land improvements, affecting the parcel of land being considered directly, is treated as gross fixed capital formation, recorded as land improvements and subsequently subject to consumption of fixed capital.
Any excess in the increase in value of the land over the value of land improvements or any increase due to adjacent capital activity is recorded as economic appearance.
Table 12.1cont: The other changes in the volume of assets account - concise form - transactions in liabilities and net worth
12.22 For other natural resources, the first substantial market appearance, generally involving commercial exploitation, is the reference point for recording in this account.
For virgin forests, gathering firewood is not commercial exploitation, but large-scale harvesting of a virgin forest for timber is and brings the forest into the asset boundary.
Similarly, drawing water from a natural spring does not bring an aquifer into the asset boundary of the SNA, but a significant diversion of groundwater does.
A move to charge for regular extraction from a body of surface water may also bring a water resource into the balance sheet.
12.23 The SNA, in general, treats differences in quality as differences in volume.
As explained with respect to goods and services in chapter 15, different qualities reflect different use values (and in the case of goods and services, different resource costs).
Different qualities are, therefore, economically different from each other.
The same principle applies to assets.
The quality changes recorded here occur as the simultaneous counterparts of the changes in economic use that are shown as changes in classification, as described below.
For example, the reclassification of cultivated land to land underlying buildings may result in a change of value as well as a change in classification.
In this case, the asset is already within the asset boundary, and it is the change in quality of the asset due to changes in its economic use that is regarded as the appearance of additional amounts of the asset.
Another example is that of livestock treated as capital formation, for example, dairy cattle, if they are sent to slaughter earlier than expected.
12.24 Exits of natural resources from the balance sheets are shown as negative entries on the left-hand side of the account.
Many of the possible entries are simply the negative alternative to the positive entries just discussed.
12.25 The changes recorded here are the negative analogues of gross additions to the level of exploitable subsoil resources that result from reassessments of exploitability because of changes in technology or relative prices.
In practice, only net additions may be available, and these will be recorded under discoveries and upwards reappraisals of subsoil resources.
12.26 The depletion of natural resources covers the reduction in the value of deposits of subsoil assets as a result of the physical removal and using up of the assets.
Table 12.2: The other changes in the volume of assets accounts - changes in assets dueto economic appearance and disappearance
12.27 The depletion of natural forests, fish stocks in the open seas and other uncultivated biological resources included in the asset boundary as a result of harvesting, forest clearance, or other use beyond sustainable levels of extraction should be included here.
12.28 It is possible that some natural resources cease to be deployed in economic activity because of changing technology, or reduced demand for the resulting product or for legislative reasons, for example the suspension of fishing to ensure the survival of fish stocks.
12.29 The changes recorded here are the negative equivalent of the upward changes in volume associated with the changes in classification.
For example, if a change in land use leads to reclassifying some land from cultivated land to communal grazing land, there well may be a resulting change in the value of the land.
12.30 All degradation of land, water resources and other natural assets caused by economic activity is recorded in the other changes in the volume of assets account.
The degradation may be an anticipated result from regular economic activity or less predictable erosion and other damage to land from deforestation or improper agricultural practices.
12.31 The contracts, leases and licences that can be treated as assets in their own right are all some form of transferable lease, contract or permit.
They may relate to the use of a fixed asset under an operating lease, the use of a natural resource under a resource lease, a permit to undertake some specific economic activity or a service contract relating to future services to be provided by a named individual.
Holding the operating lease, the resource lease, the permit or the service contract represents an asset for the holder only when two conditions hold:
a. the current prevailing price for the use of the asset, permit or provision of the service differs from the price specified in the contract or lease or paid for the permit, and
b. the holder of the lease, contract or permit can legally and practically realize this difference by subcontracting the lease or contract or on-selling the permit.
In practice, it is recommended to try to record such assets only when they are sold.
In this case they are first recorded in the other changes in the volume of assets account and subsequently form the basis of a transaction (or series of transactions) in the capital account.
12.32 The value of the contract, lease or licence treated as an asset is equal to the net present value of the excess of the prevailing price over the contract price.
It will decline as the period of the agreement declines and the difference in price is no longer evident.
Changes in the value of the contract, lease or licence due to changes in the prevailing price are recorded as revaluation; changes due to the expiration of the advantage given by the asset as the time over which it is valid are recorded as other changes in volume.
There is more extensive discussion of the treatment of contracts, leases and licences in part 5 of chapter 17.
Table 12.2cont: The other changes in the volume of assets accounts - changes in liabilities and net worth due to economic appearance and disappearance
12.33 When an enterprise, whether a corporation, quasi-corporation or unincorporated enterprise, is sold, the price paid may not equal the sum of all the assets less the liabilities of the enterprise.
The difference between the price paid and the sum of all the assets less liabilities is called the purchased goodwill and marketing assets of the enterprise.
The value may be positive or negative (or zero).
By its calculation and designation as an asset of the enterprise, the net worth of the enterprise at the moment it is bought is exactly zero, whatever the legal status of the enterprise.
12.34 The value of purchased goodwill and marketing assets is calculated at the time of the sale, entered in the books of the seller in the other changes in the volume of assets account and then exchanged as a transaction with the purchaser in the capital account.
Thereafter the value of the purchased goodwill and marketing asset must be written down in the books of the purchaser via entries in the other changes in the volume of assets account.
The rate at which it is written down should be in accordance with commercial accounting standards.
These are typically conservative in the amount that may appear on the balance sheet of an enterprise and should be subject to an “impairment test” whereby an accountant can satisfy himself that the remaining value is likely to be realizable in case of a further sale of the enterprise.
12.35 Goodwill that is not evidenced by a sale or purchase is not considered an economic asset in the SNA.
Exceptionally, a marketing asset may be subject to sale.
When this is so, entries should be made for the buyer and the seller along the lines of those made for purchased goodwill and marketing assets when the entire enterprise is sold.
12.36 Financial assets that are claims on other institutional units are created when the debtor accepts the obligation to make a payment, or payments, to the creditor in the future; they are extinguished when the debtor has fulfilled the obligation under the terms of the agreement.
Monetary gold held in the form of gold bullion, however, cannot be created and extinguished in this way; hence when it becomes a reserve asset it enters the financial part of the balance sheet as a reclassification in the other changes in the volume of assets account from valuables to monetary gold.
(At the time it is acquired by a monetary authority it is first classified as a valuable.)
The same recording is followed for allocated gold accounts that become part of monetary gold.
When allocated gold accounts become reserve assets they are reclassified from currency and deposits to monetary gold, also in the other changes in the volume of assets accounts.
Monetary gold may be sold to another monetary authority but otherwise any reduction in holdings follows a similar declassification path; the monetary gold is reclassified to be either a valuable (in the case of gold bullion) or currency and deposits (in the case of allocated gold accounts).
Subsequent transactions, if and when they occur, are recorded in terms of valuables or currency and deposits and not in terms of monetary gold.
Table 12.3: The other changes in the volume of assets account - changes in assets due to external events
12.37 Also recorded here are the effects of events not anticipated when the terms of financial claims were set.
12.38 There are a number of circumstances that may lead to reduction or cancellation of debt by other than normal repayment of liabilities.
The most common instances are described below.
12.39 A debtor and creditor may become parties to a bilateral agreement (often referred to as “debt forgiveness”) that a financial claim no longer exists.
Such an agreement gives rise in the SNA to the recording of a capital transfer payable or receivable (recorded in the capital account at the time the debt forgiveness occurs) and the simultaneous extinction of the claim (recorded in the financial account).
Debt forgiveness usually concerns government debt.
Some taxes and social security contributions that government recognizes as unlikely to be collected from the outset are excluded from tax and social security contribution receipts and so do not appear in the other changes in the volume of assets account.
12.40 Changes in claims resulting from debt assumption or rescheduling should be reflected in the financial account when the terms of the debt contract (maturity, interest rate, etc.) change, or when the institutional sector of the creditor or debtor changes, as these are considered new contractual arrangements.
However, all other changes in claims resulting from write-offs and write-downs are excluded from the financial account because there is no mutual agreement between the parties.
Specifically, a creditor may recognize that a financial claim can no longer be collected because of bankruptcy, liquidation or other factors and he may remove the claim from his balance sheet.
This recognition (by the creditor) should be accounted for in the other changes in volume of assets account.
(The corresponding liability must also be removed from the balance sheet of the debtor to maintain balance in the accounts of the total economy.)
12.41 Most commercial situations where the impossibility of debt collection is recognized are treated as unilateral cancellation of debt.
Unilateral cancellation of a financial claim by a debtor (debt repudiation) is not recognized in the SNA.
Write-downs that reflect the actual market values of financial assets should be accounted for in the revaluation account.
However, changes in value that are imposed solely to meet regulatory, supervisory or accounting requirements do not reflect the actual market values of those financial assets and should not be recorded in the SNA.
12.42 Another debt-related operation that raises questions as to how it should be recorded in the SNA relates to debt defeasance.
Debt defeasance allows a debtor (whose debts are generally in the form of debt securities and loans) to remove certain liabilities from the balance sheet by pairing irrevocably assets of equal value to the liabilities.
Subsequent to the defeasance, neither the assets nor the liabilities are included in the balance sheet of the debtor, nor, frequently, need they be reported for statistical purposes.
Defeasance may be carried out either by placing the paired assets and liabilities in a trust account within the institutional unit concerned, or by transferring them to another institutional unit.
In the former case, no entry is recorded for defeasance and the assets and liabilities will not be excluded from the balance sheet of the unit.
In the latter case, the transactions by which the assets and liabilities are moved to the second institutional unit are recorded in the financial account of the units concerned and reported in the balance sheet of the unit that holds the assets and liabilities.
Therefore, debt defeasance as such never results in liabilities being removed from the SNA, although it sometimes leads to a change in the institutional unit that reports those liabilities.
Table 12.3cont: The other changes in the volume of assets account - changes in liabilities dueto external events
12.43 Typically there are no entries in the other change in the volume of assets accounts for financial derivatives.
Financial derivatives appear in the financial account when an agreement is reached between the two parties concerned.
Employee stock options are similarly recorded in the same account at the grant date.
They then may be subject to transactions in the financial account.
When the agreement described in the derivative is activated, or it lapses because the time period is exhausted, the value of the derivative becomes zero and the change in value is shown in the revaluation account.
12.44 If the amount payable under a derivative remains due for payment after the derivative matures, the amount due no longer represents a derivative as there is no longer any risk associated with it. It is therefore reclassified as an other account receivable or payable.
12.45 There are three principal causes of the reduction in value of an asset, or even its total disappearance, that are not related to the nature of the asset but to conditions prevailing in the economy that impact either the value or ownership of assets.
These are catastrophic losses, uncompensated seizures and other volume changes of assets.
Each is discussed below. Table 12.3 shows an expansion of table 12.1 to include entries for these events.
12.46 The volume changes recorded as catastrophic losses in the other changes in the volume of assets account are the result of large scale, discrete and recognizable events that may destroy a significantly large number of assets within any of the asset categories.
Such events will generally be easy to identify.
They include major earthquakes, volcanic eruptions, tidal waves, exceptionally severe hurricanes, drought and other natural disasters; acts of war, riots and other political events; and technological accidents such as major toxic spills or release of radioactive particles into the air.
Included here are such major losses as deterioration in the quality of land caused by abnormal flooding or wind damage; destruction of cultivated assets by drought or outbreaks of disease; destruction of buildings, equipment or valuables in forest fires or earthquakes.
12.47 Catastrophic losses of financial assets are less common but where evidence of ownership depends on written records and these records are destroyed, it may not be possible to re-establish ownership.
Accidental destruction of currency or bearer securities may result from a natural catastrophe or political events.
12.48 Governments or other institutional units may take possession of the assets of other institutional units, including non-resident units, without full compensation for reasons other than the payment of taxes, fines, or similar levies.
If the compensation falls substantially short of the values of the assets as shown in the balance sheet, the difference should be recorded as an increase in assets for the institutional unit doing the seizing and a decrease in assets for the institutional unit losing the asset under the entry for uncompensated seizures of assets.
Table 12.4: The other changes in the volume of assets account - changes in assets due to changes inclassifications
12.49 It should be noted that foreclosures and repossessions of goods by creditors are not treated as uncompensated seizures.
They are treated as transactions, specifically as disposals by debtors and acquisitions by creditors, because, explicitly or by general understanding, the agreement between debtor and creditor provided this avenue of recourse.
12.50 The value of a fixed asset is continually reduced by the consumption of fixed capital until the asset is disposed of or has no remaining value.
It is possible, though, for the assumptions underlying the calculation of consumption of fixed capital to be mistaken and when this is so, corrections need to be made in the other changes in the volume of assets account.
Similarly, if the assumption about the rate of shrinkage of inventories is mistaken, this should also be corrected in the other changes in the volume of assets account.
The financial assets and liabilities that can be affected by volume change are some of the reserves for insurance, pension and standardized guarantee schemes.
There is further discussion of this in parts 1, 2 and 3 of chapter 17.
12.51 The calculation of the consumption of fixed capital reflects an assumption about normal rates of physical deterioration, obsolescence and accidental damage.
Each of these assumptions may prove to be faulty.
In that case, an adjustment in the other changes in the volume of assets account must be made.
In principle, revised assumptions, reflecting the new circumstances, should then be used to calculate consumption of fixed capital for the remainder of the asset's useful life.
If this is not done, continual adjustment in the other changes in the volume of assets account is necessary and the measure of net value added in subsequent years is overstated.
12.52 Physical deterioration may include the effect of unforeseen environmental degradation on fixed assets.
Entries must, therefore, be made in the other changes in the volume of assets account for the decline in the value of the fixed assets from, for example, the effects of acidity in the air and acid rain on building surfaces or vehicle bodies.
12.53 The introduction of improved technology such as improved models of the asset or of a new production process that no longer requires the asset may lead to unforeseen obsolescence.
In consequence, the amount included for their previously expected obsolescence may fall short of the actual obsolescence.
12.54 The amount included for normally expected damage may fall short of the actual damage.
For the economy as a whole, this difference should normally be small; for individual units this difference may be significant and may fluctuate in sign.
Adjustments must therefore be made in the other changes in the volume of assets account for the decline in the value of the fixed assets due to these events.
These losses are larger than normal, but are not on a scale sufficiently large to be considered catastrophic.
12.55 As explained in chapter 10, costs of ownership transfer should be written off over the expected time the asset will be in the possession of the purchaser.
If the asset is disposed of before the costs of ownership transfer are completely written off, the remainder should also be recorded in the other changes in the volume of assets account.
Table 12.4cont: The other changes in the volume of assets account - changes in liabilities and net worth due to changes in classifications
12.56 It is possible that the initial assumptions on any or all of these conditions were overcautious.
If that proves to be so, then an upward revision to the value of the asset should be made rather than a downward one.
12.57 Production facilities with long construction periods may cease to have an economic rationale before they are complete or are put into service.
For example, a nuclear power plant or industrial site may never be put into service.
When the decision to abandon is made, the value of the fixed asset (or in some case, work-in-progress inventories, as explained in chapter 10), as recorded in the balance sheet should be written off in the other changes in the volume of assets account.
12.58 Exceptional losses from fire damage, from robberies, from insect infestation of grain stores, from an unusually high level of disease in livestock, etc., should be recorded here.
In this context, exceptional losses indicate that the losses are not only large in value but also irregular in occurrence.
Even very large losses, if they occur regularly, should be taken into account when calculating the change in inventories calculated for entry in the capital account as explained in chapter 10.
12.59 For an annuity, the relationship between premiums and benefits is usually determined when the contract is entered into, taking account of mortality data available at that time.
Any subsequent changes will affect the liability of the annuity provider towards the beneficiary and the consequences are recorded here.
12.60 The changes in the volume of reserves for pension entitlements apply to defined benefit schemes, those where the pension to be provided is determined wholly or in part by a formula.
No such adjustments are needed for defined contribution schemes where the benefits are determined solely in terms of the investment earnings on contributions fed into the scheme.
12.61 The exact delineation between which changes in pension entitlements are treated as transactions and which as other changes in the volume of assets is still being researched.
Part 2 of chapter 17 describes the present situation.
12.62 If standardized guarantees are provided on a purely commercial basis, the provisions for calls will be covered by the fees paid and investment earnings on them and possible recoveries from the debtor in default.
However, government often underwrites such schemes.
When it does so, a provision should be entered in the government accounts for the expected excess of calls under the scheme over any fees received, investment income or recoveries made.
If the guarantees cover a long period and there is provision for government to claim assets in the case of default, this expected excess should be calculated on the basis of the net present value of calls to be made under the scheme.
An entry is required whenever a new scheme is introduced or a significant change to the expected level of calls is recognized, beyond what will be recovered by fees or other means.
Table 12.5: The other changes in the volume of assets account - changes in asset by type of asset
12.63 The other changes in the volume of assets account records changes in assets and liabilities that reflect nothing more than changes in the classification of institutional units among sectors, changes in the structure of institutional units and changes in the classification of assets and liabilities. Table 12.4 shows an expansion of table 12.1 to include the entries for changes in classification.
12.64 Reclassifying an institutional unit from one sector to another transfers its entire balance sheet.
For example, if an unincorporated enterprise becomes more financially distinct from its owner and takes on the characteristics of a quasi-corporation, it and its balance sheet move from the household sector to the non-financial corporations sector; or if a financial corporation is newly authorized to take deposits, it may be reclassified from “other financial intermediaries” to “deposit-taking corporations except the central bank”.
12.65 If a household moves from one economy to another, taking its possessions (including financial assets) with it, they are also recorded under changes in classifications and structures.
As there is no change in ownership of the possessions, there can be no transaction in them.
12.66 Chapter 21 discusses the flows to be recorded when there is corporate restructuring, either when two corporations merge, when one is taken over by another group or when one corporation is split into two or more units.
Most of the resulting financial consequences are recorded as transactions but some may be recorded as other volume changes. Chapter 21 also discusses the implications of nationalization and privatization, describing when the consequences are treated as transactions and when as other volume changes including reclassification by sector.
12.67 Reclassification is needed as a result of trading in securities.
When unit A sells a security to unit B, A has a liability and B an asset.
If B now sells the same asset to unit C, the transaction between B and C is recorded in the financial account as the sale of a security.
Although A is not involved in the sale and purchase of the security between B and C, A's balance sheet is affected as the liability originally owed to B is now owed to C. This reclassification is shown in the other changes in the volume of assets account.
12.68 An asset may appear under one heading in the opening balance sheet and under another in the closing balance sheet.
Since transactions in assets must be registered as an increase in holding by one party and a decrease in the holding of the same asset by another, the process of change of classification must be recorded in the other changes in the volume of assets account.
The asset may be first recorded as a transaction under the original classification and then recorded as changing its classification in the balance sheet of the new owner.
Alternatively, it may be shown first as a reclassification by the first owner and then as a transaction under its new classification.
If the change in classification leads to a change in value, it is treated as a quality change, and thus a change in volume, as described earlier under the discussion on economic appearance and disappearance.
The choice between whether to reclassify and then record transactions or vice versa depends on the nature of the transactors and the question of whether the original or new owner benefits from the change in price.
Some examples of reclassifications are described below.
Table 12.5cont: The other changes in the volume of assets account - changes in liabilities and net worth by type of liability
12.69 Unit A sells farm land to unit B, which uses it to build houses on. If A acquires planning permission before selling the land it should be registered as a change in classification in A's accounts (with a probable gain in value to be recorded as an other volume change also in A's accounts), and then a sale of building land to B. If B acquires planning permission after the sale is complete, then it is farm land that is sold and B records a change of classification (and possibly an other volume change) in its books.
12.70 Similar considerations apply to buildings if they are converted from a dwelling to commercial premises or vice versa in response to official designation about the allowed purpose of a building in that location.
12.71 In all instances, work-in-progress needs to be reclassified to finished goods prior to sale.
Sale and reclassification of land and buildings
A conversion resulting solely from new investment in a previous building is not an other change in the volume of the asset but the result of gross fixed capital formation.
Changes of classification involving inventories
Some animals treated as fixed capital because they are kept as dairy stock or for their fleece may be slaughtered for meat at the end of their productive lives.
In this case, they should in principle be reclassified from fixed capital to inventories when they cease to yield repeat products.
If this is not practicable, or deemed too fastidious, then some of the source of meat should be accounted for by a reduction in fixed capital rather than a withdrawal from inventories.
In principle, reclassification from one type of inventory to another or from fixed capital to inventories, should not involve a change in value.
If at the time of conversion the previous valuation is different from the appropriate new valuation, an entry in the other changes in the volume of assets account is recorded under economic appearance or disappearance as appropriate.
If this is found to be happening systematically, the valuation techniques for inventories should be re-examined.
12.72 Tables 12.2 to 12.4 show details of other volume changes for each type of change with details for each asset as a second level of classification.
The information there can be aggregated by type of assets, regardless of the cause for the volume change, as shown in table 12.5.
This is the form in which information from the other change in the volume of assets account feeds into the reconciliation between opening and closing balance sheets.
12.73 The revaluation account, shown in table 12.6, records the holding gains or losses accruing during the accounting period to the owners of financial and non-financial assets and liabilities.
The first entries relate to nominal holding gains and losses which are then decomposed into neutral holding gains and real holding gains.
Holding gains or losses on assets are recorded on the left-hand side of the account and those on liabilities on the right-hand side.
12.74 The nominal holding gain on a non-financial asset is the value of the benefit accruing to the owner of that asset as a result of a change in its price over a period of time.
The nominal holding gain on a financial asset is the increase in value of the asset, other than transactions in the assets (including the accrual of interest over a period of time) and other changes in the volume of assets.
The nominal holding gain on a liability is the decrease in value of the liability, other than by transactions or by other volume changes.
A nominal holding gain that is negative is referred to as a holding loss.
A positive holding gain, whether due to an increase in the value of a given asset or a reduction in the value of a given liability, increases the net worth of the unit in question.
Conversely, a holding loss reduces the net worth of the unit in question, whether due to a reduction in the value of a given asset or an increase in the value of a given liability.
12.75 As well as the absolute change in value of an asset, it is interesting to know how the change in value compares with a general measure of inflation.
When the value of an asset rises over a given period of time by more than the general price level, the asset can be exchanged for a greater volume of the goods, services and assets covered by the general price index at the end of the period than at the beginning.
The increase that preserves exactly the same volume of goods and services is called a neutral holding gain.
A neutral holding gain (loss) over a period is the increase (decrease) in the value of an asset that would be required, in the absence of transactions and other changes in the volume of assets, to maintain command over the same amount of goods and services as at the beginning of the period.
12.76 The difference between the nominal holding gain or loss and the neutral holding gain or loss for the same asset over the same time period is called the real holding gain or loss.
If the value of the asset increases faster than the neutral holding gain, then there is a real holding gain.
If the value of the asset does not increase as fast as the overall increase in prices, or does not increase at all, the owner of the asset registers a real holding loss.
A real holding gain (loss) is the amount by which the value of an asset increases (decreases) over the neutral holding gain for the period, in the absence of transactions and other changes in the volume of assets.
Nominal, neutral and real holding gains, and the interrelationships between them are explained more assumed for the moment that there are neither transactions fully in the following sections. nor other changes in volume intervening between the two dates mentioned.
12.77 The balancing item in the revaluation account is described as changes in net worth due to nominal holding gains or losses.
It is defined as the algebraic sum of the positive or negative nominal holding gains on all the assets and liabilities of an institutional unit.
Just as nominal holding gains are decomposed into neutral and real holding gains, so changes in net worth due to nominal holding gains may be decomposed into changes in net worth due to neutral holding gains or losses and changes in net worth due to real holding gains or losses.
The latter is an item of considerable analytic interest.
12.78 In order to simplify the terminology and exposition, holding losses will not usually be referred to explicitly unless the context requires it. The term “holding gains” is used to cover both holding gains and losses on the clear understanding that holding gains may be negative as well as positive.
Similarly, the term “assets” is used collectively to cover both assets and liabilities, unless the context requires liabilities to be referred to specifically.
12.79 Holding gains are sometimes described as “capital gains”. The term “holding gain” is widely used in business accounting and is preferred here because it emphasizes the fact that holding gains accrue purely as a result of holding assets over time without transforming them in any way.
Holding gains include not only gains on “capital” such as fixed assets, land and financial assets but also gains on inventories of all kinds of goods held by producers, including work-in-progress, often described as “stock appreciation”. For most financial assets, a holding gain experienced by one unit is matched, in whole or in part, by a holding loss for the unit holding the counterpart liability.
This is not so for non-financial assets as there are no non-financial liabilities.
12.80 When an asset whose value has increased because of a nominal holding gain is sold or otherwise disposed of, the holding gain is said to be realized.
If the asset is retained by the existing owner, the holding gain is unrealized.
In common usage, a realized gain is usually understood as the gain realized over the entire period over which the asset is owned or liability is outstanding whether this period coincides with the accounting period or not.
Within the SNA, however, all holding gains and losses are measured only from the start of the accounting period.
A holding gain (loss) is realized when an asset that has increased (decreased) in value due to holding gains (losses) since the beginning of the accounting period is sold, redeemed, used or otherwise disposed of, or a liability incorporating a holding gain or loss is repaid.
An unrealized holding gain is one accruing on an asset that is still owned or a liability that is still outstanding at the end of the accounting period.
It follows that the nominal holding gain or loss on an asset is the sum of the realized and unrealized holding gain or loss for the period in question.
12.81 It is useful to distinguish four different situations giving rise to nominal gains and the methods of valuation to be employed in each case.
For clarity of exposition, it is
a. An asset held throughout the accounting period: the nominal holding gain accruing during the accounting period is equal to the closing balance sheet value minus the opening balance sheet value.
These values are the estimated values of the assets if they were acquired at the times the balance sheets are drawn up. The nominal gain is unrealized.
b. An asset held at the beginning of the period that is sold during the period: the nominal holding gain accruing is equal to the actual or estimated disposal value minus the opening balance sheet value.
The nominal gain is realized.
c. An asset acquired during the period and still held at the end of the period: the nominal holding gain accruing is equal to the closing balance sheet value minus the actual, or estimated, acquisition value of the asset.
The nominal gain is unrealized.
d. An asset acquired and disposed of during the accounting period: the nominal holding gain accruing is equal to the actual, or estimated, disposal value minus the actual, or estimated, acquisition value.
The nominal gain is realized.
12.82 The basic identity linking balance sheets, transactions, other volume changes and nominal holding gains may be expressed as follows:
the value of the stock of the asset in the opening balance sheet valued at the date of the opening balance sheet,
plus the value of the asset acquired, or disposed of, in transactions valued at the dates the transactions took place,
plus the value of other changes in the volume of the asset valued at the dates the other volume changes are recorded as taking place,
plus the value of the nominal holding gains on the asset,
equals the value of the stock of the asset in the closing balance sheet, valued at the date of the closing balance sheet.
The values of the assets and liabilities in the closing balance sheet incorporate the unrealized holding gains or losses.
The value of transactions includes the value of realized holding gains or losses.
It therefore follows that the correct value of the revaluation item must cover both realized and unrealized holding gains, in other words to be the full value of the nominal holding gains or losses.
12.83 Because the total nominal holding gains accruing on a particular category of asset over a given period of time include those accruing on assets acquired or disposed of during the accounting period as well as on assets that figure in the opening or closing balance sheets, it is not possible to calculate total holding gains from balance sheet data on their own.
This can be demonstrated by means of a simple example.
12.84 Suppose a corporation owns 100 units of a stock (inventories or shares, for instance) at the beginning of the period and these are worth 20 each or 2 000 in total.
At some point in the period, when the price per unit has risen to 22, another 15 units are bought; a cost of 330. At the end of the period, when the price has risen to 25, some 15 units are sold for a value of 375. The value of the stock in the closing balance sheet represents 100 units valued at 25 each or 2 500. The increase in the balance sheet of 500 represents unrealized holding gain on the stock of 100. The value of the transactions represents a decrease in the balance sheet since the value of the stock added to the balance sheet (330) is less than the value of stock sold (375).
The difference, -45, is a reduction in net worth brought about by realizing some holding gains.
The total nominal holding gain is thus 545 which satisfies the identity that the opening stock (2 000) plus the transactions (-45) plus the nominal holding gains (545) plus the other changes in the volume of assets (0) equals the value in the closing balance sheet (2 500).
12.85 In order to calculate total holding gains directly, therefore, it is necessary to keep records of all the assets acquired and disposed during the accounting period and the prices at which they were acquired and disposed of, as well as the prices and quantities of assets held at the beginning and end of the period.
This sort of recording is more common for financial assets and liabilities than for non-financial assets.
12.86 Each of the five elements that make up the identity in paragraph 12.82 explaining the changes in the balance sheet can be calculated directly and independently of the other four elements.
Thus, each element has the same status, none of them being defined residually as a balancing item.
Nevertheless, it follows that if any four out of the five elements are calculated directly, the fifth can be estimated residually.
For this reason, the identity can be exploited to estimate nominal holding gains from the other four elements, but without this implying that nominal holding gains are a balancing item in the SNA.
12.87 In order to calculate the neutral holding gain on an asset, it is desirable to select a comprehensive price index covering as wide a range of goods, services and assets as possible.
In practice, the price index for final expenditures is an acceptable choice for most countries, although other comprehensive indices could be used depending upon the availability of data.
A comprehensive index of this kind, however, may be available only once a year, or at best quarterly, and after a significant lapse of time.
As holding gains may accrue on assets held for only short periods of time, it may also be necessary to make use of an index that measures changes in prices monthly and that becomes available without too much delay.
The consumer price index (CPI) usually meets these requirements and an acceptable procedure would be to use the CPI to interpolate and extrapolate movements in a more broadly based index in order to calculate neutral holding gains.
12.88 The neutral holding gain on an asset over a given period of time is equal to the value of the asset at the beginning of the period multiplied by the proportionate change in some comprehensive price index selected to measure the change in the general price level.
Neutral holding gains can, therefore, easily be calculated for assets held throughout the accounting period that appear in both the opening and closing balance sheets.
It is more difficult, however, to keep track of the neutral holding gains on assets that are acquired or disposed of during the accounting period unless the times at which the various acquisitions and disposals took place are known.
12.89 The real holding gain on an asset is defined as the difference between the nominal and the neutral holding gain on that asset.
The values of the real holding gains on assets thus depend on the movements of their prices over the period in question, relative to movements of other prices, on average, as measured by the general price index.
An increase in the relative price of an asset leads to a positive real holding gain and a decrease in the relative price of an asset leads to a negative real gain, whether the general price level is rising, falling or stationary.
12.90 The nominal holding gains on domestic currency, deposits and loans denominated in domestic currency are always zero.
During inflation, the neutral gains on such assets and liabilities must be positive and hence the real holding gains must be negative and equal in absolute value to the neutral gains.
In other words, the real value of these assets declines both for the creditor and the debtor as a result of inflation.
From the point of view of the debtor a reduction in the real value of a liability represents an increase in net worth expressed in real terms.
In effect, there is an implicit transfer of real purchasing power from the creditor to the debtor equal in value to the negative real holding gain on the asset or liability.
When such transfers are anticipated by creditors, correspondingly higher nominal rates of interest may be demanded on loans and offered on deposits to compensate for the expected transfers, or loans with fixed monetary values may be replaced by indexed loans.
12.91 As changes in relative prices may be either positive or negative, the owners of some assets benefit from real holding gains while the owners of other assets experience real holding losses.
Real holding gains may lead to a significant redistribution of real net worth among institutional units, sectors and even countries, the extent of which depends on the amount of variation in the relative price changes taking place.
While such variations may occur even when there is no general inflation, there are systematic effects that are associated with the general rate of inflation as a result of the decline in the real values of monetary assets and liabilities when the general price level is rising.
12.92 As real holding gains increase or decrease the purchasing power of the owners of assets, they exert an influence on their economic behaviour.
Real holding gains are important economic variables in their own right as well as for purposes of analysing consumption or capital formation.
It can be argued that real holding gains ought to be assimilated with income as defined in the SNA to obtain a more comprehensive measure of income, but there is no Inventories consensus on this.
Apart from the practical difficulty of estimating real holding gains and losses, it is likely that their impact on economic behaviour is not the same as that of income received in cash or in kind.
Nevertheless, it is clear that information on real holding gains needs to be made available to users, analysts and policymakers.
12.93 As real holding gains may be obtained residually by subtracting neutral from nominal holding gains, the feasibility of calculating real holding gains depends on the feasibility of calculating nominal and neutral gains.
12.94 Nominal holding gains are calculated with reference to assets or liabilities that themselves remain qualitatively and quantitatively unchanged during the period over which the holding gain is measured.
Thus, changes in the value of physical assets such as structures, equipment or inventories held by producers that are attributable to some physical or economic transformation of those assets over time, whether improvement or deterioration, are not counted as holding gains.
In particular, the decline in the value of the fixed assets owned by producers due to their physical deterioration or normal rates of obsolescence or accidental damage is recorded as consumption of fixed capital and not as a negative holding gain.
12.95 Consumption of fixed capital should be calculated by valuing the opening and closing stock at the average price of the period precisely in order to ensure it excludes any holding gains.
Often the price at the mid-point of the period is taken as the average price of the period.
Under moderate rates of inflation this may be an acceptable approximation but is less so the higher the rate of inflation and under severe inflation is very misleading.
12.96 Nominal holding gains may occur on existing fixed assets either because of general inflation or because the price of the asset itself changes over time.
When assets of the same kind are still being produced and sold on the market, an existing asset should be valued in the opening or closing balance sheet at the current purchaser's price of a newly produced asset less the accumulated consumption of fixed capital up to that time also calculated on the basis of the prices prevailing at the time the balance sheet is drawn up. When new assets of the same type are no longer being produced, the valuation of existing assets may pose difficult conceptual and practical problems.
If broadly similar kinds of assets are still being produced, even though their characteristics may differ significantly from those of existing assets (for example, new models of vehicles or aircraft), it may be reasonable to assume that, if the existing assets were still being produced, their prices would have moved in the same way as those of new assets.
However, such an assumption becomes questionable when the characteristics of new assets are much improved by technical progress.
There is further discussion on this topic in Measuring Capital.
12.97 The estimation of nominal holding gains on inventories may be difficult because of lack of data on transactions or other volume changes in inventories.
As explained in chapter 6, transactions in inventories of work-in-progress and finished goods may not be adequately recorded because they are internal transactions.
Goods entering inventories can be regarded as being acquired by the owner of an enterprise from itself as producer, while goods leaving inventories can be regarded as being disposed of by the owner to the producer for use in production or for sale.
These internal transactions should be valued at the prices prevailing at the times they take place.
The value of withdrawals thus includes any holding gains on the inventories when stored and this ensures that the value of the holding gain is not included in output.
However, as explained in paragraphs 6.142 to 6.145 when the storage of goods is essentially an extension of the process of production, the increase in the value of the goods that is due to this production is not to be counted as a nominal holding gain.
In the case of goods for resale, the value of the goods when withdrawn from inventory should include the value of any holding gain or loss that has occurred while they were in store but not the value of any margin to be realized by the wholesaler or retailer.
That is to say, goods withdrawn from inventories are valued at the prices prevailing at the time of withdrawal for goods in the same state as when the goods entered inventories (except for the storage case).
12.98 Other volume changes are likely to consist of inventories of goods destroyed as a result of exceptional events such as natural disasters (floods, earthquakes, etc.) or major fires.
Recurrent losses of goods from inventories, such as losses due to regular wastage or pilfering, are treated in the same way as deliberate withdrawals.
Nominal holding gains on inventories thus relate only to the level of inventories once both exceptional and recurrent losses on inventories have been taken into account.
12.99 Unless records are kept of the quantities of goods entering and leaving inventories and their prices at those times, it is not possible to measure the value of changes in inventories directly.
As such records may not be available, it becomes necessary to try to deduce the value of changes in inventories from the value and quantities of the opening and closing inventories using methods that attempt to partition the difference between the values of the opening and closing stocks of assets into transactions and nominal holding gains.
Such methods are only as good as the assumptions on which they are based.
Estimating holding gains and losses based only on period end data involves two problematical assumptions.
The first is that prices increase linearly throughout the period; the second is that the changes in volume of inventories increase or decrease linearly between opening and closing balance sheets.
Both assumptions are improbable, especially in the case of seasonal products.
It should also be noted that this is not only a problem for the accumulation accounts as the values of changes in inventories of inputs and outputs are needed in order to measure intermediate consumption, output and value added and hence all the balancing items of the SNA.
In general, if these sorts of assumptions need to be made in order to derive holding gains and losses, they should be made over as short a period as possible.
In particular, the aggregation of quarterly estimates of this type will be preferable to an annual estimate of the same type.
12.100 The nature of valuables is that they are held as a store of value in the expectation that their value will increase over time.
Any increase in value of an individual valuable is treated as a nominal holding gain.
This may be partitioned into a neutral and a real holding gain in the standard way.
12.101 Because it is not always appropriate to describe financial assets and liabilities as having a price, holding gains and losses appear to be treated differently for different categories though the same basic principles apply to all categories.
Other changes in the volume of financial assets and liabilities are possible, as described in section B, but are generally ignored in what follows.
12.102 Except for monetary gold and SDRs, the discussion is first in terms of assets denomination in domestic currency and then of the effects when they are denominated in foreign currency.
12.103 Because the price of gold is usually quoted in dollars, monetary gold is subject to nominal and real holding gains and losses because of changes in the exchange rate as well as in the price of gold itself.
12.104 Since the value of the SDR is based on a basket of four key currencies, the value of SDRs is always subject to nominal and real holding gains and losses.
From time to time, new allocations of SDRs may be made; when this occurs the allocation is recorded as a transaction.
12.105 Domestic currency is not subject to any nominal holding gains or losses.
It can be thought of as a fixed “quantity” of currency units (for example, one dollar) with a price that is always unity.
However, although the nominal holding gains are zero, the neutral holding gains on currency are not.
Under inflation, neutral holding gains are positive and so the associated real holding gains are negative and of an equal size.
12.106 Deposits and loans denominated in domestic currency also do not register nominal holding gains and losses for the same reasons as currency.
There may be increases in the values of a loan or a deposit during an accounting period but this must be due to transactions including the addition of interest to the previous level of principal.
As with currency, deposits and loans denominated in domestic currency register real holding losses of the same magnitude as their neutral holding gains.
12.107 Debt securities typically have market values and these market values change over time.
However, not all of the changes in value are treated as holding gains and losses.
12.108 A bond is a security that gives the holder the unconditional right to a fixed money income or contractually determined variable money income over a specified period of time and (except in the case of perpetual bonds) the right also to a fixed sum as repayment of principal on a specified date or dates.
Bonds are usually traded on markets and the holder of a bond may change several times during the life of the bond.
The issuer of such a bond may sometimes be able to repay the principal outstanding at any time by purchasing it back in advance of the date on which it matures.
12.109 As explained in part 4 of chapter 17, when a bond is issued at a discount, including deep discounted and zero coupon bonds, the difference between its issue price and its face or redemption value when it matures measures interest that the issuer is obliged to pay over the life of the bond.
Such interest is recorded as property income payable by the issuer of the bond and receivable by the holder of the bond in addition to any coupon interest actually paid by the issuer at specified intervals over the life of the bond.
In principle, the interest accruing is treated as being simultaneously reinvested in the bond by the holder of the bond.
It is, therefore, recorded in the financial account as the acquisition of additional value of the existing asset.
Thus the gradual increase in the market price of a bond that is attributable to the accumulation of accrued, reinvested interest reflects a growth in the principal outstanding.
It is essentially a quantum or volume increase and not a price increase.
It does not generate any holding gain for the holder of the bond or holding loss for the issuer of the bond.
The increases in value due to the accrual of interest are recorded in the distribution of primary income account and the financial account and not in the revaluation account (nor in the other changes in the volume of assets account).
12.110 The prices of fixed-rate marketable bonds also change, however, when the market rates of interest change, the prices varying inversely with the interest rate movements.
The impact of a given interest rate change on the price of an individual bond is less, the closer the bond is to maturity.
Changes in bond prices that are attributable to changes in market rates of interest constitute price and not quantum changes.
They therefore generate nominal holding gains or losses for both the issuers and the holders of the bonds.
An increase in interest rates generates a nominal holding gain for the issuer of the bond and an equal nominal holding loss for the holder of the bond, and vice versa in the case of a fall in interest rates.
Whenever the interest rate changes, the market value of the bond changes; this change in value is recorded as a revaluation.
Within the SNA, the interest recorded due to the fact that the redemption date is nearer is calculated on the basis of the interest rate at the issue date.
Over the whole of the life of the bond, therefore, the holding gains and losses are offsetting and total interest recorded is the difference between issue price and redemption price.
12.111 Prices of bonds may also change because of a change in the creditworthiness (up as well as down) of the issuer or guarantor.
Such changes give rise to the same sorts of entries as changes in the interest rate.
This is because the market price of the bond changes to reflect the market's view of the creditworthiness of the issuer.
It does not imply that impairments to loans and deposits should be treated as revaluations.
The appropriate treatment for impaired loans is discussed in paragraphs 13.66 to 13.68.
12.112 Nominal holding gains or losses may accrue on bills in the same way as for bonds.
However, as bills are short-term securities with much shorter times to maturity, the holding gains generated by interest rate changes are generally much smaller than on bonds with the same face values.
12.113 For corporations that are foreign direct investment enterprises and investment funds, any undistributed earnings are shown as reinvested earnings in the distribution of primary income account and as reinvestment of earnings in the financial account.
Reinvestment of earnings increases the value of equity and investment fund shares.
For listed shares and investment fund shares and units, market prices exist and changes in the value other than via reinvested earnings are treated as holding gains and losses exactly as for inventories with no storage component or valuables.
12.114 For other forms of equity, holding gains are calculated in a manner similar to the way in which the value of the equity is calculated.
For example, for a quasi-corporation where the value of other equity is derived as the balance of assets less liabilities, holding gains are calculated as the sum of holding gains on assets less the holding gains on liabilities.
12.115 When the reserves for insurance and standardized guarantee schemes are denominated in domestic currency, there are generally no nominal holding gains and losses just as there are none for currency or deposits and loans.
Exceptionally, if a figure for a claim outstanding has been agreed and it has been agreed to be indexed pending payment, then there may be a nominal holding gain or loss recorded for it.
12.116 As far as pension entitlements are concerned, increases in the value of entitlements due to indexation are recorded via reinvestment of investment income payable to the beneficiaries and not in the revaluation account.
12.117 The assets the financial institutions use to meet their commitments under these schemes do indeed benefit from holding gains, for example investments in equity and investment funds, but the liabilities towards the policyholders and beneficiaries change only as a result of transactions and other changes in the volume of assets.
12.118 Financial derivatives have quoted prices and thus register nominal holding gains and losses as for listed shares and investment fund shares and units.
As explained in part 6 of chapter 17, employee stock options may also register nominal holding gains and losses.
12.119 Other accounts receivable or payable denominated in domestic currency do not register nominal holding gains and losses.
All changes in value between the start and end of the accounting period are due to transactions, possibly including accrued interest.
As with currency, there may be real holding gains equal in magnitude to the neutral holding losses under inflation.
12.120 Residents may hold assets denominated in foreign currency just as non-residents may hold assets denominated in domestic currency.
For balance sheet purposes, the value of an asset denominated in foreign currency is measured by its current value in foreign currency converted into the currency of the country in which its owner is resident at the mid-point of the bid and offer rate of the exchange rate on the balance sheet date.
Nominal holding gains may therefore occur not only because the price of the asset in local currency changes but also because the exchange rate changes.
12.121 Neutral holding gains are calculated in the same way as for any other type of asset by calculating what the holding gains would have been if the prices of the assets, expressed in the domestic currency, had moved in the same way as the general internal price level.
Real holding gains, again expressed in the domestic currency, can then be derived residually by subtracting the neutral from the nominal gains.
If, in addition to the asset being denominated in foreign currency, either the creditor or debtor is nonresident, the real holding gains (losses) of the creditor need not be equal to the real holding losses (gains) of the debtor when the general rates of inflation are different in the two countries.
Table 12.6: The revaluation account - changes in assets
Table 12.6cont: The revaluation account - changes in liabilities and net worth
13.1 This chapter is concerned with measuring the stocks of assets, both non-financial and financial, and liabilities.
Assets and liabilities can be aggregated across all types so as to show the total value of assets less liabilities, or net worth, of an institutional unit.
Alternatively, the total value of a given type of asset across all units in the economy can be derived.
Tables depicting the first sort of aggregation are called balance sheets; those depicting the second sort are called asset accounts.
For both balance sheets and asset accounts, it is also important to show how the transactions and other flows recorded during the course of an accounting period explain the changes in value of the stock in question between the start and end of the period.
The value of the stock at the start of the period is referred to as the opening stock and the value at the end of the period is referred to as the closing stock.
Sometimes a stock level is referred to as a position, especially in the balance of payments context.
13.2 A balance sheet is a statement, drawn up in respect of a particular point in time, of the values of assets owned and of the liabilities owed by an institutional unit or group of units.
A balance sheet may be drawn up for institutional units, institutional sectors and the total economy.
A similar account is drawn up showing the stock levels of assets and liabilities originating in the total economy held by nonresidents and of foreign assets and liabilities held by residents.
In BPM6 this account is called the international investment position (IIP) but is drawn up from the point of view of residents whereas in the SNA it is drawn up from the point of view of the rest of the world with the rest of the world being treated in the same way as domestic sectors.
13.3 Assets appear in the balance sheet of the unit that is the economic owner of the asset.
In many cases this unit will also be the legal owner but in the case of a financial lease, the leased asset appears on the balance sheet of the lessee, while the lessor has a financial asset of similar amount and a corresponding claim against the lessee.
On the other hand, when a natural resource is the subject of a resource lease, the asset continues to appear in the balance sheet of the lessor even though most of the economic risks and rewards of using the asset in production are assumed by the lessee.
A fuller description of the treatment of leases is given in part 5 of chapter 17 and of the distinction between legal and economic owner is given in chapter 3.
13.4 The financial and non-financial resources at the disposal of an institutional unit or sector shown in the balance sheet provide an indicator of economic status.
These resources are summarized in the balancing item, net worth.
Net worth is defined as the value of all the assets owned by an institutional unit or sector less the value of all its outstanding liabilities.
For the economy as a whole, the balance sheet shows the sum of non-financial assets and net claims on the rest of the world.
This sum is often referred to as national wealth.
13.5 The balance sheet completes the sequence of accounts, showing the ultimate result of the entries in the production, distribution and use of income, and accumulation accounts.
13.6 The existence of a set of balance sheets integrated with the flow accounts encourages analysts to look more broadly when monitoring and assessing economic and financial conditions and behaviour.
Balance sheets provide information necessary for analysing a number of topics.
For example, in studies of the factors determining household behaviour, consumption and saving functions often include wealth variables to capture the effects of such factors as price fluctuations in corporate securities or the deterioration and obsolescence of stocks of durable consumer goods on households' purchasing patterns.
Further, balance sheets for groups of households are needed in order to assess the distribution of wealth and liquidity.
13.7 Balance sheets allow economists to assess the financial status of a sector and permit risk analyses by a central bank, for example.
For corporations, balance sheets permit the computation of widely used ratios that involve data on the level of the different items on the balance sheet.
Banks and other financial institutions, for example, are required to maintain specific reserve ratios that can be monitored via a balance sheet.
Non-financial corporations check certain ratios such as current assets in relation to current liabilities and the market value of corporate shares in relation to the adjusted book value.
Data on the stocks of fixed assets owned by corporations, as well as by other institutional units, are useful in studies of their investment behaviour and needs for financing.
Balance sheet information on financial assets held by, and liabilities owed to, nonresidents are of considerable interest as indicators of the economic resources of a nation and for assessing the external debtor or creditor position of a country.
13.8 As well as drawing up a balance sheet showing the values of all assets held by an institutional unit, it is possible to draw up a similar account for the value of a single type of asset (or liability) held by all institutional units in the economy.
This is called an asset account.
A basic accounting identity links the opening balance sheet and the closing balance sheet for a given asset:
The value of the stock of a specific type of asset in the opening balance sheet;
plus the total value of the same type of asset acquired, less the total value of the same type of asset disposed of, in transactions that take place within the accounting period: transactions in non-financial assets are recorded in the capital account (including consumption of fixed capital) and transactions in financial assets are recorded in the financial account;
plus the value of other positive or negative changes in the volume of these assets held, for example, as a result of the discovery of a subsoil asset or the destruction of an asset (as a result of war or a natural disaster): these changes are recorded in the other changes in the volume of assets account;
plus the value of the positive or negative nominal holding gains accruing during the period resulting from a change in the price of the asset: these changes are shown in the revaluation account;
equals the value of the stock of the asset in the closing balance sheet.
Table 13.1: Opening and closing balance sheets with changes in assets
Table 13.1cont: Opening and closing balance sheets with changes in liabilities and net worth
Table 13.2: Asset accounts for the total economy
13.9 Although balance sheets are more familiar to those used to working with commercial accounts, asset accounts are particularly useful for some types of analyses.
One example is in connection with environmental accounting where the asset account provides a particularly revealing picture of whether an asset is being used sustainably or not.
Another example is in connection with the development of capital stock series for fixed assets.
Many financial statistics describe the evolution of an individual financial asset, for example showing how the level of lending has changed over the period.
13.10 The balance sheet records assets on the left-hand side and liabilities and net worth on the right-hand side, as do the accumulation accounts for changes in these items.
In table 13.1, only a limited number of classes of assets are shown, though in principle the table can include all the detailed non-financial assets described and defined in chapter 10 and the full set of financial assets and liabilities described and defined in chapter 11.
A balance sheet relates to the values of assets and liabilities at a particular point in time.
The SNA provides for balance sheets to be compiled at the beginning of the accounting period (with the same values as at the end of the preceding period) and at its end.
The SNA then provides for a complete recording of the changes in the values of the various items in the balance sheet between the beginning and end of the accounting period to which the flow accounts of the SNA relate.
The balancing item in the balance sheet is net worth, which, as noted earlier, is defined as the value of all the assets owned by an institutional unit or sector less the value of all its outstanding liabilities.
Changes in net worth can thus be explained fully only by examining the changes in all the other items that make up the balance sheet.
13.11 Table 13.1 consists of three sections.
The first shows the opening balance sheet and net worth for each institutional sector and the total economy.
For the rest of the world, the only relevant entries are for contracts, leases and licences, financial assets and liabilities, and net worth.
13.12 The second part of table 13.1 consists of a summary of the entries in the capital, financial, other changes in volume of assets and revaluation accounts grouped by type of asset.
The entries for fixed assets, for example, show the totals of the entries for fixed assets in each of the capital account, the other changes in volume of assets account and the revaluation account.
Under these entries there is a breakdown showing how much of the change in net worth is due to saving and capital transfers, other changes in the volume of assets and holding gains.
There is no entry carried forward from the financial account because the changes in net worth due to saving and capital transfers are completely exhausted by changes in transactions in financial and non-financial assets.
13.13 The third section of table 13.1 shows the closing balance sheet which is numerically equal, cell by cell, to the sum of the corresponding cells in the first two parts of the table.
In practice, though, these figures will be determined independently and a reconciliation exercise needed to ensure the identities inherent in the table are satisfied.
13.14 An example of a set of asset accounts is given in table 13.2.
The same data for the stock levels in the opening and closing balance sheets are given for the same range of assets, but instead of the breakdown by sectors, the columns show the entries for each type of asset coming from the capital and financial account, the other changes in the volume of assets account and the revaluation account.
13.15 Unlike table 13.1, table 13.2 does not include any entries for assets held by or due to the rest of the world because it focuses on the holding by resident units of particular assets and liabilities.
However, by comparing the figures for financial assets and liabilities of the same instrument, it is possible to derive the balance with the rest of the world.
For example, in the opening balance sheet figures, the value of financial assets for currency and deposits is 1 482 and of liabilities is 1 471. This implies that the rest of the world has a net liability with the national economy of 11. Table 13.1 shows that the asset position of the rest of the world is 105 and the liability position 116.
13.16 For the balance sheets to be consistent with the accumulation accounts of the SNA, every item in the balance sheet should be valued as if it were being acquired on the date to which the balance sheet relates.
This implies that when they are exchanged on a market, assets and liabilities are to be valued using a set of prices that are current on the date to which the balance sheet relates and that refer to specific assets.
In the case of non-financial assets, other than land, the value includes any associated costs of ownership transfer.
Financial claims that are not traded on organized financial markets are valued at the amount the debtor must pay to the creditor to extinguish the claim.
13.17 The prices at which assets may be bought or sold on markets are the basis of decisions by investors, producers, consumers and other economic agents.
For example, investors in financial assets (such as securities) and natural resources (such as land) make decisions in respect of acquisitions and disposals of these assets in the light of their values in the market.
Producers make decisions about how much of a particular commodity to produce and about where to sell their output by reference to prices on markets.
For a given asset, there is a clear relationship between the price paid by the purchaser and the price received by the seller.
For non-financial assets other than land, the price paid by the purchaser exceeds that received by the seller by the costs of ownership transfer.
In the case of financial assets, the value is the same for creditor and debtor because the costs of transferring financial assets and liabilities are treated as consumption rather than accumulation.
13.18 Ideally, observable market prices should be used to value all assets and liabilities in a balance sheet.
However, in estimating the current market price for balance sheet valuation, a price averaged over all transactions in a market can be used if the market is one on which the items in question are regularly, actively and freely traded.
When there are no observable prices because the items in question have not been purchased or sold on the market in the recent past, an attempt has to be made to estimate what the prices would be were the assets to be acquired on the market on the date to which the balance sheet relates.
13.19 In addition to values observed in markets or estimated from observed prices, values may be approximated for balance sheet valuation in two other ways.
In some cases, values may be approximated by accumulating and revaluing acquisitions less disposals of the type of asset in question over its lifetime and adjusted for changes such as consumption of fixed capital; this generally is the most practical and also the preferred method for fixed assets, but it can be applied to other assets as well.
In other cases, values may be approximated by the present, or discounted, value of future economic benefits expected from a given asset; this is the case for a number of financial assets, natural resources and even for fixed assets.
With good information and efficient markets, the values of the assets obtained by accumulating and revaluing transactions should equal, or at least approximate, both the present, or discounted, value of the remaining future benefits to be derived from them and their market values when active second-hand markets exist.
These three price bases are discussed below in general terms.
13.20 The ideal source of price observations for valuing balance sheet items is a market, like the stock exchange, in which each asset traded is completely homogeneous, is often traded in considerable volume and has its market price listed at regular intervals.
Such markets yield data on prices that can be multiplied by indicators of quantity in order to compute the total market value of different classes of assets held by sectors and of different classes of their liabilities.
These prices are available for nearly all financial claims, existing transportation equipment, crops, and livestock as well as for newly produced fixed assets and inventories.
13.21 For securities quoted on a stock exchange, for example, it is feasible to gather the prices of individual assets and of broad classes of assets and, in addition, to determine the global valuation of all the existing securities of a given type.
In some countries, another example of a market in which assets may be traded in sufficient numbers to provide useful price information is the market for existing dwellings.
13.22 In addition to providing direct observations on the prices of assets actually traded there, information from such markets may also be used to price similar assets that are not traded.
For example, information from the stock exchange also may be used to price unlisted shares by analogy with similar, listed shares, making some allowance for the inferior marketability of the unlisted shares.
Similarly, appraisals of assets for insurance or other purposes generally are based on observed prices for items that are close substitutes, although not identical, and this approach can be used for balance sheet valuation.
For a discussion of the special valuation problems associated with direct investment enterprises, see chapters 21 and 26.
13.23 Most non-financial assets change in value year by year reflecting changes in market prices.
At the same time, initial acquisition costs are reduced by consumption of fixed capital (in the case of fixed assets) or other forms of depreciation over the asset's expected life.
The value of such an asset at a given point in its life is given by the current acquisition price of an equivalent new asset less the accumulated depreciation.
This valuation is sometimes referred to as the “written-down replacement cost”. When reliable, directly observed prices for used assets are not available, this procedure gives a reasonable approximation of what the market price would be were the asset to be offered for sale.
13.24 In the case of assets for which the returns either are delayed (as with forests) or are spread over a lengthy period (as with subsoil assets), although market prices are used to value the ultimate output, a rate of discount must, in addition, be used to compute the present value of the expected future returns.
13.25 Assets and liabilities denominated in foreign currencies should be converted into the domestic currency at the market exchange rate prevailing on the date to which the balance sheet relates.
This rate should be the mid-point between the buying and selling spot rates for currency transactions.
13.26 Definitions of the assets in the balance sheet at the most detailed level of the classification of assets are given in chapter 10 for non-financial assets and in chapter 11 for financial assets.
Definitions are repeated in this section only to the extent needed to provide the context for information on valuation specific to particular assets and other specialized topics.
13.27 In principle, fixed assets should be valued at the prices prevailing in the market for assets in the same condition as regards technical specifications and age.
In practice, this sort of information is not available in the detail required and recourse must be had to valuation by another method, most commonly the value derived by adding the revaluation element that applied to the asset during the period covered by the balance sheet to the opening balance sheet value (or the time since acquisition for newly acquired assets) and deducting the consumption of fixed capital estimated for the period as well as any other volume changes and the value of disposals.
In calculating the value of consumption of fixed capital, assumptions have to be made about the decline in price of the asset and even where full market information is not available, partial information should be used to check that the assumptions made are consistent with this.
13.28 Estimates of consumption of fixed capital must include the decline in value of the purchasers' costs of ownership transfer on acquisition and disposal associated with these assets.
These are to be written off over the period the purchaser expects to own the asset.
In many cases, this period may coincide with the expected life length of the asset but for some types of asset, particularly vehicles, the purchaser may intend to sell them after a certain period, for example, in order to acquire a newer model with a higher level of specification and lower maintenance costs.
Installation costs should be treated in a similar manner.
Where possible, the estimates of consumption of fixed capital should also allow for anticipated terminal costs such as decommissioning or rehabilitation.
Further explanation of these adjustments can be found in chapters 10 and 19.
More detail on the application of a perpetual inventory method (PIM) of estimating the value of capital stock of fixed assets can be found in Measuring Capital.
13.29 For dwellings, there may be adequate information available from the sale of both new and existing buildings to assist in making balance sheet estimates of the total value of dwellings.
However house prices depend to a considerable extent on location and the geographical pattern of sales in the period may not cover all areas adequately, in which case a technique such as a PIM will have to be used.
This technique will probably also apply to many other buildings and structures since their characteristics are often specific to the structure concerned.
13.30 The value of land improvements is shown as the written down value of the improvements as originally carried out, suitably revalued.
This will always be equal to the difference in value between the land concerned in an unimproved or natural state, and its value after the improvements have been effected, though both the land and the land improvements will be subject to price changes over time.
13.31 Markets for existing automobiles, aircraft, and other transportation equipment may be sufficiently representative to yield useful price observations for valuation of these stocks or at least to use in conjunction with a set of PIM assumptions.
In the case of existing industrial plant and equipment, however, observed prices on markets may not be suitable for determining values for use in the balance sheets, either because many of the transactions involve assets that for some reason are not typical, or because they embody specialized characteristics, or because they are obsolete or because they are being disposed of under financial duress.
13.32 For balance sheet purposes, livestock that continue to be used in production year after year should be valued on the basis of the current purchasers' prices for animals of the same age.
Such information is less likely to be available for trees (including shrubs) cultivated for products they yield year after year; in this case they should then be recorded at the current written-down value of the cumulated capital formation.
13.33 Research and development expenditure carried out on contract is valued at the contract price.
If carried out on own account, it is valued as cumulated costs.
If it is carried out by a market producer, the costs include a return to capital.
Both valuations need to be increased for changes in prices and reduced because of consumption of fixed capital over the life of the asset.
13.34 Even though costs of ownership transfer on non-produced assets (other than land) are shown separately in the capital account, and treated as gross fixed capital formation, in the balance sheets these costs are incorporated in the value of the asset to which they relate even though the asset is non-produced.
Thus there are no costs of ownership transfer shown separately in the balance sheets.
The costs of ownership transfer on financial assets are treated as intermediate consumption when the assets are acquired by corporations or government, final consumption when the assets are acquired by households and exports of services when the assets are acquired by non-residents.
13.35 Mineral exploration and evaluation should be valued either on the basis of the amounts paid under contracts awarded to other institutional units for the purpose or on the basis of the costs incurred for exploration undertaken on own account.
These costs should include a return to the fixed capital used in the exploration activity.
That part of exploration undertaken in the past that has not yet been fully written off should be revalued at the prices and costs of the current period.
13.36 Originals of intellectual property products, such as computer software and entertainment, literary or artistic originals should be entered at the written down value of their initial cost, revalued to the prices of the current period.
Since these products will have often been produced on own account, the initial cost may be estimated by the sum of costs incurred including a return to capital on the fixed assets used in production.
If value cannot be established in this way, it may be appropriate to estimate the present value of future returns arising from the use of the original in production.
13.37 Subsequent copies may appear as assets (i) if the original owner has subcontracted the duties of reproducing and providing support to users of the copies, or (ii) if a copy is being used under a contract that is effectively a financial lease.
In these cases, market prices should be available to use for valuation.
13.38 Inventories should be valued at the prices prevailing on the date to which the balance sheet relates, and not at the prices at which the products were valued when they entered inventory.
In the balance sheets, figures for inventories frequently have to be estimated by adjusting figures of book values of inventories in business accounts, as described in chapter 6.
13.39 As is the case elsewhere in the SNA, inventories of materials and supplies are valued at purchasers' prices, and inventories of finished goods and work-in-progress are valued at basic prices.
Inventories of goods intended for resale without further processing by wholesalers and retailers are valued at prices paid for them, excluding any transportation costs that have been separately invoiced to the wholesalers or retailers and included in their intermediate consumption.
13.40 For inventories of work-in-progress, the value for the closing balance sheet should be consistent with the value of the opening balance sheet, plus any work put in place during the current period, less any work completed and reclassified as finished goods.
In addition, an allowance for any necessary revaluation for changes in prices in the period must be included.
As explained in chapter 6 and chapter 19, the time series of the value of work in progress put in place over a period of time should reflect the increase in value of work put in place earlier as the delivery date approaches.
13.41 Standing single-use crops (including timber) cultivated by human activity and livestock being raised for slaughter are also counted as inventories in work-in-progress.
The conventional way of valuing standing timber is to discount the future proceeds of selling the timber at current prices after deducting the expenses of bringing the timber to maturity, felling, etc.
For the most part, other crops and livestock can be valued by reference to the prices of such products on markets.
13.42 Given their primary role as stores of value, it is especially important to value works of art, antiques, jewellery, precious stones and metals at current prices.
To the extent that well-organized markets exist for these items, they should be valued at the actual or estimated prices that would be paid for them to the owner were they sold on the market, excluding any agents' fees or commissions payable by the seller, on the date to which the balance sheet relates.
On acquisition they are valued at the price paid by the purchaser including any agents' fees or commissions.
13.43 An approach in the absence of organized markets is to value these items using data on the values at which they are insured against fire, theft, etc., to the extent information is available.
13.44 In principle, the value of land to be shown under natural resources in the balance sheet is the value of land excluding the value of improvements, which is shown separately under fixed assets, and excluding the value of buildings on the land which is also to be shown separately under fixed assets.
Land is valued at its current price paid by a new owner, excluding the costs of ownership transfer which are treated, by convention, as gross fixed capital formation and part of land improvements and are subject to consumption of fixed capital.
13.45 Because the current market value of land can vary considerably according to its location and the uses for which it is suitable or sanctioned, it is essential to identify the location and use of a specific piece or tract of land and to price it accordingly.
13.46 For land underlying buildings, the market will, in some instances, furnish data directly on the value of the land.
More typically, however, such data are not available and a more usual method is to calculate ratios of the value of the site to the value of the structure from valuation appraisals and to deduce the value of land from the replacement cost of the buildings or from the value on the market of the combined land and buildings.
When the value of land cannot be separated from the building, structure, or plantation, vineyard, etc. above it, the composite asset should be classified in the category representing the greater part of its value.
Similarly, if the value of the land improvements (which include site clearance, preparation for the erection of buildings or planting of crops and costs of ownership transfer) cannot be separated from the value of land in its natural state, the value of the land may be allocated to one category or the other depending on which is assumed to represent the greater part of the value.
13.47 It is usually much easier to make a division between land and buildings for the total economy than for individual sectors or subsectors.
Separate figures are needed for studies of national wealth and environmental problems.
Fortunately, combined figures are often suitable for purposes of analysing the behaviour of institutional units and sectors.
13.48 Land appears on the balance sheet of the legal owner except when it is subject to a financial lease as may most often occur in connection with a financial lease over a building or plantation on the land.
By convention, an exception is made for cases where the legal owner of a building is not the legal owner of the land on which the building stands but the purchase price of the building includes an upfront payment of rent on the land beneath without any prospect of further payments being due in future.
In such a case, land is recorded on the balance sheet of the owner of the building on the land.
13.49 The value of subsoil mineral and energy resources is usually determined by the present value of the expected net returns resulting from the commercial exploitation of those resources, although such valuations are subject to uncertainty and revision.
As the ownership of mineral and energy resources does not change frequently on markets, it may be difficult to obtain appropriate prices that can be used for valuation purposes.
In practice, it may be necessary to use the valuations that the owners of the assets place on them in their own accounts.
13.50 It is frequently the case that the enterprise extracting a resource is different from the owner of the resource.
In many countries, for example, oil resources are the property of the state.
However, it is the extractor who determines how fast the resource will be depleted and since the resource is not renewable on a human time-scale, it appears as if there has been a change of economic ownership to the extractor even if this is not the legal position.
Nor is it necessarily the case that the extractor will have the right to extract until the resource is exhausted.
Because there is no wholly satisfactory way in which to show the value of the asset split between the legal owner and the extractor, the whole of the resource is shown on the balance sheet of the legal owner and the payments by the extractor to the owner shown as rent.
(This is therefore an extension of the concept of a resource rent applied in this case to a depletable asset.)
13.51 Non-cultivated biological resources, water and other natural resources are included in the balance sheet to the extent that they have been recognized as having economic value that is not included in the value of the associated land.
As observed prices are not likely to be available, they are usually valued by the present value of the future returns expected from them.
13.52 Contracts, leases and licences may be marketable operating leases, licences to use natural resources, permits to undertake specific activities and entitlement to future goods and services on an exclusive basis.
As explained in part 5 of chapter 17, these sorts of contracts are regarded as assets only if the existence of the legal agreement confers benefits on the holder in excess of the price paid to the lessor, owner of the natural resource or permit issuer and the holder can realize these benefits legally and practically.
It is recommended that such assets be recorded only when the value of the asset is significant and is realized, in which case a suitable market price necessarily exists.
The asset does not exist beyond the length of the contract agreement and its value must be reduced accordingly as the remaining contract period shortens.
13.53 The balance sheet entry for goodwill and marketing assets is the written-down value of the entry that appears in the financial account when an enterprise is taken over or when a marketing asset is sold.
These entries are not revalued.
13.54 In line with the general valuation principles described above, whenever financial assets and liabilities are regularly traded on organized financial markets, they should be valued at current prices.
Financial claims that are not traded on organized financial markets should be valued by the amount that a debtor must pay to the creditor to extinguish the claim.
Financial claims should be assigned the same value in the balance sheets whether they appear as assets or liabilities.
The prices should exclude service charges, fees, commissions and similar payments for services provided in carrying out the transactions.
There is more detailed discussion on the definition of financial assets and their recording in chapter 11 and part 4 of chapter 17.
13.55 Monetary gold is to be valued at the price established in organized markets or in bilateral arrangements between central banks.
13.56 The value of the SDR is determined daily by the IMF on the basis of a basket of currencies.
Rates against domestic currencies are obtainable from the prices in foreign exchange markets; both the basket and the weights are revised from time to time.
13.57 For currency, the valuation is the nominal or face value of the currency.
For deposits, the values to be recorded in the balance sheets of both creditors and debtors are the amounts of principal that the debtors are contractually obliged to repay the creditors under the terms of the deposits when the deposits are liquidated.
The amount of principal outstanding includes any interest and service charge due but not paid.
Currency and deposits in foreign currency are converted to domestic currency at the midpoint of the bid and offer spot exchange rates prevailing on the date of the balance sheet.
Repayable margin payments in cash related to financial derivatives contracts are included in other deposits.
13.58 Short-term securities, and the corresponding liabilities, are to be valued at their current market values.
Such a valuation is particularly important under conditions of high inflation or high nominal interest rates.
13.59 Long-term securities should always be valued at their current prices on markets, whether they are bonds on which regular payments of interest are paid or deep-discounted or zero-coupon bonds on which little or no interest is paid.
The price should always be that including accrued interest (the so-called “dirty” price).
Although the nominal liability of the issuer of a long-term security may be fixed in money terms, the market prices at which fixed interest securities are traded may vary considerably in response to variations in general market rates of interest.
As the issuer of a long-term security usually has the opportunity to refinance the debt by repurchasing the security on the market, valuation at market prices is generally appropriate for both issuers and holders of long-term securities, especially financial transactors who actively manage their assets or liabilities.
13.60 An index-linked debt security is also valued at its market price in the balance sheet whatever the nature of the index to which the security is linked.
13.61 If both the principal and coupons of a debt instrument are indexed to a foreign currency, the security should be treated as if it is denominated in that foreign currency with conversion to domestic currency at the mid-point of the rates prevailing on the date of the balance sheet.
13.62 The values of loans to be recorded in the balance sheets of both creditors and debtors are the amounts of principal outstanding.
This amount should include any interest that has been earned but not been paid.
It should also include any amount of indirectly measured service charge (the difference between bank interest and SNA interest) due on the loan that has accrued and not been paid.
In some instances, accrued interest may be shown under accounts receivable or payable but inclusion in loans is to be preferred if possible.
13.63 The value of a loan does not reflect the consequences of any interest payments due after the date of the balance sheet, even if these were specified in the original loan agreement.
13.64 If there is evidence of a secondary market for a loan, and frequent market quotations are available, the loan is reclassified as a security.
A loan that is traded once only and for which there is no evidence of a continuing market is not reclassified but continues to be treated as a loan.
The valuation rules for debt securities and loans then apply.
13.65 Loans where the principal is index-linked, or both principal and interest are indexed to a foreign currency, should be treated in the manner described above for debt securities with these characteristics.
13.66 Despite the fact that loans are to be recorded in the balance sheets at nominal values, certain loans that have not been serviced for some time should be identified and memorandum items concerning them should be included in the balance sheet of the creditor.
These loans are termed non-performing loans.
A common definition of such a loan is as follows.
A loan is non-performing when payments of interest or principal are past due by 90 days or more, or interest payments equal to 90 days or more have been capitalized, refinanced, or delayed by agreement, or payments are less than 90 days overdue, but there are other good reasons (such as a debtor filing for bankruptcy) to doubt that payments will be made in full.
This definition of a non-performing loan is to be interpreted flexibly, taking into account national conventions on when a loan is deemed to be non-performing.
Once a loan is classified as non-performing, it (or any replacement loans) should remain classified as such until payments are received or the principal is written off on this or subsequent loans that replace the original.
13.67 Two memorandum items are recommended relating to non-performing loans.
The first is the nominal value of the loans so designated, including any accrued interest and service charge.
The second is the market equivalent value of these loans.
The closest approximation to market equivalent value is fair value, which is “the value that approximates the value that would arise from a market transaction between two parties”. Fair value can be established using transactions in comparable instruments, or using the discounted present value of cash flows, or may sometimes be available from the balance sheets of the creditor.
In the absence of fair value data, the memorandum item will have to use a second best approach and show nominal value less expected loan losses.
13.68 These memorandum items should be standard for both the government sector and the financial corporations sector.
If they are significant for other sectors, or for loans with the rest of the world, they should be shown as supplementary items.
13.69 Listed shares are regularly traded on stock exchanges or other organized financial markets.
They should be valued in the balance sheets at their current prices.
13.70 For unlisted shares, there may be no observable market prices for positions in equity not listed on a stock exchange.
This situation often arises for direct investment enterprises, private equity, equity in unlisted and delisted companies, listed but illiquid companies, joint ventures, and unincorporated enterprises.
13.71 When actual market values are not available, an estimate is required.
Alternative methods of approximating market value of shareholders' equity in a direct investment enterprise follow.
These are not ranked according to preference, and each would need to be assessed according to the circumstances and the plausibility of results.
a. Recent transaction price.
Unlisted instruments may trade from time to time, and recent prices, within the past year, at which they were traded may be used.
Recent prices are a good indicator of current market values to the extent that conditions are unchanged.
This method can be used as long as there has been no material change in the corporation's position since the transaction date.
Recent transaction prices become increasingly misleading as time passes and conditions change.
b. Net asset value.
Appraisals of untraded equity may be conducted by knowledgeable management or directors of the enterprise, or provided by independent auditors to obtain total assets at current value less total liabilities (excluding equity) at market value.
Valuations should be recent (within the past year).
c. Present value/price to earnings ratios.
The present value of unlisted equity can be estimated by discounting the forecast future profits.
At its simplest, this method can be approximated by applying a market or industry price-to-earnings ratio to the (smoothed) recent past earnings of the unlisted enterprise to calculate a price.
This method is most appropriate where there is a paucity of balance sheet information but earnings data are more readily available.
d. Book values reported by enterprises with macrolevel adjustments by the statistical compiler.
For untraded equity, information on “own funds at book value” can be collected from enterprises, then adjusted with ratios based on suitable price indicators, such as prices of listed shares to book value in the same economy with similar operations.
Alternately, assets that enterprises carry at cost (such as land, plant, equipment, and inventories) can be revalued to current period prices using suitable asset price indices.
e. Own funds at book value.
This method for valuing equity uses the value of the enterprise recorded in the books of the direct investment enterprise, as the sum of
(i) paid-up capital (excluding any shares on issue that the enterprise holds in itself and including share premium accounts); (ii) all types of reserves identified as equity in the enterprise's balance sheet (including investment grants when accounting guidelines consider them company reserves); (iii) cumulated reinvested earnings; and (iv) holding gains or losses included in own funds in the accounts, whether as revaluation reserves or profits or losses.
The more frequent the revaluation of assets and liabilities, the closer the approximation to market values.
Data that are not revalued for several years may be a poor reflection of market values.
f. Apportioning global value.
The current market value of a global enterprise group can be based on the market price of its shares on the exchange on which its equity is traded, if it is a listed company.
Where an appropriate indicator may be identified (for example, sales, net income, assets, or employment), the global value may be apportioned to each economy in which it has direct investment enterprises, on the basis of that indicator, by making the assumption that the ratio of net market value to sales, net income, assets, or employment is a constant throughout the transnational enterprise group.
(Each indicator could yield significantly different results from the others.)
13.72 In cases where none of the above methods is feasible, less suitable data may need to be used.
For example, cumulated flows or a previous balance sheet adjusted by subsequent flows may be the only sources available.
Since these sources use the prices of previous periods, they should be adjusted for subsequent price developments, for example by using aggregate share price or asset price indices, and taking into account exchange rate movements, where relevant.
The use of unadjusted summing of past transactions is not a recommended practice.
Equity represents owners' funds.
The means through which equity can be generated may take various forms, such as share issues, equity injections without any commensurate issue of shares (sometimes called “contributed surplus” or “capital contributions”), share premiums, accumulated reinvested earnings, or revaluation.
While these should be taken into account when cumulated flows need to be used as a starting point to measure the value of equity, the different categories are all components of equity and need not be identified separately in other cases.
13.73 If the current market price is not directly observable, the decision about the method to adopt should take into account the availability of information as well as judgments as to which available method best approximates market values.
Different methods may be suitable for different circumstances and a standard ranking of the alternative methods is not proposed for valuing instruments when current market prices are not directly observable.
Compilers should be transparent and should state clearly the method(s) used.
Methods for valuation of direct investment equity positions are discussed in more detail in the OECD Benchmark Definition of Foreign Direct Investment, fourth edition (Organisation for Economic Cooperation and Development, 2008) referred to as the BD.
13.74 Other equity covers equity in any corporation or quasi-corporation that does not issue shares or units.
Such corporations include public enterprises, the central bank, some special government units, partnerships, unlimited liability companies and quasi-corporations whenever they are institutional units without shares.
Other equity should be valued as equal to the value of the unit's assets less the value of its liabilities.
13.75 Shares (or units) in money market funds or in other investment funds should be valued in a manner similar to the proposals under equity.
Listed shares should be valued using the market price of the share.
Unlisted shares should be valued according to one of the methods described above for unlisted equity.
13.76 The amount of the reserves for non-life insurance to be recorded in the balance sheet covers premiums paid but not earned at the date for which the balance sheet is drawn up plus the amount set aside to meet outstanding claims.
This latter amount represents the present value of the amounts expected to be paid out in settlement of claims, including disputed claims, as well as allowances for claims for incidents which have taken place but have not yet been reported.
13.77 The amount to be recorded under the stock values for life insurance and annuities entitlement is similar to that for non-life insurance technical reserves in that it represents reserves sufficient to meet all future claims.
However, in the case of life insurance, the level of the reserves is considerable and represents the present value of all expected future claims.
In the commercial accounts of insurance corporations, some of these will be described as provisions for bonuses and rebates.
These are the result of the insurance industry's practice of smoothing benefits over time and possibly retaining some benefits until the policy matures.
13.78 The entitlements due under pension schemes comprise two elements; one when the formula determining the amount of the pension is agreed in advance (as under a defined benefit scheme) and one where the amount of the pension depends on the performance of financial assets acquired with the future pensioner's contributions (a defined contribution scheme).
For the former, an actuarial estimation of the liabilities of the pension provider is used; for the latter the value is the market value of the financial assets held by the pension fund on behalf of the future beneficiaries.
The basis on which pension entitlement is calculated and the alternative means of representing these in the accounts of the SNA are described in detail in chapter 17.
13.79 The value to be entered in the balance sheet for provisions for calls under standardized guarantees is the expected level of claims under current guarantees less any expected recoveries.
Strictly speaking, these amounts will represent a degree of double counting in the assets of the units benefiting from the guarantees.
For example, if financial institutions make 1 000 loans of 20 each that are covered by guarantees and 10 are expected to default, the value of the loans made is still shown as 20 000 and in addition the lenders have an asset of 200 in respect of the expected calls under the guarantee.
However, the unit offering the guarantee has a liability of 200 with no matching asset so the net worth for the whole economy is not overstated.
13.80 The treatment of derivatives is discussed in chapter 11.
Financial derivatives should be included in the balance sheets at market value.
If market value data are unavailable, other fair value methods to value derivatives, such as options models or present values, may be used.
13.81 Options should be valued in the balance sheets as either the current value of the option, if this is available, or the amount of the premium payable.
A liability should be entered in the sector of the writer of the option to represent either the current cost of buying out the rights of the option holder or the accrual of a holding gain.
Depending on how margin systems operate, it may be appropriate to enter zero for the value of an option, as any profits (losses) will have been received (paid) daily by the holder.
The counterpart of these asset entries should be entered as liabilities.
13.82 A forward is recorded at market value.
When payments are effected, the value of the asset and associated liability is amortized and subsequently reflected in the balance sheet value on the appropriate accounting date.
The market value of a forward contract can switch between an asset position and a liability position between accounting dates depending on price movements in the underlying item(s).
All price changes, including those that result in such switches, are treated as revaluations.
13.83 Employee stock options (ESOs) should be valued by reference to the fair value of the equity instruments granted.
The fair value of equity instruments should be measured at grant date using a market value of equivalent traded options (if available) or using an option pricing model (binomial or Black-Scholes) with suitable allowance for particular features of the options.
The IASB gives detailed recommendations on how ESOs may be valued and their recommendations are likely to be followed by corporations using ESOs as a form of compensation for their employees.
The value of the ESO alters between grant date and vesting date and then between the vesting date and exercise date as the value of the shares covered changes.
Part 6 of chapter 17 covers ESOs in more detail.
13.84 Trade credit and advances and other items due to be received or paid (such as taxes, dividends, rent, wages and salaries, and social contributions) should be valued for both creditors and debtors at the amount of principal the debtors are contractually obliged to pay the creditors when the obligation is extinguished.
Interest due on other accounts receivable or payable may be included here but, in general, interest due on debt securities is recorded as increasing the value of the asset concerned.
Interest accruing on deposits and loans may have to follow national practices and be classified here if it is not incorporated into the principal of the relevant loan or deposit.
13.85 Net worth is the difference between the value of all financial and non-financial assets and all liabilities at a particular point in time.
For this calculation, each asset and each liability is to be identified and valued separately.
As the balancing item, net worth is calculated for institutional units and sectors and for the total economy.
13.86 For government, households and NPISHs, the value of net worth is clearly the worth of the unit to its owners.
In the case of quasi-corporations, net worth is zero, because the value of the owners' equity is assumed to be equal to its assets less its liabilities.
For other corporations, the situation is less clear-cut.
13.87 In the SNA, net worth of corporations is calculated in exactly the same way as for other sectors, as the sum of all assets less the sum of all liabilities.
In doing so, the value of shares and other equity, which are liabilities of corporations, are included in the value of liabilities.
Shares are included at their market price on the balance sheet date.
Thus, even though a corporation is wholly owned by its shareholders collectively, it is seen to have a net worth (which could be positive or negative) in addition to the value of the shareholders' equity.
13.88 An alternative calculation is similar to the treatment of quasi-corporations.
This calculates the value of the shareholders' equity in such a way that net worth is zero.
This calculation of shareholders' equity is called own funds and is calculated as the sum of its assets less the sum of its liabilities other than shares.
13.89 A non-zero value of own funds comes about through a number of factors.
One reason is the existence of “assets” that are not recognized as such in the SNA such as goodwill and marketing assets.
Another is that the view in the SNA that the value of some financial assets, such as bonds and non-performing loans, may not coincide with a fair value approach.
Some or all of these items may be available from the balance sheet of the corporation and it may be useful to compare the sum of these with the amount derived as the difference between net worth and the value of owner's equity.
(For unlisted shares, indeed, this may be one way to value these shares.)
Further, the market value of shares reflects market sentiment about future income streams which may fluctuate with much more volatility than the underlying value of the corporation.
13.90 Own funds include accumulation over time of retained and reinvested earnings.
Once current transfers receivable are added to entrepreneurial income and current transfers payable (and the pension entitlement adjustment) are deducted, what remains is available for distribution in the form of dividends.
Retained earnings are the amount of a corporation's income available for distribution as dividends that is not so distributed.
This amount may be negative on occasion, representing a withdrawal from own funds.
In the case of a direct investment enterprise a proportion of retained earnings is treated as reinvested earnings, the proportion depending on the extent of the direct investor's ownership of the corporation.
These earnings are recorded in the financial account as being reinvested in the corporation and form part of own funds at that time.
13.91 From time to time, some of own funds may be assigned to (or withdrawn from) either general or special reserves.
They may be augmented by an injection of capital by the owners or by the receipt of investment grants.
13.92 In addition to the memorandum items on non-performing loans, the SNA allows for two memorandum items to the balance sheets in order to show items not separately identified as assets in the central framework that are of more specialized analytic interest for particular institutional sectors.
These two are consumer durables and foreign direct investment.
13.93 Households acquire durable goods such as cars and electrical goods.
However, these are not treated as being used in a production process giving rise to household services.
They therefore do not constitute fixed assets and are not shown as such in the balance sheet.
Nevertheless, it is useful to have data on these goods and so consumer durables are included in the balance sheets as a memorandum item.
The stocks of consumer durables held by households are to be valued at current prices, both gross and net of accumulated depreciation equivalent to consumption of fixed capital.
The figures shown as memorandum items in the balance sheet should be net of these accumulated charges.
13.94 Durable goods held by owners of unincorporated enterprises may be used partly by the enterprise for production and partly by members of the household for final consumption.
The values shown in the balance sheet for the enterprise should reflect the proportion of the use that is attributable to the enterprise, but this may not always be known in practice.
13.95 Just as flows of foreign direct investment are shown in the financial account, so it is interesting to have similar items in the balance sheets showing the stock of assets and liabilities invested in the country by non-residents and invested abroad by residents.
All sectors may have investment abroad; only financial and non-financial corporations (excluding non-profit institutions within them) may receive investment from abroad.
14.1 The sequence of accounts described in chapters 6 to 13 portrays the working of the economy with particular emphasis on how income is generated, distributed, redistributed and used for consumption or the acquisition of assets and when assets are disposed of, or a liability is incurred, to acquire other assets or undertake more consumption than current income permits.
An alternative view of the economy focuses less on income and more on the processes of production and consumption.
Where do products come from and how are they used? The present chapter is concerned with this aspect of the accounts.
It consists of a description of a product balance and the generalization of this to the goods and services account, as well as the practical and conceptual benefits of these accounts.
It also shows how supply and use tables can be compiled for the economy and provides a link to input-output tables, which are described in chapter 28.
14.2 In this chapter, and elsewhere, the expressions “product balance” and “product flow” methods are used in preference to “commodity balance” and “commodity flow method” as reflecting more recent usage of the word product in place of commodity.
The change in terminology does not indicate a change in methodology, however.
14.3 Supply and use tables are a powerful tool with which to compare and contrast data from various sources and improve the coherence of the economic information system.
They permit an analysis of markets and industries and allow productivity to be studied at this level of disaggregation.
When, as is usually the case, supply and use tables are built from establishment data, they provide a link to detailed economic statistics outside the scope of the SNA.
14.4 The amount of a product available for use within the economy must have been supplied either by domestic production or by imports.
The same amount of the product entering an economy in an accounting period must be used for intermediate consumption, final consumption, capital formation (including changes in inventories) or exports.
These two statements can be combined to give a statement of a product balance:
Output + imports = intermediate consumption + final consumption + capital formation + exports
14.5 The accounting rules from chapter 3 including the time of recording and the valuation rules from chapter 6 and elsewhere apply to each of the entries in this identity.
Because the uses of products are usually valued at purchasers' prices, but production at basic prices, it is necessary to add trade and transport margins, and taxes on products less subsidies on products to the left-hand (or supply) side of the identity so both sides are expressed in purchasers' prices.
Thus a fuller articulation of the product balance for any product recognizes that the sum of output at basic prices plus imports plus trade and transport margins plus taxes on products less subsidies on products is equal to the sum of intermediate consumption, final consumption and capital formation, all expressed at purchasers' prices, plus exports.
The treatment of margins and taxes is complex and is described at length in section B. The valuation applied to imports and exports requires special consideration and is described in sections B and C below.
14.6 A product balance is an especially powerful tool for a compiler as is best illustrated by example.
Typically the production of tobacco products, mainly cigarettes, is well measured but consumption of cigarettes is not, because of the reluctance of respondents to report accurately how much is spent on them in a household budget survey.
Assuming that output, imports and exports are well measured then the identity of the product balance can be used to generate data for consumption that will be consistent with other items in the identity.
The compiler can then use judgement to reach a balance by adjusting the components as necessary.
14.7 It is not always final consumption that is the weakest component of the identity.
In some cases, consumption data may be more reliable than output data.
For example, in the case of taxi services where much may be supplied by unregulated and unmeasured activity, the estimate of how much households spend on taxis may help improve the estimates of output to include these aspects of the non-observed economy.
14.8 Even for items where informal activity is not an issue, a product balance may be useful.
Aircraft manufacture is a long process.
Work in progress may be measured either by the amount the manufacturer claims to have completed or by the amounts the potential purchaser has paid for by means of stage payments.
These two sources of data need to be reconciled with adjustments in the financial accounts for accounts receivable or payable as necessary.
14.9 If a product balance is drawn up for all goods and services in the economy (either individually or in groups of products) and these are aggregated, the totals for output, imports, intermediate consumption, final consumption, capital formation and exports must be equal to the corresponding items identified in the sequence of accounts elaborated in previous chapters.
The trade and transport services embodied in margins represent products that may also be seen as being used for intermediate or final consumption, capital formation or exports.
The fact that the value of the margins may be included with the value of the goods they apply to does not invalidate the identity.
Thus when product balances are aggregated across all goods and services, these margins are necessarily included and do not need to be specified additionally.
14.10 Since the figures for output and intermediate consumption correspond to the entries for output and intermediate consumption in the production account, the identity of the sum of all product balances may be rearranged to become the goods and services account, which reads:
Output - intermediate consumption + taxes on products - subsidies on products = final consumption + capital formation + exports - imports.
As explained in chapter 6, the left-hand side of this identity is equivalent to GDP at market prices.
The right-hand side is therefore also equal to GDP at market prices and is the well-known statement of GDP often described as the “expenditure approach”. By contrast, the definition coming from the left-hand side of the identity is known as the “production approach” to GDP.
14.11 The goods and services account is one of the most basic, if not the most basic, identity in the SNA.
It captures the idea that all output from within the production boundary, plus imports, must be accounted for in one of the other two basic activities of the SNA, consumption of goods and services or accumulation of goods and services.
Without the goods and services account, a supply and use table would not be fully articulated and exhaust all products available within the economy.
The whole sequence of accounts can be viewed as built around the goods and services account by adding transactions relating to the generation, distribution and redistribution of income and saving.
When these transactions are aggregated across all sectors and the rest of the world, total resources are equal to total uses.
If these were to be “consolidated” out of the sequence of accounts, only the goods and services account would be left.
14.12 Every row of the supply and use tables is a reminder of the basic identity of the goods and services account.
14.13 With a complete set of product balances, supply and use tables can be created.
Supply and use tables exist in pairs with common valuation and level of detail as regards the products identified.
The most common format of supply and use tables is at purchasers' prices.
A use table at purchasers' prices consists of a set of product balances covering all products available in an economy arranged in the form of a rectangular matrix with the products, valued at purchasers' prices, appearing in the rows and the columns indicating the disposition of the products to various types of uses.
A supply table at purchasers' prices consists of a rectangular matrix with the rows corresponding to the same groups of products as the matching use tables and columns corresponding to the supply from domestic production valued at basic prices plus columns for imports and the valuation adjustments necessary to have total supply of each [group of] product[s] valued at purchasers' prices.
14.14 Sections B and C below describe the supply and use tables respectively.
14.15 Supply and use tables are a necessary first step in preparing input-output tables as described in chapter 28 but have important uses on their own, both analytically and as quality control tools.
When supply and use tables are first prepared, they are unlikely to balance and until they are brought into balance, GDP measured from the production approach will differ from the expenditure measure of GDP.
Only supply and use tables provide a sufficiently rigorous framework to eliminate discrepancies in the measured flows of goods and services throughout the economy to ensure the alternative measures of GDP converge to the same value.
14.16 Some countries with less advanced statistical systems still have difficulty in deriving a detailed breakdown of household consumption expenditure from direct sources on a regular basis.
Such a breakdown is necessarily available from within a set of supply and use tables.
One benefit of this is that the proportionate distribution of expenditure on different product groups can be compared with the weights used in a consumer price index (CPI) as a means of checking both the CPI weights and the supply and use tables for plausibility and consistency.
14.17 It is conceptually possible to compile a set of supply and use tables with intermediate consumption treated in total only, with the use table showing how much of each product is used for intermediate consumption but with no further detail.
Such a presentation has little value as either a compilation or analytical tool but from the earliest elaboration of supply and use tables and input-output tables onwards, further detail was introduced to relate the products used in the economy to the units producing them.
The simplest case and the one most often elaborated in text books assumes that it is possible to establish a one-to-one correspondence between products and producing units.
This indeed is the motivation for defining an establishment as a unit producing only one type of product.
However, there is no necessary reason for the match to be one-to-one and many countries now work with matrices where many more groups of products are distinguished than groups of producing units.
The most important reason for this is that most units produce very many products, for example, a footwear manufacturer may make sandals, sports shoes, uniform boots and fashion shoes, and it would be neither practicable nor interesting to try to create an establishment for each type of footwear.
14.18 Once a set of producing units is determined, the supply matrix is expanded to show exactly which products each of the groups of producing units supplies and the use matrix is expanded to show intermediate demand for each of these groups of producing units.
In addition, extra information relating to the producing units is appended below the demand for intermediate consumption so that the columns corresponding to the producing units contain the components of value added as well as total output.
In other words, the identity that
intermediate consumption + value added = output
is apparent for each group of producing units (industry) in addition to the aggregate product based equivalent.
Further information relating to capital formation and number of employees, for instance, may also be added.
These extensions are discussed in section D.
14.19 Tables illustrating supply and use tables are shown in section E with associated descriptive text.
These tables contain all the features described in the chapter but at a high level of aggregation since they are intended for illustrative purposes only.
In addition, some extracts from these tables are included in the text to illustrate the features being described.
14.20 The main part of the supply matrix is a matrix of products (or commodities) by industry showing which industry supplies or “makes” which product.
For this reason, it used sometimes to be described as a “make matrix”.
14.21 While it is possible to compile a supply table using enterprises as the basic building block, it is more common and generally recommended to work with establishments.
As noted in the introduction, the idea of an establishment as a unit where only one type of product is produced derives from the idea of an input-output table where there is a one-to-one correspondence between the groups of products distinguished and the groups of producing units distinguished.
All the conventions described in chapter 5 about when an establishment is identified apply in the context of using establishment data for a supply matrix; indeed although establishment-level data may be used in the context of short-term economic indicators, they are used in the SNA only in the context of the supply and use tables.
14.22 The basis for grouping products is most commonly an aggregation of CPC and the resulting groups were often described as “commodities” though modern usage would be “products”. The basis for grouping producing units is most commonly ISIC and the resulting groups are often described as “industries”.
14.23 In the case where there are the same number of groups of producing units as there are products, there will be a large entry in one cell of the column representing the principal product of that group of producing unit, that is the product that gives rise to the largest proportion of value added.
If the group of producing units contains only pure establishments, there will be no other entries in the column but most often there will be some secondary production showing as smaller entries in other cells in the column.
14.24 When there are the same number of groups of producing units as groups of products, the rows and columns are arranged so that the entries for the principal products fall on the diagonal of the resulting matrix.
14.25 In practice, it is common for there to be more products than types of producing units.
For example it is interesting to specify different sorts of agricultural crops but less interesting or practical to distinguish farms specializing in each of the possible sorts of crop.
For this reason, the supply table (make matrix) may be rectangular with more rows than columns but arranged with similar products in adjacent rows so that an aggregation of the rows for similar products would again produce a square matrix.
14.26 The greater the amount of product detail that is used, the more there will be a scatter of entries around the entries for the principal products, for example when a farm produces more than one crop or a manufacturer of machinery produces different types of machines.
At a level of detail such as “agricultural product”' and “machinery” these off-diagonal elements will be merged in a larger diagonal element.
14.27 However, as well as similar products, many establishments produce some retail and wholesale services, some transport services and some construction, the last sometimes being produced for own use as capital formation.
14.28 All the rules about time of recording, re-routing and partitioning of transactions described in chapter 3 apply to the entries in the supply and use tables.
14.29 Although the supply and use tables do not record property income flows, the financial services associated with the payment of interest and with the acquisition and disposal of financial assets and liabilities are recorded in the supply and use tables. Chapter 17 explains in detail what sorts of financial service flows are associated with transactions in financial assets and property income flows.
14.30 The re-routing of flows associated with margins is described below under valuation.
14.31 The principles for recording output in the supply and use tables are exactly the same as those for recording output in the production account, as described in chapter 6.
It should be emphasized that all the concepts and definitions of the SNA elaborated in previous chapters describing the sequence of accounts apply equally and exactly to supply and use tables and input-output tables.
The only difference is in the manner of presentation of the accounts, not in the underlying fundamentals of the SNA.
14.32 As noted in the introductory section, the producing units to be identified in the supply and use tables are determined by reference to an industrial classification such as ISIC.
However, it may also be useful to distinguish which producing units are market and which are non-market.
This may be applied generally or to just those groups where significant production on both bases is common, for instance in health and education services.
Similarly, production on own account may also be of special interest and can be distinguished within the ISIC categories, for instance for construction.
Table 14.1: Abbreviated version of the production part of the supply table
14.33 In general, in keeping with the guidance on their treatment given in chapters 4 and 5, ancillary activities are not treated as giving rise to products that are recorded as output in the accounts.
One exception is when some products are used both for own ancillary use and are supplied to another unit.
Another exception is where it is appropriate to treat the unit producing the ancillary products as a separate establishment, for example because of its geographical location where it may be a source of significant employment.
14.34 Bearing in mind the discussion about units, the production part of the supply matrix is a matrix with rows corresponding to product groups and columns corresponding to groups of producing units.
The entries in this matrix show the value of output of each type of product by each group of producing unit.
The goal of creating establishments is to partition horizontally and vertically integrated enterprises so that each row and column of the matrix is dominated by one entry with only a few non-zero entries, which are typically fairly small, elsewhere.
There is more discussion on this sort of partitioning of enterprises in chapter 5.
14.35 Table 14.1 shows columns 16, 20, 23 and 24 of the supply matrix shown in table 14.12.
In the full version it is clear that most entries in the sub-matrix for market production are zero.
Even in the abbreviated table, this is obvious for production for own final use and for non-market production.
14.36 In order to add imports to domestic production to reach total supply, imports must be classified by products in a manner consistent with that used for domestic production.
This is not always straightforward since imports (and exports) are classified not according to CPC but according to the HS or SITC.
Finding a level of aggregation of the trade data that is sufficiently detailed but also consistent with domestic production may be a factor in determining the level of detail to be adopted in the supply and use tables.
14.37 The traditional view of an input-output table or a supply and use table was that it portrayed the physical or technological process of production.
The aim was to show which products were combined, and in what proportions, to make other products.
One consequence of this, in combination with the idea of establishments, was that if one establishment of an enterprise was responsible for making steel and another for making steel products, the steel from the first establishment was shown as being delivered (or “sold”) to the second.
This meant the final customer for the steel products bought them entirely from the second establishment and the production account showed the value of the steel included in both intermediate inputs and output.
A similar approach was taken for goods sent abroad for processing but then returned to the original economy.
14.38 In terms of the SNA, this approach amounts to imputing a change of ownership when goods are delivered from the first unit to the second.
For imports and exports, this is particularly inappropriate in the case of goods sent abroad for processing since to ensure consistency in the SNA, financial transactions that do not take place have to be imputed to match the imputed change in ownership of the goods.
In reality, though, the unit processing the goods assumes no risk associated with the eventual marketing of the products; the risk remains with the legal owner.
The processor is not at risk from (and does not benefit from) any unexpected changes in prices of either the components or the final product.
The only risk the processor accepts is limited to meeting the contractual commitment in the most cost-effective manner.
The value of the output of the processor is the fee agreed for the processing.
Any other change in the value of the goods and services processed, for example due to holding gains or losses or to the incorporation of R&D or the benefits of marketing assets accrue to the legal owner of the product.
When the processing is carried out abroad, exports from the processing country consist only of the processing fee.
14.39 With the increasing importance of outsourcing under globalization of markets, there is great interest in knowing where the returns to labour arise and how far operating surplus accrues to the processor and how far to the unit that contracts the processing.
14.40 The pattern of inputs for an establishment processing goods on behalf of another unit is quite different from the pattern of inputs when the establishment is manufacturing similar goods on their own account.
A simple illustration may be given by referring to crude petroleum.
The unit refining on own account has intermediate consumption of crude oil and output of refined petroleum products; the unit processing on behalf of another unit has all the other similar inputs and uses the same sort of fixed capital but shows neither the crude petroleum nor the refined products in its production account.
For similar amounts of crude oil processed, the value added and other inputs will be comparable and when the process is carried out for a non-resident, imports will exclude the crude oil and exports will exclude the refined products but include the processing fee.
As a result, the current external balance will be unaffected by this treatment.
The result of recording only the processing fee rather than the full value of the goods processed does, however, affect the ratios of imports and exports to GDP and gives a more realistic picture of the extent to which domestic financial resources are required to fund imports or benefit from exports.
14.41 Similar consequences hold for processing by resident producers.
There is discussion in chapter 6 about whether or not to record deliveries from one establishment to another in the same enterprise.
14.42 Measuring goods for processing by the processing fee instead of by the full value of the processed goods changes the nature of input-output coefficients.
They no longer represent the technological structures of an industrial process but an economic process.
Changes in coefficients may result not from changes in technology but from changes in the proportion of oil (in this case) processed on own account and processed on behalf of another unit.
More extensive discussion on the treatment of goods for processing (and the similar but distinct case of merchanted goods) is given in chapter 26 but the consequences for supply and use tables and input-output tables are extremely significant and change many of the traditional perceptions about what information is conveyed in these tables.
14.43 Interpreting input-output coefficients as representing the technological structure of an industry does not recognize the role of other factors, such as whether fixed capital is rented or owned, the importance of ancillary activities or the consequences of a statistician balancing the tables.
These factors still play an important part in determining input-output coefficients but where extensive processing of goods by third parties occurs, this may be the largest single factor contributing to change in the coefficients.
14.44 As explained in the introduction, in order to balance total supply with total use, both must be valued in the same way.
The most usual way to achieve this is to raise total supply to purchasers' prices and this is the approach described here.
However, the alternative, of reducing total use to basic prices is also considered in section D under discussion about deflating the supply and use tables to prices of another year.
14.45 It is helpful to begin by recapitulating the distinction between the purchaser's, producer's and basic prices as explained in chapter 6 and, because of the complexity of VAT and similar deductible taxes, to itemize the difference between the three ways in which VAT is recorded.
a. Invoiced VAT is the VAT payable on the sales of a producer; it is shown separately on the invoice that the producer presents to the purchaser;
b. Deductible VAT is the VAT payable on purchases of goods or services intended for intermediate consumption, gross fixed capital formation or for resale that a producer is permitted to deduct from his own VAT liability to the government in respect of VAT invoiced to his customers;
c. Non-deductible VAT is VAT payable by a purchaser that is not deductible from his own VAT liability, if any.
14.46 Bearing these ways of recording VAT in mind, the price bases in the SNA are expressed as follows:
a. The purchaser's price is the amount paid by the purchaser, excluding any deductible VAT or similar deductible tax, in order to take delivery of a unit of a good or service at the time and place required by the purchaser.
The purchaser's price of a good includes any transport charges paid separately by the purchaser to take delivery at the required time and place;
b. The producer's price is the amount receivable by the producer from the purchaser for a unit of a good or service produced as output minus any VAT, or similar deductible tax, invoiced to the purchaser.
It excludes any transport charges invoiced separately by the producer;
c. The basic price is the amount receivable by the producer from the purchaser for a unit of a good or service produced as output minus any tax payable, and plus any subsidy receivable, on that unit as a consequence of its production or sale.
It excludes any transport charges invoiced separately by the producer.
14.47 When an item is not sold directly by the producer but passes through the hands of one or more wholesaler or retailer, it is necessary to consider the distribution margins these wholesalers and retailers add to the cost of the product.
One possibility is to treat distribution margins as another element increasing the value of the purchaser's price over the producer's price.
An alternative possibility is to treat the purchaser as undertaking two quite different transactions; one is the purchase of the item directly from the producer, the second is the purchase of the margins involved.
A supply and use table at purchasers' prices assumes the former; a supply and use table at basic prices assumes the latter.
14.48 Whichever alternative for handling trade margins is chosen, the three price valuations can be linked schematically as follows:
Purchasers' prices
minus wholesale and retail distribution margins (trade margins),
minus transportation charges invoiced separately (transport margins),
minus non-deductible VAT,
equals producers' prices;
minus taxes on products resulting from production excluding invoiced VAT,
plus subsidies on products resulting from production,
equals basic prices.
14.49 Thus the three factors that need to be considered in converting the values of output and imports to purchasers' prices are:
a. Trade margins,
b. Transport margins,
c. Taxes less subsidies on products.
Each of these is considered in turn below.
Trade margins are typically more significant in size than transport margins but are conceptually more straightforward.
Transport margins are complex because of the different ways in which the cost of transport can be recovered.
14.50 Trade margins may be significant and may apply to virtually all goods.
When a supply and use table is compiled at purchasers' prices, the distribution margins need to be added to the rows for each group of products.
14.51 In order to account for the use of wholesalers and retailers margins, an adjustment column is added to the supply part of the supply and use tables.
This column shows the addition to the value of each group of goods to which the margins apply with an offsetting negative entry for the rows corresponding to the margins.
Typical entries for transport margins are treated in the same manner. Table 14.2 shows the adjustment column (2) from the full supply table 14.12.
14.52 Trade margins are usually produced within the economy but may apply to both domestic production and to imports.
Transport margins, on the other hand, may be provided by both residents and non-residents and may be provided to both residents and non-residents.
This aspect of transport margins is discussed in the following paragraphs.
Table 14.2: An example of the entries to adjust supply to include trade and transport margins
14.53 It is helpful to consider the case of domestic transport charges first and see how they are included in the supply and use tables before turning to transport margins on imports.
14.54 As explained in paragraphs 6.65 to 6.66, if the producer agrees to deliver the product to the purchaser without explicit charge, the cost of delivery is included in the basic price.
Only if the purchaser is explicitly invoiced for the delivery is there a specific transportation margin that is part of the purchaser's price.
14.55 Consider the situation where a unit, A, sells a product to unit B. For simplicity it is assumed they are both producers with factories some distance apart.
If B collects the product from A, the price charged is 200. The cost of transport from A's factory to that of B is 10. Both A and B have delivery fleets that can transfer the product from A to B or either may use a third party, C, to make the transfer.
Ten per cent tax (not VAT) is payable on both the cost of the product and the transport costs.
Different values of the three possible prices result from the alternative means of moving the product from A to B as shown in table 14.3.
14.56 The entries in the use matrix will be quite different for each of these six cases, even though the total cost to B is similar throughout.
Only when B collects the product itself is the purchaser's price for the product plus delivery less than 231. In this case it must be assumed that the internal costs of collection are 10, as before, so only the tax payable on this, 1, is a reduction in the total cost of taking delivery of A's product even though the purchaser's price is 220 compared with 231 for other modes of delivery.
14.57 When A or B undertake transport as an ancillary activity, the cost of petrol and other consumables will appear in intermediate consumption, the driver's wages in compensation of employees and there will be consumption of fixed capital recorded in respect of the vehicle used.
14.58 These entries will appear for A when it is undertaking a secondary activity but the cost of the secondary activity will appear as intermediate consumption of A's primary activity.
14.59 When C acts as an agent for A, whether A charges B directly for C's services or not, the cost of C's services forms part of A's intermediate consumption.
When C is hired directly by B, then the service cost is part of B's intermediate consumption.
14.60 The rationale behind these different recordings is that the point when change of ownership occurs is different under the different scenarios.
If A agrees or is obliged to provide transport to B, even for a charge, then change of ownership takes place when the product is delivered to B's factory.
If B agrees or is obliged to arrange delivery itself, then change of ownership takes place when the product leaves A's factory.
14.61 The information for allocating domestic transport charges is typically available to national accountants from survey information collected from domestic establishments.
In the example above, information from A, B and C would, in principle, be available.
For products delivered to establishments abroad, this is not the case.
Either A or B is non-resident and possibly C also.
The most common situation is where information coming from the administrative records compiled by customs authorities must be used.
Increasingly, however, some products circulate without direct customs supervision and recording.
This applies to services but services seldom if ever have transportation charges associated with their delivery.
14.62 The following are examples of goods that may not be covered in customs statistics:
a. Goods circulating within a single customs area that spans several economies;
b. Goods delivered to offshore establishments such as oil platforms;
c. Certain types of goods, such as diamonds and other precious goods of high value but small volume, that may be carried by persons;
d. Ships and aircraft, which, while hardly concealable in a physical sense, may be difficult to distinguish from the vehicles that belong to another economy and simply transit through the domestic economy.
It is therefore appropriate to consider products subject to customs documentation separately from other internationally traded products.
Separate consideration also must be given to transport related to merchanted goods and goods sent abroad for processing.
Table 14.3: Example of the impact on prices of transport charges
14.63 In the absence of customs documentation, information must be obtained from surveys and other sources and will typically record the prices at which transactions are actually undertaken.
14.64 Following the example in the previous section, if A and B are resident in different economies, whenever A takes responsibility for delivery to B, the value of exports from A (and the corresponding value of imports to B) includes the transport element.
14.65 If the third party, C, is used to undertake the transport, the residence of C is important in determining the value of total imports and exports.
14.66 If C is co-resident with B and contracts with A to transport goods to B, there are imports of transport services from B's economy to A's which are then included in the value of exports from A to B. If C contracts with B to transport the goods, this is a domestic transaction for B's economy even though C is operating in foreign territory in collecting and moving the goods.
14.67 If C is resident in an economy other than that of A and B, then the services provided to A constitute exports of services from C's economy to A's and the value of the goods exported from A to B are sufficient to cover this cost of imports just as previously they covered the cost of a domestic transaction.
14.68 As in the domestic case, the question of whether the value of goods covers the cost of transportation or not depends on whether the exporter or importer is responsible for transport.
14.69 In most countries, most information on imports and exports of goods will come from customs declarations.
14.70 Within customs declarations, imports are usually valued CIF (that is, they include cost, insurance and freight) at the point of entry into the importing economy.
14.71 As noted already, if it is the exporter that contracts the delivery (whatever the nationality of the carrier), it is correct that the cost of transport is included in the value of the good imported, though describing this as CIF is not helpful in the context of the SNA since it is a legitimate part of the cost of the imported good and should not be seen as a separate import of transport services.
14.72 If it is the importer that contracts the delivery and if the carrier is not co-resident with the importer, an import of services takes place and, ideally, for the SNA it would be desirable to separate the CIF value into the value of the good only and the value of the transport service.
14.73 Merchanting is a process whereby a unit in economy X purchases goods from economy Y for sale in economy Z. The goods legally change ownership but do not physically enter the economy where the owner is resident.
14.74 The services provided to transport the goods from Y to Z may be paid for by any of the units in X, Y or Z and should be recorded consistently with the principles outlined above.
Table 14.4: An example of imports entries in the supply table with the global CIF-to-FOB adjustment
14.75 Goods sent abroad from economy X to economy Y for processing without changing ownership, after which they are returned to economy X, are not shown as either exports of goods from X to Y or subsequently as exports of goods from Y to X. As explained above, only the agreed processing fee is shown as an export of service from Y to X. However, there are costs of transporting the goods on both the journey from X to Y and then on the return journey from Y to X. The costs of these journeys, excluding the value of the goods themselves, must be shown as transportation services.
14.76 In the supply and use tables, either supply must be adjusted to be at purchasers' prices or use must be adjusted to be at basic prices since both sides of the balance must be expressed in the same prices.
14.77 Imports of goods are to be recorded in the supply table at basic prices with taxes and margins added subsequently.
Products not included in customs documentation
The analysis above for goods transported within the domestic economy is likely to apply to international transport also.
When the supplier (exporter) commits to deliver goods to the importer, the value of the goods will include the transport costs.
When the purchaser (importer) is responsible for transport, the value of the goods excludes the transport costs and these feature as a separate purchase.
Whichever of the units takes responsibility for the transport, the values of the goods for both the exporter and importer are identical.
This is an important distinction from the valuation used in customs merchandise trade statistics as discussed in the immediately following section.
If B takes responsibility for the transport from A, then neither the value of exports from A nor the value of imports into B includes the value of the transport.
If C is co-resident with A and provides services to A, this is a domestic transaction within A's economy.
However, the value of the exports of goods from A will reflect the fact that they must cover the cost of services bought from C. If C is co-resident with A but provides services to B to transport the goods from A to B, then C also provides exports to B but these are shown as exports of transport services, not of goods.
If C contracts with B to move the goods, the cost shows as an export of services from C's economy to B's.
Again this is equivalent to whether change of ownership takes place after or before transportation from A to B.
Products covered by customs documentation
These declarations are compiled for administrative purposes, namely the levy of import and export duties, and are therefore not necessarily ideal for use in the national accounts or balance of payments context but are used because of their general availability and consistency of valuation.
This valuation is standard, regardless of whether any of the CIF elements are provided by domestic enterprises because import duties are typically imposed on the CIF valuation.
It also excludes the cost of transport from the border of the importing economy to the premises of the importer.
This transport also may be provided by either a resident or non-resident carrier.
Exports are valued FOB (free on board) at the point of exit from the exporter's economy.
It includes the cost of transport from the exporter's premises to the border of the exporting economy.
The CIF/FOB valuation principles arise from the common situation where goods are transported by ship from one country to another and it is not unreasonable to assume that transport to and from the ship would be undertaken by carriers resident in the relevant economy.
This assumption may still hold in the main for goods transported by sea and air.
It is much less satisfactory for goods transported overland where a single vehicle may transport goods from the exporter to importer without a break at national borders.
The delivery contractor provides services to the exporter and these are shown as an import of services to the exporting economy if the contractor is not co-resident with the exporter.
If the importer undertakes delivery itself or contracts with a unit resident in the same economy, there is in fact no import of services even though it will appear there when imports of goods are recorded CIF.
To counteract this, a fictional export of the same amount of services must be shown to leave the current balance of goods and services correct.
Transport on merchanted goods
By convention, the acquisition of the goods intended for resale is shown as negative exports.
When the goods are sold, they are shown as [positive] exports.
When acquisition and sale take place in the same period, the difference shows as an addition to exports.
If only the acquisition takes place in an accounting period, the negative export is offset by an increase in inventories of goods for resale, even though those goods are held abroad.
In a subsequent period when the goods are sold, the exports recorded for their sale are offset by a withdrawal from inventories.
As normal, the withdrawals should be valued at the cost of the goods at the date of the withdrawal, any increase in value due to a change in the price of the goods being shown as a holding gain or loss.
(See chapter 26 for more on merchanting.)
Transport on goods sent abroad for processing
If X is responsible for transport on either the outward or inward journey, the cost is an import to X's economy unless it is carried out by X or another unit co-resident with X. If Y is responsible for the transport, the cost is an import to Y unless it is carried out by Y or another unit co-resident with Y. When Y is responsible for transport costs (on either or both journeys) the costs will be covered by the agreed processing fee and hence in the value of the exports of services from Y to X. Recording transport margins in the supply and use tables
It is common to compile the use table, initially at least, in purchasers' prices.
As shown in table 14.3, this value will often be the same however the good is transported from the seller to the buyer.
The only exception is when the buyer fetches the goods using its own resources.
The way the transport service shows in the use table, however, depends critically on how the service is provided (using own resources or a third party contractor) and to whom (the buyer or seller).
The different forms of recording in different circumstances are indicated in table 14.3.
There is no universally appropriate valuation for imports of goods at basic prices.
The following recommendations should be noted.
a. If the data come from other than customs documentation, it is to be assumed that actual transaction prices are used and it should be clear whether transport services are separately invoiced or not.
If they are, the basic price excludes the value of transport; if not, the basic price value of goods includes transport costs.
The purchaser's price will differ from the basic price only because of any taxes payable by the purchaser.
b. If the data come from customs documentation and if it is the exporter of the goods who is responsible for meeting the transportation costs, the value of the goods at basic prices should include the transport costs.
In this case a CIF valuation will approximate the basic price (approximate unless a domestic carrier assumes responsibility for transport from the border of the importing country).
The purchaser's price will differ from the basic price only because of any taxes and subsidies payable by the purchaser.
c. If the data come from customs documentation and if it is the importer of the goods who is responsible for meeting the transportation costs, the value of the goods at basic prices should exclude the transport costs.
In this case an FOB valuation will approximate the basic price (approximate because the value of transport from the place of origin to the border of the exporting economy is included in the FOB valuation).
The purchaser's price will differ from the basic price because of the transport costs incurred plus any taxes and subsidies payable by the purchaser.
d. It may not be possible to determine from customs declarations which unit is responsible for the transport costs and, even when it is and conceptually the transport costs should be separated from the value of the goods themselves, there may be no information and no resources available to make the separation in practice.
In such a case the CIF value of imports may be the only source with a disaggregation by type of good.
If the disaggregated CIF figures are used for imports of goods, though, that part of the transport costs and insurance also included in imports of services would be double-counted.
In order to avoid this, therefore, an adjustment column is inserted into the supply table.
The adjustment column consists of a deduction from the services items for transport and insurance equal to the CIF-to-FOB adjustment for these items with an offsetting global adjustment made to imports of goods. Table 14.4 gives an example of such an adjustment.
14.78 The taxes and subsidies on products that add to the value of products available in the economy are exactly those described as taxes and subsidies on products in chapter 7.
Other taxes on production are included in the basic price measurement of output and other subsidies on production are excluded so do not feature in the adjustment for taxes that intervenes between a valuation at basic prices and purchasers' prices.
14.79 Value added type taxes in the SNA include VAT proper and taxes that are deductible in a way similar to VAT.
The SNA recommends that output, even at producers' prices, is valued excluding VAT invoiced by the producer; imports also are valued excluding invoiced VAT.
For intermediate and final uses, the purchases of goods and services are recorded including non-deductible VAT only.
14.80 The general cases in which VAT is usually deductible, nondeductible or just not applicable are as follows:
Deductible VAT:
· Most of intermediate consumption
· Most of gross fixed capital formation
· Part of changes in inventories.
Non-deductible VAT:
· Most of final consumption expenditure
· Part of gross fixed capital formation
· Part of changes in inventories
· Part of intermediate consumption.
VAT not applicable:
· Exports
· Any goods or services subject to a zero rate of VAT regardless of their use
· Any producers exempted from VAT registration (small businesses or the like).
14.81 When output is at basic prices, the taxes column contains total non-deductible VAT on products, taxes and duties on imports excluding VAT, export taxes and taxes on products excluding VAT, import and export taxes.
When output is at producers’ prices, the taxes column includes only taxes and duties on imports (excluding VAT), plus total nondeductible VAT on those products.
14.82 Subsidies are recorded as if they were negative taxes on products or negative taxes on production.
Only subsidies on products (if any) are entered into the column for the tax adjustment to the valuation of supply; they appear with a negative sign to indicate they reduce the value of purchasers' prices rather than increase it.
14.83 Table 14.5 shows columns 3 and 4 from the full supply matrix in table 14.12 that show the adjustments for taxes and subsidies on products.
Table 14.5: An example of the entries to adjust supply to include taxes less subsidies onproducts
14.84 A use table can be viewed as a rectangular table with four quadrants, two in the upper part and two in the lower part.
The upper left quadrant consists of a sub-matrix showing the use of different products by different groups of producing units.
In other words, this quadrant contains intermediate consumption, disaggregated by product in the rows and by industries in the columns.
The upper right quadrant consists of a sub-matrix showing the use of different products by final consumers, a sub-matrix for exports and a sub-matrix showing the use of different products for capital formation.
Together these three sub-matrices show final demand.
The lower left quadrant contains information on value added disaggregated to show the elements of the generation of income account, that is compensation of employees, gross operating surplus or gross mixed income and taxes less subsidies on production.
Each of these five sub-matrices is described below.
The lower right quadrant is empty.
14.85 The upper part of the use matrix (the intermediate and final demand quadrants) can be valued at purchasers' prices or at basic prices.
In this section sub-matrices at purchasers' prices are discussed.
The alternative valuation at basic prices is discussed in section D along with considerations about expressing the use table in volume terms.
14.86 Together the left-most quadrants (the intermediate consumption and value added quadrants) can be viewed as a set of columns, each relating to a group of producing units, containing information relating to the production and generation of income accounts plus other information that can be attributed to groups of producing units at a more disaggregated level than groups of enterprises.
This other information most often includes capital formation and the number of employees for each group of producing units.
These aspects are also discussed in section D.
14.87 The sub-matrix showing the use of specific products by each type of producing unit (the upper left quadrant of the table) has long been considered one of the more interesting aspects of supply and use tables and input-output tables.
It gives a picture of how products are converted to more complex products either for yet further processing or for sale to final users or as exports.
Unlike the supply table or make matrix, which also shows products by producing units, the sub-matrix of the use table (sometimes called the “absorption matrix”) is densely rather than sparsely populated.
The patterns of inputs for market, own final use and non-market producers of the same products are likely to bear a strong resemblance to one another but the variations give insights into how the characteristics of the three sorts of production vary.
14.88 The definition of intermediate consumption and the borderlines with payments for the use of labour and capital are exactly as explained in chapter 6.
14.89 Compiling the sub-matrix usually starts from information provided by establishments about their intermediate consumption.
These may be classified according to the purpose they serve rather than the type of good.
The classification of outlays of producers by purpose (COPP) consists of six main headings that apply to intermediate consumption of establishments, only one of which relates to current production techniques.
The other five cover more general categories such as outlays on marketing and human resource development that are common to most establishments.
Use of this detail in the form of a satellite account is discussed in chapter 29.
14.90 When this is all the information available to the compiler, he must make a judgement of what type of products will be covered in each heading allowing for variations between producing units of different types.
14.91 It is important to bear in mind the interpretation of data in this sub-matrix.
The total across the rows show how much of a given product is used as intermediate consumption by all producing units.
The total down a column shows the total of all types of products used as intermediate consumption inputs by a single type of producing unit.
There is absolutely no reason why the relative size of these two entities should be related in any systematic manner but mistaking one concept for the other is a common error made by users not very familiar with the nature of a supply and use table.
14.92 Table 14.6 shows columns 16, 20, 23 and 24 of the use matrix that include the intermediate consumption by each type of production.
This contrasts with table 14.1 which shows the same columns for the supply part of table 14.12.
Whereas table 14.1 shows that most manufactured products are produced by the market producers in the manufacturing industry, table 14.6 shows that all three types of producers use manufactured products and that only about half of manufactured products are used in manufacturing industries.
While the proportion quoted depends on this example, the phenomenon is generally observed.
Table 14.6: Abbreviated version of the intermediate consumption part of the use table
14.93 As explained in chapter 9, there are three types of units that undertake final consumption; households, NPISHs and general government.
The manner of compiling the sub-matrix of the use table showing the use of products for final consumption is similar for each of the three types of consumer but starts from a different classification for each of them.
14.94 Information on consumption by households usually starts from household surveys.
In these, household expenditures are classified according to the classification of individual consumption by purpose (COICOP).
COICOP classifies household expenditure into ten main categories, such as food, clothing and housing.
This is useful for analysis of how much of household consumption goes on essentials, for instance, and is basic to the establishment of weights for the consumer price index but it is not in the necessary format for inclusion in the use table.
For that a conversion table is necessary showing which of the designated products are purchased as food, which as clothing and so on. It should be noted that household surveys typically include expenditure by households abroad, for example on holidays, which must be separated from demand in the domestic economy in the supply and use tables.
14.95 A similar approach is used for consumption expenditure by NPISHs but starting from the classification of the purposes of non-profit institutions serving households (COPNI).
COPNI spells out the different sorts of NPISHs there may be by their objectives, for example, whether they undertake research and scientific services, education services or are religious associations.
Given this knowledge, it should be possible to determine whether the NPISH is one with costs mainly limited to those associated with running an office with few paid employees or whether there are significant costs associated with acquiring goods and services to pass on to households, for instance.
14.96 For general government consumption expenditure the starting classification is the classification of functions of government (COFOG).
This classification is consistent with that proposed in the GFSM2001 and shows a breakdown of government expenditure by standard functions associated with general public services, defence, law and order and so on. As with the classification for NPISHs, knowing the type of function gives a way to start to allocate the expenditure between intermediate consumption and other expenditure and to allocate intermediate consumption to specific product types.
14.97 It may be useful if possible to split the columns for general government (and NPISHs if appropriate) to show individual consumption expenditure and collective consumption expenditure separately in order to calculate actual consumption rather than consumption expenditure as explained in chapter 9.
Table 14.7: The final consumption part of a usetable
14.98 When these entries are compiled at purchasers' prices, as assumed in this section, there are no entries for consumption of wholesale and retail services as these are included with the expenditure on the products to which they apply.
Equally, taxes payable on products are included in the purchaser's value and do not show separately.
(These statements apply equally to products used for intermediate consumption and for capital formation but are much more significant for final consumption.)
14.99 Table 14.7 illustrates the part of the use table for final consumption (columns 30, 31, 32 and 29 of table 14.12).
The entry for production for own final use by households includes the estimate for the rental of owner-occupied dwellings.
The item for expenditure on non-market production by households represents the partial payments made by households for items supplied at nominal prices by government and NPISHs.
14.100 There are three types of capital formation to be examined, gross fixed capital formation, changes in inventories and acquisition less disposal of valuables.
14.101 Allocating gross fixed capital formation to products is the easiest part of the use table since the categories of fixed capital fall quite naturally into product groups.
Further, they will often be exempt from taxes on products and not subject to trade margins.
However, some assets are subject to costs of ownership transfer on acquisition and disposal and these costs need to be allocated to the appropriate product.
This product may be trade or transport but may also be legal services or real estate services, for example, depending on the asset concerned.
14.102 One aspect that does need to be mentioned, though, is the treatment of existing goods that are resold to another unit.
(This applies to consumption expenditure also but is described here because it is most common for fixed capital.)
14.103 Strictly speaking, it is not exactly true that all goods available for purchase in the domestic market come from domestic production or imports.
Some goods may exist in the economy already and simply change owners.
The most obvious example is fixed capital, where buildings and vehicles are regularly sold before their useful life is exhausted.
In this case, the supply of goods is recorded not as a positive entry in the supply table but as a negative entry in the use table.
14.104 When a building is sold, for example, the seller records negative fixed capital formation and the purchaser records positive fixed capital formation.
These items frequently do not offset one another exactly as there may be costs of ownership transfer associated with the exchange.
As explained in chapter 10, costs of ownership transfer incurred by the seller should be written off during the period the seller has owned the asset, so that by the time the item is sold, all the costs of ownership transfer on acquisition should have been written off.
For the purchaser, costs of ownership transfer on acquisition of the asset are recorded as part of gross fixed capital formation and, in turn, are written off over the period the purchaser expects to use the asset.
In this way costs of ownership transfer of both disposal and acquisition are treated as new fixed capital formation.
14.105 Fixed assets may not always be sold to other producers in the same economy.
For example, it is common for aircraft to be sold abroad.
In this case, the supply of the aircraft is still recorded as negative capital formation but the use is recorded as an export.
14.106 Even when an asset is no longer cost effective, it may have a residual value, for example as scrap.
(It should be noted, though, that the margins of scrap merchants are often very high compared to the prices paid by them to acquire the scrap.)
In that case the supply is recorded as negative capital formation and the use as intermediate consumption of a producing unit processing the scrap. Chapter 10 also explains why the total of consumption of fixed capital over the life of the asset is not necessarily the whole value of the asset on acquisition but the difference between the value of the asset on acquisition and its value on final disposal, in this case the scrap value.
In cases where the scrap value does not coincide with the residual balance sheet value of the asset immediately before disposal, an adjustment is to be made to the value of the asset via the other changes in the volume of assets account.
14.107 Second-hand assets may also become household consumption expenditure, as for example when a hire car company sells its cars to households for recreational purposes.
14.108 If a unit disposes of more assets than it acquires in a period, it will have negative capital formation.
It is possible, though not very common, for the figure of capital formation for a group of producing units also to be negative in such a case.
14.109 As explained in chapter 9, it is assumed that a household consumes products at the moment they are acquired.
In the case of consumer durables this is not strictly so and consumer durables may be sold or donated to other units at a later time (for example in response to requests for disaster relief).
In this case also, the supply of the goods in question is treated as negative expenditure by the previous owner and positive use by the new owner (including households in the rest of the world).
The way in which the income element of donations to other units is handled is via transfers, as explained in chapter 8 but for a supply and use table this aspect is not relevant since it is only the physical disposition of the product that is recorded.
14.110 While allocating fixed capital formation to product type is relatively straightforward, allocating changes in inventories to product type is challenging. Chapter 10 explains how the types of inventories identified in the SNA are materials and supplies, work-in-progress, finished goods, and goods for resale.
Work-in-progress and finished goods are straightforward to allocate since the products concerned must be those that the unit reporting the inventories produces.
Materials and supplies are more complex.
Some will be specific to the producing unit reporting them but virtually all producing units will hold some office supplies and cleaning materials, for example, though maybe not to a significant degree.
For goods for resale, however, practically all types of goods may be included in inventories.
Not only is the range of goods extensive, the pattern of goods held for resale is subject to a high degree of variation over time and even within an accounting period.
14.111 In the exercise of balancing a supply and use table, this uncertainty over the composition of inventories, added to the fact that even the valuation of changes in inventories may be less robust than desired, means that inventories are often estimated indirectly and with the need to balance the supply and use table as one of the operating constraints.
14.112 The range of products held as valuables is quite extensive and it is an area where existing goods may feature.
For example, antiques and old masters, by their very nature, are not output of the current period.
The importance of the value of acquisition less disposals of valuables as an item of capital formation, though, tends to be limited and any major disposal, such as sales by a museum, are likely to be well known.
14.113 Table 14.8 illustrates the capital formation part of a use table.
Table 14.8: The capital formation part of a use table
14.114 The allocation of exports by product requires the same conversion between SITC or HS codes as the allocation of imports does.
The valuation of exports is easier, though, since in trade statistics exports are uniformly valued FOB.
This valuation may not be in perfect accord with the recording in the SNA since the point of valuation is at the border, not necessarily where change of ownership takes place.
As with the valuation of imports, ideally exports should be valued when and where they change ownership from a resident unit to a non-resident unit but, again as with imports, the assumption that this change of ownership takes place at the national border may be the only practical assumption given existing data sources.
14.115 The sum across the rows of the use table, encompassing intermediate consumption, final consumption, capital formation and exports, for each product type must be equal to the sum across the rows of the supply table (domestic production plus imports plus valuation adjustments to make the valuation in the supply table consistent with that in the use table) for the same product type.
The sum down each column of the supply table shows the value of output for the relevant type of producing unit.
The sum down the column of the use table for the same type of producing unit shows the amount of intermediate consumption of that type of producing unit.
It is an obvious extension, therefore, to add two further lines to the use table for the column corresponding to producing units.
The second of these contains the values of output from the supply table, the first contains the difference between this total and the value of intermediate consumption just described and so represents value added for that type of producing unit.
14.116 Introducing the entries for value added and output is key to one of the main purposes of the supply and use tables, that of using the structure to ensure the accounts are internally consistent.
Returning to some of the examples quoted in the introductory section illustrates this point.
14.117 Suppose the data from a household survey for cigarette consumption is assumed to be accurate and suppose for simplicity there are no exports of cigarettes.
This figure then virtually determines the total use of tobacco products and subtracting imports of cigarettes gives a figure for the output of the domestic cigarette factories.
This may be much lower than the amounts reported by the cigarette manufacturers and the compiler may be inclined to think the output of cigarette manufacturers is overstated.
However, the main intermediate input to cigarette manufacture will be tobacco and there will be other figures for either production or imports of tobacco.
Given there are few uses for tobacco other than input into tobacco products and exports, if the supply and use table compiler wishes to adhere to the household expenditure survey data, he is faced with assuming either that there are errors of overstatement of cigarette manufacture, tobacco production or imports or the household figures for tobacco consumption are understated.
14.118 Consider the case of taxi services in a country where communal taxis are the main form of personal transport.
As well as the value of taxi services reported by the taxi drivers, there may well be information about the number of cars and amount of petrol or diesel claimed as tax deductions because they are used for taxi services.
A judgement can be made about whether these inputs are more consistent with the figure from the household expenditure survey than with the reported output figures.
14.119 More generally it should be noted that once the supply and use tables are balanced, any increase in final use for a particular good must be met from increased total supply or decreased intermediate consumption for the same good.
If the increased supply comes from domestic production, then value added increases in line with the increases in final use; if the increased supply comes from increased imports, then both value added and GDP are unaffected (or only marginally if there are import taxes on the good in question).
Similarly, any increase in intermediate consumption without an increase in domestic output must lead to a decrease in final use and also a decrease in value added.
Table 14.9: The value added part of a use table
14.120 Useful as it is to add value added to the bottom of the use table, it is possible and even more helpful to disaggregate value added and show all the entries in the generation of income account (described in chapter 7).
Table 14.9 shows the entries for each type of production in rows 14 and 17 to 25 of the use part of table 14.12.
14.121 As well as the entries for the generation of income account, it is possible to add memorandum items relating to other variables that are useful in a study of production at the establishment level.
These are gross fixed capital formation by establishment and the number of employees.
As discussed in chapter 19, it is preferable to show employment on a full time equivalent basis if this is available.
14.122 It is possible to take each column of the use table relating to production units and allocate all the entries to one of the institutional sectors of the economy.
The column for ISIC class K (finance and insurance) is allocated to financial corporations.
The columns for non-market output are allocated either to general government or NPISHs. Other columns are mainly allocated to non-financial corporations but with those parts that represent unincorporated enterprises being allocated to households.
Such a table provides the link between the supply and use tables and the sequence of accounts since the totals by institutional sector correspond to the data in the production and generation of income accounts.
Further discussion of this presentation and a numerical example is given in chapter 28.
14.123 So far in this chapter, it has been assumed that both the supply and use tables have been expressed in purchasers' prices and this is done by adding to supply valuation terms that explain the differences between basic prices and purchasers' prices.
It is also possible to bring the two tables to a common valuation basis by reducing the use table to basic prices, which is the subject of this section.
One reason to undertake this more arduous task is to facilitate compiling a supply and use table in volume terms, as described below.
14.124 In looking at any element of the use table at purchasers' prices it is clear that it may be made up of as many as six components:
a. domestic production at basic prices,
b. imports,
c. trade margins,
d. transport margins,
e. taxes on products,
f. subsidies on products.
14.125 In order to reduce the use table to basic prices, each element of the table must be decomposed into these six items.
This can be seen as creating six similarly sized tables, each of which contains all the items for one of the components.
This is much more resource intensive than bringing the supply table up to purchasers' prices where only six columns are needed, one for each of the six components.
14.126 Margin services are an important kind of activity in the SNA.
Many goods pass from the producer to the purchaser by means of a wholesaler or retailer.
Indeed, some goods may pass through the hands of several wholesalers on the way to the retailer.
Many services, on the other hand, are supplied directly by the producer to the purchaser.
This is by no means universal, though.
Travel agents and offices offering tickets for sports and entertainment events are examples of a kind of “retailing” for services.
In addition, many financial instruments are offered for sale (and are repurchased) with a spread between the buying and selling price.
The most obvious example is perhaps foreign exchange.
These spreads also represent a margin service supplied to the customer.
In the case of services, though, the margin is treated as one of the products of the relevant service industries.
In the case of goods, a separate type of activity, wholesale and retail services, covers the margins on all goods Many of these are the output of wholesaler and retail traders but some are provided as secondary activity.
14.127 As long as the use table is shown at purchasers' prices, there is no separate use of the trade margins provided by wholesalers and retailers. Table 14.4 shows that the additions to the values of various goods are exactly offset by negative entries for the supply of trade margins so that in effect there is no remaining supply to be explained in the use table.
14.128 As explained in chapters 3 and 6, the activity of wholesale and retail trade is one where the SNA imposes a partitioning of transactions.
Considering the supply and use tables explains why this is desirable.
Suppose all goods handled by wholesalers and retailers were shown as being delivered to the wholesaler or retailer and then supplied by them to the purchaser.
The rows for goods in the supply and use tables would then be rather uninteresting.
Virtually all goods would be used by wholesalers and retailers and almost none would be supplied to other producing units, households or government.
The pattern of household consumption would show one large item for purchases from wholesalers and retailers and none from any manufacturing industry or agriculture.
Even with grocers distinguished from furniture stores, it would no longer be possible to see exactly what types of food were being purchased and whether it was wooden or metal furniture being sold.
14.129 The standard treatment in a supply and use table, therefore, follows the rules for partitioning transactions adopted for measuring the output of the wholesale and retail activity.
Each acquisition of a product from a wholesaler or retailer is regarded as being the acquisition of two distinct products.
One is the physical good, valued at producers' prices, the other is the trade margin.
The purchase of the good is shown as a use of that good; the margin is shown as a use of services provided by wholesalers and retailers.
As noted, though, portraying the activity of wholesalers and retailers in this way in a supply and use table is resource intensive since it is often the case that different proportionate margins are charged to different types of purchasers, for example households paying higher margins than enterprises.
Indeed, even within households the margin on the same good in the same outlet may differ with larger quantities having a smaller proportionate margin than smaller quantities.
The compiler has thus to apply a considerable amount of specialized knowledge and judgement to make this partition and make it at the detailed product level.
14.130 As explained in reviewing the difference between purchasers', producers' and basic prices, transport margins only occur when transport services are separately invoiced.
If they are separately invoiced, then no partitioning is necessary because the transport service is already treated as a separate product.
The compiler's task is demanding because, for instance, suppliers may sometimes offer free transport for purchases over a certain value and charge for smaller deliveries.
14.131 The fact that VAT on the same product may be deductible for some users (typically producing units) and not deductible for others (households) is one reason why a supply and use table at purchasers' prices may be difficult to interpret.
The apparent share of total use by households will be inflated by the element of non-deductible tax as compared with the proportion of use by producing units.
After removing trade and transport margins from purchasers' prices estimates, the next step is therefore to remove non-deductible VAT.
Removing non-deductible VAT is reasonably straightforward for final users but may be more complicated for intermediate consumption where most, but not all, VAT may be deductible.
Once nondeductible VAT is subtracted, the entries in the use table are valued at producers' prices.
14.132 For some countries it may not be possible to go beyond this but if possible removing other taxes on products as well is desirable, leaving the entries in the use table at basic prices.
When this is done, it is necessary to introduce a new row into the use table.
This is a row that shows the taxes on products payable by the producing unit concerned.
This row is part of the cost of intermediate consumption at purchaser's prices in the same way as the entries for trade and transport margins are.
It will include some taxes on imports when imports that are part of intermediate consumption are subject to taxes on entry to the economy.
This row of taxes within the intermediate consumption part of the use table should not be confused with the row that may appear in the value added part of the use table when output is valued at producers' prices.
That row shows the amount of taxes on products payable on the products supplied by the unit, not the taxes on products payable by the unit on products used by them.
14.133 If it is possible to remove taxes on products from the entries in the use table, then subsidies on products must be added back also.
There is no counterpart to VAT within subsidies so the elimination of subsidies matches the elimination of taxes on products other than VAT.
14.134 A further refinement of the use table in basic prices is to separate imports from domestic production.
In some cases, if the only source of a product is from the rest of the world, or if none of the product is imported, there is no problem in making the separation.
When products are available from both domestic and foreign sources, making the separation is difficult.
One solution may be to work at a more disaggregated level if that helps identify products that are always or never imported, but in general making the separation is a process involving considerable expert knowledge and informed judgement.
14.135 Table 14.15 shows the import content of table 14.12. Table 14.10 shows columns 24, 29 and 35 indicating the amount of imports going to each of intermediate consumption, final consumption and capital formation.
Table 14.10: The imports content of the use matrix
14.136 The supply and use framework not only constrains the current value estimates of supply and use to balance exactly, it also provides a way to ensure that the corresponding volume estimates, expressed in the prices of another year, are in balance and that the series of prices implied by the existence of one table in current prices and one in volume terms are strictly consistent.
In general, the best way to ensure mutual consistency is to prepare the supply and use tables in current values and in volume terms at the same time.
14.137 In most countries there are sets of price indices available for consumer prices, producer prices and import and export prices.
Separate international manuals on the methodology and compilation of these exist.
The general question of the development and use of appropriate prices to deflate national accounts is the subject of chapter 15.
What follows, therefore, anticipates that general discussion but is provided here to complete the discussion on supply and use tables.
The section illustrates the problems that need to be addressed in expressing a supply and use table in volume terms rather than giving detailed compilation advice.
For that, reference should be made to the price manuals and to documents dedicated to the compilation of supply and use tables and input-output tables such as the Eurostat Manual of Supply, Use and Input-Output Tables (Eurostat, 2008).
14.138 The first decision to be made in compiling supply and use tables in volume terms is whether to work with tables in basic prices or in purchasers' prices.
There are arguments for and against each choice.
14.139 When working with a basic price table, all the elements relating to trade and transport margins and to taxes less subsidies on products will have been separated from the value of goods and services at basic prices.
Confusingly, the prices known as producer price indices (PPIs) correspond not to the concept of producer prices in the SNA but to basic prices.
They exclude both trade and transport margins and the effect of taxes less subsidies on products.
PPIs therefore seem well suited to deflating the rows of a basic price supply and use table on the grounds that the entries along a row of the use table are more homogeneous than in the case of a purchasers' price table.
However, the claim that the resulting entries are sufficiently homogeneous to justify using a single price index for each of them must be qualified.
In addition, the elements referring to margins and taxes must be deflated separately and this raises conceptual and practical issues also.
14.140 When working with purchasers' prices, greater use is made of CPIs and fewer problems arise about the treatment of margins and taxes.
However, although CPIs are generally held to be robust, their underlying assumptions might not always be entirely compatible with those in the supply and use tables.
14.141 Whether a purchasers' price table or a basic price table is being deflated, there are likely to be problems in deflating exports and imports.
14.142 The justification for using PPIs to deflate the rows of a supply and use table is that the elements of the rows are sufficiently homogeneous to use a single price throughput the row.
There are two reasons why this may not be so.
14.143 The elements of the rows at purchasers' prices are certainly not homogeneous as they include trade and transport margins on the one hand and taxes less subsidies on the other.
As noted, these may not fall on the same product in the same proportion for different users.
Eliminating these entries should reduce this cause of non-homogeneity but there will inevitably be a degree of approximation involved in the exercise so some residual non-homogeneity from this cause will persist.
14.144 The other cause of non-homogeneity is due to aggregation.
Even with a very large number of products distinguished in the supply and use tables, there is still a considerable degree of aggregation in each row.
Even if screws were separated from other metal products, the price of screws varies according to the length, diameter, type of head and material they are intended to be used in. It is obviously impracticable to introduce a degree of disaggregation that would identify each of these types of screw separately and the thought of identifying screws separately from nails and other metal construction materials is already implausible.
The problem of non-homogeneity is thus inevitable but may be reduced by considering the level of detail available in PPIs when determining the type of products to be identified in the supply and use tables.
14.145 Consumer price indices (CPIs) are applicable for deflating household consumption at purchasers' prices but at a disaggregated level.
The weights used to compile CPIs are usually not entirely consistent with the weights implicit in the column of expenditures for household consumption.
This is because the weights may relate to another year and may exclude some categories of expenditure.
The CPIs are likely to have been derived from a household survey.
Household surveys often exclude the richest and poorest households, so the coverage is less comprehensive than the household consumption figures in the supply and use tables.
As explained above, the act of balancing the table may cause some elements from the household survey to be amended.
In the case of tobacco products, for instance, in principle similar adjustments to the CPI weights should also have been made but in some other cases matching adjustments to the CPI weights may not have been made.
14.146 Import price indices can be problematical.
Many countries rely on unit value indices that do not take quality change into account adequately.
Even when true import price indices are available, there is the problem of matching the degree of detail in the price indices with that of the products in the supply and use tables.
Further, as mentioned in describing the correct valuation of imports, import price indices inevitably make different assumptions about how trade and transport margins are paid for than may be the case for individual purchasers.
This can be seen clearly in the case of export prices.
The difference between export prices and PPIs for an identical product is due to the assumption that export prices are valued at the border of the economy whereas PPIs are valued as the goods leave the factory.
14.147 Trade and transport margins also need to be expressed in volume terms.
If the margin is the same proportion of the purchaser's price in the current year as in the base year, then the volume measure of the margin is simply that proportion of the volume of the expenditure in question; volume measure and price move in line with the product to which the margin applies.
Often the rate of the margin will change between the base year and the current period either because of a difference in the rates of margins charged or because of a change in the mix of products in a group.
Further discussion of the way to derive estimates of margins in volume terms may be found in the manuals on CPIs and PPIs.
14.148 Different approaches to expressing taxes less subsidies in volume terms are required depending on the way in which the tax is levied.
14.149 If a tax is calculated as a percentage of the value of an item (an ad valorem tax) such as VAT, the volume measure is calculated in the same manner as that described for trade and transport margins.
14.150 Some taxes are levied according to the quantity of the item purchased.
These are called specific taxes and excise duties typically are levied this way.
For these taxes, the volume effect is strictly limited to changes in the quantity of the item purchased; any change in the rate of the specific tax is a price increase.
The price increase of a specific tax may change in line with the general level of inflation but quite often it will move quite differently, for example if government wants to discourage spending on the item in question such as tobacco or alcohol.
14.151 Changes in tax regimes mean that from one year to the next the range of taxes levied changes with one disappearing and another replacing it. Volume series imply using not just the prices of the base year but also the tax structure.
Thus volume series for an item may include a tax element that does not exist in the current values of the item and the tax element in the current value may not affect the volume series.
In such a case a purchaser's price index is still valid but the concept of a “tax price index” is meaningless.
14.152 Subsidies on products are less common than taxes but if they exist, volume measures should be calculated using the same principles.
14.153 In the SNA, balancing items such as value added are regarded as not having price and volume dimensions.
Nevertheless, it is possible to express them “in real terms” by using the balancing item approach to derive a figure from the volume estimates of the other items in the account.
14.154 Given the existence of PPIs for the rows of the use table, these can be applied to the rows of the supply table also and the column sums then give a figure for output in volume terms.
Deducting the figures for intermediate consumption in volume terms derived from the deflation exercise for the product rows in the use table permits the calculation of value added for each type of producing unit as a residual.
It is this residual that is described as being “in real terms”. It is also possible to derive an implied deflator for value added by dividing the current value by the value in real terms.
14.155 Many analysts are interested in pursuing the question of deflating value added more explicitly.
Calculating compensation of employees in volume terms is possible if enough information is available on wage rates and numbers employed by category of worker.
Allowance must be made for changes in non-wage compensation and changes between full-time and part-time staff but there are few conceptual problems in deflating compensation.
14.156 In order to deflate taxes less subsidies on production, it is necessary to consider the basis on which the tax is levied.
In most cases, taxes on production relate to the numbers of some or all employees or the capital used in production.
As with taxes on products, there may be both a price element and a quantity element involved in calculating changes in the volume measure.
14.157 Deriving figures for operating surplus and mixed income in real terms is possible by subtracting compensation of employees and taxes less subsidies on production in volume terms from value added in real terms.
However, the advocates of the capital services approach to measuring operating surplus suggest a more direct means of deriving operating surplus in real terms.
This approach is not a standard part of the SNA but is described in chapter 20.
14.158 Table 14.12 shows a full supply and use table.
The topmost part consists of the supply table.
The first column shows total supply at purchasers' prices.
This is followed by information first on trade and transport margins, as in table 14.2, and then on taxes and subsidies on products, as in table 14.5.
Deducting the elements in all these columns from the corresponding elements in the column for total supply at purchasers' prices gives the next column, which is total supply at basic prices.
This is followed by the largest part of the table, the supply of products by type of domestic producing units.
This is an expanded form of table 14.1.
At the extreme right of the supply table is the information on imports, corresponding to table 14.4.
14.159 The middle part of table 14.12 is the product part of the use table.
The first column is total supply at purchasers' prices and corresponds exactly to the column above in the supply table.
The next three columns are blank in the use table.
Then the detailed information on use of products by type of producing unit is shown.
This is the expanded version of table 14.6.
The column for exports and columns for final consumption and capital formation follow.
These correspond to tables 14.7 and 14.8.
14.160 Below the product part of the use table is the value added part.
In the columns for taxes and subsidies, information on taxes and subsidies on production is shown.
Details of the generation of income account for each of the types of producing unit are shown under their use of products as intermediate consumption.
These entries correspond to the summary information in table 14.9.
Information on capital formation by type of producing unit and employment are also shown.
There are no entries under the columns for exports, final consumption or capital formation.
14.161 Within table 14.12, row 3 shows that the value of manufactured products at basic prices is 1 998. To this value, subsidies of 5 are deducted, taxes of 94 and trade and transport margins of 74 are added to give a value at purchasers' prices of 2 161. Within the use part of table 14.12, the whole of the value of 2 161 is accounted for.
This means that the margins of 74 are accounted for in this way and not as demand on the trade and transport industry directly.
In row 5 of the supply part of the table, therefore, these margins are shown as offsetting supply of trade and transport services (along with margins of 2 apply to each of agricultural products and ores and minerals) so the total of trade and transport margins at purchasers' prices shown in column 1 is less than the total at basic prices shown in column 5.
14.162 The right-most part of the supply table shows the way the margins on imports are handled.
It is assumed that imports of goods are only available on a CIF basis.
Within the balance of payments figures for imports of services, however, the figures of 6 and 4 will be included in the imports of services of these products.
Thus column 26 shows the necessary adjustments.
The negative entries of 6 and 4 are offset within the column by an adjustment item of 10 in a special row for the CIF/FOB adjustment.
This in turn is offset by a negative entry in the same row within the column for the import of goods (column 27).
14.163 Instead of handling margins in this way, it is possible to reduce a supply and use table at purchasers' prices to basic prices by removing the margins and taxes from the purchasers' price estimates of all use elements.
As explained in the last part of section D, this is often done as a basis for deflation of the table to volume terms. Table 14.13 shows the elements of trade and transport margins, taxes on products and subsidies on products included in table 14.12.
This table does not distinguish all the columns for each type of production but for ease of reference the column numbers in table 14.13 (and indeed for tables 14.14 and 14.15) correspond exactly to those used in table 14.12.
14.164 Table 14.14 is the use table expressed in basic prices.
It is derived by deducting all the relevant elements of table 14.13 from the corresponding elements of table 14.12.
For reasons of compactness, it is presented in the abbreviated form with no distinction between market production, production for own final use and non-market production but the column numbering corresponds to the full version for ease of reference.
14.165 As well as removing the margin and tax elements from table 14.12, it is possible to also identify and remove that part of each element that represents supply from imports rather than from domestic production.
In order to do this, a matrix similar to tables 14.1 and 14.14 must be compiled including imports only. Table 14.15 is such a table.
This may then be deducted, element by element from table 14.14 to deduce a matrix showing the use of domestic production at basic prices only.
(The imports matrix excludes margins and taxes applying to imports so must be deducted from the basic price table and not the purchasers' prices one.)
14.166 Although a complete table showing domestic use only is not presented, table 14.11 shows in summary form how the total value of supply at purchasers' prices is built up from domestic supply, imports, trade and transport margins, subsidies on products and taxes on products.
Table 14.11: Breakdown of use by producing units into the five elements making up purchasers' price valuation
Table 14.12: Supply and use tables at purchasers' prices
Table 14.12cont: Supply and use tables at purchasers' prices
Table 14.13: Supply and use table: trade and transport margins, taxes and subsidies on intermediate and final use of products
Table 14.14: Supply and use table: Final and intermediate uses at basic prices, ISIC breakdown
Table 14.15: Imports used for intermediate consumption and final demand
15.1 Chapter 14 describes how the goods and services account may be compiled and elaborated within a supply and use table.
The changes in the values of flows of goods and services can be directly factored into two components, one reflecting changes in the prices of the goods and services concerned and the other the changes in their volumes.
One major advantage of compiling price and volume measures within an accounting framework, such as that provided by the supply and use tables, is that a check is provided on the numerical consistency and reliability of the set of measures as a whole.
This is particularly important when every flow of goods and services in the economy has to be covered, including non-market goods and services whose valuation is even more difficult in volume terms than at current prices.
15.2 Another advantage of compiling price and volume measures within an accounting framework is that implicit price or volume measures can be derived for certain important balancing items.
In particular, gross value added can be measured in real terms by subtracting intermediate consumption in volume terms from output in volume terms, the so-called “double deflation” method.
Double deflation may be used at the level of an individual enterprise, industry or sector.
However, the primary objective of the SNA is not simply to provide guidelines on measures of changes in prices and volumes for the main aggregates of the SNA but to assemble a set of interdependent measures that make it possible to carry out systematic and detailed analyses of inflation and economic growth.
15.3 Section B gives an overview of the theory of index numbers as applied in the SNA.
There have been significant developments in this area over the last decade.
New manuals have been published on the theory and practice of consumer price indices (CPIs) and on producer price indices (PPIs).
These are Consumer Price Index Manual: Theory and Practice, ( International Labour Organization, International Monetary Fund, Organisation for Economic and Co-operation and Development, Eurostat, United Nations Economic Commission for Europe and World Bank (2004)) and Producer Price Index Manual: Theory and Practice, ( International Labour Organization, International Monetary Fund, Organisation for Economic Co-operation and Development, United Nations, Economic Commission for Europe and the World Bank (2004).)
A further manual on export and import price indices (XMPIs), Export and Import Price Index Manual: Theory and Practice (International Labour Organization, International Monetary Fund, Organisation for Economic Co-operation and Development, United Nations Economic Commission for Europe and World Bank (2009)).
These manuals have been prepared with a common structure to help readers.
In particular chapter 14 of the CPI and PPI manuals and chapter 15 of the XMPI manual outline how such indices fit into the framework of the SNA.
15.4 The first topic in section B concerns the choice of an appropriate methodology for compiling inter-temporal price and volume measures for flows of goods and services in a national accounting context.
Section B also deals with the consequences of price variation due to price discrimination; that is, how to treat goods or services that are sold to different purchasers on the same market in the same period at different prices.
Such differences need to be clearly distinguished from price differences attributable to differences in qualities.
This section also discusses the treatment of changes in quality over time, including the appearance of new products and the disappearance of old products.
15.5 Section C shows how the considerations in section B can be applied to the SNA and time series of volumes and prices be derived.
It discusses not only the elements of the goods and services account but also how stocks of non-financial assets can be decomposed into price and volume elements.
Further, the section addresses the question of expressing key aggregates of the SNA that do not themselves have price and volume components in real terms, allowing an analysis of the impact of terms of trade on national income, for instance.
15.6 Like section B, section C does not aim to be exhaustive in its coverage but draws on, and refers to, other manuals developed over the last decade, specifically the Handbook on Price and Volume Measures in National Accounts (Eurostat, 2001) and chapter IX of Quarterly National Accounts Manual: Concepts, Data Sources and Compilation (International Monetary Fund (IMF), 2001b).
15.7 Although most price and volume index numbers were developed to measure changes in prices and volumes over time, they can also be adapted to compare levels of prices and volumes between different regions or countries in the same period of time.
Such comparisons are needed in order to be able to compare standards of living, levels of economic development or levels of productivity in different countries.
15.8 These topics are addressed in section D, first in theoretical terms and then in terms of the implications for national accountants.
The Global Purchasing Power Parities and Real Expenditure -2005 International Comparison Program Methodological Handbook (World Bank, 2008) describes the methodology underlying the 2005 round of the International Comparison Program (ICP).
15.9 This chapter aims to do no more than introduce the most important concepts and considerations of the application of index number theory to the derivations of volume series within the SNA.
Further information should be sought from the other manuals cited.
15.10 For each individual type of good or service it is necessary to specify an appropriate quantity unit in which that good or service can be measured.
15.11 Certain important properties in relation to the additivity of quantities, prices and values may be briefly noted:
15.12 In a market system, the relative prices of different goods and services should reflect both their relative costs of production and their relative utilities to purchasers, whether the latter intend to use them for production or consumption.
15.13 A volume index is an average of the proportionate changes in the quantities of a specified set of goods or services between two periods of time.
15.14 Unfortunately, it may sometimes happen, especially in the field of foreign trade statistics based on customs documentation, that the data from which price and volume indices have to be calculated are not sufficiently detailed or are otherwise inadequate for the purpose.
Goods or services may be supplied in units that are either discrete or continuously variable.
Automobiles, aircraft, microcomputers, haircuts and appendectomies are examples of goods or services provided in discrete or integral units.
The quantities of such goods and services are obtained simply by counting the number of units.
Oil, electricity, sugar and transportation are examples of goods or services provided in units that vary continuously in respect of characteristics such as weight, volume, power, duration and distance.
The choice of physical unit, and its price in relation to the unit selected, is therefore a matter of convenience.
For example, the price quoted per tonne is one thousand times greater than one quoted per kilo.
As long as the price is expressed in a manner consistent with the unit of volume, the value (v) at the level of a single, homogeneous good or service is equal to the price per unit of quantity (p) multiplied by the number of quantity units (q), that is: v = p x q.
Additivity of quantities, prices and values
a. Quantities are additive only for a single homogeneous product.
For example, it is not economically meaningful to add 10 tonnes of coal to 20 tonnes of sugar.
Less obviously, the addition of 10 automobiles of one type to 20 automobiles of another type would not be economically meaningful either if they differ in quality.
b. The price of a good or service is defined as the value of one unit of that good or service.
It varies directly with the size of the unit of quantity selected and in many cases can be made to vary arbitrarily by changing the unit of quantity, for example, by choosing to measure in tonnes instead of in kilograms.
Prices, like quantities, are not additive across different goods or services.
An average of the prices of different goods or services has no economic significance and cannot be used to measure price changes over time.
c. Values are expressed in terms of a common unit of currency and are additive across different products.
Values are invariant to the choice of quantity unit.
Relative costs and relative utilities influence the rates at which sellers and buyers are prepared to exchange goods and services on markets.
An aggregation of the values of different goods and services necessarily reflects the choices of which goods and services have been produced and consumed at the currently prevailing prices.
Volume, quantity, price and unit value indices
The quantities compared over time must be those for homogeneous items and the resulting quantity changes for different goods and services must be weighted by their economic importance, as measured by their relative values in one or other, or both, periods.
For this reason volume is a more correct and appropriate term than quantity in order to emphasize that quantities must be adjusted to reflect changes in quality.
For example, the basic information available may be limited to the total number of units of some group of products imported or exported, or their total weight, for example, the total number of pairs of shoes, or total weight of equipment of a certain type.
Indices built up from information of this kind are not volume indices when the numbers, or weights, cover different items selling at different prices.
They are sometimes described as “quantity indices” for this reason.
The “price” indices associated with such indices are usually described as average or “unit value” indices.
Unit value indices measure the change in the average value of units that are not necessarily homogeneous and may be affected by changes in the mix of items as well as by changes in their prices.
Unit value indices cannot therefore be expected to provide good measures of average price changes over time for groups of non-homogeneous items.
15.15 The index numbers of interest within the SNA are designed to decompose changes in value aggregates into their overall change in price and volume components.
A price index can be written and calculated as a weighted average of the proportionate changes in the prices of a specified set of goods and services between two periods of time, say a reference period 0 and current period t.
Similarly, a volume index can be written and calculated as a weighted average of the proportionate changes in the volumes of a specified set of goods and services between two periods of time, say a reference period 0 and current period t.
There are many index number formulae differing from each other mainly in the weights which they attach to the individual price or quantity relatives and the particular form of average used, whether it is arithmetic, geometric, harmonic, etc.
These alternative formulae, their properties and relative merits, are outlined in detail in the CPI and PPI manuals.
15.16 The two most commonly used index formulae are the Laspeyres and Paasche indices.
The Laspeyres price index (Lp) is defined as a weighted arithmetic average of the price relatives using the value shares of the reference period 0 as weights:
that is, where
,
and are the prices, quantities and values in period 0 of i=1,…,n products and
, the value shares in period 0. Similar expressions with superscripts t refer to period t.
15.17 Note from (1) that the Laspeyres price index can be defined as the change in value of a basket of products whose composition is kept fixed as it was in the reference period 0. The Laspeyres volume index (LQ) can be similarly defined as the change in the value of a basket whose composition every period is updated but the prices of the reference period 0 are applied to the new quantities (or volumes), that is:
15.18 Paasche indices also exist in both price and volume forms.
The Paasche index differs from the Laspeyres index in two respects.
It uses a harmonic mean instead of an arithmetic average and the fixed period volumes or prices are those of the current period t. The Paasche price index is given by:
and a Paasche volume index, with fixed current period weights or prices, by:
15.19 The index of the change in monetary values between two periods,
, reflects the combined effects of both price and quantity changes.
When Laspeyres and Paasche indices are used, the value change will exactly decompose into a price index times a volume index only if the Laspeyres price index is matched with the Paasche volume index, that is: LP x PQ = IV or the Laspeyres volume index is matched with the Paasche price index LQ x PP = IV.
For example, a price index, 1.05 representing a 5 per cent change multiplied by a volume index of 1.08, an 8 per cent change, yields a value change index of 1.134, a 13.4 per cent change.
15.20 This relationship can be exploited whenever the total current values for both periods are known and either of a price or volume index.
Suppose, for example, compilers want to derive a volume index.
Laspeyres and Paasche volume indices are derived by dividing (deflating) the value change by appropriate price indices: LQ = IV / PP and PQ = IV / LP respectively.
Note that LQ from the right-hand side of equation (2) generates a time series of Laspeyres volume indices, for periods t = 1,…,T of:
Multiplying through the series by the common denominator
yields the volume series:
The relative movements from period to period for this series are identical with those of the associated Laspeyres volume indices given by (5), the two series differing only by a scalar that is the value in period 0.
15.21 Series using the prices of a base year throughout, as illustrated by (6), are easy to understand but are not best practice in national accounts if the time period T is a lengthy one over which there are changes in the structure of the economy.
For example, if volume changes are measured over a 10 year period, say 1995 to 2005, at constant 1995 prices, then the volume movements in later years are based on a price configuration that is likely to have changed.
A better practice is to change the weights of (rebase) the Paasche deflator in 2000 and link the resulting index to the 1999 one.
The resulting volume series over the 10 year period will no longer be at constant 1995 prices, but be a more representative volume index.
Even better practice, resources permitting, is to form a series of annual bilateral links of constant price comparisons.
It is preferable to use the term volume series to describe such series rather than “in” or “at constant prices”.
15.22 Before considering other possible formulae, it is useful to establish the behaviour of Laspeyres and Paasche indices vis-à-vis each other.
In general, a Laspeyres index tends to register a larger increase over the base year than a Paasche index, that is, in general:
both LP > PP and LQ > PQ (7)
It can be shown that relationship (7) holds whenever the price and quantity relatives (weighted by values) are negatively correlated, that is, as prices go up the quantities purchased go down or vice versa.
Such negative correlation is to be expected for price takers, including consumers and firms purchasing intermediate inputs, who react to changes in relative prices by substituting goods and services that have become relatively less expensive for those that have become relatively more expensive.
A positive correlation would be expected for price setting firms that substitute output towards goods and services that have become relatively more expensive.
In such circumstances the inequalities in equation (7) would be reversed.
15.23 Consumers are assumed to maximize utility, which in turn is related to combinations of goods and services purchased.
Theoretical cost of living indices (COLIs) are defined as the ratio of the minimum expenditures required to enable a consumer to attain a fixed level of utility under the two sets of prices.
The COLI increases if it becomes more expensive to maintain the same level of utility.
A Laspeyres COLI would hold the preferences and utility fixed in the reference period and a Paasche COLI would hold them fixed in the current period.
15.24 The Laspeyres price index provides an upper bound to the theoretical Laspeyres COLI.
Under the COLI, consumers can substitute products that have become relatively less expensive for ones that have become relatively more expensive to obtain the same level of utility, whereas the fixed basket Laspeyres index does not allow such substitution.
Similarly, the Paasche index can be shown to provide a lower bound to the theoretical Paasche COLI.
15.25 Because different formulae give different results, a consideration of alternative approaches to choosing among them is needed and this in turn gives rise to a consideration of further index number formulae.
15.26 It is apparent from the Laspeyres and Paasche price indices in equations (1) and (3) that both indices hold the basket of quantities fixed.
The formulae differ in that Laspeyres holds the basket fixed in the reference period and Paasche in the current period.
If the objective is simply to measure the price change between the two periods considered in isolation, there is no reason to prefer the basket of the earlier period to that of the later period, or vice versa.
Both baskets are equally justifiable from a conceptual point of view.
Thus, although they yield different results, neither formula can be judged superior to the other.
15.27 A compromise solution for the price index is to use a formula that makes symmetric use of the base and current period information on quantities.
The Fisher index can be shown to be the most suitable in this regard.
(For an explanation of why this is so, see chapter 15 of the CPI and PPI manuals.)
The Fisher index (F) is defined as the geometric mean of the Laspeyres and Paasche indices, that is, for price and quantity indices respectively:
15.28 Economic theory postulates indifference curves that show how consumers would alter their expenditure patterns in response to changes in prices.
Unless the utility functions the indifference curves represent are similar in periods 0 and t, a Laspeyres and a Paasche index for this period will each refer to a differently shaped utility function.
In general, the Laspeyres index will provide an upper bound to its underlying utility function while the Paasche index will give a lower bound to its underlying utility function but the two utility functions will be different.
15.29 In order to resolve this dilemma, a series of indices called superlative indices have been derived that relate to utility functions that adapt over time to the changes in quantities brought about by changes in prices.
The Fisher index is one example of a superlative index; a Törnqvist index is another example.
A Törnqvist index is the geometric average of the price relatives weighted by average expenditure shares in two periods.
Thus the Törnqvist price and volume indices are defined as:
Both Fisher and Törnqvist indices utilize and attach equal importance to information on the value shares in both periods for weighting purposes.
For this reason they may be expected to lie between the bounds of Laspeyres and Paasche indices, as is desired.
The difference between the numerical values of the Törnqvist and Fisher indices and other such symmetric indices is likely to be very small.
Neither Törnqvist or Fisher volume indices use the prices of a specific single period.
The term “at constant prices” is a misnomer for such series; the correct term is a series in volume terms.
15.30 The above analysis has been from the consumer's or purchaser's perspective.
Economic theory also defines Laspeyres and Paasche bounds from the producer's perspective.
Revenue maximizing producers are expected to increase the relative quantities they produce in response to increases in relative prices.
The resulting Laspeyres-Paasche bounds are the reverse of those described above, as quantities produced are substituted towards commodities with above average changes in prices.
But the implication for removing substitution bias by the use of Törnqvist and Fisher indices still holds.
15.31 There are two frequently quoted characteristics that it is felt index numbers for deflating national accounts should satisfy.
These are the “time reversal” and “factor reversal” tests.
The time reversal test requires that the index for period t compared with period 0 should be the reciprocal of that for period 0 compared with t.
The factor reversal test requires that the product of the price index and the volume index should be equal to the proportionate change in the current values.
It follows from the discussion in the preceding section that Laspeyres and Paasche indices on their own do not pass either of these tests.
However, it follows from the definitions of Fisher indices in (8) that the Fisher index does pass these tests.
15.32 The Fisher index therefore has a number of attractions that have led it to be extensively used in general economic statistics.
Indeed, Fisher described his index as “ideal”. However, the Fisher index requires both reference and current period information for weights, which may affect the timeliness of the index, nor is it as easy to understand as Laspeyres or Paasche indices.
15.33 The CPI and PPI manuals provide in chapters 15, 16 and 17 an extensive account of the various approaches to choosing among index numbers.
Also included in chapter 16 is the stochastic approach that favours the Törnqvist index.
What is apparent from this extensive body of work is that all three approaches favour the Fisher index; that superlative indices such as the Fisher and Törnqvist indices produce very similar results and can all be justified from the economic theoretical approach and that the difference between superlative indices and the Laspeyres or Paasche indices, or their spread, is due to substitution bias.
15.34 The Laspeyres price index in equation (1) has the same price and weight reference period 0. In practice, especially for CPIs where timeliness is of the essence, the price reference period 0 differs from the earlier weight reference period, say b, since it takes time to compile the results from the survey of households, establishments and other sources for the weights to use in the index.
The Laspeyres index given by the first expression in equation (1) may have as its weights
instead of
.
This index is a Young index and, like the Laspeyres index, has the undesirable property of failing the time reversal test.
15.35 Statistical offices often try to overcome this by adjusting the value shares used as weights by the changes in prices between b and 0 to form a Lowe index given by:
15.36 As noted in the previous section, over time the pattern of relative prices in the base period tends to become progressively less relevant to the economic situations of later periods to the point where it becomes unacceptable to continue using them to measure volume changes from one period to the next.
It is then necessary to update the weights.
With long time series, it is as inappropriate to use the most current weights for a date long in the past as it is to use the weights from a long time in the past for the current period.
It is therefore necessary to link the old series to the new reweighted series by multiplication.
This is a simple numerical operation requiring estimates for an overlapping period of the index or series calculated using both the old and new weights.
15.37 The linking calculation can be undertaken in a number of ways.
The current index on the new weights can be multiplied by a linking coefficient of the old to new index to convert the new index to the old index reference period.
Alternatively, the index may have its reference period changed at the time of the introduction of new weights and the old index may be revised by dividing it by the linking coefficient.
The process of linking an old series and a new one by means of a link for an overlap period is referred to as chaining.
15.38 Whether the chaining is done so as to preserve the earlier reference period in the new series or to change the reference period of the old series to the new one, the calculations have to be undertaken at each level of aggregation.
Each component as well as each aggregate has to be linked individually because of non-additivity.
15.39 The more frequently weights are updated the more representative will the resulting price or volume series be. Annual chain indices result from compiling annual indices over two consecutive years each with updated weights.
These “links” are combined by successive multiplication to form a series.
In order to understand the properties and behaviour of chain indices in general, it is necessary to establish first how chain Laspeyres and Paasche indices behave in comparison with fixed base indices.
15.40 A chain Laspeyres volume index, LQ, connecting periods 0 and t, is an index of the following form:
The corresponding chain Paasche volume index, PQ, has the following form:
Laspeyres and Paasche price indices are obtained by interchanging the p's and q's in the expressions for the volume indices.
15.41 In general, if fixed base indices are replaced by chain indices, the index number spread between Laspeyres and Paasche is likely to be greatly reduced.
Chain indices thus have an advantage over fixed base ones.
The relationship between a fixed base index and the corresponding chain index is not always the same, however, as it depends upon the paths followed by individual prices and quantities over time.
15.42 If individual prices and quantities tend to increase or decrease steadily over time it can be shown that chaining will significantly reduce the index number spread, possibly almost eliminating it. Chapters 9 and 19 of the CPI and PPI manuals provide illustrative examples and chapter 15 explains the theory underlying these findings.
15.43 On the other hand, if individual prices and quantities fluctuate so that the relative price and quantity changes occurring in earlier periods are reversed in later periods, chaining will produce worse results than a simple index.
15.44 On balance, situations favourable to the use of chain Laspeyres and Paasche indices over time seem more likely than those that are unfavourable.
The underlying economic forces that are responsible for the observed long-term changes in relative prices and quantities, such as technological progress and increasing incomes, do not often go into reverse.
Hence, it is generally recommended that annual indices be chained.
The price and volume components of monthly and quarterly data are usually subject to much greater variation than their annual counterparts due to seasonality and short-term irregularities.
Therefore, the advantages of chaining at these higher frequencies are less and chaining should definitely not be applied to seasonal data that are not adjusted for seasonal fluctuations.
15.45 Quarterly chain indices can be constructed that use annual weights rather than quarterly weights.
Consider a quarterly Laspeyres-type volume index that measures the volume change from the average of year y-1 to quarter c in year y.
The upper case letters P and Q denote average quarterly values over a year, while p and q denote specific quarterly values.
The superscripts denote the year (y) and quarter (c).
denotes the average price of item i in year y-1 and
denotes the price of item i in quarter c of year y-1 and
is the base period value share, that is the share of item i in the total value in year y-1.
Thus:
15.46 The quarterly Laspeyres-type volume indices can then be chained together with annual links.
One of two alternative techniques for the annual chaining of quarterly data is usually applied, annual overlaps and one-quarter overlaps.
In addition to these two conventional chaining techniques, a third technique sometimes is used based on changes from the same period in the previous year (the “over-the-year technique”).
While in many cases all three techniques give similar results, in situations with strong changes in relative quantities and relative prices, the over-the-year technique can result in distorted seasonal patterns in the chained series.
While standard price statistics compilation exclusively uses the one-quarter overlap technique, the annual overlap technique may be more practical for Laspeyres-type volume measures in the national accounts because it results in data that aggregate exactly to the corresponding direct annual index.
In contrast, the one-quarter overlap technique and the over-the-year technique do not result in data that aggregate exactly to the corresponding direct annual index.
The one-quarter overlap provides the smoothest transition between each link in contrast to the annual overlap technique, which often introduces a step between each link, that is, between the fourth quarter of one year and the first quarter of the following year.
15.47 The technique of using annual overlaps implies compiling estimates for each quarter at the weighted annual average prices of the previous year, with subsequent linking using the corresponding annual data to provide linking factors to scale the quarterly data upward or downward.
The technique of one-quarter overlaps requires compiling estimates for the overlap quarter at the weighted annual average prices of the current year in addition to estimates at the average prices of the previous year.
The ratio between the estimates for the linking quarter at the average prices of the current year and at the average prices of the previous year then provides the linking factor to scale the quarterly data up or down.
The over-the-year technique requires compiling estimates for each quarter at the weighted annual average prices of the current year in addition to estimates at the average prices of the previous year.
The year-on-year changes in these volume series are then used to extrapolate the quarterly volume series of the chosen reference period.
15.48 Discrepancies between an annual chain volume series and the sum of the four quarters of an annually chained quarterly volume series derived using the one-quarter overlap technique can accumulate over time.
Hence, quarterly chain volume series derived this way are usually benchmarked to the corresponding annual chain volume series using a procedure that minimizes the disturbance to the quarterly volume series whilst achieving consistency with the annual chain volume series.
There is discussion on this in chapter VI of Quarterly National Accounts.
15.49 If annual volume series are derived from data balanced in a supply and use table expressed in the prices of the previous year as recommended in section C, then it is standard practice to benchmark quarterly data to the corresponding annual balanced estimates.
The benchmarking eliminates all discrepancies between the quarterly and annual chain volume series, including those arising from the use of the one-quarter overlap technique.
15.50 To conclude, chaining using the one-quarter overlap technique combined with benchmarking to remove any resulting discrepancies between the quarterly and annual data gives the best result.
In many circumstances, however, the annual overlap technique may give similar results.
The over-the-year technique should be avoided.
15.51 As explained earlier, the index number spread between Laspeyres and Paasche indices may be greatly reduced by chaining when prices and quantities move smoothly over time.
In such circumstances the choice of index number formula assumes less significance as all relevant index numbers lie within the bounds of the Laspeyres and Paasche indices.
Nevertheless, there may still be some advantages to be gained by choosing an index for chaining, such as the Fisher or Törnqvist, that treats both periods being compared symmetrically.
15.52 Such indices are likely to approximate more closely the theoretical indices based on underlying utility or production functions even though chaining may reduce the extent of their advantages over their Laspeyres or Paasche counterparts in this respect.
A chain symmetric index, such as Fisher or Törnqvist, is also likely to perform better when there are fluctuations in prices and quantities.
Chain Laspeyres indices, however, do not require current period data for weights and thus may lead to more timely estimates.
Retrospective studies of the difference in national accounts estimates from using chain Laspeyres as against chain Fisher or Törnqvist can help in determining the advantage of using the latter formulae.
15.53 Just as it is possible to derive annually chained Laspeyrestype quarterly indices, so it is possible to derive annually chained Fisher-type quarterly indices.
For each pair of consecutive years Laspeyres-type and Paasche-type quarterly indices are constructed for the last two quarters of the first year, year y-1 and the first two quarters of the second year, year y.
The Paasche-type quarterly indices are constructed as backward-looking Laspeyres-type quarterly indices and then inverted.
This is done to ensure that the Fisher-type quarterly indices are derived symmetrically.
In the forward-looking Laspeyres-type indices the annual value shares relate to the first of the two years, whereas in the backward-looking Laspeyres-type indices the annual value shares relate to the second of the two years.
and
is the quantity of item i in quarter c in the second two quarters of year y-1 or the first two quarters of year y.
15.54 For each of the four quarters a Fisher-type index is derived as the geometric mean of the corresponding Laspeyres-type and Paasche-type indices.
Consecutive spans of four quarters can then be linked using the one-quarter overlap technique.
The resulting annually chained Fisher-type quarterly indices need to be benchmarked to annual chain Fisher indices to achieve consistency with the annual estimates.
15.55 A difficulty arises at the end of the series because it is not possible to construct Paasche-type quarterly indices that use annual weights for the current year, at least using actual observed data.
One solution is to construct “true” quarterly chain Fisher indices for the latest year or two and use these to extrapolate the annually chained Fisher-type indices.
But this should only be done using seasonally adjusted data.
As long as the irregular variation in quarterly price and volume relativities is not very great, quarterly chain Fisher indices of seasonally adjusted data can be expected to produce satisfactory results in most circumstances.
15.56 One major practical problem in the construction of index numbers is the fact that products are continually disappearing from markets to be replaced by new products as a result of technological progress, new discoveries, changes in tastes and fashions, and catastrophes of one kind or another.
Price and volume indices are compiled by comparing the prices or quantities of goods of the same characteristics or quality (that is, homogenous goods) over time.
This is not easy in product areas such as personal computers where quality changes rapidly.
15.57 Chaining helps ameliorate the problems of such constant quality comparisons since the likelihood of an overlap of a product in two consecutive price periods is almost bound to be greatest and the chain indices can accommodate the changes in weight that accompany a new and a disappearing product.
15.58 An aggregate is defined as the sum of its components.
Additivity in a national accounts context requires this identity to be preserved for a volume series.
Although desirable from an accounting viewpoint, additivity is actually a very restrictive property.
Laspeyres volume indices are the only index number formulae considered here that are additive.
15.59 A single link in a chain index is sufficient to destroy additivity even when additive indices, such as Laspeyres volume indices, are linked together.
Consequently, if chain volume indices are converted into time series of values by using the indices to extrapolate the values of the base period, the index components may fail to add to aggregates in later periods.
A perverse form of non-additivity can occur when the chain index for the aggregate lies outside the range spanned by the chain indices for its components, a result that may be regarded as intuitively unacceptable by many users.
Whether published in monetary terms or indices, it is advisable to inform users via a footnote or other meta-data that chain volume series are not additive.
15.60 There is a general tendency for the discrepancies from chaining to become larger the further a period is away from the reference year.
If the reference year is chosen to be near the end of the series then the discrepancies will be relatively small for the latest quarters.
Indeed, if the chain Laspeyres formula is used and if the reference year is chosen to coincide with the latest base year then the quarters following the reference year are additive.
Another advantage of having the reference year near the end of chain volume series is that when they are expressed as monetary values their magnitudes do not differ greatly from the current values for the latest periods if price change is occurring at a modest rate.
Maintaining this situation requires rereferencing the series every year when a new link is added to the chain and this entails revising the chain volume series for their entire lengths.
Note that rereferencing entails revising levels but not growth rates.
15.61 Although additivity may be preserved by never undertaking a weight change this advantage is significantly outweighed by the disadvantage of increasing irrelevance of the weights in use.
Rates of change for subperiods of a series, including annual rates, can be usefully phrased in terms of contributions to change, as explained below.
15.62 Index number formulae are generally not applicable to time series that can take positive, negative and zero values.
Nevertheless, there are ways of deriving pseudo chain volume series expressed in terms of monetary values in such cases.
The most commonly used approach is to identify two associated time series that take only positive values and are such that when differenced yield the target series.
An example is the stock of inventories at the start and end of the period as opposed to the change during the period.
Chain volume series are not additive and so it is evident that this is an imperfect method since by construction an additive relationship is produced.
It follows that the series to be differenced should be as closely aligned in terms of price and volume composition as possible with the target series.
Hence, a chain volume series of changes in inventories is derived as a chain volume series of closing inventories less a chain volume series of opening inventories.
Sometimes public gross fixed capital formation can take negative values as a result of the sale of assets to the private sector, in which case the chain volume series of acquisitions and sales could be differenced.
15.63 When the Laspeyres formula is used and the base year and reference year coincide, the resulting volumes are additive in subsequent periods and the contribution by a component Ii to the growth of an aggregate, such as GDP, between two periods (t-n) and t can be obtained readily as follows:
When chain volume series are derived using either the Laspeyres formula for annual indices or the annual chaining of Laspeyres-type quarterly indices, then year-toyear or quarter-to-quarter contributions to growth can be derived easily using data expressed in the prices of the previous year prior to chaining.
Such data are additive and so equation (15) can be used with n=1. If contributions to growth are not published by the national statistical office, the user can estimate them.
Assuming the one-quarter overlap technique has been used, the formula for calculating the contribution to the percentage change from period t-1 to period t is:
where the s are the shares of the items in the total as in equations (12).
15.64 In general, most types of goods or services, whether simple food products such as potatoes or high technology products such as computers, are available on the market in many different qualities whose physical characteristics differ from each other.
For example, potatoes may be old or new, red or white, washed or unwashed, loose or pre-packed, graded or ungraded.
Consumers recognize and appreciate the differences and are prepared to pay different prices.
For some goods and services, such as personal computers and telecommunication services, there is a rapid turnover in the highly differentiated varieties and this, as considered below, creates severe problems for the measurement of price changes.
15.65 The same generic term, such as potato, computer or transportation is used to describe goods and services that differ from each other in their price-determining characteristics.
The price or quantity of a good or service of one quality cannot be directly compared to that of a different quality.
Different qualities have to be treated in exactly the same way as different kinds of goods or services.
15.66 Differences in quality may be attributable to differences in the physical characteristics of the goods or services concerned and be easily recognized, but not all differences in quality are of this kind.
Goods or services delivered in different locations, or at different times, such as seasonal fruits and vegetables, must be treated as different qualities even if they are otherwise physically identical.
The conditions of sale, or circumstances or environment in which the goods or services are supplied or delivered can make an important contribution to differences in quality.
For example, a durable good sold with a guarantee, or free after-sales service is higher quality than the same good sold without guarantee or service.
The same goods or services sold by different kinds of retailers, such as local shops, specialist shops, department stores or supermarkets may have to be treated as different qualities.
15.67 It is generally assumed in economic analysis that whenever a difference in price is found between two goods and services that appear to be physically identical there must be some other factor, such as location, timing or conditions of sale, that is introducing a difference in quality.
Otherwise, it can be argued that the difference could not persist, as rational purchasers would always buy lower priced items and no sales would take place at higher prices.
15.68 When there is price variation for the same quality of good or service, the price relatives used for index number calculation should be defined as the ratio of the weighted average price of that good or service in the two periods, the weights being the relative quantities sold at each price.
Suppose, for example, that a certain quantity of a particular good or service is sold at a lower price to a particular category of purchaser without any difference whatsoever in the nature of the good or service offered, location, timing or conditions of sale, or other factors.
A subsequent decrease in the proportion sold at the lower price raises the average price paid by purchasers for quantities of a good or service whose quality is the same and remains unchanged, by assumption.
It also raises the average price received by the seller without any change in quality.
This must be recorded as a price and not a volume increase.
15.69 Nevertheless, it must be questioned whether the existence of observed price differences always implies corresponding differences in quality.
There are strong assumptions underlying the standard argument which are seldom made explicit and are often not satisfied in practice: for example, that purchasers are well informed and that they are free to choose between goods and services offered at different prices.
15.70 In the first place, purchasers may not be properly informed about existing price differences and may therefore inadvertently buy at higher prices.
While they may be expected to search for the lowest prices, costs are incurred in the process.
Given the uncertainty and lack of information, the potential costs incurred by searching for outlets in which there is only a possibility that the same goods and services may be sold at lower prices may be greater than the potential savings, so that a rational purchaser may be prepared to accept the risk that he or she may not be buying at the lowest price.
Situations in which the individual buyers or sellers negotiate, or bargain over prices, provide further examples in which purchasers may inadvertently buy at a higher price than may be found elsewhere.
On the other hand, the difference between the average price of a good purchased in a market or bazaar in which individual purchasers bargain over the price and the price of the same good sold in a different type of retail outlet, such as a department store, should normally be treated as reflecting differences in quality attributable to the differing conditions under which the goods are sold.
15.71 Secondly, purchasers may not be free to choose the price at which they purchase because the seller may be in a position to charge different prices to different categories of purchasers for identical goods and services sold under exactly the same circumstances, in other words, to practise price discrimination.
Economic theory shows that sellers have an incentive to practise price discrimination as it enables them to increase their revenues and profits.
However, it is difficult to discriminate when purchasers can retrade amongst themselves, that is, when purchasers buying at the lowest prices can resell the goods to other purchasers.
While most goods can be retraded, it is usually impossible to retrade services, and for this reason price discrimination is extensively practised in industries such as transportation, finance, business services, health, education, etc., in most countries.
Lower prices are typically charged to purchasers with low incomes, or low average incomes, such as pensioners or students.
When governments practise or encourage the practice of price discrimination it is usually justified on welfare grounds, but market producers also have reasons to discriminate in favour of households with low incomes as this may enable them to increase their profits.
Thus, when different prices are charged to different consumers it is essential to establish whether or not there are in fact any quality differences associated with the lower prices.
For example, if senior citizens, students or schoolchildren are charged lower fares for travelling on planes, trains or buses, at whatever time they choose to travel, this must be treated as pure price discrimination.
However, if they are charged lower fares on condition that they travel only at certain times, typically off-peak times, they are being offered lower quality transportation.
15.72 Thirdly, buyers may be unable to buy as much as they would like at a lower price because there is insufficient supply available at that price.
This situation typically occurs when there are two parallel markets.
There may be a primary, or official, market in which the quantities sold, and the prices at which they are sold, are subject to government or official control, while there may be a secondary market, either a free market or unofficial market, whose existence may or may not be recognized officially.
If the quantities available at the price set in the official market are limited there may be excess demand so that supplies have to be allocated by rationing or some form of queuing.
As a result, the price on the secondary or unofficial market will tend to be higher.
It is also possible, but less likely, that lower prices are charged on the secondary or unofficial market, perhaps because the payment of taxes on products can be evaded in such a market.
15.73 For the three reasons just given, lack of information, price discrimination or the existence of parallel markets, identical goods or services may sometimes be sold to different purchasers at different prices.
Thus, the existence of different prices does not always reflect corresponding differences in the qualities of the goods or services sold.
15.74 When there is price variation for the same quality of good or service, the price relatives used for index number calculation should be defined as the ratio of the weighted average price of that good or service in the two periods, the weights being the relative quantities sold at each price.
Suppose, for example, that a certain quantity of a particular good or service is sold at a lower price to a particular category of purchaser without any difference whatsoever in the nature of the good or service offered, location, timing or conditions of sale, or other factors.
A subsequent decrease in the proportion sold at the lower price raises the average price paid by purchasers for quantities of a good or service whose quality is the same and remains unchanged, by assumption.
It also raises the average price received by the seller without any change in quality.
This must be recorded as a price and not a volume increase.
15.75 It may be difficult to distinguish genuine price discrimination from situations in which the different prices reflect differences in quality.
Nevertheless, there may be situations in which large producers (especially large service producers in fields such as transportation, education or health) are able to make the distinction and provide the necessary information.
If there is doubt as to whether the price differences constitute price discrimination, it seems preferable to assume that they reflect quality differences, as they have always been assumed to do so in the past.
15.76 Goods and services and the conditions under which they are marketed are continually changing over time, with some goods or services disappearing from the market and new qualities or new goods or services replacing them.
National accountants use disaggregated price indices to deflate changes in consumption, production and investment values as the principle means of determining volume changes in such aggregates.
Deficiencies in price indices carry over to estimates of volume changes.
For example, estimates of price indices for computers that do not fully incorporate the increases in quality over time will overstate price changes and understate volume changes.
National accountants need to be aware of the extent and nature of methods used by price compilers to take account of such quality changes, if they are to use them properly as deflators.
This in turn requires that price compilers keep explanatory notes on such methods used, a policy advocated by chapter 8 in each of the CPI and PPI manuals.
15.77 There are, of course, costs associated with implementing quality adjustment procedures tailored to the specific product groups.
What is important for national accountants and price index compilers to appreciate is that quality change is an increasing feature of product markets.
The default procedures of dealing with quality change, specifically by treating all replacements as comparable, or dropping varieties from the sample if missing, implicitly incorporate valuations of quality differences.
Such valuations are unlikely to be appropriate and improvements can and should be made.
15.78 An unfortunate common procedure to deal with missing values is to carry forward the price from the previous period into the current period.
This may well bias the index and is strongly discouraged.
15.79 A brief overview of some of the more common techniques follows.
More extensive discussion can be found in all the three price manuals, those for CPI, PPI and XMPI.
The techniques can be divided into those that are direct or explicit methods and those that are indirect or implicit.
15.80 In principle, the price relatives that enter into the calculation of inter-temporal price indices should measure pure price changes by comparing the prices of a representative sample of identical goods and services in different time periods.
This is called the matched-models method.
Price index compilers maintain detailed product descriptions of the items being priced in successive periods to ensure proper matching.
When a model is missing because it is obsolete, a problem of quality adjustment arises.
A number of methods can be used to take account of the quality change in order to continue the series.
15.81 One possibility is to use the estimated relative costs of production as the basis for estimates of their relative prices and hence their relative qualities.
It may often be feasible for producers to provide such estimates.
If, however, the new quality feature was available as an option in the previous period, but now is a standard feature, the estimate of the valuation of the quality change may be based on the (relative) price of this option.
15.82 An extension of the costs of production approach is known as model pricing.
It is often applied to products made to order.
A particular case in point is measuring building costs.
The characteristics of buildings and other structures are so variable that it may be almost impossible to find identical buildings and structures being produced in successive periods of time.
In these circumstances, a small number of hypothetical and relatively simple standard buildings and structures may be specified and their prices estimated in each of the periods.
The specifications of these standard buildings or structures are chosen on the advice of construction experts who are also asked to estimate what their prices would be in each of the periods.
Model pricing for services is described in Methodological Guide for Developing Producer Price Indices for Services.
(Eurostat and the Organisation for Economic Co-operation and Development, 2005)
15.83 A more general and powerful method of dealing with changes in quality is to make use of estimates from hedonic regression equations.
Hedonic regression equations relate the observed market prices of different models to certain measurable price-determining characteristics.
Provided sufficiently many differentiated models are on sale at the same time, the estimated regression equation can be used to determine by how much prices vary in relation to each of the characteristics or to predict the prices of models with different mixes of characteristics that are not actually on sale in the period in question.
15.84 Hedonic regression equations have been estimated for high technology goods such as computers and electronic goods and for services such as air transportation.
The technique has also been used for housing by regressing house prices (or rents) on characteristics such as area of floor space, number of rooms or location.
The method has been used not only for inter-temporal price measurements but also for international comparisons.
15.85 When the two qualities are not produced and sold on the market at the same time it becomes necessary to resort to indirect methods of quantifying the change in quality between the old and new qualities.
In such cases it is necessary to estimate what would be the relative prices of the old and new models, or qualities, if they were produced and sold on the market at the same time and to use the estimated relative prices to determine measures of the relative qualities.
15.86 When a model is missing a replacement of a comparable quality may be found and the price comparisons continued.
If there is no comparable replacement, the price in the missing period may be imputed using the measured price changes of a product group expected to experience similar price changes.
Dropping the product from the calculation is equivalent to an imputation that assumes the price change for the missing model would follow those of all goods and services in the index.
The assumptions behind such imputations are less soundly based than those behind the more targeted imputation.
In either case, items subject to quality change tend to be atypical and unrepresentative, so that assuming that their prices change at the same rate as for goods or services whose characteristics do not change is questionable.
15.87 If the replacement model is not directly comparable in quality, then the price change of the new model may be readily linked to the price series of the old one if the two models are for sale in the market at the same time, in an overlap period.
The implicit assumption is that the difference in prices at the time of the overlap link is a good valuation of the difference in quality, an assumption that will not be valid if the overlap period is at an unusual point in time in the model's life cycle, for example when it is about to become obsolete and discontinued or has just been introduced at an unusually high price to obtain temporary monopoly profits in a segmented market.
15.88 Problems of adjusting price changes for changes in quality in product markets with a rapid turnover of differentiated varieties require special consideration.
The matched model method breaks down.
Models of like quality can only be compared over relatively short periods and are not representative of the overall market.
The summation in index number formulae such as the Laspeyres price index in equation (1) is misleading since in period t the n items produced or consumed may be quite different from those on the market in period 0.
15.89 Price index number compilers use a short-run formulation to ameliorate the difficulties of comparing the prices of like with like when there is a rapid turnover in differentiated goods and services.
A Laspeyres price index, for example, comparing prices in period 0 and t, is given as:
15.90 If a new type of good, for example a digital camera, is introduced in period t-1 to replace a non-digital one, then the compiler has only to wait for the good to be on the market for two successive periods before it can be included in the index.
This provides a mechanism for changing the representative items to include the new, higher quality, item within a product category that has an assigned weight.
Additional weighting information may be required to augment the weighting given to cameras within the wider group.
However, a chain formulation in which weights are regularly updated would be a better mechanism to achieve this.
15.91 While a chain index with a short-run formulation such as in equation (17) will ameliorate the measurement problem in markets with a rapid turnover of differentiated varieties, it cannot take account of the effect on the overall price change from period t-1 to period t of the new variety introduced in period t and of the old model that was dropped in period t-1.
Two successive price quotes are required to implement the formula in (17) and a chain index.
Hedonic indices are a means of incorporating such affects.
They can take a number of forms, but essentially the prices and values of price-determining quality characteristics, say the speed, RAM, etc. of different varieties of personal computers are collected in each period.
A Paasche-type hedonic imputation (or characteristics) price index would be derived by first estimating a hedonic regression of price on quality variables based on period t-1 data and then using the estimated coefficients to impute for t -1 the prices of the varieties available in period t, including those not available in t-1.
Prices for period t characteristics valued at period t prices can be directly compared with the estimated period t1 valuation of period t characteristics to yield a Paaschetype price index.
A Laspeyres-type hedonic index can be similarly defined using an estimated period t regression and constant period t-1 characteristics set, as can a Fisher-type hedonic index as a geometric mean of the two.
An alternative formulation is to pool the two sets of observations in periods 0 and t and include a dummy variable in the hedonic regression equation to distinguish observations in one period from those in the other.
The coefficient on the dummy variable would be an estimate of the price change between the two periods having controlled for the effect of quality changes.
15.92 A detailed account of all the methods referred to above is available in chapters 7 and 8 of the CPI and PPI manuals.
These chapters include the use of imputations, overlap prices, comparable replacements, non-comparable replacements using estimates from production costs, option costs and hedonic regressions, as well as methods for markets with a rapid turnover of differentiated varieties including short-run relatives, chaining, product augmentation and hedonic indices.
15.93 Further discussion of this topic can also be found in Handbook on Hedonic Indices and Quality Adjustments in Price Indexes: Special Application to Information Technology Products (Organisation for Economic Cooperation and Development, 2004).
15.94 It has been shown on theoretical grounds that long time series of volume and price indices are best derived by being chained.
The question is how often in the time series should a link occur.
It has been argued that annual chaining is generally best on theoretical grounds, but what of the practicalities? There are a number of matters to consider, including data requirements, computing requirements, human resource requirements, loss of additivity, revisions and informing users.
a. If annual current values and corresponding volume or price data are available, then annual chaining is possible.
No other data are required.
b. The computing requirements of deriving annual chain indices are greater than those for fixed-weighted Laspeyres-type indices and should not be attempted without adequate, tailored software.
The complexity of the software needed depends on the formula used and the method of linking.
For instance, it is quite simple to develop software to derive annually chained Laspeyrestype quarterly volume measures using the annual overlap method.
c. Experience has shown that if the benefits of chain volume measures, along with the loss of additivity, are carefully explained to users via documentation and seminars before their introduction, chain volume measures are generally accepted.
Particular attention should be given to informing the key users, including economic journalists, well beforehand.
d. When volume estimates are rebased, say every five or ten years, then it is typically the case that the growth rates are revised.
If price and volume relativities have been changing rapidly, then the changes in the growth rates can be dramatic.
Such is usually the case for any aggregate in which computers have a significant share.
With annual chaining history is only “rewritten” a little each year, not in one large jump every five or ten years.
Not surprisingly, the sort of big revisions associated with chaining only every five or ten years can have a detrimental effect on user confidence in the national accounts, not least because users learn they can expect similar revisions in the future.
Annual chaining not only measures changes better, it is likely to increase confidence in the resulting national accounts volume indices.
15.95 This section is concerned with the application of the theory described in section B to the practice of deriving volume measures of parts of the SNA.
The parts concerned are primarily the components of the goods and services account.
Ideally this should be done within the context of supply and use tables, as explained below.
Just as flows of capital formation can be expressed in volume terms, so can stocks of non-produced assets.
It is not considered possible to separate all income flows into price and volume components but some limited measures of real income are possible, as also explained below.
15.96 The ideal way of producing volume estimates of macroeconomic aggregates is to work at a very detailed level, deflating each component by a strictly appropriate price index.
There are cases, though, where this approach is not possible; either appropriate price indices do not exist, or there may be inconsistencies in the current value data or the price indices, that make the results of deflation questionable.
In such cases, alternative approaches must be considered including the possibility of projecting (or extrapolating) forward estimates for earlier years or using alternative indicators of the volume growth in a particular case.
15.97 Once a set of volume measures is available for a given period, it needs to be presented with data for other periods in time series form.
This is when chaining should be introduced for data derived by deflation of individual components.
As recommended in section B, this should ideally be done annually using price indices of the previous year but if this is not possible, chaining over a longer period should be adopted.
Major changes in economic structure, such as the impact of rapid fluctuations in oil prices on an oil exporting economy indicate that using the same base year before and after the change is likely to give quite misleading indications of the evolution of the economy.
Chaining becomes essential rather than just desirable in such cases.
15.98 When time series are constructed by dividing the current values for each year at the most detailed level possible by fixed base year Laspeyres price indices, it is appropriate to describe the resulting series as being at the constant prices of the base year.
(This is because as long as the work is done at a sufficiently detailed level, the result approximates using a Paasche price index.)
However, when each year's value is deflated by a price index with a different base year, it is no longer strictly correct to describe the resulting time series in this way.
More accurate terms are “chain volume series”, “chain volume measure” or “chain volume index” if the series is expressed in index number form.
If it is desirable to specify the reference year in the term, then “chain volume series in reference year [currency units]” may be used.
15.99 The use of the term “at constant prices” is also inappropriate for series that are linked less frequently than annually and to volume series based on the use of Fisher or Törnqvist formulae, whose price configurations are not constant over the duration of the series.
For such series the terms “volume series” or “volume index” are appropriate to describe a series or index.
15.100 The change of terminology also reflects the loss of additivity of the resulting time series since only series expressed in the same set of prices throughout, for example by using Laspeyres indices, are additive.
15.101 Volume and price indices can only be derived for variables that have price and quantity elements.
All transactions involving the exchange of goods and services and the levels of stocks of non-financial assets have this characteristic but income flows and financial assets and liabilities do not.
Some balancing items have the characteristic but others do not and so they need to be considered individually.
15.102 While both volume and price measures are of major importance in the national accounts, the principal focus of users is on the growth rates of volume measures, rather than prices.
The compilation of the national accounts in volume and current value terms reflects this priority, with the price aggregates being derived implicitly, by dividing the current values by the corresponding volumes.
15.103 When independent, reliable and comprehensive data are available at current values it is generally not necessary to construct volume measures by aggregating quantity relatives.
In most cases it is preferable and more practicable to use price indices to deflate current value data.
Even for cases like electricity where the volume measure seems to be easily available, a direct volume measure is inappropriate because of the treatment of prices applying in different markets as explained in paragraphs 15.69 to 15.75.
A change in the composition of the type of user leads to a change in the price and volume of electricity in the SNA even though the physical measure of electricity distributed may not have changed.
15.104 As explained in section B, price information is easier to collect and aggregate than volume information because all prices are expressed in a common unit whereas volumes come in a multitude of units.
Further, price relatives for a representative sample of goods and services can be used as typical for all goods and services in the same group in a way that volume measures would not be representative.
More importantly, the volume changes associated with new and disappearing products can be properly reflected when current values are deflated by price indices as described in section B.
15.105 For some products, for example closely specified agricultural products or minerals, it may be that the current value data have been constructed by multiplying a volume measure by an appropriate price.
These are instances when there is no aggregation problem across the group of products and adjustments for quality differences are more easily and more satisfactorily made to the volume measures directly.
While some such products may be of significant value in some countries, it will be a small number of the total number of products that can best be treated in this way.
15.106 To obtain a Laspeyres volume measure the appropriate price index used to deflate the current value is a Paasche index and vice versa.
However, the available price indices are nearly always constructed using the Laspeyres or Lowe formulae, because construction of a Paasche price index has exactly the same data requirements as the direct derivation of a Laspeyres volume index and faces the same problems.
If robust current value data and Laspeyres price indices are available at a sufficiently detailed level then Paasche volume indices, at the detailed level, can be aggregated using the Laspeyres formula to obtain an approximation of a true Laspeyres volume measure of the aggregate.
15.107 A Fisher volume index can be obtained either by taking the geometric mean of Laspeyres and Paasche volume indices or by deflating an index of the current values by a Fisher price index.
15.108 There are four major types of price index available to derive volume measures in the national accounts: consumer price indices (CPIs), producer price indices (PPIs), export price indices (XPIs) and import price indices (MPIs).
CPIs are measures of purchasers' prices and PPIs are measures of basic prices.
XPIs are measures of FOB prices; MPIs may measure FOB or CIF prices.
15.109 There are two defining aspects of recording transactions: timing and valuation.
It is therefore critical that the price indices and the current values they are used to deflate correspond in both these aspects, as well as scope.
The four types of price indices are usually available monthly and so quarterly and annual deflators can be obtained for flow and stock variables by averaging the monthly indices appropriately to centre the average at the desired valuation point.
For flow variables this is usually the mid-point of the period, while for stock variables it is usually, but not always, the end of the period.
For flow variables, the average price of the period should reflect known variations within the period.
This is particularly important when there is a strong seasonal pattern, large irregular movements in certain months or hyperinflation.
When none of these factors is present, the average price will be close to the observed price at the middle of the time period.
The fact that this is frequently the case does not imply that the mid-period price is always the conceptually correct one to take, however.
15.110 Chapter 14 describes the supply and use tables.
It explains how the supply table itemizes the products each industry produces which are then identified in the use table where the allocation of each product between intermediate consumption and final demand is spelled out.
Compiling supply and use tables at current values ensures consistency in the different measures of GDP.
More powerfully, compiling supply and use tables in volume terms ensures that both the volumes and prices in the SNA are consistent.
In principle, tables at current values and in volume terms should be compiled at the same time in order to make the best use of all the information available to the compiler.
15.111 It is often the case that not all the detailed data required for compiling supply and use tables are available each period and estimates have to be made to fill the empty cells.
For example, detailed data for intermediate consumption by product by industry are often collected infrequently.
It is generally better to make an initial assumption of a constant composition of intermediate inputs over time in volume terms than in current values.
Furthermore, adjustments to the raw and estimated data can be greatly assisted by evaluating growth rates in prices and volumes from the previous or following period.
For these reasons it is recommended that supply and use tables should be compiled at current values and in volume terms at the same time and balanced simultaneously.
15.112 In order to derive a set of supply and use tables in volume terms that are additive, the appropriate way to proceed is first to express the table in the prices of the previous year, that is, as Laspeyres volume indices linking the previous year to the current year, referenced to the values in the previous year.
In order to obtain annual chain Fisher volume measures, it also necessary to derive supply and use tables of the previous year in the prices of the current year.
Such values are in effect backward-looking Laspeyres indices referenced to the prices of the current year.
Paasche volume indices are obtained by taking the inverse of the backward-looking Laspeyres indices.
Fisher volume indices can then be derived as the geometric mean of the Laspeyres and Paasche volume indices between two adjacent years.
15.113 In principle, PPIs can be compiled for all market output and then they can be used to deflate current values to obtain volume estimates.
15.114 In practice, there are some products for which it is very difficult to derive price indices and special steps must be taken to derive the corresponding volume measures.
A particular case is those of margin industries including financial services.
Output of a margin industry is usually calculated as the margin rate times the value of a transaction.
To determine a volume figure the base year rate is applied to the value of the transaction suitably deflated to base year values.
In the case of FISIM, the reference rate and the rates of bank interest are used in conjunction with figures of loans and deposits deflated by the general price increase since the base year.
15.115 In other cases where there is no suitable deflator to apply to a current value, volume indices may be derived by extrapolating the current values in the base period by suitable indicators.
15.116 The current value of the output of non-market goods and services produced by government units or NPISHs is estimated on the basis of the sum of costs incurred in their production, as explained in chapter 6.
This output consists of individual goods and services delivered to households and collective services provided to the community as a whole.
The fact that such output is valued on the basis of the value of inputs needed to produce them does not mean that it cannot be distinguished from the inputs used to produce it. In particular, the change in the volume of output can be different from the change in the volume of inputs.
Changes in productivity may occur in all fields of production, including the production of non-market services.
15.117 In practice, there are three possible methods of compiling volume estimates of the output of non-market goods and services.
The first is to derive a pseudo output price index such that when it is compared to the aggregate input price index the difference reflects the productivity growth thought to be occurring in the production process.
Pseudo output price indices can be derived in various ways, such as by adjusting the input price index according to the observed productivity growth of a related production process or by basing the growth of the pseudo output price index on the observed output price indices of similar products.
However, such data are rarely available for the goods and services produced by government and NPISHs.
15.118 The second approach, the “output volume method,” is recommended for individual services, in particular, health and education.
It is based on the calculation of a volume indicator of output using adequately weighted measures of output of the various categories of non-market goods and services produced.
These measures of output should fully reflect changes in both quantity and quality.
15.119 The third approach, called the “input method”, may be used for collective services such as defence for which the “output volume method” is hardly applicable because there are, in general, no adequate quality-adjusted quantity measures of output.
The “input method” consists of measuring changes in output by changes in the weighted sum of volume measures of all the inputs.
The latter should fully reflect both changes in quantity and quality.
They are generally best derived by deflating the various input costs by corresponding constant-quality price indices, or when such price indices are unavailable, using volume indicators that reflect input volume change (for example, number of hours worked by employees).
15.120 It is useful at this stage to define the terms input, activity, output and outcome.
Taking health services as an example, input is defined as the labour input of medical and nonmedical staff, the drugs, the electricity and other inputs purchased and the consumption of fixed capital of the equipment and buildings used.
These resources are used in the activity of primary care and in hospital activities, such as a general practitioner making an examination, the carrying out of a heart operation and other activities designed to benefit the individual patient.
The benefits to the patient constitute the output associated with these input activities.
Finally there is the health outcome, which may depend on a number of factors apart from the output of health care, such as whether or not the person gives up smoking.
15.121 The measurement of the volume of output of non-market individual services should avoid two pitfalls.
The first of these is that it should not be restricted to reflect the inputs or the activity of the unit producing the services.
Inputs are not an appropriate measure and while activities may be the only available indicator and hence have to be used, they too are an intermediate variable.
What should be measured is the service rendered to the customer.
The second risk is that if outcome is defined in terms of the welfare objectives of the non-market service (for example, changes in the quality of health for the measurement of the health service, or changes in the quality of education for the measurement of the education service) the change in the volume of the output of the non-market unit cannot be reflected by the change in the indicators of outcome.
This is because indicators of outcome can be affected by other aspects that are not directly related to the activity of the non-market services.
For example, in the case of health, it is well-known that there are many factors other than the output of the non-market health units, such as sanitation, housing, nutrition, education, consumption of tobacco, alcohol and drugs, pollution, whose collective impact on the health of the community may be far greater than that of the provision of health services.
Similarly, the output of education services is quite different from the level of knowledge or skills possessed by members of the community.
Education services consist principally of teaching provided by schools, colleges, universities to the pupils and students who consume such services.
The level of knowledge or skills in the community depends in addition on other factors, such as the amount of study or effort made by consumers of education services and their attitudes and motivation.
15.122 In the light of these observations, the “output volume method” is the recommended method for compiling indicators of volume change of non-market services.
The method is based on quantity indicators, adequately quality-adjusted, weighted together using average cost weights.
Two criteria should be respected to compile adequate indicators of volume change.
In the first place, the quantities and costs used should reflect the full range of services for the functional area under review and cost weights should be updated regularly.
If part of the costs of the functional area is not covered by the quantity indicator, it should not be assumed that the uncovered part follows the changes of the part that is covered.
If no direct output volume method is applicable for this part, an input method should be used for it. Secondly, quantity indicators should be adjusted for quality change.
For example, services should be sufficiently differentiated with the aim of arriving at categories that can be regarded as homogeneous.
An aspect of quality change is then captured by changes in the proportions of different categories if the weights assigned to each category are frequently updated.
In addition, the quantity indicator of each category can be augmented by an explicit quality adjustment factor.
One way of identifying explicit quality adjustment factors is by reviewing the effects that the service has on measures of outcome.
15.123 It is recommended these volume indicators be tested for a substantial period of time with the aid of experts in the domain prior to their incorporation in the national accounts.
Expert advice is particularly relevant in the areas of health and education, which usually dominate the provision of individual services.
Further, the consequences of the estimates including the implications for productivity measures should be fully assessed before adoption.
Unless and until the results of such investigations are satisfactory, it might be advisable to use the second best method, the “input method”.
15.124 Measuring changes in the volume of collective services is generally more difficult than measuring the volume changes in individual services because the former are hard to define and to observe.
One reason is that many collective services are preventative in nature, protecting households or other institutional units from acts of violence including acts of war, or protecting them from other hazards, such as road accidents, pollution, fire, theft or avoidable diseases are concepts that are difficult to translate into quantitative measures.
This is an area in which further research is needed.
15.125 When it is not possible to avoid using an input measure as a proxy for an output measure, the input measure should be a comprehensive one, it should not be confined to labour inputs but cover all inputs.
In addition, explanatory information should accompany the national estimates that draw users' attention to the methods of measurement.
15.126 Output for own final use falls into two categories, goods produced and consumed by households and fixed assets produced for own use.
Included in the above are changes in inventories of finished goods and work-in-progress.
15.127 For most output for own final use the use of pseudo output price indices is an effective, low-cost option.
For goods produced and consumed by households, CPIs are likely to be available for similar goods.
(However, for agricultural output grown and consumed by households, the price index used should not include any margins or taxes not actually incurred.)
Similarly, there are likely to be output price indices available for fixed assets such as equipment, buildings and structures produced for own use as capital formation.
For some types of fixed asset produced on own account there may be no output price indices available for similar products and different strategies may need to be considered.
This is discussed further in the section on gross fixed capital formation.
15.128 As noted earlier, the most robust way of estimating intermediate consumption in volume terms is within the framework of a supply and use table in volume terms where information on volume growth rates as well as price information may be used.
15.129 Countries that compile PPIs generally do so for outputs, though countries with developed statistical systems may also compile input PPIs.
Such input PPIs are directly applicable to the deflation of intermediate consumption.
15.130 If input PPIs are not compiled, output PPIs, MPIs and, to a limited extent, CPIs may be used instead.
Intermediate consumption is valued at purchasers' prices, while output PPIs are valued at basic prices.
There is thus a margin between the valuation of goods used as intermediate consumption at purchasers' prices and output PPIs, which is accounted for by transportation costs (unless the producer provides these services without a separate invoice), possible insurance costs, wholesale and retail trade margins and taxes less subsidies on products.
The size of this margin will depend on circumstances.
Often trade margins on goods for intermediate consumption are much smaller than for final consumption and the taxes may be smaller under a VAT system.
For services used as intermediate consumption, the difference in valuation usually consists of only taxes less subsidies on products.
15.131 Chapter 14 describes how the intermediate consumption part of the use matrix can be partitioned to show the domestic inputs at basic prices, imports, margins and taxes separately.
If this information is available, the quality of the resulting deflation exercise will be improved since it will not be necessary to use the assumption that import, tax and margin proportions apply uniformly across the elements of the rows of the use matrix.
15.132 When gross domestic product (GDP) is derived by summing final domestic expenditures and exports and subtracting imports, or by subtracting intermediate consumption from output and adding taxes less subsidies on products, volume measures of GDP can be obtained provided that the volumes being aggregated are additive, (that is, are based on the Laspeyres formula).
15.133 The gross value added of an establishment, enterprise, industry or sector is measured by the amount by which the value of the outputs produced by that establishment, enterprise, industry or sector exceeds the value of the intermediate inputs consumed.
This may be written as:
where the Q's refer to outputs, P's their basic prices, q's to intermediate inputs and p' s their purchasers' prices.
Value added in year t at prices of year t is given by:
while value added in year t at the prices of the base year, 0, is given by:
This measure of value added is generally described as being obtained by “double deflation” as it can be obtained by deflating the current value of output by an appropriate (Paasche-type) price index and by similarly deflating the current value of intermediate consumption.
15.134 While the double deflation method is theoretically sound, the resulting estimates are subject to the errors of measurement in the volume estimates of both output and intermediate consumption.
This may be especially true if output PPIs are applied to inputs, many of which are imported.
Because value added is the relatively small difference between two much larger figures, it is extremely sensitive to error.
It is therefore advisable to compare the growth rates of the price and volume measures of value added over recent years with the corresponding growth rates of output and intermediate inputs and, if possible, with volume estimates of inputs of labour and capital services to check for plausibility.
15.135 Because of the possible problems in trying to estimate value added using the double deflation approach, it is also common to estimate the volume movements of value added directly using only one time series, that is a “single indicator” method instead of double deflation.
One such single indicator method is to extrapolate value added in proportion to the volume changes in the corresponding levels of output.
15.136 The choice to be made between the use of a single indicator method (which may yield biased results) or a double deflation method (which may yield volatile results) must be based on judgement.
The same choice need not be made for all industry groups.
Further, the single indicator method may be used for quarterly figures until the year is complete and better double deflation estimates are available.
15.137 In certain non-market service industries, it may be necessary to estimate movements in the volume of value added on the basis of the estimated volume changes of the inputs into the industries.
The inputs may be total inputs, labour inputs on their own or intermediate inputs on their own.
For example, it is not uncommon to find the movement of the implicit volume of value added estimated by means of changes in compensation of employees at constant wage rates, or even simply by changes in numbers employed, in both market and non-market service industries.
(There is extensive work being carried out to improve these working assumptions by trying to measure the outputs of government-provided health and education more objectively.)
15.138 Compilers of data may be forced to adopt such expedients, even when there is no good reason to assume that labour productivity remains unchanged in the short- or long-term.
Sometimes, volume changes for intermediate inputs may be used, for example, short-term movements in value added in real terms for the construction industry may be estimated from changes in the volume of building materials consumed such as cement, bricks, timber, etc.
The use of indicators of this kind may be the only way in which to estimate short-term movements in output or value added, but they are not acceptable over long time periods.
15.139 Each of the components of the expenditure estimate of GDP should be expressed in volume terms.
The main approaches to deriving these estimates are described in turn below.
15.140 Household consumption expenditure should be deflated at as detailed a degree as possible.
In general this will involve making use of CPIs though care is needed to ensure that the coverage of the CPI being used matches the category of consumption expenditure being deflated.
Even where detailed estimates of consumption expenditure are not compiled from household surveys and other primary sources, having an estimate of household consumption expenditure by type of product from a supply and use table for deflation will significantly improve the estimate of consumption expenditure in volume terms as compared with the single deflation of a total figure only.
15.141 A major component where CPIs are unlikely to be available is the measure of the rental services of owner-occupied dwellings.
Three alternative approaches are outlined in chapters 10 and 23 of the CPI manual, but only the use-based approach is recommended for measuring the consumption of housing services in the national accounts.
This approach can take either a user-cost formulation that attempts to measure the changes in the cost to owner-occupiers of using the dwelling, or a rental-equivalence formulation based on how much owner-occupiers would have to pay to rent their dwellings.
The latter method is more generally adopted for CPIs.
15.142 The final consumption expenditure of general government and NPISHs consists of their non-market output less any revenue from incidental sales plus the value of goods and services purchased from market producers for onwards transmission to individual households at prices that are not economically significant less any partial payments.
(The derivation of this identity is discussed in chapter 9.)
15.143 Each of these items should be expressed in volume terms separately.
The problem of measuring non-market output in volume terms is discussed above.
For goods and services transferred to households, the price indices used should be those paid for the goods less the proportion that households pay.
If the proportion of the price paid by government (or NPISHs) alters from one year to another, this is seen as a volume change in expenditure on the part of both general government (or NPISHs) and households.
15.144 The availability of appropriate price indices for gross fixed capital formation varies considerably between different types of asset.
15.145 There are often CPIs for new dwellings and PPIs for new buildings and structures.
The costs of ownership transfer should be deflated separately.
The current value and volume estimates are usually derived from separate estimates of the constituent parts, legal fees, transport and installation costs etc.
15.146 For standard products used as capital formation, PPIs are likely to be available but much capital formation is specific to the purchaser and appropriate indices may have to be developed using the best information available.
15.147 Price indices for equipment vary considerably in their growth rates.
For example, price indices for computer equipment have fallen rapidly year after year while price indices for transport equipment have tended to increase.
It is important in such cases that the different types of equipment are deflated separately using the matching price indices (or, equivalently, an appropriately weighted Paasche price index is used to deflate the aggregate).
15.148 Intellectual property products are generally not well covered by available price indices.
There are several reasons for this.
One is that many intellectual products are produced for own use and there may be no observed market prices.
Another is that intellectual property products are very heterogeneous.
However, these are not insurmountable difficulties and there are strategies for addressing them.
As examples, the two major items in this category, software and databases and research and experimental development, are considered.
15.149 When deriving volume estimates of the capital formation of software and databases it is advisable to decompose software into three components: packaged (or off-theshelf), custom-made and own account and to deflate them and databases separately.
There are several reasons for doing this.
a. The three components of software and databases vary in the extent to which price data are available to compile price indices.
b. It is likely that their prices and volumes grow at different rates, particularly between packaged software, the other two software components and databases.
c. Despite the previous point, price indices for packaged software may be used to construct price indices for the other two software components if more appropriate price indices are unavailable.
d. Volume estimates of the items are useful indicators in their own right.
15.150 Packaged software is purchased on a very large scale, generally via licences-to-use and there is an abundance of price data available.
The challenge is to construct price indices free of the effects of changing specifications and any other aspects of quality change.
15.151 Custom-made software is also sold on the market, but each custom-made software product is a one-off, which presents an obvious problem for compiling price indices.
Although each custom-made product is different, different products may share common components, or a strategy used to develop one product may be able to be used for another.
This not only suggests a possible way of compiling a price index, but also suggests means by which productivity gains could be made that would put downward pressure on prices.
In section B the use of model pricing was outlined for measuring price changes of custom-made buildings.
A similar approach may be applied to custom-made software.
15.152 Methods for compiling price indices for heterogeneous groups of products and products whose specifications are changing rapidly are described in the Handbook on Hedonic Indices and Quality Adjustments and in Producer Price Index Manual: Theory and Practice, ( the International Labour Organization, International Monetary Fund, Organisation for Economic Co-operation and Development, United Nations, Economic Commission for Europe and the World Bank, 2004).
15.153 A substantial proportion of software in gross fixed capital formation is undertaken on own account.
Hence, it is not possible to derive a true output price index for such software.
It is then a matter of choosing between a pseudo output price index and an input price index, obtained by weighting together price indices of the inputs.
As already noted, input volume estimates used as a proxy for output do not reflect any productivity growth and so this is not recommended.
In the absence of a better alternative, the most obvious option is to use the price index for custom-made software.
15.154 Databases are generally heterogeneous products with a small market since most databases are made for in-house purposes.
For own-account software, it is difficult, if not impossible, to develop a true output price index and once again the choice is between a pseudo output price index and an input price index though a pseudo output index may be difficult to envisage.
15.155 Research and experimental development (R&D) is another activity that is often undertaken on own account.
However, given the heterogeneous nature of R&D, the choice for deflation lies between deriving pseudo output price indices and using input price indices.
15.156 Although changes in inventories may be small relative to other components of GDP, the fact that their relative size might change quite significantly from one period to the next means that they can make a significant contribution to changes in the size of GDP particularly in the quarterly national accounts.
For this reason, the calculation of changes in inventories in volume terms is particularly important.
However, it is also a challenging task.
As noted in paragraph 15.62, because changes in inventories can take positive, negative or zero values, a chain index should not be derived directly.
Chain volume estimates of changes in inventories should be derived by first deriving chain volume estimates of the opening and closing stocks of inventories and then differencing them.
15.157 Volume estimation should be undertaken at a detailed level for different types of inventories, (work-in-progress, finished goods, materials and supplies, goods for resale).
Deflation of stocks of inventories must be related to the composition of those inventories in terms of products rather than to the industry holding those inventories. PPIs, MPIs, CPIs and labour cost indices are all commonly used in deriving deflators, with adjustments to the appropriate valuation basis.
It is important to understand how enterprises value their inventories as this can provide information on not only the type of products but also the average length of time over which goods are kept in inventories.
15.158 When goods are sent abroad for processing without a change of ownership, it must be remembered that some inventories may be held outside the national territory but national prices should be applied to them to derive their corresponding volumes.
15.159 National statistical offices generally do not compile specific price indices for valuables.
The major constituents should be deflated using the most suitable price indices available.
15.160 Exports and imports consist of both goods and services.
For both exports and imports, goods and services are expressed in volume terms using quite different deflators because of the very different sources available for goods and services.
New initiatives are under way to improve price indices for external trade in services that should lead to improved data in this area.
15.161 The valuation of imports and exports of goods is discussed in chapter 14.
In principle, they should be valued when change of ownership between a resident unit and a nonresident owner takes place and include or exclude transportation costs according to whether the supplier does not or does include transportation to the purchaser in the price charged.
In practice, however, many countries are dependent for data on imports and exports of goods on customs declarations that value imports on a CIF basis but exports on a FOB basis.
This assumes that change of ownership always takes place at the border of the exporting country.
For balance of payments purposes, imports of goods should be converted to a FOB basis also but this is usually done at an aggregate level and may only be disaggregated in the supply and use context if at all.
15.162 Given the existence of detailed XPI and MPI for goods, it should be a simple matter to deflate the current value estimates of exports and imports of goods at as detailed a level as practical in order to approximate the use of Laspeyres volume or Paasche price indices.
In order to compile detailed volume estimates of imports of goods in the supply and use tables either the CIF estimates should be put onto a FOB basis or the MPIs need to be adjusted to a CIF basis.
The usual working assumption is that CIF and FOB approximate purchasers' and basic prices respectively but as explained in chapter 14, the adequacy of the approximation depends on circumstances surrounding transport margins.
15.163 XPIs and MPIs are compiled by three general methods the nature of which is largely dependent on the source data used.
The first and predominant method, at least in terms of the number of countries using it, is unit value indices compiled from detailed import and export merchandise trade data derived from administrative customs documents.
As pointed out in section B, unit value indices are not price indices since their changes may be due to price and (compositional) quantity changes.
However, they are used by many countries as surrogates for price indices.
The second method is to compile price indices using data from surveyed establishments on the prices of representative items exported and imported.
The surveyed prices will be of items that are defined according to detailed specifications so that the change in price of the same item specification can be measured over time.
The third method is a hybrid approach that involves compiling establishment survey-based price indices for some product groups and customs-based unit value indices for others.
15.164 The case for unit value indices derived from merchandise trade figures is based on the relatively low cost of such data.
Their use as deflators requires some caution as they have been shown to be subject to bias when compared with price indices.
The bias in unit value indices is mainly due to changes in the mix of the heterogeneous items recorded in customs documents, but also to the often poor quality of recorded data on quantities.
The former is particularly important in modern product markets given the increasing differentiation of products.
Unit value indices may suffer further in recent times due to an increasing lack of comprehensiveness of the source data with increasing proportions of trade being in services and by e-commerce and hence not covered by merchandise trade data.
Further, countries in customs and monetary unions are unlikely to have intra-union trade data as a by-product of customs documentation.
Finally, some trade may not be covered by customs controls, such as electricity, gas and water, or be of “unique” goods, such as ships and large machinery, with profound measurement problems for unit values.
15.165 As noted above, current data sources for price indices for international trade in services are less comprehensive than in other areas.
If MPIs and XPIs are available for exports and imports of services they can be readily used to derive the required volume estimates.
If they are not, volume estimates of exports of services can be mostly derived using an assortment of PPIs and CPIs. For example, volume estimates of freight transport services could be derived using PPIs according to the form of transport, while volume estimates of accommodation services could be derived using the appropriate CPIs.
If MPIs are not available for imports of services then price indices of the countries exporting the services, adjusted for changes in the exchange rate, may have to be used.
15.166 It must be remembered that if imports of goods are valued including transport services, then these transport services should be excluded from total imports of services.
15.167 Consider first a single type of asset.
The stock of this type of asset consists of a number of items, typically of different vintages, that are valued and aggregated with a consistent set of prices. “Consistent” is to be understood here meaning the prices relate to the same period or point in time and being based on the same price concept, such as purchasers' prices.
Measuring stocks at historical prices, that is, by adding up quantities that have been valued with prices of different periods is therefore an inconsistent valuation.
It is sometimes found in enterprise accounts but does not constitute an economically meaningful measure in the context of the SNA.
15.168 The price vector used to value the quantities of assets has to refer to a point in time (beginning or end of period) when the values of stocks are compiled for the opening or closing balance sheets.
For other purposes, quantities of assets may be valued with a price vector that refers to the average of an accounting period.
For example, measures of consumption of fixed capital may be derived by subtracting the closing stock of assets from the opening stock plus gross capital formation as long as average-period prices are used for each component in order to eliminate holding gains and losses (and assuming no other volume changes in assets).
15.169 The process by which many capital stock measures are constructed is the perpetual inventory method (PIM).
For a given type of asset, time series of gross fixed capital formation are deflated by means of the purchasers' price index of the same asset type, so that the quantities of assets are expressed in volume terms of a particular reference period.
These time series in volume terms are then aggregated to yield a stock measure, where account is taken of retirement, efficiency losses or consumption of fixed capital, depending on the nature of the stock measure constructed.
The resulting stock measure is thus expressed in volume terms of the reference period chosen.
This reference period may be the current period and stock measures valued in this way have often been labelled “current price capital stocks”. However, this is not entirely accurate; as the description of the PIM showed, deflation is needed to arrive at these measures.
Thus, they constitute a special case of a constant price valuation, namely valuation at the price vector of the current period.
15.170 Even when the PIM is not applied, for example in the case of direct surveys of assets, the valuation of different vintages of a particular asset should not use book values that reflect historical prices.
Consistent valuation requires that older vintages are valued by the prices of assets of specified ages at the point in time to which the survey refers.
15.171 The next step is to aggregate the movements in capital stocks of individual asset types in volume terms.
The use of linked or chain indices, as discussed earlier, is appropriate when building up a series that extends to the distant past since the current period price configuration will not remain representative.
15.172 Further details on the PIM, on the different types of capital stocks and their measurement are provided in chapter 20 and in Measuring Capital.
15.173 The price and volume measures considered up to this point relate mainly to flows of goods and services produced as outputs from processes of production.
However, it is possible to decompose some other flows directly into their own price and volume components.
15.174 The quantity unit for compensation of employees may be considered to be an hour's work of a given type and level of skill.
As with goods and services, different qualities of work must be recognized and quantity relatives calculated for each separate type of work.
The price associated with each type of work is the compensation paid per hour which may vary considerably between different types of work.
A volume measure of work done may be calculated as an average of the quantity relatives for different kinds of work weighted by the relative values of compensation of employees in the previous year or a fixed base year.
Alternatively, a “price” index may be calculated for work by calculating a weighted average of the proportionate changes in hourly rates of compensation for different types of work, again using relative compensation of employees as weights.
If a Laspeyres-type volume measure is calculated indirectly by deflating the compensation of employees at current values by an index of hourly rates of compensation, the latter should be a Paasche-type index.
15.175 Taxes on products are of two kinds, specific taxes linked to the volume of the product and ad valorem taxes levied on the value of the product.
A measure of the tax volume of the former can be derived by applying the base year rate of the specific taxes to suitably deflated current value figures of the items bearing the specific tax and for the latter by applying the base year ad valorem rates to current values of items subject to ad valorem taxes deflated by appropriate prices.
It is possible to derive a ratio of the tax data in current values and in volume terms but it is difficult to interpret this as a price index since it reflects changing tax rates and changing composition of the purchases of items subject to tax.
The calculation for subsidies is carried out in an analogous manner.
15.176 There is more discussion on this in paragraphs 14.148 to 14.152.
15.177 When GDP is determined as the difference between output and intermediate consumption plus taxes less subsidies on production, gross value added is derived as an accounting residual.
This is so in both current values and volume terms.
In order for there to be an identity between different estimates of GDP in volume terms, it is not possible to give a price and volume dimension to gross value added.
Rather the residual item is described as being “in real terms”. If volume estimates of consumption of fixed capital and compensation of employees are available, net operating surplus and net mixed income can be derived but only in real terms and without a volume and price dimension.
Thus it is not possible to derive an independent measure of GDP from the income approach since one item is always derived residually.
15.178 The limit to a set of integrated price and volume measures within the accounting framework of the SNA is effectively reached with net operating surplus.
It is conceptually impossible to factor all the flows in the income accounts of the SNA, including current transfers, into their own price and volume components into unequivocal price and volume components.
However, any income flow can be deflated by a price index for a numeraire set of goods and services to measure the increase or decrease of the purchasing power of the income over the numeraire but this is quite different from decomposing a flow into its own price and volume components.
A particular instance where this is common is in the calculation of the terms of trade effect on real income as described in section D.
15.179 In principle, the same methods used to derive annual volume estimates should be used to derive quarterly volume estimates.
Guidelines on data sources and methods for compiling price and volume quarterly estimates are given in chapters 3 and 9 of the Quarterly National Accounts Manual.
The main considerations are those described in paragraphs 15.45 to 15.50.
In practice, annual data are generally more comprehensive and accurate than quarterly data.
Although there are important exceptions, such as exports and imports of goods, the overall situation is one of a much richer and more accurate, albeit less timely, set of annual data than quarterly data.
For this reason, a sound approach is to compile balanced annual supply and use tables expressed in current values and in the prices of the previous year and to derive quarterly estimates that are consistent with them.
This approach lends itself to the compilation of annually chained quarterly Laspeyres volume measures, although it can be adapted to the compilation of annually chained quarterly Fisher measures, too.
15.180 The recommendations reached above on expressing national accounts in volume terms may be summarized as follows:
a. Volume estimates of transactions in goods and services are best compiled in a supply and use framework, preferably in conjunction with, and at the same time as, the current value estimates.
This implies working at as detailed a level of products as resources permit.
b. In general, but not always, it is best to derive volume estimates by deflating the current value with an appropriate price index, rather than constructing the volume estimates directly.
It is therefore very important to have a comprehensive suite of price indices available.
c. The price indices used as deflators should match the values being deflated as closely as possible in terms of scope, valuation and timing.
d. If it is not practical to derive estimates of value added in real terms from a supply and use framework and either the volume estimates of output and intermediate consumption are not robust or the latter are not available then satisfactory estimates can often be obtained using an indicator of output, at least in the short term.
For quarterly data this is the preferred approach, albeit with the estimates benchmarked to annual data.
An output indicator derived by deflation is generally preferred to one derived by quantity extrapolation.
e. Estimates of output and value added in volume and real terms should only be derived using inputs as a last resort since they do not reflect any productivity change.
f. The preferred measure of year-to-year movements of GDP volume is a Fisher volume index; changes over longer periods being obtained by chaining, that is, by cumulating the year-to-year movements.
g. The preferred measure of year-to-year inflation for GDP and other aggregates is, therefore, a Fisher price index; price changes over long periods being obtained by chaining the year-to-year price movements, or implicitly by dividing the Fisher chain volume index into an index of the current value series.
h. Chain indices that use Laspeyres volume indices to measure year-to-year movements in the volume of GDP and the associated implicit Paasche price indices to measure year-to-year inflation provide acceptable alternatives to Fisher indices.
i. Chain indices for aggregates cannot be additively consistent with their components whichever formula is used, but this need not prevent time series of values being compiled by extrapolating base year values by the appropriate chain indices.
j. A sound approach to deriving quarterly current value and volume estimates is to benchmark them to annual estimates compiled in a supply and use framework.
This approach lends itself to the construction of annually chained quarterly volume measures using either the Fisher or Laspeyres formulae.
15.181 Many flows in the SNA, such as cash transfers, do not have price and quantity dimensions of their own and cannot, therefore, be decomposed in the same way as flows related to goods and services.
While such flows cannot be measured in volume terms they can nevertheless be measured “in real terms” by deflating their values with price indices in order to measure their real purchasing power over some selected basket of goods and services that serves as the numeraire.
15.182 It is possible by use of a numeraire to deflate any income flow in the accounts and even a balancing item such as saving may be deflated by a price index in order to measure the purchasing power of the item in question over a designated numeraire set of goods and services.
By comparing the deflated value of the income with the actual value of the income in the base year, it is possible to determine by how much the purchasing power of the income has increased or decreased.
Income deflated in this way is generally described as “real income”.
15.183 Despite the terminology used, “real” incomes are artificial constructs that are dependent on two points of reference.
a. Real incomes are measured with reference to the price level in some selected reference year; they vary depending upon the choice of reference year.
b. Real incomes measure changes in purchasing power over some selected numeraire; they vary according to the choice of numeraire.
15.184 As there may often be no obvious or uncontroversial choice of numeraire there has always been some reluctance to show real incomes in national accounts on the grounds that the choice of numeraire should be left to the user of the statistics and not the compiler.
However, when major changes in prices occur, it can be argued that compilers of statistics are under an obligation to present at least some measures of real income.
Not all users of the accounts have the opportunity, inclination or expertise to calculate the real incomes which may be most suited to their needs.
Moreover, there is a demand from many users for multipurpose measures of real income, at least at the level of the economy as a whole and the purpose of this section is to indicate how such measures may be compiled.
15.185 In a closed economy without exports or imports, GDP is equal to the sum of final consumption plus capital formation.
This sum is described as domestic final expenditures.
GDP is also a measure of the income generated in the economy by production.
Although income cannot be expressed as the product of prices and volumes, if GDP can be deflated, then in effect this must also be a measure of income in real terms.
However, with the inclusion of imports and exports, GDP is no longer identical to domestic final expenditure and deflation of GDP must allow for the deflation of imports and exports as well as of domestic final expenditures.
Even if imports and exports are equal in current values, they usually have different prices so there is an impact on real income measures of import and export prices.
This is generally done by considering the terms of trade and calculating what is known as the trading gains and losses from changes in the terms of trade.
15.186 Further, the total real income that residents derive from domestic production depends also on the rate at which exports may be traded against imports from the rest of the world.
15.187 The terms of trade are defined as the ratio of the price of exports to the price of imports.
If the prices of a country's exports rise faster (or fall more slowly) than the prices of its imports (that is, if its terms of trade improve) fewer exports are needed to pay for a given volume of imports so that at a given level of domestic production goods and services can be reallocated from exports to consumption or capital formation.
Thus, an improvement in the terms of trade makes it possible for an increased volume of goods and services to be purchased by residents out of the incomes generated by a given level of domestic production.
15.188 Real gross domestic income (real GDI) measures the purchasing power of the total incomes generated by domestic production.
It is a concept that exists in real terms only.
When the terms of trade change there may be a significant divergence between the movements of GDP in volume terms and real GDI.
The difference between the change in GDP in volume terms and real GDI is generally described as the “trading gain” (or loss) or, to turn this round, the trading gain or loss from changes in the terms of trade is the difference between real GDI and GDP in volume terms.
The differences between movements in GDP in volume terms and real GDI are not always small.
If imports and exports are large relative to GDP and if the commodity composition of the goods and services that make up imports and exports is very different, the scope for potential trading gains and losses may be large.
This may happen, for example, when the exports of a country consist mainly of a small number of primary products, such as cocoa, sugar or oil, while its imports consist mainly of manufactured products.
Trading gains or losses, T, are usually measured by the following expression:
where
X = exports at current values
M = imports at current values
Px = the price index for exports
Pm = the price index for imports
P = a price index based on some selected numeraire.
Px, Pm and P all equal 1 in the base year.
The term in brackets measures the trade balance calculated at the export and import prices of the reference year whereas the first term measures the actual current trade balance deflated by the numeraire price index.
It is perfectly possible for one to have a different sign from the other.
15.189 There is one important choice to be made in the measurement of trading gains or losses, the selection of the price index P with which to deflate the current trade balance.
There is a large but inconclusive literature on this topic, but one point on which there is general agreement is that the choice of P can sometimes make a substantial difference to the results.
Thus, the measurement of real GDI can sometimes be sensitive to the choice of P and this has prevented a consensus being reached on this issue.
15.190 It is not necessary to try to summarize here all the various arguments in favour of one deflator rather than another, but it is useful to indicate the main alternatives that have been advocated for P. They can be grouped into three classes, as follows.
a. One possibility is to deflate the current balance, X-M, either by the import price index (which has been strongly advocated) or by the export price index, with some authorities arguing that the choice between Pm and Px should depend on whether the current trade balance is negative or positive.
b. The second possibility is to deflate the current balance by an average of Pm and Px various different kinds of averages have been suggested, simple arithmetic or harmonic averages, or more complex trade weighted averages.
c. The third possibility is to deflate the current balance by some general price index not derived from foreign trade; for example, the price index for gross domestic final expenditure, or the consumer price index.
15.191 The failure to agree on a single deflator reflects the fact that no one deflator is optimal in all circumstances.
The choice of deflator may depend on factors such as whether the current balance of trade is in surplus or deficit, the size of imports and exports in relation to GDP, etc.
On the other hand, there is general agreement that it is highly desirable and, for some countries vitally important, to calculate the trading gains and losses resulting from changes in the terms of trade.
In order to resolve this deadlock it is recommended to proceed as follows:
a. Trading gains or losses, as defined above, should be treated as an integral part of the SNA;
b. The choice of appropriate deflator for the current trade balances should be left to the statistical authorities in a country, taking account of the particular circumstances of that country;
c. If the statistical authorities within a country are uncertain what is the most appropriate general deflator P to be used, some average of the import and export price indices should be used, the simplest and most transparent average being an unweighted arithmetic average of the import and export price indices.
(This is referred to in the specialist literature on the subject as the Geary method.)
15.192 These proposals are intended to ensure that the failure to agree on a common deflator does not prevent aggregate real income measures from being calculated.
Some measure of the trading gain should always be calculated even if the same type of deflator is not employed by all countries.
When there is uncertainty about the choice of deflator, an average of the import and the export price indices is likely to be suitable.
15.193 The usual way to calculate real income figures is to start from real GDI and then follow the normal sequence of income aggregates, but with every intervening adjustment deflated to real terms.
This is illustrated as follows:
a. Gross domestic product in volume terms;
plus the trading gain or loss resulting from changes in the terms of trade;
b. equals real gross domestic income;
plus real primary incomes receivable from abroad;
minus real primary incomes payable abroad;
c. equals real gross national income;
plus real current transfers receivable from abroad;
minus real current transfers payable abroad;
d. equals real gross national disposable income;
minus consumption of fixed capital in volume terms;
e. equals real net national disposable income.
15.194 The transition from (a) to (b) is the trading gain from changes in the terms of trade explained immediately above.
The steps needed in order to move from (b) to (d) above involve the deflation of flows between resident and nonresident institutional units, namely, primary incomes and current transfers receivable from abroad and payable to abroad.
There may be no automatic choice of price deflator, but it is recommended that the purchasing power of these flows should be expressed in terms of a broadly based numeraire, specifically the set of goods and services that make up gross domestic final expenditure.
This price index should, of course, be defined consistently with the volume and price indices for GDP.
15.195 Each step in the process should first be calculated for adjacent years in additive volume terms and longer series derived as chain indices.
15.196 A possible alternative approach is to move from GDP in volume terms to net domestic final expenditure in volume terms and then make a single adjustment for the impact on purchasing power of the current external balance using the deflator for net final domestic expenditure to reduce the current external balance to real terms.
The advantage of this alternative is a single numeraire, the set of goods and services making up net domestic final expenditures being used throughout.
It may be easier, therefore, to grasp the significance of real net national disposable income as this deflator is explicit.
15.197 However, the alternative framework measures the trading gain or loss by using the deflator for net domestic final expenditures as the general deflator P, for the trading gain or loss from changes in the terms of trade whereas it can be argued that P ought always to be based on flows which enter into foreign trade.
On balance, therefore, the original framework presented above is to be preferred.
15.198 Users want to compare GDP and its components not only over time for a given country or countries in analyzing economic growth, for example, but also across countries for a given time period in analyzing relative economic size.
A commonly used method of making such comparisons is to adjust national accounts values to a common currency using exchange rates, which has the advantage that the data are readily available and completely up to date.
This is adequate if users need a ranking of a country's relative spending power on the world market.
However, it is not adequate for comparisons of productivity and standards of living because it does not adjust for the differences in price levels between countries and thus does not give a measure of countries' relative sizes in the volume of goods and services they produce.
15.199 Purchasing power parities (PPPs) are used in producing a reliable set of estimates of the levels of activity between countries, expressed in a common currency.
A purchasing power parity (PPP) is defined as the number of units of B's currency that are needed in B to purchase the same quantity of individual good or service as one unit of A's currency will purchase in A.
Typically, a PPP for a country is expressed in terms of the currency of a base country, with the US dollar commonly being used.
PPPs are thus weighted averages of the relative prices, quoted in national currency, of comparable items between countries.
Used as deflators, they enable cross-country comparisons of GDP and its expenditure components.
15.200 This section first examines the index number issues in aggregate comparisons of prices and volumes across countries.
The ICP produces internationally comparable economic aggregates in volume terms as well as PPPs and price level indices (PLIs).
Established in 1968, the ICP has grown to cover all regions of the world and for the 2005 round involved 107 countries.
The results were combined with the OECD/Eurostat PPP program for 43 countries, bringing the total to 150 countries.
15.201 Compiling PPP-based data is a costly and time-consuming exercise, so it is not possible to make such comparisons as a matter of course.
Worldwide coordination is required to collect the data and compile the PPP-based estimates.
However, national accountants in participating countries need to understand the basic principles of the comparison and the practical demands that are made on them for data to compile PPP indices and thus GDP volume comparisons.
This material is the subject of the last part of this section.
15.202 The theory of index numbers developed in a time series context cannot be applied mechanically to international comparisons simply by replacing the term “period” by the term “country.” International comparisons differ in a number of respects.
a. Time series are ordered by the date of the observation, but countries have no such a priori ordering.
In consequence there is no predetermined way to order countries when compiling chain indices.
b. For international price comparisons different price collectors will be reporting on the prices of the items in different countries.
There thus is a need for flexible but detailed structured product descriptions (SPDs) for each item so that only the prices of like items are compared, either by comparing the prices of exactly the same item specification drawn from the SPD in both countries, or by adjusting the prices of different specifications drawn from the SPD for quality differences.
c. International comparisons are conducted on a less regular basis, in part because they present a large scale coordination challenge, involving the statistical offices of all participating countries as well as international organizations.
15.203 At the heart of the PPPs are price comparisons of identical or closely similar product specifications.
The 2005 ICP round used SPDs to define these specifications and to ensure the quality of the detailed price comparisons.
For each item there is a specification describing the technical characteristics of the item in detail so a price collector can precisely identify it in the local market.
Besides the technical characteristics, the specification also includes other variables that need to be considered when pricing the item, such as the terms of sales, accessories and transportation and installation costs.
The database formed from these structured descriptions and the prices collected for them permit more precise matching of items between countries.
15.204 Two critical criteria in selecting products to be priced for calculating PPPs are “representativity” and “comparability”. Representative products are those products that are frequently purchased by resident households and are likely to be widely available throughout a country.
Representativity is an important criterion in the ICP because the price levels of non-representative products are generally higher than those of representative products.
Therefore, if one country prices representative products while another prices non-representative products in the same expenditure category, then the price comparisons between the countries will be distorted.
On the other hand, comparability relates to the physical characteristics of a product.
Products are considered to be comparable if their physical characteristics, such as size and quality, and economic characteristics, such as whether candles are used as a primary source of light or are primarily decorative, are identical.
15.205 In practice, difficult trade-offs are involved in selecting products that are both representative and comparable to use in calculating PPPs. The product lists for calculating PPPs are developed in a way that balances the competing aims of within-country representativity and cross-country comparability.
In this respect, they are generally quite different from the products that would be priced by any individual country to compile its price indices (such as the consumer price index or any of a range of producer price indices) and which are used in producing the deflators used to calculate volume estimates in the time series national accounts.
In the case of time series within a country, representativity is the key criterion in selecting the products to be priced while comparability with other countries is unimportant.
Once a representative product is selected for pricing, the important issue is to price the same product in subsequent periods so that price changes in the product can be measured over time.
For the ICP, representativity is required only at a point in time and not over time.
15.206 PPPs are calculated and aggregated in two stages: estimation of PPPs at the level of basic headings and aggregation across basic heading PPPs to form higher-level aggregates.
The estimation of basic heading level PPPs is based on price ratios of individual products in different countries.
Typically no information about quantities or expenditures is available within a basic heading and, thus, the individual price ratios cannot be explicitly weighted when deriving PPPs for the whole basic heading.
Two aggregation methods dominate PPP calculations at this level, the EKS method (described below) and the Country Product Dummy (CPD) method.
A description of these methods can be found in chapter 11 of the 2005 ICP Methodological Handbook.
Weights are of crucial importance at the second stage when the basic heading PPPs are aggregated up to GDP.
The main approaches used in the aggregation are summarized in the paragraphs below.
15.207 As outlined in section C, the monetary value of GDP, or one of its components, (IV) reflects the combined differences of both price and quantities, that is: LP x PQ = IV or LQ x PP = IV.
Price and volume indices may be compiled between pairs of countries using the same kinds of index number formula as those used to measure changes between time periods.
A Laspeyres-type price index for country B compared with country A is defined as:
and a Paasche-type index as:
where the weights
and
are component shares of GDP at current values of countries A and B.
15.208 Given the complementary relationships between Laspeyres and Paasche price and volume indices noted earlier, it follows that a Laspeyres-type volume index for B compared with A can be derived by deflating the ratio of the values in B to A, each expressed in their own currencies, by the Paasche-type price index (20b).
A Paasche-type volume index is similarly derived by deflating the ratio of values of B to A by a Laspeyres-type price index (20a).
15.209 The differences between the patterns of relative prices and quantities for two different countries tend to be relatively large, compared with those between time periods for the same country.
The resulting large spread between the Laspeyres- and Paasche-type intercountry price and volume indices in turn argues for an index number formula, such as Fisher, that makes symmetric use of both country's price and quantity information.
15.210 The need for multilateral international comparisons may arise, for example, to determine GDP aggregates for blocks of more than two countries or rankings of the volumes of GDP, or per capita GDP, for all the countries in a block.
It is desirable that such rankings are transitive.
15.211 Consider a group of m countries.
As binary comparisons of volumes and prices may be made between any pair of countries, the total number of possible binary comparisons is equal to m (m-1)/2. Let the price, or volume, index for country j based on country i be written as iIj.
A set of indices is said to be transitive when the following condition holds for every pair of indices in the set:
This condition implies that the direct (binary) index for country k based on country i is equal to the indirect index obtained by multiplying the direct (binary) index for country j based on country i by the direct (binary) index for country k based on country j.
If the entire set of indices is transitive, the indirect indices connecting pairs of countries are always equal to the corresponding direct indices.
In practice, none of the standard index formulae in common use, such as Laspeyres, Paasche or Fisher, is transitive.
15.212 The objective is to find a multilateral method that generates a transitive set of price and volume measures while at the same time assigning equal weight to all countries.
There are four quite different approaches that may be used.
The first approach achieves transitivity by using the average prices within the block to calculate the multilateral volume indices.
The second approach starts from the binary comparisons between all possible pairs of countries and transforms them in such a way as to impose transitivity.
The third method uses regression techniques to estimate missing prices by using price relatives for other products on a country-by-country basis.
The fourth method is a multilateral chaining method based on linking bilateral comparisons such that countries that are most similar in their price structures are linked first.
15.213 The most widely used form of the block approach uses the average prices of the block to revalue quantities in all countries in the block.
This automatically ensures transitivity.
The volume index for country B relative to country A is defined in the first expression in equation (20) as:
and can be seen to be transitive.
The average price
for each individual good or service is defined as its total value in the block, expressed in some common currency, divided by its total quantity:
and the summation is over the m different countries in the block.
The term cj in expression (23) is a currency converter which could be either a market exchange rate or a PPP used to convert each country's expenditure on item i, vi = piqi into the common currency.
15.214 The most common block method is the Geary Khamis (GK) method in which the currency converters used in (23) are the PPPs implied by the volume indices defined by (20).
In this method, the average prices and PPPs are interdependent being defined by an underlying set of simultaneous equations.
In practice, they can be derived iteratively, initially using exchange rates as currency converters for average prices, for example.
The resulting volume indices are then used to derive the implied set of PPPs, which are themselves used in turn to calculate a second set of average prices, volume indices and PPPs, etc.
15.215 The advantages of a block method such as the GK method include:
a. The block of countries is recognized as an entity in itself;
b. The use of a single vector of prices ensures transitivity and the volume measures are additively consistent and can be presented in value terms using the average prices of the block (it is possible to present the results for a group of countries in the form of a table with countries in the columns and the final expenditure components in the rows, in which the values add up in the columns as well as across the rows); and
c. It is possible to compare ratios, such as the shares of GDP devoted to gross fixed capital formation, because the same vector of prices is used for all countries.
15.216 However, comparisons between any two countries, based on the multilateral block results, may not be optimally defined.
It was shown in the description on transitivity that best practice price and volume comparisons between countries A and B should make symmetric use of information on their prices and quantities.
If A's relative prices are higher than average and B's are lower, the use of average prices decreases A's expenditures expressed in average international prices and increases those of B relative to a country whose prices are close to the international average.
Such a disparity is often noted in the case of services between developed and developing countries.
Consequently, when using the GK method, PPP-based expenditures are generally overstated for poor countries.
15.217 An alternative approach to the calculation of a set of multilateral volume measures and PPPs is to start from the binary comparisons between all possible m (m-1)/2 pairs of countries.
If each binary comparison is considered in isolation, the preferred measure is likely to be a Fisher index.
15.218 Fisher indices are not transitive but it is possible to derive from them a set of m-1 transitive indices that resemble the original Fisher indices as closely as possible, using the least squares criterion.
Minimizing the deviations between the original Fisher indices and the desired transitive indices leads to the so-called EKS formula, proposed independently by Elteto, Koves and Szulc.
15.219 The EKS index between countries i and k is the geometric average of the direct index between i and k and every possible indirect index connecting countries i and k, in which the direct index is given twice the weight of each indirect index.
Transitivity is achieved by involving every other country in the block in the EKS index for any given pair of countries.
15.220 The EKS index:
a. provides the best possible transitive measure for a single aggregate between a pair of countries, in much the same way as a chain Fisher index may provide the best possible measure of the movement of a single aggregate over time;
b. gives equal weights to the two countries being compared; and
c. is not affected by the relative sizes of the countries, a desirable attribute.
However, the consequences are similar to those for chain indices in a time series context.
It is not possible to convert the EKS volume indices for an aggregate and its components into a set of additively consistent values.
This is in contrast to the GK method.
15.221 The outline of the above methods assumes that there is one set of comparisons comprising all the countries in a block.
As the number of countries participating increases, it becomes difficult to administer them as a single group.
Moreover, it is difficult to find items that are both nationally representative and globally comparable at the same time for countries far apart both geographically and in their level of development.
There are thus advantages to a regionalized approach to the compilation of PPPs. Product specifications are prepared for each region and independent sets of PPPs prepared for countries on a region by region basis.
15.222 While this approach probably improves the quality of PPPs at the regional level, there is still the need to combine the regions to obtain a global comparison.
Traditionally, a “bridge country” was chosen to provide the link between regions.
The bridge country participated in the price surveys of more than one region.
The ring approach extends this idea and identifies a subset of countries in each region to act as “ring countries”. These countries comprise a synthetic “region” that intersects with all of the regions whose comparisons are to be linked together.
15.223 The method chosen depends on a number of factors including the purpose of the analysis, level of aggregation, sparseness of data, whether the aggregation is within regions, across ring countries, or for the whole data set and the importance attributed to additivity and symmetric treatment of countries.
15.224 One of most important uses of PPPs is to calculate comparable estimates of GDP and its major components, expressed in a common currency where the effects of differences in price levels between countries are removed.
The national accounts are integral to PPP estimates in two ways.
In the first place, the national accounts provide the weights that are used to aggregate prices from a detailed level to broader aggregates, up to GDP itself.
Secondly, the national accounts provide the values that are “deflated” by the PPPs to provide the volumes (also referred to as “real expenditures”) expressed in a common currency that enable GDP and its expenditure components to be compared between countries.
15.225 The PPP exercise also produces comparative price level indices (PLI).
A PLI is the ratio of the PPP for a country relative to the official exchange rate, both measured with respect to a reference currency.
PLIs are generally expressed on a base of 100, with the base being either a single reference country or a regional average.
15.226 If a country has a PLI less than 100, then its price level is lower than the numeraire country (or region).
Similarly, any pair of countries can be compared directly.
If one has a PLI less than the other, then the country with the lower PLI would be considered “cheap” by the other country, regardless of whether its PLI is above or below 100.
15.227 In practice, PPPs do not change rapidly over time and so a large change in a country's PLI is usually due to a large change in exchange rates.
15.228 It is important that the volumes in the ICP not be confused with the time series volumes described earlier in this chapter because they are different measures, although there are some similarities in that they are both designed to measure values that have had the direct effects of price differences removed from them.
In a time series of volumes, the effects of price changes from one period to another are removed to produce the volume measures from which rates of economic growth are calculated.
In the case of an intercountry comparison, which is the basis for PPP-based volume measures, the effects of differences due to exchange rates and those due to different price levels within each country are removed from the national accounts values to provide a comparison between the volumes in the countries concerned.
15.229 The lowest level for which PPPs can be compared across all countries involved in a comparison is referred to as the “basic heading” and it is also the lowest level for which national accounts values are required as weights.
In effect, the national accounts values provide the weights to aggregate the basic heading level data to broader national accounting aggregates, including GDP itself.
The basic heading is also the level at which product specifications are determined, with a number of products representative of the expenditure within each basic heading being specified for pricing.
15.230 Expenditure-based estimates of GDP have been used in most PPP-based comparisons during the past half-century or so because the prices for final expenditures are more readily observable than those for outputs and inputs, which would be required for a comparison of the production-based estimates of GDP.
Consistency in the national accounts is critical in producing comparable estimates across countries so the SNA has played an important part in PPP-based comparisons by providing the framework for obtaining consistent estimates of GDP and its major aggregates.
15.231 The ICP is the broadest-based project to produce PPPs; about 150 countries participated worldwide in the 2005 round of the ICP.
The volume estimates produced from the 2005 ICP present a snapshot of the relationships between countries from all over the world, expressed in a common currency.
The ICP is a very expensive and resource-consuming project and so it provides benchmarks at infrequent intervals.
As a result, PPP benchmarks, such as the one from the 2005 ICP, have to be extrapolated using time series from the national accounts of the countries involved.
It is interesting to compare the outcomes of an extrapolation with the benchmarks from two sets of PPPs compiled several years apart.
In practice, the extrapolated series do not tie in exactly with the benchmarks and there are several reasons for the differences that arise.
An important one is the issue of the consistency between the prices used in the time series national accounts and those used in calculating PPPs as explained in the section on representativity and comparability earlier.
Further, the price and volume structure may change significantly over time in a way not picked up in the extrapolation techniques.
15.232 The method commonly used to extrapolate PPPs from their benchmark year to another year is to use the ratio of the national accounts deflators from each country compared with a numeraire country (generally the United States of America) to move each country's PPPs forward from the benchmark.
The PPPs derived are then applied to the relevant national accounts component to obtain volumes expressed in a common currency for the year in question.
15.233 Theoretically, the best means of extrapolating PPPs from a benchmark year would be to use time series of prices at the individual product level from each country in the ICP to extrapolate the prices of the individual products included in the ICP benchmark.
In practice, it is not possible to use this type of procedure in extrapolating PPP benchmarks because the detailed price data needed are not available in all the countries.
Therefore, an approach based on extrapolating at a macro level (for GDP or for a handful of components of GDP) is generally adopted.
Leaving aside the data problems involved in collecting consistent data from all the countries involved, a major conceptual question arises with this process because it can be demonstrated mathematically that it is impossible to maintain consistency across both time and space.
In other words, extrapolating PPPs using time series of prices at a broad level such as GDP will not result in a match with the benchmark PPP-based estimates even if all the data are perfectly consistent.
15.234 One of the reasons for differences between GDP time series and PPP benchmark comparisons stems from the definition of a product.
As explained in paragraphs 15.66 to 15.67, location is an essential product characteristic in the national accounts whereas the PPP comparisons use average prices of the whole country.
Another problem is that the weighting patterns underlying the deflators in the time series national accounts will differ from those in the PPP benchmarks over time.
In addition, as noted above, the products priced for the PPPs will differ from those underlying the time series because of the requirements in spatial price indices for representativity within each country and comparability between countries, while in time series the main requirement is for consistency over time.
Generally, many more products will be priced for a country's price indices than it is possible to price for calculating PPPs.
Finally and often most critically, the prices underlying the deflators in the national accounts are adjusted to remove changes in quality over time and the methods of making such quality adjustments can differ significantly between countries.
In particular, the extent of using hedonic methods for adjusting products whose characteristics change rapidly varies significantly from country to country.
Electronic products (such as computers) feature prominently in hedonic quality adjustment, although some countries also use hedonics to quality adjust products such as clothing and housing.
Comparing price changes in a country that uses hedonics in quality adjusting the price indices underlying its national accounts deflators with those in one that does not do so will lead to potentially large inconsistencies between the benchmarks and the extrapolated series.
15.235 Possibly the single biggest factor that affects the difference between extrapolated GDP series and PPP benchmark results is due to exports and imports.
GDP volume measures in the national accounts are unaffected by changes in terms of trade whereas they influence real GDP in spatial comparisons directly.
For example, an increase in energy prices results in an increase in nominal GDP.
In a spatial comparison, the outcome will be an increase in GDP volumes for energy exporting countries relative to other countries because the net trade PPPs are based on exchange rates, which do not respond to a change in the terms of trade to a significant extent in the short term.
The result is that the increase in the terms of trade is treated as a volume effect in the PPP-based benchmark.
On the other hand, in the national accounts of energy exporting countries, GDP volumes remain unchanged if the same amount of energy is exported and so the increase in the terms of trade is treated as a price effect, which is observed in the GDP deflator used as the price extrapolator.
15.236 Another area that leads to consistency problems between countries' PPP-based volumes is the group of so-called “comparison-resistant services”. They are predominantly (although not exclusively) non-market services, with government services being a major part of the non-market services that have to be priced for PPP projects.
The main problems in pricing non-market services relate to the quality of the services being produced and the productivity of the labour used in producing them.
One of the conventions used in producing the estimates for the government sector in most countries' national accounts is that the value of output is measured as the sum of the labour and material inputs used in producing the service(s), which involves an assumption that an increase in costs translates into an equivalent increase in output.
In addition, an assumption that is commonly made in the national accounts is that the productivity of the labour involved in producing such services does not change over time either.
A similar assumption, that productivity is identical in all the countries in a comparison, generally has to be made between countries in calculating PPPs.
It is a reasonable assumption when countries at roughly the same level of economic development are involved in the PPP comparison.
However, when countries at very different levels of economic development are being compared then the validity of the assumption breaks down.
15.237 The choices faced by the compilers of PPPs are either to assume that productivity levels are identical across countries, even when they are at very different stages of economic development, or to adjust the non-market services estimates in some way to account for productivity differences.
Apart from the problems involved in determining an appropriate conceptual approach to adjust for productivity differences between disparate economies, obtaining the data required to make such adjustments also proves problematical particularly when the method involves adjustments based on relative levels of capital intensity in the countries involved.
Despite the problems, it is sometimes necessary to make productivity adjustments for non-market services because the problems involved in doing so are rather less than the consequences of assuming equal productivity in all the countries in a comparison.
15.238 PPP-based comparisons of activity levels between countries are an important use of national accounts.
Despite the conceptual and empirical difficulties, PPP-based volumes provide a much firmer basis for international comparisons than the commonly used alternative of converting national accounts aggregates to a common currency using exchange rates.
16.1 This chapter provides a synthesis of the sequence of accounts presented in chapters 6 to 13 and shows how they relate to the tables in chapter 2.
It shows how the most common aggregates in the SNA, GDP, NDP and GNI are related to the balancing items in the various accounts.
It shows the impact on national aggregates of transactions undertaken between a resident unit and one resident in the rest of the world.
It describes the articulation of the accumulation accounts.
16.2 The chapter lays the groundwork for greater elaboration of the accounts, in both manners of presentation and further analysis that form the subject matter of later chapters.
16.3 The tables presented in the previous chapters use a format very common in published tables; the items representing resources are shown in the right-hand side of the table and the items representing uses in the left-hand side of the table.
This format is flexible because it allows a multiple number of columns to be shown for both parts of the table and even for the two parts to be shown on different pages if the columns are sufficiently numerous.
However, there is another format for the tables that is particularly useful for explanatory purposes, the T account.
16.4 In a T account, only one set of descriptive headings (stubs) is shown in the middle of the table with values representing resources in columns to the right and values representing uses in columns to the left.
An example of a T account is given in table 16.1.
The rows in the table show the rows from tables 6.1, 7.1, 7.2, 8.1 and 9.1 at a high level of aggregation.
Data for the individual sector accounts are not shown but the total for the economy as well as for the rest of the world and the total of both these are shown.
In addition, the column for the goods and services account is retained.
16.5 The current accounts included in table 16.1 consist of the production account and accounts showing the primary distribution of income, the secondary distribution of income and the use of income.
In addition to these accounts, table 16.1 begins with imports and exports of goods and services, the entries from the rest of the world account that show the value of goods and services that reach the national economy from the rest of the world and those that are produced in the national economy but are provided to the rest of the world.
16.6 The immediately following rows show the main entries from the production account, output and taxes less subsidies on the resource side and intermediate consumption on the use side.
The balancing item for the production account, value added, appears next, also on the use side as the closing item of the production account.
Value added is the basic building block for determining GDP.
16.7 The next few rows correspond to the generation of income account.
This is the first part of the primary distribution of income account.
Value added, the balancing item from the production account, appears as the only entry on the resources side of the account.
The entries on the left-hand side of the account under uses show how much of value added is generated by labour in the form of compensation of employees and how much of the value of output is payable to government in the form of taxes on products less subsidies on products not already included in the value of output.
The balancing items, operating surplus and mixed income, represent the contribution of capital to the generation of value added.
16.8 In the allocation of primary income account, these contributions to value added appear as resources of the relevant sectors; compensation of employees to households, taxes less subsidies to government and operating surplus and mixed income to the sectors containing the relevant production units.
In addition, however, the allocation of primary income account shows how much of each of these three items is payable to nonresident units and where comparable items generated in non-resident units are payable to resident sectors.
Table 16.1: Summary of the current accounts in the sequence of accounts
Table 16.2: Summary of the accumulation accounts and balance sheets
16.9 In the course of production, producers may have made use of financial and non-produced assets belonging to other units.
The payments for the use of these assets are shown as property income.
Property income may be payable by residents or non-residents and may be receivable by residents or non-residents.
Once the values for three of them are known, the value of the last is necessarily determined.
For example, property income receivable by residents must be equal to property income payable by both residents and non-residents less property income receivable by non-residents.
Thus property income receivable by both residents and non-residents (shown under resources) must be equal to property income payable by both residents and non-residents (shown under uses).
16.10 Value added as a resource plus the resource entries of compensation of employees, operating surplus, mixed income and property income, less the corresponding entries for these items as uses leads to the balance of primary incomes.
This is the balancing item for the allocation of primary income account shown as a use, and the first item, a resource, of the secondary distribution of income account.
16.11 From the balance of primary incomes, another key aggregate of the SNA, national income, is derived.
Value added is determined by the criterion of residence; all resident units and only resident units contribute to the total.
For the balance of primary income, however, the focus changes not just from production to income but to the residence of the units receiving the income generated by production rather than the residence of the producing units themselves.
Further discussion of national income appears below in connection with the discussion of the rest of the world account.
16.12 The secondary distribution of income account shows how primary income is transformed to disposable income by the payment and receipt of current transfers.
Various factors stimulate redistribution of income between sectors of the economy.
One of these is the role of government in levying current taxes on income and wealth; one is the role played by social insurance schemes in redistributing contributions by current workers to retirees; another is the role of insurance in providing a mechanism whereby small regular payments by many units are channelled to a few units suffering predefined sorts of losses.
Among other types of current transfers, the role of purely voluntary transfers is of increasing interest.
Such transfers may provide the main source of finance for NPISHs, in the form of international cooperation between governments, or may be between resident and non-resident households in the form of workers' remittances.
16.13 Current transfers payable by resident and non-resident units must be equal to current transfers receivable by both resident and non-resident units, and thus total uses and resources are equal as is the case for property income.
16.14 Disposable income is an important balancing item in the accounts since it shows how much can be consumed without the need to run down assets or incur liabilities.
It thus corresponds to the economic theoretical concept of income.
16.15 The use of disposable income account shows how much disposable income is in fact used for consumption and how much is saved.
When looking at the sector accounts, the adjustment for the change in pension entitlements has to be made to ensure that these form part of the saving of households and not of pension funds.
However, in the aggregate only flows relating to pension entitlements involving non-resident employees or resident employees of non-resident enterprises appear.
16.16 Table 16.1 does not include the redistribution of income in kind account and the use of adjusted disposable income account but these could be inserted either in place of, or as a complement to, the use of disposable income account.
16.17 Table 16.2 presents a summary of the accumulation accounts and balance sheets with the same degree of detail as used for the current accounts in table 16.1.
In this case, the titles given to the right- and left-hand columns are changed; the columns to the right are described as changes in liabilities and net worth, and those to the left show changes in assets.
16.18 The first items appearing on the right-hand side of the capital account are saving and the current external balance.
Also appearing as resources are capital transfers receivable.
By convention, capital transfers payable also appear under resources but with a negative sign.
For the economy as a whole, including transactions with the rest of the world, capital transfers receivable and payable exactly offset one another in the same way that property income and current transfers do. However, this equality is not generally true for the total economy excluding the rest of the world nor for individual sectors within it.
16.19 Together, saving plus capital transfers (net) show how much is available within the economy to acquire non-financial capital, primarily capital formation but also non-produced non-financial assets.
This total is shown as a special aggregate called changes in net worth due to saving and capital transfers.
It is not a balancing item but has the same characteristic of being an analytical construct of particular interest.
16.20 The uses shown in the capital account are the acquisition of produced and non-produced non-financial assets.
The balancing item of the capital account is net borrowing or lending.
When there is net lending, it shows the extent to which the sum of saving and capital transfers is actually used to finance the acquisition of non-financial assets and how much is lent to the rest of the world.
When there is net borrowing, saving plus capital transfers are insufficient to finance all the acquisition of non-financial assets and borrowing from the rest of the world is necessary.
16.21 The financial account shows exactly how net lending or borrowing takes place by showing all the transactions in financial instruments.
Transactions in financial assets shown as changes in assets exactly balance the amounts shown as changes in liabilities and net worth because when all transactions of resident units with either other resident units or non-resident units are taken into account, there can be no net lending or borrowing left unexplained.
16.22 Because the financial account does not introduce any new balancing items and only explains how net lending or net borrowing is effected, and because it requires quite different data sources and understanding of the data sources, this account is not always compiled by national accountants.
However, without the financial account, the compiler cannot be certain that the estimates for the other accounts are fully consistent and complete.
Just as the national accountant must have an understanding of the balance of payments system and ensure that the transactions relating to the rest of the world are fully captured in the accounts, so there is a need to appreciate the implications of systems of monetary and financial statistics.
Two later chapters, chapters 26 and 27, discuss the relationships with these other statistical systems in more detail.
16.23 Throughout the sequence of accounts, each transaction line is balanced.
For the distributive and redistributive transactions, this is automatically the case if the data are fully reconciled since whatever is shown as payable by one unit must be shown as receivable by another.
However this is not obviously the case for the transactions relating to goods and services.
In order to preserve the balancing nature of the accounts, a column headed “goods and services” is included on each side of the accounts.
In every case where there is a transaction relating to goods and services, an entry in the goods and services column on the other side of the account is made.
16.24 Ultimately the entries on the left-hand side of the account show the value of all goods and services supplied to the economy, either as production or imports, plus the taxes on products less subsidies paid on them.
On the right-hand side of the account, the use of the goods and services is shown, as intermediate or final consumption, capital formation or exports.
16.25 Clearly, ex post the total amount of goods and services supplied to the economy must be equal to the total use made of those goods and services.
Setting the entries in the left-hand goods and services column equal to those in the right-hand side column gives the familiar goods and services account, described in chapter 14:
Output + imports + taxes less subsidies on products
= intermediate consumption + final consumption + exports
+ capital formation
16.26 The equation reflects the notion that goods and services produced in the current period are used either to generate more goods and services in the current period (intermediate consumption) or to generate more goods and services in future periods (capital formation) or to satisfy human wants immediately (final consumption).
However, because no economy is entirely closed, it is necessary to allow for those goods and services supplied from outside the economy (imports) and those goods and services used by other economies (exports).
16.27 This identity comprises the goods and services account.
The goods and services account shows the balance between the total goods and services supplied as resources to the economy as output and imports (including the value of taxes less subsidies on products not already included in the valuation of output) and the use of the same goods and services as intermediate consumption, final consumption, capital formation and exports.
16.28 The entries in the integrated accounts for the rest of the world correspond to the entries in the balance of payments as laid out in BPM6. Table 16.3 shows the entries for the rest of the world in the structure of the balance of payments accounts.
16.29 There are three current accounts; one for goods and services, one for primary income and one for secondary income.
Each of these has a balancing item but, unlike the accounts in the SNA, the balancing items do not carry down from one account to the next.
However, other balancing items that do match those in the SNA are allowed for.
Thus the external balance of goods, services and primary income is the sum of the [external] balance of goods and services and the [external] balance of primary incomes and corresponds to the balance of primary income for the total economy.
When this item is added to the external balance of secondary income, the current external balance is derived which corresponds to saving for the total economy.
16.30 In the capital account of the rest of the world, the only entries are for capital transfers receivable from and payable to the rest of the world and acquisition less disposals of non-produced non-financial assets involving non-resident units.
These give the capital external balance.
When this is added to the current external balance, the result is net lending to or borrowing from the rest of the world.
16.31 The balance sheets are an integral part of the SNA.
An understanding of the articulation of the balance sheets with the flows relating to assets in the capital, financial and other changes in assets accounts is fundamental to understanding the role capital accumulation plays in the SNA.
16.32 The basic accounting identity linking the opening and the closing balance sheet values for a single type of asset can be summarized as follows:
The value of the stock of a specific type of asset in the opening balance sheet valued at the prices prevailing at the date the balance sheet refers to;
plus the total value of the assets acquired, less the total value of those disposed of (including consumption of fixed capital where appropriate), in transactions that take place within the accounting period;
plus the value of other positive or negative changes in the volume of the assets held (for example, as a result of the discovery of a subsoil resource or the destruction of assets as a result of war or a natural disaster);
plus the value of the positive or negative nominal holding gains accruing during the period resulting from a change in the price of the asset;
equals the value of the stock of the asset in the closing balance sheet valued at the prices prevailing at the date the balance sheet refers to.
16.33 The value of the non-financial assets acquired, less the total value of those disposed of, in transactions that take place within the accounting period is recorded in the capital account and the value of transactions in financial assets and liabilities in the financial account.
The value of other positive or negative changes in the volume of the assets held is recorded in the other changes in the volume of assets account.
The value of the positive or negative nominal holding gains accruing during the period resulting from a change in the price of the asset is recorded in the revaluation account.
This means that the value of each entry in the closing balance sheet can, in principle, be constructed by taking the value in the opening balance sheet and adding to it the entries relating to the same asset in each of the four accumulation accounts.
16.34 A nominal holding gain may be decomposed into a neutral holding gain and a real holding gain.
The nominal holding gain indicates by how much the value of an asset has increased over the period.
The neutral holding gain indicates the increase that would have been necessary for the asset to exactly maintain its purchasing power over the period.
If the nominal holding gain is larger than the neutral holding gain, the owner of the asset has a real holding gain (equal to the difference between the nominal and neutral holding gains).
If the nominal holding gain is less than the neutral holding gain, then the owner suffers a real holding loss.
16.35 The identity linking the opening and closing balance sheets and the accumulation account is valid even in the case of assets that are held only temporarily within the accounting period and that do not appear in either the opening or the closing balance sheets.
For example, an asset may be acquired in a period, increase in price due to a holding gain and then suffer some destruction before being sold again before the end of the period.
16.36 The nominal holding gains and losses shown in the revaluation account include both realized and unrealized holding gains and losses but the realized holding gains and losses are incorporated in the value of transactions of the assets, leaving only the unrealized holding gains and losses in the closing balance sheet.
Table 16.3: Entries for the rest of the world using the BPM6 structure of accounts
16.37 The link between the balance sheet and flow accounts in respect of financial assets and liabilities is often recognized and presented.
Less attention has been focused on the links for non-financial assets though, as chapter 20 on capital services makes clear, it is no less important, especially as regards an understanding of productivity growth in the economy.
16.38 The balancing item on a balance sheet is equal to the sum of all the assets less all the liabilities and is called net worth.
The change in net worth between the opening and closing balance sheet can be shown to be composed of three items.
a. The first of these is the change in net worth due to saving and capital transfers.
This comes from the capital account and is the item shown as the total of resources on that account.
b. The second item is the change in net worth due to other changes in the volume of assets and is the sum of all the entries for assets in the other changes in the volume of assets account less all the entries for liabilities.
c. The third item is the change in net worth due to nominal holding gains and losses.
This is the sum of the entries for nominal holding gains and losses for all assets recorded in the revaluation account less the entries for nominal holding gains and losses on all liabilities.
This can be broken down into the change in net worth due to neutral holding gains and losses and the change in net worth due to real holding gains and losses in an obvious manner.
16.39 The identity linking opening and closing balance sheets holds for assets in total, for every separate class of asset and indeed for every individual asset.
An asset account describes the changes in the stock of an asset or class of assets from one balance sheet to the next, itemizing which changes are due to capital transactions, which to financial transactions and which to other changes in volume and revaluation.
Asset accounts are described in chapter 13.
16.40 Although it is not usual to present the accounts in a fully consolidated form, it is useful from a pedagogical point of view to consider what results from a full consolidation of the accounts.
16.41 All the items in table 16.1 relating to the distribution and redistribution of income appear on both sides of the account.
Their inclusion permits the derivation of significant balancing items but it is also possible to consider what entries are left if they are eliminated by consolidation.
In fact what remains are the entries in the goods and services columns plus the entries for saving and the current external balance.
This result can be seen from the following:
a. Resources
· Imports 499;
· Output 3 604;
· Taxes on products 141;
· Subsidies on products -8;
· Total 4 236;
b. Uses
· Exports 540;
· Intermediate consumption 1 883;
· Final consumption 1 399
· Saving 427;
· Current external balance -13;
· Total 4 236.
16.42 The current external balance (-13) is equal to the external balance of goods and services (-41) plus the flows of income coming from the rest of the world (28).
If imports, exports and the external balance of goods and services are removed from the consolidation just described, the following result can be derived:
Output 3 604
plus taxes on products 141
minus subsidies on products 8
minus intermediate consumption 1 883
(result 1 854)
equals
final consumption 1 399
plus saving 427
plus income from the rest of the world 28.
16.43 The first part of this identity is the definition of income generated in the economy.
If the income from the rest of the world is regarded as an analogue to saving generated within the domestic economy, this identity can be seen as the simple economic concept that income is equal to consumption plus saving.
16.44 When the capital and financial accounts are consolidated, all the entries in the financial account are eliminated and the entries for net lending or borrowing that appear in each account cancel.
All that is left is:
capital formation (414)
plus the acquisition less disposals of non-produced assets (0)
equals
saving (427)
plus the current external balance (-13).
16.45 Looking only at the capital and financial account of the rest of the world:
the current external balance (-13)
plus capital transfers receivable (4)
minus capital transfers payable (1)
equals net lending or borrowing (-10).
16.46 Combining this identity with the previous one reduces to:
Capital formation (414)
plus the acquisition less disposals of non-produced assets (0)
equals
saving (427)
plus net lending or borrowing to the rest of the world (-10)
minus capital transfers payable to the rest of the world (4).
plus capital transfers receivable from the rest of the world (1).
In other words investment is equal to saving generated from within the total economy or drawn in from the rest of the world.
16.47 Rearranging the order of items appearing in the goods and services account leads to the most familiar definitions of GDP:
Output (3 604)
minus intermediate consumption (1 883) 16.48
plus taxes less subsidies on products (141 - 8)
equals
final consumption (1 399)
plus capital formation (414)
plus exports (540)
minus imports (499)
equals GDP (1 854).
There are thus two separate ways in which GDP can be defined:
a. the production measure of gross domestic product (GDP) is derived as the value of output less intermediate consumption plus any taxes less subsidies on products not already included in the value of output,
b. the expenditure measure of gross domestic product (GDP) is derived as the sum of expenditure on final consumption plus gross capital formation plus exports less imports.
10.48 The production measure of GDP can also be expressed as value added adjusted to ensure all taxes less subsidies on products are included.
As described in chapter 7, value added can be viewed as the elements comprising income: compensation of employees, operating surplus, mixed income and other taxes less subsidies on production.
If separate estimates are available of these components, then a third way of compiling GDP is possible, that is, from the income side.
Because other taxes less subsidies on production are included in value added and taxes less subsidies on products are to be included also, the two tax items can be replaced by the term that is the sum of them both, taxes less subsidies on production and imports.
GDP (1 854)
equals
compensation of employees (1 150)
plus gross operating surplus (452)
plus gross mixed income (61)
plus taxes less subsidies on production and imports (191).
The third way in which GDP can be defined is thus
c. the income measure of gross domestic product (GDP) is derived as compensation of employees plus gross operating surplus plus gross mixed incomes plus taxes less subsidies on both production and imports.
16.49 In chapter 6, it is explained that the preferred measurement of output in the system is basic prices.
At basic prices, the value of output excludes all taxes on products and includes all subsidies on products.
It includes all other taxes on production and excludes all other subsidies on production.
However, the data sources in some countries may not permit this valuation to be followed.
In this case, output will be valued at producers' prices.
All taxes on both products and production (possibly excluding any VAT type taxes) will be included in the value of output and all subsidies on both products and production will be excluded.
16.50 For this reason, the definition of GDP from the production side given above includes the phrase “plus any taxes less subsidies on products not already included in the value of output”. When output is valued at producers' prices, there will be no further taxes on products to add in (except possibly VAT type taxes); they will be already included in the measure of output (and similarly subsidies on products will already be deducted).
In this case, GDP may be defined as the production measure of gross domestic product (GDP) is derived as the value of output at producers' prices less intermediate consumption.
When output is measured at basic prices (as preferred in the SNA and as followed in the numerical example) the definition can be rephrased as the production measure of gross domestic product (GDP) is derived as the value of output at basic prices less intermediate consumption plus taxes less subsidies on products.
16.51 While the third definition of GDP is correct both economically and statistically, it is held not to be the best measure of income.
Income is usually defined as the amount that can be consumed while keeping the level of capital intact.
(For further discussion on this see the introduction to chapter 8.)
It is for this reason that the item consumption of fixed capital is so important in the accounts and appears in every account as the difference between balancing items on a gross and net basis.
To measure domestic production on a net basis, it is necessary:
a. to deduct consumption of fixed capital from the production measure of GDP,
b. to replace gross capital formation by net capital formation in the expenditure measure of GDP,
c. to replace gross operating surplus by net operating surplus and gross mixed income by net mixed income in the income measure of GDP.
16.52 Each deduction from GDP is equivalent because the difference between gross and net capital formation is the consumption of fixed capital as is the difference between the sum of operating surplus and mixed income on a gross basis as opposed to a net basis.
Thus, net domestic product (NDP) is defined as gross domestic product (GDP) less the consumption of fixed capital.
NDP (1 632)
equals
GDP (1 854)
minus consumption of fixed capital (222).
16.53 In some countries, border or seasonal workers may have a significant effect on the amount of compensation of employees that is either payable abroad or receivable from abroad.
Compensation earned abroad but repatriated to the country where the employee is resident (as opposed to where he or she works) adds to the income of households available for consumption.
The concept of national income as opposed to domestic production is thus another key aggregate of the SNA.
As well as labour income from abroad in the form of compensation of employees, income earned abroad on capital, especially financial capital, in the form of property income, is included in national income as well as any taxes on products payable by non-residents.
Similar payments flowing out of the total economy to the rest of the world have to be deducted from GDP to reach national income.
16.54 Gross national income (GNI) is defined as GDP plus compensation of employees receivable from abroad plus property income receivable from abroad plus taxes less subsidies on production receivable from abroad less compensation of employees payable abroad less property income payable abroad and less taxes plus subsidies on production payable abroad.
In the terms of an equation,
GNI (1 864)
equals
GDP (1 854)
plus compensation of employees receivable from abroad (6)
plus property income receivable from abroad (44)
plus taxes less subsidies on production and imports receivable from abroad (0)
minus compensation of employees payable abroad (2)
minus property income payable abroad (38)
minus taxes less subsidies on production and imports payable abroad (0).
16.55 As mentioned above, an income concept is better measured after deducting consumption of fixed capital so Net national income (NNI) is defined as GNI less the consumption of fixed capital.
NNI (1 642)
equals
GNI (1 864)
minus consumption of fixed capital (222).
16.56 A further step in examining the impact of the rest of the world on the national economy is to consider current transfers receivable from abroad and those payable abroad.
Transfers receivable from abroad include remittances from nationals working abroad for long enough (more than one year) to be treated as resident elsewhere.
However, like compensation of employees payable from abroad, these transfers from non-residents can have a major impact on the resources available to the national economy.
Overseas assistance, other than development assistance for capital projects, is also shown here.
As before, transfers payable abroad must be deducted in moving from national income to national disposable income.
16.57 National disposable income, more often than domestic product and national income, is usually shown on a net basis.
Net national disposable income (NNDI) is defined as net national income (NNI) plus current transfers receivable from abroad less current transfers payable abroad.
In equation terms,
NNDI (1 604)
equals
NNI (1 642)
plus current transfers receivable from abroad (17)
minus current transfers payable abroad (55).
16.58 The T accounts shown in table 16.1 and 16.2 can be extended to cover all the sectors of the economy and as much detail as required in the accounts.
Such an extended presentation is referred to as a set of integrated economic accounts.
An example is tables 16.4 and 16.5 which show, simultaneously, the general accounting structure of the SNA and present a set of data for the individual institutional sectors, the economy as a whole and the rest of the world.
16.59 The table brings together in one presentation:
the institutional sector accounts,
the rest of the world accounts, and
the goods and services account.
16.60 In order to simplify this table while still having it comprehensive, classifications of sectors, transactions and other flows, assets and liabilities are at the highest level of aggregation compatible with understanding the structure of the SNA.
However, columns and rows can be subdivided to introduce subsectors or more detailed classifications of transactions and other flows, assets and liabilities.
16.61 As an example of the institutional sectors current accounts, consider the column for non-financial corporations.
16.62 The production account shows output (2 808) on the righthand side, intermediate consumption (1 477) and value added (1 331 gross, 1 174 net, the difference referring to consumption of fixed capital (157), on the left-hand side).
Value added, the balancing item of the production account, appears again in the same row as a resource of the generation of income account.
16.63 The uses of the generation of income account (compensation of employees (986) and other taxes (88) less subsidies on production (35)) are shown on the left-hand side, the balancing item being net operating surplus (135), which appears again as a resource of the allocation of primary income account.
16.64 In the allocation of primary income account, property income receivable (96), along with operating surplus is recorded on the right-hand side, and property income payable (134) is recorded on the left-hand side.
The balancing item is the net balance of primary incomes (97), which appears again as a resource of the secondary distribution of income account.
The secondary distribution of income account shows current transfers, payable (98) and receivable (72), leading to the balancing item of net disposable income (71).
This item, which can also be described as the undistributed income of non-financial corporations, appears as a resource in the use of income account.
16.65 The only transaction appearing in the use of income account for the corporations sectors is an entry for the change in pension entitlements.
In this case the entry has a value of zero so the balancing item of the use of income account, saving, has the same value as disposable income.
16.66 The accounts for other institutional sectors may be read the same way, the relevant transactions varying according to the sector involved.
16.67 The presentation of the two ways in which disposable income is associated with final consumption, one taking account of the redistribution of income in kind leading to actual consumption and the other showing final consumption expenditure to disposable income directly, is simplified in table 16.4.
The redistribution of income in kind account and the use of adjusted disposable income account are merged with the use of income account as follows.
Disposable income, net, is 317 for general government, 37 for NPISHs and 1 219 for households.
Final consumption expenditure is 352 for government, 32 for NPISHs and 1 015 for households.
Total consumption expenditure is 1 399. Saving is given by disposable income less final consumption expenditure.
16.68 The accumulation accounts follow the sequence of current accounts for the institutional sectors.
For example, net saving of households is 192. Households receive 23 and pay 5 as capital transfers.
Thus the value of the changes in their net worth due to saving and capital transfers is 210. Households have 48 as gross fixed capital formation (25 as net fixed capital formation after deduction of consumption of fixed capital (23)), changes in inventories of 2 and acquisitions less disposals of valuables of 5. Their acquisitions less disposals of non-produced non-financial assets (land) are 4. The net lending of households is 174. They incur financial liabilities (net) of 15 and acquire financial assets (net) of 189. Other changes in volume of assets are 2. The value of the assets held by households increases by 96 due to changes in the prices of both non-financial assets (80) and financial assets (16); there are no nominal gains or losses on their liabilities, which means that all their liabilities are denominated in monetary terms and probably in the national currency of the economy in question.
16.69 The balance sheets are also part of the integrated economic accounts.
In order to see the relationships between the accumulation accounts and balance sheets, take general government as the example.
The opening assets are 1 185 (789 non-financial assets and 396 financial assets) and the opening liabilities 687, net worth thus being 498. The total value of non-financial assets increases by 57, which results from all changes in these assets recorded in the accumulation accounts, gross fixed capital formation (35), consumption of fixed capital (-27), acquisitions less disposals of valuables (3), acquisitions less disposals of non-produced non-financial assets (2), other volume changes (0) and nominal holding gains (44).
Financial assets decrease by 9 (net disposal of financial assets, 10, other volume changes, 0, nominal holding gains, 1).
On the right-hand side, liabilities increase by 102, which results again from all changes in liabilities recorded in the accumulation accounts (net incurrence of liabilities (93), other volume changes (2), revaluation of liabilities (7)).
So the closing assets are 1 233 (846 + 387) and the closing liabilities are 789; closing net worth (444) shows a decrease over the year of 54. The sources of this change in net worth are summarized on the right-hand side of the account showing the change in balance sheets, changes in net worth due to saving and capital transfers (-90, see also the right-hand side of the capital account), to other changes in volume of assets (-2, see also the right-hand side of the other changes in volume of assets account), and to nominal holding gains or losses (38, see also the right-hand side of the revaluation account).
16.70 As explained earlier, the rest of the world accounts are presented from the viewpoint of the rest of the world.
Imports of goods and services (499) are a resource for the rest of the world, even though they represent an outflow from the national economy and exports (540) are a use of the rest of the world.
Thus imports appear on the right-hand side of the table and exports on the left.
The external account of goods and services is shown at the same level as the production account for institutional sectors.
The external balance of goods and services is -41. With a positive sign, it is a surplus of the rest of the world (a deficit of the nation) and vice versa.
16.71 As explained in connection with table 16.3, the external balance on primary income is -10 and on secondary income is 38, giving a current external balance of -13.
16.72 Transactions of the accumulation accounts appear in the columns for the rest of the world when relevant (mainly capital transfers and financial transactions).
The rest of the world columns show the assets and liabilities position of the rest of the world vis-à-vis the nation (external assets and liabilities account).
The row “changes in net worth due to saving and capital transfers” corresponds, for the rest of the world, to the current external balance and capital transfers.
16.73 In the integrated economic accounts, the goods and services account is shown in a column, not in a row.
It reflects the various transactions in goods and services that appear in the accounts of the institutional sectors.
Intermediate consumption and final consumption appear as uses in the institutional accounts on the left-hand side of the accounts.
For the goods and services account, they appear in the right-hand side column, even though the right-hand side is generally reserved for resources and consumption is a use.
This device of using the opposite side of the account from normal gives a balance for the row for each of the items appearing in the goods and services account.
On the resources side of the table, the figures appearing in the column for goods and services are the counterparts of the uses made by the various sectors and the rest of the world: exports (540), intermediate consumption (1 883), final consumption expenditure or actual final consumption (1 399), gross fixed capital formation (376), changes in inventories (28) and acquisitions less disposals of valuables (10).
On the use side of the table, the figures in the column for goods and services are the counterparts of the resources of the various sectors and the rest of the world: imports (499) and output (3 604).
On the same side taxes less subsidies on products (133) are shown directly in the column for goods and services.
They are a component of the value of the supply of goods and services that has no counterpart in the value of the output of any institutional sector.
Table 16.4: Summary current account with sector details - uses
Table 16.4cont: Summary current account with sector details - resources
Table 16.5: Summary of the accumulation accounts and balance sheets with sector details - assets and changes in assets
Table 16.5cont: Summary of the accumulation accounts and balance sheets with sector details – liabilities, net worth and changes in them
16.74 The columns for the total economy remain to be explained.
Except for taxes less subsidies on products and gross and net domestic product, the figures in these columns are simply the sum of the corresponding figures for the institutional sectors.
The production account for the total economy includes, as resources, output (that is, the total output of the economy (3 604)) and taxes less subsidies on products (133), the latter being the counterpart of the figure appearing on the left-hand side in the column for goods and services.
The uses side of the production account for the total economy shows intermediate consumption (1 883) and domestic product at market prices (1 854 gross, 1 632 net).
The latter is the sum of value added of the various sectors and taxes less subsidies on products.
Domestic product then appears on the right-hand side as a resource of the generation of income account for the total economy.
Taxes less subsidies on products are shown again on the left-hand side in the column for total economy and on the right-hand side as a resource of government (and the rest of the world if relevant).
This double routing of taxes less subsidies on products is made in order to get domestic product, gross and net, directly in the overall accounts, as explained above.
16.75 The other items in the columns for the total economy are self-explanatory.
Net national income at market prices (1 642) is shown directly as the sum of balance of primary incomes of the various sectors; national disposable income, national saving, etc. are also obtained directly.
17.1 At its simplest, an insurance policy is an agreement between an insurance corporation and another institutional unit, called the policyholder.
Under the agreement, the policyholder makes a payment (a premium) to the insurance corporation and, if or when a specified event occurs, the insurance corporation makes a payment (claim) to the policyholder.
In this way, the policyholder protects itself against certain forms of risk; by pooling the risks the insurance corporation aims to receive more from the receipt of premiums than it has to pay out as claims.
However, simply recording the actual premiums and claims paid in the accounts of the SNA would not reflect the links between premiums and claims.
Instead, some actual transactions are partitioned and others are imputed in order to bring out the underlying economic processes actually taking place.
17.2 The most common form of insurance is called direct insurance whereby the policy is issued by an insurance corporation to another type of institutional unit but an important form of insurance is provided by one insurance corporation to another insurance corporation.
This sort of insurance is called reinsurance.
17.3 This part of chapter 17 is concerned with direct insurance and reinsurance.
It attempts to bring together all the entries in the accounts connected with insurance and explain their interconnection.
Part 2 deals with pension and non-pension benefits under social insurance schemes.
17.4 Defining some of the terms peculiar to the insurance industry is a helpful preliminary to further discussion.
For direct insurance, the term premiums is used for payment to the insurance corporation; payments by the insurance corporation are called claims in the case of non-life policies and benefits in the case of life policies.
The actual premium is the amount payable to the direct insurer or reinsurer to secure insurance cover for a specific event over a stated time period.
Actual premiums are measured by the amounts payable after all allowances, discounts or bonuses are taken into account.
Cover is frequently provided for one year at a time with the premium due to be paid at the outset though cover may be provided for shorter (or longer) periods and the premium may be payable in instalments, for example monthly.
17.5 The premium earned is the part of the actual premium that relates to cover provided in the accounting period.
17.6 There are two types of direct insurance, life and non-life insurance.
17.7 What life and non-life insurance have in common is that they both involve spreading risk.
17.8 Despite the similarity of the activity of life and non-life insurance, there are significant differences between them that lead to different types of entries in the accounts of the SNA.
17.9 One way in which a regular income stream can be obtained in return for an upfront payment of a lump sum is via an annuity.
17.10 Just as an individual institutional unit protects itself against the financial consequences of loss or damage, so an insurance corporation may also protect itself against an unexpectedly large number of claims, or exceptionally heavy claims, by taking out a reinsurance policy with another insurance corporation.
17.11 Reinsurance policies are most common for non-life policies but may also apply to life insurance policies.
17.12 The institutional units involved in direct insurance and reinsurance are pre-eminently insurance corporations.
For example, if an annual policy with a premium of 120 units comes into force on April 1 and accounts are being prepared for a calendar year, the premium earned in the calendar year is 90. The unearned premium is the amount of the actual premium received that relates to the period past the accounting point.
In the example just given, at the end of the accounting period there will be an unearned premium of 30, intended to provide cover for the first three months of the next year.
A claim (benefit) is the amount payable to the policyholder by the direct insurer or reinsurer in respect of an event covered by the policy occurring in the period for which the policy is valid.
Claims generally become due when the event occurs, even if the payment is made some time later.
(The exception to the general rule is described in section C.)
Claims that become due are described as claims incurred.
In some contested cases the delay between the occurrence of the event giving rise to the claim and the settlement of the claim may be several years.
Claims outstanding cover claims that have not been reported, have been reported but are not yet settled or have been both reported and settled but not yet paid.
1. Direct insurance
Life insurance is an activity whereby a policyholder makes regular payments to an insurer in return for which the insurer guarantees to provide the policyholder (or in some cases another nominated person) with an agreed sum, or an annuity, at a given date or earlier if the policyholder dies beforehand.
The sum payable under the policy (benefit) may be fixed or may vary to reflect the income earned from the investment of premiums during the period for which the policy operates.
For policies with varying returns, the terms “with-profits” life insurance or endowment policy are generally used.
Although the date and sum may be variable, a claim is always paid in respect of a life policy.
Non-life insurance is an activity similar to life insurance except that it covers all other risks, accidents, sickness, fire, etc.
A policy that provides a benefit in the case of death within a given period but in no other circumstances, usually called term insurance, is regarded as non-life insurance because, as with other non-life insurance, a claim is payable only if a specified contingency occurs and not otherwise.
In practice, because of the way in which insurance corporations keep their accounts, it may not always be possible to separate term insurance from other life insurance.
In these circumstances, term insurance may have to be treated in the same way as life insurance for purely practical reasons.
Insurers receive many (relatively) small regular payments of premiums from policyholders and pay much larger sums to claimants when the contingencies covered by the policy occur.
For non-life insurance, the risks are spread over the whole population that takes out the insurance policies.
For example, an insurance corporation determines the premiums charged for vehicle insurance in a year by relating them to the amount of claims it expects to pay on vehicle insurance in the same year.
Typically, the number of claimants is much smaller than the number of policyholders.
For an individual nonlife policyholder there is no relationship between the premiums paid and the claims received, even in the long run, but the insurance corporation establishes such a relationship for every class of non-life insurance on a yearly basis.
For life insurance, a relationship between premiums and claims over time is important both to the policyholders and to the insurance corporation.
For someone taking out a life policy, the benefits to be received are expected to be at least as great as the premiums paid up until the benefit is due and can be seen as a form of saving.
The insurance corporation must combine this aspect of a single policy with the actuarial calculations about the insured population concerning life expectancy (including the risks of fatal accidents) when determining the relationship between the levels of premiums and benefits.
Further, in the interval between the receipt of premiums and the payment of benefits, the insurance corporation earns income from investing the premiums received.
This income also affects the levels of premiums and benefits set by the insurance corporations.
Non-life insurance consists of redistribution in the current period between all policyholders and a few claimants.
Life insurance mainly redistributes premiums paid over a period of time as benefits paid later to the same policyholder.
Essentially life insurance premiums and benefits are financial transactions and not current transactions.
Annuities are usually offered by life insurance corporations and so a discussion of the recording for annuities in the SNA is given at the end of this part.
2. Reinsurance
All insurance corporations may take out some form of reinsurance but there tend to be a few large corporations that specialize in issuing reinsurance policies.
Because these corporations are concentrated in a few financial centres, many of the flows associated with reinsurance involve transactions with the rest of the world.
It is common for reinsurers to take out reinsurance policies with other insurance corporations to spread their risks further.
This sort of reinsurance is called retrocession.
There are two types of reinsurance, proportionate reinsurance and excess of loss reinsurance.
Under a proportionate reinsurance contract, the reinsurer accepts an agreed proportion of the risks; this proportion of the premiums is “ceded” to the reinsurer who then meets the same proportion of the claims.
In this case, any reinsurance commission paid by the reinsurer to the policyholder (either a direct insurer or another reinsurer) is treated as a reduction in reinsurance premiums payable.
In excess of loss reinsurance, the reinsurer undertakes to pay all losses over a given threshold.
If there are no or few claims above the threshold, the reinsurer may pass a share of his profits to the direct insurer.
By convention, profit-sharing is treated as a current transfer from the reinsurer to the direct insurer in a way similar to the payment of claims.
3. The units involved
In principle it is possible for another type of enterprise to carry out insurance as a non-principal activity, but usually the legal regulations surrounding the conduct of insurance mean that a separate set of accounts covering all aspects of the insurance activity must be kept; thus in the SNA a separate institutional unit, classified to the insurance corporations and pension funds subsector, is identifiable.
Sometimes government may conduct other insurance activities, but again it is likely that a separate unit can be identified.
Having noted that exceptionally other sectors may be involved, in what follows it is assumed that all insurance is carried out by insurance corporations, either resident or non-resident.
17.13 Under a non-life insurance policy, the insurance company accepts a premium from a client and holds it until a claim is made or the period of the insurance expires.
In the meantime, the insurance company invests the premium and the investment income is an extra source of funds from which to meet any claim due.
The investment income represents income foregone by the client and so is treated as an implicit supplement to the actual premium.
The insurance company sets the level of the actual premiums to be such that the sum of the actual premiums plus the investment income earned on them less the expected claim will leave a margin that the insurance company can retain; this margin represents the output of the insurance company.
Within the SNA, the output of the insurance industry is determined in a manner intended to mimic the premium setting policies of the insurance corporations.
To that end, four separate items need to be defined.
These are premiums earned, premium supplements, claims (or benefits) incurred and reserves.
Each of these is discussed in turn before discussing the measurement of output for direct non-life insurance, direct life insurance and reinsurance respectively.
17.14 As explained in section A, an important distinction is made between actual premiums, which are payable for cover in a given period and premiums earned that are the proportion of actual premiums, relating to the accounting period in question rather than to the period covered by the insurance policy.
17.15 For life insurance in particular, but also to a lesser extent for non-life insurance, the total amount of claims payable in a given period often exceeds the premiums receivable.
The insurance corporation can accept this because the contingencies covered by the policies do not occur, even for the whole population covered, at the same time as the premiums are paid.
Premiums are usually paid regularly, often at the start of an insurance period, whereas claims fall due later, in the case of life insurance often many years later.
In the time between the premium being paid and the claim being payable, the sum involved is at the disposal of the insurance corporation to invest and earn income from it. These amounts are called reserves.
The income earned on the reserves allows the insurance corporations to charge lower premiums than would be the case otherwise.
An adequate measure of the service provided must take account of the size of this income as well as the relative size of premiums and claims.
17.16 The income concerned comes from the investment of the reserves of the insurance corporations, which represent liabilities towards the policyholders.
For non-life insurance, even though a premium may be payable at the start of a period of cover, the premiums are only earned on a continuous basis as the period passes.
At any point before the end of the cover, the insurance corporation holds an amount due to the policyholder relating to services and possible claims to be provided in the future.
This is a form of credit extended by the policyholder to the insurance corporation described as unearned premiums.
Similarly, although claims become due for payment by the insurance corporation when the contingency specified in the policy eventuates, they may not be actually payable until some time later, often because of negotiation about the amounts due.
This is another similar form of credit, described as reserves against claims outstanding.
17.17 Similar reserves exist for life insurance but in addition there are two other elements of insurance reserves, actuarial reserves for life insurance and reserves for with-profit insurance.
They represent amounts set aside for payments of benefits in future.
Usually the reserves are invested in financial assets and the income is in the form of investment income (interest and dividends).
Sometimes, however, they may be used to generate net operating surplus either in a separate establishment or as a secondary activity.
The most common example is from real estate.
17.18 It is common with life insurance policies for amounts to be explicitly attributed by the insurance corporation to the policyholders in each year.
These sums are often described as bonuses.
The sums involved are not actually paid to the policyholders but the liabilities of the insurance corporation towards the policyholders increase by this amount.
This amount is shown as investment income attributed to the policyholders.
The fact that some of it may derive from holding gains does not change this designation; as far as the policyholders are concerned it is the return for making the financial asset available to the insurance corporation.
In addition, all the income from the investment of non-life reserves and any excess of income from the investment of life reserves over any amounts explicitly attributed to the policyholders, are shown as investment income attributed to policyholders, regardless of the source of the income.
17.19 All investment income attributed to policyholders, whether explicitly by the insurance corporation or implicitly within the SNA, is shown as payable to the policyholders in the distribution of primary income account.
For non-life insurance, the same amount is then repaid to the insurance corporation as premium supplements in the secondary distribution of income account.
For life insurance, premiums and premium supplements as well as benefits are shown in the financial account.
17.20 For direct non-life insurance, the investment income attributed to the policyholders should, in principle, be made according to the proportion of reserves attributed to the different classes of insurance and policyholders.
In practice, the usual method is to distribute the investment income in proportion to the actual premiums payable.
For direct life insurance, all policyholders are individuals and so the investment income is attributed to households (possibly including some non-resident households).
17.21 The level of claims made on non-life insurance policies varies from year to year and there may be exceptional events that cause a particularly high level of claims.
However, the concept of insurance service is the service of providing cover against risk; production occurs continuously and not simply when the risk occurs.
As such, its measurement should not be affected by the volatility of the occurrence of the risk.
Neither the volume nor the price of insurance services is directly affected by the volatility of claims.
The insurance company sets the level of premiums on the basis of its own estimation of the likelihood of claims.
For this reason, the formula used in the SNA for the calculation of output should use not actual claims but a figure based on past experience and future expectations.
The term “adjusted claims” is used to describe the level of claims used in determining the value of output.
17.22 The figure for adjusted claims may be derived statistically in an expectations approach based on previous experience of the level of claims.
In considering the past history of claims payable, however, allowance must be made for the share of these claims that are met under the terms of the direct insurer's reinsurance policy (if any).
For example, when the direct insurer has an excess of loss reinsurance, he sets the level of premiums to cover losses up to the maximum loss covered by his reinsurance policy plus the reinsurance premium he must pay.
Under a proportionate reinsurance policy, he sets his premiums to cover the proportion of claims he has to pay plus the reinsurance premium.
17.23 Alternatively, an approach using information from the accounts of the insurance corporation may be adopted.
These may include an equalization provision, which is an adjustment to reflect the variations in claims from one year to another.
Whichever method is used, therefore, the adjusted claim figure approximates the expected level of claims.
17.24 Life insurance benefits are the amounts payable under the policy in the accounting period in question.
No adjustment for unexpected volatility is necessary in the case of life insurance.
17.25 The concept of reserves used in the formula for deriving the value of insurance output corresponds to the definition of non-life insurance technical reserves and life insurance and annuities entitlements as defined in chapter 13.
These cover provisions for unearned premiums, for unexpired risks, claims outstanding and reserves for bonuses and rebates, the latter applying in the main to life insurance only.
The coverage of unearned premiums and claims outstanding is given in section A.
17.26 The output of the insurance corporation represents the service provided to the policyholders.
The output of direct non-life insurance is based on the principle of adding premiums and premium supplements and deducting adjusted claims incurred.
17.27 If an expectations approach is being used, the formula to calculate output takes the following form:
Actual premiums earned;
plus premium supplements;
minus adjusted claims incurred;
where adjusted claims are estimated from past experience.
In such a case, conceptually premium supplements should also be estimated on the basis of past experience.
However, since premium supplements are less volatile than claims, in practice no such adjustment may be necessary.
If a statistical basis is to be used for estimating output, it is advisable to use information broken down by “line of business”, that is for motor insurance, buildings insurance, etc. separately.
17.28 Alternatively, an accounting approach may be used whereby output is calculated as:
Actual premiums earned;
plus premium supplements;
minus adjusted claims incurred;
where adjusted claims are determined by using claims due plus the changes in equalization provisions and, if necessary, changes to own funds.
17.29 If the necessary accounting data are not available and the historical statistical data are not sufficient to allow reasonable average estimates of output to be made, the output of non-life insurance may be estimated as the sum of costs (including intermediate costs, labour and capital costs) plus an allowance for “normal profit”. However, since any reasonable estimate for “normal profit” is likely to involve expected claims, this option is hardly different from the expectations approach.
17.30 The output of direct life insurance is calculated separately as:
Actual premiums earned;
plus premium supplements;
minus benefits due;
minus increases (plus decreases) in actuarial reserves and reserves for with-profits insurance.
17.31 If adequate data are not available for the calculation of life insurance according to this formula, an approach based on the sum of costs, similar to that described for non-life insurance, may be used.
As for non-life insurance, an allowance for normal profits must be included.
17.32 The formula to calculate the output of reinsurance services is exactly analogous to those for direct insurance.
However, because the primary motivation of reinsurance is to limit the direct insurer's exposure to risk, a reinsurer deals with exceptionally large claims as a matter of normal business.
For this reason, and because the market for reinsurance is concentrated in relatively few large firms worldwide, it is less likely that the reinsurer will experience an unexpectedly large loss than a direct insurer does, especially in the case of excess of loss reinsurance.
17.33 The output of reinsurance is measured in a way similar to that for direct non-life insurance.
However, there are some payments peculiar to reinsurance.
These are commissions payable to the direct insurer under proportionate reinsurance and profit sharing in excess of loss reinsurance.
Once these are taken into account the output of reinsurance can be calculated as:
Total actual premiums earned less commissions payable;
plus premium supplements;
minus both adjusted claims incurred and profit sharing.
17.34 This section describes the full set of entries needed in the accounts to record all the implications of a non-life insurance policy.
Policies may be taken out by corporations, government units, NPISHs, households and units in the rest of the world.
However, when a policy taken out by a member of a household qualifies as social insurance, the entries required are as described in part 2 of this chapter on social insurance and not as described here.
17.35 The actual premiums payable and the premium supplements are shown in the SNA divided between two types of transactions.
The first is the value of the output of insurance, which is shown as either consumption or export of insurance services.
The second is net premiums earned by the insurance corporations.
Net premiums are defined as actual premiums plus premium supplements less the insurance service charge payable by the policyholders.
Because of the way in which the value of the service output is defined, net premiums for non-life insurance are equal in total to adjusted, and not actual, claims.
Any variation between adjusted and actual claims represents a transfer between the policyholders and the insurance corporation.
Over time, a transfer in one direction is offset by one in the other.
17.36 Insurance services are consumed by those sectors (and the rest of the world) that pay premiums.
Estimates of the value of consumption by sector are usually made by allocating the total value of the service in proportion to the actual premiums payable.
Estimates of net premiums are then made by deducting the consumption of services from the total actual premiums payable plus the value of the premium supplements.
(Because premium supplements are also allocated in proportion to actual premiums, the net premiums are also in effect allocated in the same proportions as the actual premiums.)
17.37 The time of recording claims incurred is generally in the period in which the event to which the claim relates took place.
This principle is applied even when, in the case of disputed claims, the settlement may take place years after the event concerned.
An exception is made in cases where the possibility of making a claim is recognized only long after the event has happened.
For example, an important series of claims were recognized only when exposure to asbestos was established as a cause of serious illness and was judged to give rise to claims under an insurance policy valid at the time of the exposure.
In such cases the claim is recorded at the time that the insurance company accepts the liability.
This may not be the same time as when the size of the claim is agreed on or when the claim is paid.
17.38 Because the formula for output uses adjusted claims and not actual claims, only when the actual claims happen to be the same value as expected claims will net premiums and claims be equal in a given period.
They should however be approximately equal over a period of years excluding a year in which a disaster is recorded.
17.39 Claims are normally recorded as current transfers payable by the insurance corporation to the policyholder.
In some circumstances, an insurance corporation may set the level of premiums so low that they are not expected to cover costs and the predicted level of claims.
This may happen when the surplus from one line of business, for example home insurance, is being used to cross-subsidise another line of business, for example, vehicle insurance.
17.40 There is one case where claims may be recorded as capital transfers rather than current transfers and that is in the wake of a major catastrophe.
The criteria for when the effects of a catastrophe should be treated like this must be determined according to national circumstances but these may involve the number of policyholders affected and the amount of the damage done.
The rationale for recording the claims as capital transfers in this case comes from the fact that many of the claims will relate to destruction or serious damage to assets such as dwellings, buildings and structures.
Damage corresponding to a normal level of claims is covered by, for example, consumption of fixed capital or losses from inventories.
These losses are thus captured as current expenditure elsewhere in the system.
However, major losses in the wake of a catastrophe are recorded as the result of unforeseen events in the other changes in assets accounts and omitted from current expenditures.
The recommendation is thus to record claims as current or capital transfers analogously.
17.41 It is recommended that following a catastrophe, the total value of the claims related to the catastrophe should be recorded as a capital transfer from the insurance corporation to the policyholders.
Information on the level of claims to be met under insurance policies should be obtained from the insurance industry.
If the insurance industry cannot provide this information, one approach to estimating the level of the catastrophe-related claims is to take the difference between the adjusted claims and the actual claims in the period of the catastrophe.
17.42 A consequence of recording such claims as capital transfers means that the disposable income of households and other policyholders does not increase counter-intuitively as would be the case if the claims were recorded, as normal, as current transfers.
The net worth of the policyholders will show the effects of both the destruction of assets (as an other volume change) and an increase (initially) in financial assets from the capital transfers.
This recording is consistent with the recording of assistance by government of an NPISH to cover some or all of the costs of repairing or replacing the assets of those affected by the catastrophe who are not covered by an insurance policy.
17.43 Resident insurance corporations frequently provide insurance cover to households and enterprises in the rest of the world, and resident households and enterprises may purchase cover from insurance corporations in the rest of the world.
The investment income attributed by resident insurance corporations to policyholders includes an allocation to policyholders in the rest of the world.
These non-resident policyholders then also pay premium supplements to the resident insurance corporation.
This information should be available for resident insurers and should be included in the rest of the world account.
17.44 Similar considerations also apply to the treatment of resident enterprises and households taking out policies with non-resident insurers.
They receive imputed investment income from abroad and pay premiums and supplements to abroad.
Estimation of the size of these flows is more difficult, especially when there is no resident insurer of the same type against which to make comparisons.
However, very often the country providing the service will be known and it may be possible to use counterpart data to make estimates for the national economy.
The level of transactions by residents should be known and the ratio of premium supplements to actual premiums in the economy providing the services could be used to estimate the investment income receivable and premium supplements payable.
17.45 Altogether six pairs of transactions need to be recorded in respect of non-life insurance that is not part of social insurance; two pairs relating to the measurement of the production and consumption of the insurance service, three pairs relating to redistribution and one in the financial account.
Under exceptional circumstances, a seventh transaction relating to redistribution may be recorded in the capital account.
The value of the output of the activity, the investment income to be attributed to the policyholders and the value of the service charge are calculated specifically for other non-life insurance in the manner described above.
17.46 The production and consumption transactions are as follows:
a. Since all such activity by resident institutional units is undertaken by insurance corporations, the output is recorded in the production account of insurance corporations;
b. The service may be consumed by any of the sectors of the economy or by the rest of the world; the value of the service is payable to insurance corporations.
Payments by non-financial corporations, financial corporations, general government or non-profit institutions constitute intermediate consumption, recorded in their production account.
Insurance clearly associated with the productive activity of a household unincorporated enterprise is also recorded as intermediate consumption in the production account of households.
Other insurance payments by households are part of final consumption expenditure, recorded in the use of income account.
Payments by the rest of the world are recorded as exports in the external account of goods and services.
Table 17.1: Accounts for non-life insurance - uses
17.47 The redistributive transactions cover investment income attributed to policyholders in respect of non-life insurance, net non-life insurance premiums, and insurance claims:
a. Investment income attributed to policyholders in respect of non-life insurance is recorded as payable by insurance corporations.
It is recorded as receivable by all sectors and the rest of the world.
Both payables and receivables are recorded in the allocation of primary income account.
b. Net non-life insurance premiums are calculated as premiums earned plus premium supplements (equal to the investment income attributed to policyholders) less the value of the services consumed.
These net premiums are payable by all sectors of the economy or the rest of the world and receivable by insurance corporations.
c. Insurance claims incurred are payable by insurance corporations and receivable by all sectors of the economy and the rest of the world.
Both net premiums and claims are recorded in the secondary distribution of income account.
d. If some claims are to be treated as capital rather than current transfers, these are recorded in the capital account as payable to policyholders by insurance corporations.
17.48 Net non-life insurance premiums should be recorded on the basis of the amounts due to obtain cover in the period of account, not the amounts actually paid in the period.
Insurance claims should be recorded as payable on the date of the event concerned occurred, except in the type of case described above when the claim is recorded when the insurance company accepts that a liability exists.
An entry in the financial account records any difference between premiums payable and premiums earned and claims due and claims payable.
17.49 By convention, unearned premiums and reserves against outstanding claims are shown as a change in liabilities of insurance corporation (with a negative sign if necessary) and a change in assets of all sectors and the rest of the world.
17.50 An example of these flows is shown in table 17.1.
17.51 This section describes the way in which recording of the distribution of income account.
The reason for the different entries for life insurance differs from non-life insurance.
As treatment is that an individual policy other than social for non-life insurance, but more significantly in practice, a insurance is entered into entirely on the initiative of the life policy that qualifies as social insurance is recorded not policyholder.
Policies that qualify as social insurance as described here but as described in part 2 of the chapter. reflect the intervention of a third party, usually the The major difference between a normal life insurance government or the employer, to encourage or oblige the policy and one qualifying as social insurance is that under policyholder to make provision for income in retirement. the former, the benefits from the policy are treated as Distinguishing all payments made under social insurance mainly rundowns of wealth, recorded in the financial schemes, including those coming from qualifying account.
For a policy qualifying as social insurance, the individual policies, shows how far social policies to ensure benefits (pensions) are recorded as income in the secondary income in retirement are successful.
Table 17.1cont: Accounts for non-life insurance - resources
17.52 The holder of a life insurance policy is always an individual.
(If a company takes out an insurance policy on the life of an employee, this should be treated as term insurance and therefore as non-life insurance in the SNA.)
Life insurance transactions therefore take place only between insurance corporations and households, resident and non-resident.
The production of the insurance services is matched by the value of the services consumed by households as part of final consumption expenditure and exports.
The investment income attributed to insurance policyholders is treated as premium supplements.
However, premiums and claims are not shown separately in the case of life insurance and are not treated as current transfers.
Rather they constitute components of a net transaction recorded in the financial account, the financial asset involved being life insurance and annuities entitlements.
17.53 Four pairs of transactions are recorded in the accounts; two pairs relate to production and consumption of the insurance service, one pair shows the attribution of investment income to the property holders and one pair shows the change in life insurance and annuities entitlements:
a. The output of the life insurance activity is recorded in the production account for the insurance corporations.
b. The value of the services consumed is recorded as final consumption expenditure payable by households in the use of disposable income account or as payable by the rest of the world (exports to non-resident households).
Households may also make payments to non-resident insurers.
Such payments are treated as imports of insurance services.
c. Investment income attributed to insurance policyholders in respect of life insurance is recorded in the allocation of primary income account.
Bonuses declared in connection with life policies are treated as being distributed to policyholders even if they exceed the investment income earned by the institution declaring the bonus.
The investment income is recorded as payable by insurance corporations and receivable by resident households or non-resident households in the rest of the world.
d. In the financial account, the item change in life insurance and annuities entitlements is shown as a change in assets of households and the rest of the world and a change in liabilities of insurance corporations.
It is equal to actual premiums plus premium supplements (equal to the investment income attributed to policyholders) less the value of the services consumed and less benefits due.
17.54 An example of these flows is shown in table 17.2.
17.55 Some life insurance policies yield a lump sum at a given date rather than a stream of payments.
The lump sum may be used to purchase an annuity that itself converts a lump sum into a stream of payments.
The recording of annuities is described in section F.
17.56 Before discussing how the various elements contributing to section without any reference to the transactions between the measurement of output of reinsurance are recorded in the direct insurer and the reinsurer.
The transactions the SNA, it is necessary to describe how reinsurance is between the direct insurer and the reinsurer are recorded as measured and recorded. an entirely separate set of transactions and no consolidation takes place between the transactions of the direct insurer as
17.57 The transactions between the direct insurer and the issuer of policies to its clients on the one hand and the policyholder are measured as described in the previous holder of a policy with the reinsurer on the other.
Table 17.2: Accounts for life insurance - uses
17.58 The direct policyholder does not know, or need to know, whether the direct insurer involves a reinsurer to protect it against loss on the policy.
The direct insurer receives actual premiums from its policyholders.
Some of these are ceded to a reinsurer.
The premiums are shown as being first payable to the direct insurer and then a lesser premium is payable to the reinsurer.
This non-consolidation is sometimes referred to as gross recording on the part of the direct insurer.
The alternative (net recording) would be to show part of the direct policyholders' premiums being paid to the direct insurer and part to the reinsurer but this option is not recommended either in commercial accounting or in the SNA.
17.59 The actual premium payable by the direct insurer to the reinsurer is used by the reinsurer to earn investment income.
This investment income is treated as investment income payable to the direct insurer and returned to the reinsurer as a premium supplement.
Thus a direct insurer pays investment income to its policyholders based on the whole of the premiums earned (or by approximation payable) but also receives investment income from the reinsurer corresponding to the amount of the premiums it has ceded to the reinsurer.
The investment income receivable by the direct insurer from the reinsurer may be used to offset some of the investment income payable by the direct insurer to its policyholders but is not recorded explicitly as such.
17.60 As with direct insurance, in exceptional cases for example following a catastrophic natural disaster, some part of reinsurance claims may be recorded as capital transfers rather than as current transfers.
17.61 The whole of the output of the reinsurer represents intermediate consumption of the direct insurer holding the reinsurance policy.
As noted above, many reinsurance policies are between insurance corporations resident in different economies.
Thus the value of the output in these cases represents imports by the insurance corporation taking out the reinsurance policy and exports by the reinsurance corporation.
17.62 The recording of flows associated with reinsurance resembles the recording for non-life insurance except that the policyholder of a reinsurance policy is always another insurance corporation.
17.63 The production and consumption transactions are as follows:
a. Since all such activity by resident institutional units is undertaken by insurance corporations, the output is recorded in the production account of insurance corporations.
Reinsurance services may be, and often are, provided by non-resident units and thus are recorded in imports.
b. The service may only be consumed by another insurance corporation, though this may be a nonresident unit, and is intermediate consumption of that unit unless the policyholder is non-resident in which case it is recorded as exports of the reinsurer.
17.64 The redistributive transactions cover investment income attributed to policyholders in respect of reinsurance, net reinsurance premiums and reinsurance claims:
a. Investment income receivable by reinsurance policyholders is payable by insurance corporations, resident or non-resident, and receivable by similar institutions either resident or non-resident.
b. Net reinsurance premiums are calculated as premiums earned plus premium supplements (equal to the investment income attributed to policyholders) less the value of the services consumed.
These net premiums are payable by insurance corporations and receivable by [other] insurance corporations.
(Either of the units due to make the payment or to receive it may be nonresident.)
c. Reinsurance claims are payable by insurance corporations and receivable by [other] insurance corporations, either resident or non-resident.
Both net premiums and claims are recorded in the secondary distribution of income account.
d. Commissions payable by reinsurers to the insurance corporation as the reinsurance policyholder are treated as reductions in the premiums payable to the reinsurers.
e. Profit sharing payable by the reinsurer to the direct insurer is recorded as a current transfer.
(Although they are recorded differently, both commissions payable and profit sharing serve to reduce the output of the reinsurer.)
f. If some direct insurance claims are treated as capital and not current transfers, any reinsurance claims relating to the same event should also be treated as capital transfers.
17.65 An entry in the financial account records any difference between premiums payable and premiums earned and claims incurred and claims payable.
Table 17.2cont: Accounts for life insurance - resources
17.66 The simplest case of a life insurance policy is one where a stream of payments is made by the policyholder to the insurance corporation over time in return for a single payment received as a claim at some point in the future.
With the simplest form of annuity, the equivalent to the policyholder, called the annuitant, pays a single lump sum to the insurance corporation and in return receives a stream of payments either for a nominated period or for the rest of the annuitant's life (or possibly for the rest of the life of both the annuitant and a nominated other person).
17.67 Annuities are organized by insurance corporations and are a means of risk management.
The annuitant avoids risk by agreeing to accept a known payment stream (known either in absolute terms or subject to a formula, such as being index-linked) in return for parting with a considerable sum.
The insurance corporation takes the risk of making more from investing the sum than is due to the annuitant.
The rates of annuities are determined taking life expectancy into account.
The insurance corporation has to pay more than originally planned to long-lived annuitants who may receive more than their original payment and the income earned on it. Those who die early receive less, possibly considerably less, and the insurance corporation receives more than expected.
17.68 It is simplest to explain the working of an annuity by means of an example.
Suppose an insurance corporation offers an individual payments of 600 for life in return for a lump sum payment of 10 000 and further suppose that the insurance corporation expects the individual concerned to live for 25 years and that the discount rate being used is five per cent.
As shown in figure 17.1, the net present value of 600 for 25 years is only 8 700. Thus the remaining 1 300 represents the net present value of the service charges of about 90 per year the insurance corporation expects to make.
Thus, whether the annuitant recognizes it or not, the insurance corporation offer of 600 a year is a net figure.
The annuitant will actually be entitled to 690 a year but 90 is retained by the insurance corporation as a fee for its services.
17.69 Each year there is investment income payable to the annuitant equal to the unwinding of the discount factor of five percent on the remaining amount held by the insurance corporation.
In the first year, the proportion of the investment income relating to the prepaid premium (1 300) is 65 and the remaining 25 of the service charge is met from a drawdown of the value of 1 300 to 1 275. The remaining investment income (435) adds to the value of the net annuity reserve of 8 700. At the end of the first year, therefore, the annuity reserve is 8 535; the original sum of 8 700 plus the interest of 435 and less the payment of 600. The drawdown on the start of year amount of the net annuity reserve is thus 165 and the drawdown on the prepaid premiums is 25.
17.70 This process continues year by year.
As time progresses, the drawdown of the remaining reserves is an increasingly larger part of the payments due and the investment income payable a smaller part.
In principle, every year the insurance corporation can review its assumptions about the remaining life expectancy of the annuitant and recalculate the amount available as a service charge.
(In practice this is likely to be done at intervals and by cohort of annuitants.)
17.71 The detailed numerical example is intended to demonstrate the way an annuity functions but in fact it is not necessary to undertake all these calculations to determine the output of the insurance corporation.
The value of output can be determined more simply as the total investment income due to the annuitant (500) less the amount payable to him (600) less the change in the value of the reserves (a reduction of 190), or 90 (500-600-(-190)).
This result can be seen to be parallel to the measurement of life insurance except that there is no actual premium element.
17.72 The output of an insurance corporation associated with administering annuities is calculated as:
the investment income attributable to the annuitants.
minus the amount payable to the annuitants (or surviving beneficiaries) under the terms of the annuity;
minus the change in the annuity reserves but excluding the initial payments for new annuities.
The amount of the investment income attributable to the annuitants is equal to the discount factor times the start of year reserves and is independent of actual investment income earned by the insurance corporation.
The item is parallel to the concept of premium supplement in the life insurance context.
17.73 There are three sets of transactions recorded for an existing annuity and further entries required for the initiation and termination of an annuity.
a. A service charge associated with the annuity is payable every year.
It is recorded as output of the insurance corporation and final consumption expenditure of the household to which the beneficiary belongs.
This might be a non-resident household.
b. Investment income equal to the discount factor times the level of annuity reserves at the beginning of the period is recorded in the primary distribution of income account as payable by the insurance corporation and receivable by the household.
c. The change in the value of the reserves for annuities is recorded in the financial account as payable by the household to the insurance corporation.
17.74 When an annuity is initiated, there is a transfer of funds from the household to the insurance corporation.
In many cases, however, this may simply be a “rollover” from a lump sum payable by that or another insurance corporation from the maturing of a normal life insurance policy immediately into an annuity.
In such a case there is no need to record the payment of the lump sum and the acquisition of the annuity; there will simply be a change from life insurance reserves to annuity reserves in the insurance corporation and pension fund subsector.
If an annuity is purchased independently of the maturing of a life insurance policy, this is recorded as a pair of financial transactions between the household and the insurance corporation.
The household makes a payment to the insurance corporation and receives in return an asset arising from the terms of the annuity.
The insurance corporation receives a financial asset from the household and incurs a liability towards it.
17.75 Annuities are normally terminated by death, at which point any remaining reserves for that annuitant are transferred to the insurance corporation.
However, assuming the insurance corporation has predicted life expectancy accurately, for the group of annuitants as a whole, the average funds remaining at death will be zero.
If life expectancies change, revisions to the reserves must be made.
For annuities in operation, an extension of life expectancies will reduce the amount available to the insurance corporation as a service charge, possibly making this negative.
In such a case, the insurance corporation will have to draw on its own funds and hope to build these up again in future by associating higher service charges with new annuities.
Figure 17.1: Example of an annuity
17.76 Social insurance schemes are an important way in which individuals who participate in the scheme are paid benefits, described as social benefits, when certain conditions exist that would adversely affect their welfare.
Some social benefits, however, are payable independently of participation in a social insurance scheme.
It is the conditions under which the benefits are payable that identify a social insurance scheme, not the nature of the benefits in themselves.
17.77 A social insurance scheme is a form of contract and always involves at least one unit other than the beneficiary.
The other unit may be an employer, general government or a financial institution (often an insurance corporation) or sometimes a non-profit institution serving households (NPISH).
17.78 The objective of this part of the chapter is to describe how the various sorts of social benefits provided under social insurance schemes are recorded in the SNA.
In order to do this, it is necessary to clarify the identifying characteristics of a social insurance scheme, the nature of the other unit involved, the types of benefits payable and the ways in which these are funded.
17.79 Social benefits become payable when certain events occur, or certain conditions exist, that may adversely affect the welfare of the households concerned either by imposing additional demands on their resources or reducing their incomes.
Social benefits may be provided in cash or in kind.
There are a number of circumstances in which social benefits may be payable:
a. The beneficiaries, or their dependants, require medical, dental or other treatment, or hospital, convalescent or long-term care, as a result of sickness, injuries, maternity, chronic invalidity, old age, etc.
The social benefits may be provided in kind in the form of treatments or care provided free or at prices that are not economically significant, or by reimbursing expenditures made by households.
Social benefits in cash may also be payable to beneficiaries needing health care.
b. The beneficiaries have to support dependants of various kinds: spouses, children, elderly relatives, invalids, etc.
The social benefits are usually paid in cash in the form of regular dependants' or family allowances.
c. The beneficiaries suffer a reduction in income as a result of not being able to work, or to work full-time.
The social benefits are usually paid in cash regularly for the duration of the condition.
In some instances a lump sum may be provided additionally or instead of the regular payment.
People may be prevented from working because of:
· voluntary or compulsory retirement;
· involuntary unemployment, including temporary layoffs and short-time working;
· sickness, accidental injury, the birth of a child, etc., that prevents a person from working, or working full time.
d. The beneficiaries receive payments to compensate for suffering a reduction in income because of the death of the main income earner.
e. The beneficiaries are provided with housing either free or at prices that are not economically significant or by reimbursing expenditure made by households.
These are social benefits in kind.
f. The beneficiaries are provided with allowances to cover education expenses incurred on behalf of themselves or their dependants.
Occasionally education services may be provided in kind.
17.80 The above are typical circumstances in which social benefits are payable.
However, the list is illustrative rather than exhaustive.
It is possible, for example, that under some social insurance schemes other benefits may be payable.
Conversely, by no means all schemes provide benefits in all the circumstances listed above.
In practice, the scope of social insurance schemes is liable to vary significantly from country to country, or from scheme to scheme within the same country.
17.81 Many social benefits are provided by general government.
They may appear in the accounts as payments under social security, social assistance or social transfers in kind.
17.82 Social security is the name give to the social insurance scheme operated by general government.
As will be explained below, in order to receive social security benefits, an individual must participate in a social security scheme.
17.83 Social assistance is not a scheme and thus does not require participation.
However, social assistance is frequently restricted to individuals with low incomes, disabilities or other particular characteristics.
In some countries, though, a universal pension may be paid without any need for participation in which case it is part of social assistance also.
There is a section discussing the difference between social insurance and social assistance at greater length in chapter 8.
17.84 The definition of social benefits includes the possible provision of health and education services.
Typically general government makes such services available to all members of the community without requiring participation in a scheme or qualifying requirements.
These services are treated as social transfers in kind and not as part of social security or social assistance.
Social transfers in kind are also discussed in chapter 8.
17.85 In addition to health and education services provided by general government, such services may also be provided to individuals by NPISHs. These also are treated as social transfers in kind and not as part of social insurance schemes.
17.86 Social benefits may also be provided by employers to the employees and their dependents or may be provided by other units such as a trades union.
All social benefits provided by units other than general government are made under a social insurance scheme.
17.87 A social insurance scheme is a form of contractual insurance scheme where the policyholder is obliged or encouraged to insure against certain contingencies by the intervention of a third party.
For example, government may oblige all employees to participate in a social security scheme; employers may make it a condition of employment that employees participate in an insurance scheme specified by the employer; an employer may encourage employees to join a scheme by making contributions on behalf of the employee; or a trades union may arrange advantageous insurance cover available only to the members of the trades union.
Contributions to social insurance schemes are usually paid by, or on behalf of employees, though under certain conditions non-employed or self-employed persons may also be covered.
17.88 A social insurance scheme is an insurance scheme where the following two conditions are satisfied:
a. the benefits received are conditional on participation in the scheme and constitute social benefits as this term is used in the SNA; and
b. at least one of the three conditions following is met:
· Participation in the scheme is obligatory either by law or under the terms and conditions of employment of an employee, or group of employees;
· The scheme is a collective one operated for the benefit of a designated group of workers, whether employed or non-employed, participation being restricted to members of that group;
· An employer makes a contribution (actual or imputed) to the scheme on behalf of an employee, whether or not the employee also makes a contribution.
17.89 Those participating in social insurance schemes make contributions to the schemes (or have contributions made on their behalf) and receive benefits.
Contributions and benefits are defined in similar ways to insurance premiums and claims.
A social insurance contribution is the amount payable to a social insurance scheme in order for a designated beneficiary to be entitled to receive the social benefits covered by the scheme.
A social insurance benefit is a social benefit payable because the beneficiary participates in a social insurance scheme and the social risk insured against has occurred.
17.90 Social security is a form of social insurance scheme.
The relative importance of social security relative to other social insurance scheme varies considerably from one country to another depending on institutional arrangements.
In some countries, social security may be restricted to basic pension provision of the social safety net variety.
In such cases even the pension provision of general government employees may be dealt with other than via social security.
At the other extreme, almost all pension provision, including that accruing to employees in private enterprises, may be routed through social security.
17.91 The two classes of social insurance schemes are:
a. Social security,
b. Employment-related social insurance schemes other than social security.
The schemes other than social security may be arranged with an insurance corporation as a group policy or series of policies or they may be managed by an insurance corporation in return for a fee.
Alternatively, the schemes may be managed by an employer directly on his own behalf.
17.92 An insurance corporation may, for a fee, agree not only to manage a pension scheme but to take on the risks associated with it. This is done in the context of performing this service for a number of schemes collectively under what is called a multiemployer scheme.
Under many such schemes, the insurance corporation takes over the responsibility of managing the funds at its disposal so as to make sufficient funds available to meet pension liabilities and to make a surplus it can retain.
If it fails to make sufficient funds available for the pension entitlements, it is then the responsibility of this firm and not the original employers, to make good the difference from its own resources.
17.93 When government takes over the responsibility for providing pensions to large sections of the community, the social security function is in effect filling the role of a multiemployer scheme.
Like the insurance corporation, the government then takes on the responsibility for any shortfall in funds to meet the pension liabilities or may be entitled to retain any surplus generated.
It is often the case, though, that social security is funded on a pay-as-you-go basis so there is no question of a surplus arising and, if there is a shortfall in resources, government may have powers to change the entitlements not just relating to future employment but for the past also.
17.94 Many social insurance schemes are organized collectively for groups of workers so that those participating do not have to take out individual insurance policies in their own names.
In such cases, there is no difficulty distinguishing social insurance from insurance taken out on a personal basis.
However, some social insurance schemes may permit, or even require, participants to take out policies in their own names.
The determinants for the insurance to count as a social insurance policy are that the benefits must be of the social benefit type and an employer makes an actual or imputed contribution to the scheme on behalf of an employee.
17.95 The premiums payable, and claims receivable, under individual policies taken out under a social insurance scheme are recorded as social contributions and social insurance benefits.
Contributions to social insurance schemes are frequently paid on a monthly or even more frequent basis as they are often made directly when wages and salaries are payable.
17.96 Most individual policies that qualify as social insurance schemes are likely to be for pension provision but it is possible that they may cover other eventualities, for example to provide income if the policyholder is unable to work for a prolonged period because of ill-health.
17.97 Individual insurance policies that do not qualify as social insurance are described as individual insurance not qualifying as social insurance, or in short as other insurance.
They are recorded in the accounts of the SNA as described in part 1 of this chapter.
17.98 In the SNA, social insurance benefits and the corresponding contributions are divided between those relating to pensions and those relating to all other forms of benefit.
The most important pension benefit covered by social insurance schemes is income in retirement but a number of other contingencies may be covered also.
For example, pensions may be payable to widows and widowers or to people who suffer an industrial injury and are no longer able to work.
All of these sorts of contingencies that give rise to payments because the main income earner is no longer able, through death or incapacity, to provide an income for himself or herself and dependants are treated as pensions.
17.99 All other benefits are grouped together as non-pension benefits.
The distinction between the two is important because the SNA recognizes liabilities for some pensions whether there are actually assets set aside to meet the entitlements or not but recognizes reserves for non-pension benefits only when these actually exist.
17.100 Non-pension benefits may be payable under social security and under employment–related schemes other than social security.
Although in many countries there may in fact be no non-pension benefits, a description is given of how these should be recorded if they exist.
For other social insurance schemes, the way of recording varies depending on whether reserves for provision of future benefits are set aside or not.
Although in many cases there may be no such reserves and the benefits are paid on a pay-as-you-go basis, a description of the appropriate recording in each case is given.
17.101 As is typical of social security schemes, there may be contributions payable by both the employer and the employee.
The costs of operating social security schemes are treated as part of the normal expenditure of general government and so the accounting for social security operations does not include measures of output.
17.102 In the SNA flows are recorded as follows.
a. Employers' social security contributions are shown as payable by the sector in which the employer is located and receivable by households.
The sector of the employer may be any of non-financial corporations, financial corporations, general government (as an employer), employer households, NPISHs or the rest of the world (when a resident works for a non-resident institutional unit).
For resident employers the payables are shown in the generation of income account; payables by non-resident employers are shown in the primary distribution of income account for the rest of the world.
Receivables by resident households are shown in the allocation of primary income account and by non-resident households in the primary distribution of income account for the rest of the world.
b. In the secondary distribution of income account, the sum of employers' social security contributions and social security contributions by households in their capacities as employees is shown as payable by households and receivable by government.
Further, social security benefits in cash payable to households are shown as payable by government (or the rest of the world if from a foreign government) and receivable by households.
17.103 An example of these flows is shown in table 17.3.
17.104 In the SNA, an employer operating an unfunded scheme is regarded as making an imputed social contribution to the scheme on behalf of the employees.
In practice, the value of the employers' and employees' contributions is usually set equal in value to the benefits payable in the period under consideration (plus the cost of operating the scheme as described in the following paragraph).
The imputed contribution forms part of the compensation of employees and is also shown as being payable by the employees to the scheme together with any actual payments by the employees.
Even though the scheme is unfunded, the employee may still make a contribution; however, it is not uncommon for unfunded schemes to be non-contributory for the employees.
17.105 Even if a scheme is unfunded, there are costs involved in administering it. In principle, output equal to the sum of these costs should be treated as being paid for by the beneficiaries from an imputed element of contributions.
The imputed contribution to employees should include these costs as well as the value of the benefits received by employees.
A value equal to the amount of the costs of operating the scheme is then recorded in the use of income account as a purchase of a service by the employees from the employer.
17.106 There are two transactions recorded for the production and consumption of the services provided by the employer.
Because the scheme is unfunded, there are no investment income flows and no contribution supplements to be recorded.
There are two sets of redistributive transactions recorded.
17.107 The production and consumption transactions are as follows.
a. Output of services is imputed in the production account of the employer and the value of the output forms part of the imputed employers' contributions to social insurance incorporated in compensation of employees.
b. Consumption of the service is recorded as household final consumption expenditure in the use of income account for resident households or as exports for nonresident households.
17.108 The redistributive transactions are as follows.
a. Employers' imputed contributions to unfunded social insurance schemes are shown as a payable by the sector in which the employer is located in the generation of income account and a receivable by households in the allocation of primary income account.
b. In the secondary distribution of income account, employers' imputed contributions and any actual contributions by employees are shown as payable by households and receivable by the employer.
Further, benefits payable to households by the employer are shown as payable by the employer and receivable by households.
17.109 An example of these flows is shown in table 17.4.
17.110 As noted above, funded schemes for benefits other than pensions are not very common.
They may, however, exist in two circumstances.
The first is when an employer has a fund for such benefits and accumulates any underspend in one year to pay for possible overspends in future years.
Alternatively, an employer may realize that the commitments to make payments in future are such that it is prudent to build reserves to be able to make such payments.
An example of such a scheme might be one that provides health cover to present and past employees.
Unlike in the case of pensions, estimates of possible future claims on social insurance benefits other than pensions are not necessarily included in the SNA.
Liabilities are recorded only when and to the extent that they exist in the employer's accounts.
17.111 Funded social insurance covering benefits other than pensions may be carried out by insurance corporations or by employers on behalf of their employees.
The output of this activity is measured in the same way as the output of non-life insurance but the matching consumption of the services is payable only by the households of the beneficiaries.
These will be resident households except where a resident producer is liable to pay benefits to a present or former employee who is a non-resident or who has a non-resident family member entitled to the benefits.
The investment income attributed to the beneficiaries of the social insurance schemes can only be receivable by the same households.
17.112 Employers' contributions relate only to employees.
However, both current and former employees who are now, or may in future be, beneficiaries may make contributions to the scheme and receive investment income from it. This investment income is then treated as contribution supplements payable by those receiving it.
17.113 All contributions to the schemes are recorded as payable by households.
These contributions include that part paid by the employer as part of compensation of employees in the generation of income account as well as contributions paid directly by the employee funded from wages and salaries or by others including former employees.
Further, households receive investment income attributable to policyholders in respect of these contributions and this is treated, in total, as contribution supplements.
Two items of contributions appear in the secondary distribution of income account.
The first, the employers' actual social contributions, is exactly equal in value to the amount receivable by households from the employer in the generation of income account.
The second item, called households social contributions, includes the direct payment by households plus the contribution supplements less the service charge payable to the social insurance schemes.
Table 17.3: Accounts for non-pension benefits paid through social security - uses
Table 17.4: Accounts for non-pension social insurance benefits from unfunded other employment-related schemes - uses
Table 17.5: Accounts for non-pension social insurance benefits from funded other employment-related schemes - uses
Table 17.3cont: Accounts for non-pension benefits paid through social security - resources
Table 17.4cont: Accounts for non-pension social insurance benefits from unfunded other employment-related schemes - resources
Table 17.5cont: Accounts for non-pension social insurance benefits from funded other employment-related scheme - resources
17.114 Eight transactions must be recorded, one each relating to production and consumption of the insurance service, three relating to contributions and benefits, one to the investment income attributable to policyholders and two relating to the difference between contributions and benefits:
a. The activity by resident units is undertaken by insurance corporations or by an employer; the output is recorded in the production account of the insurance corporations or in the sector of the employer as appropriate;
b. Employers' actual social contributions to employment-related social insurance schemes are shown as payable by the sector in which the employer is located in the generation of income account and receivable by households in the allocation of primary income account;
c. Investment income attributed to policyholders (beneficiaries) in respect of these schemes is payable by insurance corporations and employers, and receivable by households.
Both payables and receivables are recorded in the allocation of primary income account;
d. Net social contributions are shown in the secondary distribution of income account as payable by households and receivable by insurance corporations or the sector of the employer as appropriate;
e. Employment-related social benefits other than pensions are also shown in the secondary distribution of income account as payable by insurance corporations or the sector of the employer and receivable by households;
f. The value of the service is payable by households as part of final consumption expenditure and is recorded in the use of income account, except for non-resident employee households where it is payable by the rest of the world;
g. The excess of net contributions over benefits represents an increase in the liability of the insurance scheme towards the beneficiaries.
This item is shown as an adjustment in the use of income account.
As an increase in a liability, it is also shown in the financial account.
As noted, the item is likely to occur only rarely and, for pragmatic reasons, changes in such non-pension entitlements may be included with those for pensions.
17.115 An example of these flows is shown in table 17.5.
17.116 Pensions are provided to individuals in an economy under one of three mechanisms, via social security, via employment-related schemes other than social security or via social assistance.
Together, social security and employment-related pension schemes other than social security constitute social insurance schemes.
Although the benefits provided under social assistance and some social insurance schemes may be very similar, the key distinction is that social insurance benefits are only paid if the beneficiary participates in the social insurance scheme, participation being normally evidenced by the beneficiary or another on his behalf having made qualifying contributions.
Social assistance is paid without qualifying contributions having been made though means-testing may be applied to applicants.
17.117 The means by which pensions are provided to persons in retirement varies considerable from one country to another.
This part of chapter 17 describes the most common forms of pension provision made under social insurance schemes though not all aspects may apply to all countries.
Pensions provided under social assistance are not discussed in this chapter but in chapters 8 and 9.
17.118 Social insurance pensions in all countries are provided, if at all, in part by general government and in part by employers.
The part provided by general government is called social security and the part by employers is called employment-related schemes other than social security.
The division between which pensions are provided by social security and which by other employment-related schemes varies considerably from country to country with the consequence that the coverage and therefore national perceptions of what the term “social security” designates also vary considerably.
In order to make clear the recommendations in the SNA, it is necessary to consider the types of coverage provided in different countries.
17.119 The narrowest form of social security pension is very basic.
The level may be fixed independently of the size of contributions (though not of the fact that contributions have been made for a given period of time).
An employee's right to a pension under social security is often transferable (“portable”) from one employer to another, which is an advantage not always applying to other pension provisions, but for many people in low paid jobs, working temporarily or intermittently, it may be the only form of pension provision they can expect to receive.
17.120 By contrast, in some countries most or all pension provision may be made via social security.
In this case, government acts as an intermediary relative to the employer so that once the government has received the contributions to the scheme paid by the employer and the households, the government then takes on the risk of making the eventual payment.
Government relieves the employer of the risk that the cost of pensions may be too great for his enterprise to meet and assures the population that pensions will be paid, though it may do so with the qualification that it may alter the amount of pensions payable, even retrospectively, if economic conditions so dictate.
17.121 Pension schemes run by private employers are usually not subject to retrospective adjustments of the amounts payable, but there is a risk that the employer may be unable to pay because he has gone out of business.
Increasingly, though, protection for the pension entitlements of individuals is becoming more common.
Equally, the pension built up with one employer may not be transferable to a new employer though this too is undergoing change.
While social security may be, and very often is, financed on a pay-as-you-go basis, without building up reserves for future liabilities, other employer schemes are increasingly likely to have reserves set aside.
Even if there are no reserves, accounting conventions may require them to recognize pension entitlements of present and past employees in their accounts.
17.122 Employment-related pensions, other than the most basic form of social security, are seen as part of the compensation package and negotiations between employees and employers may focus on pension entitlements as much as on current conditions of service and pay scales.
Often pensions are provided by private employers from funds that the employers control or contract to a third party such as an insurance corporation.
These funds may also provide social benefits other than pensions, for example private medical coverage.
It is sometimes possible for a specialized unit to agree to assume responsibility for providing pensions for a number of employers in return for assuming the risk of ensuring adequate funding is available to make the promised pensions.
Such an arrangement is called a multiemployer pension scheme.
17.123 As with non-pension social benefits, both current employees and former employees who are current or future beneficiaries may make contributions to the scheme and receive investment income from it. This investment income is then treated as contribution supplements by those receiving it.
17.124 It is common but not essential for both employers and employees to make contributions towards a social security pension.
It is also common for the contributions to be compulsory.
Social security pensions are frequently funded on a pay-as-you-go basis.
The normal assumption in the main accounts of the SNA is that this is how social security pensions are funded.
That is the contributions receivable in a period are used to fund the benefits payable in the same period.
There is no saving element involved, either for the government operating the scheme or for the individuals participating in it. No liabilities for the scheme are recognized in the main accounts of the SNA although concern is often expressed that benefits may exceed contributions and this situation is likely to worsen in an ageing population.
For this reason, estimates of the liabilities of social security as well as any other pension schemes not included in the main accounts are included in a supplementary table described below in section J.
17.125 The recording of the flows for social security pension schemes is simple.
Any contribution made by the employer is treated as part of compensation of employees.
It is recorded as payable by the employer in the generation of income account and receivable by the employee in the distribution of primary income account.
The employee then pays an amount equal to what he receives from the employer together with any contribution he is liable to make on his own behalf to the social security fund.
This amount is recorded as payable by households in the secondary distribution of income account and receivable by the government in the same account.
Any contributions made by self-employed or non-employed people are also included with the contributions payable by households to government.
Social security benefits are also recorded as payable by government and receivable by households in the secondary distribution of income account.
17.126 An example of these flows is shown in table 17.6.
It is similar in content to table 17.1 except that table 17.1 relates to non-pension benefits and table 17.6 to pension benefits.
17.127 There are two forms of employment-related pension schemes other than social security.
One is called a defined contribution scheme, sometimes referred to as a money purchase scheme.
(The expression “defined contribution pension scheme” is not intuitive but is widely used in the pension industry.)
The other is a defined benefit scheme, sometimes referred to as a final salary scheme, though this term does not accurately describe all defined benefit schemes.
Typically both schemes are contributory, often by both the employer and the employee.
17.128 A defined contribution scheme is one where the benefits payable to an employee on retirement are defined exclusively in terms of the level of the fund built up from the contributions made over the employee's working life and the increases in value that result from the investment of these funds by the manager of the scheme.
The entire risk of the scheme to provide an adequate income in retirement is thus borne by the employee.
17.129 A defined benefit scheme is one where the benefits payable to an employee on retirement are determined by the use of a formula, either alone or as a minimum amount payable.
In this case the risk of the scheme to provide an adequate income in retirement is borne either by the employer or is shared between the employer and employee.
In certain cases, the employer's risk may be borne by the multiemployer scheme that operates the defined benefit pension scheme on behalf of the employer.
A scheme that may be defined in terms similar to a defined contribution scheme but with a guaranteed minimum, say, or other such hybrid schemes are grouped with defined account and receivable by the employee in the distribution benefit pension schemes in the SNA. of primary income account.
17.130 For both types of schemes, pension entitlements of the participants are recorded as they build up. In both cases, there is investment income earned on existing entitlements and this is recorded as being distributed to the beneficiaries and reinvested by them in the pension scheme.
There are, though, a number of different features of the two schemes, so the transactions relating to each are described in detail separately before turning to other changes in the levels of pension entitlements.
The recording of transactions for a defined contribution scheme is less complicated than the defined benefit scheme and is described first.
17.131 For both types of schemes, a pension fund is assumed to exist.
For a defined contribution pension scheme, a fund must exist.
For a defined benefit pension scheme a fund may exist in reality or it may be a notional fund.
If it exists, it may be part of the same institutional unit as the employer, it may be a separate institutional unit (an autonomous pension scheme) or it may be part of another financial institution, either an insurance corporation or a multiemployer pension scheme.
In describing the recording of transactions, transactions with the pension fund must be attributed to the sector where the fund is located.
17.132 Recording the transactions related to a defined contribution pension scheme presents no conceptual problems.
There are no associated imputations either for the flows concerned or for the values appearing in balance sheets for the pension entitlements of the beneficiaries nor any doubt as to which unit has a liability and which an asset.
17.133 The contribution made by an employer to a defined contribution pension scheme on behalf of his employee is treated as part of compensation of employees.
It is recorded as payable by the employer in the generation of income
17.134 The investment income on the cumulated pension entitlements is also recorded as being distributed to (receivable by) households in the allocation of primary income account and is shown as payable by the pension fund.
The investment income includes interest and dividends payable plus the distributed income of collective investment schemes if the pension fund holds shares in them.
It is possible that the pension fund may own property and generate net operating surplus on this which is also included along with the investment income as being distributed to the pension beneficiaries.
In this case, the term investment income is to be interpreted as being elastic enough to include this source of income if it exists.
Holding gains and losses generated by the investment of the cumulated pension entitlements are not included in investment income.
17.135 Part of the income distributed to households is used to meet the costs of operating the pension fund.
This cost is shown as the output of the pension fund in the production account and as an element of consumption expenditure by households in the use of income account.
The remaining part of the distributed income is treated as pension contribution supplements paid back by households to the pension funds.
17.136 In the secondary distribution of income account, social contributions are shown as payable by households and receivable by the pension fund.
The total amount of the social contributions payable is made up of the actual contributions payable by the employers as part of compensation of employees, actual contributions by employees and possibly by other individuals (individuals formerly participating in a scheme, self-employed and non-employed persons as well as retirees) plus the contribution supplements just specified.
For clarity, and to enhance the comparison with defined benefit schemes, the supplements are shown at full value in both the allocation of primary income account where they appear as investment income and in the secondary distribution of income account where they appear as contribution supplements.
However, the service charge is shown as an offsetting negative element to total household contributions in the secondary distribution of income account.
The total contributions made by households to the pensions scheme are net in the same way that insurance premiums are net, that is to say they are the total of all contributions made less the service charge appearing in the use of income account.
Table 17.6: Accounts for pension benefits paid through social security - uses
17.137 Those other than employees who contribute to a defined contribution pension scheme may be self-employed persons participating in a defined contribution pension scheme or may be persons not employed who participate in a defined contribution pension scheme by virtue of their profession or former employment status, for example.
17.138 Also in the secondary distribution of income account, the pension benefits payable to households by the pension fund are shown.
However, the benefits payable under a defined contribution pension scheme take the form of a lump sum payable at the moment of retirement.
It may be a requirement of the scheme that these sums are to be immediately converted to an annuity with the same or another financial institution but this is not a universal requirement.
The appropriate recording of the benefits is not to show the benefit as payable immediately on retirement and then, where appropriate, reinvested in terms of an annuity or other forms of financial assets but notionally as a reclassification from life insurance entitlements to annuities entitlements.
However, since no distinction is normally made between these two sets of entitlements, no actual classification change will show in the accounts.
The recording of annuities is discussed in part 1 of this chapter.
17.139 In the use of income account, there is an entry for the payment of the service provided by the pension fund (equal to the value of the pension fund's output) payable by households to the pension fund.
17.140 In the same account there is an entry showing the increase (or decrease) in pension entitlements caused by the excess (or deficit) of contributions payable less benefits receivable in the secondary distribution of income account.
This amount is shown as payable to households by the pension fund.
Because much of the increase in the pension entitlement of participants in a defined contribution pension scheme, and thus ultimately the funding for the benefits, come from holding gains that are not included in the contribution supplements of participants in defined contribution pension schemes, the adjustment for the change in pension entitlements for these individuals will frequently be negative.
17.141 The adjustment for the change in pension entitlements that is included in the use of income account as payable by the pension fund to households is shown in the financial account as payable by households to the pension fund.
The effect of any transfer of the obligations to meet pension entitlements from a unit in one sector to another are also reflected in the financial account item.
17.142 The other factors affecting the change in the balance sheet entry for the change in pension entitlements are shown in the other changes in assets accounts.
In particular, the liabilities of the scheme to the beneficiaries show holding gains or losses in the revaluation account corresponding exactly to those on the assets held by the scheme to meet these obligations.
When payments under a defined contribution scheme are made via annuities, other volume changes may need to be recorded as explained in paragraph 17.136.
17.143 Table 17.7 illustrates the entries necessary to record the transaction related to a defined contribution scheme.
It is simpler than the corresponding table for a defined benefit scheme, which is described in the following section, because of the absence of any imputed transactions.
17.144 The fundamental difference in accounting for a defined benefit pension scheme as compared with a defined contribution pension scheme is that, for the defined benefit pension scheme, the benefit to the employee in the current period is determined in terms of the undertakings made by the employer about the level of pension ultimately receivable, whereas for the defined contribution pension scheme the benefit to the employee in the current period is determined entirely by the contributions made to the scheme and the investment income and holding gains and losses earned on these and previous contributions.
Thus while there is (in principle) exact information available on the benefits for the participant in the defined contribution pension scheme, the benefits for the participants in a defined benefit pension scheme must be estimated.
The source of these estimates is the actuarial estimates the employer is faced with in drawing up his own accounts.
Table 17.6cont: Accounts for pension benefits paid through social security - resources
17.145 There are four sources of changes in pension entitlements in a defined benefit pension scheme.
The first of these, the current service increase, is the increase in entitlement associated with the wages and salaries earned in the current period.
The second source, the past service increase, is the increase in the value of the entitlement due to the fact that for all participants in the scheme, retirement (and death) are one year nearer.
The third change in the level of entitlement is a decrease due to the payment of benefits to retirees of the scheme.
The fourth source of change comes from other factors, factors that are reflected in the other changes in assets account.
17.146 As with a defined contribution pension scheme, both employer and employee may make actual contributions to the scheme in the current period.
However, these payments may not be sufficient to meet the increase in the benefits accruing from the current year's employment.
Therefore an additional contribution from the employer is imputed to bring equality between the contributions and the increase in current service entitlements.
These imputed contributions are usually positive but it is possible for them to be negative if the sum of the contributions received exceeds the increase in current service entitlements.
The implications of this case are discussed below when examining the relationship between the employer and the fund.
17.147 At the end of an accounting period, the level of the pension entitlements due to past and present employees can be calculated by estimating the present value of the amounts due to be paid in retirement using actuarial estimates of the expected life length of the beneficiaries.
This is the amount that appears in the balance sheet as the liability towards the employees.
One element in the increase of this amount year by year is the fact that the present value of the entitlements existing at the beginning of the year and still due at the end of the year have increased because the future is one year nearer and so one fewer discount factor must be used to calculate the present value.
It is this unwinding of the discount that accounts for the past service increase in entitlements.
17.148 A further basic difference between a defined benefit pension scheme and a defined contribution pension scheme concerns the payment for the cost of operating the pension scheme.
As already noted, under a defined contribution pension scheme all the risk is borne by the beneficiaries.
The pension scheme is operated on their behalf and they pay for the cost of it. Since the fund may be operated by a unit other than the employer, it is appropriate to treat the operating cost as part of the investment income that is retained by the fund to meet its costs (and generate a profit).
In keeping with accounting for insurance, the investment income is treated as being attributed in full to the beneficiaries, part being used to meet the cost and the remainder being reinvested with the fund.
Table 17.7: Accounts for pension benefits payable under a defined contribution scheme - uses
17.149 For a defined benefit pension scheme, the situation is somewhat different.
The risk that the fund may be insufficient to meet the promises of entitlement is met in part or in whole by the pension manager (either the employer or a unit that has assumed the risk of meeting the pension obligations) and not by the beneficiaries alone.
The fund may be directly controlled by the employer and be part of the same institutional unit or may be purely notional.
Even in this case, there are costs associated with operating the scheme.
Although these are initially borne by the employer, it is appropriate to regard this as a form of income in kind provided to the employees and for convenience it may be included with the employers' contributions.
There is an element of pragmatism in this since this assumes all the costs are borne by current employees and none by retirees.
It also assumes that the attribution that must be made in the case of notional schemes can be applied in other circumstances also.
17.150 For a defined benefit scheme, it is unlikely that self- and non-employed persons currently contribute though it is possible if they were previously in employment giving rise to a defined benefit pension and have the right to continue to participate.
Those previously in employment (whether currently in receipt of a pension or not) receive investment income and pay contribution supplements.
17.151 The initial discussion assumes that the employer retains the whole responsibility for meeting the pension payments.
Alternatives involving the use of a multiemployer scheme or where government assumes responsibility on behalf of the employer are discussed subsequently.
17.152 The total contribution made by an employer to a defined benefit pension scheme on behalf of his employee must be sufficient that, together with any actual contribution by the employee and excluding the cost of operating the scheme, it exactly matches the current service increase in the employee's pension entitlements.
The contribution by the employer is divided into an actual and an imputed part, the latter being calculated so as to meet the need of an exact match between all contributions to the fund adding to the entitlements of the employee and the current service cost of these entitlements.
17.153 The contribution by the employer should be calculated in relation to the pension entitlement earned in the period regardless of any investment income earned by the scheme in the same period or any overfunding of the scheme.
The current period entitlement is part of compensation of employees and not to include the full value of the employer's contribution understates compensation of employees and therefore overstates operating surplus.
An extreme case has occurred in the past when the investment of the pension entitlements has done so well that the employer has taken a “contribution holiday”, that is he has not made an actual contribution towards new entitlements.
It is important that contributions continue to be recorded even in the event of a contributions holiday, the benefit to the employer being regarded as a change in liabilities between the pension fund and the employer.
This leaves the net worth of both the same as when contributions are not recorded under a contributions holiday without reducing compensation of employees artificially.
Table 17.7cont: Accounts for pension benefits payable under a defined contribution scheme - resources
17.154 Under many defined benefit schemes, there is a qualifying period before an employee does in fact become eligible to receive a pension in retirement.
Despite this qualifying period, both contributions and entitlements should be recorded from the start of employment adjusted by a factor reflecting the probability that the employee will in fact satisfy the qualifying period.
17.155 The sum of employers' actual and imputed pension contributions is treated as part of compensation of employees.
It is recorded as payable by the employer in the generation of income account and receivable by the employee in the allocation of primary income account.
17.156 The increase in the present value of the entitlements of continuing employees and those who no longer contribute but remain eligible for pensions in future (the past service increase) represents the investment income distributed to the employees.
No deduction is made for any amount that may be funded from holding gains or that is not actually matched by existing funds.
It matches the amount that is unequivocally due to the employee under the prevailing agreements; the means by which the employer may ultimately match this obligation is not relevant for the recording of this as investment income any more than the means by which interest or dividends are actually financed affect their recording as investment income.
The investment income is recorded as payable by the pension fund and receivable by households.
It is immediately reinvested by the households in the fund and in this guise is described as pension contribution supplements.
17.157 In the secondary distribution of income account, social contributions are shown as payable by households and receivable by the pension fund.
The total amount of the social contributions payable is made up of the actual and imputed contributions payable by the employers as part of compensation of employees (excluding the amount of the costs of running the pension scheme), plus actual contributions by employees plus the contribution supplements just specified.
As explained in the discussion under defined contribution schemes, the accounts show the full value of the contributions and contribution supplements with an offsetting item representing the service charge payable.
The amount actually payable is thus a net contributions figure.
Table 17.8: Accounts for pension benefits payable under a defined benefit scheme - uses
17.158 Also in the secondary distribution of income account, the pension benefits payable to households by the pension fund are shown.
When the benefits are taken in terms of an annuity, it is the annuity payments that are shown here, not the lump sums payable at the time of retirement.
(Unless the demographics of the retirees changes dramatically, the two figures will be very similar in any case.)
17.159 In the use of income account, there is an entry for the payment of the service provided by the pension fund (equal to the value of the pension fund's output plus the output of the enterprises operating annuities bought with pension entitlements) payable by households to the pension fund and recorded as final consumption expenditure.
17.160 Also in the use of income account, there is an entry showing the increase (or decrease) in pension entitlements caused by the excess of contributions payable less benefits receivable in the secondary distribution of income account.
This amount is shown as payable to households by the pension fund.
In the case of a defined benefit pension scheme, the amount is unlikely to be negative unless it is a scheme for a defunct employer and it is only paying benefits and not receiving new contributions.
17.161 The same amount that is included in the use of income account as the adjustment for the change in pension entitlements is included in the financial account as a claim by households on the pension fund.
(The other part of this item reflects any change in responsibility for pension entitlements recorded as part of capital transfers.)The other factors affecting the change in the balance sheet entry for the change in pension entitlements are shown in the other changes in assets accounts and are discussed below in section 4.
17.162 It is possible that some other organization, such as a trades union, may operate a defined benefit pension scheme for its members that is in all respects parallel to an employer's defined benefit pension scheme.
Exactly the same recording is followed as just described except that references to the employer should be understood to refer to the scheme organizer and references to the employee should be understood to refer to the participant in the scheme.
Table 17.8cont: Accounts for pension benefits payable under a defined benefit scheme - resources
17.163 As noted above, an employer may contract with another unit to administer the pension fund and arrange disbursements to the beneficiaries.
There are two ways in which this may happen.
The operator of the pension fund may simply act as the employer's agent and the responsibility for any shortfall in the fund (or the benefit of any excess) remains with the employer.
In this case the unit handling the day to day running of the pension fund is called the pension administrator.
17.164 However, it is not uncommon for a single unit to contract with several employers to manage their pension funds as a multiemployer pension fund.
The arrangements are such that the multiemployer pension fund accepts the responsibility for any shortfall in the funds to meet the liabilities in return for the right to keep any excess funds.
By pooling the risks over a number of employers the multiemployer fund expects to balance under- and over-funding so as to emerge with an excess over all the funds taken as whole in a similar way that an insurance corporation pools risk for many clients.
In such a case, the unit assuming responsibility for meeting the pension obligations becomes the pension manager in place of the employer.
17.165 In the case where the employer retains the liability for any underfunding or the benefit of any overfunding, a claim on (or liability towards) the employer (the pension manager) by the pension fund should be recorded for any deficit or surplus.
This claim is equal to the difference between the increase in pension entitlements and the sum of the contributions and contributions supplements in the period, plus the investment income earned on the entitlements, plus the holding gains made on them, less the pensions payable, less the fee charged by the pension administrator.
When the amount accruing to the pension fund exceeds the increase in entitlements, there is an amount payable by the pension fund to the employer as pension manager.
In this way the net worth of the pension fund remains exactly zero at all times.
17.166 The amount due to the pension manager by the pension fund is where the impact of a contribution holiday shows up since it includes the amount of the employer's contributions that would normally be payable.
17.167 In order to illustrate the recording of transactions connected with a defined benefit pension scheme, table 17.8 shows a numerical example.
Figures that are imputed are shown in bold; those that result from re-routing are shown in italics.
17.168 Actuarial calculations show that the increase in pension entitlement coming from current service, that is the pension “earned” in the year in question is 15. Households (the employees) contribute 1.5. The employer therefore is obliged to provide 13.5. In addition the cost of operating the scheme is estimated at 0.6. In total therefore the employer must provide 14.1. He actually contributes 10 so the remaining 4.1 is an imputed contribution.
The output of
0.6 is shown in the production account; the contributions by the employer are shown as payable by the employer in the generation of income account and receivable by the households in the allocation of primary income account.
17.169 In the allocation of primary income account, investment income is also shown.
The increase in pension entitlement coming from past service, due to the unwinding of the discount factor because retirement is one year nearer, is 4. This is shown as an imputed flow of investment income from the pension fund to households.
At the same time, the pension fund actually earns 2.2 from investment income of the funds they manage.
At this point, therefore, there is a shortfall of 1.8 in the pension fund resources but it is not shown in the current accounts.
17.170 In the secondary distribution of income accounts, the payments from households to the pension fund are shown.
This can be viewed in one of two ways.
The sum of the contributions paid by households should be equal to the increase in entitlements coming from current service (15) plus that coming from income on past entitlements (4) or 19 in total.
The amounts actually paid are 10 received as the employers' actual contributions, 4.1 as the imputed contributions, 1.5 of the households own contributions, contribution supplements of 4 less the service charge of 0.6; again 19 in total.
In the same account pensions of 16 are also shown as payable by the pension fund to households.
17.171 In the use of income account, as well as the purchase of the service charge as part of household final consumption expenditure, the change in pension entitlement is shown as payable by the pension fund to households.
In this example, the amount of household contributions of 19 is set against pension benefits of 16. There is thus an increase in pension entitlements of 3 owing to households.
17.172 Households have saving of 17.5 of which 3 is the increase in their pension entitlements.
This means that they have acquired other financial assets (or reduced liabilities) by 14.5. This figure is the difference between the benefits received (16) and households' actual contributions of 1.5.
17.173 For pension funds, saving is -1.2 but this can be seen as the composite of the actual and imputed elements.
In terms of actual flows, pension funds receive contributions of 10 from employers routed via households, 1.5 from households and pay out benefits of 16. In addition, they receive investment income of 2.2. Their disposable income is thus -2.3. When the change in pension entitlements of 3 is taken into account, saving is -5.3. In addition, employers make an imputed contribution of 4.1. This is routed via households but adds 4.1 to the saving of the pension fund and reduces saving of the employer by the same amount.
17.174 In the financial account of the pension fund, the figure of 4.1, which was the imputed contribution, is shown as the claim of the pension fund on the employer.
There is a claim by households on the pension fund of the change in pension entitlements of 3. In addition the pension fund either runs down financial assets or increases liabilities by 2.3, the figure corresponding to disposable income excluding the imputed contribution element from the employer.
17.175 Table 17.7 shows the similar flows for a defined contribution scheme.
The accounts are simpler, compared to the defined benefit case, because there are no imputed contributions.
Further, the investment income payable by the pension fund to households reflects only investment income received by the pension fund and does not involve calculations about increases in entitlement from the operation of a formula.
17.176 The investment of the entitlements of defined contribution pension schemes leads to holding gains (and possibly losses).
These come about through the management of the assets held by the fund but an amount exactly equal to the holding gains and losses should be attributed as an increase in the pension entitlement of the beneficiaries.
The holding gains appear under entries for the relevant assets in the revaluation account for the pension fund with a matching entry for the increase in the liability of the pension fund towards households.
17.177 At first sight it would seem that there are no entries to be made in the other changes in assets accounts for a defined benefit pension scheme since the two components recorded as the pension contributions and investment income are matched exactly to the increase in entitlements.
However, because the nature of a defined benefit pension scheme is that the amounts due are determined by a formula, there are other factors that may intervene to change the level of entitlements.
These factors include a price escalation clause, changes in the formula used to determine benefits and demographic assumptions about life length.
The special case of the impact of promotions on entitlements is discussed separately below.
17.178 A pension fund invests the funds at its disposal.
If they work on a fully funded basis, the investment income should be more than enough to cover any price escalation clause in the pension agreement.
The excess may also be sufficient to cover some other adjustments to entitlements.
However, a major source of revenue comes from holding gains on investments.
These were assumed to be sufficient to cover most or all changes in entitlements.
It has become clear that many schemes were underfunded in the expectation that holding gains would make up this shortfall also.
17.179 Given these adjustments are funded in large part by holding gains which appear in the revaluation account, it seems reasonable to record the contingencies that they are assumed to cover in the other changes in the volume of assets account except for the price escalation factor which should appear in the revaluation account.
17.180 Many defined benefit pension schemes use a formula to set benefits that involves either the final salary or average salary as a key determinant.
This implies that any promotion means that the total pension entitlements accrued to date are increased to take account of the new salary level.
This is a significant benefit for the individual being promoted but what are the consequences for the employer's pension liabilities?
17.181 The accounting profession uses two actuarial terms that bear on this discussion.
The accrued benefit obligation (ABO) records, as it name implies, only the benefits actually accrued to date.
It represents the amount the employee could walk away with if he left the firm tomorrow and may be the basis of assessing a person's net worth in the case of a divorce settlement, for example.
A projected benefit obligation (PBO) is a more prudent measure of what the eventual level of entitlement is likely to be. For an individual, the PBO makes assumptions about how many future promotions the person is likely to receive and calculates his final salary accordingly.
Then, if he has in fact only worked 20 out of an expected 40 years, it halves the final salary and calculates pension entitlement for the individual as if this were his current salary.
Where an individual's ABO increases in steps as he is promoted, the PBO increases steadily over time.
For the individual, PBO is always higher than ABO until the moment of retirement when the ABO catches up with the PBO.
17.182 It would seem at first sight that the level of pension entitlements for a corporation should be the sum of all the pension entitlements of each of the employees and that therefore the sum of the PBO estimates would be considerably higher than that of the sum of the ABO estimates and would evolve more smoothly over time.
However, what is true for the individual is not necessarily true for the cohort of employees.
Suppose the employer has five classes of people for whose pensions he is responsible, four grades of employees and one set of retirees, and for simplicity there are the same number of each.
Consider the situation where in a year the retirees die; the most senior set of employees retire, the next three sets of employees are all promoted and a new set of employees is recruited at the lowest level.
Every current employee is better off after promotion but the overall liability of the employer has not changed.
The effect of aggregating ABOs is to smooth the total entitlement and while it will still be lower than the aggregate PBOs, it will not necessarily be more volatile.
Indeed it may be more stable.
17.183 While the profile of the ABO of an individual will show step changes when promotions occur, for a cohort of employees, the effect is much smoother.
For a cohort of the same age remaining with the corporation for the whole of their working lives, the ABO estimates will be considerably lower than PBO estimates in the early years but the rate of increase of the ABOs will be faster than that of the PBOs so that at the point immediately before retirement, the two sets of estimates will be equal.
Merging cohorts of employees with different periods of service with the corporation will bring the ABO estimates for all employees closer to the PBO ones also.
17.184 As long as the grade structure of the corporation stays the same, ABO and PBO will move roughly in step.
If the firm expands and takes on many new employees at the lower grades, the PBO will be increase noticeably faster than the ABOs because the PBOs make estimates of how long the new employees will stay and how far they will be promoted while the ABOs record simply the pension accrued in their first year.
If the firm decides to downsize and reduces the number of their managerial staff, this will reduce the promotion prospects of the employees and a downward revision in PBO will be necessary.
Because ABOs reflect simply the “locked-in” pension, this estimate is not affected.
17.185 The question arises, though, of how to record the impact of as a price change and record the change in the revaluation promotion on the employee if an ABO recording is used. account.
Table 17.9: Detailed transactions concerning social insurance
17.186 If the PBO method of recording entitlements is chosen as the preferred valuation, an adjustment in the other changes in volume of assets account is needed only if the structure of the enterprise changes so the chances of promotion change.
On the other hand, the regular estimates of the employer's contributions to social insurance schemes included in compensation of employees will be systematically higher than those made under an ABO regime because the increase in pension entitlement that determines the size of the contributions will be based on a notional salary calculated on a PBO basis rather than the actual one.
17.187 One characteristic of the changing environment of pensions is the increasing possibility of having “portable pensions”. Until recently it was often the case that a person leaving one employer had his pension frozen at that point and had to start a new pension with the new employer.
It is becoming more common now for a person moving jobs to be able to convert the pension entitlement with the former employer to one with the new employer.
When this happens, the pension entitlement of the household concerned is unaffected but there is a transaction between the two pension funds as the new one assumes the liability of the former.
In addition there will be a counterpart transaction in some assets to match these liabilities.
If the new employer is running a scheme that is actually unfunded, he may receive cash from the former employer.
If this cash is then used by the employer for purposes other than the pension fund, his liability to the fund increases and his use of the cash appears as net borrowing.
17.188 If government assumes the responsibility for pension provision for the employees of a non-government unit through an explicit transaction, a pension liability should be recorded in the balance sheet of government.
If the government does not receive matching assets in return, the difference between the increase in the government's liability and the assets received is shown as a capital transfer to the non-government employer.
There is further discussion of this type of arrangement in chapter 22.
17.189 Another way in which pension entitlements may be transferred between funds is when one corporation takes over another.
If the pension fund is a separate institutional unit, all that changes is control of the pension fund.
If there is no separate institutional unit, assuming the takeover does not change the terms of the pension plan for existing participants, the corporation being taken over passes both the pension liabilities and the corresponding assets to the new owner.
17.190 For cross-reference with tables in other chapters, table 17.9 shows the itemized components of transactions pertaining to social and other insurance in tables 17.1 to 17.8 inclusive.
17.191 In recognition of the fact that social security is normally financed on a pay-as-you-go basis, entitlements accruing under social security (both pensions and other social benefits) are not normally shown in the SNA.
If all countries had similar benefits provided under social security and under private schemes, international comparisons would be relatively straightforward.
However, as pointed out at the beginning of this part, this is far from being the case and national perceptions of exactly what is covered by social security vary considerably.
17.192 There are two problems with simply suggesting that entitlements from social security should be shown in the SNA.
The first is that reliable estimates of the entitlements may not be readily available whereas it is increasingly the case that such estimates exist for private schemes.
Secondly, there is an argument that such estimates are of limited usefulness where government has the possibility of changing the basis on which entitlements are determined in order to keep the entitlements within the bounds of what is budgetarily feasible.
However, the consequence of simply accepting that entitlements for private schemes are shown and for social security are not is that some countries would include the greater part of pension entitlements in the accounts and some would show almost none.
17.193 In recognition of this dilemma, some flexibility regarding the recording of pension entitlements of unfunded pension schemes sponsored by government for all employees (whether private sector employees or government's own employees) is provided.
Given the different institutional arrangements in countries, only some of these pension entitlements may be recorded within the main sequence of accounts (here referred to as the “core accounts”).
In addition, however, a further table is to be presented that provides information disclosing the proportion of pension provision covered in the core accounts with some approximate estimates for the remaining schemes.
It is a requirement, though, that a set of criteria be provided to explain the distinction between those schemes carried forward to the core accounts and those recorded only in the supplementary table.
17.194 The sort of criteria that might be considered are the following: The closer a government employer pension scheme is to the prevailing social security scheme, the less likely it is to appear in the core accounts; the less the benefits are tailored to the specific characteristics of the individual and the more they are applicable to the population at large, the less likely it is to appear in the core accounts; the greater the ability of government to alter the benefit formula, the less likely it is to appear in the core accounts.
However, none of these criteria alone is necessarily decisive in determining whether the scheme is treated in the core accounts or not.
17.195 By making this supplementary table and annotation a standard requirement for international reporting, analysts have the possibility of ensuring that cross country comparisons are not unduly clouded by the institutional variations from country to country.
Further work on refining the criteria for the distinction between the pension schemes fully recorded in the core accounts and those where the entitlements are shown only in the supplementary table is to be part of the SNA research agenda.
17.196 The supplementary table is shown in table 17.10.
As well as the possibility of including less robust estimates for countries with large social security sectors, the possibility will also exist of working back to a narrower coverage of private pensions for all countries being analysed.
Table 17.10: A supplementary table showing the extent of pension schemes included and excluded from the SNA sequence of accounts
17.197 As noted above, providing detail on defined contribution schemes is relatively straightforward since full accounts must be available and no actuarial estimation is involved.
Most of these are in the corporations sectors (column A) but it is possible that some government employees may be covered by them (column D).
All defined contribution pension schemes should be included in the core accounts.
Estimates for all defined benefit pension schemes outside social security should also be included (column B).
17.198 Government schemes for their own employees where separate accounting information, distinct from social security, is shown in the main accounts appear in columns E and F. Column E shows schemes managed by an insurance corporation and column F those managed by government itself.
Any government schemes for their own employees distinct from social security that do not appear in the main accounts, are shown in column G. The sum of columns E, F and G therefore show the total responsibility of government for pension provision for their own employees.
(Column F shows that part of all defined benefit schemes of government that are retained within the government accounts as distinct from being moved into separate units or managed for government by another institutional unit.
Column H relates to social security schemes.
Column C shows the total of all non-government schemes and column I the total of all schemes including social security.
17.199 For the most part, the beneficiaries of pension schemes are likely to be resident households.
In some countries, though, the number of non-resident households receiving pension benefits may be significant.
In this case, column J should be added indicating the amount of the total that concerns non-resident households.
17.200 Some of the entries in the rows of columns G and H, specifically the actual contributions made by both employers and employees, appear in the core accounts, even though the entitlements and change in entitlements do not.
Other entries in the columns for G and H shown only in the supplementary table are shaded in the table and explained below.
17.201 The imputed contribution by employers for those government schemes for which entitlements appear in column G but not in the core accounts requires special consideration.
In the core accounts, this item is calculated, by convention, as equal to the difference between current benefits payable and actual contributions payable (by both employees and employers).
In the supplementary table, this is replaced by the amount needed to ensure the total contributions, actual and imputed, by both employers and employees, covers both the increase in pension entitlements from current service and the costs of operating the scheme.
17.202 An item calculated on the same basis in respect of social security is shown in row 3 as “other (actuarial) accumulation of pension entitlements in social security funds”. The distinction from employers' imputed social contributions is deliberate and is intended to emphasize the probable fragility of these estimates.
17.203 Items for household social contribution supplements and the other changes in entitlements are shown on the same bases as for private schemes.
17.204 Changes in pension entitlements are recorded as transactions in the following cases:
a. If the pension scheme is included in the core accounts, and the employer manager agrees a change in the terms of pension entitlements via negotiation with the affected employees, this change should be recorded as a transaction in the core accounts.
b. If the pension scheme is not recorded in the core accounts, and the employer manager agrees a change in the terms of pension entitlements via negotiation with the affected employees, this change should be recorded as a transaction in the supplementary table.
c. In the case of social security, if changes in entitlements are agreed in parliament, this is also recorded as if it is negotiated.
17.205 Changes in pension entitlements that are imposed without negotiation are recorded as other changes in the volume of assets
17.206 The difference in the type of recording is one of principle but it is recognized that the distinction between what is negotiated and what is imposed without negotiation will be difficult to determine in practice with different situations prevailing in different countries.
17.207 A loan guarantee is normally an arrangement whereby one party, the guarantor, undertakes to a lender that if a borrower defaults, the guarantor will make good the loss the lender would otherwise suffer.
Often a fee is payable for the provision of a guarantee though the form of this varies.
Sometimes the guarantor will acquire some rights over the defaulting borrower.
Similar guarantees may be offered in respect of other financial instruments, including deposits.
This section refers to similar guarantees of all financial instruments.
17.208 Guarantees have a significant impact on the behaviour of economic agents, both by influencing their decisions on production, income, investment or saving and by modifying the lending and borrowing conditions on financial markets.
Some borrowers might have no access to loans or be willing to make deposits in the absence of guarantees, while others might not benefit from comparatively low interest rates.
Guarantees are particularly significant for the general government sector and for the public sector as government activities are often linked to the issuance or activation of guarantees.
17.209 Three classes of guarantees are recognized.
No special treatment is proposed for guarantees in the form of manufacturers' warrantees or other form of guarantee.
(The cost of replacing defective merchandise is an intermediate cost of the manufacturer.)
17.210 The first class of guarantees is composed of those guarantees provided by means of a financial derivative, such as a credit default swap.
These derivatives are actively traded on financial markets.
The derivative is based on the risk of default of a reference instrument and so is not actually linked to an individual loan or bond.
Incorporating the transactions connected with establishing this sort of financial derivative is discussed in chapter 11.
17.211 The second class of guarantees, standardized guarantees, is composed of the sorts of guarantees that are issued in large numbers, usually for fairly small amounts, along identical lines.
There are three parties involved in these arrangements, the debtor, the creditor and the guarantor.
Either the debtor or creditor may contract with the guarantor to repay the creditor if the debtor defaults.
The classic examples are export credit guarantees and student loan guarantees.
Government guarantees of other financial instruments such as loans and some other debt securities in return for a fee are other examples.
Here, although it is not possible to establish the likelihood of any one debtor defaulting, it is not only possible but standard practice to estimate how many out of a batch of similar debts will default.
If the guarantor is working on purely commercial lines, he will expect all the fees paid, plus the investment income earned on the fees and any reserves, to cover the expected defaults along with the costs and leave a profit.
This is exactly the same paradigm as operates for non-life insurance and a similar treatment is adopted for these guarantees, described as “standardized guarantees”. This involves including transactions and balance sheet items parallel to those for non-life insurance, including the generation of output and payments of a fee supplement and a service fee by those taking out the guarantees.
17.212 The third class of guarantees, described as one-off guarantees, consists of those where the loan or the security is so particular that it is not possible for the degree of risk associated with the debt to be calculated with any degree of accuracy.
In most cases, the granting of a one-off guarantee is considered a contingency and is not recorded as a financial asset/liability.
(As an exception, one-off guarantees granted by governments to corporations in certain well-defined financially distressed situations and with a very high likelihood to be called are treated as if these guarantees are called when the financial distress is recognized.)
If a fee is charged, this is recorded as a payment for a service at the time of payment.
If a call is made under a guarantee, a capital transfer is recorded from the guarantor to the guarantee holder at the time of default or, in cases where the guarantor obtains an effective claim on the guarantee holder, a financial transaction (including increases in equity participation) is recorded.
17.213 Standardized guarantees are to be distinguished from one-off guarantees based on two criteria:
a. They are characterized by often repeated transactions with similar features and pooling of risks;
b. Guarantors are able to estimate the average loss based on available statistics by using a probability-weighted concept.
One-off guarantees are, on the contrary, individual, and guarantors are not able to make a reliable estimate of the risk of calls.
17.214 Financial derivatives are described in chapter 11.
The treatment of standardized guarantees follows.
17.215 Standardized guarantees may be provided by a financial institution, including but not confined to insurance corporations.
They may also be provided by government units.
It is possible but unlikely that non-financial corporations may provide these sorts of guarantees; it is most unlikely that they would be provided by any unit to a non-resident unit.
As indicated above, standardized guarantee schemes have much in common with non-life insurance.
In the general case, similar recording is recommended as described below.
17.216 When a unit offers standardized guarantees, it accepts fees and incurs liabilities to meet the call on the guarantee.
The value of the liabilities in the accounts of the guarantor is equal to the present value of the expected calls under existing guarantees, net of any recoveries the guarantor expects to receive from the defaulting borrowers.
The liability is entitled provisions for calls under standardized guarantees.
17.217 A guarantee may cover a multiyear period.
A fee may be payable annually or upfront.
In principle the fee should represent charges earned in each year the guarantee holds with the liability decreasing as the period gets shorter and so the same sort of recording should be followed here as for annuities with the fee paid earned as the future liability decreases.
In practice, some units operating guarantees may have data only on a cash basis.
This is inaccurate for an individual guarantee but the nature of the standardized guarantee scheme is that there are many guarantees of the same type, though not all for exactly the same time period nor all starting and finishing on the same dates.
Unless there is reason to suppose that there is a major change in the nature of the guarantee holders over time, using cash based data should not introduce significant error.
17.218 Altogether six sets of transactions need to be recorded in respect of standardized guarantee schemes; two relating to the measurement of the production and consumption of the guarantee service, three relating to redistribution and one in the financial account.
The value of the output of the activity, the investment income to be attributed to the guarantee holder (whether creditor or debtor) and the value of the service charge are calculated in the manner described above for non-life insurance with the concepts of fees replacing premiums and calls under a standardized guarantee scheme replacing claims.
17.219 The production and consumption transactions are as follows:
a. The output is recorded in the production account of the sector or subsector to which the guarantor belongs.
b. The service may be paid for by either the borrower or the lender of the debt being guaranteed.
When non-financial corporations, financial corporations, general government or non-profit institutions pay fees to obtain this sort of guarantee, the fees constitute intermediate consumption, recorded in their production account.
Any fees for such guarantees payable by households are part of final consumption expenditure, recorded in the use of income accounts.
17.220 The redistributive transactions cover investment income attributed to guarantee holders in respect of standardized guarantee schemes, net fees, and calls under standardized guarantee schemes.
a. Investment income attributed to guarantee holders in respect of standardized guarantee schemes is recorded as payable by the guarantor.
It is recorded as receivable by the unit paying the fee.
Both payables and receivables are recorded in the allocation of primary income account.
b. Net fees are calculated as fees receivable plus fee supplements (equal to the investment income attributed to the unit paying the fee for the guarantee) less the value of the services consumed.
These net fees are payable by all sectors of the economy and receivable by the sector of the guarantor.
c. Calls under standardized guarantee schemes are payable by the guarantor and receivable by the lender of the debt under guarantee, regardless of whether the fee was paid by the lender or the borrower.
Both net fees and calls are recorded in the secondary distribution of income account.
17.221 In the financial account, an entry shows the difference between payment of fees for new guarantees and calls made under existing guarantees.
17.222 Governments often offer guarantees for specific policy purposes.
Export credit guarantees are one example.
The guarantees may be issued by a government unit that can be treated as a separate institutional unit.
When this is so, the normal rules for the allocation of government units to either publicly controlled corporations or as part of general government apply.
If a guarantee unit charges fees that are economically significant (in this case this may be equivalent to saying that most of the calls plus the administrative costs are covered by the fees charged), then this is a market activity.
It should be treated as a financial corporation and transactions should be recorded as described above.
If the fees cover most but not all the costs, the recording is still as above.
The loss made by the agency offering the guarantees may be covered by government on a regular or intermittent basis but this is not passed on to those seeking the guarantees as a subsidy.
Regular payments are recorded as a subsidy to the agency and intermittent payments, covering cumulated losses, are recorded as capital transfers only when such payments are made.
17.223 In general, when a government unit provides standardized guarantees without fees or at such low rates that the fees are significantly less than the calls and administrative costs, the unit should be treated as a non-market producer within general government.
However, if government recognizes the probability of having to finance some of the calls under the guarantee scheme to the extent of including a provision in its accounts, a transfer of this size from government to the units concerned and a liability of this amount (under provisions for calls under standardized guarantees) should be recorded.
17.224 Conceptually the total value on the balance sheet of the instruments under guarantee should be reduced by the extent of provisions for standardized guarantees which are estimates of the amount of debt that will be in default.
In practice, this amount is not likely to be significant compared with the total value of the instrument concerned.
17.225 The objective of this part of chapter 17 is to show, for each category of financial assets and liabilities, how and where changes in their values are recorded in the SNA and to show when some part of the transaction relating to a financial instrument is treated not as changing the value of the instrument itself but as a measure of the output of financial institutions.
Before describing these flows in detail in the next section, it is helpful first to recall the characteristics of financial institutions, the type of flows that are associated with providing financial services as well as the sort of income and holding gains and losses associated with holding financial assets and liabilities.
17.226 Within the SNA, the term corporations is used to describe institutional units providing both financial and non-financial services.
These are divided into two institutional sectors; non-financial corporations and financial corporations.
Financial corporations are distinguished from non-financial corporations because they play a particular role in the economy.
Some facilitate means of payments between other units thus avoiding the need for barter.
Some also provide the means whereby units seeking additional funds to finance capital formation, acquire financial assets or even for consumption can utilize the funding set aside by other units as saving.
The equation that investment in capital formation must be equal to saving plus net borrowing from the rest of the world is fundamental to the functioning of the economy, the way financial markets work and so to the accounting system itself.
Figure 17.2: Indications of the flows associated with different financial instruments
17.227 When considering the financial sector alone or in connection with other statistics such as monetary and financial statistics, it is usual to speak of financial institutions rather than financial corporations.
No change in definition or coverage is implied by this change in terminology.
When subsectoring the financial sector, as explained in chapter 4, a distinction is made between those financial corporations that are primarily involved in financial intermediation, which are called financial intermediaries, and other financial institutions.
17.228 Financial intermediation is the activity of matching the needs of borrowers with the desires of lenders.
It is carried out by financial institutions preparing alternative sets of conditions under which clients can borrow and lend.
These conditions allow for variations in the rate of return that may be expected from an investment with, often, higher returns being less certain than lower returns or involving forgoing access to the funds for a longer period.
There are now very many, very diverse ways in which money can be borrowed and lent.
The act of financial intermediation is thus one of devising financial instruments that encourage those with savings to commit to lend to the financial institutions on the conditions inherent in the instruments so that the financial institutions can then lend the same funds to others as another set of instruments with different conditions.
This activity encompasses financial risk management and liquidity transformation.
17.229 All financial intermediation in the SNA is carried out by financial institutions.
However, some corporations in the financial sector are not themselves intermediaries but simply provide services auxiliary to financial intermediation.
For example, they may provide advice to clients about the terms available for specific types of borrowing and lending, such as a mortgage broker or provide certain sorts of financial resources such as a foreign exchange bureau that exchanges one currency for another.
These are the units described as other financial institutions.
17.230 Financial institutions provide services and charge for them.
The ways in which they charge, however, are not always obvious.
When a bank offers “free banking” it only signifies that there are no explicit fees, not that there are no implicit fees.
Fees may be charged indirectly by means of charging those purchasing a financial asset more than the seller of the same asset receives.
For example, dealers in foreign exchange typically buy and sell at different rates; the differences between those rates and the mid-point represent service charges paid by the customers.
17.231 Nor is it only the service charge that may have to be measured indirectly.
Bills are an offer of a fixed sum at some time in the future and the promise of this payment is sold at a discount.
The increase in value between the buying price and the redemption price is treated as interest in the SNA.
17.232 Nor are the terms in use in the financial markets exactly the terms used in the SNA.
For example, the money paid by a bank on a deposit is described as interest by the bank but is not the amount recorded as interest in the SNA because the amount paid by the bank is assumed to be a compound payment representing interest as understood in the SNA less the service charges levied on the depositor for the costs of operating the account.
In the SNA, the terms bank interest and SNA interest are used when it is necessary to distinguish the two concepts.
Unless it is qualified as bank interest, the term interest in the SNA is to be taken as referring to SNA interest.
17.233 As noted above, the way in which financial institutions charge for the services they provide is not always as evident as the way in which charges are made for most goods and services.
Several kinds of financial institutions do make explicit fees for the services they render.
Other financial institutions may make implicit charges, either alone or in conjunction with explicit fees.
17.234 Explicit fees should always be recorded as payable by the unit to whom the services are rendered to the institution performing the service.
If the services are rendered to a corporation or to government, the costs will form part of intermediate consumption.
If they are rendered to households they will be treated as final consumption unless the financial service is performed in relation to an unincorporated enterprise, including the owning and occupying of a dwelling.
Within the SNA, financial services are not incorporated into the value of any financial asset even if their incurrence is necessary for the acquisition of the asset.
(This is in contrast with the treatment on non-financial assets where the costs of acquiring the asset are included in the value of the asset appearing on the balance sheet.)
Nor do explicit fees affect the value at which transactions in financial assets actually take place in the market.
17.235 Implicit charges for financial services have to be measured indirectly.
The charges may be simply the difference between the buying and mid-price and between the mid-price and selling price as in the example of foreign exchange quoted above.
(Each service should be calculated at the time of the transaction concerned so that holding gains and losses occurring between the time of the purchase and sale are not treated as services.)
Other implicit charges may be combined with other transactions (or other flows) on a particular financial instrument.
The service charge associated with borrowing and lending is one such example where it is combined with interest.
As noted in chapter 6 when the output of financial services is discussed, ignoring the implicit charges for financial services may lead to understating the output of the industry and sector.
17.236 Most financial instruments give rise to investment income.
Debt instruments such as Special Drawing Rights (SDRs) on the IMF, loans, most debt securities, deposits and some unallocated gold accounts where the amount is repaid according to a fixed formula give rise to interest.
Equity and investment fund shares give rise to dividends or other distributions from corporate income.
As far as possible, there should be no interest arising on other accounts receivable or payable since the amounts outstanding that give rise to interest payments should be classified as loans.
In practice this might not always be possible in which case there will be some amounts of interest shown under this instrument also.
Except for other accounts receivable or payable, only gold bullion, currency, non-interest bearing deposits, financial derivatives and employee stock options never give rise to investment income.
17.237 In the normal course of events, loans and deposits denominated in domestic currency do not give rise to nominal holding gains though there will always be real holding losses for the asset holder in the presence of inflation.
Securities denominated in domestic currency where the income is in the form of coupons only may be subject to holding gains and losses.
These occur because when the interest rate varies, the present value of the future coupon payments and redemption values change and this is reflected in the market price.
17.238 For equity and investment fund shares other than money market fund shares, nominal holding gains are common and may be substantial.
Indeed, the most frequent reason for acquiring these instruments is in order to benefit from the holding gains that arise from holding them.
17.239 As explained above, both service charges and investment income flows may be combined with the costs of acquiring and disposing of financial assets and liabilities.
This section of the chapter, therefore, examines each class of instrument in turn to identify what flows should be recorded in each case.
Explicit fees are not covered in this section since even if they apply, their value is additional to the value at which financial assets change hands.
There are thus three types of flows of relevance in this section; the implicit fees made by financial institutions, different income flows and holding gains and losses.
A summary of the types of flows that relate to each instrument is given in figure 17.3.
Implicit fees are subdivided between those that appear as a margin between the buying and selling price and those that represent a margin on interest paid and received (FISIM).
All income flows are investment income and these flows are divided between interest, dividends, withdrawals from quasi-corporations and investment income attributed to investment fund shareholders.
Only the instruments relating to insurance, pension and standardized guarantee schemes are excluded as the treatment of these schemes is described in detail in other parts of this chapter.
17.240 Monetary gold (including allocated gold accounts) consists of two subcategories, physical gold bullion and unallocated gold accounts, both of which are held by the monetary authorities (or other units authorized by them) as part of reserves.
Although it may not be possible to publish these two subcategories separately for reasons of confidentiality, it is important to understand the different considerations that apply to each of them.
17.241 Gold bullion takes the form of coins, ingots, or bars with a purity of at least 995 parts per thousand.
Gold held as a valuable by commercial banks or as inventories by some specialized industries, for example jewellers, may be indistinguishable from gold bullion or may be of a lower quality.
Physical gold, excluding gold bullion included in monetary gold, whether gold bullion or not, can be referred to as commodity gold (since it is traded on commodity markets).
17.242 Gold bullion may be sold by one monetary authority to another in another country.
In such a case the exchange is recorded as an exchange of financial assets only.
In all other cases, the gold is reclassified as commodity gold and thus a valuable held by the monetary authority (and is no longer part of reserves) and is then sold as commodity gold.
The reclassification is recorded in the other changes in the volume of assets account as demonetization of gold.
If the gold is sold abroad it will feature in exports and imports of the countries concerned.
When commodity gold is sold, there may be a trade margin attached to it. When a monetary authority acquires monetary gold a reverse path is followed.
The gold is acquired initially as commodity gold either from a domestic unit or from abroad and is subsequently reclassified to monetary gold as monetization in the other changes in the volume of assets account.
17.243 There is no interest earned on gold bullion held as a valuable but it is subject to nominal and real holding gains and losses as the gold price changes.
Interest can be payable when one monetary authority lends gold bullion held as reserves to another monetary authority.
17.244 Unallocated gold accounts are treated as foreign currency deposits unless they are held by the monetary authorities as part of foreign reserves.
Unlike gold bullion, unallocated gold accounts have counterpart liabilities.
Because the unallocated gold accounts classified as monetary gold must be held as part of foreign reserves, the counterpart liability is necessarily held abroad.
The counterpart liability will not be treated as part of monetary gold in the counterpart country.
(Assets held abroad as part of foreign reserves are generally not identified as such within the liabilities of the partner country.)
If a monetary authority acquires an unallocated gold account to be treated as reserves, it is recorded first as an acquisition of a foreign currency deposit and then reclassified to monetary gold as a change of classification in the other changes in the volume of assets account.
Removing an unallocated gold account from reserves is recorded as, first, a change in classification from monetary gold to a foreign currency deposit and then as a disposal of the deposit.
17.245 Unallocated gold accounts attract interest and a service charge and are also subject to nominal and real holding gains and losses as the gold price alters.
17.246 SDRs are allocated to the countries and authorities participating in the SDR Department of the IMF.
Countries must be members of the IMF; other participants include a number of central banks, intergovernmental monetary institutions and development institutions.
Participants may hold more or fewer SDRs than their allocation as a result of transactions in SDRs between participants.
SDRs attract interest but no service charge as interest paid by participants holding more than their allocation exactly matches the interest owing to participants holding less than their allocation.
Data on the interest rates payable are available regularly from the IMF.
Since the value of the SDR is based on a basket of four key currencies, the value of SDRs is always subject to nominal and real holding gains and losses.
From time to time, new allocations of SDRs may be made; when this occurs the allocation is recorded as a transaction.
17.247 Notes and coins are the simplest financial asset to record since for domestic currency, no service charges, investment income or nominal holding gains and losses are recorded.
Under inflation, though, the holder of notes and coins suffers real holding losses.
The cost of producing the physical notes and coins is recorded as government expenditure and not netted against the receipts from issuing the currency.
17.248 Foreign currency should be recorded in the national balance sheets converted to a value in domestic currency using the exchange rate relevant for the date of the balance sheet.
This value is subject to nominal and real holding gains and losses as the exchange rate of the foreign currency relative to domestic currency alters.
As noted above, there is usually a service charge associated with acquiring or disposing of foreign currency.
17.249 In the 1993 SNA, the acronym FISIM (Financial Intermediation Services Indirectly Measured) was used for indirect service charges on deposits and loans, No explicit mention was made of other indirect charges for financial intermediation except in the case of insurance.
Although the update recognizes other indirectly measured service charges associated with financial intermediation, it is convenient to continue to use the familiar expression, FISIM, for its traditional meaning, that is, for financial intermediation associated with loans and deposits held with financial intermediaries.
17.250 Paragraphs 6.163 to 6.169 describe the basic principle of FISIM and explain the need to make the distinction, referred to above, between interest as understood by the banks holding deposits and issuing loans and the investment income flows recorded in the SNA.
One (or possibly more) reference rate(s) should be applied to the level of loans and deposits to determine the SNA interest flows to be recorded.
The difference between these flows and bank interest are recorded as service charges payable to the banks by the units holding the deposits or loans.
This applies to both resident and non-resident units and to deposits and loans held with resident and non-resident units.
For clarity, the term bank interest is used to indicate the apparent interest as quoted by a financial intermediary to their customer; the term SNA interest is used for the amount recorded in the SNA as interest, that is the level of loans and deposits multiplied by the reference rate chosen.
For deposits with banks, the service charge is equal to SNA interest less bank interest; for loans the service charge is equal to bank interest less SNA interest.
At a minimum, it is probable that different reference rates should be used for every currency in which non-resident loans and deposits are denominated.
17.251 No exclusion is made for lending of own funds.
Although the act of lending, and the charging of SNA interest is not a productive activity, there is a service charge associated with lending.
A person borrowing from a bank is unaware whether the amounts borrowed are of intermediated funds or come from the bank's own funds and no difference in the service charges applied should be made.
Similarly, if a person borrows from a money lender, there is a service charge payable.
(Often, in fact, the service charge is very large, reflecting the much higher risk of default faced by the money lender.
A noteworthy feature of some microfinance schemes is that, because defaults are uncommon, the charges are modest.)
17.252 It is not always simple to determine whether positions between banks should be classified as deposits or loans.
In a complete flow of funds presentation, this should be resolved but in the absence of a flow of funds analysis, inter-bank positions may be shown under currency and deposits.
By convention they are shown under deposits.
It is assumed that the inter-bank rate at which banks borrow and lend to one another is usually such as to meet the criteria for a reference rate.
(In some cases it may be appropriate to use the inter-bank rate as the reference rate.)
For this reason, it may often be appropriate to assume that there is no FISIM associated with inter-bank lending and borrowing within the national economy.
17.253 The outstanding balance on a credit card or on an account with a retailer is often subject to interest.
These outstanding balances should be classified as loans, not other accounts receivable or payable. FISIM is calculated on them if the unit providing the loan is classified as a financial institution.
17.254 Repurchase agreements are classified as giving rise to deposits or loans depending on whether they are or are not included in the national measure of broad money.
They thus give rise to interest that may have a FISIM component.
In addition, they have fees associated with their initiation.
17.255 There are no nominal holding gains and losses on deposits and loans expressed in domestic currency (whether these are held by residents or non-residents).
With any inflation at all, there will be real holding losses on assets denominated in domestic currency.
There may be nominal and real holding gains and losses on deposits and loans denominated in other currencies or held as unallocated gold accounts (or similar accounts in other precious metals).
17.256 Any charges made by a financial institution for operating a bank account, a fee for cashing a cheque or for withdrawing money from an automatic teller machine are all treated as explicit fees.
17.257 The special case of non-performing loans and how they should be treated in the SNA is discussed in chapter 13.
17.258 In terms of recording the associated flows, there are three types of debt securities.
The first is where the amount payable at the end of the period for which the security exists is the same as the initial amount paid for the security but there are associated “coupons” that entitle the holder to payments of interest, at fixed or variable rates, at intervals during the life of the instrument.
The second type of security is one where no intermediate payments are made but the issue price is lower than the redemption price.
The issue price is equal to the redemption price discounted to the date of issue at the appropriate rate of interest that could be earned on a deposit of similar characteristics.
The increase in value of the security during its life is treated as interest accruing to the holder of the security that is “reinvested” in the security to increase its value.
The third type of security is a hybrid of the two other forms; the initial value is less than the redemption value but there are also attached coupons.
In certain circumstances, if the coupons represent a rate of interest higher than that prevailing in the market for similar securities at time of issue, the security may be offered at a price higher than the redemption price.
17.259 For securities, the interest calculated according to the coupon or as the increase in value of the security is recorded in the SNA as such without adjustment for a service charge.
However, there is a service charge associated with the acquisition of a security on initiation and with the disposal and acquisition of a security at any point during its life.
These service charges are identified as being the difference between the buying (bid) and selling (ask or offer) price quoted for each security and the mid-price.
The bid and offer prices should be those applicable to the individual buyer and seller since these may vary according to the quantity being transacted or other factors.
17.260 Suppose an instrument is bought for 102 and subsequently sold for 118 even though there has been no change in the rate of interest (and hence of the value of the instrument due to holding gains and losses).
At first sight, it seems that interest of 16 should be recorded.
However, suppose the mid-price on purchase was 100 and on sale was 120. The correct recording would be to show interest of 20 payable by the issuer of the security to the holder with a purchase of services of 4 payable by the holder to the dealer in securities.
Ignoring the bid-ask spread understates interest and ignores the services provided by the financial intermediaries that buy and sell securities.
17.261 There are two ways in which the value of a discounted security can be determined during its life when the prevailing interest rate is different from the rate prevailing when the security was initiated.
The debtor approach is the perspective of the unit issuing the security and the creditor approach is the perspective of the unit holding the security.
The first option, called the debtor approach, is to continue to use the rate prevailing on initiation throughout the instrument's life.
The alternative, the creditor approach, is to use the current rate to estimate the value of interest between any two points in the instrument's life.
17.262 Suppose an instrument is offered at 90 with a redemption value of 100. If the discount (interest) rate does not change during its life, interest will accrue steadily throughout.
Suppose, though, that the interest rate falls when the instrument has reached a value of 95. Because the redemption value is now discounted by a smaller factor, the value of the security increases, say to 97. Both the creditor and debtor approach would record interest of 5 in the period before the interest rate fall.
Under the creditor approach, this increase in value of 2 from 95 to 97 is treated as a holding gain and only the subsequent rise to the redemption value of 100 is treated as interest.
Thus over the whole life of the instrument it has given rise to interest of 8 and a holding gain of 2.
17.263 In the SNA, the debtor approach is used.
Under this approach, the interest accruing in the period before the interest rise is still 5 but so is the interest in the period after the interest rate rise.
Adding this level of interest to the value of 97 when the rise occurred would give a value of 102 at the redemption date.
Since this value is too high, a holding loss of 2 has to be recorded.
Thus over the whole life of the instrument there is interest of 10 with an initial holding gain of 2 (when the interest rate changed) offset by the later holding loss of 2. The holding loss occurs steadily over the period between when the holding gain was recorded and the redemption period.
The rationale for using the debtor approach is that the debtor, the issuer of the security, is not liable to make the payment until the security matures and from his perspective it is appropriate to treat the total amount of interest as accruing steadily over the life of the security.
17.264 Bills are short-term securities that give the holder (creditor) the unconditional right to receive a stated fixed sum on a specified date.
They are issued and traded in organized markets at a discount that depends on current market short-term interest rates and the time to maturity.
Most bills mature after a period ranging from one month to one year.
17.265 As the bill approaches maturity, its market value increases because there is less discounting applied to it. This increase in value, in common with the increase in the value of any asset due to the unwinding of a discount factor, is treated as income in the SNA.
For financial assets, the income is recorded as interest.
17.266 Let the price paid for a bill at its time of issue and after excluding the service charge be L; this represents the amount of funds that the purchaser (creditor) provides to the issuer (debtor) and measures the value of the initial liability incurred by the issuer.
Let the face value of the bill be F: this represents the sum including the service charge paid to the holder of the bill (the creditor) when it matures.
The difference, F-L, or discount on the bill, measures the interest payable over the life of the bill.
17.267 Bills are traded on money markets at values that gradually rise to reflect the interest accruing on the bills as they approach maturity.
The increase in the value of a bill due to the accumulation of accrued interest does not constitute a holding gain because it is due to an increase in the principal outstanding and not to a change in the price of the asset.
17.268 Bonds and debentures are long-term securities that give the holder the unconditional right to:
a. A fixed or contractually determined variable money income in the form of coupon payments; or
b. A stated fixed sum on a specified date or dates when the security is redeemed; or
c. Both (a) and (b).
Most bonds fall into this category.
17.269 When a bond is issued at a discount, the difference between the face value, or redemption price, and the issue price constitutes interest that accrues over the life of the bond, in the same way as for a bill.
However, as accounts are compiled for time periods that are typically much shorter than the life of the bond, the interest must be distributed over those periods.
The way in which this may be done is explained below.
17.270 Zero-coupon bonds are long-term securities that are similar to bills.
They do not entitle their holders to any fixed or variable money income but only to receive a stated fixed sum as repayment of principal and accrued interest on a specified date or dates.
When they are issued they are usually sold at a price that is substantially lower than the price at which they are redeemed on maturity.
Let L equal the issue price and F the redemption price, so F-L is the value of the interest receivable and payable over the life of the bond.
This interest has to be distributed over the years to its maturity.
One possible method is to assume that interest at a rate of r is credited at the end of each year at an annual rate that is constant over the life of the bond, so that the final value F=L(1+r)n.
17.271 The interest rate, r, is given by the following expression r=(F/L)1/n-1 where n is the number of years from the time of issue to maturity.
The interest accruing during the course of year t is then given by rL(1+r)t-1where t = 1 at the end of the first year.
17.272 The interest accruing each year is effectively reinvested in the bond by its holder.
Thus, counterpart entries equal to the value of the accrued interest must be recorded in the financial account as the acquisition of more bond by the holder (creditor) and as a further issue of more bond by the issuer (debtor).
17.273 Most bonds pay a fixed or variable money income and may also be issued at a discount or, possibly, a premium.
In such cases, the interest receivable by the holders of the bonds has two components:
a. The amount of the money income receivable from coupon payments each period; plus
b. The amount of interest accruing each period attributable to the difference between the redemption price and the issue price.
The second component is calculated in the same way as for zero-coupon bonds, as described above.
In the case of deep-discounted bonds, most of the interest accruing is attributable to the difference between the redemption price and the issue price.
At the other extreme, some bonds offer an income stream in perpetuity and are never redeemed.
17.274 Index-linked securities are financial instruments for which the amounts of the coupon payments (interest) or the principal outstanding or both are linked to a general price index, a specific price index, the price of a commodity or an exchange rate index.
Different treatments are recommended for the recording of transactions depending on the type of index used to uprate the level of principal to which the interest is linked and on the currency in which the interest and principal are denominated.
17.275 The indexation mechanism links the amount to be paid at maturity or coupon payments or both to indicators agreed by the parties.
The values of the indicators are not known in advance.
For debt securities with indexation of the amount to be paid at maturity, they may be known only at the time of redemption.
As a result, interest flows before redemption cannot be determined with certainty.
For estimating interest accruals before the values of the reference indicators are known, some proxy measures have to be used.
In this regard, it is useful to distinguish the following three arrangements:
a. indexation of coupon payments only with no indexation of amount to be paid at maturity,
b. indexation of the amount to be paid at maturity with no indexation of coupon payments, and
c. indexation of both the amount to be paid at maturity and coupon payments.
The principles described below for index-linked debt securities apply to all index-linked debt instruments.
17.276 When only coupon payments are index-linked, the full amount resulting from indexation is treated as interest accruing during the period covered by the coupon.
It is most likely that by the time data are compiled for a reporting period, the date for the coupon payment would have been passed and hence the value of the index is known.
When the date for the coupon payment has not been passed, the movement in the index during that part of the reporting period covered by the coupon can be used to calculate the interest accrual.
17.277 When the amount to be paid at maturity is index-linked, the calculation of interest accruals becomes uncertain because the redemption value is unknown; in some cases the maturity time may be several years in the future.
Two approaches can be followed to determine the interest accrual in each accounting period.
a. Interest accruing in an accounting period due to the indexation of the amount to be paid at maturity may be calculated as the change in the value of this amount outstanding between the end and beginning of the accounting period due to the movement in the relevant index.
b. Interest accruals may be determined by fixing the rate of accrual at the time of issue.
Accordingly, interest is the difference between the issue price and the market expectation, at inception, of all payments that the debtor will have to make; this amount is recorded as interest accruing over the life of the instrument.
This approach records as income the yield-to-maturity at issuance, which incorporates the results of the indexation that are foreseen at the moment the instrument was created.
Any deviation of the underlying index from the originally expected path leads to holding gains or losses which will not normally cancel out over the life of the instrument.
17.278 While the first approach (using the movement in the index) has the advantage of simplicity, interest includes all changes and fluctuations in the value of the amount to be paid at maturity in each accounting period due to the movement in the relevant index.
If there is a large fluctuation in the index, this approach may yield negative interest in some periods even though market interest rates at the time of issue and current period may be positive.
Also, fluctuations behave like holding gains and losses.
The second approach (fixing the rate at the time of issue) avoids such problems, but the actual future cash flows may differ from the initially expected cash flows unless ex ante market expectations are exactly met.
This means that interest for the life of the instrument may not be equal to the difference between the issue price and redemption value.
17.279 The first approach works well when a broad-based indexation of the amount to be paid at maturity is used (for example a consumer price index) as such indexation is expected to change relatively smoothly over time.
However, the first approach may give counter-intuitive results when the indexation of the amount to be paid at maturity combines motives for both interest income and holding gains (for example, a commodity price, stock prices, or gold prices).
Therefore, when indexation includes a holding gain motive, typically indexation based on a single, narrowly defined item, the second approach is preferred, otherwise the first approach should be used for the measurement of interest accrual.
17.280 When both the amount to be paid at maturity and coupon payments are indexed to a broad-based reference item, interest accruals during an accounting period can be calculated by summing two elements: the amount resulting from the indexation of the coupon payment (as described in paragraph 17.276), that is attributable to the accounting period, and the change in the value of the amount outstanding between the end and beginning of the accounting period due to the movement in the relevant index (as described in paragraph 17.277(a)).
When both the amount to be paid at maturity and coupon payments are indexed to a narrow index that includes a holding gain motive, interest accruals for any accounting period can be determined by fixing the yield-to-maturity at issuance as explained in paragraph 17.277(b).
17.281 Debt instruments with both the amount to be paid at maturity and coupon payments indexed to foreign currency are treated as though they are denominated in that foreign currency; interest, other economic flows and stock levels for these instruments should be calculated using the same principles that apply to foreign currency denominated instruments.
Interest should accrue throughout the period using the foreign currency as the currency of denomination and converted into the domestic currency using mid-point market exchange rates.
Similarly, the amount outstanding should be valued using the foreign currency as the unit of account with the end of period exchange rate used to determine the domestic currency value of the entire debt instrument (including any accrued interest) in the international investment position.
Changes in market values of debt securities due to exchange rate movements or interest rate changes are treated as revaluations.
17.282 As with other securities, the interest accruing as a result of indexation is effectively reinvested in the security and these additions to the value of the security must be recorded in the financial accounts of the holder and issuer.
17.283 The financial service charges levied on transactions in equity and investment fund shares are calculated in the same away as for debt securities as the difference between the financial intermediary's selling price and the mid-price and between the mid-price and the intermediary's buying price.
They are treated as explicit fees.
17.284 The investment income from corporate equity takes the form of distributed income of corporations.
For corporations, the distributed income is in the form of dividends.
For quasi-corporations, the investment income is withdrawals from income of quasi-corporations.
As noted in chapter 7, dividends or other withdrawals from corporate income are recorded as investment income at the time the shares start to be quoted ex dividend.
A different recording is made for extraordinarily large dividends that are out of line with recent experience on the amount of income available for distribution to the owners of the corporation.
Any excess distribution is to be recorded as a withdrawal of equity (recorded in the financial account) and not as part of investment income. Chapter 22 discusses the case of exceptional dividends of public corporations.
17.285 For foreign direct investment enterprises, there will also be investment income in the form of reinvested earnings.
17.286 For investment funds, the income element comes in the form of investment income disbursements to collective investment fund shareholders.
In the SNA, the full value of the investment income earned is shown as being distributed to the shareholder in the allocation of primary income account with reinvestment recorded in the financial account.
However, if an investment fund is also a foreign direct investment enterprise, the reinvested earnings are recorded before the remaining investment income is distributed to investment fund share holders.
17.287 As noted earlier, there may be considerable holding gains and losses, both nominal and real on equity and investment fund shares.
17.288 The entries in the financial accounts relating to acquisitions of equity conceptually contain two distinct types of transactions.
One is the exchange of equity and investment fund shares between institutional units.
Because the transactions are valued at mid-price, total acquisitions must be equal to total disposals.
The net effect, therefore, is to show the change in composition of the holders of shares by institutional sector and with the rest of the world.
The second type of transactions included in the financial account is the receipt of any reinvestment of earnings and the counterpart of the outflow recorded under investment income payable by corporations.
In calculating the revaluation element between opening and closing balance sheet, care must be taken to exclude the reinvestment of earnings term.
17.289 Arranging a financial derivative may involve a set-up fee which should be shown as an explicit fee charged by the financial institution concerned and payable by the holder of the financial derivative.
For some financial derivatives, especially options based products, a financial institution may act as a market maker and sell the products with a margin between the bid and offer price.
This margin is treated as a service charge as with other financial instruments.
17.290 The initial value of a forward-type financial derivative is zero but it acquires a value as soon as there is a change in the circumstances that the financial derivative is designed to provide financial protection against.
At this point, a financial asset and matching liability are recognized and recorded as a transaction in financial derivatives in the financial account.
Subsequent changes in value are recorded in the revaluation account.
If the value becomes negative, it becomes a liability for the holder rather than an asset and an asset rather than a liability for the seller.
17.291 At inception, options have a positive value normally equal to the premium paid to establish them.
This is recorded as a transaction in financial derivatives in the financial account.
Thereafter, any change in value is recorded in the revaluation account.
Options are always an asset for the purchaser and a liability for the seller.
17.292 There is no investment income accruing on a financial derivative.
17.293 As explained in chapter 7, the granting of an employee stock option may form a part of compensation of employees.
All issues relating to employee stock options are discussed in part 6 of this chapter.
17.294 Other accounts receivable or payable are essentially accrual adjustments typified by trade credit and advances.
Trade credit refers to the case where goods and services have been delivered but payment has not yet been received.
Advances refer to payment for work-in-progress for which prepayment has been made but the products are not yet delivered.
The means of financing payment, such as the use of credit cards, is not included here; the balance on the cards is treated as a loan and payments such as interest or overdue fees are recorded as for loans.
17.295 Other accounts receivable or payable denominated in domestic currency can have no nominal holding gains and losses but may have real ones.
Any items denominated in foreign currency may have both nominal and real holding gains and losses.
17.296 Many transactions that take place in the economy and are recorded in the SNA are specified in terms of a contract between two institutional units.
The majority of contracts are such that one unit provides a good, service or asset to the other unit for an agreed payment at an agreed time (possibly immediately after agreeing on the price).
Such contracts may be written and legally binding or may be informal or even only implicit.
If a unit accepts the estimate provided by a builder for the cost of specified work, the contract is written and may well be legally binding.
If a book is ordered from a bookshop but there is a delay in delivery, there is an informal contract between the book shop and the customer but it is unlikely to be enforceable by either side.
Whenever a customer asks how much a given service will cost, whether it is a haircut, the delivery of a heavy product or entry to a cinema, accepting the service at the quoted price is in effect an implicit contract.
However, all these contracts are simply agreements about the terms under which goods, services and assets are provided to the customer along with the legal ownership of the item.
The only extent to which these contracts feature in the SNA is that they determine the point at which the transaction is to be recorded in the accounts.
This is the time at which the ownership of the good, service or asset changes.
For services, this is always when the service is delivered and for goods it may coincide with the time of delivery.
However, the time of recording is never determined by the time when payment is made.
Any difference between the time of payment and time of change of ownership gives rise to an entry in the financial account under other accounts receivable or payable.
17.297 However, there are other contracts and legal agreements variously described as leases and licences (or permits) where the terms of the agreement may affect the time of recording of transactions made under the agreement as well as the classification of payments and the ownership of the item subject to the agreement.
The purpose of this part of the chapter is to provide guidance on how transactions made under these more complex arrangements are to be recorded in the SNA.
17.298 The first item for discussion concerns the different sorts of leases recognized in the SNA.
The next topic for discussion is the treatment of permits to use natural resources.
This is of particular importance when it is government that claims ownership of the resource on behalf of the community at large but can apply to privately owned resources also.
This leads naturally into a discussion of the treatment of assets where more than one unit has a claim to ownership, or the benefits of ownership accrue to more than one unit.
17.299 Some contracts are not connected with the use of assets.
The first contracts for discussion are licences (or permits) given to undertake particular activities independently of any assets that may be used in the activity.
Here there are different treatments when the permits are issued by government and when they are given by other institutional units.
The next point for consideration is when a contract can constitute an asset in itself, independently of the subject of the contract.
Finally, a number of clarifications are made concerning the timing and nature of payments made under a contract.
17.300 Three types of leases are recognized in the SNA; operating leases, financial leases and resource leases.
Each of these leases relates to the use of a non-financial asset.
Fundamental to the distinction between the different sorts of leases is the difference between legal and economic ownership.
This distinction is elaborated in chapter 3.
The legal owner of an asset is the institutional unit entitled in law and sustainable under the law to claim the benefits associated with the asset.
By contrast, the economic owner of an asset is entitled to claim the benefits associated with the use of the asset in the course of an economic activity by virtue of accepting the associated risks.
The legal owner is often the economic owner also.
When they are different, the legal owner has divested itself of the risks in return for agreed payments from the economic owner.
17.301 An operating lease is one where the legal owner is also the economic owner and accepts the operating risks and receives the economic benefits from the asset by using it in a productive activity.
One indicator of an operating lease is that it is the responsibility of the legal owner to provide any necessary repair and maintenance of the asset.
Under an operating lease the asset remains on the balance sheet of the lessor.
17.302 The payments made under an operating lease are referred to as rentals and are recorded as payments for a service.
The character of operating leases may most easily be described in relation to equipment since operating leases often concern vehicles, cranes, drills etc.
In general, though, any sort of non-financial asset, an intellectual property product or a non-financial asset may be subject to an operating lease.
The service provided by the lessor goes beyond the mere provision of the asset.
It includes other elements such as convenience and security, which can be important from the user's point of view.
In the case of equipment, the lessor, or owner of the equipment, normally maintains a stock of equipment in good working order that can be hired on demand or at short notice.
The lessor must normally be a specialist in the operation of the equipment, a factor that may be important in the case of highly complicated equipment, such as computers, where the lessee and his employees may not have the necessary expertise or facilities to service the equipment properly themselves.
The lessor may also undertake to replace the equipment in the event of a serious or prolonged breakdown.
In the case of a building, the lessor is responsible for the structural integrity of the building, so would be responsible in the case of damage due to a natural disaster, for example, and is usually responsible for ensuring that elevators, heating and ventilation systems function adequately.
17.303 Operating leasing developed originally to meet the needs of users who require certain types of equipment only intermittently.
Many operating leases are still for short periods though the lessee may renew the rental when the period expires and the same user may hire the same piece of equipment on several occasions.
However, with the evolution of increasingly complicated types of machinery, especially in the electronics field, the servicing and backup facilities provided by a lessor are important factors that may influence a user to rent.
Other factors that may persuade users to rent over long periods rather than purchase are the consequences for the enterprise's balance sheet, cash flow or tax liability.
17.304 A financial lease is one where the lessor as legal owner of an asset passes the economic ownership to the lessee who then accepts the operating risks and receives the economic benefits from using the asset in a productive activity.
In return, the lessor accepts another package of risks and rewards from the lessee.
It is frequently the case that the lessor, though the legal owner of the asset, never takes physical delivery of the asset but consents to its delivery directly to the lessee.
One indicator of a financial lease is that it is the responsibility of the economic owner to provide any necessary repair and maintenance of the asset.
Under a financial lease, the legal owner is shown as issuing a loan to the lessee with which the lessee acquires the asset.
Thereafter the asset is shown on the balance sheet of the lessee and not the lessor; the corresponding loan is shown as an asset of the lessor and a liability of the lessee.
Payments under the financial lease are treated not as rentals but as the payment of interest and repayment of principal.
If the lessor is a financial institution, part of the payment is also treated as a service charge (FISIM).
17.305 Very often the nature of the asset subject to a financial lease may be quite distinct from the assets used by the lessor in his productive activity, for example a commercial airliner legally owned by a bank but leased to an airline.
It would make no economic sense to show either the aircraft or its consumption of fixed capital in the accounts of the bank or to omit them from the accounts of the airline.
The device of a financial lease avoids this undesirable form of recording the ownership of the aircraft and the decline in its value while keeping the net worth of both parties correct throughout the length of the lease.
17.306 It is common for a financial lease to be for the whole of the life of the asset, but this need not necessarily be so. When the lease is for the whole of the life of the asset, the value of the imputed loan will correspond to the present value of the payments to be made under the lease agreement.
This value will cover the cost of the asset and include a fee charged by the lessor.
Payments made regularly to the lessor should be shown as a payment of interest, possibly a payment for a service and a repayment of capital.
If the terms of the agreement do not specify how these three items are to be identified, the repayment of principal should correspond to the decline in the value of the asset (the consumption of fixed capital), the interest payment to the return to capital on the asset and the service charge to the difference between the total amount payable and these two elements.
17.307 When the lease is for less than the whole life of the asset, the value of the loan should still be estimated as the value of the asset plus the value of the service charges to be made under the terms of the lease.
At the end of the lease, the asset will appear on the balance sheet of the lessee and its value will be equal to the value of the loan owed to the lessor at that time.
At that point the asset could be returned to the lessor to cancel the loan or a new arrangement, including the outright purchase of the asset, may be reached between the lessor and lessee.
Because a financial lease requires the lessee to acquire substantively all the risks and rewards associated with the asset, if the lease is for less than the expected life of the asset, the lease usually specifies the value to the lessor at the end of the lease or the terms under which the lease can be renewed.
Any variation in the price of the asset from the value in the lease agreement is borne by the lessee.
17.308 Although a financial lease will typically be for several years, the duration of the lease does not determine whether the lease is to be regarded as an operating or financial lease.
In some cases a large complex such as an airport or even a building may be leased for short periods, perhaps only one year at a time, but on condition that the lessee takes all responsibility for the asset, including all maintenance and cover for exceptional damage, for example.
Even though the lease period is short, and even though the lessor may not be a financial institution, if the lessee must accept all the risks associated with the use of the asset in production as well as the rewards, the lease is treated as a financial and not an operating lease and the asset appears on the balance sheet of the lessee with a corresponding loan extended from the lessor to the lessee.
17.309 As a consequence, any corporation that specializes in this sort of leasing, even though it may be called a property company or aircraft leasing company, should be treated as a financial corporation offering loans to the units leasing assets from them.
If the lessor is not a financial corporation, the payments are split into repayments of principal and interest only; if the lessor is a financial corporation, the interest is split into SNA interest and a service charge (FISIM).
17.310 A resource lease is an agreement whereby the legal owner of a natural resource that the SNA treats as having an infinite life makes it available to a lessee in return for a regular payment recorded as property income and described as rent.
The resource continues to be recorded on the balance sheet of the lessor even though it is used by the lessee.
By convention, no decline in value of a natural resource is recorded in the SNA as a transaction similar to consumption of fixed capital.
17.311 The classic case of an asset subject to a resource lease is land but natural resources are also generally treated in this way.
An exception, when a long-term lease of land may be taken as the sale of the land is described in paragraph 17.328.
17.312 Payments due under a resource lease, and only such payments, are recorded as rent in the SNA.
There is further discussion of leases on natural resources in the following section.
17.313 As noted above, in many countries permits to use natural resources are generally issued by government since government claims ownership of the resources on behalf of the community at large.
However, the same treatments apply if the resources are privately owned.
17.314 There are basically three different sets of conditions that may apply to the use of a natural resource.
The owner may permit the resource to be used to extinction.
The owner may allow the resource to be used for an extended period of time in such a way that in effect the user controls the use of the resource during this time with little if any intervention from the legal owner.
The third option is that the owner can extend or withhold permission to continued use of the asset from one year to the next.
17.315 The first option results in the sale (or possibly an expropriation) of the asset.
The second option leads to the creation of an asset for the user, distinct from the resource itself but where the value of the resource and the asset allowing use of it are linked.
The third option comes back to the treatment of the use as a resource lease.
The difference in treatment between the second and third options was articulated in the context of the case of a mobile phone licence and that recommendation (see SNA News and Notes Volume 14, (United Nations, 2002)) is recapitulated before seeing how each of the three options relates to different types of natural resources.
17.316 The case arose in 2000 when the sale of licences to use radio spectra for third generation mobile phones brought a flurry of interest from companies wanting to have exclusive access to the spectra and who in consequence were prepared to bid (often by auction) extremely large sums for the access rights to the spectra.
17.317 Eight conclusions were agreed in respect of the mobile phone licences.
Allowing for updated terminology, these were:
a. The spectrum constitutes a natural resource.
b. The licence to use the spectrum constitutes an asset described as a permission to use a natural resource which is a subset of the general asset class of contracts, leases and licences.
c. Typically licence payments are neither taxes nor purchases of the spectrum itself.
d. Land, mineral deposits and the spectrum are similar types of assets and so are leases and licences based on the use of those assets.
e. There is no single, universal and clear-cut criterion to distinguish between rent and asset sale; a range of criteria needs considering.
f. Most cases examined point to treating licence payments as the purchase of an asset, not rent.
g. The value of the licence and the value of the spectrum move symmetrically.
h. Further elaboration will be useful in future.
17.318 The considerations referred to under conclusion (e) were six in number and are reproduced below.
a. Costs and benefits assumed by licensee: the more of the risks and benefits associated with the right to use an asset are incurred by the licensee, the more likely the classification of a transaction as the sale of an asset as opposed to rent.
Thus, preagreement on the value of payments (whether by lump sum or by instalments) effectively transfers all economic risks and benefits to the licensee and so point to the sale of an asset.
If, on the other hand, the value of payment is made contingent on the results from using the licence, risks and benefits are only partially transferred to the licensee and the situation is more readily characterized as payment of rent.
In the case of mobile phone licences, the total amount payable has often been pre-agreed.
An additional indication of the degree to which commercial risks have been passed to the licensee is to examine the hypothetical case where a licensee goes bankrupt.
If, in such a case, the licensor reimburses none of the upfront payment made by the licensee, this would constitute a strong case against a characterization of the transaction as rent, as apparently the licensee has incurred all the commercial risks involved.
b. Upfront payment or instalment: as with other indicators, the mode of payment is in itself not conclusive for a characterization as asset or rent payment.
Generally, the means of paying for a licence is a financial issue and as such not a relevant factor in determining whether or not it is an asset.
However, business practice shows that upfront payments of rent for long periods (15-25 years in the case of mobile phone licences) are highly unusual and this favours an interpretation as sale of an asset.
c. Length of the licence: licences granted for long periods suggest a treatment as the sale of an asset, for shorter periods a treatment as payments for rent.
The time frame involved in mobile phone licensing (15-25 years) is considered rather unusual as a period for which to conclude a fixed payment of rent and therefore a further indication favouring an interpretation as sale of an asset.
d. Actual or de facto transferability: the possibility to sell the licence is a strong indication of ownership and if transferability exists, this is considered a strong condition to characterize the licensing act as the sale of third-party property rights.
In practice, mobile phone licences are often transferable either directly (by the enterprise selling the licence to another enterprise) or indirectly (through the enterprise being acquired through a takeover).
e. Cancellation possibility: the stronger the restrictions on the issuer's capacity to cancel the licence at its discretion, the stronger the case for treatment as a sale of an asset.
Conversely, when licences can easily be cancelled at the discretion of the issuer, ownership over benefits and risks has not been fully transferred to the licensee and the transaction qualifies more readily as rent.
f. Conception in the business world and international accounting standards: businesses, in accordance with international accounting standards, often treat a licence to use the spectrum as an asset.
Again, in itself this does not lead to treatment as an asset in the national accounts, and there are other areas where companies choose to present figures in their accounts in ways that are not consistent with the national accounts.
But the treatment of the acquisition of mobile phone licences as capital investment in company accounts provides an added incentive to treat them in a similar way in the national accounts.
17.319 Not all these considerations have to be satisfied to characterize the licence as a sale of an asset nor does a simple majority of them being satisfied do so. However, in order to qualify as a rental agreement, at least some of the following sorts of conditions should hold.
a. The contract is of short-term duration, or renegotiable at short-term intervals.
Such contracts do not provide the lessee with a benefit when market prices for the leased asset go up in the way that a fixed, long-term contract would.
Such benefits are holding gains that typically accrue to owners of assets.
b. The contract is non-transferable.
Non-transferability is a strong but not a sufficient criterion for the treatment of licence payments as rent, because, although it precludes the lessee from cashing in on holding gains, it does not preclude the lessee from reaping comparable economic benefits (for example, using the licence in their business).
c. The contract contains detailed stipulations on how the lessee should make use of the asset.
Such stipulations are often seen in cases of rent of land, in which the owner wishes to retain a control over the usage of the land.
In the case of licences, examples of such stipulations would be that the contract states what regions or types of customers should be served, or that it sets limits on the prices that the lessee may charge.
d. The contract includes conditions that give the lessor the unilateral right to terminate the lease without compensation, for instance for underuse of the underlying asset by the lessee.
e. The contract requires payments over the duration of the contract, rather than a large upfront payment.
Although this condition is essentially financial in character and thus cannot be decisive on the type of the lease, it may indicate a degree of control for the lessor to direct the use of the spectrum.
The case for a treatment as rent is further supported if the payments are related to the revenue the lessee derives from the licence.
17.320 These two sets of considerations can be seen as a more specific parallel to the distinction of economic ownership from legal ownership used in distinguishing between an operating and financial lease as described above.
The conditions for treatment of the payment as the acquisition of an asset and for treatment as payment of rent are indicative rather than prescriptive.
A decision on the appropriate treatment when some of the conditions are not met will necessitate consideration of how to record those conditions not met.
For example, if on balance the decision is to treat the payment as rent but a large upfront payment was made, this should be treated as a prepayment to be recorded on an accrual basis.
However, if the recipient is not willing to consider a refund if the contract is suspended, accrual recording is difficult.
This is one reason why upfront payments are often indicative of the sale of an asset rather than the payment of rent.
17.321 The application of these principles to the main forms of natural resources is described below, beginning with radio spectra.
17.322 Payment for a mobile phone licence constitutes the sale of an asset, not payment for rent, when the licensee acquires effective economic ownership rights over the use of the spectrum.
To decide whether ownership is effectively transferred or not, the six criteria quoted above are to be considered.
17.323 When sale of an asset applies and when the life span of the licence and of the spectrum coincide, the payment for a licence is treated as the sale of the spectrum itself.
The latter situation applies always when licences are granted indefinitely.
17.324 When sale of an asset applies, and when the life span of the licence is different from the life span of the spectrum, the payment for a licence is treated as the sale of a permit to use a natural resource by the legal owner (licensor) to the economic owner (licensee).
17.325 When the licence agreement is treated as the sale of an asset in its own right, its value is established at the time of its sale.
It declines with the expiration of the period of validity to fall to a value of zero at the point of the expiry of the licence.
Symmetrically, the value of the spectrum to the lessor falls when the licence acquires a value and is progressively re-established as the licence expires.
This is consistent with a potential further sale of the right to use the spectrum for another period.
This procedure also ensures a neutral effect on the net worth of the overall economy during the life of the licence.
17.326 Land may be sold outright when the legal ownership is transferred from one institutional unit to another.
(Land may not be recorded as being sold to a non-resident unit.
In such cases a notional resident unit is created that holds title to the land; the non-resident unit then owns the equity of the notional resident unit.)
17.327 The type of asset most frequently subject to a resource lease is land.
Tenant farmers usually pay regular rent to their landlord.
A resource lease on land may be considered as a sale of the land if the lease satisfies most or all of the same criteria as those listed for payments for a mobile phone licence to be considered a sale of an asset.
When the land is leased in other circumstances, the payments are recorded as rent under a resource lease agreement.
17.328 In some jurisdictions, the land under buildings remains in the legal ownership of a landlord other than the owner of the buildings.
If regular payments are made to the landlord, these are recorded as rent.
However, it is sometimes the case that, even though the land legally belongs to another unit, the right to occupy it for an extended period is paid for in a single upfront payment often when the building is acquired.
As explained in the previous section, this suggests recording the payment as the acquisition of the asset.
In such a case, when the building changes ownership, the purchase price includes an element representing the present value of future rent payments.
In such a case, the land is recorded in the SNA as if the ownership is transferred along with the building above the land.
If, at the end of the land lease, a further payment is liable for extension of the lease for another long-term period, this should be recorded as capital formation and an acquisition of an asset in a manner similar to costs of ownership transfer on purchase and sale of an asset.
17.329 If a unit is given permission to clear fell an area of natural forest, or to fell at its discretion without any restriction in perpetuity, the payments made to the owner constitute the sale of an asset.
(The sale of forested land may be recorded as the sale of the timber and the land separately, depending on the intended use of each.)
17.330 The option to have a lease permitting felling at the lessee's discretion but subject to the restoration of the land, in an acceptable forested state, at some time in the future is improbable.
It is more common for timber felling to be allowed under strict limits with a fee payable per unit volume of timber felled (stumpage).
The limits are usually such that the harvest of timber is sustainable and so the payments are recorded as rent in the case of a natural forest.
17.331 Forests may also be produced assets, in which case the extraction of timber is treated as the sale of a product.
17.332 Illegal logging across national borders is prevalent in some countries.
In such cases the quantity of timber extracted should be recorded as uncompensated seizure of a natural resource or cultivated asset, as the case may be.
17.333 Natural stocks of fish with an economic value are an asset and the same considerations apply to them as to other natural resources.
It is not realistic to consider that permission would be given to exhaust fish stocks but illegal fishing may either reduce the stock below the point of sustainability or exhaust them altogether.
In these cases, uncompensated seizure of the stock should be recorded.
17.334 Fishing quotas may be allocated in perpetuity or for extended periods to particular institutional units, for example, where fishing is an established way of life and there may be little alternative economic employment.
In such circumstances the quotas may be transferable and if so, there may be a well developed market in them.
Fishing quotas may therefore be considered as permits to use a natural resource that are transferable.
They are thus assets in the SNA.
17.335 An alternative regime is to issue a permit for a strictly limited period of time, less than a year, to a nominated institutional unit, often a non-resident.
This is a common practice in some islands in the South Pacific, for example.
In these cases the revenue from the licences should be recorded as rent as under a resource lease.
17.336 A licence for recreational fishing has long been considered, by convention, as payment of a tax.
This treatment is not changed by the wider considerations for commercial fishing.
17.337 A body of water with an economic value can be sold in its entirety either as part of the land that surrounds it or as a separate entity.
17.338 As is the case for fish, it is unlikely that economic ownership would be ceded under a long lease with no preconditions on the quantity and state in which a similar amount of water should be returned to the owner.
However, it is possible that surface water could be leased under a long lease for recreational purposes, say.
The treatment of such leases should be as for land.
17.339 Of increasing concern is the extraction of water from water bodies.
Regular payments for the extraction of water (as opposed to the delivery of it) should be treated as rent.
17.340 Mineral resources differ from land, timber and fish in that although they also constitute a natural resource, there is no way of using them sustainably.
All extraction necessarily reduces the amount of the resource available for the future.
This consideration necessitates a slightly different set of recommendations for how transactions relating to their use should be recorded.
17.341 When a unit owning a mineral resource cedes all rights over it to another unit, this constitutes the sale of the resource.
Like land, mineral resources can only be owned by resident units; if necessary a notional resident unit must be established to preserve this convention.
17.342 When a unit extracts a mineral resource under an agreement where the payments made each year are dependent on the amount extracted, the payments (sometimes described as royalties) are recorded as rent.
17.343 The owner (in many but not all circumstances government) does not have a productive activity associated with the extraction and yet the wealth represented by the resource declines as extraction takes place.
In effect, the wealth is being liquidated with the rent payments covering both a return to the asset and compensation for the decline in wealth.
Although the decline in wealth is caused by the extractor, even if the resource were shown on the balance sheet of the extractor, the rundown in wealth would not be reflected in the extractor's production account because it is a non-produced asset and thus not subject to consumption of fixed capital.
(The SEEA 2003 describes a form of satellite account where such a deduction from national income can be made for minerals as well as for other natural resources used unsustainably.)
For these reasons, simple recording of payments each year from the extractor to the owner as rent and changes in the size and value of the resource as other changes in the asset accounts of the legal owner is recommended.
17.344 There are two ways in which assets may be shared.
The asset may be wholly owned by two or more units, each at different points in time.
Alternatively, the risks of and benefits from the asset may be shared by two or more units at a single point in time.
The two cases require different treatments.
17.345 Within the SNA, even though the asset may be owned by different units at different times, when a balance sheet is drawn up, the whole of the value of the asset is attributed to one unit.
For an asset subject to an operating lease, there is no ambiguity.
The legal owner is also the economic owner and is the unit that shows the asset on its balance sheet.
For an asset subject to a financial lease, the unit showing the asset on its balance sheet is the economic owner.
The value of the asset is the present value of the future payments due to the legal owner plus the value of the asset at the end of the lease as specified in the lease agreement.
This is consistent with the views that the value of the asset represents the stream of future benefits coming from the asset and the economic owner is the unit entitled to receive these benefits in return for accepting the risks associated with using the asset in production.
For an asset subject to a resource lease, the value is shown on the balance sheet of the legal owner.
17.346 When licences to use natural resources such as radio spectra, land, timber and fish satisfy the “mobile phone” criteria, a separate asset, described as a permit to use a natural resource, is established.
These assets are part of the subclass of contracts, leases and licences.
They are then shown on the balance sheet of the licensee.
17.347 Sharing the risks and rewards of an asset between different units at a point in time is unusual.
The most common occurrence is that a single unit undertakes the activity in which the asset is used and that unit shares the returns among the owners in the form of distributed property income.
However, occasionally it is possible such a single unit does not exist and it is not meaningful to try to create it statistically.
This is most common when the participating units are resident in different economies, as may be the case with an airline, or in the case of some unincorporated joint ventures (UJVs).
The terms under which UJVs are established are diverse but one form allows that all members share the assets equally.
In such cases, the SNA records the assets shared between the owners in proportion to their ownership shares.
17.348 In some joint ventures, one party may contribute an asset as its share of the costs.
If this happens, an injection of capital equal to the value of the asset should be recorded followed by the purchase of the asset in question with the ownership of the asset then shared by all parties to the arrangement.
17.349 In addition to licences and leases to use an asset as described in the previous sections, permission may be granted to engage in a particular activity, quite independently of any assets involved in the activity.
Thus permission to extract minerals in return for the payment of rent, for example, is not covered by this type of permit.
The permits are not dependent on a qualifying criterion (such as passing an examination to qualify for permission to drive a car) but are designed to limit the number of individual units entitled to engage in the activity.
Such permits may be issued by government or by private institutional units and different treatments apply to the two cases.
17.350 When governments restrict the number of cars entitled to operate as taxis or limit the number of casinos permitted by issuing licences, for example, they are in effect creating monopoly profits for the approved operators and recovering some of the profits as the fee.
In the SNA these fees are recorded as taxes, specifically as other taxes on production.
This principle applies to all cases where government issues licences to limit the number of units operating in a particular field where the limit is fixed arbitrarily and is not dependent only on qualifying criteria.
17.351 In principle, if the licence is valid for several years, the payment should be recorded on an accrual basis with an other account receivable or payable entry for the amount of the licence fee covering future years.
However, if government does not recognize a liability to repay the licensee in the case of a cancellation, the whole of the fee payable is recorded at the time it is paid.
17.352 The incentive to acquire such a licence is that the licensee believes that he will thereby acquire the right to make monopoly profits at least equal to the amount he paid for the licence.
This stream of future income is treated as an asset if the licensee can realize this by on-selling the asset.
The type of asset is described as a permit to undertake a specific activity.
The value of the asset is determined by the value at which it can be sold or, if no such figure is available, is estimated as the present value of the future stream of monopoly profits.
If the payment for the licence is being recorded by government on an accrual basis, the licensee has an asset in his balance sheet under accounts receivable or payable equal to the value of the future payments and so the value of the licence itself should cover simply the excess of the monopoly profits over the cost.
If the licence is on-sold, the new owner assumes the right to receive a refund from the government if the licence is cancelled as well as the right to earn the monopoly profits.
If the licence was recorded as a single tax payment, the value of the asset is determined by the value at which it can be sold or, if no such figure is available, is estimated as the value of all the future monopoly profits without deduction.
The asset first appears in the other changes in the volume of assets account and changes in value, both up and down, are recorded in the revaluation account.
17.353 Suppose a unit, A, contracts with government to buy a permit to operate a casino for 3 years at a total cost of 12. He expects to make monopoly profits of 7 per year because the permit excludes many other casinos from operating.
The government may or may not be prepared to make a refund if A relinquished the permit.
A may utilize the permit for the whole of the 3 years for which it is valid or he may sell it to unit B at the end of year 1. The recordings under these four possibilities are examined below.
17.354 At the start of year 1, A pays tax of 12 and has an asset worth 21 initially.
By the end of the year, the value of the asset has reduced by 7 as an other volume change, because one of the three years for which the permit was initially valid has expired.
At this point the asset is contributing 14 to his net worth.
By the end of the second year he writes off another 7 as an other volume change, leaving a contribution to net worth of 7. By the end of the third year the asset is worth zero.
17.355 At the start of year 1, A pays tax of 12 and has an asset worth 21 initially.
By the end of the year the value of the asset has reduced by 7 as an other volume change, because one of the three years for which the permit was initially valid has expired.
At this point he values the asset at 14. However, B is only prepared to pay 13 for the asset and A accepts this.
A therefore reduces the value of the asset by 1 as a revaluation change.
B then acquires the asset and reduces its value by 6.5 in the other change in volume of assets account in each of the two following years.
17.356 At the start of year 1, A makes a payment of 12 to government but this is recorded as a payment of tax of 4 during the year and at the end of the year government has an account payable to A of 8. The value of the permit to A is only the excess of the monopoly profit over the total amount that A will have to pay to government.
This starts at 9 (the difference between 7 and 4 for three years) but by the end of year 1 is worth only 6. At the end of the year A's net worth includes an account receivable from government of 8 and 6 as the remaining value of the permit.
The total is 14 as in case 1. During the second year, A's account receivable from government is reduced by 4 which is used to pay the tax due in year 2. In that year the value of the permit also reduced by 3 from 6 to 3. At the end of the year, A's net worth includes an account payable from government of 4 and a permit worth 3, total 7 as in case 1. At the end of year 3, both the account payable and the value of the permit are reduced to zero.
17.357 At the start of year 1, A makes a payment of 12 to government but this is recorded as a payment of tax of 4 during the year and at the end of the year government has an account payable to A of 8. The value of the permit to A is only the excess of the monopoly profit over the account payable.
This starts at 9 (the difference between 7 and 4 for three years) but by the end of the year is worth only 6. At the end of the year A's net worth includes an account receivable from government of 8 and 6 as the remaining value of the permit.
The total is 14 as in case 1. As in case 2, A has to reduce the value of his permit (in this case from 6 to 5) when he appears to sell the asset to B for 13. In fact, the account payable from government of 8 is transferred to B and the asset is sold for 5. B's net worth is unchanged.
He has paid A 13 but received the account payable of 8 and an asset valued at 5 in return.
In year 2, the account payable is reduced by 4 and a tax payment of 4 is recorded and the permit declines in value from 5 to 2.5.
17.358 A permit issued by government to undertake a specific activity may be treated as an asset only when all the following conditions are satisfied:
a. The activity concerned does not utilize an asset belonging to government; if it does the permission to use the asset is treated as an operating lease, a financial lease, a resource lease or possibly the acquisition of an asset representing permission to use the asset at the discretion of the licensee over an extended period;
b. The permit is not issued subject to a qualifying criterion; such permits are treated as either taxes or payments for services;
c. The number of permits is limited and so allows the holder to make monopoly profits when undertaking the activity concerned;
d. The permit holder must be legally and practically able to sell the permit to a third party.
17.359 Even if all these conditions are satisfied, if in practice the permits are not on-sold, it is not relevant to record the permits as assets.
If any of the conditions is not satisfied, the payments are treated as taxes without the creation of an asset in the category of contracts, leases and licences.
(There may be an account payable as shown in cases 3 and 4 of the example.)
17.360 It is less common for units other than government to be able to limit the participation in a given activity.
One instance may be when it is either compulsory or desirable to belong to a professional association but in this case there is seldom a limit on numbers participating.
Another example could be where the owner of property limits the numbers of units allowed to operate on his property for example a hotel with a policy of only allowing one taxi firm to pick up guests.
In these sorts of cases, the permits are treated as payments for services.
In principle the payment should be recorded on an accrual basis throughout the period for which the permit is valid.
There is no reason in principle why such permits could not be treated as assets if they were marketable though this may not be a common situation.
17.361 A permit issued by a unit other than government to undertake a specific activity may be treated as an asset only when all the following conditions are satisfied:
a. The activity concerned does not utilize an asset belonging to the permit-issuer; if it does the permission to use the asset is treated as an operating lease, a financial lease or a resource lease;
b. The number of permits is limited and so allows the holder to make monopoly profits when undertaking the activity concerned;
c. The permit holder must be legally and practically able to sell the permit to a third party.
17.362 Even if all these conditions are satisfied, if in practice the permits are not on-sold, it is not relevant to record the permits as assets.
If any of the conditions is not satisfied, the payments are recorded as payments for a service.
17.363 Governments are increasingly turning to the issuing of emission permits as a means of controlling total emissions.
These permits do not involve the use of a natural asset (there is no value placed on the atmosphere so it cannot be considered to be an economic asset) and are therefore classified as taxes even though the permitted “activity” is one of creating an externality.
It is inherent in the concept that the permits will be tradeable and that there will be an active market in them.
The permits therefore constitute assets and should be valued at the market price for which they can be sold.
17.364 The case of payments for discharging water may be considered as an example of the different possible ways of treating the payments.
17.365 If a payment to discharge water is a fine intended to inhibit discharge, it should be treated as a fine.
17.366 If a limited number of permits is issued with the intent to restrict discharges, the payment should be treated as a tax if the medium into which the water is discharged is not regarded as an asset in the SNA.
17.367 If the discharge medium is an asset and the necessary conditions are met concerning the terms on which the discharge is permitted, then the payment for the permit should be treated in the same way as the payment for a licence to use the radio spectrum for mobile phones.
If the charge is linked to remedial action, the payment is a payment for a service unless the amount levied is out of all proportion to the costs involved in subsequent water treatment in which case the payment should be treated as a tax.
17.368 Although human capital is not recognized as an asset in the SNA, there are cases where a contract that entitles the holder to limit the ability of a named individual to work for others may be regarded as an asset.
The most prolific and lucrative contracts may be for sports players where, for example, a football club can “sell” a player to another.
In fact they are not selling the person, they are selling the exclusive right to have that person work for them.
Similar contracts exist for the rights to publish literary works or musical performances.
All such contracts are treated as assets of the type entitlement to goods and services on an exclusive basis within the asset class of contracts, leases and licences.
17.369 It is possible to imagine that similar contracts may exist for the production of goods in future.
An examination of the practice of purchasing the options of future aircraft production revealed, however, that in this case there is no transferable asset and a change of mind on the part of the potential purchaser or failure to deliver on the part of the supplier is settled by a change in the arrangements between the two parties and does not lead to the sale of the option to a third party.
If an instance arises where the option to purchase goods is treated in the same way as a contract for a named individual's performance, the same classification would apply.
17.370 As stated at the beginning of this part, contracts underlie many transactions recorded in the SNA and it is important to understand what the implications are for the time of recording and classification of transactions arising from a contract.
It has been noted that permits or licences to use natural resources may constitute an asset as may permits to undertake specific activities and contracts for future production.
There is one other condition that may lead to a contract being considered as an asset, which is another circumstance when the contract is transferable to a third party (that is a unit other than the two specified in the original contract).
17.371 Suppose a lease on an apartment agreed some time ago specifies the rental at 100 per month but if the same apartment were to be leased currently it would fetch 120 per month.
From the lessor's point of view, the apartment is “encumbered” by the existing lease, that is, it carries a penalty (in this case of 20 per month) because of the existence of the lease.
The encumbered value of the apartment is based on the present value of future rental payments taking the existence of the lease into account, that is, the future income stream is 100 for as long as the lease lasts and 120 thereafter (ignoring any allowance for inflation).
The unencumbered value of the apartment is a present value based on an income stream of 120 per month from the current period forward.
The value to be entered in the landlord's balance sheet is the encumbered value.
If he wishes to sell the apartment and the existing tenant had the right to remain at the agreed rental, the encumbered value is all the landlord (lessor) could hope to realize.
If he wished to realize the unencumbered value he would have to pay the tenant the difference between the unencumbered value and the encumbered value to be free of the lease.
This amount, the encumbrance, can in some circumstances be treated as an asset of the tenant.
The circumstances are that it is both legally possible and is practicable for the tenant to sublet the apartment to a third party.
Because of the difficulty of identifying when such assets may exist, it is recommended that in practice these assets be recorded only when there is evidence that they have been realized.
17.372 It is possible that the encumbered value of the apartment may be higher than the unencumbered value if rentals have fallen since the lease was agreed.
In this case it is the landlord that benefits from the discrepancy between the contract price and the market price because the value of the apartment in his balance sheet is still the encumbered value.
If the tenant wishes to cancel the lease, he may have to pay the landlord the difference between the encumbered value and the unencumbered value.
Only in the exceptional case where the tenant pays a third party to assume the lease at the price specified in the lease, does this payment represent realizing an asset of negative value to the tenant.
Once the lease expires or is cancelled, the value of the apartment returns to its unencumbered value.
17.373 Assets reflecting such third-party property rights are always transitory.
They exist only for the length of the lease and where there is a difference between the encumbered and unencumbered values.
As each year passes, they reduce in value because the period during which the difference exists is reduced but may increase if the new rental price increases.
17.374 The market price of the rental of an apartment is the price actually paid by the existing tenant.
If, in this example, the original tenant remains in situ and pays 100 per month, this is the market price despite the fact that a new lease would fetch a rental of 120. Only if the original tenant sublets the apartment for 120 would the market price be recorded as 120. Of this, 100 will be paid to the landlord and 20 to the original tenant.
17.375 The example above shows when a marketable operating lease may acquire a value as an asset.
Permits to use natural resources and contracts for future production may also give rise to these sorts of third-party property rights assets.
So may permits to undertake specific activities even though the original payment was treated as a tax if payable to government.
Financial leases do not give rise to these sorts of assets.
If the value of the asset being leased increases by more than the payments due under the financial lease, the lessee always has the option of selling the asset, repaying the loan and keeping the difference.
17.376 A marketable operating lease may be treated as an asset only when the two following conditions are satisfied:
a. The lease specifies a predetermined price for the use of an asset that differs from the price the asset could be leased for at the current time, and
b. The lessee is able legally and practically to realize this price difference by subcontracting the lease to a third party.
17.377 In practice, it is recommended that such assets should be recorded only when the lessee does actually exercise his right to realize the price difference.
17.378 One way of sharing an asset offering accommodation is by means of a “time-share” arrangement.
The same expression, though, may be used for a number of different arrangements.
17.379 One arrangement is similar to purchasing a house except that “ownership” is restricted to a particular period each year but in perpetuity.
Exactly the same physical space is available to the owner each year.
Another arrangement guarantees accommodation at a given time each year but not necessarily in the same physical space.
Other arrangements consist of buying “points” in a scheme that the owner can use to purchase accommodation at different locations and times subject to availability.
17.380 All time-share arrangements have a unit that is responsible for upkeep, maintenance, insurance and so on but there are variations in whether this unit is the ultimate owner of the complex and the subscribers are lessees or whether the unit acts as agent for the group of owners or subscribers.
Similarly there are variations in whether the owner or subscriber may sell or bequeath his ownership to another unit permanently and whether they can sublet occasionally.
17.381 The issue of whether participation in the time-share scheme gives rise to an asset will depend on the answers to these sorts of questions.
If the owner has a nominated space, available in perpetuity, is eligible to act as part of the management committee for the scheme, can sell or bequeath the allocation at will, then the holding is most likely to be an asset of the same type as a house.
If the owner has a fixed agreement to have some form of accommodation available at a given period for a fixed length of time, it is likely that this represents a prepaid lease but one that could be sublet occasionally or sold for the rest of the period of the lease as a transferable operating lease.
A participant in a points-based scheme may have only an account receivable by way of an asset.
17.382 Where time-share arrangements are significant, the conditions pertaining to them should be examined in the light of the general principles described in this section to determine how to record the transactions involved and classify the assets.
17.383 Under any form of contract, it is possible that one party makes a payment and the other does not deliver the goods, services or assets promised in the contract.
In many cases this gives rise to an account payable or receivable that the first party may reclaim from the second.
In some circumstances this may not be possible.
For example, cheap airline tickets are often offered on a non-refundable basis.
The fact that prepayments are non-refundable is part of the business plan of the company concerned.
Their output should be measured as the value of sales without reduction for the payments by clients who did not avail themselves of the services to which they were entitled.
Volume measures of output will depend on the services actually delivered and the impact of the non-refundable deposits will show up as a price effect.
It will also be reflected in the consumption expenditure figures of those paying for services they did not in the end take delivery of.
17.384 A particular form of income in kind is the practice of an employer giving an employee the option to buy stocks (shares) at some future date.
The ESO is similar to a financial derivative and the employee may not exercise the option, either because the share price is now lower than the price at which he can exercise the option or because he has left the employ of that employer and so forfeits his option.
The following is a description of how stock options are valued, taking into account the probability that not all the options are exercised.
17.385 Typically an employer informs his employees of the decision to make a stock option available at a given price (the strike price or exercise price) after a certain time under certain conditions (for example, that the employee is still in the enterprise's employ, or conditional on the performance of the enterprise).
The time of recording of the employee stock option in the national accounts has to be carefully specified.
The “grant date” is when the option is provided to the employee, the “vesting date” is the earliest date when the option can be exercised, the “exercise date” is when the option is actually exercised (or lapses).
In some countries the permissible length of time between vesting and exercise date is quite long; in others it is very short.
17.386 IASB accounting recommendations are that the enterprise derives a fair value for the options at grant date by taking the strike price of the shares at that time multiplied by the number of options expected to be exercisable at vesting date divided by the number of service years expected to be provided until the vesting date.
This fair value is applied to the number of service years provided in each year to derive the cost to the firm in the year.
The fair value per service year is adjusted if the assumptions about the number of options to be exercised alter.
17.387 In the SNA, if there is neither an observable market price nor an estimate made by the corporation in line with the recommendations just given, the valuation of the options may be estimated using a stock options pricing model.
These models aim to capture two effects in the value of the option.
The first effect is a projection of the amount by which the market price of the shares in question will exceed the strike price at the vesting date.
The second effect allows for the expectation that the price will rise further between the vesting date and exercise date.
17.388 Before the option is exercised, the arrangement between the employer and employee has the nature of a financial derivative and is shown as such in the financial accounts of both parties.
It is sometimes possible for these options to be traded or the employer may buy back the options for cash instead of issuing shares.
It is possible that multinational corporations may offer employees in one economy options on shares of their parent company in another country.
17.389 An estimate of the value of the ESO should be made at grant date.
This amount should be included as part of compensation of employees spread over the period between the grant date and vesting date, if possible.
If this is not possible, the value of the option should be recorded at vesting date.
17.390 The costs of administering ESOs are borne by the employer and are treated as part of intermediate consumption just as any other administrative functions associated with compensation of employees.
17.391 Although the value of the stock option is treated as income, there is no investment income associated with ESOs.
17.392 In the financial account, the acquisition of ESOs by households matches the corresponding part of compensation of employees with a matching liability of the employer.
17.393 In principle, any change in value between the grant date and vesting date should be treated as part of compensation of employees while any change in value between vesting date and exercise date is not treated as compensation of employees but as a holding gain or loss.
In practice, it is most unlikely that estimates of the costs of ESOs to the employers are revised between grant date and exercise date.
For pragmatic reasons, therefore, the whole of the increase between grant date and exercise date is treated as a holding gain or loss.
An increase in value of the share price above the strike price is a holding gain for the employee and a holding loss for the employer and vice versa.
17.394 When an ESO is exercised, the entry in the balance sheet disappears to be replaced by the value of the stocks (shares) acquired.
This change in classification takes place via transactions in the financial account and not via the other changes in the volume of assets account.
17.395 There are two consequences of the treatment of employee stock options to be incorporated into the accounts on the grounds of consistency.
One relates to other means of rewarding employees that are related to shares in the company.
The other relates to the use of stock options to meet expenses other than compensation of employees.
17.396 The first consequence is for variations on the basic employee stock option model.
A firm may contribute its own shares to the pension fund.
This variation is usually called an employee share plan or a stock ownership plan.
Under the 1993 SNA, these shares would not have been recognized as claims by households because such funding was not “arm's length”. With the change to recording pension entitlements rather than the existing assets to meet them, this objection to recording in the same manner as the IASB recommends disappears and should be followed.
17.397 Another variation on the use of stock options to reward employees is the offer to employees to purchase shares at advantageous rates under an employee share (stock) purchase plan.
Employees are not obliged to accept the offer, but if they do the discount in the share value should be treated as part of compensation of employment.
Similarly, if employees receive a benefit relating to the change in a company's shares but not shares themselves, this payment should be treated as part of compensation of employees.
17.398 The second consequence is the possibility that the enterprise pays for goods and services by means of stock options as well as offering these as part of the compensation package to employees.
When this happens, the value of the stock option should be estimated if at all possible by the value of goods and services received in exchange.
If this is not possible, then similar valuation methods should be used as in the case of employee stock options.
The options should be recorded as a form of trade credit between the issuers and the supplier of the goods and services in the financial account.
Such arrangements are usually referred to as share (stock) appreciation rights.
For simplicity within the SNA, the term employee stock options (ESOs) is used to include stock appreciation rights.
18.1 The preceding chapters explain both the accounting concepts of the SNA and the form of the sequence of accounts.
This chapter, and those that follow, describe how to build on this information to use the SNA in a way best suited to serve the needs of users and illustrate the interaction of the SNA with other international statistical standards.
18.2 The present chapter is concerned with a number of issues of particular concern to those responsible for the maintenance of the national accounts data base and the presentation of the accounts in the most suitable form for different sorts of analysis.
In particular it addresses:
a. how to deal with revisions and discrepancies in the data and the trade-off between timeliness and accuracy,
b. which accounts to present in volume terms,
c. the role of data more frequent than annual,
d. regional accounts, and
e. what sort of detail might be included in publications.
18.3 Although no table in previous chapters has illustrated it, the prime use of the SNA is in a time series context so that users of the accounts can assess how the economy is evolving and developing over time.
National accountants, like other statisticians, are regularly under pressure to produce estimates of the accounts as quickly as possible.
Inevitably there is a tension between timeliness and accuracy since more comprehensive and robust data usually take longer to process than short-term indicators.
Producing accounts as quickly as possible with the best information available at that time inevitably means that revisions to the initial estimates will be necessary.
The publication of revisions to series is not a sign of weakness in the statistical system, rather it should be seen as a sign of the degree of confidence that the statistician has in both the original estimates and the later revisions.
Some of the poorest quality national accounts are those that have remained unchanged for many years.
Aspects associated with publishing time series, and the need to revise them, are discussed in section B.
18.4 Chapter 15 describes the theory of the price indices that can be used to deflate some aspects of national accounts from current values to estimates in volume terms.
Section C describes briefly which parts of the accounts it is useful to express in this way.
18.5 Annual series are adequate to identify long-term shifts in the economy but to assess what is happening in the short term, higher frequency national accounts fill a key role in between short-term indicators and fully elaborated annual accounts.
Discussing such accounts requires a manual in itself but an indication of some of the key issues is given in section D.
18.6 Another dimension of the accounts is that of regional accounts, where a region may be either a subdivision of a country or an economic region covering several economies.
A brief mention of some aspects of regional accounting is given in section E.
18.7 The SNA is meant to be presented flexibly in order to respond most appropriately to local circumstances.
Section F illustrates some ways in which key aspects of the accounts might be presented.
It is important to stress that the tables in this section are not intended to be taken as strict guidelines but simply as indications of the sorts of details that might be condensed or expanded in different circumstances in order to highlight different aspects of the economy.
18.8 The tables in this manual are designed to be expository and therefore feature data only for a single time period.
In practice it is time series of the aggregates that explain the movement of economic variables that are of most interest to analysts.
The style of tables used in chapters 6 to 13 is well suited to time series presentations since the number of columns may be extended as necessary to accommodate increasingly long time series.
For example, instead of one table with one column for each of the five institutional sectors, one for the total economy and one for the rest of the world, it is straightforward to have seven tables, one for each of the columns but for multiple years.
18.9 The length of time series shown will depend on a number of factors.
For some purposes, in particular for macroeconomic modelling, as long a run as possible may be interesting and some countries have series going back for over fifty years.
However, most printed tables show no more than the ten to fifteen most recent years, with earlier data available only electronically.
Usually more attention is given to ensuring the data for the recent past are as complete and accurate as possible with earlier years receiving less detailed attention.
It is desirable, however, at a minimum to provide a link to earlier series so the long-term evolution of the economy can be examined.
18.10 There may be factors that imply that long time series are mainly of academic interest.
For example, the change from command economy to market economy that took place in eastern Europe in the early 1990s resulted in such a fundamental change in the nature of economic activity that time series for a period from the late 1980s to the early 1990s are of limited analytical interest.
In this case the political changes overshadowed the economic consequences.
In all countries, the evolution of the economy over a long period in response to innovations in products, marketing mechanisms and changing import patterns means that comparisons over very many years need to be interpreted carefully.
18.11 One consequence of preparing national accounts on a continuing basis over a number of years is that data sources change and improve.
Intermittent sources, such as a survey held only every five years, may become available and indicate that the earlier assumptions based on projecting the previous survey were flawed.
In such a case it is not sufficient to simply replace the data for the most recent period (or even from the date of the new survey forward) but to ensure that the whole time series is suitably adjusted in order to portray the best possible evolution of the series in question over as long a period as possible.
Failure to do so results in inappropriate discontinuities in the series that can be seriously misleading to analysts unaware that the source of the underlying data has changed.
18.12 This need to revise data brings to the fore the conflict inherent in statistics between making the data as accurate as possible and making them as timely as possible.
Users would like data that are both timely and accurate but there are trade-offs between these goals in practice.
Each statistical office must make judgements about how to balance these conflicting demands but whatever the ultimate conclusion, time series that are consistent over time and explanations to enable analysts to appreciate the trade-offs the statistical office has to take are essential.
18.13 A set of guidelines on best practice for performing and using the results of revisions analysis and in formulating a revisions policy that effectively supports user needs was prepared by a task force made up of representatives from OECD, Eurostat and several member countries of those organizations.
The papers prepared by the task force are available under the title Guidelines on Revisions Policy and Analysis (Organisation for Economic Co-operation and Development and Eurostat, 2008).
18.14 Although the SNA ensures there is perfect consistency between the three measures of GDP, this is a conceptual consistency that in general does not emerge naturally from data compilations.
This is because of the wide disparity of data sources that must be called on and the fact that any error in any source will lead to a difference between at least two of the GDP measures.
In practice it is inevitable that many such data errors will exist and will become apparent in exercises such as the balancing of supply and use tables.
18.15 Just as a statistical office must make choices about the trade-off between timeliness and accuracy, choices must also be made about how to deal with discrepancies.
Resources can be invested in improving data surveys, the format of the questionnaire, sampling strategies, processing techniques including the treatment of missing data and so on. However, while ultimately desirable, such an approach is costly and long-term.
Even with very sophisticated data collection methods, discrepancies between different estimates will persist due to differences in coverage, valuation and lags in recording.
In addition, a statistical office is also dependent to a greater or lesser extent on administrative sources of data and may not be able to ensure these exactly meet the statistician's needs.
18.16 Two approaches are open to a statistical office.
The first is to be open about the problem and publish a statistical discrepancy.
When this is done, it is usual to attach it to the variant of GDP the office feels is least accurate.
The aim is to show users something about the degree of reliability of the published data.
For example, the office may feel that the production estimate of GDP is fairly sound but have doubts about some of the expenditure components.
18.17 The alternative is for the office to remove the discrepancy by examining the data in the light of the many accounting constraints in the SNA, making the best judgement possible about where the errors are likely to have arisen and modifying the data accordingly.
The supply and use framework, described in chapter 14, is a very powerful tool for doing this sort of work.
More information on such balancing techniques can be found in manuals on input-output tables such as those prepared by the UN and Eurostat.
18.18 In practice, some countries may not be able to compile all three measures of GDP.
Indeed, it happens that sometimes only the production measure is compiled completely and only certain components of the expenditure measure are available, principally government expenditure, capital formation (perhaps with incomplete information on changes in inventories), exports and imports of goods only.
If, in such a case, an estimate of GDP by expenditure is presented where household consumption is derived as a global balancing item, this estimate will cover not only the true but unknown value of household consumption but will also include the net effect of all errors cumulated from all other parts of the estimates.
18.19 Any errors in the production measure, missing figures for imports and exports of services, or the fact that government expenditure has been recorded on a cash rather than on an accrual basis, will distort the value of household consumption.
If, then, the figure for gross operating surplus is derived by subtracting compensation of employees and taxes less subsidies on production from this incorrect figure for GDP, the errors will be carried forward to this aggregate also.
The lesson for users looking at accounts with no statistical discrepancy is to be sure to understand how it was eliminated.
The lesson for compilers is to study the possibilities of working at more detailed levels to avoid having to make gross assumptions about missing items, especially one as critical to an assessment of living conditions as household consumption.
18.20 Often, the compilation process for the financial accounts and balance sheets is sufficiently separate from the rest of the accounts that the figures for net lending or net borrowing derived from each are different in practice even though they are conceptually the same.
A discrepancy may indicate an error in the financial account or at any place in the accounts leading up to the balance in the capital account.
An examination of the differences sector by sector may help identify the most likely sources of error.
For example, a large discrepancy on household net borrowing may mean that some household income is not recorded; a large discrepancy in net lending for non-financial corporations may mean that some expenditure on fixed capital has not been recorded.
But each case must be investigated on a case-by-case basis.
18.21 A major purpose in constructing accounts covering a longer period of time is to be able to study the way in which the basic structure of the economy has changed.
This can be seen by studying the changing composition of macroeconomic aggregates in current values.
To determine growth rates, however, it is necessary to abstract from the effects of price changes.
This is done by constructing accounts in volume terms which enable the user to see the changes from one year to the next that would have resulted if there had been no change in prices. Chapter 15 describes in detail the theory and practice underlying the construction of price indices and the construction of volume measures.
That chapter also explains the consequences of deriving time series in volume terms using chained indices where some impacts of price changes do affect the volume estimates.
18.22 It is only the elements of the goods and services account and non-financial capital stock for which volume measures are derived.
In general, flows of property income, transfers and financial transactions are expressed only in nominal terms.
In cases of high inflation, an alternative presentation where even these flows may be adjusted is possible but this is not the norm.
18.23 As well as expressing the elements of the goods and services account in volume terms, the whole supply and use tables can be expressed in volume terms.
Compiling such a table ensures not only that goods and services balance when expressed in current values but that the prices used for their deflation are strictly consistent.
Conceptually, a production index should be related to a weighted index of the input prices, the weights corresponding to the values of the different input categories.
If the prices used to deflate output and those used to deflate intermediate consumption are not consistent, the implicit deflator for value added will be implausible.
Discovering such implausibility is an indication that either the current value figures are not well balanced, the prices used are inconsistent or inappropriate, or both.
18.24 It is useful to consider the expenditure components of GDP and the production components of GDP separately first, then to consider the supply and use table and finally the capital stock measures.
18.25 The measure of GDP easiest to express in volume terms is that of expenditure.
As long as appropriate price indices exist, the estimates of household consumption, capital formation, exports and imports can be deflated without much conceptual difficulty.
It is desirable to work at as great a degree of detail as possible using the product detail available for each aggregate.
Care must be taken, as explained in chapter 15, to ensure that differences in quality are properly accounted for in the price deflators.
This is especially important in the case of capital formation where many items such as computers are subject to rapid technological change and many items are customized, for example pieces of heavy machinery built to individual specifications.
18.26 Price indices for services are more difficult to compile than for goods and this is especially so for non-market services.
Because the current values of non-market services are usually determined as the sum of costs, the obvious approach is to deflate each of these (including calculating compensation of employees at constant compensation rates).
However, this does not allow for any change in the quality of services provided and in particular for the impact of any productivity changes that may have been achieved.
In some cases, direct volume measures should be considered as described in the Handbook on price and volume measures in national accounts or the handbook Towards measuring the volume of health and education and services (Organisation for Economic Co-operation and Development, 2009).
Research work is actively in progress to derive volume estimates of output that take account of changes in the quality as well as the quantity of the services provided.
18.27 Central to the production measure of GDP is value added, the balancing item in the production account.
Statements can be found saying that it is not possible to think of a balancing item having price and volume dimensions.
To date the most common practice is to deflate the values of output and intermediate consumption independently, industry by industry, and then derive the difference as value added for each industry.
(This is known as the double deflation method.)
Different price indices are necessary for two reasons.
The first is because the goods and services included in intermediate consumption for any industry are not the same as the output of that industry.
The second reason is that intermediate inputs are always measured at purchasers’ prices whereas output is measured at either basic prices or producers’ prices.
18.28 More recently, though, there is increasing interest in trying to associate movements in value added, after price effects have been eliminated, with changes in labour and capital inputs.
A description of the different concepts of productivity can be found in Measuring Productivity: Measurement of Aggregate and Industry-level Productivity Growth (OECD, 2001), hereafter referred to simply as Measuring Productivity.
The manual discusses the question of whether the estimates of the costs of capital and labour exactly exhaust the estimate of value added coming from direct volume estimates, a subject which is taken up in chapter 20 on capital services.
18.29 The rows of a use table show the way in which the total supply of a product is used for intermediate consumption, final consumption, capital formation and exports.
This identity must hold in value terms.
If the product in question is one where there is an unambiguous measure of quantity, the identity must also hold in volume terms.
If the volume figures are derived by deflating the current values, the identity will only hold with certainty if each use category is deflated using a price index that is strictly appropriate to it.
18.30 It is a good practice to compile supply and use tables in both current values and in volume terms at the same time so that the consistency of all the input data, including price indices, can be investigated together.
18.31 Derivation of estimates of the consumption of fixed capital requires estimates of capital stock excluding the effects of price changes, even if there is no thought of estimating capital services or productivity measures.
The levels of capital stock are typically derived by cumulating capital formation in successive periods and deducting the amount that has been exhausted.
It clearly makes no sense to aggregate estimates of capital formation at the prices actually paid since the effect of rising prices (even prices rising only moderately) will be to overstate the amount of “new” capital relative to “old”.
18.32 The preferred technique is to estimate all capital still in stock at the price of a single year and then revalue this to the price prevailing when the balance sheet is to be drawn up, typically the first and last day of the accounting period.
This should be done at the most detailed level practicable.
More on this can also be found in chapter 20.
18.33 One response to the demand for timely data is to compile accounts more frequently than annually.
In principle, the SNA can be applied to any length of time period but there are some special considerations that need to be respected for high frequency as opposed to annual accounts.
A frequent choice for high frequency data is for quarterly accounts.
For greater detail on compiling quarterly accounts, see Quarterly National Accounts Manual: Concepts, Data Sources and Compilation or the manual Handbook on Quarterly National Accounts (Eurostat, 1999).
These manuals discuss in detail issues such as using indicators to extrapolate data and benchmarking quarterly estimates to annual data.
What follows here is simply an indication of some of the key considerations that apply to quarterly as opposed to annual accounting.
Similar considerations apply to other high frequency accounts.
18.34 The time of recording principle is the same for quarterly national accounts as for annual accounts.
The accounts are to be compiled on an accrual basis and not a cash basis.
While there will always be amounts accrued but not yet paid or received, the proportion of these amounts, relative to the total flows in the period, will be larger for a shorter period.
18.35 The qualifying criterion for a fixed asset is that it should be used in production for more than one year.
For simplicity and consistency between quarterly and annual accounts, this period is maintained even for quarterly accounts.
18.36 Similarly the distinction between short-term and long-term in the classification of financial assets remains one year.
18.37 One aspect of quarterly accounts is the effect that arises because patterns of supply and demand may change with the season.
For example, more electricity may be used in winter to heat buildings than in summer or, conversely, more may be used in summer to cool them.
Many agricultural products are more readily available at one time of year rather than another and thus have lower prices then.
For these reasons, although the quarterly accounts should first be compiled using the data as observed, it is desirable to calculate quarterly data on a seasonally adjusted basis in order to study the pattern of evolution of the economy abstracting from seasonal effects.
18.38 Many holidays fall at the same time each year leading to a different number of working days in each quarter.
Thus it is common to calculate series adjusted for the number of working days in a period.
It is thus desirable to adjust high frequency data for both seasonal and working day effects.
18.39 When compiling quarterly accounts, it is necessary to compare the availability of quarterly data as compared with annual data.
Usually there is more information available annually and it is more comprehensive or otherwise better quality than quarterly data.
To the extent this is so, the quarterly accounts may be seen as being provisional in some sense and need to be revised when more reliable annual data become available.
Simply benchmarking four quarterly observations to the eventual annual figure, though, may give unexpected and implausible changes from the last revised quarter to the next quarter (a “step”) unless techniques are used that address this problem.
Most commonly used computer programs available to statistical offices automatically adjust to ensure that no such step results.
18.40 Although it is usual to ensure that the sum of data for the four quarters is equal to the annual figures for data before adjustment, forcing this agreement on seasonally adjusted data may be difficult and thus ill-advised if the step problem just referred to is to be avoided.
18.41 Some data values are never available quarterly and quarterly estimates may need to be made by interpolating and projecting annual information.
The use of mathematical techniques for deriving data, however, should be kept to a minimum since these are unlikely to pick up the fluctuations in the economy that quarterly accounts are intended to detect.
Data values that have been derived by interpolation and projection are also unlikely to have a strong seasonal component so complete accounts with full seasonal variations may not exist.
18.42 One possible exception to the general rule that the quality of annual data is superior to quarterly data concerns the measurement of changes in inventories.
The level of inventories at the start and end of the period should be deflated and the change in inventories calculated as the difference.
Holding gains (or losses) may occur when goods are held in inventories and the shorter the periods over which estimates of changes in inventories excluding holding gains and losses are made, the better those estimates will usually be.
(A parallel case is that of shares, for example, where holding gains are eliminated by using data quoted daily or, in some instances, more frequently.)
It is simple to think of the situation where the level of inventories is the same at the same date in successive years (possibly zero) but where there has been considerable movement of goods into and then out of inventory in the intervening period.
In such a case, the sum of the quarterly (or even shorter period) estimates of changes in inventories is to be preferred to the annual estimates.
18.43 Just as the goods and services account in annual accounts can be expressed in volume terms, so can the quarterly goods and services account.
Although it is recommended that volume indices be chained, for quarterly accounts it is recommended that volume indices should be chained on only an annual basis to avoid spurious results that could be caused by seasonal effects.
The techniques are described in detail in paragraphs 15.45 to 15.50.
18.44 It is possible in principle to compile the whole set of accounts in the SNA, including balance sheets, on a quarterly basis.
The most common sets of quarterly accounts, though, are for the goods and services account, the income components of value added, government expenditure, the balance sheet and changes in balance sheets for financial assets and liabilities.
The quarterly goods and services account should also be compiled in volume terms.
18.45 Regional accounts are of special importance when there are important disparities between the economic and social development of the various regions of a country.
18.46 A full system of accounts at the regional level implies treating each region as a different economic entity.
In this context, transactions with other regions are recorded as if they are external transactions.
External transactions of the region have to distinguish between transactions with other regions of the country and transactions with the rest of the world.
18.47 Three types of institutional units have to be considered in the context of regional accounts.
a. There are regional units, the centre of predominant economic interest of each of which is in one region and most of their activities take place in this region.
Among regional units are households, corporations whose establishments are all located in the region, local and state governments, at least part of social security and many NPISHs.
b. There are multiregional units, the centre of predominant economic interest of each of which is in more than one region but does not relate to the country overall.
Many corporations and a number of NPISHs are in this situation.
c. A small number of units are national units, which means that their centres of predominant economic interest are not located geographically even in the sense of multiregional location.
This is usually the case of central government and may be the case for a small number of corporations (probably public), generally in a monopolistic or quasi-monopolistic situation, such as the national railway corporation or the national electricity corporation.
18.48 Assigning transactions of the regional units to a specific region does not raise any conceptual problem.
Assigning the transactions of multiregional units between various regions raises more difficulties.
When considering deliveries between units of the same enterprise in different regions, it is necessary to apply the recommendation in paragraph 6.104 about intra-enterprise deliveries.
Such deliveries are recorded only when the receiving unit assumes responsibility for making the decisions about the level of supply and prices at which their output is delivered to the market.
When this is not the case, the receiving unit is regarded as providing only a processing service to the sending unit.
18.49 Further, some of the transactions of multiregional units simply cannot be allocated between the different regions in which they operate.
This is the case for most property income and financial transactions.
Thus the only balancing items of multiregional units that can be determined at the regional level are value added and operating surplus.
These difficulties are parallel to those that arise when trying to construct accounts for industries where different types of activities are undertaken in separate establishments of the same enterprise.
18.50 Assigning the transactions of national institutional units by region raises even more complex issues to the point where the usefulness of attempting to do so may be questioned.
While sales of electricity and railway services or compensation of employees paid by central government may be assigned to regions, interest on the public debt payable by central government or national corporations cannot be geographically located.
Consequently, a reasonable solution is to introduce a kind of national “quasi-region”, not allocated as such between the regions and being treated as an extra region.
This national “quasiregion” may include the head offices of enterprises that have establishments located in, and assigned to, the regions.
18.51 These conceptual difficulties partly explain why no country establishes the complete SNA accounts for every region.
In most cases regional accounts are limited to recording production activities (with conceptual problems arising for locating some of them, such as transportation and communication) by industry and more complete accounts for institutional sectors composed of regional units, such as households and local and state government.
Establishing accounts for goods and services and input-output tables by region does not raise insoluble conceptual issues, though it involves treating deliveries to and from other regions as exports and imports.
However, the practical difficulties of doing so are very considerable in the absence of a sophisticated system of transport statistics.
18.52 It should also be noted that in large countries there may be significant variation in prices of the same products across different regions.
A full investigation of the impact of price variation on regional production and expenditure could involve the construction of a type of PPP exercise to be able to estimate the difference in purchasing power in different regions.
Table 18.1: High-level SNA/ISIC aggregation (A*10)
18.53 Nonetheless, regional accounts, even with the limitations mentioned above, are a very useful tool for economic policy.
Partial regional accounts may be inserted in a set of regional statistical indicators on labour participation, unemployment, poverty, etc.
The greater the contrast between the regions in a country, the more useful is such a system of regional indicators, including value added per capita, household disposable income and household consumption per capita.
It is for countries themselves to devise their own regional accounts and statistical indicators, taking into consideration their specific circumstances, data systems and resources that might be devoted to this work.
Table 18.2: Industry level headings for a country with a large subsistence economy
18.54 There are two manuals giving more detail on regional accounts; Regional accounts methods - Gross value-added and gross fixed capital formation by activity Eurostat, 1995) and Regional accounts methods - Households Accounts (Eurostat 1996).
18.55 Although it is possible, as already noted, to introduce more detail into the integrated economic accounts by introducing more columns for subsectors and more rows for disaggregations of transactions, this may quickly result in a very complicated and unmanageable table.
For this reason, more detailed analysis of production and transactions in goods and services, financial transactions and detailed balance sheets, as well as analysis by purpose are shown in other types of tables.
Some of these alternatives are described in following chapters.
This section focuses on the presentation of the main macroeconomic aggregates with supporting detail.
18.56 It is fundamental to an understanding of the SNA to grasp the three different ways of compiling GDP, from the production, expenditure and income approaches.
However, the definitions in chapter 16 concentrate on the different types of flows at the most aggregate level to make the distinction between the three approaches as clear as possible.
In practice when presenting the results to users, some more detail is necessary.
The amount and kind of detail can vary from country to country but there are some broad guidelines that tend to be used by international organizations when producing tables for several countries at the same time.
18.57 For the production measure, it is usually appropriate to give some level of industry detail. ISIC, Rev. 4 provides a top-level of 21 sections and a second level of 88 divisions.
For national accounts summary data presentations, a high-level aggregation of 10 categories and an intermediate-level aggregation of 38 categories have been developed that are suitable for SNA data reporting from a wide range of countries.
The structure of these two SNA/ISIC aggregations, which are denoted as A*10 and A*38, respectively, is described in more detail in ISIC, Rev 4, paragraphs 199 to 212. Table 18.1 shows the high-level (A*10) aggregation of industries.
18.58 It is quite common in some countries to show very summary data for a range of industries with a breakdown by agriculture (ISIC section A), industry (ISIC sections B to F of which manufacturing, ISIC section C, is shown separately) and services (ISIC sections G to U).
In countries where there are a small number of key industries, it may be useful to break some of these headings down further and to merge others.
For example, it may be useful for an insight into the working of the economy to distinguish agriculture undertaken on a commercial scale to produce cash crops for export from small-scale informal agricultural activities or to distinguish the assembly of electronic goods.
Equally in some countries it may be sufficient to merge some service groups.
However, it is good practice to follow the basic ordering adopted by ISIC whatever the level of detail shown.
Table 18.3: GDP by expenditure
18.59 In countries with a large subsistence economy, it may be desirable to show whether the production is monetary or non-monetary. Table 18.2 shows how the main ISIC industries can be elaborated to make this distinction.
Depending on circumstances, a subset of these headings (or possibly with extra disaggregation if appropriate) may be a useful way to present information on the production activities in a country.
18.60 The most aggregate level of the expenditure measure of GDP is household final consumption expenditure, general government final consumption expenditure, gross capital formation, exports of goods and services and imports of goods and services.
(Often in such an abbreviated presentation the item for household final consumption expenditure includes that for NPISHs also.)
An example of a somewhat more detailed table is shown in table 18.3.
The possibility to include details by product or by COICOP groups is shown in the table.
Similarly (though not shown), details of products or COPNI, COFOG groups could be included under other headings as appropriate.
18.61 There is much less standardization in the presentation of income measures of GDP.
Some presentations concentrate on showing compensation of employees and operating surplus (and mixed income) by the same industry breakdown as is shown for the output measure of GDP.
Other presentations give the different components of compensation of employees (wages and salaries, and employers' social contributions), as well as the different types of taxes and subsidies levied on production.
As already pointed out, income should, properly speaking, be measured net of consumption of fixed capital and thus show the composition of NDP, not GDP.
The size of NNI relative to NDP is also of interest to analysts and should be shown.
18.62 Again national needs should be taken into account when determining the presentation of the accounts.
In a country where income in kind or subsistence income is significant, a breakdown of compensation of employees that includes these items should be considered.
18.63 Accounts in volume terms may be presented in a number of ways that are not necessarily mutually exclusive.
It is possible to present them in level terms so that for one year (the reference year) the figures in current prices and in volume terms will be identical.
A consequence of this is that if, as recommended in the SNA, volume estimates are derived by means of chain-linking, then the aggregates may not be equal to the sum of the components for years other than the reference year.
One alternative is to present the volume estimates in index number form.
The year that previously was the same in level terms becomes 100 for both the aggregates and the components.
This procedure makes changes easier to recognize but users can still calculate the level figures if desired by applying the base year level values to the volume indicators.
However, this alternative is inappropriate for aggregates that can take zero or negative values, such as changes in inventories.
A third alternative is to show the volume indicators only in terms of growth rates from either the previous year or from a base year.
However, rounding problems suggest this may be an additional form of presentation rather than the only one.
(See paragraph 15.63 for more on measuring the contributions of chain-linked indices to growth.)
18.64 As noted in the discussion on quarterly accounts above, quarterly estimates should be presented on both a seasonally adjusted and an unadjusted basis.
Often they will be presented in current prices and as volume series also.
18.65 The rationale for making institutional sectors such an important part of the SNA is the key role that they play in understanding how economic developments affect one or another groups of units in the economy.
An account for each sector can be examined on its own, much as is suggested in following chapters, but some features of the accounts are only apparent from a presentation where all the sector accounts are available together.
For example, an examination of property income flows shows which sectors pay interest and which receive it, what proportion of dividends are received by pension funds and whether rent is paid predominantly by households or not.
The secondary distribution of income account allows a comparison to be made between the amount of current taxes on income, wealth, etc. paid by corporations as compared with households, which sectors pay insurance premiums and which receive the claims and how important other current transfers are in the economy.
18.66 The chapters that discuss the interpretation of the sector accounts also consider matters of presentation as do the chapters showing the links with other statistical systems, notably the links to government finance statistics, external transactions and monetary and financial statistics.
In all cases, though, attention should be paid to presenting the accounts in a manner most useful to the readers of the publication for which a presentation is being designed.
This may well vary from one type of publication to another and flexibility in approach is essential to enable the readers to make best use of the data being presented.
18.67 Chapter 13 explains the articulation of the accumulation accounts for both non-financial and financial assets.
The links between opening and closing balance sheets for non-financial assets are essential for the derivation of consumption of fixed capital and for measures of capital services and productivity as explained in chapter 20.
Very often, though, the basic data on which such estimates are made are not published on a regular basis or even at all.
Despite their obvious importance, even stocks of residential dwellings are not publicly available for more than a handful of countries.
18.68 For financial assets and liabilities, the situation is somewhat better and indeed in some cases the flow data are derived from opening and closing balance sheet data.
Although these data are regularly published, when available, the tables are not always linked to the regular national accounts publication and so users are not always aware of the essential connection between the financial part of the accounts and the rest.
19.1 Economic activity is essentially human activity and yet the sequence of accounts does not refer to persons except indirectly.
All individuals that make up households (the population) are only identified in so far as they engage in consumption expenditure.
Those individuals that are employees feature only as the recipients of compensation with no indication about whether there are a few very well paid employees or many very poorly paid (though in fact there are some of each and many in between).
The purpose of this chapter is to show how data for population and labour can be used in conjunction with key entries in the sequence of accounts to show how much the average citizen benefits from economic activity and how much the average worker contributes to output.
An indication of the first is given by measuring GDP per capita and of the second by estimating labour productivity.
As well as being of interest in themselves, these figures are interesting in comparison with similar data in different time periods and in different countries.
19.2 This chapter considers total population, labour inputs and labour productivity only. Chapter 24 considers different types of households.
The extension of productivity to include the impact of capital is covered briefly in chapter 20 and more extensively in other publications such as Measuring Productivity.
19.3 The SNA requires a definition of population to express GDP and consumption aggregates in per capita terms.
In effect, expressing the volume of GDP (or of household final consumption expenditure) in per capita terms “standardizes” the volumes by adjusting for the size of countries based on their populations.
Per capita volumes of major aggregates are often used as a measure of the relative standard of living in countries, despite the misgivings of some social analysts about the adequacy of this measure.
Even though the per capita volumes of GDP have some shortcomings, it is clear there is a strong correlation between a country's per capita volume of GDP and its standard of living.
19.4 Labour input variables are necessary to examine productivity.
Changes in productivity over time are an important indicator of the efficiency of economic production.
Likewise, differences in the level of productivity in a country compared with similar countries provide a useful indicator of the relative efficiency of the country's production processes.
Productivity can be measured in different ways, with the simplest being labour productivity, typically measured as the volume of GDP per hour worked.
More complicated productivity measures, such as multifactor productivity (sometimes called total factor productivity) also require a measure of labour inputs, along with capital inputs, to obtain an overall input measure to divide into the GDP volume.
19.5 Clearly, if a ratio is to be formed between measures of output and labour input, the concept of labour used must match the coverage of production in the SNA.
The relevant standards on the labour force are maintained by the International Labour Organization (ILO).
The ILO standards are contained in “resolutions”, which are adopted by sessions of the International Conference of Labour Statisticians (ICLS).
The resolution of 2008 confirms that the economically active population is defined in terms of individuals willing to supply labour to undertake an activity included in the SNA production boundary.
19.6 Not everyone who is economically active works for a resident institutional unit.
It is therefore particularly important that the concept of residence underlying the population estimates be consistent with that for labour force estimates and that the residence of individuals included in employment estimates are consistent with the criterion of resident institutional unit in the SNA.
19.7 The topic of population and the derivations of per capita figures for aggregates such as GDP are the subject of section B. Section C starts by describing how the total population can be divided into those in the labour force and those not in the labour force and the adjustments made to population totals to allow for residents working abroad and non-residents working in the national economy.
It also describes how various categories of the labour force are defined and discusses some boundary issues.
19.8 Section D discusses how simple head counts of employed persons can be improved for use in productivity measures by different means of standardization.
The derivation of labour productivity measures is the topic of section E and the chapter closes with a brief discussion of data sources in section F.
19.9 Annual population estimates derive from less frequent population censuses.
Censuses usually count the number of people present on a specified night or the number of people who usually live in a dwelling, even if they are not present when the census is enumerated.
However, a census is often conducted only every five or ten years and sometimes less frequently.
In years between censuses, updated information on the population of a country is provided by drawing on information on births and deaths and on net migration.
19.10 The population of a country is most simply defined as all those persons who are usually resident in the country.
In this definition, the SNA and BPM6 concept of residence is used, that is persons are resident in the country where they have the strongest links thereby establishing a centre of predominant economic interest.
Generally, the criterion would be based on their country of residence for one year or more.
In most cases, the concept of residence is straightforward, being based on the dwelling a person occupies on a permanent basis, although there are some borderline cases discussed further in chapter 26.
19.11 Generally, persons who are resident in a country for one year or more, regardless of their citizenship, should be included in the population measure.
19.12 The growth rate in the volume of GDP is one of the key economic indicators provided by the national accounts.
19.13 As noted in the introduction, there are some shortcomings of per capita figures.
19.14 Per capita growth rates in real national income or in real actual consumption generally provide a better measure of the changes in the average “welfare” of a country’s population than the changes in GDP volumes.
19.15 As described in chapter 15, the International Comparison Program (ICP) makes estimates of absolute levels of GDP and GDP per capita across countries in order to try to establish a relative level of prosperity.
An exception is foreign diplomatic personnel and defence personnel, together with their families, who should be included as part of the population of their home country.
The “one-year rule” means that usual residents who are living abroad for less than one year are included in the population but foreign visitors (for example, holidaymakers) who are in the country for less than one year are excluded from the measured population.
Further elaboration on the application on the residence criterion in special cases is given in paragraphs 4.10 to 4.15
1. Per capita estimates of volume growth
Such growth rates can be compared directly between countries because they are expressed in common units (percentage changes) and are not affected by the currency in which the GDP estimates are expressed.
However, part of each country’s growth in GDP volumes is attributable to changes in population and so it is useful to “standardize” percentage growth rates by calculating per capita growth rates.
For example, if a country’s population is increasing more rapidly than its GDP volume growth then the per capita output is falling.
On the other hand, a country with a very low growth in GDP volume but with a declining population will show an increase in per capita output.
Just two examples can be given to illustrate this.
An economy with larger household sizes may have equivalent benefits from proportionately smaller expenditure on housing and other items covering all household members than a country with smaller household sizes.
Giving the same weight to a small child and an adult in a physically demanding job may also give misleading information on the adequacy of food consumption.
GDP is a measure of production within a country but the inflows or outflows of income from or to the rest of the world can have a significant effect on both the level and growth rates in real national income per capita.
Similarly, the level and growth rates in GDP volumes can differ significantly from those in the final consumption of households because of the varying shares across countries of capital formation and net exports within GDP.
2. Absolute levels of GDP per capita
These estimates involve measures of GDP, purchasing power parities (PPPs) and the same population estimates previously described as being used for volume growth measures.
19.16 Not all individuals included in the population are engaged in production.
Some are too young, some too old and some may simply choose not to work.
Others may usually work but be temporarily not working because of illness, lack of employment or being on holiday, for example.
A first step in moving from population data to data for employment, is thus to define what is meant by the labour force.
19.17 The labour force consists of those who are actively prepared to make their labour available during any particular reference period for producing goods and services that are included within the production boundary of the SNA.
The labour force is further divided into those who are employed and those who are unemployed.
Thus the population of the country can be subdivided into three categories; employed, unemployed and not in the labour force.
A person's status depends on their activity (or lack of it) during a particular reference period (usually a week).
19.18 Because the labour force is defined with reference to a short period, the number of persons in the labour force at any time may be smaller than the economically active population.
For example, seasonal workers may be included in the economically active population but not in the labour force at certain times of year.
19.19 The labour force consists of four groups of persons; residents who are employees of resident institutional units, residents who are employees of non-resident institutional units, unemployed residents and self-employed persons.
19.20 Employees are persons who, by agreement, work for a resident institutional unit and receive remuneration for their labour.
19.21 Employees include but are not confined to the following categories:
19.22 An outworker is a person who agrees to work for a particular enterprise or to supply a certain quantity of goods and services to a particular enterprise by prior arrangement or contract with that enterprise, but whose place of work is not within it. An outworker is treated as an employee if there is an explicit agreement that the outworker is remunerated on the basis of the work done, that is the amount of labour contributed as an input into some process of production.
19.23 Persons temporarily not at work are also considered as employees provided they have a formal job attachment.
19.24 Managers of corporations (or quasi-corporations) are treated in the SNA as employees but the ILO classification regards them as self-employed.
19.25 Self-employed persons are persons who are the sole or joint owners of the unincorporated enterprises in which they work, excluding those unincorporated enterprises that are classified as quasi-corporations.
19.26 Self-employed persons also include the following categories:
19.27 Contributing family workers are sometimes called unpaid workers but there are other unpaid, or voluntary, workers.
19.28 In ILO statistics, self-employed persons include those working in enterprises that are legally unincorporated even if there is sufficient information available for them to be treated as quasi-corporations in the SNA.
19.29 To complete the picture of the labour force, it is necessary to mention unemployment because the labour force is divided between employed persons (that is, employees plus self-employed persons) plus those who are unemployed.
19.30 Individuals may have more than one source of income from employment because they work for more than one employer or, in addition to working for one or more employers, they work on their own account as self-employed.
19.31 Employers may not be aware of, and in any case are not asked to provide information on, secondary jobs undertaken by their employees.
19.32 Population numbers are dependent on the residence of individuals but employees do not have to be resident in the economy where they work.
19.33 On the other hand, the following residents, though employees, are excluded from employment in residential institutional units (and hence from measures of employment as used in the context of the SNA):
19.34 Labour force statistics may be based on either household surveys (when all residents should be covered) or from establishment surveys (when the focus is on employment in resident institutional units).
19.35 National accountants are particularly concerned about ensuring that the whole of economic activity within the SNA production boundary is measured comprehensively.
19.36 The output of NPISHs is supplied free or at prices that are not economically significant so it is valued by the costs of production.
19.37 A distinction can be made between those who have an agreement to provide labour for token remuneration or only income in kind, those for whom there is explicitly no remuneration and those where there is apparently no remuneration but the workers benefit directly from the output to which they contribute.
19.38 In the SNA, the remuneration of those working for token amounts or only income in kind is measured by these costs.
19.39 If staff are purely voluntary, with no remuneration at all, not even in kind, but working within a recognized institutional unit, then these individuals are still regarded as being employed in SNA terms but there is no entry for compensation of employees (or mixed income) for them.
19.40 If family members contribute to the output of an unincorporated enterprise, the estimate of mixed income is supposed to include an element of remuneration for them and thus they are all treated as being in the economically active population from an SNA point of view.
19.41 By convention, no labour services are attributed to the services provided by owner-occupied dwellings (see paragraphs 24.50 to 24.58).
(A self-employed person is necessarily associated with a resident household.
If such a person provides goods and services abroad, these are recorded as exports.) Employment in the SNA is defined as all persons, both employees and self-employed persons, engaged in some productive activity that falls within the production boundary of the SNA and that is undertaken by a resident institutional unit.
1. Employees
Their remuneration is recorded in the SNA as compensation of employees.
The relationship of employer to employee exists when there is an agreement, which may be formal or informal, between the employer and a person, normally entered into voluntarily by both parties, whereby the person works for the employer in return for remuneration in cash or in kind.
There is no requirement that the employer should declare the agreement to any official authority for the status of employee to apply.
a. persons (manual and non-manual workers, management personnel, domestic staff, people carrying out remunerated productive activity under employment programs) engaged by an employer under a contract of employment;
b. civil servants and other government employees whose terms and conditions of employment are laid down by public law;
c. the armed forces, consisting of those who have enlisted for both long and short engagements and also conscripts (including conscripts working for civil purposes);
d. ministers of religion, if they are paid directly by general government or a non-profit institution;
e. owners of corporations and quasi-corporations if they work in these enterprises;
f. students who have a formal commitment whereby they contribute some of their own labour as an input into an enterprise's process of production in return for remuneration and (or) education services;
g. disabled workers, provided that the formal or informal relationship of employer to employee exists;
h. persons employed by temporary employment agencies, who are to be included in the industry of the agency which employs them, and not in the industry of the enterprise for which they actually work.
There is further discussion of the classification of outworkers in paragraphs 7.34 to 7.38.
This formal attachment should be determined according to one or more of the following criteria:
a. the continued receipt of wage or salary;
b. an assurance of return to work following the end of the contingency, or an agreement as to the date of return;
c. the elapsed duration of absence from the job which, wherever relevant, may be that duration for which workers can receive compensation benefits without obligations to accept other jobs.
Persons included in the above classification are those temporarily not at work because of illness or injury, holiday or vacation, strike or lockout, educational or training leave, parental leave, reduction in economic activity, temporary disorganization or suspension of work due to such reasons as bad weather, mechanical or electrical breakdown, or shortage of raw materials or fuels, or other temporary absence with or without leave.
For some purposes, it may be useful to distinguish employees temporarily not at work if this is possible.
2. Self-employed persons
Persons who work in unincorporated enterprises are classed as self-employed persons if they are not in paid employment that constitutes their principal source of income; in that latter case, they are classified as employees.
They may be temporarily not at work during the reference period for any specific reason.
The compensation for self-employment is included in mixed income because it is not possible to observe separately the return to labour from the return to any capital used in the unincorporated enterprise.
(For some analytical purposes it may be useful to estimate a breakdown.
See paragraphs 20.49 to 20.50)
a. contributing family workers working in unincorporated enterprises;
b. outworkers whose income is a function of the value of the outputs from some process of production for which they are responsible, however much or little work was put in;
c. workers engaged in production undertaken entirely for their own final consumption or own capital formation, either individually or collectively.
(An example of the last is communal construction.)
In the SNA the remuneration of these people is included in compensation of employees rather than in mixed income.
Among others, this may include members of producers' cooperatives.
3. Unemployment
An unemployed person is one who is not an employee or self-employed but available for work and actively seeking work.
The concept of unemployed persons is not required in the national accounts because the unemployed do not contribute to production but their numbers are necessary to make the conceptual transition from the employed population to the economically active population.
4. Boundary problems
Jobs and employees
The agreement between an employee and the employer defines a job and each self-employed person has a job.
The number of jobs in the economy thus exceeds the number of persons employed to the extent that some employees have more than one job.
An individual with more than one job may do these successively as when the person works for part of the week in one job and the rest of the week in another or in parallel as when the person has an evening job as well as a daytime job.
In some cases, too, a single job may be shared by two persons.
When employers supply information on the number of employees, they actually provide information on the number of jobs they provide.
Care has to be taken that the number of jobs does not include vacancies when numbers of jobs are used for number of employees.
The distinction between number of jobs and number of employees is one issue that has to be carefully addressed in productivity statistics.
Residence
The results of the activity of producer units can be compared with employment only if the latter includes both the residents and the non-residents who work for resident producer units.
Employment mainly consists of resident employees working for resident institutional units and self-employed persons.
However, it also includes the following categories where there might be a question about whether they are considered resident or not:
a. non-resident border workers (sometimes called frontier workers), that is, persons who cross the border each day to work as employees in the economic territory;
b. non-resident seasonal workers, that is, persons who move into the economic territory and stay there for less than one year in order to work in industries which periodically require additional labour;
c. members of the country's armed forces stationed in the rest of the world;
d. nationals who are on the staff of national scientific bases established outside the geographic territory of the country;
e. nationals who are on the staff of diplomatic missions abroad;
f. members of the crews of fishing boats, other ships, aircraft and floating platforms operated by resident units;
g. employees of general government bodies situated outside the geographic territory, for example embassies;
h. students undertaking employment are included or not according to their classification as resident or nonresident as explained in chapter 26.
a. residents who are border workers or seasonal workers, that is, who work as employees in another economic territory;
b. nationals who are members of the crews of fishing boats, other ships, aircraft and floating platforms operated by non-resident units;
c. residents who are employees of foreign government agencies located on the geographic territory of the country;
d. the personnel of international civilian organizations located within the geographic territory of the country (including local employees directly recruited);
e. members of the armed forces working with international military organizations located on the geographic territory of the country;
f. nationals working in foreign scientific bases established in the economic territory.
However, some further adjustments are required to ensure the coverage of employment on an SNA basis is complete:
a. conscripted members of the armed forces are generally not included in establishment surveys and may not be captured in household surveys but conscripts are regarded as being employees of general government in the SNA;
b. resident workers living in an institutional household (such as a religious institution or a prison) are generally not included in either household surveys or establishment surveys but the workers are included in SNA employment;
c. resident workers under the age limit defined for measurement of the labour force who work for resident institutional units are included in SNA employment.
5. The non-observed economy
This is often referred to as the “exhaustiveness” of the coverage of the national accounts.
In practice, it means ensuring that the value of production activities that are illegal or hidden (that is, the “underground economy” or the “hidden economy”) as well as those that are simply described as informal is included in the accounts.
In principle, for the SNA, the remuneration of all these workers should be included in either compensation of employees or mixed income.
Therefore, when looking at comparisons between labour statistics and output, it is important the persons concerned should be included in labour statistics also.
6. Labour in NPISHs
One of these costs is compensation of employees.
It is important that these employees be recorded in the employment measures used in deriving productivity changes.
However, NPISHs often have volunteer workers so the treatment of these deserves special attention.
7. Volunteer labour
In ILO statistics, all three types of worker are included in the economically active population as employees.
No imputation for an additional element of remuneration is included.
For example, if doctors or teachers work for only food and lodging, the value of this as income in kind is the only salary imputed to them.
Such instances may arise in religious institutions or in the wake of natural disasters.
If the unit employing these staff is responsible for whatever little remuneration is received, the staff are classed as employees.
(Individuals providing services to groups of other individuals, such as coaching a children's football team, without any associated infrastructure are not regarded as employed but rather engaging in a leisure pursuit, however worthy their efforts might be.)
In ILO statistics such workers will not be included in the economically active population if they are under age.
(The lower limits for working age will depend on national conditions.)
In contrast, if a group of individuals agrees to construct a building or structure, for example a school or a well, these individuals are regarded as being in the labour force and receive mixed income for their efforts.
Because it is difficult to value such projects, unless a direct comparison can be made with a similar building, the value of construction should be based on the costs incurred.
Labour is a significant input into construction projects, so its value must be included as part of the total costs using wage rates paid for similar kinds of work on local labour markets (see paragraphs 6.127 and 7.30).
This income is then used to acquire the result of their efforts which may subsequently be handed over to a third party for maintenance.
The latter action is recorded as a capital transfer in kind.
19.42 A crude estimate of the labour inputs required for productivity measures is provided by the numbers of persons employed.
Using this as a starting point, the labour input measures can then be adjusted to provide various degrees of sophistication.
Examples in increasing order of being difficult to measure are full-time equivalents, total actual hours worked and quality-adjusted labour inputs based on models.
Each of these is discussed in turn below.
19.43 Full-time equivalent employment is the number of fulltime equivalent jobs, defined as total hours actually worked by all employed persons divided by the average number of hours actually worked in full-time jobs.
19.44 The definition does not necessarily describe how the concept is estimated.
The method sometimes used, of simply counting all part-time jobs as half a full-time job, is the crudest possible way of making an estimate.
Since the length of a full-time job has changed through time and differs between industries, more sophisticated methods are preferred, such as one that establishes the average proportion and average working time of less than fullweek, full-time jobs in each job group separately.
19.45 The SNA does not recommend full-time equivalent employment as the preferred measure of labour inputs.
However, if the data are good enough to permit an estimation of total hours actually worked, full-time equivalent employment should also appear in association with the national accounts.
One reason is that this facilitates international comparisons with countries which can only estimate full-time equivalent employment.
However, with the move by the ILO to recommend recording total hours actually worked as the preferred measure of labour input, the use of full-time equivalents is likely to be gradually phased out.
19.46 As just noted, the number of full-time equivalent employees is based on the number of hours worked, on average, in a full-time job.
If the number of hours in a fulltime job falls because of an increase in annual leave entitlements or public holidays, say, there may be little or no change in full-time equivalents even though the total number of hours actually worked has declined.
A similar effect may be caused by an increasing incidence of sick leave.
The estimate of the number of hours in a full-time job is therefore adjusted for the average amount of sick leave taken in the reference period as well as for annual leave taken.
19.47 Even with such adjustments made to full-time equivalent numbers, the preference is for total hours actually worked to be used in productivity estimates.
19.48 In practice, total hours actually worked and annual (fulltime) hours actually worked may have to be estimated.
In many countries, especially for monthly paid employee jobs, only normal hours or hours usually worked, any paid overtime, plus annual and holiday leave entitlements can be ascertained.
It may be impossible to estimate the deduction to be made for the average level of absence from work due to illness from either total hours actually worked or annual (full-time) hours actually worked.
This error will not affect full-time equivalent employment if sickness rates in parttime jobs are the same as in full-time jobs.
19.49 If the reference weeks used in the surveys that provide the data are not fully representative, the best available information on variations throughout the year should be used in estimating data for the year as a whole.
19.50 For the purposes of the SNA, working time is defined as the time spent in undertaking activities that contribute to the production of goods and services within the SNA production boundary.
Seven concepts of working time are defined in the resolution concerning the measurement of working time adopted by the 18th ICLS, in December 2008:
a. hours actually worked,
b. hours paid for,
c. normal hours of work,
d. contractual hours of work,
e. hours usually worked,
f. overtime hours of work and
g. absence from work hours.
19.51 The most important measure for the SNA, and the one most relevant for use in measuring productivity, is hours actually worked.
This concept covers
a. direct hours, the time spent carrying out the tasks and duties of a job in any location regardless of the amount of time agreed contractually between employer and employee,
b. related hours, including time on call, travelling on work assignments, training and other tasks itemized in the resolution,
c. down time, covering periods when a person is available for work but cannot because of temporary interruptions of a technical, material or economic nature
d. resting time such as short periods of rest, for refreshment, etc.
19.52 Hours worked excludes
a. all types of leave (annual, public holidays, sick leave, parental leave civic duty etc.),
b. commuting time when no productive work is done,
c. education other than training,
d. meal breaks and other longer periods of rest while travelling on business.
19.53 More exhaustive definitions of these criteria can be found in the ICLS resolution.
19.54 The truism, for employee jobs, that hours worked equal hours paid less hours paid but not worked, plus hours worked but not paid, is a useful one, since many establishment surveys record hours paid, not hours worked, so that hours worked have to be estimated for each job group, using whatever information is available about paid leave, etc.
19.55 Using total hours actually worked as the input measure for calculating labour productivity changes over time implicitly assumes that each hour worked is of the same quality (that is, there are no differences in the qualifications and skill levels of the labour employed).
In other words, each hour worked by a highly skilled person, such as a brain surgeon, is assumed to produce the same quantity and quality of output as each hour worked by an unskilled worker.
It is possible to produce a quality-adjusted measure of the labour inputs that takes account of changes in the mix of workers over time by weighting together indicators of quality for different grades of workers.
(The term quality-adjusted is used as being parallel to the idea of quality-adjusted price indices but it could also be seen as an adjustment for the change in the composition of the workers involved.)
19.56 The quality indicators used can relate to variables such as academic qualifications, trade qualifications, experience (typically based on age of the worker), industry of employment and so on. The various indicators are weighted together using average hourly wages for a worker falling into each category.
The premise behind this approach is that workers are hired only until their marginal price (that is, their wages, including on-costs) is less than the marginal revenue expected to result from their production.
The index formula used can be a fixed-weight (Laspeyres) formula or a more sophisticated formula such as the Tornqvist, which takes account of changing weights by using weights from each of the periods in the analysis.
19.57 Calculating a quality-adjusted labour input measure using this approach is very data intensive and only those countries that have highly developed statistical systems are likely to have the detailed data required.
19.58 Total hours actually worked and full-time equivalent employment are both physical measures of labour input.
Output too can usually be measured in physical terms, such as tonnes or cubic metres, but this is not done in the national accounts, because the basic value per tonne or cubic metre varies so much between products that these physical measures lack general economic significance.
But compensation per hour or per full-time year of work varies enormously too.
Physical measures of labour input are only valid if the mix of different kinds of labour is much the same in the different countries or at the different times examined.
19.59 Since output is measured both at current prices and in volume terms, it is natural to do the same with labour inputs as well as with intermediate inputs.
However, the remuneration of the self-employed is included in mixed income and cannot be unambiguously identified separately.
For this reason, the labour input of employees only is shown at constant compensation.
19.60 The measurement of employee labour inputs at current prices and in volume terms is symmetrical with the measurement of output and subject to the following caveats.
a. Market prices and market compensation are assumed to measure the relative economic importance of different goods, services and jobs; the advantages and disadvantages of this assumption are the same for inputs as for outputs.
b. Though the volume measure and constant compensation concepts are defined as revaluations of quantities at base period prices or compensation levels, they can be estimated in practice as the sum, over all groups, of values at current prices or compensation levels, each divided by an appropriate wage index.
c. These group indices are estimates, calculated for a representative sample of jobs or of goods or services, with weights reflecting the relative importance of each of the subgroups represented by a selected and specified job, or by a selected and specified good or service.
In other words, a compensation index is constructed like a price index.
19.61 While the value of employee labour input at constant compensation can be estimated by deflating current values, as mentioned above, the data may also permit the direct approach of multiplying the current number of jobs in each job group by the base-period average annual compensation for jobs in that job group.
19.62 Volumes of output per hour worked (or per person employed) are described as measures of labour productivity.
However, this is a somewhat unsophisticated measure because changes in this measure can reflect a number of factors other than just the number of hours of labour employed.
In particular, increases in the amount of capital used can affect this ratio as can changes in the composition of the labour force over time.
19.63 Measures of capital productivity, calculated by dividing the volume of output by an index of capital services provided, suffer from similar drawbacks since they do not capture the effects of the amount of labour employed and the efficiency and composition of the capital inputs.
19.64 A measure that takes account of the contributions of both labour and capital to growth in output is multifactor productivity (MFP), which is sometimes referred to as total factor productivity (TFP).
The advantage of using MFP as the measure of productivity is that it includes effects not included in the labour and capital inputs.
This topic is discussed further in chapter 20 and in Measuring Capital.
19.65 The productivity model can be extended to include other factors such as the energy and materials used in production.
This can be extended to producing productivity estimates at the most detailed level of the input-output tables.
An example of such work can be found in the EU-KLEMS project.
EU-KLEMS was initially a statistical and analytical research project focussing on the analysis of productivity and growth accounting in the European Union at the industry level.
More information on it can be found on the project site http://www.euklems.net/.
The work is being adopted officially.
19.66 As explained in section D, neither the number of employees, nor even full-time equivalent employees are ideal measures for use in productivity studies.
Total hours actually worked is preferred by many because it is a reasonable compromise between these cruder measures and data-intensive measures that adjust for differences in the qualifications, skill levels and composition of labour.
19.67 Whichever labour measure is used in calculating productivity, it is very important to ensure that the coverage of the labour data is consistent with that of the national accounts.
In other words, the labour inputs must be estimated within the same production boundary and using the same criteria for residence that are used in the national accounts.
Typically, the topics that cause most difficulty are residence (particularly with border workers), defence force and diplomatic personnel (who are commonly not covered by the labour force surveys often used to provide the basic data) and obtaining details of unpaid hours (for example, unpaid overtime) or of some self employment (for example, contributing family workers).
19.68 Increasingly, analysts are interested in measuring productivity on an industry basis as well as for the economy as a whole.
Calculating industry employment and working time by industry adds an additional degree of difficulty to the estimation process.
Among other advantages, using hours worked overcomes the problems involved in measuring employment by industry when a worker has two or more jobs, not in the same industry.
19.69 In particular, the national accounting data come from surveys of establishments while the employment estimates are generally obtained using household surveys.
It is often difficult to correctly match the data classified by industry from these separate sources.
Similar difficulties potentially affect regional estimates, with the concept of residence having to be applied at a regional level rather than at the country level.
19.70 Labour productivity, including industry productivity, and MFP are all valid measures of an economy's performance.
From a practical viewpoint, it is important to ensure that the employment and hours worked underlying these sets of estimates are consistent with each other as well as with output measures when calculating the productivity estimates.
19.71 Examining the relative productivity performance of different industries is of interest to many analysts.
In practice, the labour input estimates for the whole economy can be estimated either “bottom up” or “top down”. In the former case, the totals for the economy as a whole will be completely consistent with the industry estimates because they are summed to derive the total labour estimates.
However, in the case of a top-down approach, a range of different data sources may be used to obtain the disaggregation by industry.
In such cases, it is important to ensure that the sum of the industry estimates is consistent with the national totals.
19.72 Classifying employment by industry is not always straightforward.
The main issue is to ensure that the employment estimates for each industry are as consistent as possible with the national accounts values and volumes so that the productivity estimates are reliable.
One particular problem that arises is where staff are recruited via an external recruitment agency.
Maintaining consistency with the industry output means that employment should be classified to the industry of the establishment that legally employs the workers.
In practice, this will be the establishment that pays the employee's wages and any associated social contributions, which will usually be the employment agency and so the employees will be classified to industry class 7491 Labour recruitment and provision of personnel.
The output of this industry includes the revenue derived from the activity of hiring out staff to those establishments that need the staff; generally, those establishments will be in other industries.
The establishments using these staff pay the employment agency and then the employment agency pays the staff so the payments by the “using” establishments will be recorded as part of intermediate input for the using industry.
19.73 Ideally, for productivity purposes both the output attributable to these staff and the hours they work would be recorded in the industry in which they are actually working rather than in the industry “Labour recruitment and provision of personnel”. However, in practice, it is unlikely that the data can be collected to enable the output and hours worked to be classified this way.
It may be useful for some purposes for the staff hired out by employment agencies to be allocated to the industries that actually use the staff.
However, any such allocation should be presented in a supplementary table and not in the main accounts.
19.74 Productivity growth is often expressed in percentage terms and comparisons across countries made in terms of these percentages.
Assuming similar methods have been used to compile the estimates for the countries being compared, and that they have roughly comparable levels of productivity, this sort of comparison is interesting and much simpler than the alternative of comparing levels.
Measuring the relative levels of production (for example, the volume of GDP or of GDP per capita) or productivity between countries is more complicated because it is necessary to convert the national accounts data to a common currency.
The best means of doing so is to calculate purchasing power parities (PPPs), which measure the rate of currency conversion that would be required to equalize the prices of a common basket of goods and services between the countries concerned.
In practice, PPPs adjust for differences in price levels between countries as well as differences in exchange rates (see section E of chapter 15).
19.75 International comparisons of productivity below the level of GDP, such as by industry, are problematical. PPPs are calculated using the expenditure-based estimates of GDP so there are no PPPs for the individual industries that contribute to GDP.
Therefore, it is necessary to make an assumption that the PPP for a single aggregate such as GDP is applicable to all industries.
Examining the differences in the PPPs for the various expenditure components shows they can vary significantly so this is unlikely to be a very good assumption.
Making robust international comparisons of productivity at disaggregated levels is thus a very demanding exercise.
19.76 Broadly speaking, there are three types of data sources for employment data.
These might be used singly or in combination especially when the periodicity of each differs.
The usual caveats that the quality of a survey depends on the sample size, survey design, response rate and reference period obviously apply to the surveys used for employment data as for other surveys.
So do the steps that need to be taken to allow for non-response and misreporting.
19.77 The three data sources are:
a. household surveys, such as a labour force survey;
b. establishment surveys;
c. administrative data (for example, employment associated with a payroll tax).
Population census data may also be available infrequently.
19.78 The employment estimates from a household survey typically count the number of people who have jobs and, perhaps, the number of hours they work.
If the labour input measure being used is the number of jobs in the country then the household survey will provide an underestimate to the extent that some people work in more than one job, unless the survey collects information on multiple job holding.
On the other hand, if the household survey collects details relating to the hours worked in all the jobs in which each person is employed then it should provide a good estimate of employment for the economy as whole.
19.79 Establishment surveys tend to have some shortcomings when used as a source of employment data.
In the first place, it is difficult to ensure that the survey frame on which they are based is completely up to date because of the lags inherent in the sources used to update the frame (for example, registration of new establishments with the appropriate authorities).
Even if the lags in updating the survey frame are consistent, their impact on the employment estimates will vary with the peaks and troughs in the business cycle.
Secondly, it is often difficult to collect data for self-employed persons, particularly if they are operating an unincorporated establishment.
There may be genuine confusion with enterprises regarding casual workers as providers of services rather than employees.
Further, there may be some cases of deliberately underreporting the numbers of employees.
19.80 Administrative data provide a useful source of employment data for the national accounts but may need to be used with caution and in connection with other sources.
Even when they have reasonably full coverage (for example, establishment tax data) the data may not be available until well after the reference year and provide only a snapshot of employment in that year rather than the average for the year.
A source such as payroll tax data is often affected by having exemptions for smaller establishments (including unincorporated enterprises), which reduces the completeness of the data.
In such cases, the coverage of establishments is likely to vary by industry because of the concentration of smaller establishments in industries such as agriculture, construction and retailing.
19.81 The problems connected with handling border workers in the national accounts have been described in the section on residence.
As far as data sources are concerned, household surveys are likely to include employed persons in the country in which they are surveyed (that is, their country of residence) unless the survey contains specific questions to identify and exclude such workers.
19.82 Employed persons who have more than one job during a reference week can only be classified by industry and by status in employment through the application of some essentially arbitrary criterion as to which of their jobs is the most important one.
On the practical plane, while household surveys can provide data about either or both of employed persons and jobs, establishment surveys only provide data about jobs.
20.1 This chapter differs in content and style from those describing the accounts of the SNA.
Its aim is to show how a link can be made between the value of assets used in production and the gross operating surplus generated.
This link has been elaborated over a period of about fifty years in a body of knowledge described as the theory of capital services.
However, it is only fairly recently that a few statistical offices have incorporated the ideas from the theory into the measurement of stocks of those assets used in production.
Because there is evidence that this approach leads to improved measures of capital stock, it is proposed that, for those offices interested, a table supplementary to the standard accounts could be prepared to display the implicit services provided by non-financial assets.
The contribution of labour input to production is recognized in compensation of employees.
By also associating estimates of capital services with the standard breakdown of value added, the contributions of both labour and capital to production can be portrayed in a form ready for use in the analysis of productivity in a way entirely consistent with the accounts of the SNA.
20.2 The rest of the introduction gives a very general overview of the ideas involved in linking capital services with national accounts.
Section B shows how the measurement of capital stock can be aligned with the notion of the efficiency of an asset as well as its price.
This is followed by section C showing how to identify flows of capital services within existing entries in the accounts.
Section D shows how consideration of the basic link between asset value and contribution to operating surplus can be exploited to determine the appropriate way to account for costs associated with acquiring and disposing of assets and to place a value on assets where limited market price information is available.
Finally, section E discusses a possible format for a supplementary table.
20.3 Non-financial assets give rise to benefits either from being used in production or simply from being held over a period of time.
This chapter concerns those non-financial assets that contribute to production and how this contribution is recorded in the accounts.
The assets concerned are fixed assets, inventories, natural resources and those contracts, leases and licences used in production.
Valuables give rise to benefits derived from holding them as stores of value rather than using them and so are not covered by this chapter.
20.4 Assets appear on the balance sheet of their economic owner and the changes in value between one balance sheet and the next have to be identified and included in the appropriate account.
Changes in the value of assets due to changes in absolute or relative prices appear in the revaluation account.
Changes due to unexpected events not reflected in transactions appear in the other changes in the volume of assets account.
Every other change in value is treated as a transaction and must be recorded elsewhere in the SNA.
If the user of the asset is not the legal owner, two sets of transactions are recorded, those giving rise to payments between the user and the owner and those that show the user receiving the benefits of using the asset.
These latter are recorded as internal to the user.
If the legal owner of the asset is also the user of the asset, only the internal transactions are recorded.
20.5 Assets used in production have to be paid for but the payment is not deducted from the value of production in the period the asset is acquired but is spread over the whole of the period the asset is in use in production.
For fixed assets, this gradual payment for an asset is recorded as consumption of fixed capital, which is the decline in the value of the asset due to its use in production.
However, assets are not just a charge on production, they also contribute to the profitability of an enterprise by being the source of operating surplus.
It has long been commonplace to recognize that operating surplus is the return to capital used in production but an articulation of how this surplus is generated and how it relates to the value of an asset and the way in which this value changes during a period has not previously been included in the SNA.
As noted, this articulation is known as the theory of capital services.
This terminology sits a bit uncomfortably with national accountants since the services referred to are not the outputs of production in the way that transportation or education services, for example, are.
Nevertheless, the terminology is well established and should not in itself give rise to problems as long as it is remembered that capital services are not produced services.
Alternatively, capital services can be thought of as simply the term for the way in which the changes in the value of assets used in production are captured in the production account and the balance sheet.
20.6 Much of the impetus for identifying the entries associated with capital services in the national accounts has come from those interested in the analytical uses that can be made of the information, especially for productivity studies.
Because much of this work has been undertaken by researchers, it is perhaps inevitable that the rationale and reasoning behind the proposals should have been expressed in a rather academic manner, in particular making extensive use of sometimes rather complex algebra.
This chapter takes a different approach.
It aims to show that, rather than introducing a new concept into the SNA, capital services can, in theory, be identified within the existing accounts.
Further, recognizing this can lead to improvements in the estimates of consumption of fixed capital, which are currently required in the production accounts, and of the values of capital stock, which are required in the balance sheets.
The derivation of information analytically useful for productivity studies can thus be seen as a by-product of improved national accounts compilation practices and not an additional exercise.
The explanation is done in terms of highly simplified numerical examples but still aims to demonstrate the connection between the concepts referred to in studies referring to capital services and the national accounts approach to the valuation of capital and the derivation of stock levels.
20.7 The explanation given here is to some extent superficial since it is intended to give an overview of the concepts and indicate in general terms why the theory of capital services is relevant to national accountants.
For a deeper understanding of the subject, reference should be made to the two OECD manuals on the subject, Measuring Capital and Measuring Productivity and some of the practical and theoretical work referenced in those manuals.
20.8 Estimating the value of capital stock is not a straightforward process.
Whereas it is possible to measure all new capital formation undertaken in a year directly and simply aggregate it, estimating the total value of a stock of assets, even of the same basic type, but with differing characteristics and of different ages, is not simple.
In theory, if there were perfect second-hand markets for assets of every specification, these observed prices could be used to revalue each asset at the prices prevailing in a given year, but in practice, this sort of information is very seldom available.
Thus measures of capital stock must be derived indirectly and this is conventionally done by making assumptions about how the price of an asset declines over time and incorporating this in a model based on the perpetual inventory model (PIM).
Basically the PIM writes down the value of all assets existing at the beginning of the year in question by the reduction in their value during the year, eliminates those assets that reach the end of their useful lives in the year and adds the written-down value of assets acquired during the year.
This routine is so well established that it is possible to overlook the assumptions it rests on but it is an investigation of these assumptions that reveals the dual benefits of deriving capital service values.
20.9 In the absence of observable prices, the value of an asset may be determined by the present value of its future earnings.
Economic theory states that in a well functioning market (suitably defined) even when prices are observable, this identity will hold also.
There are thus two sorts of questions that may be posed about the value of an asset; (i) how much would it fetch if sold, and (ii) how much will it contribute to production over its useful life.
The first of these is the traditional question asked by national accountants; the second is basic to studies of productivity.
However, these two questions are not independent.
20.10 Suppose an asset will add values of 100, 80, 60, 40 and 20 to production over the next five years.
For simplicity assume all products have the same prices and there is no inflation.
Assume, further, that the real rate of interest is five per cent per annum for all five years.
20.11 The value of the asset in all five years can be derived using present value techniques as shown in table 20.1.
(For simplicity, in this and all the following examples, the values shown are values at the start of the year so that, when discounting, the factor for the whole year is used.
This simplification is made only to facilitate exposition; in practice mid-year figures should be used.
It should also be noted that the figures in the tables are rounded and therefore may appear not to add exactly.
However, a reader who follows the examples in a spreadsheet will achieve exactly the figures shown.)
20.12 The addition to the value of the asset in year 1 from the expected earnings of 80 in year 2 is 76, that is 80 divided by 1.05.
(Alternatively, the addition to the value of the asset in year 1 can be viewed as 80 times a discount factor of 0.9524, the reciprocal of 1.05) The addition to the value of the asset in year 2 from earnings in year 3 is 57 (60 divided by 1.05) and in year 1 is 54 (57 divided by 1.05) and so on. When the value of 100 for the earnings in the first year is added to 76, the value of the second year's earnings in the first year, and to 54, the value of the third year's earnings in the first year and to 35 and 16, representing the value of the earnings in years 4 and 5 in the first year, a value of the asset in year 1 of 282 is derived.
When the table is complete, the value of the asset in each of the five years is seen to be 282, 191, 116, 59 and 20.
20.13 The decline in value of the asset from year to year can be calculated by deducting each succeeding year's value from the value of the present year.
Thus a series of 91, 74, 57, 39 and 20 is derived, a series that sums to 282, the original value of the asset.
If the decline in value of the asset (91 in the first year) is deducted from the contribution to production (100 in the first year), the value of income generated in a year results (9 for the first year).
To see that this item represents income, consider that the sum of the elements in the first column for years 2 to 5 together (182) represents the value of the same capital stock existing in year 2 but valued in the first year.
This value of 182 increases by 9 to 191 between year 1 and year 2. This amount satisfies the criterion for income that it is the amount that the owner of the capital can spend and still be as well off at the end of the period as at the beginning.
Table 20.1: Example of deriving the value of capital stock from knowledge of its contribution to production
20.14 Over the five-year period, the value of income is equal to the difference between the sum of the diagonal elements (300) less the amount of the decline in value (282), or to put it another way, there is an identity between the value of income the asset yields and the discounting inherent in establishing its current value.
20.15 Now suppose nothing is known about the contribution of the asset to production but the decline in the value of the asset over the five years, due to ageing, is known.
If this is postulated in terms of a value index relative to the preceding year's value, and the initial value is known to be 282, then the entries in table 20.2 can be calculated.
By design, a value series consistent with the figures in table 20.1 is assumed.
Applying the decline in value of 0.68 to the initial value of 282 gives a value of 191 for year 2; applying the value decline of 0.61 to 191 gives 116 for year 3 and so on.
(Alternatively a time series of values could be postulated and applied to the initial value.)
From this the declines in value of the asset from year to year can be deduced and seen to be identical with those in table 20.1.
Table 20.2: Example of deriving the value of capital stock from knowledge of its decline in price
20.16 In general this is as far as the PIM goes.
Its twofold purpose is to calculate asset values for the balance sheet and the figures for consumption of fixed capital and these requirements are satisfied at this point.
But it is in fact possible to go further.
The contribution of the asset to production in the final year (20) is the same as the final year's value.
If this is discounted by five per cent, the addition to the value of the asset at the start of year 4 is determined to be 19. Given the value of the asset at the start of year 4 is 59, there must be a figure of 40 contributed to production in that year.
Extending this, for year 3 the value of 116 must consist of 18 representing the contribution to production in year 5 of 20 discounted twice, 38 representing the value contributed to production in year 4 of 40 discounted once and so by residual the value contributed to production in year 3 must be 60. In this way all the top, triangular, part of the table can be completed and the values of the amounts of income in a year be derived just as in table 20.1.
20.17 Although tables 20.1 and 20.2 start from different assumptions, exactly the same complete table results even though they are filled in a different order in the two cases. Table 20.1 starts from assumptions about the declining contribution to production and derives stock values and the decline in value each year. Table 20.2 starts from assumptions about the decline in value of the stock and derives the contribution to production and the decline in value each year.
Both techniques give values of stocks to include in the balance sheets and figures of consumption of fixed capital.
The assumptions made in the two cases must be consistent.
In fact it can be shown that every pattern of decline in the contribution of an asset to production (usually called the age-efficiency profile) corresponds to one and only one pattern of decline in prices (usually called the age-price profile).
20.18 Given this, it would seem possible to take the information in a set of PIM assumptions and simply derive the contributions to production from these.
While it is possible to do this, it is generally held to be preferable to start again by postulating a set of age-efficiency profiles.
The reason for this can be illustrated by table 20.3.
Table 20.3: Table 20.2 with a slightly different pattern of price decline
20.19 Table 20.3 again starts from a series of relative price changes as in table 20.2 but these changes are somewhat different.
Instead of a series of 1.00, 0.68, 0.61, 0.51 and 0.34, a series of 1.00, 0.75, 0.55, 0.30 and 0.20 is taken.
These changes underestimate the rate of decline in value in the second year and assume a faster rate of decline in later years.
At first sight they do not seem unreasonable.
However, the effect on the contribution to production is considerable and the resulting series of 80, 101, 83, 28 and 7 is quite implausible.
What sort of asset would be over twenty per cent more efficient in its second year than in its first and still more efficient in the third year than in the first before declining quickly thereafter? Yet this pattern of flows is still consistent with an initial value of 282, as in table 20.2 and with cumulative declines in value adding to this amount over five years.
20.20 These are the reasons why it is argued that making assumptions about efficiency decline is likely to lead to superior results for the value of stocks, their decline in value and the income they generate than making assumptions about the rate of price decline.
As a further example of why this may also be easier, consider the case of an asset that contributes the same to production, let us say 100, for each of five years and then stops dead, like a light bulb.
It is easy to postulate a constant age-efficiency profile but the corresponding age-price profile is much less intuitively obvious and varies according to the discount factor applied.
20.21 However, while there are good reasons for using age-efficiency profiles as the starting point, where actual information is available on age-price profiles, even partial information, it should be confirmed that the selected age-efficiency profile is consistent with the observed age-price movements.
20.22 A number of patterns can be postulated for either the age-price or age-efficiency profile.
These include straight line depreciation and various non-linear forms discussed in Measuring Capital.
One of particular interest is that where the price declines geometrically, that is each year the price (when adjusted for inflation) is a fixed proportion, f, of the year before.
Because such a series converges to, but never actually reaches, zero, it is difficult to portray it in a table such as those shown above but the interesting characteristic can be derived by means of a little very simple algebra.
20.23 It can be seen from the tables above that the value of an asset at the start of any year, Vt, is equal to the capital services to be rendered in that year, a, plus a discount factor, d, times the value of the asset at the start of the next year, Vt+1.
Thus
Vt = a +d Vt+1.
In the case where Vt+1=f Vt, Vt = a/(1-df).
By analogy, if the value of the capital services rendered by the asset in year t=1 is b, Vt+1= b/(1-df).
But since Vt+1 = fVt, it follows that b must be equal to af. Thus we have the case that the shape of the age-price profile and the shape of the age-efficiency profile are exactly the same.
20.24 As noted above, there is one and only one age-price profile corresponding to one age-efficiency profile, so it follows that the geometrically declining profile is the only profile that is the same for both the decline in price and in efficiency.
One consequence is that figures for capital stock adjusted for the decline in value are equal to those for capital stock adjusted for the decline in efficiency.
This property adds to the reasons that can be advanced for choosing this profile to determine the value of capital stock.
20.25 As noted at the outset of this section, there are many simplifications built into the examples presented, made in order to facilitate the explanation of the basic theory behind the idea of capital services to those new to the idea.
Measuring Capital should be consulted for a more rigorous discussion and for considerations such as the rationale for choosing one age-price (or age-efficiency) profile rather than another, how to estimate life lengths and retirement patterns of assets and the role of expectations in the calculations.
20.26 The manual also discusses the fact that the return to capital must be sufficient to cover taxes levied on the asset in question, a point that is ignored here also in the name of simplification.
20.27 To be precise, a distinction is made between the interest or discount rate, r, usually assumed to be five per cent in this chapter, and the discount factor which is the reciprocal of (1+ r).
When r is 5 percent, the discount factor is 95.24 per cent.
When the discount factor is 95.0 per cent, the discount rate is 5.26 per cent.
20.28 The tables above generate three time series of particular interest.
One is the contribution to production of an asset over time, one is the decline in the value of the asset and one is the income generated by the asset.
Obviously the middle term corresponds to consumption of fixed capital as normally understood in the SNA.
The contribution of capital to production is what is called gross operating surplus and so the third time series, income, corresponds fittingly to net operating surplus.
However, these flows can be described by alternative names also.
The diagonal element of the tables, showing the contribution to production, is also known as the value of capital services.
The income element is the return to capital.
The rate of return on capital is the ratio of income to the value of capital.
For tables 20.1 and 20.2, the income flow as a proportion of the next year's capital stock value (that part not used in the current year) is also five per cent, the same as the discount rate.
The alternative terminologies are illustrated in table 20.4.
20.29 At this point, the national accountant asks how can gross operating surplus be estimated in this way when it is derived as a balancing item in the generation of income account? There are two possible answers to this question.
The first answer is that there is not a complete identity with gross operating surplus but the value of capital services is implicitly within it so may be noted as an “of which” item relative to gross operating surplus.
Suppose the discount rate chosen is the rate that can be obtained on a bank deposit, say.
This determines the amount the user of the asset needs to generate as net operating surplus if the asset is to be cost effective.
If the figures for capital services and gross operating surplus are both 100, then the producer has made a reasonable choice of asset; it is earning as much for him as leaving his money in the bank.
If he earns a little more than 100, he has done better than leaving the money in the bank.
If the national accounts show he has earned 150, say, it may be that the producer has been very lucky indeed, perhaps realizing some monopolistic profits.
However, it is also possible that there is some sort of asset he is using that has not been identified in calculating capital services, one possibility being some form of intangible asset.
Similarly if the value of gross operating surplus is much lower than the value of capital services estimated, there may be good reason to question the range and valuation of assets assumed to be used in production or the quality of the estimates of gross operating surplus.
Thus deriving the value of capital services in this manner is also a valuable tool for checking data quality.
20.30 The alternative to treating capital services as an element of gross operating surplus is to equate gross operating surplus with capital services exactly and to do this by determining a rate of return (discount rate) that brings this about.
Many traditional analyses of productivity have used this approach and some cross-country comparisons of productivity depend on this assumption.
Other studies, used at the industry level, suggest that the variation in apparent rate of return obtained in this way needs to be used, if at all, with very great caution.
There is still robust discussion in academic circles about the preferred way of determining the rate of return, exogenously as described in the preceding paragraph or endogenously as described here.
One way of interpreting the difference is to say that using an exogenous rate of return simply confronts the cost of capital (capital services) with the benefits (gross operating surplus); the endogenous rate of return gives a single figure to be contrasted with the yardstick of a “normal” rate of return.
Table 20.4: Capital services and SNA terminology
20.31 An examination of table 20.1, or indeed any of the others, shows that the value of an asset at a point in time, such as the start of a year, can be expressed rather neatly as the sum of the capital services rendered in the year plus the discounted value of the asset at the end of the year.
This is the starting point of much of the algebraic elaboration of capital services in the literature, but with one important difference.
Whereas most national accountants tend to think first in terms of current price aggregates and later (possibly) a breakdown into a volume aggregate plus a corresponding price, most descriptions of capital services run in the other direction.
They assume a volume and develop a theory of the corresponding price (the “user cost”).
These could be multiplied together to give a current value but much analysis is done using volume or price information.
20.32 One reason for working this way is that the assumption underlying table 20.1, that the contributions to production over the life of the asset are known, is not often true in practice.
What is known, estimated or simply assumed is an index of how the efficiency changes over time.
Equally the value of the asset assumed known in table 20.2 is only known on an asset-by-asset basis when each is new; all other value figures are estimates for reasons explained above.
It is possible to use the identity that the start-of-year value of an asset equals capital services rendered in the year plus the discounted end-of-year value, all expressed in index number form and assuming no inflation, into one that expresses the value of the capital services as dependent on the decline in the value of the asset due to ageing (the depreciation element) and the rate of return (the opportunity cost of money).
If the impact of general inflation is now taken into account, the price of the capital services (usually called the user cost) can be expressed as depending on the increase in value of a new asset of the same type, the nominal cost of money and the relative yearon-year decline in value of the asset due to ageing.
20.33 It is also possible then to have different prices for different sorts of assets and look at differential movements between asset prices and the movements in the general level of inflation.
(Table 20.1 was based on the very restrictive assumptions of there being neither absolute nor relative price inflation.)
20.34 Another important consideration passed over in the simple numeric tables is the following.
For balance sheet data, values at the date the balance sheet is drawn up are needed.
For estimates of capital services/gross operating surplus as well as for consumption of fixed capital and income flows, values at average-year prices are needed.
In practice, the mid-year observations are often assumed to be close approximations to the annual averages but this is not always so, especially in times of significant inflation.
20.35 Once a theoretical link between the content of gross operating surplus and the capital services embodied in an asset used in production is accepted, there are a number of other beneficial implications for the national accounts.
These include the question of the use of land in production, the valuation of natural resources, the separation of mixed income into the labour and capital components, the measurement of assets with a residual value, the treatment of costs of ownership transfer on acquisition, the treatment of terminal costs, capital maintenance, the valuation of work in progress on long-term projects, an alternative approach to estimating the imputed rentals of owner-occupied dwellings and the separation of the payments under a financial lease into the element to be regarded as the repayment of principle from the element regarded as interest.
Each of these will be explained a little further below.
20.36 Before discussing land and natural resources, it is useful to recall the consequences of an asset being used by a unit not the legal owner of the asset.
The important distinction is whether the user does or does not assume the risks associated with its use in production.
When the user does not assume the risks, the asset is regarded as being subject to an operational lease.
In such a case the payment to use the asset is a rental and forms part of intermediate consumption.
The benefits from using the asset in production accrue to the owner in the operating surplus of the production account relating to his leasing activity.
(See paragraphs 17.301 to 17.303.)
20.37 When the user does assume the risks associated with the use of the asset in production, the benefits from using the asset in production accrue to the user and appear in his operating surplus.
This is true of both produced and non-produced assets.
The difference between produced and non-produced assets concerns the type of lease existing between the legal owner and the user and the type of property income paid to the legal owner of the asset.
20.38 In the case of a produced asset, the user of the asset who assumes all risks associated with the asset becomes the economic owner of the asset.
The asset appears on the balance sheet of the economic owner.
If the legal owner is different, any payment from the economic owner to the legal owner is recorded as property income payable under a financial lease.
(See paragraphs 17.304 to 17.309.)
20.39 In the case of a non-produced asset, when the user of the resource and legal owner differ, the asset remains on the balance sheet of the legal owner but a resource lease between the legal owner and user obliges the latter to pay the former property income in the form of rent.
(See paragraphs 17.310 to 17.312.)
20.40 For all non-financial assets used in production, the estimation of the value of the capital services associated with the asset allows this to be contrasted with the property income payable for its use to determine whether the use of the asset is cost-effective.
20.41 The first and oldest recognized form of non-produced capital is land.
Land is special in that, under good management, the value is assumed to remain constant from year to year except for the effects of inflation in land prices.
That is to say, there is no depreciation of land and all the contribution to production can be regarded as income.
To show how this can be related to the previous examples, Table 20.5 shows part of a corresponding table for land that contributes 20 to production in perpetuity.
A full table would have an infinite number of rows and columns.
Here only a few are shown and some very simple algebra (with explanation) is used to explain how the totals are reached.
20.42 The value of the first column is the sum of 20, 20 discounted once (the second year's contribution to production discounted once), 20 discounted twice for the third year and so on if not for ever, at least for very many years.
With a discount rate of 5 per cent as before, the sum of this column is 420. To see that this is so, consider a simple geometric progression.
What is required is the sum of a series that can be written as:
Sn=a+ad+ad2+ad3+ad4+ad5+…+adn
where a is the return to the asset in every period and d is the discount factor.
(As noted earlier. for a discount rate of 5 per cent, the discount factor is 95.24 per cent.)
If every term in the equation is multiplied by an extra factor d the result is:
dSn= ad+ad2+ad3+ad4+ad5+… +adn+1
Subtracting the second expression from the first gives:
Sn (1-d) = a (1-d n+1)
If d is less than unity (as it will be in a discounting framework) and n is very large, that last term becomes insignificant and the sum of the series, Sn, can be determined as a/(1-d).
In table 20.5, a is 20 and d is 0.9524, so the sum of the series is 420.
Table 20.5: The case of land
20.43 However, since each of the columns of the table, though one term shorter than the previous one, is also an infinite series beginning in exactly the same way, the sum of each column is also 420. Thus the decline in value of the land from year to year is zero and the whole of the 20 is not just the contribution to production but also income.
In national accounts parlance, the gross and net operating surplus are both 20 and there is no depreciation.
Equally the value of the capital service and the return to capital are both 20.
20.44 As noted above, it may seem slightly odd to think of a non-produced asset contributing a “service” since in national accounts services are always produced.
This is simply a reflection of the words chosen by economists to describe the contribution of capital to production without connecting the word “service” to the specific interpretation given to it in the SNA.
Similarly one may hear compensation of employees described as the cost of labour services.
20.45 Another term used for capital services is economic rent and this initially seems more applicable in the case of land but is also a pitfall.
In table 20.5, the economic rent of land is the extent to which the farmer benefits from using the land for agricultural production (20).
This rent accrues whether the farmer is farming his own land or is a tenant farmer.
The amount that the tenant farmer is due to pay his landlord is what the national accounts show as rent under property income.
In the days when a farmer paid his rent as a share of the crop yield, the link was more obvious.
What he retained represented enough to cover his costs and the cost of his own (and any hired) labour.
In a monetized economy, the rent payable to the landlord is often agreed a very long time in advance.
Comparing the rent earned (as operating surplus) with the rent payable as property income shows whether the agreed rent is “fair” or perhaps excessive relative to the farming income.
20.46 There is an increasing interest in placing a capital value on natural resources but, since these assets are seldom sold on the market, there has been doubt about how to do this.
Looking at the economic rent to be earned by a mineral deposit or a natural forest, for example, is one way to solve the problem.
20.47 Suppose that a mining company knows the size of the deposit being mined, the average rate of extraction and the costs of extraction of one unit.
After allowing for all intermediate costs, labour and the cost of fixed assets used, what is left must represent the economic rent of the natural resource.
By applying this to the expected future extractions, a stream of future income can be estimated and from this, using the techniques already described, a figure for the value of the stock of the resource at any point in time.
20.48 In fact, the application of the capital service technique goes further than this.
In the case of a natural forest, if the rate of regrowth is at least equal to the rate of harvest, then the value of the forest does not decline and the rate of harvest is sustainable.
However, in the case of a mineral deposit with no natural renewable capability, then it is possible as before to separate the contribution to production into an element showing the decline in value of the deposit and a residual element.
Because this residual amount is consistent with the idea of maintaining the level of wealth intact, it can be regarded as income.
Clearly this leads into the area of so-called green accounting and the possibility of allowing for consumption of natural capital as well as consumption of fixed capital in an alternative presentation of national accounts in a satellite account.
Indeed, this is the argument developed at greater length and with applications to specific resources in section D of chapter 7 of the Integrated Environmental and Economic Accounting 2003 (United Nations, European Commission, International Monetary Fund, Organisation for Economic Cooperation and Development and World Bank, 2003) commonly referred to as the SEEA.
20.49 When discussing land, above, it was pointed out that the economic rent of the land was the part that was not otherwise accounted for by intermediate consumption, the cost of hired labour and the capital services rendered by fixed assets and the labour cost of the farmer.
Very often, it is difficult to put a value on the labour of a self-employed person and so this may be merged with the economic rent on land and the capital services rendered by any fixed assets used and described as mixed income.
In principle, though, if a separate estimate of the capital services rendered by fixed assets can be made from information about the services rendered by similar assets in other parts of the economy, then mixed income can be split into its labour and capital components.
20.50 In practice this has often proved difficult since the residual amount for self-employed income may turn out to be very small or even negative.
The most obvious cause of this is that the estimates for the capital services are too high.
This may be because larger companies are able to make more efficient use of capital, for example using a high value piece of equipment continuously rather than intermittently, or because they actually have other, intangible, assets, which have not been taken into account.
This means the capital services for these unmeasured assets are attributed to those that are recognized but this addition is not appropriate for the self-employed worker.
Thus the acceptance of the capital services model is unlikely to provide a quick and accurate breakdown of mixed income but it does show the way to probe the data for both large and small enterprises to ensure that capital is being measured comprehensively and consistently.
20.51 Very many assets are used by a single owner until they are worn out and worth nothing.
However, this is not the case for all assets.
Some are disposed of after a few years, perhaps because the cost of regular maintenance is deemed by the current owner to be too high relative to the value the asset contributes to production.
Some airlines, for example, may wish to use the fact that they keep up-to-date fleets of aircraft as part of their advertising appeal.
In other cases, for example with construction equipment, the original owner may simply have no further use for the asset.
20.52 Table 20.6 shows an example of an asset that is used for only four years and then disposed of for a value of 300. Again for simplicity it is assumed that the disposal value after four years is known when the asset is acquired.
For example, the market in used assets may be sufficient to ensure that the value at any point is equal to the remaining services to be delivered by the asset.
Inflation is still assumed to be zero.
20.53 The top, triangular, part of the table shows the normal calculation of the value of the capital services to be rendered in these four years, a value that at the outset is seen to be 1 107. To this the discounted value of the residual value of 300 must be added.
This value is 247, making the total value of the asset 1 354. As in the case where an asset is held to exhaustion, the decline in the value of the asset including the residual value is lower year by year than the decline in the capital services to be rendered in these four years because there is an income element coming from the fact that the remaining value increases as the time for disposal of the asset gets closer.
The total of the decline in the value of the asset, to be shown as consumption of fixed capital, is 1 054. This value, together with the residual value of 300, is equal to the original value of 1 354. The total income (net operating surplus) is 121, the sum of the income arising from the use in production (68) plus the income arising from the unwinding of the discount factor on the terminal value (53).
Table 20.6 illustrates that the cumulative value of the consumption of fixed capital calculated in respect of an asset should be equal to the initial value of the asset, treated as fixed capital formation, less the value to the owner on disposal of the asset.
This holds whether the asset passes into use as a fixed asset by another user, is used for another purpose in the same economy or is exported.
Table 20.6: An asset with a residual value
20.54 The costs of ownership transfer incurred on acquisition of an asset are treated as fixed capital formation.
This assertion is equivalent to assuming that the services rendered by the asset must be sufficient to cover both the costs of the asset and the costs of ownership transfer. Table 20.7 shows an example where costs of 30 are incurred on the acquisition of the asset in table 20.6.
In order for the asset to have exactly the same value as before on disposal, 300, the costs of ownership transfer have to be accounted for during the period in which the owner who incurred the costs uses the asset in production.
The figures in the triangular part of table 20.7 are added to those in the corresponding part of table 20.6 giving increased value to the asset in each year until the end of year 4, increased consumption of fixed capital and slightly increased income, because the costs of ownership transfer are also viewed as the present value of the extra services required to meet the costs.
20.55 If the costs of ownership transfer were to be attributed to the whole life of the asset and not just that part for which the unit that paid the costs owns the asset, there is a mismatch between the calculated value of the asset and the market value demonstrated in the sale at a value of 300. In such a case, the data have to be brought back into reconciliation by means of an entry in the other changes in the volume of assets account but this means that not all of the costs incurred by the initial owner are shown as a charge against gross value added and so income is overstated.
This may be inevitable when assets are sold unexpectedly but in the case of many vehicles and large mobile construction equipment, the purchaser may well take account of the value to be realized on sale after a given period.
When this is so, every effort should be made to take account not only of the residual value but also factor the expected life length into the calculations of the amount of consumption of fixed capital to be attributed to the costs of ownership transfer so there is no residual value of these costs left on disposal.
Table 20.7: Example of costs of ownership transfer on the acquisition of the asset in table 20.6
20.56 Table 20.6 considered the case where an asset had a residual value at the time the current owner disposed of it. It is also possible to have assets that have significantly large costs associated with disposal.
Examples include the decommissioning costs of nuclear power stations or oil rigs or the clean-up costs of landfill sites.
The following discussion is not meant to downplay the practical difficulty of estimating terminal costs, simply to demonstrate why in principle the existence of terminal costs should reduce the value of the asset throughout its life.
20.57 Terminal costs are similar to capital formation in that they should be covered by income generated during the time the asset is used in production.
If this is not done during the asset's life these large costs may be treated as intermediate costs at a time when there is no longer any income being generated from production and so lead to negative value added.
Alternatively, they are recorded as capital formation but instead of the costs being recovered from value added, these costs are simply written off in the other changes in the volume of assets account.
This procedure omits from the macroeconomic aggregates a legitimate cost to business and so overstates gross and net domestic product over a period of years.
20.58 Table 20.8 shows an example of how terminal costs should be recorded.
The data in fact correspond to the numbers in table 20.6 for the contribution to production in each year, but in this case the residual value is negative rather than positive.
20.59 The analysis of the data follows that for table 20.6 exactly.
The value of the capital services to be provided by the asset in use is still 1 107. However, since the present value of the terminal cost is -247, the total value of the asset is 860. As before, the cumulated value of consumption of fixed capital, 1 160 is equal to this value less the terminal value of -300. Not only is the value of the asset in each year lower than the value of the use in production, in year 4 the value is actually negative.
The rationale of this is that although the asset will yield services of 225 in that year, the impending costs of 300 mean that the owner would not be able to sell the asset; he would in fact have to pay another owner to take over the asset since it would then be the responsibility of the new owner to meet the disposal costs of 300.
Table 20.8: An asset with a terminal cost
20.60 Anticipated costs on ownership transfer on disposal of an asset, including legal fees, commission, transport and disassembly, etc., should in principle be treated in the same way as terminal costs.
20.61 Major repairs and renovations that extend the life of an asset are treated as capital formation and the value of the repairs and renovations is added to the value of the asset before the work was undertaken.
The example of costs of ownership transfer on acquisition of an asset can be applied directly in this case, excepting only that the costs are incurred in a year other than the year of acquisition.
The value of the capital repairs is supposed to be equal to the discounted value of the increased services that the asset will yield, either by increasing the services in each of the remaining years of the initial life length, or extending the life length, or both.
20.62 The value of the capital repairs can be analysed by merging the value with that of the asset in question and reworking all the calculations of the services to be rendered, the income generated and the consumption of fixed capital for the asset and the maintenance taken together.
However, as table 20.7 shows, it is also possible to leave the calculations for the asset as they were and simply aggregate them with a separate analysis of the maintenance undertaken as if it related to a wholly new asset.
20.63 Table 20.9 relates to an asset with a final value of 200 that is to be constructed over a period of four years.
One possibility is that, assuming no inflation, work in progress of 50 should be recorded in each of the four years.
However, consistent with the notion of discounting future income, an alternative view is preferable.
Suppose still that there is a discount rate of five per cent.
In each year, the value of the completed asset in each of years 1 to 3 will be 172.8, 181.4 and 190.5, each of which will cumulate to a value of 200 after, respectively, three, two or one years accumulation in value of 5 per cent.
Dividing each of these by four implies that even if equal amounts of work are put in place in each year, the values to be recorded should be 43.2, 45.4, 47.6 and 50.0. In addition, though, there will be income arising from a return to the work already put in place.
This would give a time series for the work put in place and other income of 2.2, 4.5 and 7.1 in each of years two to four giving the value of the partially complete structure as 43.2, 90.7, 142.9 and 200.0. These are the values that a purchaser of the partially completed structure would be willing to pay, given that he would forgo the income from the finished structure for up to three years.
Table 20.9: Valuing work-in-progress spanning several years
20.64 The SNA specifies that an imputed rental on owner-occupied housing should be included in the production boundary and form part of household consumption.
In a situation where there is either no rental market in such properties or only a very limited one, this is difficult to implement.
Cross-country comparisons of the results (as in the International Comparison Program) show that the different techniques used produce highly variable results.
Here too, the use of the techniques described in this chapter may be helpful.
20.65 In the example for land, it is possible to deduce a value of 420 for the land that yielded economic rent of 20 every year in perpetuity.
While modern houses do not last for ever, if they are assumed to last for, say, fifty years the discount factor applied over this period gives contributions to the value of the asset that are negligible at the end and again it may be supposed that, if the value of the house is 420, then the imputed rental is 20. Given that the market for houses is much better established than for rented housing, this may also provide a source of useful and comparable data for a troublesome area of national accounts.
However, this method should be used with caution since houses are often bought in the expectation of making significant real holding gains.
It should also be recognized that the rental for a house usually includes land rent.
20.66 The process of discounting future income streams to determine present value applies to financial assets as well as to non-financial assets.
Consider an agreement with a bank to borrow 1 000 over a period of five years at five per cent interest.
The total amount to be paid to the bank will be 1 100 at a rate of 220 per year.
But, as table 20.10 shows, each year's payment does not consist of repayment of principal of 200 and interest of 20. Interest is payable on the remaining balance, so is highest in the first year and is zero in the last year.
(This is a result of the simplifications used in the chapter.
In practice, interest would be charged daily and so even in the last year some interest would be payable.
However, the way in which the balance between interest and repayment of principal changes over time as the loan is repaid holds.)
20.67 The arithmetic behind table 20.10 is indistinguishable from any of the other tables in this chapter demonstrating that the same principles hold for valuing financial assets as for non-financial assets.
The same methodology that can be used to show how much of the contribution to production is consumption of fixed capital and how much contributes to net operating surplus can also be used to show how much of the payment to the bank is a repayment of capital and how much is interest.
Both consumption of fixed capital and a repayment of capital feature in the accumulation accounts as changing the value of the stock of assets.
The contributions to net operating surplus and interest are both income flows and are shown in the current accounts.
20.68 This duality is especially important when an asset is acquired under a financial lease.
In this case, table 20.10 can be used to show both the change in value of the asset and the change in the loan taken out to pay for it. Cost benefit analyses of the merits of borrowing to acquire assets also depend on this sort of calculation.
Unless the asset can contribute at least as much to production as the interest due to the lender, it is not a good investment.
Even if a producer has sufficient funds available to purchase an asset without borrowing, it makes sense to undertake such an analysis since the alternative to acquiring the asset is to convert the funds to an asset that will either earn income or appreciate and yield holding gains.
Table 20.10: The case of a financial loan
20.69 This section describes a table that could be compiled to compare data coming from the standard national accounts tables for the elements of gross value added with those derived from applying the theory of capital services to the national accounts data on capital stock.
Before presenting the table, though, it is appropriate to recall briefly the various simplifying assumptions that underlie the numeric examples in the earlier part of the chapter, assumptions that would be totally inappropriate in serious estimation of capital service flows.
The most important are:
a. Somewhat different figures would emerge if any of the tables were to be calculated for the start of year, end of year or mid-year.
Mid-year flows need to be discounted by half the annual discount rate to give start of year figures, for example.
b. The assumption that there is no price inflation, either overall or between different assets, is clearly unrealistic.
Changes due to price movements need to be separately identified and included in the revaluation account.
c. The general preference for an age-efficiency approach to determine the value of capital stock should not be taken to mean that information on age-price decline, when such exists, is to be ignored.
The solution is to find an age-efficiency pattern that matches the observed decline in prices.
Where such a match can be made, this may inform the choice of age-efficiency declines where no matching price information is available.
20.70 There is a question about the appropriate level of detail to be used for assets.
They are very diverse and even products that appear superficially similar, such as aircraft, may have quite different specifications.
This is a problem that must be resolved whatever means of determining a stock figure for assets is used.
The final choice may be a source of inaccuracies, or conversely, may lead to extra resource cost for little improvement in the results.
20.71 The first level of detail that might be examined is given in table 20.11.
This assumes that information on value added by institutional sector is available.
The figures for operating surplus for non-financial and financial corporations may be compared with capital services from fixed assets used by these sectors adjusted as necessary for natural resources and inventories.
The figures for general government and NPISHs in the national accounts data and those for capital services data must be equal.
This is because by convention no return to capital on assets used in non-market production is included when output is estimated as the sum of costs.
Consequently gross operating surplus is equal to the consumption of fixed capital and net operating surplus is zero (possibly excepting small amounts of operating surplus coming from secondary market production).
The capital services for household dwellings should match operating surplus for households and the figure for capital services for other household unincorporated enterprises is to be compared with the national accounts figure for mixed income (which should include a labour compensation element also).
Table 20.11: The outline of a possible supplementary table
21.1 The purpose of this chapter is to discuss aspects particular to corporations in both the financial and non-financial corporation sectors.
It begins in section B by discussing the demography of corporations; how they come about, how they disappear and how they merge with one another.
The consequences of these actions in the SNA are almost all to do with recording the acquisition of the owner's equity in corporations and in some cases reclassification of assets and liabilities between sectors.
21.2 Section C looks at some subsectoring of corporations and how this can be effectively deployed for analysis.
21.3 Section D considers the relationships between corporations in the domestic economy and in the rest of the world.
Much of this section is concerned with aspects of globalization and the derivation of relevant indicators.
21.4 Section E recalls some of the discussion in chapter 20 and looks further at the contribution of assets to production.
21.5 Section F looks at the consequences of financial distress and the implications of remedial action for recording within the SNA.
21.6 The last section, section G, covers a rather different subject and looks at the emergence of commercial accounting standards over the last several years and how the process of developing new standards can be instrumental in helping to develop new approaches within the SNA.
21.7 As explained in section B of chapter 4, the term corporation is used in the SNA to cover a wide variety of legal forms of institutional units.
In addition, the expression enterprise is used in connection with production activities.
While corporation is normally the term of preference in the SNA, other documents, notably the BD, tend to use enterprise in preference to corporation.
Further, the register of all enterprises or corporations is usually called a business register, even though “business” is not a term commonly used in national accounts.
In this chapter, all three terms are used without implying a difference between them.
21.8 Maintaining a list of corporations is similar to maintaining a list of all individuals present in the country in that it is necessary to record new corporations as they come into being and to record those that cease to be. A business register normally serves an administrative function in keeping track of the existing businesses in the economy but also serves as the basic sampling frame for surveys directed at businesses.
Thus it is normal for a business register to contain information on the activity, size, location, etc. of each business and to note when the main activity of a corporation changes from one type of activity to another.
In addition a business register may also include information on the links one corporation may have to other resident and non-resident corporations.
21.9 Corporations can come into being in a number of ways.
One is when what was previously an unincorporated enterprise within the household sector becomes incorporated.
(The exact process of incorporation, such as when this may or must happen and how it is effected, will depend on the company law in effect in the country concerned.)
When this happens, the assets and liabilities that were previously indistinguishably part of the household are separated off and become those of the corporation.
In return for giving up control of these assets, and responsibility for the liabilities, the household acquires equity in the new corporation, initially exactly equal in value to the assets and liabilities transferred to the corporation.
Once an enterprise is incorporated, the owning household no longer has a claim on the assets and has no responsibility for the liabilities but instead owns the equity in the corporation.
21.10 An individual may simply decide to set up a business, set up a legal entity and begin operations.
Initially, there may be no assets of the entity and no liabilities but as these accrue they belong to the corporation and the owner's equity changes correspondingly.
On a larger scale, there may be an agreement between a number of units, one or more of whom propose a business plan and one or more of whom agree to finance the operation.
A formal agreement results in which the split of the rewards from the corporation's activity is determined and also the division of the responsibilities.
The assets of the new corporation are recorded as being acquired by it and an amount of owner's equity in the corporation incurred as a liability towards the parties supplying the finance is also recorded.
21.11 It is not necessary for the corporation to issue shares for the agreement on the share of the profit arising from the activities of the corporation to be binding.
Cooperatives and limited liability partnerships are two examples of units the SNA treats as corporations where the way in which profits are shared between the owners is clear even though there are formally no shares.
21.12 Corporations may also come into being at the initiative of government, an NPISH or a unit in another economy.
In addition, a corporation may come into existence by the splitting of a previously existing corporation.
This possibility is discussed below under mergers and acquisitions.
21.13 Similarly there are several ways in which corporations may go out of existence.
The first is when an entity is wound up after having been declared bankrupt.
(The exact process varies from country to country.
In some countries a declaration of bankruptcy means the corporation must stop trading immediately and the process of winding up its affairs begins.
In other countries, there may be a time lag while the corporation has an opportunity to continue trading while it tries to recover its position and only if this fails is it wound up.)
When a corporation is wound up, the receiver (the unit responsible for administering the liquidation of the corporation) sells all of its assets and distributes the proceeds amongst those having a claim on the corporation in a legally predetermined order.
The shareholders are always the last to be allocated any proceeds.
In the case where the corporation is bankrupt it is quite common that the shareholders receive nothing.
Only in very exceptional circumstances will the shareholders have any responsibility to provide funds towards settling other liabilities of the corporation.
21.14 A corporation may be wound up voluntarily by its owners.
When this happens the assets are sold and the proceeds are divided amongst the owners according to the shares each has in the corporation.
If the corporation is one that had issued shares, it can only be wound up if a clear majority of shareholders agree or if a clear majority of the shares are first acquired by a sufficiently small number of units who can reach agreement to wind up the corporation.
21.15 The acquisition of all shares of a corporation need not be a preliminary to the corporation ceasing to exist; it may simply continue with a smaller number of shareholders or even as a private unlisted corporation.
The advantage of remaining incorporated is that there is a limit to the liability of the owners to meet any shortfall on the corporation's balance sheet.
Thus even when an individual or group of individuals wants to control the whole of a corporation they may choose simply to make it an unlisted corporation but still one with the limited liability that comes with incorporation.
21.16 A third way in which a corporation may disappear is through it being merged with another corporation, though a merger does not automatically imply the merged corporation disappears.
This too is discussed below under mergers and acquisitions.
21.17 The government may decide to take ownership of a corporation for a number of reasons, either because it is felt it is in the public interest for government to control the corporation, in response to financial distress or for other political motivations.
When this happens the ownership of the corporation passes to the government, that is the government acquires the equity in the corporation, but the assets of the corporation remain on its balance sheet unless the government decides to nationalize the corporation and disband it at the same time.
Often but not always, government may make a payment to the previous owners of the corporation but this may not necessarily correspond to their view of a fair price.
Unless the corporation is dissolved, the process of nationalization leads to a change in the ownership of the corporation from private units to the government but the assets and other liabilities of the corporation continue to be owned by the corporation.
Owners' equity in the corporation is recorded as a transaction in the financial account.
There is also a reclassification of the assets and liabilities of a corporation being nationalized from the national private subsector to the public subsector recorded in the other change in the volume of assets account.
21.18 The government may also decide to privatize a corporation it currently controls.
When this happens the most usual mechanism is that its shares are offered to the public either for sale or, in some cases, without charge or perhaps at a price lower than the market would bear.
When shares are offered free or at a reduced price, a capital transfer from government to the eventual shareholders needs to be recorded in the accounts as well as the acquisition of shares.
As with nationalization, only the equity in the corporation changes hands, not its assets and other liabilities, and the change in ownership of the equity is recorded as a transaction in the financial account.
The ownership of the assets and liabilities remains with the corporation but they are reclassified from the public to national private subsector in the other changes in the volume of assets account.
21.19 There is more discussion on nationalization and privatization in chapter 22.
21.20 The process of corporations merging and de-merging is of interest within an economy but especially interesting when the merger (or de-merger) involves units in different economies.
Foreign direct investment can hardly be discussed without considering the subject of mergers and acquisitions.
Some of the expressions commonly used in this field are listed below.
The descriptions come from the BD but similar concepts appear also in the BPM6. (A revised version of the BD was released in 2008. It is consistent with both the SNA and BPM6.)
Elaborating recommendations for the recording of mergers and acquisitions within the SNA is part of the research agenda.
21.21 A merger refers to the combination of two or more corporations to share resources in order to achieve common objectives.
A merger implies that, as a result of the operation, only one entity will survive and frequently occurs following an acquisition (described below).
There are several types of merger possible.
a. A statutory merger relates to the business combination where the merged (or target) corporation will cease to exist.
The acquiring corporation will assume the assets and liabilities of the merged corporations.
In most cases, the owners of merged corporations remain joint owners of the combined corporation.
b. A subsidiary merger relates to an operation where the acquired corporation becomes a subsidiary of the parent corporation.
In a reverse subsidiary merger, a subsidiary of the acquiring corporation will be merged into the target corporation.
c. Consolidation is a type of merger which refers to a business combination whereby two or more corporations join to form an entirely new corporation.
All corporations involved in the merger cease to exist and their shareholders become shareholders of the new corporation.
The terms consolidation and merger are frequently used interchangeably.
However, the distinction between the two is usually in reference to the size of the combining corporations.
Consolidation relates to an operation where the combining corporations have similar sizes while merger generally implies significant differences.
d. A reverse merger is a deal where the acquiring corporation ceases to exist and merges into the target corporation.
If a corporation is eager to get public listing in a short period of time, it can buy a corporation with listed shares and merge into it in order to become a new corporation with tradeable shares.
e. A merger of equals is a type of merger where the corporations involved are of similar size.
21.22 An acquisition is a transaction between two parties based on terms established by the market where each corporation acts in its own interest.
The acquiring corporation achieves control of the target corporation.
The target corporation becomes either an associate or a subsidiary or part of a subsidiary of the acquiring corporation.
a. A takeover is a form of acquisition where the acquiring corporation is much larger than the target corporation.
The term is sometimes used to designate hostile transactions.
However, mergers of equals (in size or belonging to the same sector of activity) may also result in a hostile takeover.
b. A reverse takeover refers to an operation where the target corporation is bigger than the acquiring corporation.
21.23 A divestment (de-merger) refers to the selling of the parts of the corporation due to various reasons:
a. A subsidiary or part of the corporation may no longer be performing well in comparison to its competitors;
b. A subsidiary or a part may be performing well but may not be well positioned within the industry to remain competitive and meet long-term objectives;
c. Strategic priorities of the corporation to remain competitive may change over time and lead to divestments;
d. Loss of managerial control or ineffective management;
e. Too much diversification may create difficulties and thus lead the parent corporations to reduce the diversification of its activities;
f. The parent corporation may have financial difficulties and may need to raise cash;
g. Divestments may be realized as a defence against a hostile takeover.
21.24 Corporate divestments can be conducted in different ways:
a. A corporate sell-off is the sale of a subsidiary to buyers that are other corporations in most cases.
b. A corporate spin-off occurs when the divested part of a corporation is floated on the stock exchange.
The newly floated corporation is separately valued on the stock exchange and is an independent corporation.
The shares in the newly listed corporation are distributed to the shareholders of the parent corporations who thereafter own shares in two corporations rather than one.
c. An equity carve out is similar to a corporate spin-off but the parent retains the majority control.
This form has the advantage of raising cash for the divestor.
d. Management buy-outs and buy-ins occur when the buyer is the manager or a group of managers of the corporation that is being sold off.
21.25 In all these cases, transactions in the equity of the two corporations involved need to be recorded in the financial account and, possibly, a change of classification by sector in the other changes in the volume of assets account.
21.26 The subsectoring of the corporations sectors is discussed in chapter 4.
It is proposed that there should be a three-way split of corporations between those that are national private corporations, those that are controlled by the government and those that are foreign controlled.
Within each of these it is desirable to identify market non-profit institutions (NPIs).
21.27 The reason for identifying NPIs is twofold.
In the first place, in order to have a comprehensive picture of NPIs, as described in chapter 23, it is necessary to be able to identify those market NPIs that are assigned to the corporations sector.
Identifying them separately may be unexpected to some users, since there is often a misconception that all NPIs are non-market and fall in the NPISH sector.
The other reason for identifying NPIs separately is that for some analyses it may be desirable to analyse corporations excluding the NPIs if it is felt that their economic behaviour is significantly different.
21.28 In identifying publicly controlled corporations, there is a question about how to provide long time series if there has been a significant change in the number and type of corporations subject to public control during the period.
It is usual to provide a time series that includes only those corporations that were subject to public control at each period in question.
Because interest usually focuses on how much of the corporate sector was controlled by the government, and how this has changed over time, this gives an appropriate picture.
However, if the intent is to explore the behaviour of the same group of corporations over time a supplementary table may be prepared that takes the current definition of publicly controlled corporations and uses this set of corporations over the time period considered regardless of whether or not they were publicly controlled for the whole of that period.
21.29 Identifying foreign controlled corporations is key to looking at the interaction between the domestic economy and the rest of the world.
Exploring this in greater detail is the subject of the following section.
21.30 Deregulation of markets, technological innovations and cheaper communication tools have allowed investors to diversify their participation in competitive markets overseas.
In consequence, a significant increase in crossborder financial movements including direct investment has become a key factor in international economic integration, more generally referred to as globalization.
21.31 Regular analysis of direct investment trends and developments is an integral part of most macroeconomic and cross-border financial analysis.
It is of prime importance to policy analysts to identify the source and destination of these investments.
Several indicators based on direct investment statistics facilitate the measurement of the extent and impact of globalization.
21.32 Foreign direct investment (FDI) is a key feature of the balance of payments and it is useful to review some of the basic concepts associated with this.
Further details can be found in both BPM6 and the BD.
In the context of FDI, the term enterprise tends to be used rather than corporation, but as noted in the introduction, no difference of meaning is intended.
21.33 Direct investment statistics embody four distinct statistical accounts:
a. Investment positions,
b. Financial transactions,
c. Associated income flows between enterprises that are related through a direct investment relationship, and
d. Other changes in the value of assets, especially revaluation terms.
21.34 Direct investment is a category of cross-border investment associated with a resident in one economy (the direct investor) having control or a significant degree of influence on the management of an enterprise (the direct investment enterprise) that is resident in another economy.
21.35 Direct investment may also allow the direct investor to gain access to the economy of the direct investment enterprise which it might otherwise be unable to do. The objectives of direct investors are different from those of portfolio investors who do not have significant influence on the management of the enterprise.
21.36 Direct investment enterprises are corporations which may either be subsidiaries in which over 50 per cent of the voting power is held, or associates in which between 10 per cent and 50 per cent of the voting power is held or they may be quasi-corporations, such as branches, which are effectively 100 per cent owned by their respective parents.
Enterprises that have no direct investment influence upon one another (that is the 10 per cent voting power criterion is not met) but are directly or indirectly influenced in the ownership hierarchy by the same enterprise (which must be a direct investor in at least one of them) are described as fellow enterprises.
21.37 Direct investment relationships are identified according to the criteria of the Framework for Direct Investment Relationships (FDIR, described in the BD), including both direct and indirect relationships, through a chain of ownership.
Suppose that corporation A controls corporation B and B controls C then A in effect has control over C also.
21.38 Direct investment positions show an important class of investment made abroad and received from abroad, divided between equity and debt, at a given reference point in time. FDI positions as a percentage of GDP give one indication of the extent of globalization at that time.
These structural indicators demonstrate the interdependence of economies.
21.39 Financial transactions show the net inward and outward investments with assets (acquisitions less disposals or redemptions) and liabilities (incurrence less discharges) presented separately by instrument in any given period. FDI financial transactions expressed as a percentage of GDP provide one indicator of the changes over that period in the degree of globalization of an economy.
This indicator provides early information on the relative attractiveness of economies (both domestic and foreign) for new investments after allowing for the withdrawal of investments or disinvestment during the same time period.
21.40 Direct investment income provides information on the earnings of direct investors and of the direct investment enterprises.
Direct investment earnings arise (i) from distributed earnings as well as undistributed earnings which are treated as reinvestment of earnings in that enterprise and (ii) from interest on inter-company loans, trade credit and other forms of debt. FDI income flows as a percentage of GDP provide information on the relative importance of the earnings of direct investment in both the reporting economy and abroad.
21.41 “Pass through funds” or “funds in transit” are funds that pass through an enterprise resident in one economy to an affiliate in another economy, so that the funds do not stay in the economy of the affiliate.
These funds are often associated with direct investment.
Such flows have little impact on the economy they pass through.
While special purpose entities, holding companies and financial institutions that serve other non-financial affiliates are particularly associated with funds in transit, other enterprises may also have pass through funds in direct investment flows.
21.42 Pass through funds are included in direct investment in standard presentations because they are an integral part of a direct investor's financial transactions and positions with affiliated enterprises.
(An exception is made for positions in debt instruments between related financial institutions.)
Excluding these funds from direct investment would distort and substantially understate direct investment financial flows and positions at aggregate levels.
Further, inclusion of these data in direct investment promotes symmetry and consistency among economies.
However, for the economies through which the funds pass, it is useful to identify inflows and outflows not intended for use locally by the entity concerned.
21.43 FDI has a key role to play in development, especially in emerging countries.
In order to explore how much of global FDI reaches these countries, and where it originates, a supplementary analysis is useful.
Such an analysis identifies the country where the pass through funds originate by identifying the first unit other than a pass through fund in the host or investing economy (in the outward or inward chain) as appropriate.
21.44 Presentations of FDI according to the BD show the country of the immediate counterparty and the industry of the immediate counterparty for outward FDI.
For inward FDI, it is possible to determine not only the immediate counterparty but also the ultimate investor.
The ultimate investor for this purpose is the enterprise that has control over the investment decision to have an FDI position in the direct investment enterprise.
As such the ultimate investor controls the immediate direct investor.
It is identified by proceeding up the immediate direct investors ownership chain through the controlling links (ownership of more than 50 per cent of the voting power) until an enterprise is reached that is not controlled by another enterprise.
If there is no enterprise that controls the immediate direct investor, then the direct investor is effectively the ultimate investor in the direct investment enterprise.
21.45 The country in which the ultimate investor is resident is the ultimate investing country in the direct investment enterprise.
It is possible that the ultimate investor is a resident of the same economy as the direct investment enterprise.
(A controls B controls C. A and C are resident in the same economy but B is resident in another.)
21.46 In order to transform the usual presentation by country to the supplementary ultimate investing country presentation, the entire FDI position that is attributed to the country of residence of the immediate direct investor is allocated to the ultimate investing country.
When there is more than one immediate direct investor in a direct investment enterprise, the entire inward FDI position of each immediate direct investor is reallocated to the respective ultimate investing country based on the ultimate controlling parent of each of the immediate direct investors.
This method ensures that the levels of direct investment into a country according to the standard presentation and according to the supplementary presentation are the same.
21.47 As well as information relating to foreign direct investment where only a 10 per cent voting power is required to identify a foreign direct investor, there is interest in analysing the activities of multinational enterprises (MNEs) where more than 50 per cent of the voting power is held.
Thus the MNEs correspond to foreign controlled enterprises in the sense of subsectors in the SNA.
(There is a small distinction between the BD and BPM6 and the SNA on the question of control.
For the BD and in the BPM6, the 50 per cent of voting power rule is applied rigidly but the SNA is more flexible.
See chapter 4.)
21.48 In addition to statistics on the activities of MNEs, statistics are also available for the wider group of corporations with links in other economies, not just those where there is majority ownership, called foreign affiliates.
These statistics are known as Foreign AffiliaTes Statistics (FATS), and are described in Recommendations Manual on the Production of Foreign AffiliaTes Statistics (FATS) (Eurostat, 2007) and elaborated in Measuring Globalisation: Handbook on Economic Globalisation Statistics (Organisation for Economic Co-operation and Development, 2005).
Work is continuing to ensure the consistency of the various sets of statistics cited in these and other publications on globalization.
21.49 There are two ways in which a corporation A in economy X may have another corporation B in economy Y assemble parts for it. Although the effect appears similar, the consequences for recording in the accounts are quite different.
Suppose that A and B are unrelated enterprises, and B contracts to do work for A in return for a fee.
(This case is described elsewhere, for example in chapter 28.)
In this case there is no recorded transfer of the items from A to B (or X to Y).
Only the agreed fee is recorded as a transaction between the two economies.
21.50 However, if A and B both belong to the same group of corporations, then it may be the case that there is a transfer of the risks and rewards of the items on their dispatch from A to B. The question is whether a realistic price is entered for the items in the trade figures for both A (and X) and B (and Y) as the items move internationally.
When A and B are related, a practice known as “transfer pricing” is sometimes used.
Suppose the tax regime in Y is more liberal than that in X. It may then be the case that A artificially lowers the price of the items dispatched to B in order to minimize profits in X while B records a higher profit subject to the lower tax regime in Y. In principle, international accounting standards and the balance of payments recommendations indicate that items transferring across borders should be valued at “arm’s length” prices, that is to say prices that would prevail if there were no relationship between the two corporations involved.
Making such an adjustment is not easy but it is in the interests of tax authorities, customs officials and the statistician to see whether appropriate adjustments can be made if the sums involved are significant and adjustments can be made with sufficient reliability
21.51 Chapter 20 discusses the role of capital services in production and the calculation of multifactor productivity (MFP).
The assets to be considered in calculating productivity are those fixed assets that are both owned and used by the enterprise plus any natural resources and other non-produced assets including contracts, leases and licences and possibly marketing assets they both own and use in production.
Assets that are not legally owned by the enterprise but are subject to a financial lease are included in the calculations in the same way that they are recorded on the balance sheet of the enterprise.
However, assets that are leased under an operating lease agreement are excluded.
This may mean two enterprises undertaking similar productivity are those fixed assets that are both owned and activities using similar assets may show different used by the enterprise plus any natural resources and other productivity figures because one uses assets it owns and the non-produced assets including contracts, leases and other assets that it leases.
An area for supplementary licences and possibly marketing assets they both own and analysis is to consider compiling information on assets use in production.
Assets that are not legally owned by the according to the using rather than the owning industry and enterprise but are subject to a financial lease are included in to look at the implications for operating surplus and the calculations in the same way that they are recorded on productivity of the use of leased rather than owned assets.
21.52 Signs that a non-financial corporation is suffering financial distress include the level of profits that it has been generating recently and possibly the level of dividends it is able to offer.
It is also probable that it suffers a cash flow problem and is unable to meet its liabilities on a timely basis.
Competitors may take the opportunity to launch a takeover bid.
However, if no takeover bid is offered the question here is how the corporation may survive at all.
21.53 In a similar way, a financial corporation may suffer financial distress because it has difficulty in raising finance and is unable to service its liabilities.
Again this is a circumstance in which a competitor may launch a takeover bid but this may not always be forthcoming.
21.54 If the corporation, whether financial or non-financial, is deemed to be of national importance this may be an instance where government steps in and offers either to take over the corporation, in effect nationalizing it, or may offer a major capital injection in return for a degree of control, possibly full control, of the corporation.
The recording of nationalization and capital injections by government as well as of the steps that may be taken under a bailout are discussed in chapter 22.
21.55 Another possibility is that the government offers a guarantee to the creditors of the corporation in distress.
The activation of a one-off guarantee is treated in the same way as a debt assumption.
The original debt is liquidated and a new debt is created between the guarantor and the creditor.
In most instances, the guarantor is deemed to make a capital transfer to the original debtor, unless the guarantor acquires an effective claim on the creditor, in which case it leads to the recognition of a financial asset (a liability of the debtor).
The recording of guarantees including those offered by government is discussed in part 3 of chapter 17.
21.56 All corporations, but especially financial corporations, may suffer from bad debts and this phenomenon may be particularly acute when other aspects of the economy also exert financial pressure on the corporation.
Within the SNA, loans are always recorded as the amount that is due to be repaid to the creditor.
In cases where the debtor has a bad credit rating this may overstate the market value of the loan.
This is seldom done on a loan by loan basis but is regularly done for classes of loans.
21.57 The SNA identifies a subset of bad debts as non-performing loans.
As explained in paragraph 13.66, these are loans whose payments of interest or principal are past due by 90 days or more or interest payments equal to 90 days or more have been capitalized, refinanced, or delayed by agreement, or payments are less than 90 days overdue, but there are other good reasons (such as a debtor filing for bankruptcy) to doubt that payments will be made in full.
The SNA recommends that memorandum items be compiled for the accounts showing the nominal and market value of bad loans and the implications for interest flows, the amount of interest accruing on the nominal value, the amount of interest outstanding from previous periods and the amount relating to the current period that is unpaid.
The proposed memorandum items are discussed in paragraphs 13.67 to 13.68.
21.58 Elaborating the accounting for assets where the market value suddenly diverges from past trend values and the whole question of when it might be appropriate to define and use “fair values” is one item on the research agenda as explained in annex 4.
In addition, circumstances emerging from the credit crisis that emerged in 2008 will continue to be monitored to see if other memorandum items or other steps should be recommended.
21.59 There is detailed discussion of government's role in concessional lending and debt rescheduling in section D of chapter 22.
21.60 In recent years, the International Accounting Standards Board (IASB) has become increasingly important as the standard setter for commercial accounting.
The IASB promulgates International Financial Reporting Standards (IFRS) and at present more than 100 countries are involved in this process of harmonization.
Many large companies, especially multinationals, already apply these international accounting standards.
21.61 The principles underlying the IFRS are in most cases entirely consistent with the principles of the SNA.
In particular, it is worth noting that the introduction to the standards explains that economic substance should take precedence over legal form.
The IFRS, like the SNA, pays attention not only to the conceptually preferred approach but also practical possibilities.
21.62 The process of developing a new standard is a threefold one.
In the first step, a document discussing the arguments for and against a new standard is proposed and it is released with an invitation to comment.
Once the comments are received and analysed, if it is decided to proceed, an exposure draft is prepared and posted for global comment.
Only if the exposure draft receives substantial favourable comment is a formal standard developed.
At each stage, the documentation available discusses the background to the standard as well as its formal wording.
21.63 Since it is inevitable that national accounting information for large companies in particular must be drawn from data compiled according to the international accounting standards, it would be advantageous for the national accounts community to take a greater interest in the three stages of developing international accounting standards and contribute their points of view.
21.64 For multinational enterprises, the standard accounts may be available only for the group as a whole where relationships between enterprises in different countries have been consolidated.
In this case, national accountants would need to consult other sources for the required non-consolidated data.
21.65 Two particular areas where the IFRS adopts approaches somewhat different from the SNA are in the area of the recognition of holding gains and losses as income and in the recording of provisions and contingent liabilities.
Further examination of the IASB position could be helpful in refining the SNA treatment of these issues, if not by accepting the IASB position entirely, at least by showing a reconciliation between their position and that of the SNA.
21.66 In addition to the IASB that sets standards for private corporations, the International Public Sector Accounting Standards Board (IPSASB) performs a similar function for government bodies.
There is reference to the IPSASB in chapter 22.
22.1 A major strength of the SNA is the ability to compile accounts for whole sectors, individual units, or some intermediate levels and to aggregate the accounts in different ways.
Disaggregating the economy into various sectors and subsectors makes it possible to observe and analyse the interactions between the different parts of the economy for purposes of policymaking.
Particular interest is given to the general government sector, as defined in chapter 4 and the public sector, as defined in this chapter.
Many of the concepts in this chapter have been described in a number of previous chapters.
This chapter aims to bring these together, give some more elaboration on how they might be put into practice and gives a link to other systems of economic statistics particularly aimed at government such as the GFSM2001, the ESA95 Manual on Government Debt and Deficit (Eurostat, 2002a) and the External Debt Guide.
22.2 The powers, motivation and functions of government are different from those of other sectors.
Governments use their powers to pass laws affecting the behaviour of other economic units.
They are able to redistribute income and wealth largely by means of taxes and social benefits.
The accounts for the general government sector show how goods and services provided to the community as a whole or to individual households are financed mainly by revenue raised.
The range of goods and services government provides and the prices charged are based on political and social considerations rather than on profit-maximization.
22.3 Fiscal operations are carried out by the government and financed through the budget under the usual budgetary procedures.
However, some operations originated by government units may require the intervention of entities which are not ruled by the legal government framework, including public corporations.
These actions may be described as quasi-fiscal activities.
22.4 Operations related to privatization and restructuring public corporations, securitization of assets using the intervention of special purpose entities, including those abroad, may be described in this way.
Though such operations are not reported in the budget and might escape the usual control procedures, they may have a significant impact on government revenue and expenditure.
22.5 As well as providing services directly, governments often fulfil their public policy objectives through public corporations (for example, railways, airlines, public utilities and public financial corporations).
A public corporation may be required to provide services to areas of the economy that would not be covered otherwise by means of subsidized prices.
As a result, the public corporation may operate with a reduced profit or at a loss.
22.6 In order to analyse the full impact of government on the economy, therefore, it is useful to form a sector consisting of all the units of general government and all public corporations.
This composite sector is referred to as the public sector.
22.7 For the general government and the public sectors, in addition to the usual sequence of accounts of the SNA, the accounts can be presented in a manner that is more suitable for government finance analysts and policymakers.
The latter increasingly use aggregates and balancing items defined in terms of the concepts, definitions, classifications and accounting rules of the SNA so that these aggregates can be related to other macroeconomic variables and compared with the same items in other countries.
Some of these items, such as saving and net lending or borrowing, are already available in the sequence of accounts.
Other items, such as total revenue, total expense and total outlays, the tax burden, the net operating balance and total debt, do not appear as such in the SNA.
Aggregates and balancing items of this nature can be used to assess the use of resources to produce individual and collective services, the need to collect taxes and other revenues, the ability of government to borrow and repay debt and the sustainability of the desired level of government operations.
22.8 The present chapter gives an overview of this so-called public finance or government finance presentation of the accounts.
In order to derive this presentation, the transactions in the SNA current and capital accounts are rearranged to derive aggregates and balancing items of specific interest to the general government and public sectors.
For example, a combination of taxes, user fees and grants from other governments can be aggregated to form total revenue, as the amount available from operations to fund government services.
22.9 Section B summarizes the identification of government units and other units controlled by government units and explains how those units are grouped into sectors in the SNA.
22.10 Section C describes the presentation of government finance statistics.
22.11 Section D addresses a number of accounting issues that are unique to, or exceptionally important for, government.
22.12 Finally, section E shows how information about the public sector may be prepared in a manner roughly parallel to the government finance statistics presentation described in section D.
22.13 In practice, macroeconomic accounts can seldom be built up by simply aggregating the relevant microdata.
Government is an exception in that the statistics for government units and public corporations are often derived directly from the microdata in government financial accounting databases.
As a result, compilers of statistics for the government units and public corporations usually draw more heavily on accounting information than the results of statistical enquiries.
In particular, the development in recent years of International Public Sector Accounting Standards by the International Public Sector Accounting Standards Board of the International Federation of Accountants has increased the need for clear guidance on the compilation of government finance statistics so that the detailed accounting data can be transposed correctly into the framework of the SNA.
Such guidance is especially important when the government financial accounts are compiled on a cash basis and must be converted to an accrual basis to comply with the accounting basis of the SNA.
22.14 As a rule, the entries in the SNA are not consolidated.
Consolidation involves the elimination of those transactions or debtor/creditor relationships that occur between two transactors belonging to the same institutional sector or subsector.
As stated in chapter 3, however, consolidation may be relevant for the general government sector.
For example, information on debt owed by government units to units outside the general government sector may be more relevant than gross figures that include debt owed to other government units.
Guidance on consolidation is provided in Section C.
22.15 General government units include some NPIs and public enterprises not treated as corporations.
The public sector includes general government and public corporations.
To identify which NPIs are included in general government, conditions for control by government must be identified.
To determine which enterprises are treated as public corporations and which as part of general government, it is necessary to specify conditions for control by government and the concept of economically significant prices.
22.16 In order to identify the units falling in both the general government sector and the public sector, it is helpful to begin by restating the definition of government units given in paragraphs 4.117 to 4.118).
The discussion on what is meant by control by government and economically significant prices follows.
22.17 Government units are unique kinds of legal entities established by political processes that have legislative, judicial or executive authority over other institutional units within a given area.
Viewed as institutional units, the principal functions of government are to assume responsibility for the provision of goods and services to the community or to individual households and to finance their provision out of taxation or other incomes, to redistribute income and wealth by means of transfers, and to engage in non-market production.
In general terms:
a. A government unit usually has the authority to raise funds by collecting taxes or compulsory transfers from other institutional units.
A government unit must have funds of its own either raised by taxing other units or received as transfers from other government units and it must have the authority to disburse some, or all, of such funds in the pursuit of its policy objectives.
It must also be able to borrow funds on its own account.
b. Government units typically make three different kinds of final outlays:
· The first group consists of actual or imputed expenditures on the free provision to the community of collective services such as public administration, defence, law enforcement, public health, etc. that are organized collectively by government and financed out of general taxation or other income.
· The second group consists of expenditures on the provision of goods or services free, or at prices that are not economically significant, to individual households.
These expenditures are deliberately incurred and financed out of taxation or other income by government in the pursuit of its social or political objectives, even though individuals could be charged according to their usage.
· The third group consists of transfers paid to other institutional units, mostly households, in order to redistribute income or wealth.
22.18 Within a single economy when there are different levels of government at central, state or local levels, there may be many separate government units.
Social security funds also constitute government units.
22.19 In all countries, there is an institutional unit of the general government sector important in terms of size and power, in particular the power to exercise control over many other units.
This unit is often referred to as national government and the unit covered by the main budget account.
It is a single unit of the central government that encompasses the fundamental activities of the national executive, legislative and judiciary powers.
Its revenues as well as its expenses and expenditures are normally regulated and controlled by a Ministry of Finance or its functional equivalent by means of a general budget approved by the legislature.
Most of the ministries, departments, agencies, boards, commissions, judicial authorities, legislative bodies and other entities that make up this central government unit are not separate institutional units but are part of this primary central government unit.
This is because they generally do not have the authority to own assets, incur liabilities, or engage in transactions in their own right.
If there are state or local governments then it is likely that each of these governments will also have a primary government unit that includes the principal executive, legislative and judicial powers.
22.20 In addition, there may be government entities with a separate legal identity and substantial autonomy, including discretion over the volume and composition of their expenses and outlays and a direct source of revenue, such as earmarked taxes.
(The terms expense, outlay and revenue are commonly used in the presentation of government accounts.
Their definitions and relationship to SNA concepts are covered in section C.)
Such entities are often established to carry out specific functions, such as road construction or the non-market production of health or education services.
These entities should be treated as separate government units if they maintain full sets of accounts, own goods or assets in their own right, engage in non-market activities for which they are held accountable at law and are able to incur liabilities and enter into contracts in their own right.
Such units are often referred to as extrabudgetary units because they have separate budgets and any transfers from the main budget account are supplemented by their own sources of revenue.
Budgets vary widely among countries and various terms are often used to describe these units.
These units are classified in the general government sector to the extent that they are non-market producers and are controlled by another government unit.
22.21 A social security fund is a particular kind of government unit that is devoted to the operation of one or more social security schemes.
A social security fund must satisfy the general requirements of an institutional unit.
That is, it must be separately organized from the other activities of government units, hold its assets and liabilities separately and engage in financial transactions on its own account.
22.22 As noted earlier, NPIs that are non-market producers and are controlled by a government are also units of the general government sector.
Although they may legally be established to be independent from government, they are considered to be carrying out government policies and are effectively part of government.
Governments may choose to use non-profit institutions rather than government agencies to carry out certain government policies because NPIs may be seen as not subject to political pressures.
For example, research and development and the setting and maintenance of standards in fields such as health, safety, the environment and education are areas in which NPIs may be more effective than government agencies.
22.23 The case of units engaged in financial activities needs special consideration.
As described in paragraph 4.67, a unit set up by government with functions similar to a captive financial institution is treated as an integral part of general government and not as a separate unit if it has no powers to act independently, is restricted in the number of transactions it can engage in, does not carry the risks and rewards associated with the assets and liabilities it holds and is resident in the same economy.
If the unit is nonresident, it is treated as a separate unit but the transactions it undertakes as quasi-fiscal operations are reflected in transactions between that unit and the government.
In particular, if the non-resident unit borrows abroad, it is regarded as lending the same amount to government and on the same terms.
22.24 At the same time, the general budget of any government level might control market producers satisfying the criteria to be a quasi-corporation as defined below.
These units should not be classified in the general government sector, but in the non-financial or financial corporations sector, as appropriate.
As public units, they are, however, part of the public sector.
22.25 The criteria for deciding whether an NPI is controlled by government or not is described in paragraph 4.92.
They are summarized here for convenience.
22.26 Control of an NPI is defined as the ability to determine the general policy or programme of the NPI.
All NPIs allocated to the general government sector should retain their identity as NPIs in statistical records, to facilitate analysis of the complete set of NPIs.
To determine if an NPI is controlled by the government, the following five indicators of control should be considered:
a. The appointment of officers;
b. Other provisions of the enabling instrument;
c. Contractual agreements;
d. Degree of financing by government; and
e. Risk exposure.
A single indicator could be sufficient to establish control in some cases but sometimes a number of separate indicators may collectively indicate control.
A decision based on the totality of all indicators will necessarily be judgmental in nature but the judgements should be consistent for similar cases.
22.27 To be classified as a public corporation, a corporation must not only be controlled by another public unit, but it also must be a market producer.
Control is defined as the ability to determine the general policy or program of an institutional unit.
Government is in a position to exercise control over many kinds of units: miscellaneous extrabudgetary agencies, non-profit institutions and corporations (non-financial or financial).
The criteria for control of a corporation are described in paragraphs 4.77 to 4.80.
The key factors to be considered are
a. Ownership of the majority of the voting interest;
b. Control of the board or other governing body;
c. Control of the appointment and removal of key personnel;
d. Control of key committees of the entity;
e. Golden shares and options;
f. Regulation and control;
g. Control by a dominant customer; and
h. Control attached to borrowing from the government.
Although a single indicator could be sufficient to establish control in some cases, in others a number of separate indicators may collectively indicate control.
A decision based on the totality of all indicators must necessarily be judgmental in nature, but the judgements should be consistent for similar cases.
22.28 To be considered as a market producer, a unit must provide all or most of its output to others at prices that are economically significant.
Economically significant prices are prices that have a significant effect on the amounts that producers are willing to supply and on the amounts purchasers wish to buy.
These prices normally result when:
a. The producer has an incentive to adjust supply either with the goal of making a profit in the long run or, at a minimum, covering capital and other costs; and
b. Consumers have the freedom to purchase or not purchase and make the choice on the basis of the prices charged.
22.29 These conditions usually mean that prices are economically significant if sales cover the majority of the producer's costs and consumers are free to choose whether to buy and how much to buy on the basis of the prices charged.
Although there is no prescriptive numerical relationship between the value of output (excluding both taxes and subsidies on products) and the production costs, one would normally expect the value of goods and services sold (the sales) to average at least half of the production costs over a sustained multiyear period.
22.30 Because economic circumstances vary considerably, it may be desirable to accept different thresholds to achieve consistent economic measurement over time, between units and across countries.
In principle, the distinction between market and non-market should be made on a case-by-case basis.
22.31 It can be presumed that prices are economically significant when the producers are private corporations.
When there is public control, however, the unit's prices may be modified for public policy purposes.
This may cause difficulties in determining whether the prices are economically significant.
Public corporations are often established to provide goods that the market would not produce in the desired quantities or at the desired prices.
Even when the sales of such corporations may cover a large portion of their costs, one can expect that they respond to market forces quite differently than would private corporations.
22.32 It is likely that corporations receiving substantial government financial support, or that enjoy other risk reducing factors such as government guarantees, will act differently from corporations without such advantages because their budget constraints are softer.
A non-market producer is a producer that faces a very soft budget constraint so that the producer is not likely to respond to changes in the economic conditions in the same way as market producers.
22.33 The question arises whether units supplying goods and services to government should be treated as market or non-market producers.
The essential question is whether the unit provides the goods and services in competition with private producers and the choice of supplier is based on price.
This is true whether the supplier is the only supplier and whether the government is the only customer of the supplier.
22.34 In order to assess whether a producer is a market producer, it is necessary to carry out a comparison between the receipts from sales and the production costs of the products.
Sales are measured before any taxes applicable to the products are added.
Sales exclude all payments received from government unless they would be granted to any producer undertaking the same activity.
Own account production is not considered as part of sales in this context.
22.35 Production costs are the sum of intermediate consumption, compensation of employees, consumption of fixed capital and [other] taxes on production.
Further, if the unit is to be treated as a market producer, a return to capital is included in production costs.
Subsidies on production are not deducted.
22.36 Figure 22.1 shows the relationship between the general government sector, the public sector and the other main sectors of the domestic economy.
22.37 As explained in paragraph 4.117, government units are established by political processes and have legislative, judicial or executive authority over other institutional units within a given territory.
These units belong to the general government sector and so to the public sector also.
In order to determine which other institutional units belong to the general government sector and which to the public sector, the decision tree described in figure 4.1 should be followed, using the following sequential questions:
a. Is the entity of interest an institutional unit? If it is not, but is resident, then it is treated as part of the unit that controls it. If it is not an institutional unit but is nonresident it is treated as a quasi-corporation in the economy in which it is resident.
b. Is the unit a market or non-market producer according to the criteria given immediately above?
c. Is the unit controlled by government or another public corporation?
22.38 The answers to the last two questions lead to allocations to sectors as follows:
a. If the unit is a market producer and not controlled by government it is a part of neither the general government sector nor the public sector.
b. If the unit is a market producer and controlled by government or another public corporation, it is not part of general government but is part of the public sector.
c. If the unit is a non-market producer and controlled by government, it is part of the general government sector and the public sector.
d. If the unit is a non-market producer but not controlled by government, it is treated as an NPISH.
It is a part of neither the general government sector nor the public sector.
22.39 As described in chapter 4, the general government sector may be subsectored in either of two ways.
One method is to have up to three subsectors; one for central government, one for state government and one for local government with social security included at any level where relevant.
In some cases there may be only one or two levels of general government; in some cases more levels of government must be accommodated within the three level structure.
The other method of subsectoring is to exclude social security funds from each level of government and have a separate subsector for social security funds covering all levels of government.
The choice of classification used will depend on whether social security funds are independent of the level of government where they operate or not.
22.40 Greater detail on subsectoring general government is given in section F of chapter 4.
22.41 It is possible to construct subsectors of the public sector to meet analytical demands.
Two methods of subsectoring the public sector may be considered.
In the first, the public sector could be divided into the general government sector as one subsector and the aggregate of all public corporations as a second subsector.
The public corporations might be further divided into non-financial public corporations, financial public corporations other than the central bank, and the central bank.
22.42 Secondly, the public sector could be divided by level of government in the same way as the general government sector is. In this case, the subsectors would be the central government public sector, the state government public sector and the local government public sector.
Each of these subsectors would consist of the corresponding subsector of the general government sector plus all public corporations controlled by a unit of that level of government.
If a unit is controlled in part by a unit at one level of government and in part by a unit in another part of government, an allocation must be made to one or the other level of government depending on factors such as the degree of control exercised by each of the controlling units.
Social security funds could form a separate subsector or could be combined with each level of government.
It should be noted that if there is a separate fund to meet government employee pensions, this fund should be excluded from social security funds.
22.43 Specific guidance on when certain entities created by government units are to be included in the public sector or not is needed.
The entities concerned include quasicorporations, restructuring agencies, special purpose entities, joint ventures and supranational authorities.
Figure 22.1: The public sector and its relation to institutional sectors
22.44 Quasi-corporations are unincorporated enterprises that function as if they were corporations.
22.45 The intent behind the concept of a quasi-corporation is to separate from their owners those unincorporated enterprises that are sufficiently self-contained and independent of their owners that they behave in the same way as corporations.
22.46 In order to be treated as a quasi-corporation the government must allow the management of the enterprise considerable discretion not only with respect to the management of the production process but also the use of funds.
22.47 Some public units are involved in the restructuring of corporations, either non-financial or financial.
22.48 Restructuring agencies may operate in a number of ways.
22.49 A restructuring agency may undertake the reorganization of the public sector and the indirect management of privatization.
22.50 Another example of a restructuring agency is one mainly concerned with impaired assets, mainly in a context of a banking or other financial crisis.
22.51 Government units are always considered resident because, by definition, the economic territory of a country consists of the geographic territory administered by a government, as well as some territorial enclaves in the rest of the world, used by the government for diplomatic, military, scientific, or other purposes, normally with the formal agreement of the government of the country in which they are physically located.
22.52 Some governments may set up special purpose entities (SPEs) for financial convenience, the SPE being involved in fiscal or quasi-fiscal activities (including securitization of assets, borrowing, etc.).
22.53 Non-resident SPEs are always classified as separate institutional units in the economy where they are established.
22.54 A government may create a non-resident SPE to undertake government borrowing or incur government outlays abroad.
22.55 Many public units enter into arrangements with private entities or other public units to undertake a variety of activities jointly.
22.56 A joint venture involves the establishment of a corporation, partnership or other institutional unit in which each party legally has joint control over the activities of the unit.
22.57 The principal question to be considered here is whether the effective economic control of the joint venture establishes a public or a private unit.
22.58 If the joint venture is a market producer, it is treated as a public or private corporation according to whether it is or is not controlled by a government unit, using the same indicators as described above.
22.59 Public units can also enter into joint operating arrangements that do not involve establishing separate institutional units.
22.60 Some countries may be part of an institutional agreement that involves monetary transfers from the member countries to the associated supranational authority and vice versa.
22.61 Because the supranational authority is fulfilling the functions of a level of government, it is possible to construct a set of accounts for the authority as if it were a resident unit of the member country even though it remains non-resident.
Quasi-corporations
Quasi-corporations are treated in the SNA as if they were corporations: that is, as institutional units separate from the units to which they legally belong.
Thus, quasi-corporations owned by government units are grouped with corporations in the non-financial or financial corporate sectors.
If they function like corporations, they must keep complete sets of accounts.
Indeed, the existence or possibility to construct a complete set of accounts, including balance sheets, for the enterprise is a necessary condition for it to be treated as a separate institutional unit, otherwise it would not be feasible from an accounting point of view to distinguish the quasi-corporation from its owner.
Government quasi-corporations must be able to maintain their own working balances and business credit and be able to finance some or all of their capital formation out of their own saving, financial assets or borrowing.
The ability to distinguish flows of income and capital between quasi-corporations and government implies that, in practice, their operating and financing activities must be separable from government revenue or finance statistics, despite the fact that they are not separate legal entities.
The net operating surplus of a government owned quasi-corporation is not a component of government revenue and the accounts for government record only the flows of income and capital between the quasi-corporation and government.
The case of restructuring agencies
These corporations may or may not be controlled by government.
Restructuring agencies may be long-standing public units or agencies created for this special purpose.
Government may fund the restructuring in various ways, either directly, through capital injections (capital transfer, loan or acquisition of equity) or indirectly, through granting guarantees.
Units such as restructuring agencies have little output so the usual criterion of whether the output is market or non-market in determining when the unit is part of general government is not sufficient.
Instead the following propositions should be considered:
a. A unit that serves only government is more likely to be included in general government than one that deals with other units also.
b. A unit that sells financial assets at other than market values is more likely to be in the general government sector than not.
c. A unit that takes on low risk because it acts with strong public financial support and legally or effectively on behalf of the government is likely to be included within general government.
The following are two frequently-observed examples.
Two cases may be considered:
a. The restructuring unit is a genuine holding company controlling and managing a group of subsidiaries and only a minor part of its activity is dedicated to channelling funds from one subsidiary to another on behalf of the government and for public policy purposes.
The unit is classified as a corporation and the transactions made on behalf of the government should be rerouted through the general government.
b. The restructuring unit, whatever its legal status, acts as a direct agent of the government and is not a market producer.
Its main function is to redistribute national income and wealth, channelling funds from one unit to the other.
The restructuring unit should be classified in the general government sector.
Such a restructuring agency must be analysed according to the degree of risk it assumes, considering the degree of financing of the government.
Again, two cases may be considered:
a. The restructuring agency borrows on the market at its own risk to acquire financial or non-financial assets that it actively manages.
In this case the unit should be classified as an institution in the financial corporations sector.
b. The restructuring agency deliberately purchases assets at above market prices with direct or indirect financial support from the government.
It is primarily engaged in the redistribution of national income (and wealth), does not act independently of government or place itself at risk and therefore should be classified in the general government sector.
Special purpose entities
These enclaves are part of the general government sector.
Resident SPEs that function in only a passive manner relative to general government and that carry out fiscal activities are not regarded as separate institutional units in the SNA and are treated as part of general government regardless of their legal status.
If they act independently, acquire assets and incur liabilities on their own behalf, accepting the associated risk, they are treated as separate institutional units and are classified to sector and industry according to their principal activity.
When such entities are created, care must be taken to reflect faithfully the fiscal activities of the government.
All flows and stock positions between the general government and the non-resident SPE should be recorded when they occur in the accounts for general government and the rest of the world.
Even if there are no actual economic flows recorded between the government and the SPE related to these fiscal activities, transactions should be imputed in the accounts of both the government and the rest of the world to reflect the fiscal activities of the government undertaken by the SPE, including borrowing.
The special case of securitization units is discussed in section D.
Joint ventures
The activities could result in market or non-market output.
Joint operations can be structured broadly as one of three types: jointly controlled units, referred to here as joint ventures; jointly controlled operations; and jointly controlled assets.
The units operate in the same way as other units except that a legal arrangement between the parties establishes joint control over the unit.
As an institutional unit, the joint venture may enter into contracts in its own name and raise finance for its own purposes.
A joint venture maintains its own accounting records.
If a joint venture operates as a nonmarket producer, it must be the case that government is in effective control and it is classified as part of general government.
Normally, the percentage of ownership will be sufficient to determine control.
If the public and private units own an equal percentage of the joint venture, the other indicators of control must be considered.
In this case, there are no units requiring classification, but care must be taken to ensure that the proper ownership of assets is recorded and any sharing arrangements of revenues and expenses are made in accordance with the provisions of the governing contract.
For example, two units may agree to be responsible for different stages of a joint production process or one unit may own an asset or a complex of related assets but both units agree to share revenues and expenses.
Supranational authorities
The supranational authority also engages in non-market production.
In the national accounts of the member countries, the supranational authorities are non-resident institutional units that are part of the rest of the world and may be classified in a specific subsector of the rest of the world.
Such an additional account may provide a useful supplement for the analysis of the economic activities of the member countries.
22.62 The sequence of accounts for all institutional units and sectors is described in chapters 6 to 13.
For the general government sector and, in some cases, the public sector, experience has shown that an alternative presentation, usually known as a government finance presentation or public finance presentation, of the stocks and flows is better suited to certain analytical requirements.
This section gives a very brief overview of the way in which government accounts are presented in, for example, the GFSM2001, which should be consulted for further explanation and discussion.
22.63 Basically the government finance presentation consists of transactions that increase net worth leading to an aggregate called revenue and transactions that decrease net worth leading to the aggregate called expense.
In addition there are two main balancing items, net operating balance and net lending or net borrowing.
Additional accounts can be shown for other economic flows and balance sheets.
22.64 The following section provides general information about the concepts involved in government finance.
22.65 A revenue transaction is one that increases net worth.
In the government finance presentation of the accounts, the concept of revenue is defined to include all resources acquired by government as recorded in the SNA current accounts and capital transfers receivable recorded in the capital account.
Specifically, revenue can be determined as follows:
Revenue
equals Taxes,
plus Social contributions,
plus Other current revenue,
plus Capital transfers receivable.
22.66 Government revenue is usually dominated by compulsory levies in the form of taxes and social contributions.
For some levels of government, grants (transfers from other government units and international organizations) are a major source of revenue.
Other general categories of revenue include property income, sales of goods and services and miscellaneous transfers other than grants.
22.67 Estimating taxes and social contributions can be quite difficult.
The problems involved and the recommended solutions are described in section D. Taxes are recorded in several of the accounts in the sequence of accounts.
An advantage of the government finance presentation is that all taxes can be presented as one category of revenue, with subclassifications according to the basis on which the tax was levied.
In particular, both current and capital taxes can be shown under a single heading.
22.68 Other current revenue covers property income, sales of goods and services, fines, penalties and forfeits, voluntary transfers other than grants and miscellaneous and unidentified revenue. The distribution of goods and services that are not sold at all or sold for prices that are not economically significant does not accord with the general notion of revenue as a transaction that increases net worth.
As a result, only actual sales of goods and services or goods and services produced by government but provided as compensation of employees in kind are included in revenue.
(The goods and services provided as compensation in kind are treated as revenue because they offset expenditure.)
22.69 Transfers from one government unit to another, often from the central or a state government to a lower level of government, can be quite important sources of government revenue.
The government finance presentation allows all of these receipts to be collected into a separate category of revenue, usually labelled grants.
Other transfers, including subsidies, normally amount to much less and are reported separately.
Property income may or may not be an important source of revenue, but in either case it relates directly to the same category as in the allocation of primary income account.
22.70 An expense transaction is one that decreases net worth.
In the government finance presentation of the accounts, the concept of expense is defined to include all uses incurred by government as recorded in the SNA current accounts and capital transfers payable as recorded in the capital account.
Specifically, expense can be determined as follows:
Expense
equals Production expenses (compensation of employees, intermediate consumption and consumption of fixed capital),
plus Interest payable,
plus Grants,
plus Social benefits,
plus Other current expenses,
plus Capital transfers payable.
22.71 The government finance presentation as in GFSM2001, for example, differs from the sequence of accounts in a number of ways.
The absence of a production account in the government finance presentation makes it impossible to show both the cost structure of own account production and its final use.
Thus, for instance, the salaries of employees engaged in own account capital formation are directly classified as acquisitions of capital formation and not as compensation of employees.
Conversely, the salaries of employees that produce social benefits in kind are recorded as compensation of employees and not again as (part of) expense on social benefits in kind.
The government finance presentation uses some labels and definitions that differ from those in the sequence of accounts and also introduces various simplifications.
For example, outlays on FISIM and insurance services are not distinguished from interest and net insurance premiums respectively.
22.72 Governments typically produce many services and some goods and then distribute them free or at prices that are not economically significant.
In the SNA, the cost of these goods and services is recorded as a use when they are produced and again as a social benefit or final consumption expenditure when they are distributed.
To reduce unnecessary duplication, these costs are recorded only as production expenses in the government finance presentation.
22.73 In principle, retirement benefits paid to government employees are considered the liquidation of a liability rather than a payment of a current expense.
However, in practice social benefits as reported in government accounts may include retirement benefits paid to government employees.
If these transactions in pension liabilities are to be excluded, the contributions must also be excluded from revenue and the item adjustment for changes in pension entitlements excluded from expense.
22.74 The purchase of a non-financial asset is not an expense because it has no net effect on net worth since it represents the exchange of one type of asset for another or the incurrence of a liability matched by the acquisition of an asset.
It is however included in a total called outlays (or sometimes expenditure).
Outlays are defined as follows:
Outlays
equals Expense,
plus Acquisitions less disposals of non-financial assets.
The net acquisition of non-financial assets is the sum of the gross capital formation and acquisitions less disposals of non-produced non-financial assets.
22.75 The net operating balance is defined as revenue less expense.
It is the balance of all transactions that affect net worth.
It is equivalent to the changes in net worth due to saving and capital transfers in the SNA sequence of accounts.
It provides a measure of the sustainability of government policies as it represents the resources acquired or consumed by the government's current operations.
Specifically:
Net operating balance
equals Revenue,
less Expense.
22.76 Net lending or net borrowing can be calculated as the net operating balance less the net acquisition of non-financial assets or total revenue less total outlays.
It represents the amount the government has available to lend or must borrow to finance its non-financial operations.
Specifically:
Net lending or net borrowing
equals Net operating balance,
less Acquisitions less disposals of non-financial assets.
or, alternatively:
Net lending or net borrowing
equals Revenue,
less Outlays.
22.77 Net lending or net borrowing is also the balancing item of the financial account, although in practice a statistical discrepancy could appear as a result of using different sources and of possible errors and omissions.
22.78 For analytical purposes, there is often interest in the relationship between net lending or net borrowing and the change in government liabilities.
Attention to government liabilities usually centres on the amount owed to non-government units.
There may be a substantial amount of liabilities incurred by one government unit and held by a second government unit.
The government finance presentation consolidates all flows and stocks within each subsector and sector, and thus all asset and liability positions between units belonging to the same grouping are eliminated.
This procedure still allows the separate identification of the debt of the general government sector, the central government subsector and the public sector, which are analytically useful.
22.79 Consolidation is a method of presenting statistics for a set of units as if they constituted a single unit.
It involves eliminating transactions and reciprocal stock positions among the units that are being consolidated.
Consolidation may be undertaken for any group of units, but it is particularly useful to consolidate the units within the general government sector and its subsectors.
For example, assessing the overall impact of government operations on the total economy or the sustainability of government operations is more effective when the transactions between different levels of government are eliminated and only those transactions that are with other sectors or nonresidents remain.
Consolidation is of particular relevance for transactions such as property income (in particular interest), current and capital transfers and transactions in financial assets and liabilities.
For example, the consolidated figures on the ratio of revenue or expense to GDP are more useful for some purposes than the unconsolidated figures.
22.80 In the SNA, consolidation is discouraged.
Even in the government finance presentation, where consolidation is often useful, it takes place only within a single account where the matching revenue and expense entries appear.
For this reason, consolidation adjustments do not affect balancing items.
For example, a grant (or transfer) from a central government to a local government unit is consolidated by eliminating the expense from central government and the revenue from the local government, thus leaving the net operating balance of the general government sector unchanged.
22.81 Conceptually, the nature of consolidation is to eliminate all flows among the consolidated units, but practicality should be kept in mind.
For example, it may be argued that transactions in the production account, such as output and intermediate consumption of goods and services, should not be consolidated.
The decision about the level of detail employed in consolidation should be based on the policy usefulness of the consolidated data and the relative importance of the various types of transactions or stocks.
22.82 Within a government finance presentation, the major transactions considered for consolidation, in probable order of importance, are:
a. Current and capital transfers, such as central government grants to lower levels of government;
b. Transactions in financial assets and liabilities, such as loans to other governments for policy purposes, acquisitions of government securities by social security units and debt forgiveness;
c. Interest revenue and expense on intergovernmental holdings of financial assets and liabilities;
d. Acquisitions and disposals of non-financial assets, including intergovernmental transactions in land, buildings and equipment;
e. Taxes paid by one government unit or entity to another;
f. Purchases and sales of goods and services between government units.
22.83 Two types of transactions that appear to take place between two government units are never consolidated because they are re-routed in the SNA to other units.
The first is that all employer social contributions, whether paid to social security or to government pension funds, are treated as being paid to the employee as part of compensation and then paid by the employee to the fund.
The second is that all taxes withheld by government units from the compensation of their employees, such as pay-as-you-earn (PAYE) taxes, and paid to other governments should be treated as being paid directly by the employees.
The government employer is simply the collecting agent in this case for the second government unit.
However, taxes on gross payroll and labour force that are not treated as social contributions should be consolidated when they are significant and can be identified.
22.84 Practical difficulties always arise with consolidation.
For example, when a transaction to be consolidated is identified in the records of one unit, the corresponding transaction should appear in the accounts of the counterparty, but it may not be recorded there, it may be recorded in a different period, it may be recorded at a different value, or it may be classified as a different type of transaction.
Such errors in the strict application of a quadruple accounting system may exist in relation to any transaction but become apparent when consolidation is attempted.
22.85 Even if transactions between the subsectors of government are being consolidated when presenting the accounts for general government as a whole, they should not be eliminated for the accounts of each subsector considered separately.
22.86 A classification of transactions on outlays using the Classification of Functions of Government (COFOG) is integral to the government finance presentation.
This classification shows the purpose for which outlays are undertaken.
These purposes may differ significantly from the administrative arrangements of governments.
For example, an administrative unit responsible for health services may undertake some activities with an educational purpose, such as training of medical professionals.
A cross classification of the transactions of government by both economic nature and according to functions, as shown for example in GFSM2001, is encouraged.
22.87 The accounting rules of the SNA apply to general government and public sectors in the same way that they apply to all other sectors of the economy.
However, due to the particular nature of the activities of government units, some additional guidance is useful to assist with the treatment of selected transactions.
These topics are grouped under four headings:
a. Clarification of the recording of taxes;
b. Interaction with non-resident government-type authorities (including taxes paid to another authority);
c. Issues related to debt;
d. Interaction with the corporations sectors.
A separate section for each of these headings follows.
22.88 Taxes are compulsory unrequited payments, in cash or in kind, made by institutional units to the general government exercising its sovereign powers or to a supranational authority.
They usually constitute the major part of government revenue, up to 90 per cent in some countries.
Taxes are described as unrequited because, in most cases, the government provides nothing commensurate in exchange to the individual unit making the payment.
However, there are cases where the government does provide something to the individual unit in return for a payment in the form of the direct granting of a permit or authorization.
In this case, the payment is part of a mandatory process that ensures proper recognition of ownership or that activities are performed under the strict authorization by the law.
The borderline between when such payments are to be treated as a tax and when as the sale of a service or as the sale of an asset by the government requires additional guidance.
22.89 As noted in chapters 7 and 8 when discussing the difference between a tax and a fee for a service, the borderline is not always clear-cut in practice.
The following recommendations apply.
a. The payment is recorded as a tax when a licence or a permit is automatically granted by the government as a mandatory condition to perform an activity or acquire an asset and when the government unit performs little or no work other than a minimum control of the legal capacity of the acquirer to receive the permit (for instance, to confirm the applicant has not been convicted of a crime).
The payment of the fee in such a case is not commensurate with the control function that the government exercises.
b. The payment is recorded as the purchase of a service when, for instance, issuing the licence or permit implies a proper regulatory function of the government by exercising control on the activity, checking the competence or qualifications of the persons concerned, etc.
In such a case, the payment is taken to be proportion to the costs of producing the service for all or any of the entities benefiting from the services and is borne by those benefiting.
Only if the payment is out of proportion to the costs of producing the services, is it treated as a tax.
22.90 Chapter 17 discusses the case of licences issued by government in strictly limited numbers.
a. If the licence is not one to use a natural resource that qualifies as an asset and which the government controls on behalf of the community, then the payment for the licence is a tax.
Notwithstanding, if the licence is legally and practically transferable to a third party, it may still be classified as an asset in the category of contracts, leases and licences.
b. When the licence is to make use of a natural resource that qualifies as an asset and which the government controls on behalf of the community, payments for the licence are treated either as the acquisition of an asset in the category of contracts, leases or licences or as the payment of rent.
The conditions that need to be considered in deciding between the acquisition of an asset and the payment of rent are described in detail in part 5 of chapter 17.
Permission to use a produced asset owned by government is treated as an operating or financial lease as appropriate.
22.91 Like all transactions in the system, government transactions should be recorded on an accrual basis.
This is true on both the revenue side (for example, taxes and social contributions) and the expense side (for example, interest charges).
Unless both parties to a transaction record their view of the transaction at the same point in time, the accounts do not balance.
22.92 For the government, recording revenue and claims when the underlying event occurs is particularly difficult since government recordings are often on a cash basis.
This is especially the case for taxes.
Further, when accrued taxes are calculated from assessments of taxes due, there may be a risk of over- or understatement of tax revenue.
Since tax revenue is a crucial government finance aggregate, such an error must be avoided.
22.93 As explained in chapter 3, the period of time between the moment a tax or any distributive transaction is recorded as accruing in the non-financial accounts and the moment the payment is actually made is bridged by recording an account receivable or payable in the financial account.
In cases where a prepayment covering two or more accounting periods is made to government, an account payable is recorded in the financial account of government for the amounts due in future periods.
In effect this is a financial advance made to government by the payee.
It is a liability of the government and an asset of the payee.
This liability is extinguished as the amounts fall due in future periods.
22.94 The amount of taxes recorded as accruing recognizes that some taxes that may be due in principle are in practice unlikely to be collected.
The alternative means of making the necessary adjustments are described in paragraphs 8.58 to 8.59.
22.95 Tax relief can take the form of a tax allowance, an exemption, a deduction or a tax credit.
Tax allowances, exemptions and deductions are subtracted from the tax base before the tax liability is computed.
A tax credit is an amount subtracted directly from the tax liability due by the beneficiary household or corporation after the liability has been computed.
Tax credits can sometimes be payable, in the sense that any amount of the credit that exceeds the tax liability is paid to the beneficiary.
In contrast, some tax credits are non-payable (sometimes called wastable) and are limited to the size of the tax liability.
22.96 In Revenue Statistics and GFSM2001, a tax relief that is embedded in the tax system is recorded as reducing the tax liability of the taxpayer and therefore as reducing government tax revenue.
This is the case for tax allowances, exemptions and deductions, since they enter directly into the calculation of the tax liability.
This is also the case for non-payable tax credits as their value to the taxpayer is limited to the size of their tax liability.
For payable tax credits, only the excess over the corresponding liability, which corresponds to an outlay by government, is shown as an expense.
22.97 In contrast, in the SNA, the total amounts due as payable tax credits should be considered as expense and recorded as such at their total amount.
In consequence, tax revenue should be recorded without any deduction for payable tax credits.
22.98 Treating payable tax credits in this way has no impact on the net borrowing or net lending of the general government, but has an impact on both the tax burden and the ratios of public expense or expenditure to GDP.
Because of the need to explain differences in presentation between different statistical systems, however, in the SNA the amounts of payable tax credits that are offset against tax liabilities should also be shown.
22.99 Transactions may occur between government units and either international or supranational organizations, regarded as non-resident units.
Even when government acts as the unit channelling funds to or from the non-resident unit, the transactions are recorded as taking place directly with the non-resident unit.
Six cases may be considered:
a. Taxes: Some taxes on products, such as import duties, excises and value added taxes, might be payable to a supranational organization because they are considered to be levied directly by the supranational organization.
b. Subsidies: Any subsidies paid by a supranational organization directly to a resident producer are recorded as payable by the supranational organization rather than a resident government unit.
c. Current international cooperation: This consists of current transfers in cash or in kind between the governments of different countries or between governments and international organizations and includes specifically:
· Transfers between governments that are used by the recipients to finance current expenditures, including emergency aid after natural disasters; they include transfers in kind in the form of food, clothing, blankets, medicines, etc.;
· Annual or other regular contributions paid by member governments to international organizations (excluding taxes payable to supranational organizations);
· Payments by governments or international organizations to other governments to cover the salaries of those technical assistance staff who are resident in the country in which they are working and are employed by the host government.
D. Miscellaneous current transfers: These consist of payments to international or supranational authorities that are regarded as being compulsory but are not taxes.
e. Capital transfers: These include investment grants and other capital transfers, including the counterpart transaction of debt cancellation as a capital transfer payable and the counterpart of debt assumption as a capital transfer receivable.
f. Financial transactions: Some financial transactions, usually loans, may be recorded when granted by international organizations (for example, the World Bank and the International Monetary Fund) or granted to other governments.
22.100 In a few cases, membership dues and subscription fees payable to international organizations may not be treated as transfers but as payments for a service, recorded on an accrual basis.
Exceptionally, and when there is a possibility even if unlikely, of repayment of the full amount, the payment may represent the acquisition of a financial asset.
22.101 International assistance sometimes takes the form of making goods, such as food and clothing or emergency equipment available following a natural disaster.
In addition to the goods or services themselves, all costs identifiable with the delivery of the goods or services such as transportation to the foreign country, delivery within that country, the compensation of government employees of the donating country to prepare the shipments or oversee their delivery, insurance and so forth should be included in the value of the transfer to the extent that these costs are met by the donor.
22.102 The prices of the goods or services in the receiving country might be quite different from the prices in the donor country.
As a general principle, the value of the donation to the recipient should be regarded as equal to the cost of providing the assistance to the recipient.
It follows that the prices of the donor country should be used as a basis for the calculation of the value of the donation.
22.103 When the goods and services and associated delivery charges are donated by government, NPISHs or households, the items are negative final consumption matching a transfer in kind.
If the items are provided by corporations, they are recorded as a transfer in cash followed by a purchase of the goods by the recipient.
In both cases the items involved are included in exports of the donor country and imports of the recipient country.
22.104 Debt is a commonly used concept, defined as a specific subset of liabilities identified according to the types of financial instruments included or excluded.
Generally, debt is defined as all liabilities that require payment or payments of interest or principal by the debtor to the creditor at a date or dates in the future.
Consequently, all debt instruments are liabilities, but some liabilities such as shares, equity and financial derivatives are not debt.
However, due to specific legal, institutional or practical arrangements some other definitions of debt may also exist.
It is therefore useful in all cases to clearly identify the definition of debt according to the instruments included.
22.105 Debt operations are often used by government as a means of providing economic aid to other units.
The general principle for any cancellation or assumption of debt of one unit by another unit made by mutual agreement is to consider that there is a voluntary transfer of wealth between the two units.
This means that the counterpart transaction of the liability assumed or of the claim cancelled is a capital transfer.
22.106 There are four main types of debt reorganization:
a. Debt forgiveness.
A reduction in the amount of, or the extinguishing of, a debt obligation by the creditor via a contractual arrangement with the debtor.
b. Debt rescheduling or re-financing.
A change in the terms and conditions of the amount owed, which may result or not in a reduction in burden in present value terms.
c. Debt conversion.
The creditor exchanges the debt claim for something of economic value, other than another debt claim, on the same debtor.
This includes debt-forequity swaps and debt prepayment among other arrangements.
d. Debt assumption and debt payments on behalf of others when a third party is also involved.
22.107 Debt forgiveness is defined as the voluntary cancellation of all or part of a debt obligation within a contractual arrangement between a creditor and a debtor.
Debt forgiveness is distinguished from debt write-off by the agreement between the parties and the intention to convey a benefit, rather than unilateral recognition by the creditor that the amount is unlikely to be collected.
Debt forgiven may include all or part of the principal outstanding, inclusive of any accrued interest arrears (interest that fell due in the past) and any other interest costs that have accrued.
Debt forgiveness does not arise from the cancellation of future interest payments that have not yet fallen due and have not yet accrued.
22.108 Debt forgiveness is recorded as a capital transfer received by the debtor from the creditor at the time specified in the agreement that the debt forgiveness takes effect with a repayment of the debtor's liability in the financial account and a matching receipt by the creditor.
In the balance sheet, the debtor's liability and creditor's asset are reduced by the amount of debt that is forgiven.
Valuation of the amount of the debt forgiven is at market prices for flows and stocks, except for loans where the nominal value is used.
22.109 Debt rescheduling (or refinancing) is an agreement to alter the terms and conditions for servicing an existing debt, usually on more favourable terms for the debtor.
Debt rescheduling involves rearrangements on the same type of instrument, with the same principal value and the same creditor as with the old debt.
Refinancing entails a different debt instrument, generally at a different value and may be with a creditor different than that from the old debt.
22.110 Under both arrangements, the debt instrument that is being rescheduled is considered to be extinguished and replaced by a new debt instrument with the new terms and conditions.
If there is a difference in value between the extinguished debt instrument and the new debt instrument, part is a type of debt forgiveness by government and a capital transfer is necessary to account for the difference.
22.111 Debt rescheduling is a bilateral arrangement between the debtor and the creditor that constitutes a formal deferment of debt-service payments and the application of new and generally extended maturities.
The new terms normally include one or more of the following elements: extending repayment periods, reductions in the contracted interest rate, adding or extending grace periods for the repayment of principal, fixing the exchange rate at favourable levels for foreign currency debt, and rescheduling the payment of arrears, if any.
22.112 The treatment for debt rescheduling is that the existing contract is extinguished and a new contract created.
The applicable existing debt is recorded as being repaid and a new debt instrument (or instruments) of the same type and with the same creditor is created with the new terms and conditions.
22.113 The transaction is recorded at the time both parties record the change in terms in their books, and is valued at the value of the new debt.
22.114 Debt refinancing involves the replacement of an existing debt instrument or instruments, including any arrears, with a new debt instrument or instruments.
It can involve the exchange of the same type of debt instrument (loan for a loan), or different types of debt instruments (loan for a bond).
For instance, the public sector may convert various export credit debts into a single loan.
Also, debt refinancing can be said to have taken place when a debtor exchanges existing bonds for new bonds through exchange offers given by its creditor (rather than a change in terms and conditions).
22.115 The treatment of debt refinancing transactions is similar to debt rescheduling to the extent that the debt being refinanced is extinguished and replaced with a new financial instrument or instruments.
However, unlike in rescheduling, the old debt is extinguished at the value of the new debt instrument except for non-marketable debt owed.
The balance sheet reflects the transactions extinguishing the old debt instrument and the creation of the new debt instrument along with any valuation change recorded in the revaluation account.
22.116 A debt-for-equity swap occurs when a creditor agrees to replace a debt owed to it by an equity security.
For example, the government may agree with a public enterprise to accept an increase in its equity stake in the public enterprises instead of making a loan.
If there is a difference in value between the extinguished debt instrument and the new equity instrument, it is a type of debt forgiveness by government and a capital transfer is necessary to account for the difference.
22.117 Debt assumption occurs when one unit assumes responsibility for another unit's outstanding liability to a creditor.
When a government assumes a debt, in most instances the counterpart transaction of the new government liability is a capital transfer in favour of the defaulting debtor.
However, if the government acquires an effective legal claim against the defaulting unit and there is a realistic probability that the claim will be paid, the government may record, as the counterpart transaction of its new liability, the acquisition of a financial asset equal to the present value of the amount expected to be received.
If this amount is equal to the liability assumed, no further entries are required.
If the amount expected to be recovered is less than the liability assumed, the government records a capital transfer for the difference between the liability incurred and any asset acquired.
Similarly, if a government has its debt assumed by another government, then it records a capital transfer receivable, a new debt to the assuming government unit, or a combination of the two.
22.118 Debt assumption frequently occurs when a government guarantees a debt of another unit and the guarantee is called (or activated).
The treatment of the guarantee itself is described below.
22.119 Debt payments on behalf of others are similar to debt assumptions, but the unit making the payments does not assume the entire debt.
The transactions recorded are similar to those described under debt forgiveness.
22.120 Debt write-offs refer to unilateral reductions by a creditor in the amount owed to it, usually when a creditor concludes that a debt obligation has no value or a reduced value because part or all of the debt is not going to be paid.
Frequently the debtor is bankrupt or has disappeared.
An other change in the volume of assets is used to record the write-off.
Unlike the cases of debt assumption and debt forgiveness, no capital transfer is recorded and therefore there is no impact on net lending or borrowing of government.
22.121 Debt arrears occur when a debtor misses an interest or principal payment.
The debt instrument will not normally change, but knowing the amount of debts in arrears can provide important information.
When feasible and important, therefore, each category of debt should be divided into those instruments that are in arrears and those not in arrears.
22.122 Debt defeasance allows a debtor (whose debts are in the form generally of debt securities and loans) to remove certain liabilities from the balance sheet by pairing irrevocably assets of equal value to the liabilities.
Defeasance may be carried out either by placing the paired assets and liabilities in a trust account within the institutional unit concerned, or by transferring the paired assets and liabilities to another institutional unit.
In the former case, there are no transactions with respect to defeasance and the assets and liabilities should not be excluded from the balance sheet of the unit.
In the latter case, the assets and liabilities in question are moved to the balance sheet of second unit as long as this unit is recognized as an institutional unit in the SNA.
Often the unit to which the paired assets and liabilities may be moved is an SPE.
The conditions under which an SPE is considered to be an institutional unit are described in paragraphs 4.55 to 4.67.
If the SPE is purely passive it is not considered to be an institutional unit and the assets and liabilities concerned do not move off-balance sheet.
22.123 Debt issued on concessional terms.
There is no precise definition of concessional loans, but it is generally accepted that they occur when units lend to other units and the contractual interest rate is intentionally set below the market interest rate that would otherwise apply.
The degree of concessionality can be enhanced with grace periods, frequencies of payments and a maturity period favourable to the debtor.
Since the terms of a concessional loan are more favourable to the debtor than market conditions would otherwise permit, concessional loans effectively include a transfer from the creditor to the debtor.
22.124 Loans with concessional interest rates to a foreign government could be seen as providing a current transfer equal to the difference between the actual interest and the market equivalent interest.
If such a transfer were recognized, it would usually be recorded as current international cooperation, and the interest recorded would be adjusted by the same amount.
However, the means of incorporating the impact within the SNA and international accounts have not been fully developed, although various alternatives have been advanced.
Accordingly, until the appropriate treatment of concessional debt is agreed, information on concessional debt should be provided in supplementary tables.
22.125 Further details on the recording of debt operations can be found in GFSM2001, the Manual on Government Debt and Deficit, the External Debt Guide and Appendix 2 of BPM6.
22.126 Three types of guarantees are recognized in the SNA, standardized guarantees, guarantees that meet the definition of a financial derivative and one-off guarantees.
The recording of standardized guarantees (for government and other units offering such guarantees) is described in part 3 of chapter 17.
22.127 Guarantees that meet the definition of financial derivatives are those that are actively traded on financial markets, such as credit default swaps.
The derivative is based on the risk of default of a reference instrument and so is not actually linked to an individual loan or bond.
They have no effect on the net lending or borrowing of government.
22.128 One-off guarantees exist where the conditions of the loan or the security are so particular that it is not possible for the degree of risk associated with the loan to be calculated with any degree of accuracy.
In most cases, the granting of a one-off guarantee is considered a contingency and is not recorded as a liability for the guarantor.
Payments under a one-off guarantee are recorded when the call on the guarantee is made or when the fact that such a call will be made is very well established.
As an exception, one-off guarantees granted by governments to corporations in certain financially distressed situations and with a very high likelihood to be called are treated as if these guarantees were called at inception.
A particular case in point is a bailout by government, which is discussed below.
22.129 The activation of a one-off guarantee is treated in the same way as a debt assumption.
The original debt is liquidated and a new debt is created between the guarantor and the creditor.
In most instances, the guarantor is deemed to make a capital transfer to the original debtor, unless the guarantor acquires an effective claim on the creditor, in which case it leads to the recognition of a financial asset (a liability of the debtor).
22.130 The activation of a guarantee may or may not require repayment of debt at once.
The accrual principle for time of recording requires that the total amount of debt assumed is recorded at the time the guarantee is activated and the debt assumed.
Repayments of principal by the guarantor (the new debtor) and interest accruals on the assumed debt are recorded as these flows occur.
22.131 Securitization occurs when a unit, named the originator, conveys the ownership rights over financial or non-financial assets or the right to receive specific future flows, to another unit, named the securitization unit.
In return, the securitization unit pays an amount to the originator from its own source of financing.
The securitization unit is often an SPE.
The securitization unit obtains its own financing by issuing securities using the assets or rights to future flows transferred by the originator as collateral.
Government units have made widespread use of this source of finance.
22.132 The first case involving government to be considered is when the securitization comprises the sale (or the transfer) of an asset.
(In the SNA, a stream of future tax receipts is not recognized as a government asset that could be used for securitization.)
The key question for how to record the transaction properly is to determine whether the transfer of the asset is a sale of an existing asset to the securitization unit or a way to borrow using possible future flows of revenues as collateral.
In order to be treated as a sale, the asset must already appear in the balance sheet of the government and there must be a full change of ownership to the securitization unit as evidenced by the transfer of the risks and rewards linked to the asset.
The following factors must also be considered:
a. To be recorded as a sale, the purchase price must be equal to the current market price.
b. If the government, as the originator, guarantees repayment of any debt related to the asset incurred by the securitization unit, it is unlikely that all of the risks associated with the asset have been transferred.
22.133 The second case involving government is the securitization of future revenue flows.
In the SNA, a stream of future incomes is not recognized as an asset.
In most of these cases, it is not the rights to the income that are used as collateral, but the obligation of the government to use a sufficient amount of the future income to repay the borrowing in full.
If more income is earned than is needed to repay the borrowing, the excess is retained by the government.
Because receipts of future income are uncertain, “rights” to considerably more income than is necessary to repay the borrowing of the securitization unit are usually used as collateral.
The amount received by the government as the originator is treated as borrowing, usually in the form of a loan.
22.134 On occasion, large one-off transactions may occur between a government and another unit, usually a public corporation, linked to pension reforms or to privatization of public corporations.
The goal may be to make a public corporation competitive and financially more attractive by removing existing pension liabilities from the balance sheet of the public corporation.
This goal is achieved by the government assuming the liability in question in exchange for a cash payment of the same value.
If the cash payment is not equal in value to the liability incurred, a capital transfer is recorded for the difference.
22.135 A government unit has a close relationship with any public corporation or quasi-corporation that it controls.
Despite this close relationship, flows related to the equity investment between a government unit and its controlled corporation are treated in the same way as flows between any corporation and its owners.
An equity investment is the action by economic agents of placing funds at the disposal of corporations.
The amounts invested, described as equity capital, are part of the own funds of the corporation and the corporation has a large degree of freedom in the way in which they are used.
In return, the owners receive shares or some other form of equity securities.
These financial assets represent property rights on corporations and quasi-corporations and entitle the holders to:
a. A share of any dividends (or withdrawals of income from quasi-corporations) paid at the discretion of the corporation but not to a fixed and predetermined income, and
b. A share in the net assets of the corporation in the event of its liquidation.
22.136 It is important to distinguish between the return of the equity investment by the corporation to its owner and the payment of income in the form of dividends.
Only regular distributions from the entrepreneurial income are recorded as property income either as dividends or withdrawals of income from quasi-corporations.
Large and irregular payments, based on accumulated reserves or sale of assets are recorded as a withdrawal of equity.
22.137 The sale of non-financial assets owned by public corporations, such as buildings and land, does not by itself constitute privatization and is recorded in the capital account of the corporations sector as disposals of fixed assets or other non-financial assets.
However, if the public corporation sells assets and then surrenders the proceeds of such a sale to general government, this is recorded as a withdrawal of government's equity in the corporation.
A withdrawal of equity is also recorded if the public corporation disposes of a financial asset and surrenders the proceeds to government.
22.138 Subsidies are current transfers, usually made on a regular basis, from government to corporations designed to influence their levels of production, the prices at which their outputs are sold or the remuneration of the corporations.
Payments to public corporations on a large and irregular basis (often called “capital injections” in the media) are not subsidies.
They are treated as either a capital transfer or the acquisition of equity:
a. Payments to cover cumulated losses arising as a result of public policy purposes should be recorded as a capital transfer.
b. A payment made in a commercial or competitive context may be treated as an acquisition of equity.
This should be limited to cases where the government is acting similarly to a private shareholder in that it has a valid expectation of a cash return in the form of future property income.
In this case, the corporation will probably issue new shares to the government and enjoy a large degree of freedom over how the funds provided are used.
Treating the payments as the acquisition of equity depends on evidence of the corporation's profitability and its ability to pay dividends in future.
22.139 Privatization is usually understood to consist of the sale of shares or other equity held by government in a public corporation to other units.
Often these other units are outside the public sector but they need not be; for example, a public corporation may buy shares in a unit newly separated from government.
Such sales are purely financial transactions, recorded in the financial account of the SNA.
The assets owned by the public corporation continue to belong to the corporation; it is the ownership of the corporation itself, as represented by the ownership of the equity in it, that changes hands.
In effect, the government's claim on the public corporation reduces because government exchanges shares or equity in the public corporation for cash or other financial assets.
The cost of any financial services that government must purchase to achieve the sale are treated as an expense that should be recorded as intermediate consumption by general government in the SNA.
22.140 Privatization may be organized in more complicated institutional arrangements.
For instance, some or all of the non-financial assets of a public corporation may be sold by a public holding company, or other public agency, controlled by a government and all or part of the proceeds paid to the government.
In such cases, the public corporation will record the disposal of non-financial assets in the capital account, while the payment to the government of the proceeds from the sale is recorded as a withdrawal of equity.
22.141 The case where the privatization is arranged via a restructuring agency is discussed in paragraphs 22.47 to 22.50.
22.142 Nationalization is a process whereby government takes control of specific assets or an entire corporation, usually by acquiring the majority or the whole stake in the corporation.
The recording of flows differs according to the way the government takes control.
a. Appropriation or confiscation: the change in ownership of assets is not the result of a transaction made by mutual agreement.
There is no payment to the owners (or the compensation is not commensurate with the fair value of the assets).
The difference between the market value of the assets acquired and any compensation provided is recorded as an uncompensated seizure in the other changes in the volume of assets account.
b. Purchase of shares: the government buys all or some of the shares in the corporation at a price that is the market price or very close to it. There is usually a legal context for the transaction which ensures that it is made by mutual agreement, even though the former owner may have little choice whether or not to accept the offer, or to negotiate the price.
The purchase of shares is a financial transaction recorded in the financial account.
22.143 A bailout is a term meaning a rescue from financial distress.
It is often used when a government unit provides either short-term financial assistance to a corporation to help it survive a period of financial difficulty or a more permanent injection of financial resources to help recapitalize the corporation.
A bailout may in effect constitute another means of nationalization if the government acquires control of the corporation it is bailing out.
Bailouts of financial institutions are particularly noteworthy.
Bailouts are likely to involve highly publicized one-time transactions involving large amounts and are therefore easy to identify.
22.144 Intervention of general government may take various forms.
For instance:
a. A government might provide equity financing on exceptionally favourable terms.
b. A government might purchase assets from the enterprise to be assisted for prices greater than their true market value.
c. A government might create a special purpose entity or other type of public body to finance or to manage the sales of assets or liabilities of the enterprise to be assisted.
22.145 In most of these cases, the assistance provided by government to the unit suffering financial distress is recorded as a capital transfer.
In determining the magnitude of the capital transfers, the following points need to be taken into account.
a. If the government buys assets from the enterprise to be assisted, the amount paid will normally be more than the true market price of the assets.
The purchase of assets other than loans should be recorded at the actual market price and a capital transfer should be recorded for the difference between the market price and the total amount paid.
b. Governments often buy loans from financial institutions during a bailout.
Unless a loan becomes tradeable and is traded with established market value, it is always recorded in the SNA at nominal value.
Only if a market for the loans develops and the loans are regularly traded there are they reclassified as securities and recorded at market value.
c. When a government buys a loan at nominal value when the fair value is much less, no capital transfer for the difference in value is recorded.
However, if there is reliable information that some loans are irrecoverable, their value is reduced to zero as an other volume change in the balance sheet of the corporation and a capital transfer should be recorded from government to the corporation for their former nominal value.
If there is some possibility that some part of the loan may be recoverable in the future, the loans are reclassified (at their zero value) from the balance sheet of the corporation to that of the government at the time the capital transfer is recorded.
If the value of the loans subsequently increases, this is shown as a revaluation item in the government's balance sheet.
d. As part of a bailout, government may extend the range of guarantees it is prepared to offer.
These guarantees should be recorded as described above in paragraphs 22.126 to 22.130 according to whether this is a one-off guarantee or part of a standardized guarantee scheme.
22.146 If a public institutional unit is created by government simply to assume management of the bailout, the unit should be classified in the general government sector.
If the new unit has other functions and the bailout is a temporary task, its classification as a government unit or a public corporation is made following the general rules as described in the section above on restructuring agencies.
Units that purchase financial assets from distressed financial corporations with the objective of selling them in an orderly manner cannot be considered financial intermediaries.
If the unit has been created by government for this specific task, it is classified in the general government sector.
22.147 When a public corporation is restructured, financial assets and liabilities may appear or disappear reflecting new financial relationships.
These changes are recorded as changes in sector classification and structure in the other changes in the volume of assets account.
An example of such a restructuring is when a corporation is split into two or more institutional units and new financial assets and liabilities are created.
22.148 The purchase of shares and other equity of a corporation as part of a merger, on the other hand, is to be recorded as a financial transaction between the purchasing corporation and the previous owner.
22.149 Any change in the classification of assets and liabilities not related to restructuring or changes in sector classification is recorded as a change in the classification of assets or liabilities in the other changes in the volume of assets account.
22.150 It is appropriate to begin by recalling the definition of the central bank and associated explanations from chapter 4.
The central bank is the national financial institution that exercises control over key aspects of the financial system.
In general, the following financial institutions are classified in this subsector:
a. The national central bank, including where it is part of a system of central banks; and
b. Currency boards or independent currency authorities that issue national currency that is fully backed by foreign exchange reserves.
c. Central monetary agencies of essentially public origin (for example, agencies managing foreign exchange or issuing bank notes and coin) that keep a complete set of accounts but are not classified as part of central government.
Supervisory authorities that are separate institutional units are not included with the central bank but are included with financial auxiliaries.
As long as the central bank is a separate institutional unit, it is always allocated to the financial corporations sector even if it is primarily a non-market producer.
22.151 While the bank may be legally independent of government, it is charged with carrying out government policy under the legislation establishing it. The central bank is always treated as being controlled by government and is included in the financial corporations sector as a public corporation.
It is the single exception to the rule that a unit whose output is primarily non-market is not to be classified as a corporation.
22.152 Two types of payments by the central bank to the government require clarification:
a. Payments made on a regular basis, usually in the form of dividends, based on the current activity of the central bank (such as managing foreign exchange reserves).
These payments are recorded as dividends so long as they are not abnormally higher than the sum of net interest and net commissions receivable by the bank.
Amounts in excess of this sum are to be recorded as a withdrawal of equity.
b. Exceptional payments following sales or revaluation of reserve assets.
These payments should be recorded as a withdrawal of equity.
The rationale is that these assets are being managed as the economic property of the nation and not of the bank itself.
Their valuation affects the equity liability of the central bank and the equity assets of the government.
Holding gains on the reserve assets (assets of the central bank) have a counterpart in the equity liability of the central bank and the equity assets of the central government.
22.153 The measurement of output of the central bank is described in paragraphs 6.151to 6.156. As part of government policy, the central bank may pay interest on deposits at artificially high or low rates.
The treatment of interest payments in this case is described in paragraphs 7.122 to 7.126
22.154 Public-private partnerships are long-term contracts between two units, whereby one unit acquires or builds an asset or set of assets, operates it for period and then hands the asset over to a second unit.
Such arrangements are usually between a private enterprise and government but other combinations are possible, with a public corporation as either party or a private NPI as the second party.
These schemes are described variously as Public-Private Partnerships (PPPs), Private Finance Initiatives (PFIs), Build, Own, Operate, Transfer schemes (BOOTs) and so on. The basic principles of all are the same and are treated the same way in the SNA.
22.155 Governments engage in PPPs for a variety of reasons, including the hope that private management may lead to more efficient production and that access to a broader range of financial sources can be obtained.
In the contract period the PPP contractor has the economic ownership.
Once the contract period is over, the government has both economic and legal ownership.
It is not easy to establish which unit is the legal owner of an asset during the contract period or how the implicit transactions when its economic ownership changes should be recorded.
There may be an advance agreement on the timing of the transfer of economic ownership part way through the service lives of the assets, under agreed terms that do not reflect market prices of the assets.
In consequence, some actual transactions may have to be partitioned to reveal their true economic character.
22.156 PPPs vary greatly.
A general description that includes the most common arrangement is as follows.
A private enterprise agrees to acquire a complex of fixed assets and then to use those assets together with other production inputs to produce services.
Those services may be delivered to the government, either for use as an input to its own production (for example, motor vehicle maintenance services) or for distribution to the public without payment (for example, education services), in which case the government will make periodic payments during the contract period.
The private enterprise expects to recover its costs and earn an adequate rate of return on its investment from those payments.
Alternatively, the private enterprise may sell the services to the public (for example, a toll road), with the price regulated by the government but set at a level that the private enterprise expects will allow it to recover its costs and earn an adequate rate of return on its investment.
At the end of the contract period, the government may gain legal and economic ownership of the assets, possibly without payment.
There can be many variations in PPP contracts regarding the disposition of the assets at the end of the contract, the required operation and maintenance of the assets during the contract, the price, quality and volume of services produced and so forth.
22.157 The private enterprise is responsible for acquiring the fixed assets, although the acquisition is often aided by the backing of the government.
The contract may require, however, that the assets meet the design, quality and capacity specified by the government, be used in the manner specified by the government to produce the services required by the contract and be maintained in accordance with standards specified by the government.
Furthermore, the assets typically have service lives much longer than the contract period so that the government will control the assets, bear the risks and receive the rewards for a major portion of the assets' service lives.
Thus, it frequently is not obvious whether the private enterprise or the government controls the assets over their service lives or will bear the majority of the risks and reap the majority of the rewards.
22.158 As with leases, the economic owner of the assets related to a PPP is determined by assessing which unit bears the majority of the risks and which unit is expected to receive a majority of the rewards of the assets.
The factors that need to be considered in making this assessment can be broadly divided into two groups, those associated with acquiring the asset and those associated with using it in production.
Some of the risks associated with acquiring the asset are:
a. The degree to which the government controls the design, quality, size and maintenance of the assets;
b. Construction risk, which includes the possibility of additional costs resulting from late delivery, not meeting specifications or building codes and environmental and other risks requiring payments to third parties.
Some of the risks associated with using the asset in production are:
a. Supply risk, which covers the degree to which the government is able to control the services produced, the units to which the services are provided and the prices of the services produced;
b. Demand risk, which includes the possibility that the demand for the services, either from government or from the public at large in the case of a paying service is higher or lower than expected;
c. Residual value and obsolescence risk, which includes the risk that the value of the asset will differ from any price agreed for the transfer of the asset to government at the end of the contract period;
d. Availability risk, which includes the possibility of additional costs or the incurrence of penalties because the volume and/or quality of the services do not meet the standards specified in the contract.
22.159 The relative importance of each factor is likely to vary with each PPP.
It is not possible to state prescriptive rules that will be applicable to every situation in a satisfactory way.
The provisions of each PPP must be evaluated in order to decide which unit is the legal owner.
22.160 Likewise, the complexity and variety of PPP contracts preclude the enumeration of detailed rules governing the transactions to be recorded concerning the control and use of the assets.
Instead, all of the facts and circumstances of each contract should be considered and then an accounting treatment should be selected that best brings out the underlying economic relationships.
There are, however, a few common difficulties.
22.161 If the private enterprise is assessed as being the legal owner during the contract period and if, as usual, the government obtains legal and economic ownership at the end of the contract without an explicit payment, a transaction must be recorded for the government's acquisition of the assets.
One general approach is for the government gradually to build up a financial claim and the private unit gradually to accrue a corresponding liability such that the value of both is expected to be equal to the residual value of the assets at the end of the contract period.
Implementing this approach requires existing monetary transactions to be rearranged or new transactions to be constructed using assumptions about expected asset values and interest rates.
22.162 An alternative approach is to record the change of legal and economic ownership as a capital transfer.
The capital transfer approach does not reflect the underlying economic reality as well, but data limitations, uncertainty about the expected residual value of the assets and contract provisions allowing various options to be exercised by either party could make recording a capital transfer acceptable on pragmatic grounds.
22.163 If the government is assessed as being the legal owner during the contract period but does not make any explicit payment at the beginning of the contract, a transaction must be imputed to cover the acquisition.
The most common suggestion is that the acquisition be made via an imputed financial lease because of the similarity with actual financial leases.
The implementation of that choice, however, depends on the specific contract provisions, how they are interpreted and possibly other factors.
For example, a loan could be imputed and actual government payments to the private unit, if they exist, could be partitioned so that a portion of each payment represents repayment of the loan.
If there are no actual government payments, then non-monetary transactions could be constructed for the loan payments.
22.164 As described in section B, the public sector includes all resident institutional units controlled directly or indirectly by resident government units.
In other words, the public sector consists of all units of the general government sector plus all resident public corporations.
22.165 Statistics for the public sector can be presented both within the sequence of accounts for institutional units and sectors or within the same government finance framework as described in section C of this chapter, depending on the use to be made of the statistics.
22.166 With either method of presentation, it is useful to show both subsectors of the public sector and the entire public sector, with the total public sector statistics shown both unconsolidated and consolidated.
For example, one column might have the statistics for the general government sector, a second column for the aggregate of all public corporations and a third column would have the unconsolidated totals for the entire public sector.
Depending on the flows involved, a fourth column could show the amounts to be eliminated by consolidation and a fifth column could show the consolidated totals for the entire public sector.
22.167 Not all flows need to be consolidated for the public sector.
Because the public sector is a mixture of market and non-market producers, most components of revenue and expense will have limited economic meaning for the public sector.
Elements of the financial account and the balance sheet are the most likely candidates to be consolidated.
22.168 The same balancing items as stressed for the general government sector are likely to be important for the public sector.
The public sector net operating balance (or saving in the sequence of accounts) will indicate trends in net worth resulting from the public sector's current operations.
This is particularly useful if there are public corporations operating at significant losses.
22.169 Net lending or net borrowing for the total public sector is known as the public sector borrowing requirement.
Net lending indicates the net financing supplied to either the rest of the economy or the rest of the world; net borrowing indicates net financing obtained by the public sector from either the rest of the economy or the rest of the world.
22.170 The balance sheet provides information of net worth, determined as the value of total assets less total liabilities, and financial net worth, determined as the difference sector's influence on the financial system and because it is between the value of total financial assets and the total often difficult to value government-unique non-financial liabilities.
The latter is often cited because of the public assets.
23.1 Non-profit institutions (NPIs) play a somewhat unusual role in the SNA.
Like corporations, some NPIs produce goods and services for sale with the intention to cover costs, that is to say as market production.
In common with other market producers, they cannot undertake final consumption.
Like government units, some NPIs are non-market producers and make their output available free or at prices that are not economically significant to individual households or the community at large.
Some of these non-market NPIs are controlled by government and included in the general government sector but those that are not are grouped in their own sector, the non-profit institutions serving households (NPISHs).
23.2 Most NPIs are separately identified institutional units.
That is, they are capable in their own right of owning assets, incurring liabilities and engaging in economic activities and in transactions with other entities.
It follows that a complete set of accounts for the unit, including a balance sheet of assets and liabilities, exists or could be constructed if required.
In some countries, especially developing countries, an NPI may be an informal entity whose existence is recognized by society but does not have any legal status.
23.3 The distinguishing feature that identifies an NPI is that its status does not permit it to be a source of income, profit or other financial gain for the units that establish, control or finance it. An NPI may make a profit, it may be exempt from taxes, it may have a charitable purpose but none of these are determining characteristics.
The only essential criterion for a unit to be treated as an NPI is that it may not be a source of income, profit or financial gain to its owners.
23.4 All NPIs produce goods and services, most often services, intended for consumption by households or by corporations.
Some NPIs produce services for corporations typically charging fees (sometimes described as subscriptions) intended to cover costs.
They are often set up as associations that provide services exclusively to members.
The level of fees charged, the price of membership, typically satisfies the SNA criteria of economically significant prices.
For this reason these NPIs are allocated to the corporations sectors.
An example of an NPI serving corporations is a trade association.
23.5 An NPI may be controlled by government in that government may appoint its officers and determine the objectives of the institution.
It is treated as an institutional unit separate from government because it has independent control of its budget (even if much or all of the funding comes from government) but it is allocated to the general government institutional sector.
Such institutions provide individual and collective services.
An example is a research institute controlled by government.
23.6 Other NPIs exist to provide goods and services to households either in return for a fee or free.
When fees are charged, these may or may not cover a large proportion of the NPI's costs and therefore may or may not be deemed to be economically significant prices.
When the fees charged are regarded as being economically significant, the NPIs concerned are treated as providing market services and are allocated to the corporations sectors.
Otherwise the NPIs fall into the institutional sector of NPISHs.
23.7 Thus it is possible to categorize NPIs as follows:
a. those providing services to corporations whose output is sold to the corporations concerned and treated as intermediate consumption;
b. those that are controlled by government and provide individual or collective services on a non-market basis;
c. those providing goods and services to households, divided between:
· those that provide goods and services to individual households at economically significant prices;
· those providing services to individual households free or at prices that are not economically significant;
· those that provide collective services free or at prices that are not economically significant.
23.8 Those NPIs that fall under the first bullet point in category (c) are allocated to the corporations sectors and expenditure on their output is treated as final consumption expenditure by households.
Those that fall under the second bullet point under (c) are allocated to the NPISH sector and their output is treated as actual final consumption of households delivered as social transfers in kind.
Those that fall under the third bullet point under (c) are allocated to the NPISH sector but their output remains as actual final consumption of NPISHs.
23.9 There are thus a number of sectors where NPIs appear in the SNA; in both the financial and non-financial corporations sectors, in the general government sector and in the separate sector of NPISHs. Subsectors of the first three sectors are established to contain NPIs only.
Those NPIs in the corporations sectors may be further subdivided to show those that are foreign controlled, those that are publicly controlled and those that are subject to national private control.
The NPIs in the general government sector may be subdivided by level of government; central, state and local government.
NPISHs may be divided between those that are foreign controlled and those subject to national private control.
23.10 The output of NPIs is valued in the same way as for all institutional units.
If the unit is a non-market producer, output is valued at the sum of costs, including consumption of fixed capital but excluding a return to capital.
If the unit is a market producer, output is measured by sales adjusted for changes in inventories and any production for own capital formation.
For some NPIs that cover a large proportion but not all their costs from sales, this will leave the unit with negative operating surplus.
This is covered by donations (current transfers).
23.11 For some time, there has been growing interest in studying the contribution to the economy of institutions such as NPIs because they are seen to constitute a significant presence of growing economic and policy interest.
Such institutions are variously referred to as “non-profit”, “voluntary”, “civil society” or “non-governmental” organizations and collectively as the “third”, “voluntary”, “non-profit” or “independent” sector.
Such institutions attract interest because their operating characteristics are somewhat different from those of other units in the corporations and government sectors.
Specifically:
a. They are not permitted to distribute profits;
b. They may produce public goods as well as private goods;
c. They may receive as much or more from current transfers as they receive from selling their output;
d. They may depend on volunteer labour as well as paid labour;
e. Because they cannot pay dividends, they cannot attract equity capital in competition with corporations;
f. They may be eligible for special tax advantages in many countries;
g. They typically have special legal provisions covering the governance, reporting requirements, political participation and so on;
h. Although they provide public goods and services, they do not have the same powers or restrictions as government in deciding what these goods and services should be and how they should be allocated.
23.12 Arising out of this interest, a satellite account for NPIs has been developed as described in the Handbook on Non-Profit Institutions in the System of National Accounts (United Nations, 2003).
Sections B and C describe the essential features of this satellite account.
Section D discusses some other aspects of NPIs that it may be desirable to explore in addition to the satellite account.
23.13 The starting point for the satellite account is to identify the units of interest.
As will be seen, the units chosen coincide largely (but not quite entirely) with the units described as NPIs in the SNA.
One way of approaching a satellite account, therefore, would be to consider compiling the complete sequence of accounts for a sector made up of the subsectors of NPIs in the non-financial corporations sector, the financial corporations sector, the general government sector and NPISHs. However, because many of those interested in accounts for NPIs only do not come from an SNA background, the handbook starts by identifying characteristics of the units of interest.
23.14 Various alternative concepts have been put forward around which a satellite account for non-profit institutions could be formulated.
23.15 The first of these is the concept of the “social economy” which depicts non-governmental institutions with a social or collective purpose.
Typically mutual societies, cooperatives and associations would be included.
23.16 The second concept is of “public benefit” organizations.
This typically covers a narrower range of institutions that serve a broad public purpose and excludes institutions that serve only their own members.
23.17 In between these two is the concept of the non-profit sector on the lines initially pioneered by the Johns Hopkins Comparative Non-Profit Sector Project.
In this project a definition of the non-profit units was elaborated along structural-operational lines.
The requirements for inclusion are the following:
a. organizations should exist as identifiable institutions;
b. They should be institutionally separate from government;
c. They do not distribute profits;
d. They are self-governing, that is to say they are not subject to control from other units;
e. Membership of the unit is neither obligatory nor automatic but involves some degree of voluntary participation.
23.18 The main exclusions from the set of NPIs recognized in the SNA are those NPIs allocated to the general government sector because, although they are institutionally separate from government, they are controlled by government units.
There are a small number of informal, usually temporary, NPIs that may be excluded also.
These are discussed in section D.
23.19 The following are illustrative examples of the kinds of entities that are likely to be found within the “non-profit sector” for the purposes of the NPI satellite account:
a. Non-profit service providers, such as hospitals, higher education institutions, day-care centres, schools, social service providers and environmental groups;
b. Non-governmental organizations promoting economic development or poverty reduction in less developed areas;
c. Arts and culture organizations, including museums, performing arts centres, orchestras, ensembles and historical or literary societies;
d. Sports clubs involved in amateur sport, training, physical fitness and competitions;
e. Advocacy groups that work to promote civil and other rights, or advocate the social and political interests of general or special constituencies;
f. Foundations, that is, entities that have at their disposal assets or an endowment and, using the income generated by those assets, either make grants to other organizations or carry out their own projects and programs;
g. Community-based or grass-roots associations that are member-based and offer services to or advocate for members of a particular neighbourhood, community or village;
h. Political parties that support the placing of particular candidates into political office;
i. Social clubs, including touring clubs and country clubs, that provide services and recreational opportunities to individual members and communities;
j. Unions, business and professional associations that promote and safeguard labour, business or professional interests;
k. Religious congregations, such as parishes, synagogues, mosques, temples and shrines, which promote religious beliefs and administer religious services and rituals.
However, an official state church incorporated into the state administration, particularly one supported by obligatory taxes, would not meet the “institutionally separate from government” criterion and thus would be excluded from the set of NPIs in the satellite account.
It should be noted that religious congregations are different from religiously affiliated service agencies in such fields as health, education and social services.
Similarly, service organizations related to a state church might still be considered to be within the nonprofit sector, as long as they are separate institutional units and meet all the definitional criteria.
Both market and non-market units should be included in each of these categories, so long as the institution concerned is an NPI (and not just an NPISH).
23.20 Certain other types of organizations are likely to occupy a grey area between the non-profit sector and either the corporations or government sectors.
Some of those entities will properly belong within the non-profit sector for purposes of the NPI satellite account, while others will not.
The following guidelines may be helpful for making those decisions.
(Obviously, these guidelines will have to be applied to types of organizations and not on an organization-by-organization basis, but the decision rules can still be instructive.)
The guidelines given here are those of the handbook, slightly modified in the light of experience with implementing the accounts.
It is proposed that the modifications included here will be incorporated into the next edition of the handbook.
23.21 Cooperatives are organizations formed freely by individuals to pursue the economic interests of their members.
The basic principles of cooperatives include:
a. democratic control, that is, one person, one vote;
b. shared identity, that is members are both owners and customers; and
c. orientation to provide services to members “at cost”.
As with other institutional units, if the articles of association of a cooperative prevent it from distributing its profit, then it will be treated as an NPI; if it can distribute its profit to its members, it is not an NPI (in either the SNA or the satellite account).
23.22 Mutual societies include such organizations as mutual savings banks, savings and loan associations, mutual insurance companies, sickness and burial funds.
Mutual societies, like cooperatives, are organized by individuals seeking to improve their economic situation through collective activity.
They differ from cooperatives, however, in that they are mechanisms for sharing risk, either personal or property, through periodic contributions to a common fund.
Normally the depositors in mutual societies formally control their operations.
23.23 Because mutual societies operate in the commercial sphere, they fall in the financial corporations sector.
Only if their articles of association prevent them from distributing profits to their owners are they treated as NPIs in the SNA (but still within the financial corporations sector) and included within the NPI sector for the satellite account.
23.24 Self-help groups are similar to both cooperatives and mutual societies in that individuals join to accomplish goals of mutual support that would be unattainable on an individual level.
They differ from both, however, in that they are not principally engaged in commercial activities.
As a general rule, self-help groups should be treated as membership organizations and included within the nonprofit sector.
23.25 Social ventures are enterprises organized for the purpose of employing and training disadvantaged individuals (handicapped, long-term unemployed, etc.) who would otherwise not find employment.
The enterprise is considered an NPI unless it generates and distributes its surplus to owners or stockholders.
23.26 Quasi-non-governmental organizations, which are found in many European countries and elsewhere, are designed to function at arm's length from government departments, thus avoiding direct political control.
To the extent that they are truly self-governing entities, they are appropriately considered part of the non-profit sector, even if they exercise the limited authority delegated to them by government agencies.
23.27 Universities, like other institutions, can be either NPIs, public institutions or for-profit corporations.
Differentiating NPIs from public institutions is especially difficult since both may receive significant amounts of government support, either directly or indirectly, and since even public institutions may have a significant degree of autonomy.
The key, therefore, is whether the institution is clearly self-governing and not part of the government's administrative system.
Educational institutions that are NPIs will have their own self-perpetuating boards that can determine all facets of organizational operations, without approval by government officials, and that can cease their operations without the approval of government authorities.
Public educational institutions will have boards selected in significant part by government officials or agencies and lack the power to cease operations without an act of the government.
23.28 Hospitals, like educational institutions, can also be either NPIs, public institutions or for-profit corporations.
The same rules that apply to educational institutions also apply to hospitals.
23.29 Indigenous or territorial groups, such as “band councils” in Canada (a form of First Nation government) and peasant or native communities in Peru, are organized around either cultural or ethnic groupings or a particular geographic area, mainly with the purpose of improving the welfare of their members.
The difficulty arises when such groups essentially operate as local governments, often making and enforcing their own laws.
When that is the case, the groups do not meet the “institutionally separate from government” criterion and fall outside the boundaries of the NPI satellite account.
23.30 NPIs can be classified according to the activity they undertake or the purpose for which they are envisaged.
In terms of activity, the normal classification to be used would be ISIC.
Because the detail available in ISIC, Rev. 3 for many of the social services covered by NPI was not sufficient, an elaboration of the basic ISIC codes was developed for use in conjunction with the NPI satellite account.
This classification is known as the International Classification of Non-Profit Organizations (ICNPO).
Similarly some elaboration of the classification of NPIs by purpose (COPNI) was developed.
In ISIC, Rev. 4, however, an alternative aggregation for data reporting for non-profit institutions is given in part four, section D. The twelve main headings of interest are shown in table 23.1.
Table 23.1: ICNPO groups
23.31 The first set of accounts prepared in the satellite account corresponds exactly to those in the SNA sequence of accounts.
Indeed this can be seen as a simple aggregation across the subsectors for NPIs in the corporations sectors plus NPISHs. NPIs in the general government sector are excluded from the satellite account as noted above.
23.32 The second version of the accounts is to consider those NPIs that provide services at economically significant prices but where the sales of their output bring in revenue that is significant but less than the whole of their costs.
Two possible scenarios exist.
The first is that the enterprise undertakes different types of activities, some on a market basis and some on a non-market basis but with the market basis activities predominating.
Although the two types of activity cannot be allocated to separate institutional units, separate establishments for each can be distinguished.
In principle, the production account of the establishments undertaking market activities should be compiled as normal but the production account for the non-market establishments should be based on the sum of costs.
The value of this output should be treated as distributed to households as social transfers in kind and added to household actual final consumption.
23.33 The second possibility is that only one sort of activity is undertaken but the sales cover a large part of the costs with the balance being made up of donations.
The donations are treated in the SNA as current transfers (any donations designated for capital purposes being treated as capital transfers).
The satellite account treats these donations as analogous to subsidies and so measures the value of the output as the total sum of costs.
In this case, the excess of output measured in this way over the proceeds from sales is treated as non-market output, social transfers in kind and part of actual consumption of households.
23.34 The third variant on the accounts builds on the second version of the accounts by also including an estimate of the value of volunteer labour used in the NPIs. Volunteer labour constitutes a significant input to many NPIs.
If a value is placed on this, it may exceed the value of monetary donations to some NPIs.
In the satellite account, it is recommended that the value of voluntary labour is estimated on the basis of the remuneration rates of employees undertaking similar work and not at the opportunity cost of the volunteers.
23.35 Work is proceeding on the measurement of volunteer labour in the context of a satellite account.
A draft Manual on the Measurement of Volunteer Work (International Labour Organization, forthcoming) was presented to the ICLS in December 2008.
23.36 The cost of the volunteer labour is treated as both part of compensation of employees and as a transfer back from these employees to the NPI where they work.
The value of the output of the NPI, and the amount treated as social transfers in kind, is increased over the amount in the second version of the accounts by the estimated value of the volunteer labour.
23.37 The satellite account includes other tables apart from the sequence of accounts.
One of these is to show details of revenue received with a breakdown by sector of origin and type of transaction.
In particular, it is recommended to distinguish revenue coming from government split between sales and grants, and that coming from the rest of the domestic economy split between private sales and current transfers (donations).
Where possible both sales and transfers should be separated into those coming from the domestic economy and from the rest of the world.
23.38 Another table includes information in physical units such as the number of employees, number of volunteers, number of entities and number of members of the organization.
In addition some information is given on the financial account and the assets held by the NPI.
23.39 Fully annotated descriptions of the tables are included in the handbook on the satellite account.
23.40 In some countries, NPISHs take responsibility for the provision of specific services to households that the government does not see as part of its role to provide.
In others, especially developing countries, NPISHs may provide services government would like to provide but simply does not have sufficient resources to do so. This becomes very clear following a natural disaster when NPISHs may be very active in relief work.
23.41 Whether the unit undertaking the work is resident or not will depend on the normal rules concerning residence.
Quick response actions that do not lead to long-term involvement in the country being assisted will be regarded as non-resident with the production being recorded in the home countries of the units giving assistance and the assistance itself being shown as imports of goods and services funded by transfers.
If the assistance extends beyond one year, the unit providing the assistance will be regarded as resident and a unit in the NPISH sector of the country receiving the assistance.
In circumstances where international relief is important, it may be helpful to identify NPISHs subject to foreign control separately from other NPISHs and to identify donations from abroad for all NPISHs.
23.42 Quite frequently, a number of households may get together to pool resources of knowledge and volunteer labour to serve their local community.
This could include teaching in informal schools, offering medical assistance or the construction of roads, a well, a school building, etc.
When only services are provided on the basis of volunteer labour, no value for the output of the activity is recorded in the SNA.
23.43 When physical structures result, the activity is included in the production boundary.
The value of the output is estimated by comparison with similar products elsewhere in the economy or, when it has to be estimated at the sum of costs, an estimate is made for the implicit value of the labour input.
This labour input is treated as gross mixed income accruing to households who then are assumed to “purchase” the product.
In fact they may then transfer the product to another unit, often government, for maintenance.
However, the recommendation in the SNA, as described in paragraph 4.168, is that such organizations should be treated as informal partnerships rather than as NPISHs.
23.44 If a group of households cooperates to produce goods for sale, even if the objective is still to be able to pay for work on a communal asset, this is not treated as a non-profit institution but as an unincorporated enterprise in the household sector.
23.45 Many small groups of individuals or households may exist as a practical means of allocating shared costs.
These may be as simple as a “coffee club” at the workplace or may be a more formal arrangement whereby the costs of common services provided to all tenants in a block of flats are shared equitably.
Such groups are practical rather than economic.
They are not treated as NPIs and their activities are not recorded in the SNA.
Such costs as they incur should be recorded as paid by the units to which the costs are eventually allocated.
23.46 In the case of microfinance, the unit providing the service is most likely to be either a corporation or an unincorporated enterprise.
Even though the owner of the enterprise may not keep the profits but uses them to generate new loans, this does not automatically make the unit an NPI.
The definition of an NPI is not that the owners choose not to withdraw profits but that they are not legally entitled to do so.
23.47 In practice it may be difficult to compile information on informal NPISHs unless the results are sufficiently important to come to general attention.
23.48 NPISHs produce goods and services, but typically services, that are provided to individual households free or at prices that are not economically significant.
However it is possible conceptually for an NPISH to provide collective services.
An example may be a well-financed institution that engages in research and development but makes its results freely available.
Such an institution is engaged in non-market production but, because it is not controlled by government, it falls in the NPISH sector.
The value of its output is treated as final consumption expenditure and actual final consumption by the NPISH itself.
23.49 The services provided by non-profit institutions serving households are not only very similar to those provided by government.
They present much the same difficulties of measuring their output and of selecting suitable price indices for deflating output to volume terms.
24.1 The economy functions because people want goods and services and are prepared to work to obtain them.
At the most basic level there is subsistence activity where people work to grow food to eat.
Any sort of development gives opportunities to earn money by working for others and using it to buy goods and services different from those one's labour has created.
24.2 In addition society recognizes that some individuals cannot participate in the economy in this way and so makes transfers available to the young, the old and the sick, for example.
Often these transfers are undertaken by government which redistributes income on behalf of the community at large.
In addition, transfers may be made by non-profit institutions or by extended family members, or others, based on traditional and cultural norms.
Some individuals do not spend all their income but use some to acquire wealth.
24.3 Lastly there is income arising from the ownership of wealth.
At its simplest, wealth is due to the accumulation of income earned in earlier periods (possibly generations earlier).
Wealth gives rise to income because others wish to make use of it and pay to do so. In the SNA such payments are called property income.
Like income, wealth may be transferred from one owner to another.
24.4 The SNA gives a clear and full accounting of all income accruing to households in the period itemized by type of income.
It also accounts clearly for how this income is spent on goods and services, transferred to others or used to acquire more wealth.
However, while the sequence of accounts ensures that the accounts of all households are balanced it does not show how this balance is achieved for subsets of households.
24.5 This chapter is about how to use information from the SNA on the households sector in conjunction with other data sources to investigate the behaviour of households in greater detail.
The focus here is on how income is used, how the patterns of income and use vary across subsectors and about the links between income and wealth at a detailed level.
Such a focus is of both analytical and policy interest.
It is a quite different view of economic behaviour from the predominant view of the SNA which is how income is generated.
24.6 All households undertake final consumption and all to a greater or lesser extent undertake accumulation but a household does not necessarily undertake production.
To the extent possible, the production activities within households are treated as quasi-corporations, included in one of the corporations sectors and separated from the rest of the household.
However, as explained in paragraphs 4.155 to 4.157 a quasi-corporation can only be created when a full set of accounts, including balance sheet entries and information about withdrawals of income from the quasi-corporation, is available.
Very frequently, and especially so in the case of a professional working alone, there may be complete information available on the production activities but it may not be possible to separate out other income flows, transfers and financial transactions relating to the production activity from those for the household in general.
In this case as well as in ones where even the information on the production activity is incomplete, an unincorporated enterprise remains as part of the household.
24.7 Even when a quasi-corporation can be created and removed from the rest of the household accounts, the household may still include an unincorporated enterprise relating to other activity.
For example, within a given household one person may be able to separate off the activities repairing vehicles but another may not be able to separate the activities providing food for sale from the rest of the household activities.
Moreover, many households without any other production activities will contain unincorporated enterprises providing housing services from owner-occupied dwellings and from employing domestic staff.
24.8 Just as there may be production undertaken within the households sector, there may be people providing labour to these unincorporated enterprises.
Members of the household who work in the unincorporated enterprise are called self-employed and their remuneration is termed mixed income rather than compensation of employees.
Individuals who are not members of the household who are employed in an unincorporated enterprise are employees.
It is possible but not always likely that the enterprise pays for social security for these people.
It is possible but even less likely that the household may offer other social insurance benefits to their employees.
24.9 There is further discussion about employment within households in chapters 19 and 25.
24.10 The difficulty in disaggregating the households sector arises for a number of reasons.
a. The first is that income is earned by individuals but consumption is undertaken by households.
b. The second is that it is difficult to find a basis for subsectoring households such that the households in each subsector behave in a similar fashion to one another.
Even if their income patterns are broadly similar, their expenditure patterns may differ according to the number and age of the members of the households.
Grouping by the latter may give no similarity in the level of income.
c. The third reason concerns the source of data on household income and expenditure.
Typically, information on corporations comes from establishment surveys and information on government comes from administrative sources.
These sources are fairly comprehensive and are in large part the only source, or at least the primary source, for the data to feed into the SNA.
Data for households comes from household income and expenditure surveys but these surveys are based on smaller samples, may be less frequent than establishment surveys and the data from them may be difficult to reconcile with the totals for income and expenditure that emerge from the accounting constraints in the SNA.
24.11 The households sector may be viewed in a number of different ways depending on whether the interest is primarily on what sort of production households undertake, what sort of income they earn or what patterns of consumption are portrayed.
Given these different perspectives, it is not easy to come up with a single definitive set of subsectors for households.
The conceptual and practical reasons for the difficulties are reviewed in section B. A review of possible subsectors is given in section C. The next three sections (D, E and F) in turn look at households as producers, households as consumers and household income.
The last section, section G looks at household wealth and associated income flows.
24.12 It is useful to begin by recalling the definition of the household given in paragraphs 4.149 to 4.157.
A household is defined as a group of persons who share the same living accommodation, who pool some, or all, of their income and wealth and who consume certain types of goods and services collectively, mainly housing and food.
In general, each member of a household should have some claim upon the collective resources of the household.
At least some decisions affecting consumption or other economic activities must be taken for the household as a whole.
24.13 Households often coincide with families, but members of the same household do not necessarily have to belong to the same family so long as there is some sharing of resources and consumption.
Households may be of any size and take a wide variety of different forms in different societies or cultures depending on tradition, religion, education, climate, geography, history and other socio-economic factors.
The definition of a household that is adopted by survey statisticians familiar with the socio-economic conditions within a given country is likely to approximate closely to the concept of a household as defined in the SNA, although survey statisticians may add more precise, or operational, criteria within a particular country.
24.14 Domestic staff who live on the same premises as their employer do not form part of their employer’s household even though they may be provided with accommodation and meals as remuneration in kind.
Paid domestic employees have no claim upon the collective resources of their employers' households and the accommodation and food they consume are not included with their employers' consumption.
They should therefore be treated as belonging to separate households from their employers.
24.15 Persons living permanently in an institution, or who may be expected to reside in an institution for a very long, or indefinite, period of time are treated as belonging to a single institutional household when they have little or no autonomy of action or decision in economic matters.
Some examples of persons belonging to institutional households are the following:
a. Members of religious orders living in monasteries, convents or similar institutions;
b. Long-term patients in hospitals, including mental hospitals;
c. Prisoners serving long sentences;
d. Old persons living permanently in retirement homes.
24.16 On the other hand, persons who enter hospitals, clinics, convalescent homes, religious retreats, or similar institutions for short periods, who attend residential schools, colleges or universities, or who serve short prison sentences should be treated as members of the individual households to which they normally belong.
24.17 All households are resident in the economy but of increasing interest is the phenomenon of a person abroad, often but not necessarily a family member, who remits significant amounts to the family in the domestic economy.
(The same phenomenon also exists within a country, between urban and rural areas, for example.)
The aspect of people moving abroad in response to better employment prospects may be seen as another facet of globalization and one that deserves to be monitored.
24.18 As noted in the introduction, the difficulty in disaggregating the households sector arises for a number of reasons.
The first is that income is earned by individuals but consumption is undertaken by households.
While all households contain all individuals, it is very difficult to associate particular income recipients with particular household groups.
It is possible to have one table showing the types of income earned and the types of individuals receiving them.
It is also possible to have a table of types of households and the pattern of household consumption of each.
Only in the highly stylized situation of one income earner only per household (and only one source of income) can the type of income be matched with the type of household and even then only if households are categorized according to the type of income.
The problem could be compared to that of the supply and use tables but whereas it is possible to establish which industries make which products, there is no natural relationship between individuals as income recipients and the household to which they belong when households are grouped by any criterion other than main income source.
24.19 The problem of trying to link income flows from the SNA with a desirable set of household characteristics is one of the most difficult aspects of building a social accounting matrix.
Very often it is necessary to revert to modelling to reconcile income related to individuals to consumption related to households.
24.20 The second problem is related to the homogeneity of households.
Various criteria may be used to disaggregate the sector (discussed in section C) but whatever criterion is used it is difficult to assert that the behaviour of the sample is typical of the whole.
This is a difficulty not normally encountered in industrial classifications and surveys.
For example, if a survey covers 50 per cent of firms in a given industry it is probably reasonable to suppose that the pattern of expenditure is typical of the whole.
If an enterprise doubles its turnover, the level of intermediate consumption will probably approximately double but its composition may not alter significantly.
Such assumptions are very suspect in the case of household groups.
This is another area where it may be difficult to use a social accounting matrix for analysis without having further recourse to modelling, this time to determine how groups of households react to different stimuli.
24.21 The information for the corporations sectors derives from surveys.
The household aggregates of income and expenditure are known from the accounting identities in the sequence of accounts.
While it is true that information from household surveys may sometimes reveal errors in industry data or vice versa it is more problematical to take information from household surveys on, say, expenditure patterns of one group of households and suppose all other members of the group behave in the same way.
For this reason a household income and expenditure survey is often reported as a freestanding exercise and integration with the national accounts totals is not as frequently part of compiling the full set of national accounts as is the case with establishment surveys.
In order to explore why this may be so, it is useful to look briefly at some of the problems experienced with household surveys.
24.22 Any attempt to disaggregate the households sector is likely to be dependent on a household income and expenditure survey.
The conventions adopted by survey statisticians and those of national accountants are not always the same.
A household expenditure survey for example may not include estimates of imputed rental of owner-occupied dwellings or own account production.
It may measure income after tax and measure expenditure on a cash and not on an accrual basis.
Various publications have been prepared to examine such differences and make recommendations on how to reconcile survey data with national accounts requirements.
Particularly relevant is the Final Report and Recommendations of the Expert Group on Household Income Statistics (Canberra group, 2001) and Household Income and Expenditure (International Labour Organization, 2003).
24.23 A major problem with household surveys is that it is very common for respondents to underestimate or underreport their income.
This may be deliberate or may simply be a lack of understanding of what should be included or simple forgetfulness.
24.24 Similarly some items of consumption are regularly underreported, most notably expenditure on alcohol and tobacco.
On the other hand, consumption of some items is over-reported.
For example, if a survey asks for expenditure on durables based on the recall of the respondent of what has been spent over the last two or three years, people often underestimate how long it is since purchases were made and will report more expenditure in this period than has actually been the case.
This phenomenon does not only apply to very large items of expenditure; it is reported that household surveys have suggested that the purchase of toothbrushes, for example, is many times higher than in the sales reported by shops.
24.25 The problem of non-response is a concern in household surveys since it is quite likely that some of the households that refuse to respond have income and expenditure patterns that are different from respondents.
For example people with incomes arising from illegal activities may be very reluctant to supply information and may choose not to participate in the survey.
Similarly it is common for households at the very top and very bottom of the distribution to be omitted from the survey either by design or on the grounds of practicality.
24.26 Household surveys may be designed to investigate particular phenomena that are not necessarily the primary interest for national accounts.
For example, they may be restricted to low income earners in urban areas.
While this information is highly valuable and useful it is not sufficient to produce aggregate figures for national accounts.
Sometimes even if the coverage is more comprehensive, the sample size may not be such as to allow disaggregation
24.27 A first consideration is to investigate the possibility of subsectoring households according to their involvement in production.
This may be done following the pattern shown in chapter 25 to identify informal and other production activity undertaken by households.
24.28 The first division is to separate institutional households and those households that do encompass an unincorporated enterprise from those that do not.
Thereafter it is straightforward to identify those households whose only productive activity is connected with the owner occupation of houses or the employment of domestic staff.
The households that are left may be further divided between those that employ staff to work in their unincorporated enterprises and those that do not.
As described in the chapter on the informal sector, when proceeding along these lines it is sometimes desirable to identify the type of activity of an unincorporated enterprise, in particular identifying agricultural activity separately from other types of activity.
24.29 Within the SNA, all household enterprises that can be treated as quasi-corporations because they have complete sets of accounts showing their ownership of assets (separately from those of the household to which they belong) and the withdrawal of income to their owners are classified in one of the corporations sectors.
The number of household enterprises that can be treated as quasi-corporations, and thus removed from the households sector, varies considerably from country to country depending on the availability of accounting information and the resources available to identify such enterprises and treat them as quasi-corporations.
24.30 Although it is possible to identify households that only have owner-occupied housing as their unincorporated enterprise, in many cases other unincorporated enterprises will undertake owner occupation of their houses as well.
While from a production point of view it is possible to separate the different types of production activities, for the institutional unit as a whole it is not possible to make this separation.
24.31 In most countries, many households do not have unincorporated enterprises, so when subsectoring is done according to production undertaken by households, those without unincorporated enterprises are grouped together in a single subsector.
The only common factor these households share is that they do not have an unincorporated enterprise.
Thus while subsectoring households according to production is useful in some circumstances it has its limitations in terms of identifying the role of different types of households in the economy.
24.32 It is widely observed that as household income rises so the pattern of consumption changes.
The proportion of expenditure devoted to food and other necessities declines as more income is available and is devoted to more luxury goods.
Thus one approach to disaggregating households according to consumption patterns is in fact to disaggregate by level of income, assuming this captures the difference in consumption patterns.
Studies showing consumption patterns according to income deciles are quite common and give interesting information about how patterns of consumption change as the overall level of income increases.
24.33 The question arises of how household consumption patterns may relate to incomes of individuals.
There is no obvious way to identify how recipients of income fall into one or other income decile when these deciles are calculated on a household basis.
Households with a high income may result from one very well-paid worker or from a number of middle income earners.
Further, although the production account shows total compensation of employees and it may be possible to compare this to the total number of employees, this gives no information about the distribution of income across the labour force in the enterprise.
24.34 Not all income comes from compensation of employees and the effect on total household consumption of other sources of income is equally uncertain.
24.35 Using the level of household income as a proxy for consumption patterns has some significant problems.
One possible disaggregation of households where consumption patterns might be significantly different would be according to whether the household includes children and, where it does not, whether the household is relatively young (and may be setting up home for the first time) or relatively old (where expenditure on consumer durables may be lower than for other groups).
However, here again there is no easy way to link the source of the income with the type of the household in which the income recipient resides.
24.36 A more promising approach to subsectoring appears to come from considering not the level of income but the type of income.
As proposed in chapter 4, the following scheme might be considered.
24.37 Households may be grouped into subsectors according to the nature of their largest source of income.
For this purpose, the following types of household income need to be distinguished:
a. Income accruing to the owners of household unincorporated enterprises with paid employees (employers' mixed income);
b. Incomes accruing to the owners of household unincorporated enterprises without paid employees (own-account workers mixed income);
c. Compensation of employees;
d. Property and transfer incomes.
24.38 Households are allocated to subsectors according to which of the four categories of income listed above is the largest for the household as a whole, even if it does not always account for more than half of total household income.
When more than one income of a given category is received within the same household, for example, because more than one member of the household earns compensation of employees or because more than one property or transfer income is received, the classification should be based on the total household income within each category.
The four subsectors are described as follows:
a. Employers;
b. Own-account workers;
c. Employees;
d. Recipients of property and transfer incomes.
24.39 The fourth subsector, households for which property and transfer incomes make up the largest source of income, constitutes a heterogeneous group and it is recommended that it should be divided into three further subsectors when possible.
These subsectors are defined as follows:
· Recipients of property incomes;
· Recipients of pensions;
· Recipients of other transfer incomes.
24.40 Other methods of subsectoring usually require a reference person to be identified for each household.
The reference person is not necessarily the person that other members of the household regard as the “head of the household”, as the reference person should be decided on grounds of economic importance rather than age or seniority.
The reference person should normally be the person with the largest income although the reference person could also be the person who makes the major decisions with regard to the consumption of the household.
24.41 Once a reference person has been identified, it is possible to group households into subsectors on the basis of the reference person's characteristics.
For example, subsectors may be defined according to:
a. Occupation of the reference person;
b. Industry, if any, in which the reference person works;
c. Educational attainment of the reference person;
d. Qualifications or skills possessed by the reference person.
24.42 A growing policy interest in some countries is the effect of demographic change on household well-being and the response required by government.
For example, in an ageing population, there may be less demand for educational services and more for health services.
24.43 Another concern is whether pension provision is sufficient to ensure that individuals have an adequate level of income in retirement without looking to government for income support.
A focus on such issues might suggest subsectoring households according to whether the main income earner is in work, of working age but not in work or in retirement.
Again, categorization according to the main income earner will give different results from categorizing income as a whole.
24.44 It is possible to consider subsectoring households on quite different grounds.
Examples include the number of persons in the household, the region where the household is located, the qualifications or education level of the head of the household, the industry where the head of the household works, whether the household owns property or other assets and so on.
24.45 In all countries, there are some production activities undertaken by households.
Many of these may be described as informal and, as described in chapter 25, measuring the extent of the informal sector and how this changes as the economy develops gives particular insight into the extension of the market economy beyond formal enterprises.
24.46 The difficulty of separating the productive activity of a household from the rest of the institutional unit has been discussed in a number of places in earlier chapters, particularly in chapter 4, and is referred to above in discussion about the subsectors for households.
This section therefore discusses only some aspects of those productive activities that inevitably remain within the households sector.
24.47 In some countries, subsistence agriculture, or indeed the results of any agricultural production which are used entirely by those responsible for the production, is a very significant part of household consumption and by extension of GDP.
In countries where much of the staple food is grown for own consumption, and it is seasonal, it is necessary to consider whether some part of the increase in the value of the crop due to storage is part of production.
There are details of how this may be done in the annex-to-chapter 6.
24.48 It should be recalled that the purchaser's price for agricultural products used for own consumption does not mean the price at the nearest local market which would include transportation costs.
The market price is the price that somebody would pay for the crops where they are grown.
This is frequently called the farm-gate price.
24.49 In principle, all fruit and vegetables grown for their own use by households with small allotments or large gardens should be included within the production boundary, even in developed countries. In practice it is unlikely to be worth the effort of making estimates unless the amounts involved are significantly large.
24.50 In almost all economies, a large number of households live in dwellings that they own.
The size of the rental market may be very small and may be confined to some areas, for example urban areas, which makes it difficult to use market rentals as a means of estimating the services provided by all owner-occupied dwellings.
In chapter 20, it is explained that in principle the rent on a capital asset can be calculated by applying a discount factor to the stock of capital at the beginning of a period, so if the value of the house is known, a figure for the services provided can be estimated.
However, this approach also is problematic in those circumstances where there are no data on the stock of capital or where there is uncertainty on the rate of return to be estimated.
For simple rural dwellings, it may be necessary to calculate the cost of construction and estimate how long the building is usable without major renovation.
24.51 All dwellings require regular maintenance.
The production account for an owner-occupied dwelling treats as intermediate consumption only the goods and services necessary to undertake the sort of repairs that are typically the responsibility of the landlord in the case of rented buildings.
These may include payment to specialists in the building trade, for example plumbers or painters, and the cost of these specialists will include their compensation of employees.
However when work is undertaken by the owner himself only the cost of the materials is included in intermediate consumption with no estimate made for the value of the owner's time spent on repairs.
In consequence, there is no compensation of employees appearing in the production account for owner-occupied dwellings.
(This may be seen to be a pragmatic convention.
If labour costs were to be imputed to the owner undertaking repairs, this would be recorded as income accruing to the household but the income from the rental on the house would be reduced by an exactly offsetting amount.)
24.52 The whole of the imputed rental less actual costs (including costs other than those relating to repairs) incurred is treated as operating surplus of the owner.
The accounts for the owner of the building show the whole of the value of the imputed rental as output, any costs incurred as intermediate consumption and the difference as gross operating surplus which is paid to the household in its capacity as the owner of the unincorporated enterprise.
In the use of income account, the full value of the rental is shown as consumption of the imputed rental of owner-occupied dwellings.
24.53 When major repairs are undertaken, these are treated as gross fixed capital formation but the same conventions apply concerning the recording of compensation of employees.
24.54 Some houses are owned by households but leased out by them.
In this case the rental paid by the tenant is the value of the output of the rental service.
The production account for the earning household shows intermediate consumption charged against this output to derive the operating surplus of the activity, which is treated as income to the owning household.
In some cases the whole of the intermediate consumption may be a service charge paid to a rental agency.
It is conceivable that occasionally the service paid to the rental agency may exceed the rental income so that the rental activity produces a loss.
For example, if a house stands empty for a time, there may still be a fee payable to the rental agency.
The earning household will often regard this as acceptable because one reason for owning a house to rent is because it is hoped a holding gain will be made on owning the house over a long period.
24.55 By convention, all the value added arising from leasing dwellings is treated as operating surplus, not mixed income.
24.56 Some houses will be owned as second homes either in the same economy or abroad.
The same principles apply as in the case of imputed rental of owner-occupied dwellings and rental services activities that come from renting out a house.
If the house is in another country, it is treated as belonging to a notional resident unit in that country.
The legal owner then has a financial claim on the notional resident unit.
The notional resident unit therefore appears to be a direct investment enterprise wholly owned by a nonresident.
However, the only asset of the unit is the value of the property and the whole of the operating surplus from renting out the house is treated as being withdrawn from the notional unit and remitted to the owner so there are no retained earnings remaining to be treated as reinvested earnings.
24.57 To the extent that the house abroad is used by nationals of the economy where the legal owner is resident, the rentals should be treated as exports of services from the foreign country and imports of services to the domestic economy.
However, the operating surplus of the notional unit is remitted to the owner and appears as a property income outflow from the foreign country and inflow to the domestic economy, offsetting the flows of rental services (at least in part).
24.58 When a house is financed by a mortgage, in principle FISIM charges relating to interest payments on the loan should be treated as part of the intermediate consumption of the production activity associated with renting the property (either for use by the owner or by a tenant).
However, it may be difficult to identify FISIM related only to interest on the mortgage and in some cases a loan using the property as collateral may not be used to secure the property for the purpose of having a dwelling available.
In practice, if FISIM is not treated as part of the intermediate consumption of the rental activity, the operating surplus from the rental activity will be higher than otherwise but the consumption expenditure of the household will be higher by the same amount.
24.59 Services provided by paid domestic staff are valued at the cost of the compensation of employees paid to those staff but including any income in kind such as free accommodation or free meals as well as any social insurance contributions that may be paid on behalf of the staff.
By convention the production account for paid domestic services consists only of this compensation of employees.
All of the products used in the performance of domestic services, such as cleaning materials and tools used, are treated as final consumption expenditure of the household.
24.60 Individuals who provide paid domestic services must be members of another household.
Payments to children for performing tasks in the house are not treated as the provision of paid domestic services but simply as if the payment were a transfer within the household.
On the other hand payments to a child for babysitting a neighbour's children should in principle be treated as domestic services but these may be too small and difficult to measure.
24.61 In practice, some countries may include full-time domestic employees as members of the households, in which case a transfer within the households is recorded, even though transfers within an institutional unit are not normally recorded.
This in turn means there is an element of double counting for the household concerned with a payment to the domestic staff and the expenditure by those staff both being included in the household's consumption expenditure.
24.62 In chapter 29 there is discussion of the possibility of extending the production boundary within the context of a satellite account to include all domestic services, including those that are not performed in return for payment.
24.63 Chapter 9 describes the different concepts of consumption expenditure, actual consumption and the use of consumption goods and services.
Within the SNA, only the first two are measured and the difference between them is accounted for by social transfers in kind provided by government and NPISHs to households.
In principle it might be interesting to be able to distinguish social transfers in kind provided to children (for example most education), to the elderly (particularly health care) or perhaps on a regional basis.
However, there are considerable difficulties in working at this level of detail and so it is probable that such extra detail could be provided only in the context of a satellite account.
24.64 In principle, transfers in kind between households should be recorded in the SNA.
However, if there are no subsectors of the households sector, such transfers will not appear in the accounts when they occur between resident households.
On the other hand transfers in kind between resident and non-resident households may be quite significant and should be captured through information on remittances in the balance of payments data.
Practical considerations are described in International Transactions in Remittances: Guide for Compilers and Users (International Monetary Fund, 2008b)
24.65 When there is a significant amount of consumption represented by own account production, income in kind, barter or transfers in kind it would be useful to itemize the distinction between consumption expenditure by households in kind from consumption purchased in the market place.
24.66 Most data sources for household consumption from the supply side are not able to distinguish whether purchases are made by resident households or by non-resident households.
Equally, the same sources will not reveal purchases made abroad by resident households.
These two items are often of a sufficiently significant size that it is important that they be estimated both for the impact on the balance of payments and in order to ensure that the supply and use table can be adequately balanced.
Further consideration of expenditure by tourists is discussed in chapter 29 in the context of a tourism satellite account.
24.67 Most household surveys itemize consumption according to the purposes it is intended to serve: food, housing, etc.
This type of breakdown is the one used in the Classification Of Individual COnsumption by Purpose (COICOP).
For inclusion in the supply and use table, and indeed for other analyses, it is useful to prepare a table showing the cross classification of consumption by purpose and by type of product.
This is useful not only in terms of providing the information for the supply and use tables but also in examining the information used to compile consumer price indices, which in turn are used to deflate consumption expenditure.
If the data permit, it may also be useful to look at the composition of consumption expenditure by type of household with a view to calculating consumer price indices for different groups of households, for example for the elderly or for those with young children.
24.68 It is a well-established phenomenon in all countries that income is distributed unevenly and in a very skewed manner.
Very many people have income significantly below the average or median income and very few people have extremely large incomes.
A poverty line is sometimes quoted as half the median income but an income of twice the median does not imply great wealth; the wealthiest individuals in an economy may have incomes many times larger than the average or median income.
24.69 The reason that the sequence of accounts is important is that it gives a picture of how income is distributed and redistributed either compulsorily via taxes and benefits or voluntarily via transfers or because of ownership of financial or other assets (property income).
In order to examine whether the process of distribution and redistribution of income significantly changes the overall distribution of income in the economy it is necessary to be able to show the flows between different groups of households.
As noted in the introduction, it is difficult to allocate income from one particular source to one household group rather than another.
This is not straightforward and not a standard part of the SNA.
However, it is straightforward to provide more information to analysts on the type of household income than the total contained in the standard sequence of accounts.
As far as value added is concerned, it may be possible to distinguish compensation of employees paid by individual industries or perhaps according to level of education or by region.
Mixed income can similarly be distinguished.
Consumption of fixed capital should be separated between that due to owner-occupied dwellings and that relating to other assets of unincorporated enterprises.
24.70 The standard accounts contain information on transfers in the form of taxes paid and social insurance contributions and benefits split between pensions and other benefits.
In some countries it is especially relevant to show personal remittances from abroad to demonstrate the impact on the domestic economy of those with strong ties to economies abroad.
For countries with a large migrant population it may be similarly useful to identify the corresponding outflows and their destination.
24.71 Within property income it is useful to distinguish those flows that place resources at the disposal of the recipients from those where the receipts are already precommitted as saving, for example, pension entitlements, property income on life insurance and interest that derives from the increase in the value of bonds.
It should be noted that it is particularly useful to identify the withdrawal of income from quasi-corporations if there are many household enterprises treated as quasi-corporations.
24.72 It may be useful to identify and show separately income in kind of all types, such as wages and salaries in kind and transfers in kind, and then derive a total excluding both these and the precommitted saving which might be called discretionary income.
24.73 For many households, their main assets are their land, houses and accumulated pension entitlements.
Where they exist, claims on enterprises may also be significant.
Investment in financial assets outside pension funds may also be important in some countries.
However, set against the assets must be the liabilities of the households, including the loans involved in mortgages and other financial liabilities and, for example, credit card or other debt.
24.74 For households including an unincorporated enterprise other than owner-occupied dwellings, there may be other fixed assets recorded on the balance sheet but these tend to be small relative to housing.
24.75 Family trusts are owned by households, though some trusts may be owned by a number of households collectively possibly including non-resident households.
Trusts may be set up to protect wealth until a beneficiary comes of age or meets another criterion, they may be set up to preserve family estates and so on. The SNA recommends that trusts should be treated as quasi-corporations and included in the financial corporations sector as captive financial institutions.
However the trusts must have liabilities to the beneficiaries sufficient to reduce their net worth to zero.
In compiling the balance sheet for the households sector, the value of the assets corresponding to the liabilities due to resident households must be included.
Where family trusts are important and when household wealth is the subject of interest, it may be useful to introduce a supplementary heading under other equity owned by households to show the value of trusts separately from the equity of other quasi-corporations such as partnerships.
24.76 Increasing interest is being shown in conducting surveys of household wealth along lines similar to surveys of household income and expenditure.
Again the interest is to look at a disaggregation of the households sector to discover the composition of household wealth and its relation to household income.
24.77 In general the distribution of wealth is even more strongly skewed than income.
A family where the main earners are in mid career may have a comfortable level of income and occupy their own house but still have a considerable mortgage and may not yet have built up significant pension reserves.
24.78 There is a question about whether the rundown of wealth post retirement should be recorded as income or as dis-saving.
24.79 By treating pension schemes as social insurance schemes, pension benefits are shown as current transfers, and thus income, rather than as a run-down of saving.
If a pension scheme is not treated in this way, though, there is still income accruing to the pension beneficiary in the form of the property income payable on the pension entitlements.
For a defined benefit scheme, this property income represents the unwinding of the discount factor on future entitlements.
The decrease in the entitlements is equal to the difference between the benefits payable and this property income, similar to the position for an annuity explained at the end of part 1 of chapter 17.
24.80 To the extent that the value of the pension as a form of wealth is based on the net present value of future income flows, pension receipts can be partitioned into the rundown of savings and income accruing.
In cases where there are no pension entitlements, a household with a significant level of financial assets is still likely to receive significant property income, though the mix of property income and holding gains and losses will depend on the investment strategy of the household concerned.
24.81 For a household where one or more of the members is building a pension, significant income will accrue each year but this is not accessible to the household to spend.
It must be accumulated to fund future pension entitlements and thus shows as an increase in wealth.
24.82 It is possible to construct an asset account for pension entitlements showing the start of year level of entitlements, increments due to work done in the year, increases due to the fact that retirement has become a year nearer (the unwinding of a discount factor) and other changes such as an allowance for inflation, less decreases due to pension payments or other changes that reduce entitlements.
24.83 Within the SNA, consumer durables are not treated as a form of wealth but as a form of expenditure.
However, there may be considerable interest in having a memorandum item in the balance sheets to show the worth of consumer durables.
The acquisition of durables may well be cyclical and there is interest in a satellite account that would replace the purchase of consumer durables as current expenditure by figures for the flow of services provided from the same items treated as fixed capital.
This is discussed further in chapter 29.
25.1 No economy is completely regulated and captured perfectly by statistical enquiries.
Steps have to be taken, therefore, to attempt to cover unregulated activity and survey imperfections as special exercises.
There are two approaches that, although they share a lot of common ground, are directed towards two rather different goals.
The first is to ensure that all activities including those that may be described as “hidden” or “underground” are encompassed in measures of total activity.
The second is to define what is meant by the subset of economic units that can be considered “informal” and to measure this.
25.2 The rationale for the first activity is obvious; to have a view of the economy as a whole that is as complete as possible and as comparable over time and across countries as possible.
The part of the economy difficult to measure has become known as the Non-Observed Economy (NOE) and several publications have been dedicated to measuring it, notably the handbook Measuring the Non-Observed Economy (Organisation for Economic Co-operation and Development, International Monetary Fund, International Labour Organisation and CIS STAT (2002).
As the techniques in the handbook make clear, a specific measure of the NOE is not important in itself.
Attention focuses on ensuring that the measurement of total activity is complete or “exhaustive”.
25.3 The second alternative recognizes the analytical importance, especially in developing countries, of being able to measure that part of the economy that reflects the efforts of people without formal jobs to engage in some form of monetary economic activity.
This part of the economy has become known as the informal sector.
It is by estimating the size of the informal sector that it becomes possible to assess how far the benefits of development reach, for example, people living on the street or in shanty towns.
Those supporting the second approach do not deny the importance of the comprehensive measure of the economy but for them this is not sufficient.
Despite the difficulty of doing so, attempts must be made to identify and measure an informal sector.
25.4 There is a large overlap between both concerns.
However, while the NOE and the informal sector overlap, neither is a complete subset of the other.
This can be seen in figure 25.1.
The solid circle represents the non-observed economy and the dotted circle the informal sector.
Thus the overlap consists of activities that are not observed and undertaken informally but there are some activities that are not observed but are not undertaken informally and some that are undertaken informally but are observed.
The relative size of the three segments in figure 25.1 will vary from country to country.
25.5 Efforts to cover the NOE ensure that all enterprises are covered in statistical estimates even if not covered by statistical enquiries.
Some of the supplementary estimates may well relate to those activities of household unincorporated enterprises considered to be informal (in this chapter called informal enterprises) but some will relate to large enterprises, not regarded as informal.
In addition, the NOE aims to cover misreporting in large enterprises, whether this is inadvertent or deliberate.
The NOE thus covers some activity by informal enterprises but also information for some formal enterprises.
25.6 Within the informal sector, some information may be captured statistically.
Consider a household that lets rooms to visitors for one or several nights.
The activity cannot be treated as a quasi-corporation because it is impossible to make a clear separation of costs from regular household costs and to partition that fraction of the house treated as an asset associated with the letting of rooms from its main function as a family home.
However, the value of the letting activity may be captured in a survey directed at tourism activities, for example.
25.7 Other examples might be considered.
Street traders or taxidrivers may be both not observed and informal.
A vehicle repair shop with 5-10 employees may be formal but too small to be covered by statistical enquiries and therefore not observed.
Teaching assistants may be informal but observed.
The situation is complicated by the fact that street traders, taxi drivers, vehicle repair shops and teaching assistants may be formal in some countries and informal in others, just as they may be observed in some and not in others.
Figure 25.1: The non-observed economy and the informal sector
25.8 It should be noted that all countries have both non-observed parts of their economies and informal enterprises though the scale of each and the policy interest in identifying the latter may vary.
25.9 Production in the informal economy appears in different ways in different countries.
When the motivation is a pure survival strategy or a desire for flexible work arrangements, it is likely to be encouraged.
However, when the motivation is to avoid taxes and regulations, or to engage in illegal activities, efforts are likely to be made to curtail these.
Most kinds of production activities may be undertaken by an informal unit.
These units may operate without a fixed location, or in homes, small shops or workshops.
The activities covered range from street vending, shoe shining and other activities that require little or no capital and skills to activities that involve a certain amount of investment or level of expertise such as tailoring, car repair and professional services.
Many informal enterprises are operated by an individual working alone, as a self-employed entrepreneur (own-account worker), or with the help of unpaid family members, while other informal unincorporated enterprises may engage paid workers.
25.10 The size and significance of production undertaken by informal enterprises depends on the social structures, national and local economic regulations, and enforcement efforts of a given country.
The level of policy interest varies from country to country depending on the type of activity and magnitude of it. The size, registration and other characteristics of the production units involved are key variables in determining whether to encourage or discourage certain modes of production or enlarge the scope of the formal economy by recognizing units operating below previous thresholds.
Specific social support and assistance programmes may be designed and monitored to see how far they support goals such as increased production, job creation and security, poverty reduction and the empowerment of women.
25.11 Section B looks at the characteristics of production units to try to identify the characteristics significant for the non-observed economy, the informal sector or both.
25.12 In the context of compiling national accounts, much attention focuses on the non-observed economy.
This topic is addressed briefly in section C.
25.13 The International Labour Organization (ILO), in adopting a resolution of the International Conference of Labour Statisticians (ICLS), has been instrumental in establishing a concept of an informal sector to identify a set of production units within the SNA households sector that are particularly relevant for policy analysis and formulation, especially in many developing countries and countries in transition.
This work addresses the question of how the market economy is penetrating areas outside the formal parts of the economy.
This topic is addressed in sections D and E.
25.14 The ILO work is pragmatic in realizing that it is very difficult to establish a definition of the informal sector that is strictly comparable across countries given the difference in the structure of micro and small enterprises, the national legislation covering registration of enterprises and the labour laws.
An Expert Group on Informal Sector Statistics (known as the Delhi Group) was set up in 1997 to address, among other issues, both the conceptual and operational aspects of the ILO definition.
Work of the Delhi Group is reported in section F.
25.15 Section G discusses the borderline of units that might be regarded as informal but in practice are not recorded in the households sector, as well as some activities in the households sector that are not regarded as informal.
It goes on to indicate how data matching the concepts of the informal sector may be derived from the SNA accounts.
25.16 Section H complements this by discussing some approaches relating to collecting data on activities undertaken by informal enterprises and on informal employment.
25.17 The interest in the informal sector has led to the production of a number of handbooks and studies of current practices.
It is impossible to report these in depth in this chapter but section I gives a brief description of some of these and indicates where they may be consulted.
25.18 As noted in the introduction, it is not straightforward to define what is meant by the adjective “informal”. Is the description one of the nature of activities, the way in which they are carried out, or the way in which they are captured in statistical enquiries? In order to try to formulate a precise delineation of what is the subject of interest, a number of potential characteristics can be listed of what characteristics the word “informal” might be intended to convey.
Although different commentators place more emphasis on some criteria and some on others, there is broad agreement that no single criterion on its own is sufficient to determine what is meant by informal; several criteria must be considered.
25.19 Two questions need to be kept in mind when considering each possible criterion:
a. is this really central to the definition of activity undertaken by a unit considered to be an informal enterprise, and
b. is it the basis for reaching a definition that will yield internationally comparable results?
25.20 Registration.
One interpretation of what is informal is whatever is not registered with some arm of government.
The problems with this criterion are obvious.
Different countries have different practices on registration.
Some may insist that all activities, however small and casual, should be registered; others may be more pragmatic and require activities to be registered only when their turnover exceeds a given amount or when the number of employees exceeds a given number.
Further, whatever the official requirements for registration, the degree of compliance with the requirements will vary according to the extent to which they are enforced in practice.
A definition of the informal sector based on registration is therefore not going to give international comparability or, possibly, comparability over time within a country if the requirements for registration or degree of compliance with the requirements vary.
25.21 Legal incorporation.
Closely related to the characteristic of registration is one of legal incorporation.
It is the case that all legally incorporated enterprises are treated in the SNA as falling into one of the corporations sectors but these sectors also include quasi-corporations.
A quasi-corporation is defined in the SNA as a unit where either a full set of accounts, including the balance sheet, is available or can be drawn up. In this way some units that the owners choose not to incorporate (in many cases quite legitimately) are treated in the SNA as if they are incorporated but having a full set of accounts is a fairly stringent requirement.
Some units may have very detailed information about their production activities but not about other accounts.
Thus they cannot be treated as quasi-corporations and excluded from the households sector despite appearing to be “formal” in terms of the nature of their activity.
Examples where this may happen include doctors, lawyers, engineering consultants and many other professions.
In addition to the statistical restriction on treating production activities as if they are undertaken by incorporated units, laws requiring or permitting incorporation vary from country to country thus limiting international comparability.
25.22 Size.
Faced with this variation of statistical and administrative practices, one possibility for identifying informal enterprises might be to rely simply on the size of the enterprise, defined either in terms of turnover or number of employees.
The problem with turnover is again the potential variability across countries and over time.
Using a maximum number of employees to identify informal enterprises would result in some units with full accounts, and thus allocated to the corporations sectors, being identified as informal and some units in the households sector without a full set of accounts as formal.
25.23 Covered by statistical surveys.
The coverage of statistical surveys, particularly establishment surveys, varies considerably from country to country and also from industry to industry within a country.
Often small-scale enterprises are excluded because the statistical office considers the cost of collecting information from such units is too expensive considering the proportion of output they account for and the potential for inaccuracies in the reported data.
However, there may be a “grossing up” procedure to allow for the non-coverage of the smaller units.
In such a case, the production activities of these units are likely to appear attributed to the corporations sectors even though strict conformity with SNA guidelines would place these in the households sector.
25.24 Borderline of activity.
In chapter 6 there is discussion of the production boundary of the SNA.
As noted there, some activities that are economic in nature are excluded from the production boundary, specifically services produced by households for their own consumption other than the services provided by owner-occupied housing and services provided by paid domestic staff.
While there is interest in measuring these activities for some forms of analysis, there is agreement that in measuring activity undertaken by informal enterprises the boundary of production in the SNA should be taken as appropriate.
However, the services from owner-occupied dwellings are excluded.
25.25 Illegal activity. Chapter 6 makes clear that, in principle, the fact that an activity may be illegal is not a reason to exclude it from the production boundary.
In some countries, the difficulties of capturing illegal activities may mean that they are either not well covered or deliberately ignored on pragmatic grounds.
However, for some countries ignoring the production of drugs, for instance, would seriously underestimate the overall level of economic activity.
In general, as discussed further in section C, some illegal activity may be included in the SNA, if only indirectly, and so complete exclusion is impracticable in any case.
25.26 Location.
Some analysts may be interested mainly in the development of informal enterprises in urban areas, particularly in so-called shanty towns on the outskirts of large conurbations.
While the policy implications of such an approach can be appreciated, the role of the informal economy in areas outside the main urban areas is also important and for international comparability, and for comparison over time when internal migration is significant, restricting coverage by location is undesirable.
25.27 The terms of employment.
Some employees have terms of employment that entitle them to various benefits in addition to their wages and salaries.
These benefits typically include paid annual and sick leave and pension entitlement.
Even production units offering such terms to some of their workers may also employ people on less generous terms offering no benefits beyond wages and salaries.
People who work on their own account (the self-employed) may do so to provide some supplementary income, may do so because they are unable to obtain a job with benefits or may simply choose to do so for a number of reasons, including the flexibility of choosing what they do, for whom and for how long.
Many of the latter may work under terms that offer not employment as such but a service contract.
25.28 At the time the 1993 revision of the SNA started, it was assumed that identifying an informal sector was mainly a problem for developing countries.
However, even by the time that revision was complete, it was obvious that the problem affected all economies, whatever their state of development.
Within the EU, the need to ensure strict comparability of coverage of the national accounts among member states led to a series of initiatives to ensure the accounts were “exhaustive” (that is, fully comprehensive).
Also in the early 1990s as countries in Central and Eastern Europe made the transition to market economies, the need to cover activities outside the scope of previous reporting methods, whether undertaken within formal units or in informal enterprises, became pressing.
25.29 The extent of economic activity missing from statistical data collections and from administrative sources became known as the “non-observed economy”. In some countries, the emphasis has been placed not on identifying the nonobserved economy as such but simply ensuring that the accounts are fully comprehensive (“exhaustive”), but it is easiest to describe factors affecting exhaustiveness through the notion of the non-observed economy.
25.30 As explained in the introduction, the non-observed economy overlaps with, but is not the same as, the informal sector.
As well as attempting to cover activities slipping under the net of statistical collection (sometimes called the “underground” or “hidden” economy), attention was paid to ensuring that reported information was both complete and accurate.
25.31 As noted in chapter 6, the fact that some activities are illegal in themselves or may be carried out illegally does not exclude them from the production boundary.
Exercises to measure the non-observed economy should also, in principle, cover such illegal activity.
How far this is pursued in practice will depend on assessments of the importance of illegal activities, how it might be done and the resources available.
25.32 Trying to assess the additions to be made to the national accounts for the non-observed economy is not just a question of examining the comprehensiveness and accuracy of statistical enquiries.
The process of assembling a set of national accounts, especially when the supply and use framework is used, already casts light on missing information and helps improve the estimates overall.
Consider the case of some types of illegal activities.
Because avoiding taxes is illegal and tax collection may be pursued more vigorously than statistical reporting, a prostitute may report her (or his) earnings more or less accurately but describe her activity as modelling, acting or any number of other ways.
Similarly, while smugglers of cigarettes may not report their activities, the fact that households purchase the cigarettes may be much better documented and thus implicitly the illegal imports are captured in the accounts.
25.33 It has been argued that a completely balanced set of supply and use tables is unlikely to omit any significant activity.
While it is possible that something may be omitted, if the tables are to balance, there must be exactly matching omissions in other aspects of the accounts, which is not very likely.
However, while the act of balancing the tables may in effect estimate some non-observed activity, it may not be sufficient to capture all of it.
25.34 It should be noted that, again as pointed out in the introduction, concern about the non-observed economy does not lead to a separable measure of it. The example of using the balancing of supply and use tables as a means of ensuring exhaustiveness is an illustration of why this may not be possible.
25.35 Measures of the non-observed economy will overlap with activities undertaken informally but not exactly match them.
Elements not observed will include estimates for informal enterprises not covered in statistical enquiries and corrections to some measures of informal enterprises that are captured in statistical enquiries.
However, estimates for informal enterprises that are covered in statistical enquiries and are judged to be accurate will be excluded.
Nevertheless, many of the techniques used to estimate aspects of the non-observed economy, as described in the manual Measurement of the Non-Observed Economy: a Handbook are useful for measuring the informal enterprises also.
25.36 A major focus of this chapter is to present a concept of an “informal sector” as a subset of household unincorporated enterprises.
This is the characterization of the informal sector in the resolution of the 15th ICLS on statistics of employment in the informal sector, which described in detail the definitions used by the ILO, as follows:
(1) The informal sector may be broadly characterized as consisting of units engaged in the production of goods or services with the primary objective of generating employment and incomes to the persons concerned.
These units typically operate at a low level of organization, with little or no division between labour and capital as factors of production and on a small scale.
Labour relations - where they exist - are based mostly on casual employment, kinship or personal and social relations rather than contractual arrangements with formal guarantees.
(2) Production units of the informal sector have the characteristic features of household enterprises.
The fixed and other assets used do not belong to the production units as such but to their owners.
The units as such cannot engage in transactions or enter into contracts with other units, nor incur liabilities, on their own behalf.
The owners have to raise the necessary finance at their own risk and are personally liable, without limit, for any debts or obligations incurred in the production process.
Expenditure for production is often indistinguishable from household expenditure.
Similarly, capital goods such as buildings or vehicles may be used indistinguishably for business and household purposes.
25.37 Although the expression “informal sector” is used in the context of the ILO work, the word sector is used with a different meaning from the SNA sense of a grouping of institutional units.
The ILO work focuses only on production activities and does not include the consumption and accumulation activities of the unit.
25.38 In the SNA, household enterprises do not constitute separate legal entities independently of the household members who own them.
Fixed capital used in production may also be used for other purposes, for example the premises where the activity is carried out may also be the family home or a vehicle may be used to transport items produced within the household as well as for normal household transport.
The items do not belong to the enterprise as such but to the household members.
As a result, it may be impossible to compile a complete set of accounts for the household productive activities including the assets, both financial and non-financial, attributable to those activities.
It is for this reason, the lack of complete accounts, that the production activity remains within the households sector as an unincorporated enterprise rather than being treated as a quasi-corporation in one of the corporations sectors.
25.39 The ILO concept of the informal sector takes household unincorporated enterprises and further subdivides them into three; one part forming the informal sector, a second part being units treated as formal, because of the numbers of employees or registration, the third part being referred to simply as households.
(A note on the different uses of terms such as sector and households follows at the end of this section.)
25.40 The subset of household enterprises treated as belonging to the informal sector have economic objectives, behaviour and a form of organization that sets them apart from other unincorporated enterprises.
Specifically, the informal sector is defined according to the types of production the enterprise undertakes, still maintaining the production boundary of the SNA and not extending it to include ownuse household services, for example.
25.41 The first restriction is that at least some of the production must be sold or bartered.
Thus some household enterprises that the SNA treats as producing “for own final use” because most of their production is so used are included but those that produce exclusively for own final use are excluded.
It follows that the activity of dwelling services produced purely for owner-occupation is thus excluded from the informal sector.
25.42 In addition, the coverage of the informal sector is restricted by using additional criteria of numbers of employees or registration.
The minimum number of employees chosen is left to the country to decide based on national circumstances.
Only those not registered under specific forms of national legislation (such as commercial laws, tax and social security laws and regulatory laws) should be treated as informal.
25.43 The exclusion of units from the informal sector varies from country to country, depending on the conditions for registration or the minimum number of employees chosen to determine which units are treated as formal.
However, the ILO concept of the informal sector is always a subset of household unincorporated enterprises operating within the production boundary of the SNA.
Figure 25.2: Identifying units in the ILO informal sector
| General government | Non-financial and financial corporations | Households | NPISHs | ||
| Households containing an unincorporated enterprise that is registered or has more than a given number of employees | Informal sector enterprises (a) without employees "informal own-account enterprises" (b) with employees "enterprises of informal employers" |
Institutional households, households with no unincorporated enterprises, households only undertaking production for own final use (including owner occupation of dwellings) | |||
25.44 These units are divided into the following two subsets:
a. Unincorporated enterprises without employees.
The ILO term for such units is “informal own-account enterprises”,
b. Unincorporated enterprises with employees.
The ILO term for such units is “enterprises of informal employers”.
25.45 With these additional criteria, the production unit in the informal sector is defined as a household enterprise with at least some production for sale or barter for which one or more of the criteria of a limited size of employment, the non-registration of the enterprise or its employees are met.
The delineation of this set of units in terms of the SNA sectors is shown in figure 25.2.
25.46 Apart from defining the informal sector, the 15th ICLS recommended the following additional considerations about the scope of the informal sector and its statistical treatment.
a. In principle, all goods and services producing activities are within scope.
These might be presented according to the alternative aggregation recommended for the analysis of the activities of the informal sector in ISIC Rev. 4.
This alternative presentation takes into account that some economic activities such as public administration and defence (ISIC 84) are undertaken by units in general government and so cannot qualify as informal sector activities.
However, the ICLS recommends that:
· agricultural activities (ISIC section A) are measured separately from other economic activities to ensure international comparability and to facilitate the selection and application of appropriate statistical data collection tools and sample design.
(Units undertaking only subsistence activity are already excluded as they do not sell any of their output.)
· activities of households as employers of domestic personnel (ISIC 97) with households being producers for own final use are outside the scope of the informal sector.
b. Geographical coverage includes both urban and rural areas even if preference may be given initially to informal enterprises operating in urban areas.
c. Outworkers are included if the units for which they work as self-employed persons or as employees are included in the informal sector.
25.47 The term “sector” in the expression “informal sector” does not have the same basis as the usual use of the word sector throughout the SNA.
In the SNA, sectors are made up of complete institutional units; in the context of the informal sector only the productive activities are concerned.
Thus, for example and importantly, households having no productive activity are simply not considered in the steps to identify those unincorporated enterprises operated by households that are to be included in the informal sector.
25.48 In the SNA, a corporation represents a single enterprise but each such enterprise may consist of a number of establishments.
A key difference between an enterprise and an establishment is that a full set of accounts must exist, or could be constructed, for an enterprise but for an establishment a much more restricted set of data is available, typically only information relating to production, number of employees and the capital formation associated with the activity.
25.49 Within a household many different production activities may take place.
For none of these individually nor for the total of all activities that cannot be treated as quasi-corporations does a complete set of accounts exist.
The SNA usage of “unincorporated enterprise” is taken to mean the totality of all unincorporated activity undertaken by a household even though in a supply and use table, for example, this may be partitioned by types of activity and be grouped with establishments of corporations undertaking the same activity.
25.50 The use of unincorporated enterprise in the ILO description of the informal sector does not correspond to the totality of unincorporated activity of a household but to each activity separately.
In SNA terms, the unincorporated enterprise is broken down into a number of unincorporated establishments, some of which may be included in the informal sector and some excluded, even for the same household.
Further, the ILO identifies individual members of a household as owning each establishment/enterprise and capable of employing workers.
In the SNA, it is the household collectively that is responsible for all activity and for employing workers.
25.51 The SNA subdivides production into market production, production for own final use and non-market production.
Non-market production is not at issue here, since it is never undertaken by households.
However, to meet the ILO guidelines it is necessary to subdivide producers for own final use into those where some of the production is for sale or barter and those where the production is exclusively for own final use.
In the case of unincorporated enterprises where only some of the production is sold or bartered, all of the production of the unit of those goods and services is still included in production by the informal sector.
25.52 The SNA does not use the expression formal sector but it is not difficult to conceive of all units in the corporations sectors, general government and NPISHs as being part of a formal sector as far as production is concerned.
Quasi-corporations are included because they are included in the corporations sectors.
However, this is not the same as saying that any unit that is not informal is formal, since households with unincorporated enterprises not included in the informal sector are divided between those that are treated as formal (because of size or registration) and the rest that are not treated as informal but are left simply in a group called households.
25.53 The ILO meaning of households is thus quite different from that of the SNA since the SNA includes all the units included under ILO guidelines as informal, plus those units with unincorporated enterprises treated as formal, plus those unincorporated enterprises excluded because they produce exclusively for own final use, plus those households with no unincorporated enterprises plus institutional households.
25.54 Increasingly it has been realized that production alone is not the only aspect of the economy where a distinction between formal and informal is informative, it is also relevant for employment.
25.55 The ILO defines formal wage employment as employment under terms that bring associated benefits such as paid leave and pension entitlement.
The ILO regards all other forms of employment, including self-employment, as informal.
25.56 As noted in section B, it is possible for formal units to have informal employees and it is also possible (though less likely) that units that are classed as informal may have terms of employment for some of their workers that make them formal employees.
The extent of informal employment can be seen in the shaded part of figure 25.3.
25.57 As explained in chapter 19, there is a distinction between a job and an employee, one employee being capable of holding several jobs.
There are five categories of jobs considered by the ILO.
These are:
a. own-account workers (the self-employed in SNA terms),
b. heads of unincorporated enterprises with employees, treated as employers,
c. unpaid family workers contributing labour to the unincorporated enterprise,
d. employees,
e. members of producers' cooperatives.
25.58 Formal enterprises provide informal jobs only as employees or contributing family workers.
Informal enterprises may offer any of the five types of informal jobs and also formal jobs.
Households (in the ILO sense) provide informal jobs as own-account workers, employees and family workers.
Some domestic staff may have formal jobs.
Figure 25.3: Informal employment and employment in the informal sector
25.59 As well as informal employment in total, it is useful to identify the extent of employment in informal enterprises.
This excludes informal jobs in formal units, excludes any informal jobs in other household unincorporated enterprises and includes formal jobs in informal enterprises.
The ICLS defines the population employed in the informal sector as comprising all persons who, during a given reference period, were employed in at least one informal sector unit, irrespective of their status in employment and whether it was their main or a secondary job.
The coverage of employment in the informal sector is indicated by the heavy border in figure 25.3.
25.60 In 1997 an expert group on informal sector statistics was set up by the United Nations Statistical Commission as a “city group” and is known as the Delhi Group.
One of its objectives was to try to identify internationally comparable data for the informal sector or, at least, a common subset of it.
25.61 The third meeting of the Delhi Group in 1999 proposed a subset of the informal sector that could be defined uniformly across countries, though this subset presently covers only a relatively small part of the informal sector.
These recommendations are as follows:
a. All countries should use the criteria of legal organization (unincorporated enterprises), of type of accounts (no complete set of accounts) and of product destination (at least some market output).
b. Specification of the employment size limit of the enterprise in the national definition of the informal sector is left to the country's discretion.
For international reporting, however, countries should provide figures separately for enterprises with less than five employees.
In the case of multiple-establishment enterprises, the size limit should apply to the largest establishment.
c. Countries using the employment size criterion should provide disaggregated figures for enterprises that are not registered, as well as for enterprises that are registered.
d. Countries using the criterion of non-registration should provide disaggregated figures for enterprises with less than five employees as well as for enterprises with five and more employees.
e. Countries that include agricultural activities should provide figures separately for agricultural and non-agricultural activities.
f. Countries should include persons engaged in professional or technical activities if they meet the criteria of the informal sector definition.
g. Countries should include paid domestic services unless these are provided by employees of the household where the services are rendered.
h. Countries should follow paragraph 18 of the Resolution adopted by the 15th ICLS regarding the treatment of outworkers/home-workers.
Countries should provide figures separately for outworkers/home-workers included in the informal sector.
i. Countries covering urban as well as rural areas should provide figures separately for both urban and rural areas.
j. Countries using household surveys or mixed surveys should make an effort to cover not only persons whose main job is in the informal sector, but also those whose main job is in another sector and who have a secondary activity in the informal sector.
25.62 Subsequent work of the Delhi Group examined many studies on national practices in the collection of data on the informal sector to lead up to the provision of a manual on the informal sector and informal employment to be published by the ILO.
25.63 In trying to identify activities undertaken by informal enterprises within the national accounts, three steps are necessary.
The first is to identify those unincorporated enterprises within the whole of the SNA households sector that are candidates to be included.
The second is to consider national practices in establishing the households sector to see if any adjustment to the first step is necessary.
The third step is to provide a breakdown by type of activity so that common exclusions according to type of activity can be made.
25.64 The households sector includes some institutional units that should be excluded at the outset.
These are:
a. Institutional households such as prisons, religious orders and retirement homes;
b. Households with no production activity (that is do not include an unincorporated enterprise);
c. Households whose only activity is the production of services from owner-occupied dwellings, the production of services by employing domestic staff, or both.
25.65 The remaining households all contain some production activity.
However, it will include both market production and production for own final use.
The ILO guidelines on that part of household activity to be regarded as informal include a concept of market production that does not conform to the SNA category.
The ILO treats an enterprise as a market producer if any of the output is sold whereas the SNA requires that most or all of the output be sold.
To overcome this difference, it is recommended that a three-way split of production be made:
a. market production according to the SNA criterion whereby most or all output is sold,
b. output for own final use where some is sold, and
c. output exclusively for own final use.
The sum of the first two categories then accords with the ILO guidelines for inclusion in the informal sector as market producers though only the first is so regarded in SNA terms.
25.66 The ILO also distinguishes households between those that do not have workers employed on a continuous basis and those that do, as follows:
a. Unincorporated enterprises without employees on a continuing basis,
b. Unincorporated enterprises with employees on a continuing basis.
This categorization is combined with the preceding one as indicated in figure 25.4.
25.67 Although the SNA recommends separating NPISHs into a sector separate from households, not all countries do this.
If they are not already separated from households, they should be removed at this stage.
25.68 Production units that are not formally incorporated but have complete accounts should be treated as quasicorporations and excluded from the households sector.
If this is not national practice, a further adjustment is necessary to remove them.
25.69 The SNA also recommends that small enterprises without complete sets of accounts should be included in the households sector as unincorporated enterprises.
Some countries, however, prepare production estimates by type of activity for inclusion in a supply and use framework without regard to whether a full set of accounts exists.
By default, all may be included in the corporations sectors with little production remaining in the households sector apart from the imputed services of owner-occupied dwellings and the services provided by paid domestic staff.
It is therefore recommended that estimates for unregistered enterprises with less than five employees be extracted from the figures for the corporations sector to set alongside the figures from the households sector.
Similarly any enterprises that are unincorporated but registered should be separately identified.
25.70 Figure 25.4 demonstrates how the potential units for treatment according to the ILO definition of the informal sector relate to the institutional sectors of the SNA.
The light shading under corporations indicates that in principle any enterprise that is not registered and has fewer than a given number of employees should be identified if it has been included in corporations.
In practice, it may not be possible to separate those that are registered from those that are not.
25.71 The third step is to disaggregate the production activities from households, grouped as suggested above, and those extracted from the corporations sectors for small-scale activities according to the type of activity concerned.
Because the separation is initially in terms of units and not activities, there will still be some services from owner-occupied dwellings included and these should be eliminated.
If a cross-classification by activity and type of unit is available, a choice can be made about whether to include or exclude an activity where the output is exclusively for own use even when another activity by the same unit includes sales outside the households.
Figure 25.4: Identifying units for the ILO informal sector from within the SNA institutional sectors
25.72 Some further exclusions may also be made, for example services provided by paid domestic staff and agricultural production.
25.73 The problem remains about how to treat individuals such as the doctors and other professionals discussed earlier where information about their production is available but not a full set of accounts.
They thus still represent unincorporated enterprises and are not excluded from the informal sector by reason of registration or number of employees but are not usually thought of as characteristic of part of the informal sector.
25.74 The Delhi group recognizes that such individuals will be part of the informal sector.
However, if it is desired either to identify them as a subset or even to exclude them entirely from the informal sector, it is possible that some rules of thumb may be conceived to do so. For example depending on the type of activity, the rates of pay or the duration of the task, but objections to any of these are easy to formulate and implementation would be extremely difficult.
25.75 The information relating to activities undertaken informally extends only as far as the production and generation of income account.
It is not possible to go farther in the sequence of accounts because of the impossibility of identifying which other income flows, consumption and capital formation relate only to the activity in question rather than to the household to which they belong as a full institutional unit.
Thus the informal sector, as explained previously, is not strictly a sector in the SNA sense and so the figures for it cannot be presented in terms of the full sequence of accounts.
However, it is recommended that where possible two supplementary tables should be prepared, one covering production and the generation of income and one covering employment.
25.76 It is suggested that the following type of information be provided for each of the shaded areas in table 25.4:
a. Production
· of which for own use
b. Intermediate consumption
c. Value added
d. Compensation of employees (for unincorporated enterprises with employees only)
e. Gross mixed income
f. Consumption of fixed capital
g. Net mixed income.
25.77 Further information may also be useful if available.
For example, a breakdown of production by type of activity and, possibly, the proportion of the total production in the industry produced by informal enterprises.
25.78 In countries where some small units that might be considered part of the informal sector are covered by establishment surveys and included in the corporations sector, there may be units of interest in the lightly shaded cell in table 25.4.
If this is so, and if separate estimates for them can be identified, it would be useful to show these alongside the entries for those units clearly within the households sector.
25.79 Information on the number of jobs should be presented showing:
a. Employment in the informal sector
· Formal jobs
· Informal jobs
b. Informal employment outside the informal sector · In the formal sector · In other household unincorporated enterprises.
25.80 If possible, information on the hours worked in each of these categories would be useful.
25.81 It is neither possible nor appropriate to give detailed information in the SNA on survey methodology and questionnaire design.
However, it is useful for national accountants to be aware of some of the options that may be available to help in collecting data on production in informal enterprises.
More detailed discussion is available in, for example, the manual on Measuring the Non-Observed Economy.
25.82 The choice of the appropriate method for measuring the informal sector depends upon how adequately established data collection methods cover the activities of interest.
Three main measurement approaches are considered here.
The choice between them will depend upon what information is missing from existing collections, the organization of statistical systems, the resources available and user needs.
25.83 A household survey (or labour force survey) may provide a means to collect information on production by household enterprises that are not included in the sampling frames used for establishment surveys.
It may also be possible to collect data on informal sector employment in household or labour force surveys.
Questions seeking this sort of information could be addressed to everyone in the sampled households during the reference period of the survey, irrespective of their status in employment and in respect of their main and secondary jobs since in many countries a large number of informal sector activities are undertaken as secondary jobs.
Special questions may be required to identify unpaid work in small family enterprises, activities undertaken by women and children, activities undertaken away from home, undeclared activities and informal sector businesses conducted as secondary jobs.
The success of such an approach is dependent on the survey sample including representative geographical areas where household activities take place and informal sector workers live.
25.84 It should be borne in mind, though, that although employees, contributing family workers and proxy respondents may be engaged in household and informal enterprises, they may have limited knowledge of the operations of the enterprises in question and may not be able to respond to such questions.
25.85 In most cases, an establishment survey can be used to measure activity undertaken by an informal enterprise only when a household establishment survey is carried out just after an economic or establishment census because the sampling frame may not include information, or not up-todate information on household enterprises.
25.86 Even when an establishment survey is used to measure household production units including those of the informal sector, it should be noted that production units without a fixed location or with unrecognizable business premises are easily omitted in the collection.
In addition, double counting of household production may occur if the collections for different types of economic activity are undertaken at different times rather than simultaneously in an integrated design.
For example, the manufacturing activity of a household producing goods in a small workshop or at home may be included in one collection round while the retail sales activity undertaken by the same family of those produced goods is measured in another round.
25.87 One type of mixed household-enterprise survey is designed with enterprise modules attached to existing labour force or other household surveys.
Such a survey could cover all household entrepreneurs of the sampled households including informal entrepreneurs (including units operating without fixed premises such as mobile units) and their activities, irrespective of the size of the enterprises, the kind of activity and the type of workplace used and of whether the activities are undertaken as main or secondary jobs.
25.88 Another type of survey, described as a modified mixed household-enterprise survey, is described in International Recommendations on Industrial Statistics, (United Nations, 2008).
25.89 When a mixed household-enterprise survey is used as the preferred method, attention should be paid to the question of whether the sample adequately reflects the geographical distribution of economic activities of household production.
It is also necessary to consider how enterprises with production units in more than one location are handled and how duplication of coverage for enterprises that are operated under partnerships may be avoided if the same enterprise is reported by each of its partners who may belong to different households.
25.90 Since the publication of the 1993 SNA, significant advances in methodology have taken place in fields related to the informal economy.
Also, countries have gained extensive experience in collecting and working with data on the informal sector.
These developments, which are highlighted below, suggest that there is a body of work to be taken into account in updating the treatment of the informal sector in the SNA.
· The proceedings and papers of the meetings of the in methodology have taken place in fields related to the Delhi Group on Informal Sector Statistics, beginning in informal economy.
Also, countries have gained extensive 1997, contain the results of extensive conceptual and experience in collecting and working with data on the analytical work, including country practices in the area informal sector.
These developments, which are of the informal sector.
Various papers of the Expert highlighted below, suggest that there is a body of work to Group on Informal Sector Statistics (Delhi Group), are be taken into account in updating the treatment of the can be accessed at http://www.mospi.nic.in/mospi_informal_sector.htm.
· The handbook Household Accounting: Experience in Concepts and Compilation, Volume 1: Households Accounts (United Nations, 2000), the product of a 1997 expert group, contains papers on various aspects of the treatment and measurement of the informal sector.
The chapter “The informal sector as part of the households sector” is of particular interest.
· The results of the work started by Eurostat in the mid1990s and carried out through its Task Force for Accuracy Assessment of Basic Data in European Union member countries and the related pilot tests conducted in candidate countries revealed the extent of exhaustiveness adjustments and their implications for the value of the GDP.
· Research on statistical methods for improving the exhaustiveness of measures of economic production lead to the preparation of the handbook Measuring the Non-Observed Economy -a Handbook.
The handbook's chapter on informal sector production provides a core definition, clarifies the distinctions between informal sector production and concepts with which it is often confused, and outlines the main methods for measurement.
· The UNECE published a Guidebook to Statistics of the Hidden Economy (United Nations Economic Commission for Europe, 1992) and has since carried out three surveys of country practices and published the results.
The first was in respect of 1991 and covered nine countries.
The results were published as an Inventory of National Practices in Estimating Hidden and Informal Activities for National Accounts in 1993. The second survey was in respect of 2001/2 and covered 29 countries.
The third survey was carried out for 2005/6 and 45 countries responded.
Both the second and third surveys asked for estimates of the size of the non-observed economy as well as elaborating on the methods used.
The results of the two surveys are summarized in two editions of Non-observed Economy in National Accounts - Survey of Country Practices (United Nations Economic Commission for Europe, 2003 and 2008, respectively).
· There are many ILO documents that elaborate the concepts of informal sector and informal employment.
These include the Resolution concerning Statistics of Employment in the Informal Sector, (International Labour Office, 1993) adopted by the 15th ICLS and Guidelines Concerning a Statistical Definition of Informal Employment (International Labour Office, 2003) adopted by the 17th ICLS.
Other useful information can be found in ILO Compendium of Official Statistics on Employment in the Informal Sector (Hussmanns and du Jeu, 2002), Women and Men in the Informal Economy: A Statistical Picture.
(International Labour Office, 2002), Measuring the Informal Economy: From Employment in the Informal Sector to Informal Employment.
(Hussmanns, 2004), Measurement of Informal Employment: Recent International Standards, (Hussmanns, 2005)
· Over the decade, a number of workshops with a focus on the informal sector were held, organized singly or jointly by United Nations Statistics Division, the regional commissions, ILO, and others.
The most recent of these were the OECD/UNESCAP/ADB Workshop on Assessing and Improving Statistical Quality: Measuring the Non-observed Economy, held in Bangkok in May 2004 and the Workshop on Household Surveys and the Measurement of the Labour Force with focus on the Informal Economy held for Southern African Development Community countries in Maseru, Lesotho in April 2008.
26.1 This chapter is about the relationship between the rest of the world sector in the SNA and the international accounts as described in BPM6.
It shows that the two manuals use the same macroeconomic framework, with the international accounts providing additional detail on aspects of particular relevance in international transactions or positions.
26.2 In the SNA, transactions between a resident unit and the rest of the world are recorded as if the units in the rest of the world were another sector of the economy.
The production and generation of income accounts relate only to transactions within the national economy but flows in all other accounts potentially have an entry for the rest of the world.
These entries are necessary to balance each row of the sequence of accounts but they do not enter the aggregate balancing items.
For example, the difference between GDP and GNI derives from transactions for both uses and resources recorded in the allocation of primary income account where the counter-party is a unit in the rest of the world.
If the counter-party entries for the rest of the world were also included, there would be no difference between the balancing items.
26.3 Because the rest of the world account is shown in this way, flows to the rest of the world are shown as a use by the rest of the world and flows from the rest of the world as resources.
For example, exports are shown as uses of the rest of the world and imports as resources from the rest of the world.
Entries for imports and exports form part of the goods and services account in the SNA sequence of accounts.
26.4 As well as entries for imports, exports and the items appearing in the allocation of primary income account, there are potential transactions with the rest of the world to be recorded for all entries in the secondary distribution of income account and for the adjustment item for the net change in pension liabilities appearing in the use of income account.
26.5 There are no entries for the rest of the world account for intermediate or final consumption (or for fixed capital formation) because the use made of the goods and services in another economy is not relevant for the national economy; only the total amount exported is.
26.6 Although balancing items are not calculated in the SNA for the rest of the world account for each individual account, two balancing items relevant to the current accounts are important.
The first is the external balance on goods and services, which is the difference between imports and exports.
The second is the current external balance which is the sum of all resources coming from the rest of the world less all uses going to the rest of the world, including imports and exports.
The current external balance thus shows how far residents call on saving by non-residents.
26.7 In the rest of the world capital account, there is no entry for fixed capital formation, as noted above.
It is possible for a transaction to be recorded for a natural resource, for a contract, lease or licence or for goodwill and marketing assets.
By their nature, though, and given that land is almost always acquired by a resident unit, such entries will not be common.
On the other hand, capital transfers to and from the rest of the world may be quite important.
26.8 The financial account and balance sheets detailing transactions in, and stocks of, financial assets and liabilities where one party is non-resident are viewed as a particularly important part of the rest of the world accounts.
Indeed, in BPM6 more text is devoted to these items than to the items in the current accounts.
26.9 In addition, there are possible entries for other changes in the volume of assets and liabilities and revaluation items for both, relevant to the rest of the world account.
26.10 In the description of the rest of the world accounts above, it was noted that exports, for example, are treated as a use by the rest of the world and imports as a resource from the rest of the world.
As its name implies, the rest of the world account is drawn up from the perspective of the rest of the world. BPM6 looks at the same stocks and flows from the point of view of the domestic economy.
Thus the BPM6 entries are the mirror image of the SNA entries relating to the rest of the world.
26.11 Further, in the context of BPM6, stock levels are usually referred to as positions and the balance sheet accounts for all financial assets and liabilities where one party to the arrangement is non-resident is called the international investment position.
26.12 The international accounts for an economy summarize the economic relationships between residents of that economy and the rest of the world.
They comprise:
a. the balance of payments, which summarizes transactions between residents and non-residents during a specific time period;
b. the international investment position (IIP), which shows at a point in time the value of: financial assets of residents of an economy that are claims on nonresidents or are gold bullion held as reserve assets; and the liabilities of residents of an economy to nonresidents; and
c. the other changes in financial assets and liabilities account, a statement that shows other flows, such as valuation changes, which reconcile the balance of payments and IIP for a specific period by showing changes due to economic events other than transactions between residents and non-residents.
These accounts correspond to the transactions, balance sheets and other changes in assets accounts in the SNA, respectively.
Note, though, that what appear as assets in the rest of the world account appear as liabilities in the international accounts and vice versa.
26.13 Section B of the chapter discusses the accounting rules of the international accounts.
These are consistent with the SNA accounting rules and agreement has been reached on when the SNA and when BPM6 takes the lead in defining the rules to be applied in both contexts.
Residence is a case in point where the SNA follows BPM6.
26.14 The structure of the international accounts and their relation to similar SNA accounts is the subject of section C.
26.15 A feature of the financial accounts and IIP of the international accounts is the introduction of functional categories that describe the main purpose of financial investment abroad.
This is the subject of section D.
26.16 Section E touches on some considerations of particular importance to the international accounts; global imbalances, exceptional financing, debt reorganization, currency unions and currency conversions.
26.17 Although the SNA works with a quadruple-entry accounting system, the balance of payments has only a double-entry system.
When a transaction is undertaken between two resident units, four entries are necessary, for example two showing the exchange of a good and two the exchange of a means of payment.
However, when a resident unit carries out a transaction with a non-resident unit, national compilers are unable to verify independently the counterpart entries in the rest of the world.
As a result, although in principle the balance of payments is balanced, in practice, there may be an imbalance due to shortcomings in source data and compilation so that there is a mismatch between financial transactions and their counterparts within the domestic economy.
This imbalance, a usual feature of published balance of payments data, is labelled net errors and omissions.
The balance of payments manuals have traditionally discussed this item, to emphasize that it should be published explicitly, rather than included indistinguishably in other items and that it should be used to indicate possible sources of mismeasurement.
26.18 However, there has been increasing interest in estimates that are derived from counterpart reporting that has better coverage, valuation, etc.
As well, there has been much work done on reconciling data from the view of both parties (for example, exports of one country, with the counterpart imports recorded by the partner country) and global totals.
Counterparty data are also necessary to prepare consolidated data for a currency or economic union from the data of individual member countries.
In effect, all this work is built on the fact that balance of payments statistics effectively become a quadruple-entry system when used at the bilateral or global level.
26.19 Valuation principles are the same in the SNA and the international accounts.
In both cases, market values are used, with nominal values used for some positions in instruments where market prices are not observable.
In the international accounts, the valuation of exports and imports of goods is a special case where a uniform valuation point is used, namely the value at the customs frontier of the exporting economy, that is, the FOB-type valuation (free on board).
This treatment brings about consistent valuation between exporter and importer and provides for a consistent basis for measurement in circumstances where the parties may have a wide range of different contractual arrangements, from “ex-works” at one extreme (where the importer is responsible for arranging all transport and insurance) to “delivered duty paid” at the other (where the exporter is responsible for arranging all transport, insurance and any import duties).
In international transactions, there may be motivations for under- or over-invoicing in order to evade taxes or exchange controls, so BPM6 provides guidance on how to develop market-equivalent prices when these cases are identified, and how to make the necessary adjustments needed to other items affected.
There is further discussion on the recording of imports and exports in chapters 14 and 28.
26.20 Time of recording and ownership principles are the same in the SNA and the international accounts.
In practice, the change of economic ownership of goods is often taken to be when the goods are recorded in customs data.
To the extent that there are differences between customs data and actual changes in ownership, such as for items with large values or goods sent on consignment (that is, dispatched before they are sold), adjustments are made.
26.21 There are no longer any exceptions to the recording basis of the change of economic ownership.
However, there is a different presentation in the case of merchanting; that is, where an owner buys and resells goods in the same condition without the goods passing through the territory of the owner.
In that case, the acquisition of the goods is identified as a change of ownership, but shown as a negative export rather than an import on acquisition of the goods and as a positive export on disposal.
If the goods are acquired in one period and not disposed of until a subsequent period, they will appear in changes in inventories of the merchant even though these inventories are held abroad.
A consequence of this change in treatment is that in the international accounts, merchanting now appears as transactions in goods where previously it was recorded as a transaction in services.
26.22 The principle of recording imports and exports when change of ownership takes place applies also to items such as high-value capital goods where change of ownership is recorded as work is put in place.
(See paragraphs 10.53 and 10.55.)
26.23 The same rules on netting are applied in BPM6 as in the SNA.
In general, netting is not advised except in the special case of recording transactions in financial assets and liabilities.
However, only acquisitions and disposals of the same type of asset (or incurrence and redemption of the same type of liability) are netted.
There is no netting of assets against liabilities, even of the same sort of instrument and no netting across different sorts of instruments.
Greater detail about netting in respect of financial instruments appears in chapter 3 of BPM6, paragraphs 3.109 to 3.121.
26.24 The international accounts and the SNA are built on the same definitions of institutional units and residence.
Because the international accounts focus on economic relationships between residents and non-residents, more elaboration of borderline cases is provided in BPM6.
26.25 The most commonly used concept of economic territory is the area under the effective economic control of a single government.
However, currency or economic unions, regions, or the world as a whole may be used, as they may also be a focus for macroeconomic policy or analysis.
26.26 An economic territory includes the land area including islands, airspace, territorial waters and territorial enclaves in the rest of the world (such as embassies, consulates, military bases, scientific stations, information or immigration offices, that have immunity from the laws of the host territory) physically located in other territories.
Economic territory has the dimensions of physical location as well as legal jurisdiction, so that corporations created under the law of that jurisdiction are part of that economy.
The economic territory also includes special zones, such as free trade zones and offshore financial centres.
These are under the control of the government so are part of the economy, even though different regulatory and tax regimes may apply.
(However, it may also be useful to show separate data for such zones.)
The territory excludes international organizations and enclaves of other governments that are physically located in the territory.
26.27 The concept of an institutional unit is the same in the SNA and BPM6.
Because of the focus on the national economy, there are some special treatments of units in cross-border situations.
As discussed below, in some cases, legal entities are combined into a single institutional unit if they are resident in the same economy, but are not combined if they are resident in different economies.
Similarly, a single legal entity may be split when it has substantial operations in two or more economies.
As a result of these treatments, the residence of the resulting units concerned becomes more clear-cut and the concept of the economic territory is strengthened.
26.28 As discussed in chapter 4, resident artificial subsidiaries and special purpose entities (SPEs) are combined with their owners into single legal entities.
However, a legal entity that is resident in one jurisdiction is never combined with a legal entity resident in another.
As a result, SPEs and other similar corporate structures owned by non-residents are considered to be resident of their territory of incorporation, even though most or all of their owners and most or all of their assets are in another economy.
26.29 Similarly, members of a household must all be resident in the same economy.
If a person resides in a different economy from the other members of a household, that person is not regarded as a member of that household, even though they may share income and expenses, or hold assets together.
26.30 A branch is an unincorporated enterprise that belongs to a non-resident unit, known as the parent.
It is resident and treated as a quasi-corporation.
The identification of branches as separate institutional units requires indications of substantial operations that can be separated from the rest of the entity.
A branch is recognized in the following cases:
a. Either a complete set of accounts, including a balance sheet, exists for the branch, or it is possible and meaningful, from both an economic and legal expenses for a project are shown as being incurred by a viewpoint, to compile these accounts if required.
The quasi-corporation, and are part of direct investment flows availability of separate records indicates that an actual into that unit rather than sales of licences to non-residents, unit exists and makes it practical to prepare statistics. or exports of services, respectively, to the head office.
In addition, one or both of the following factors tend to be present:
b. The branch undertakes or intends to undertake production on a significant scale which is based in a territory other than that of its head office for one year or more:
· if the production process involves physical presence, then the operations should be physically located in that territory;
· if the production does not involve physical presence, such as some cases of banking, insurance, other financial services, ownership of patents, merchanting and “virtual manufacturing”, the operations should be recognized as being in the territory by virtue of the registration or legal domicile of those operations in that territory.
c. The branch is recognized as being subject to the income tax system, if any, of the economy in which it is located even if it may have a tax-exempt status.
26.31 The identification of branches has implications for the statistical reporting of both the parent and branch.
The operations of the branch should be excluded from the institutional unit of its head office and the delineation of parent and branch should be made consistently in both of the affected economies.
A branch may be identified for construction projects or mobile operations such as transport, fishing or consulting.
However, if the operations are not substantial enough to identify a branch, they are treated as an export of goods or services from the head office.
26.32 In some cases, preliminary operations related to a future direct investment project prior to incorporation are sufficient evidence of establishing residence that a quasicorporation is established.
For example, licences and legal expenses for a project are shown as being incurred by a quasi-corporation, and are part of direct investment flows into that unit rather than sales of licences to non-residents, or exports of services, respectively, to the head office.
26.33 When land located in a territory is owned by a non-resident entity, a notional unit that can be treated as resident is identified for statistical purposes as being the owner of the land.
This notional resident unit is a kind of quasicorporation.
The notional resident unit treatment is also applied to associated buildings, structures and other improvements on that land, leases of land for long periods, and ownership of natural resources other than land.
As a result of this treatment, the non-resident is owner of the notional resident unit, rather than owning the land directly, so there is an equity liability to the non-resident, but the land and other natural resources are always assets of the economy in which they are located.
The notional resident unit usually supplies services to its owner, for example accommodation in the case of vacation homes.
26.34 In general, if a non-resident unit has a long-term lease on an immovable asset such as a building, this is associated with it undertaking production in the economy where it is located.
If for any reason there is no associated production activity, a notional resident unit is also created to cover such a lease.
26.35 A few enterprises operate as a seamless operation over more than one economic territory, typically for crossborder activities such as airlines, shipping lines, hydroelectric schemes on border rivers, pipelines, bridges, tunnels and undersea cables.
If possible, separate branches should be identified, but if the entity is run as a single operation with no separate accounts or decision-making for each territory that it operates in, it is not possible to delineate branches.
In such cases, because of the central focus on data for each national economy, it is necessary to split the operations between economies.
The operations should be prorated according to an appropriate enterprisespecific indicator of the proportions of operations in each territory.
The prorating treatment may also be adopted for enterprises in zones subject to joint administration by two or more governments.
Table 26.1: Selected effects of a household's residence status on the statistics of the host economy
26.36 The residence of each institutional unit is the economic territory with which it has the strongest connection, expressed as its centre of predominant economic interest.
An institutional unit is resident in an economic territory when there exists, within the economic territory, some location, dwelling, place of production, or other premises on which or from which the unit engages and intends to continue engaging, either indefinitely or over a finite but long period of time, in economic activities and transactions on a significant scale.
The location need not be fixed so long as it remains within the economic territory.
Actual or intended location for one year or more is used as an operational definition.
While the choice of one year as a specific period is somewhat arbitrary, it is adopted to avoid uncertainty and facilitate international consistency.
Most units have strong connections to only one economy but with globalization, a growing number have strong links to two or more economies.
26.37 A household is resident in the economic territory in which household members maintain or intend to maintain a dwelling or succession of dwellings treated and used by members of the household as their principal dwelling.
If there is uncertainty about which dwelling is the principal dwelling, it is identified from the length of time spent there, rather than other factors such as cost, size, or length of tenure.
Being present for one year or more in a territory or intending to do so is sufficient to qualify as having a principal dwelling there.
The implications of the residence of a household for the recording of its flows and stocks are summarized in table 26.1.
26.38 In addition to the general principles, additional guidance in determining the residence of households is given in the following specific cases:
a. Students.
People who go abroad for full-time study generally continue to be resident in the territory in which they were resident prior to studying abroad.
This treatment is adopted even though their course of study may exceed a year.
However, students become residents of the territory in which they are studying when they develop an intention to continue their presence in the territory of study after the completion of the studies.
Members of the same household who are accompanying dependents of students are also considered to be residents of the same economy as the student.
b. Patients.
People who go abroad for the purpose of medical treatment maintain their predominant centre of interest in the territory in which they were resident prior to the treatment, even in the rare cases where complex treatments take a year or more.
As with students, accompanying dependents are treated in the same way.
c. Crew of ships etc.
Crew of ships, aircraft, oil rigs, space stations or other similar equipment that operate outside a territory or across several territories are treated as being resident in the territory of their home base.
The home base is determined by where they spend most of their time when not undertaking their duties.
This location may not be the same as that of the operator of the mobile equipment.
d. Diplomats, military personnel, etc.
National diplomats, military personnel and other civil servants employed abroad in government enclaves and their households are considered to be residents of the economic territory of the employing government.
However, other employees, such as locally recruited staff and international organization staff are resident in the location of their principal dwelling.
e. Cross-border workers.
There is no special treatment for these workers.
The residence of the persons concerned is based on the principal dwelling, rather than the territory of employment, so employees who cross borders to undertake a job still have their residence determined from their principal dwelling.
f. Refugees.
No special treatment is adopted for refugees, so their residence will change from their home territory if they stay or intend to stay in another economy for a year or more, regardless of their legal status or intention to return.
g. Highly mobile individuals.
Some individuals have close connections with two or more economies.
In cases of no principal dwelling, or two or more principal dwellings in different economies, the residence is determined on the basis of the territory in which the predominant amount of time is spent in the year.
While these individuals need to be classified as residents of a single economy for statistical purposes, additional information may be needed in recognition of strong ties to another economy.
Table 26.2: Selected effects of the residence status of an enterprise on the statistics of the host economy
26.39 When households change their economy of residence, there are changes to the status of the assets they own and liabilities they owe.
These changes are recorded as reclassifications through the other changes in volume account.
Because of the treatment of having a notional resident unit for ownership of land by non-residents, new notional units may be identified or old ones converted to ownership of the assets as a result of changes in residence of the owners.
26.40 An enterprise is resident in an economic territory when the enterprise is engaged in a significant amount of production of goods or services from a location in the territory.
Taxation and other legal requirements tend to result in the use of a separate legal entity for operations in each legal jurisdiction.
In addition, a separate institutional unit is identified for statistical purposes where a single legal entity has substantial operations in two or more territories (for example, for branches, land ownership and multiterritory enterprises, as noted above).
As a result of splitting such legal entities, the residence of each of the subsequently identified enterprises is usually clear.
The implications of the residence of an enterprise for the recording of its flows and stocks are summarized in table 26.2.
26.41 In some cases, the physical location of an enterprise is not sufficient to identify its residence because the enterprise has little or no physical presence, for example its administration is entirely contracted out to other entities.
Banking, insurance, investment funds, securitization vehicles and some special purpose entities may operate in this way.
Many trusts, corporations, or foundations that hold private wealth also have little or no physical presence.
Similarly, with virtual manufacturing, all the physical processes are outsourced to other units.
In the absence of any significant physical dimension to an enterprise, its residence is determined according to the economic territory under whose laws the enterprise is incorporated or registered.
The incorporation and registration represent a substantial degree of connection to the economy, associated with jurisdiction over the enterprise's existence and operations.
In contrast, other connections such as ownership, location of assets, or location of its managers or administrators may be less clear-cut.
26.42 In some rare cases, laws allow enterprises to change their economy of residence, such as within an economic union.
In such cases, as for households, a change of residence means that their assets and liabilities change their status through other changes in volumes.
More commonly, what is called “corporate migration” involves the conveyance of assets and liabilities from a corporation in one economy to a related entity in another economy recorded as a transaction rather than a change of residence of the entity.
26.43 General government includes territorial enclaves, such as embassies, consulates, military bases and other enclaves of foreign governments.
However, an entity created by a government under the laws of another jurisdiction is an enterprise resident in the host jurisdiction and not part of the general government sector in either economy.
26.44 International organizations are resident in an economic territory of their own and not of the economy in which they are physically located.
An international organization that operates military forces or acts as the interim administration in a territory remains an international organization and is non-resident in that territory, even if it undertakes general government functions there.
In cases where these organizations are significant, it may be desirable to identify them separately.
Some international organizations cover a group of economies in a particular region, such as with economic or currency unions.
If statistics are prepared for that region as a whole, these regional organizations are residents of the region as a whole, even though they are not residents of any member economy.
26.45 A non-profit institution serving households (NPISH) has a centre of economic interest in the economy where the institution is legally created or otherwise officially recognized.
When an NPISH is engaged in charity or relief work on an international scale, the foreign operations may be sufficiently substantial to be recognized as branches.
26.46 Like the SNA, the international accounts cover accounts for current transactions, accumulation accounts and balance sheets.
The transaction accounts are collectively called the balance of payments.
An overview of the international accounts presentation (using the SNA numerical example) is given in tables 26.3.
The three current accounts are the goods and services account, the primary income account and the secondary income account.
The primary income account corresponds to the allocation of primary income accounts in the SNA, the secondary income account to the secondary distribution of income account in the SNA.
The income accounts in BPM6 do not use distribution and redistribution in their titles, since they do not show distribution and redistribution from one party to another, but just show the income from the point of view of one party.
Because there is no account corresponding to use of income in the international accounts, the adjustment for the change in pension entitlements term appears as a single item after the secondary income account.
(Cross-border pensions are currently minor for most economies.)
26.47 There are no exact parallels in the international accounts for the production account, the generation of income account and use of income account because the international accounts do not describe production, consumption (or capital formation).
Products imported and exported are treated as simple transactions in all cases; whether the products will eventually be used for intermediate consumption, final consumption, capital formation, or will be re-exported is unknown in the context of the international transaction.
The use made of products is entirely domestic in nature.
26.48 Table 26.3 also shows the restricted form of the capital account in the international accounts and the financial account using the functional classification of financial transactions rather than the instrument classification used in the SNA.
Because the functional classification is a grouping of instruments, the two forms of presentation are strictly consistent.
The functional classification is described below in section D.
(The explanation of the shaded cell for reserves liabilities is explained in section D also.)
26.49 The goods and services account consists only of imports and exports of goods and services because these are the only transactions in goods and services with a cross-border dimension.
Goods and services are recorded when there is a change of economic ownership from a unit in one economy to a unit in another country.
Although there is usually a physical movement of goods when there is a change of ownership, this is not necessarily the case.
In the case of merchanting, goods may change ownership and not change location until they are resold to a third party.
Table 26.3: Overview of the balance of payments
26.50 Goods that change location from one economy to another but do not change economic ownership do not appear in imports and exports.
Thus goods sent abroad for processing, or returned after processing, do not appear as imports and exports of goods; only the fee agreed for processing appears as a service.
26.51 The balance of payments gives emphasis to the distinction between goods and services.
This distinction reflects policy interests, in that there are separate international treaties covering goods and services.
It also reflects data issues, in that data on goods are usually obtained from customs sources, while data on services are usually obtained from payments records or surveys.
26.52 The main source of data for goods is international merchandise trade statistics.
International standards are given in International Merchandise Trade Statistics: Concepts and Definitions (IMTS) (United Nations, 1998).
BPM6 identifies some sources of difference that may occur in some or all countries.
It also recommends a standard reconciliation table to assist users in understanding these differences.
One major source of difference is that the standards for IMTS use a CIF-type (cost, insurance and freight) valuation for imports, while the balance of payments use a uniform FOB valuation for both exports and imports.
It is therefore necessary to exclude freight and insurance costs incurred between the customs frontier of the exporter and the customs frontier of the importer.
Because of variations between the FOB-type valuation and actual contractual arrangements, some freight and insurance costs need to be rerouted.
26.53 The change of ownership basis used for the balance of payments means that goods entries will have a time of reporting consistent with the corresponding financial flows.
In BPM6, there are no longer exceptions to the change of ownership principle.
In contrast, IMTS follow the timing of customs processing.
While this timing is often an acceptable approximation, adjustments may be needed in some cases, such as goods sent on consignment.
In the case of goods sent abroad for processing with no change of ownership, the values of goods movements are included in IMTS, but changes in ownership are the primary presentation in the balance of payments.
(However, the values of goods movements are recommended as supplementary items to understand the nature of these arrangements.)
Further details of the recording of these processing arrangements are given in chapter 21.
Other adjustments to IMTS may be needed to bring estimates into line with the change of economic ownership of goods, either generally or because of the particular coverage of each country.
Possible examples include merchanting, non-monetary gold, goods entering or leaving the territory illegally, goods procured in ports by carriers, and goods moving physically but where there has been no change of ownership.
26.54 Re-exports are foreign goods (goods produced in other economies and previously imported with a change of economic ownership) that are exported with no substantial transformation from the state in which they were previously imported.
Because re-exported goods are not produced in the economy concerned, they have less connection to the economy than other exports.
Economies that are major trans-shipment points and locations of wholesalers often have large values of re-exports.
Re-exports increase the figures for both imports and exports and when re-exporting is significant the proportions of imports and exports to economic aggregates are increased also.
It is therefore useful to show re-exports separately.
Goods that have been imported and are waiting to be re-exported are recorded in inventories of the resident economic owner.
26.55 Goods are presented at an aggregate level in the balance of payments.
More detailed commodity breakdowns can be obtained from IMTS data.
26.56 Detail is produced for the following 12 standard components of services:
a. Manufacturing services on physical inputs owned by others;
b. Maintenance and repair services n.i.e.;
c. Transport;
d. Travel;
e. Construction;
f. Insurance and pension services;
g. Financial services;
h. Charges for the use of intellectual property n.i.e.;
i. Telecommunications, computer and information services;
j. Other business services;
k. Personal, cultural and recreational services; and
l. Government goods and services n.i.e.
26.57 Three of the standard components are transactor-based items, that is, they relate to the acquirer or provider, rather than the product itself.
These categories are travel, construction and government goods and services n.i.e.
a. Travel covers all goods or services acquired by nonresidents during visits whether for own use or to give away.
Travel includes goods, local transport, accommodation, meals and other services.
b. Construction covers both the total value of the product delivered by the contractor and any goods and services sourced locally by the contractor that are not recorded in imports and exports of goods.
c. Government goods and services n.i.e. cover a range of items that cannot be allocated to more specific headings.
Besides the three transactor-based items, the remaining components are product-based, built from the more detailed classes of the CPC.
Additional standards for services trade are shown in the Manual on Statistics of International Trade in Services (MSITS) ( United Nations, European Commission, International Monetary Fund, Organisation for Economic Co-operation and Development, United Nations Conference on Trade and Development and the World Trade Organization, 2002), which is fully harmonized with the international accounts.
26.58 The entries in the primary income account are concerned with compensation of employees and property income, exactly as in the allocation of primary income account in the SNA.
Payments of taxes on production by residents and receipts of subsidies by residents from the domestic government are recorded in the generation of income account, an account that does not form part of the balance of payments.
Any payments of taxes on production payable by a resident to another government as well as any subsidy receivable by a resident from another government are recorded in the primary income account of the balance of payments.
The matching entries for the domestic government are shown in the SNA in the allocation of primary income account and for foreign governments in the rest of the world column of that account and in the primary income account of the balance of payments.
26.59 Rent may arise in cross-border situations, but rarely, because all land is deemed to be owned by residents, if necessary by creating a notional resident unit.
An example where rent may be recorded in the international accounts may be short-term fishing rights in territorial waters provided to foreign fishing fleets.
It is common in the international accounts to use the term investment income meaning property income excluding rent.
Investment income therefore reflects income arising from the ownership of financial assets and the disaggregation of investment income matches that of financial assets and liabilities so that rates of return can be calculated.
26.60 In BPM6, interest flows are measured on exactly the same basis as in the SNA with FISIM separated and treated as an import or export of financial services.
26.61 The role of direct investment enterprises is particularly important and reflected in both the flows and positions in the international accounts.
There is extended discussion on the identification and role of direct investment enterprises in section D.
26.62 As explained in paragraphs 7.136 to 7.139, in the case of a direct investment enterprise, it is assumed that a proportion of the enterprise's retained earnings is distributed to the direct investor as a form of investment income.
The proportion corresponds to the direct investor's holding in the enterprise.
26.63 Retained earnings are equal to the net operating surplus of the enterprise plus all property income earned less all property income payable (before calculating reinvested earnings) plus current transfers receivable less current transfers payable and less the item for the adjustment for the change in pension entitlements.
Reinvested earnings accrued from any immediate subsidiaries are included in the property income receivable by the direct investment enterprise.
26.64 Reinvested earnings may be negative, for example where the enterprise makes a loss or where dividends are distributed from holding gains, or in a quarter when an annual dividend is paid.
However, if the dividends are disproportionately large relative to recent levels of dividends and earnings, the excess should be recorded as a withdrawal of owner's equity from the corporation as explained in paragraph 7.131.
26.65 For a direct investment enterprise that is 100 per cent owned by a non-resident, reinvested earnings are equal to retained earnings and the saving of the enterprise is exactly zero.
26.66 The entries in the secondary income account are current transfers.
The range of entries corresponds exactly to those in the secondary distribution of income account in the SNA.
Several of these are particularly important in the international accounts, especially current international cooperation and remittances sent to their home countries by individuals working abroad.
26.67 Cross-border personal transfers are household-tohousehold transfers and are of interest because they are an important source of international funding for some countries that provide large numbers of long-term workers abroad.
Personal transfers include remittances by long-term workers, that is, those who have changed their economy of residence.
26.68 Other workers, such as border and seasonal workers do not change their economy of residence from the home economy.
Instead of transfers, the international transactions of these workers include compensation of employees, taxes and travel costs.
A supplementary presentation of personal remittances brings together personal transfers with these related items.
Personal remittances include personal transfers, compensation of employees less taxes and travel, and capital transfers between households.
For further details, see Appendix 5 Remittances in BPM6.
26.69 Insurance flows, especially flows relating to reinsurance, can be important internationally.
These flows are recorded in the same way as in the SNA, both as regards the separation of a financial service charge and the treatment of direct insurance and reinsurance flows separately and not on a consolidated basis.
Detailed information on this separation is given in part 1 of chapter 17.
26.70 The structure of the balancing items in the balance of payments is somewhat different from that in the SNA, in that each account has its own balancing item and another that carries down to the next account.
To illustrate, the primary income account has its own balancing item (balance on primary income) and a cumulative balance (balance on goods, services and primary income).
The external balance on primary income corresponds to balance of primary incomes and is the item feeding into GNI.
The current external balance corresponds to saving by the rest of the world relative to the domestic economy.
The balancing items in the BPM6 structure of accounts are shown in table 16.3, reproduced here for convenience as table 26.4.
26.71 The elements of the capital account subject to international transactions are more restricted than those covered in the SNA.
The entries in the capital account cover acquisitions and disposals of non-produced non-financial assets and capital transfers.
There are no transactions recorded as capital formation of produced assets because, as explained earlier, the ultimate use of exports is not a concern for the national economy.
26.72 Like the SNA, net lending or net borrowing is the balancing item for the sum of the current and capital accounts and for the financial account.
As in the SNA, it covers all instruments used for providing or acquiring funding, not just lending and borrowing.
Conceptually, it has the same value as the national accounts item for the total economy, and the same as the national accounts item for the rest of the world but with the sign reversed.
26.73 The financial account of the balance of payments and the IIP are of particular importance because they provide an understanding of international financing as well as of international liquidity and vulnerability.
The integrated IIP statement, including the IIP and associated financial and other changes accounts, is shown in Table 26.5.
The primary classification is based on functional categories, with additional data on instruments and institutional sectors.
26.74 The functional categories, described in section D, convey more information about the motivation and relationship between the parties, which are of particular interest to international economic analysis.
Data by functional category are further subdivided by instrument and institutional sector, which makes it possible to link them to the corresponding SNA and monetary and financial statistics items.
The institutional sector classification is the same as in the SNA, although it is usually abbreviated (to five sectors in the standard components).
In addition, a supplementary subsector is used for monetary authorities, which is a functional subsector linked to reserve assets.
It covers the central bank and any parts of general government or financial corporations other than the central bank that hold reserve assets, so is relevant for countries where some or all reserves are held outside the central bank.
Table 26.4: Balancing items in the international accounts in relation to the SNA sequence of accounts
26.75 The part of the balance sheets covered in the international accounts is called the IIP.
The terminology highlights the specific components of the national balance sheet which are included.
The IIP covers only financial assets and liabilities because, to be included in the IIP, there must be a crossborder element.
In the case of financial claims, the crossborder element arises when one party is a resident and the other party is a non-resident.
In addition, while gold bullion is an asset that has no counterpart liability, it is included in the IIP when held as a reserve asset, because of its role as a means of international payments.
However, non-financial assets are excluded as they do not have a counterpart liability or other international aspect.
26.76 The balancing item on the IIP is the net IIP.
The net IIP plus non-financial assets in the national balance sheet equal national net worth, because resident-to-resident financial claims net to zero in the national balance sheet.
26.77 The same level of detail is used for investment income and the IIP.
As a result, average rates of return can be calculated.
Rates of return can be compared over time and for different instruments and maturities.
For example, the trends in return on direct investment can be analysed, or the return can be compared with other instruments.
26.78 International assets and liabilities may be subject to all the possible types of other changes in the volume of assets and liabilities and to revaluation changes.
26.79 Because instruments are often denominated in foreign currencies and analysis of the effect of exchange rate movements is particularly important, there is a breakdown of revaluations into exchange rate changes and other factors.
26.80 The international accounts functional categories are the primary classification used for each of investment income, financial transactions and positions in the international accounts.
The following five categories are identified:
a. direct investment;
b. portfolio investment;
c. financial derivatives (other than reserves) and employee stock options;
d. other investment; and
e. reserve assets.
26.81 Detailed definitions are given later in this section.
The functional categories are built on the classification of financial instruments discussed in chapters 11 and 13, but with an additional dimension that takes into account some aspects of the relationship between the parties and the motivation for investment.
As a result, the different categories exhibit different patterns of behaviour.
For example, there is a different type of relationship between the parties for direct investors compared to portfolio investors holding equity.
Direct investment is related to control or a significant degree of influence, and tends to be associated with a lasting relationship although it may be short-term.
In addition to financial resources, direct investors often supply additional factors such as know-how, technology, management and marketing.
As well, related companies are more likely to trade with and lend to each other.
In contrast, portfolio investors typically have a smaller role in the decision-making of the enterprise, with potentially important implications for future flows, and for the volatility of the price and volume of positions.
Portfolio investment differs from other investment in that it provides a direct way to access financial markets, and so can provide liquidity and flexibility.
Table 26.5: Overview of Integrated International Investment Position Statement
26.82 Reserve assets include a range of instruments that are shown under other categories when not owned by monetary authorities or other units authorized by the monetary authorities and sometimes even when held by monetary authorities.
However, as reserve assets they are identified as being available to meet international payments financing needs and undertake market intervention to influence the exchange rate.
26.83 The instrument classification alone does not fully reflect these behavioural differences.
For example, a loan can appear under direct investment or other investment, but the different nature of the relationship between the parties means that the risks and motivations behind the transaction tend to differ.
A direct investment loan is more likely to be provided and generally involves less vulnerability on the part of the borrowing economy because of the relationship between the parties. Table 26.6 shows the relationship between instruments and functional categories.
Table 26.6: Link between Financial Assets Classification and Functional Categories
26.84 Direct investment is a category of cross-border investment associated with a resident in one economy having control or a significant degree of influence on the management of an enterprise that is resident in another economy.
26.85 Control is determined to exist if the direct investor owns more than 50 per cent of the voting power in the direct investment enterprise.
26.86 As well as immediate direct investment relationships, there may be indirect direct investment relationships, as a result of a chain of ownership.
26.87 Direct investment includes debt between the parties as well as equity except in the case of debt positions between related financial institutions.
26.88 Because of the relationship of control or influence, the direct investor's share of retained earnings of a subsidiary or associate is imputed as first being paid out as an income flow and then reinvested as a financial transaction.
26.89 Those direct investment enterprises that are controlled by non-residents correspond to the SNA subsectors of foreign-controlled enterprises.
26.90 In addition to the statistics on the international financial flows associated with direct investment, information on foreign-controlled enterprises is provided through statistics on the Activities of Multinational Enterprises (AMNE statistics) and the closely related Foreign AffiliaTes Statistics (FATS).
26.91 Portfolio investment is defined as cross-border transactions and positions involving debt or equity securities, other than those included in direct investment or reserve assets.
26.92 Portfolio investment typically depends on organized financial markets and associated bodies such as dealers, exchanges and regulators.
26.93 The definition of the functional category financial derivatives (other than reserves) and employee stock options largely coincides with the corresponding financial instrument class, discussed in chapters 11 and 13.
26.94 Other investment is a residual category that includes positions and transactions other than those included in direct investment, portfolio investment, financial derivatives and employee stock options and reserve assets.
26.95 Reserve assets are those external assets that are readily available to and controlled by monetary authorities for meeting balance of payments financing needs, for intervention in exchange markets to affect the currency exchange rate and for other related purposes (such as maintaining confidence in the currency and the economy, and serving as a basis for foreign borrowing).
26.96 In general, only external claims actually owned by the monetary authorities can be classified as reserve assets.
26.97 Reserve assets must be readily available in the most unconditional form.
26.98 Reserve assets are limited to assets, but a memorandum item is provided for reserve-related liabilities that are included in other functional categories, mainly portfolio and other investment.
1. Direct investment
As well as the equity that gives rise to control or influence, direct investment also includes associated debt (except debt between affiliated financial intermediaries).
Such an enterprise is called a subsidiary.
A significant degree of influence is determined to exist if the direct investor owns from 10 to 50 percent of the voting power in the direct investment enterprise.
Such an enterprise is called an associate.
In order to achieve bilateral consistency and avoid subjective decisions about actual control or influence, these operational definitions should be used in all cases.
In addition, fellow enterprises may be an important part of direct investment.
(Fellow enterprises are enterprises that have less than ten per cent equity in each other but which are under the control or influence of the same investor who is a foreign direct investor in at least one of the fellows.)
Reverse investment arises when direct investment enterprises invest in their own direct investors but have less than ten per cent of the voting power in the direct investor.
Such debt between related companies may be called inter-company lending.
One of the features of a group of direct investment enterprises is that its members are more likely to extend loans and trade credit to each other than are unrelated enterprises.
The income item is called reinvested earnings; the corresponding equal entry in the financial account is called reinvestment of earnings.
Reinvested earnings are defined as the direct investor's share in the retained earnings of the enterprise, and so are consistent with the corresponding SNA items.
A consequence is that there will be no saving by an enterprise that is 100 per cent foreign owned, because all saving will be attributed to its direct investor.
However direct investment enterprises include those not subject to control from abroad but still subject to a significant degree of influence.
The SNA's foreign-controlled enterprises are limited to inward direct investment, while the international accounts are also concerned with outward direct investment.
Reinvested earnings on foreign direct investment in the SNA have the same scope as in the balance of payments (although “foreign” is not used because it is redundant in the context of the international accounts).
These cover items such as exports, imports, domestic sales and domestic purchases of goods and services.
They therefore provide a wider picture of the operations of multinational enterprises.
Additional information is available in Recommendations Manual on the Production of Foreign AffiliaTes Statistics, the Handbook on Economic Globalisation Indicators and MSITS.
2. Portfolio investment
Securities are instruments designed for convenient negotiability between parties, such as shares, bonds, notes and money market instruments.
The negotiability of securities is a way of facilitating trading, allowing them to be held by different parties during their lives.
Negotiability allows investors to diversify their portfolios and to withdraw their investment readily.
In contrast, the parties to direct and other investment instruments usually deal directly with each other.
The negotiability of portfolio investment transactions makes them a convenient and flexible investment channel, but also may be associated with volatility.
3. Financial derivatives (other than reserves) and employee stock options
The difference in coverage between the functional category and the financial instrument is that financial derivatives associated with reserve asset management are excluded from the functional category and included in reserve assets.
This category is identified separately because it relates to risk transfer, rather than supply of funds or other resources.
4. Other investment
It includes the remainder of the following financial instruments:
a. other equity;
b. currency and deposits;
c. loans (including use of IMF credit and loans from the IMF);
d. non-life insurance technical reserves, life insurance and annuities entitlements, pension entitlements and provisions for calls under standardized guarantees;
e. trade credit and advances;
f. other accounts receivable/payable; and
g. SDR allocations (SDR holdings are included in reserve assets).
5. Reserve assets
Reserve assets must be denominated and settled in foreign currency.
Underlying the concept of reserve assets are the notions of “control” and “availability for use” by the monetary authorities.
Nonetheless, ownership is not the only condition that confers control.
In cases where institutional units (other than the monetary authorities) in the reporting economy hold legal title to external foreign currency assets and are permitted to do so only on terms specified by the monetary authorities or only with their express approval, such assets can be considered reserve assets.
This is because such assets are under the direct and effective control of the monetary authorities.
A reserve asset is liquid in that the asset can be bought, sold and liquidated for foreign currency (cash) with minimum cost and time, and without unduly affecting the value of the asset.
This concept refers to both non-marketable assets, such as demand deposits, and marketable assets, such as securities where there are ready and willing sellers and buyers.
In order to be readily available to the authorities to meet balance of payments financing needs and other related purposes under adverse circumstances, reserve assets generally should be of high quality.
(This is why the liabilities cell for reserves in table 26.3 is shaded.)
26.99 In recent years, the IMF has done extensive work on global statistical imbalances.
By summing data for all economies, global totals can be derived.
(Although as a functional category, reserve assets have no counterpart liability, the constituent instruments can be allocated to their counterpart liabilities for an exercise of the type described here.)
The extent of actual inconsistency has been used to identify systematic biases that can indicate reporting problems, for example, that services credits have higher coverage than services debits.
26.100 Exceptional financing brings together financial arrangements made by the authorities to meet balance of payments needs.
Exceptional financing therefore identifies transactions according to their motivation.
In addition, the incurrence of arrears is included in exceptional financing.
Although it is not a transaction, it is an action the monetary authorities may take to manage their payments requirements.
26.101 Exceptional financing is presented in the “analytic” presentation of the balance of payments, as published in the Balance of Payments Statistics Yearbook (International Monetary Fund, annual).
In this presentation, entries relating to reserves, IMF credit and exceptional financing are presented “below-the-line” while all the other entries, which will require funding, are shown above-the-line.
This presentation facilitates analysis of the monetary authorities' international liquidity.
26.102 There is more discussion on exceptional financing in appendix 1 of BPM6.
26.103 It is useful to group the different types of debt instruments, because debt instruments have particular implications for international liquidity and risk.
Debt instruments are those instruments that require the payment of principal or interest or both at some point(s) in the future.
Debt instruments comprise special drawing rights, currency and deposits, debt securities, loans, insurance technical reserves and provision for calls under standardized guarantees, and other accounts receivable/payable.
Financial derivatives are not debt instruments, but an overdue obligation on a financial derivative contract is classified as an account payable and thus is included as a debt instrument.
26.104 Debt instruments can be contrasted with equity and investment shares in the nature of the liability and risk.
While equity gives a residual claim on the assets of the entity, a debt instrument involves an obligation to pay an amount of principal or interest or both usually according to a predefined formula, which means that the creditor has a more limited risk exposure.
In contrast, the return on equity is largely dependent on the economic performance of the issuer, so the holders bear more of the risk.
Additional information is provided in the External Debt Guide.
26.105 Debt instrument flows and positions are shown divided between long-term and short-term.
Primarily, this split is according to their original maturity, that is, the period from issue until contractually scheduled final payment.
In addition, because of the international accounts concern with international liquidity issues, liability data can also be prepared on the basis of remaining maturity, that is, the period from the reference date until contractually scheduled final payment, on a supplementary basis.
26.106 Debt reorganization (also referred as debt restructuring) is defined as arrangements involving both the creditor and the debtor (and sometimes third parties) that alter the terms established for servicing an existing debt.
Governments are often involved in debt reorganization, as a debtor, or a creditor or a guarantor, but debt reorganization can also involve the private sector, such as through debt exchanges.
Debt reorganization involves a range of different types of transactions as well as valuation and timing issues.
26.107 The four main types of debt reorganization are:
a. Debt forgiveness; a reduction in the amount of, or the extinguishing of, a debt obligation by the creditor via a contractual arrangement with the debtor;
b. Debt rescheduling or refinancing; a change in the terms and conditions of the amount owed, which may or may not result in a reduction in burden in present value terms;
c. Debt conversion; the creditor exchanges the debt claim for something of economic value, other than another debt claim on the same debtor, such as debt-for-equity swaps, debt-for-real-estate swaps, debt-fordevelopment swaps, debt-for-nature swaps, and for debt prepayments, debt-for-cash; and
d. Debt assumption and debt payments on behalf of others when a third party is also involved.
Debt forgiveness across economies often involves government and there is further guidance on the treatments of these arrangements in chapter 22, BPM6 and specialized manuals such as the External Debt Guide.
26.108 Debt repudiation, write-offs and write-downs of debt on a unilateral basis are not treated as transactions in either the SNA or BPM6 and so are not considered part of debt reorganization.
26.109 Regional arrangements include:
a. monetary and currency unions, which provide for a single monetary policy across an area.
Some of the same issues apply when one economy unilaterally adopts the currency of another economy, such as with “dollarization”;
b. economic unions, which harmonize certain economic policies to foster greater economic integration; and
c. customs unions, which have common tariff and other trade policies with non-member economies.
BPM6 gives detailed guidance on the treatments of these arrangements.
Among the issues that are dealt with are the production of consolidated data for a union as a whole, the treatment of regional organizations, including the central bank, treatment of bank notes in a currency union, and revenue-sharing arrangements in a customs union.
26.110 Exchange rates must be considered carefully when measuring international transactions and positions, as changes can distort measurement.
Flows denominated in a foreign currency are converted to their value in the domestic currency at the rate prevailing when the flows take place, and positions are converted at the rate prevailing on the balance sheet date.
The midpoint between the buying and selling rates should be used at the time of transaction (for transactions) and at the close of business on the reference date for positions.
The difference between buying/selling prices and midpoint prices represents a service charge and should be recorded as such.
26.111 In principle, the actual exchange rate applicable to each transaction should be used for currency conversion.
The use of a daily average exchange rate for daily transactions usually provides a very good approximation.
If daily rates cannot be applied, average rates for the shortest period should be used.
Some transactions occur on a continuous basis, such as the accrual of interest, over a period of time.
For such flows, therefore, an average exchange rate for the period in which the flows occur should be used for currency conversion.
26.112 Under a multiple exchange rate regime, two or more exchange rates are applicable to different categories of transactions; the rates favour some categories and discourage others.
Such rates incorporate elements similar to taxes or subsidies.
Because the multiple rates influence the values and the undertaking of transactions expressed in domestic currency, net proceeds implicitly accruing to authorities as a result of these transactions are calculated as implicit taxes or subsidies.
The amount of the implicit tax or subsidy for each transaction can be calculated as the difference between the value of the transaction in domestic currency at the actual exchange rate applicable and the value of the transaction at a unitary rate that is calculated as a weighted average of all official rates used for external transactions.
For conversion of positions of external financial assets and liabilities in a multiple rate system, the actual exchange rate applicable to specific assets or liabilities at the beginning or end of the accounting period is used.
26.113 Parallel (unofficial) or black market rates cannot be ignored in the context of a multiple rate regime and can be treated in different ways.
For instance, if there is one official rate and a parallel market rate, the two should be handled separately.
Transactions in parallel markets should be converted using the exchange rate applicable in that market.
If there are multiple official rates and a parallel rate, the official rates and the parallel rate should be treated as distinct markets in any calculation of a unitary rate.
Transactions effected at the parallel rate usually should be separately converted at that rate.
However, in some instances, parallel markets may be considered effectively integrated with the official exchange rate regime.
Such is the case when most or all transactions in the parallel market are sanctioned by the authorities or when the authorities actively intervene in the market to affect the parallel rate, or do both.
In this instance, the calculation of the unitary rate should include both the official and parallel market rates.
If only limited transactions in the parallel market are sanctioned by the authorities, the parallel rate should not be included in the calculation of a unitary rate.
27.1 Chapter 11 describes the financial account of the sequence of accounts of the SNA.
It shows transactions in each category of financial assets and liabilities for each of the institutional sectors of the national economy and of the rest of the world.
27.2 As explained when describing the principle of quadruple accounting in both chapter 11 and chapter 4, each transaction leads to two pairs of entries in the SNA accounts.
For many transactions, one pair is recorded in one of the non-financial accounts and one pair in the financial account.
For others, which are concerned with changing the composition of a portfolio of financial assets and liabilities, both pairs of entries are recorded in the financial account.
It is for this reason that only by including the financial account in the sequence of accounts is the full articulation of the accounting system achieved.
27.3 However, the information in the financial account is of analytical and policy interest in its own right and represents an important part of monetary and financial statistics.
These statistics are used to monitor the state of the money and other capital markets in particular and as an indicator of the state of the economy in general.
For the latter, the link to the rest of the SNA accounts is usually implicit rather than explicit.
27.4 The purpose of this chapter is to give an introduction to the sorts of analyses involved in monetary and financial statistics more generally and to show how the data in the sequence of accounts can be linked to these other presentations.
Further detail on monetary and financial statistics can be found in the MFSM and its companion Compilation Guide (International Monetary Fund (IMF) 2008), the Manual on Sources and Methods for the Compilation of ESA 95 Financial Accounts (Eurostat, 2002b), the Monetary Financial Institutions and Market Statistic Manual (European Central Bank, 2007) and in Financial Production, Flows and Stocks in the SNA. (United Nations and the European Central Bank, forthcoming).
27.5 Monetary statistics cover the stocks and flows of the assets and liabilities of financial corporations, both within an economy and between units in the economy and units in the rest of the world.
However, a more aggregate level of subsectoring is used than in the SNA.
Financial corporations are divided into two subsectors only at the highest level, depository corporations and the other financial corporations subsector.
The former is then further subsectored into the central bank subsector and the other depository corporations subsector.
More information on monetary statistics is given in section B.
27.6 Financial statistics extend the range of monetary statistics to include the stocks and flows of financial assets and liabilities between all sectors of the economy and between the sectors of the economy and the rest of the world.
27.7 The basic accounting rules, concepts of residence, time of recording and the classification of financial assets and liabilities are consistent between the SNA, BPM6 and MFSM.
The MFSM uses a more aggregate level of sectoring than the SNA but one that is strictly consistent with it.
27.8 Some further aspects of financial statistics building on the classifications used in the financial account are discussed in section C.
27.9 The flow of funds is a three dimensional presentation of financial statistics where both parties to a transaction as well as the nature of the financial instrument being transacted are elaborated.
A similar three dimensional presentation is also presented in respect of the stocks of financial assets and liabilities where the creditor and debtor of each instrument are shown.
The flow of funds is discussed in section D.
27.10 Money is very important as a financial variable, but the wide range of ways in which money is defined in different countries precludes a simple definition within the SNA.
27.11 The composition of broad money and other monetary aggregates varies widely among countries and encompasses many classes of deposits and certain categories of short-term securities, particularly negotiable certificates of deposit.
In addition, many countries compile a range of money measures, as well as broader liquidity measures.
Even within a single country, innovation, deregulation or technical progress may cause definitions of broad money to shift over time in response to changes in financial instruments and the organization of money markets.
27.12 In the MFSM, a country-specific concept of broad money as nationally defined is used.
Although the specific components of broad money may vary across countries, in all cases the nationally defined concept is used to identify those financial corporations that issue liabilities included in broad money.
Such corporations are described as depository corporations.
27.13 The set of nine subsectors of the financial corporations sector described in chapter 4 and listed in table 27.1 is such that it should be possible to identify depository corporations as just defined as a combination of two or more of these subsectors.
At a minimum, the group will include the central bank and deposit-taking institutions.
In some countries money market funds may also be included because they are considered to be part of broad money.
27.14 Once depository corporations are identified, the three subsectors used for monetary statistics, the central bank subsector, the other depository corporations subsector and the other financial corporations subsector, can be established.
27.15 Monetary statistics are presented for all financial corporations, with the following disaggregation:
a. Depository corporations subsector,
· Central bank subsector,
· Other depository corporations subsector,
b. Other financial corporations subsector.
27.16 The instrument classification is the standard one from the financial account, as shown in table 27.2, with possibly some further breakdown according to whether the instrument is denominated in local currency or foreign currency.
27.17 For each instrument, a set of entries equivalent to an asset account is shown, that is:
a. Opening stock,
b. Transactions,
c. Valuation changes,
d. Other changes in volume,
e. Closing stock.
Table 27.1: Subsectors of the financial corporations sector
| 1. Central Bank |
| 2. Deposit-taking corporations except the Central Bank |
| 3. Money market funds (MMF) |
| 4. Non-MMF investment funds |
| 5. Other financial intermediaries except insurance corporations and pension funds |
| 6. Financial auxiliaries |
| 7. Captive financial institutions and money lenders |
| 8. Insurance corporations (IC) |
| 9. Pension funds (PF) |
27.18 As noted in the introduction, financial statistics extend the range of monetary statistics to include the stocks and flows of financial assets and liabilities between all sectors of the economy and between the sectors of the economy and the rest of the world.
Financial statistics include the financial account, balance sheets, other changes in assets account and the capital account to the extent that net borrowing or net lending is taken from there.
The format used for financial statistics is similar to that used for monetary statistics except that all sectors are covered.
In addition, disaggregation of the financial sector into subsectors is common.
As indicated, though, the sectors outside the financial corporations sector may be aggregated.
It is usual to show general government separately and also the rest of the world.
If it is of particular interest, public non-financial corporations may also be shown as a separate sector.
Table 27.2: The classification of financial assets and liabilities
27.19 The classification of financial assets, shown in table 27.2, is based primarily on two kinds of criteria: the liquidity of the asset and the legal characteristics that describe the form of the underlying creditor/debtor relationship.
The concept of liquidity embraces other more specific characteristics such as negotiability, transferability, marketability or convertibility.
These characteristics play a major role in determining the categories, although they are not separately identified in a systematic way.
The classification is designed to facilitate the analysis of transactions of institutional units and is a framework for assessing the sources and uses of financing and degree of liquidity for these units.
27.20 Maturity distinction is recognized as a secondary classification criterion.
Short-term is defined for the classification as one year or less, while long-term is defined as more than one year.
To monitor possible liquidity risks, it may also be helpful to distinguish those long-term instruments with a remaining maturity of one year or less.
(Remaining maturity is the period from the reference date until contractually scheduled final payment.)
27.21 The classification does not contain functional categories, such as direct investment, portfolio investment, and international reserves, which are basic classification criteria for the balance of payments financial account.
In view of the importance of these categories, the classification does provide for memorandum items for financial account transactions related to foreign direct investment relationships.
This topic is treated in greater detail in chapters 21 and 26.
27.22 The form of table described under the section on monetary statistics shows how the closing stock of a comprehensive set of assets for a particular sector may be analysed by seeing how the opening stock is changed by transactions in the asset, revaluation changes and other changes in the volume of assets to reach the closing stock.
This is a particular application of the asset accounts described in chapter 13.
27.23 Another popular form of table is that known as a flow of funds table.
This may take one of several forms.
The most common presentation consists of an articulation of flows (or stocks) showing for each instrument which sector or subsector is the creditor and which the debtor.
Another variation is to combine the elements of the capital and financial accounts to examine all accumulation transactions and not just those concerning financial assets.
The rationale for this is that the balancing item on the right-hand side of the financial account should be exactly equal in magnitude but opposite in sign to that on the left-hand side of the capital account.
By including the items from the capital account, discrepancies in this account may be revealed by the exercise of completing the flow of funds table, instead of assuming the net lending or net borrowing total is already determined.
(This still assumes that saving is determined correctly.
The act of balancing the flow of funds table may suggest a re-examination of the current accounts if it is difficult to reconcile the saving figure for a sector with the recorded capital and financial transactions.)
27.24 The financial account, as presented in table 11.1 and repeated for convenience here as table 27.3, records the net acquisition of financial assets and net incurrence of liabilities for all institutional sectors by type of financial asset.
For each sector, the financial account shows the liabilities that the sector incurs to mobilize financial resources and the financial assets that the sector acquires.
For each financial asset and liability, the financial account shows the effects of transactions on the level of assets acquired by each sector and on the level of liabilities incurred by each sector.
This information is very valuable in identifying the financial assets that net borrowing sectors use to finance their deficits and the assets that net lending sectors use to allocate their surpluses.
Although the movement of financial flows can be mapped at this level of recording, the question of who is financing whom is not answered. Table 27.3 shows that non-financial corporations incur liabilities predominantly in the form of loans and other equities and investment fund shares.
Financial corporations incur net liabilities by using the full range of financial instruments.
While the instrument by which the liabilities are incurred is clearly presented in this account, it is not possible to identify the sector that is providing the funds.
Similarly, the net acquisition of financial assets can be tracked.
Households acquire net financial assets spread across a range of assets, while financial corporations acquire net financial assets mostly in the form of loans and securities.
However, it cannot be determined from this level of recording to which sectors the financing is being provided.
Table 27.3: The financial account - concise form - changes in assets
27.25 For a full understanding of financial flows and the role they play in the economy, it is often important to know more detailed financial relationships between sectors and the financial assets by which these relationships are carried out.
For example, it is useful to show what types of liabilities government is using to finance its deficit and which sectors (or the rest of the world) are providing the financing.
For financial corporations (and those supervising them), it is interesting to show not only the composition of financial assets (loans and securities) that they have acquired but also which sectors these are claims upon.
In addition, it is often desirable to analyse financial flows between subsectors within a sector (central government financial transactions with local governments or central bank financial transactions with deposit-taking institutions) and across sector boundaries (changes in deposit-taking institutions' claims on public non-financial corporations).
Such detailed information is necessary to understand how financing is carried out and how it changes over time.
27.26 This more detailed approach is particularly important in spelling out the role that financial corporations play in financial transactions.
Financial corporations often have very small net lending or borrowing balances in comparison with their total transactions in both financial assets and liabilities.
This reflects the basic role of financial intermediation of mobilizing financial resources and making them available to other sectors in forms suitable to these sectors through transformation of the maturity of exact form of the assets available.
More generally, financial corporations play a major role assisting institutional units to rebalance their portfolios of assets and liabilities taking account of their preferences between investment safety and rate of return, liquidity preference and convenience amid constantly changing market conditions.
Thus, financial corporations play a critical role in directing financing flows from net lending sectors to net borrowing sectors and allow lenders to choose their asset instruments and borrowers their forms of indebtedness.
27.27 Table 27.4 facilitates the more detailed financial analysis just described by showing transactions in assets cross-classified by type of asset and by the debtor sector in the first part and the type of liability cross-classified by the creditor sector in a similar, second part.
The sectors transacting in assets or liabilities form the columns of the table while the type of asset, disaggregated by sector of debtor, is shown in the rows.
It would be conceptually possible to present all the relationships between creditors and debtors in a single table but this would require a table of very many cells, many of which would be blank.
27.28 Table 27.4 is merely illustrative of the type of detail that a country may wish to develop.
Initially it may be possible to show columns only for general government, the financial sector and the rest of the world separately from all other sectors, but even at this level if monetary statistics exist, it should be possible to disaggregate the financial sector into three subsectors as described earlier.
27.29 Ultimately it is desirable to show all the institutional sectors of the SNA and possibly subsectors such as central government and publicly controlled corporations.
27.30 The degree of detail shown for the financial instruments will depend on data availability and the relative importance of each.
What follows is a list of possible disaggregations.
27.31 Currency and deposits may be distinguished according to currency, transferable deposits and other deposits identifying that part of each that is denominated in domestic currency or foreign currency and whether the creditor or debtor is a resident or non-resident.
Table 27.3cont: The financial account - concise form - changes in liabilities and net worth
27.32 Debt securities and loans may be divided by maturity (short and long-term) as well as by sector.
27.33 For equity a distinction between resident and non-resident enterprises as well as the distinction between listed, unlisted and other equity may be helpful.
27.34 For insurance, standardized guarantee schemes and for financial derivatives the presentation may be simplified because one party to the transaction must be a financial corporation, either resident or non-resident.
For employee stock options, the debtor must be either a financial or non-financial corporation.
Most pension schemes are operated by financial corporations but some may be operated by non-financial employers without involving a financial corporation.
27.35 Trade credits and advances may be made by any sector.
The claims of pension funds on pension managers may, in principle, relate to any sector but are likely not to involve households.
Other accounts receivable or payable may be separated into whether they are with residents or nonresidents.
27.36 The form of table 27.4 should be interpreted as a general model, and substantial flexibility should be allowed in specific country circumstances.
In many countries, the dimensions of the tables will be severely constrained by data availability.
It should also be noted that these tables are extensions of the basic financial account and that the third dimension to the analysis can be added on a selective basis by identifying particular asset or sector (or subsector) relationships for which this level of detail would be useful.
27.37 A detailed flow of funds table can be used in at least three important areas related to economic policy.
Data from these tables can be used in economic analysis and description of activity and trends in current periods.
They can be used as an aid to projections in the context of the production of economic plans or to assess the effect of current economic policies, or changes in them, on the future path of the economy.
They can also be used in projects that undertake modelling of the economy to study economic behaviour as an aid to the formulation of economic policy.
Such studies, of course, would be complementary to similar work on data from other accounts in the SNA.
In particular it is useful, when using the flow of funds accounts to facilitate the study of the operation of the financial system in the economy, to relate these transactions to the behaviour of the non-financial economy.
Similarly, the flow of funds accounts facilitate study of the process of making the equality between saving and investment, by tracing the channels by which net lending reaches ultimate borrowing, after passing through various financial corporations and assets.
27.38 In the policy area, a few examples will illustrate the usefulness of these tables.
Common policy problems faced by many nations include questions such as: How will the central government's deficit be financed? How will the major non-financial public corporations be financed and by whom? In each of these examples, the provision of answers to the questions requires an impact analysis on various sectors and types of transaction.
The articulation of the accounts within the flow of funds facilitates the analysis and provides a framework in which to assess the answers.
27.39 In the area of financial projections, the use of time-series from relevant parts of the flow of funds tables enables an examination for consistency of a number of separately prepared sector or market forecasts, and the implications for future financial transactions of a particular set of assumptions about future events (for example, interest rates, exchange rates, growth, sector surpluses or deficits).
27.40 Other policy areas where these projections and studies can be of assistance are in considering the long-term development of financial markets and institutions in the economy and assessments of the need for new types of assets to satisfy the potential demand of savers and investors requiring access to reliable liquid assets.
27.41 Just as tables like those above can be compiled and very usefully analysed in terms of flows, so it is instructive to compile exactly similar tables in terms of the stocks of financial assets and liabilities.
Where flows may be fairly volatile from one period to the next, the level of stocks is likely to be more stable and the degree of fluctuation from the stock level may convey particularly useful additional information.
Table 27.4: Format for detailed flow of funds table or stocks of financial assets analysed by debtor and creditor
28.1 The purpose of this chapter is to build on the presentation of the supply and use tables in chapter 14 to examine in greater detail the possibilities offered by using a matrix form of presentation of the accounts.
As has been noted on a number of occasions, the SNA is intended to offer a degree of flexibility in implementation as long as the inherent accounting rules are observed.
The fact that the requirement to balance uses and resources is immediately obvious within a matrix framework makes this a powerful way in which to explore different options while still ensuring the balances are satisfied.
One aim of this chapter is to demonstrate the power of a matrix presentation in this way.
28.2 A second aim is to describe the basic ideas of input-output matrices.
Supply and use tables are an integral part of the SNA and the process of compiling these tables is a powerful way of ensuring consistency between the various data sources available to the compiler.
For many analytical purposes, though, a transformation from a pair of supply and use tables into a single input-output table where row and column totals are equal brings very considerable advantages.
Input-output tables cannot be compiled without passing through the supply and use stage (except under very restrictive assumptions).
They are therefore analytical constructs that inevitably involve some degree of modelling in their compilation.
28.3 There is a vast literature on the compilation and use of input-output tables and it is impossible in a short chapter to give a full appreciation of the range of complexities of compilation and inventiveness of applications.
The chapter aims only to give a feel for the sort of operations necessary to transform supply and use tables into input-output tables and to give some ideas of their possible applications.
The Manual of Supply, Use and Input-Output Tables and a visit to the web site of the International Input-Output Association (www.iioa.org) are good places to start a more detailed investigation of the potential in this field.
28.4 Both the supply and use tables and input-output tables are matrix representations of the goods and services account.
It is possible to cast the whole of the sequence of accounts, including the goods and services account, in a matrix format also.
Such a matrix is called a social accounting matrix (SAM).
28.5 It is possible to extend and elaborate a SAM by introducing alternative disaggregations of existing flows or new types of flows, just as long as the use and resource of these flows balance in the usual way.
This is such a common extension of a SAM that the usual understanding of what a SAM is often goes further than a matrix encompassing the standard sequence of accounts to include extensions, particularly of the household sector.
28.6 Chapter 14 describes how the supply and use tables may be used in order to ensure the internal consistency of disparate data sets.
Section B of this chapter looks at two particular aspects of the supply and use tables where it may be useful to adopt a different approach to that described in chapter 14.
The first of these concerns the treatment of insurance and freight on imported goods and the second concerns the treatment of goods that are processed by a unit that is not the legal owner of them.
Section B also discusses how information cross-classified by establishment and industry can be transformed into information relating to institutional sectors.
28.7 Section C is concerned with how a pair of supply and use tables may be transformed into a single symmetric input-output matrix.
Each of the supply and use tables shows disaggregation by products and industries.
In an input-output table, one of these dimensions is eliminated.
Thus a single table may show the relationship between the supply and use of products or alternatively the output of industries and the demand for the output of industries.
28.8 Section D goes on to show how the whole of the accounting system can be represented in matrix form.
This is a useful pedagogical tool and may be instructive as a stepping-off point for extensions of the accounts such as social accounting matrices.
28.9 In discussing valuation in section B of chapter 14, consideration is given to how transport margins should be incorporated into the accounts and in particular how international transport charges should be recorded. Paragraphs 14.61 to 14.77 explain that the parallel between basic and producer prices does not carry forward simply to a distinction between CIF and FOB-based prices.
The distinction depends on whether it is the unit providing the goods or the unit taking delivery of the goods that is responsible for providing the transport and insurance. Paragraph 14.77 ends by discussing briefly the practical problems in deriving the desired valuation from the available data sources.
It is reproduced here for convenience.
28.10 It may not be possible to determine from customs declarations which unit is responsible for the transport costs and, even when it is and conceptually the transport costs should be separated from the value of the goods themselves, there may be no information and no resources available to make the separation in practice.
In such a case the CIF value of imports may be the only source with a disaggregation by type of good.
If the disaggregated CIF figures are used for imports of goods, though, that part of the transport costs and insurance also included in imports of services would be double-counted.
In order to avoid this, therefore, an adjustment column is inserted into the supply table.
The adjustment column consists of a deduction from the services items for transport and insurance equal to the CIF-to-FOB adjustment for these items with an offsetting global adjustment made to imports of goods. Table 14.4, reproduced here as table 28.1 gives an example of such an adjustment.
Table 28.1: An example of imports entries in the supply table with the global CIF to FOB adjustment
28.11 This adjustment column shows the reallocation of service margins from the industries where they are produced (by resident or non-resident producers) to an adjustment row for the CIF/FOB adjustment.
In the column for goods, the values given industry by industry include an element of these service margins, but this is deducted on the CIF/FOB adjustment row to leave the total equal to the total of imports FOB.
The adjustments in this column are analogous to a similar column that could be shown illustrating the adjustment between purchasers' and basic prices.
28.12 A simpler procedure than that just described, though one not strictly consistent with BPM6 recommendations, is to ignore the balance of payments division between goods and services and adjust the figures for imports of services by the amount of services provided by non-residents that are included in the detailed figures for imports of goods.
This ensures that the total of imports of goods and services agrees with the total in the balance of payments but will not agree with the total of imports of goods FOB and of services shown there.
This makes compiling the supply and use tables simpler but means that it is not possible to use imports of goods on a FOB basis to match exports of those goods from other countries.
Even in this simpler version, however, the amount of freight and insurance on imports provided by residents must be shown as an export of services.
28.13 A producer may carry out the same activity under quite different economic conditions.
Consider farmers growing grain which is milled into flour before use.
Suppose one farmer acquires a mill to process his own grain but once this is acquired he may offer to mill grain for others for a fee.
The production account for the farmer with a mill will look somewhat different from that for a farmer who does not have a mill but pays the first farmer a fee for milling even though both produce flour for sale.
28.14 In the case of milling the reasons for subcontracting the activity to another may be the availability of suitable fixed capital.
Increasingly, however, similar processes are being carried out internationally and in respect of activities more usually associated with manufacturing such as the assembling of component parts.
Here the motivation is less one of the availability of capital than of the costs of labour.
If the average wages in country X are half of those in country Y, it may be cost-effective for a unit in Y to dispatch the components to a unit in X for assembly and then have the completed product returned to Y or even shipped directly to a final purchaser.
28.15 Previous editions of the SNA have recommended that components for assembly should be recorded as delivered to the unit in country X and that the whole of the value of the completed product should be recorded as output of X and exports from X to Y. This does not match the treatment of grain milling or, for example, repairs to machinery where no such change of ownership of the goods being processed is imputed.
Imputing a change of ownership of the parts to be assembled gives rise to significant data compilation problems because the value of the assembled product may be greater than the cost of the components plus the fee to assemble them.
The value of the finished product may incorporate the results of research and development of the unit contracting the assembly, for instance.
The SNA now recommends that products should only be recorded as being delivered to another unit if there is a change of ownership or, in the case where both producing units belong to the same enterprise, the producing unit taking delivery also assumes responsibility for subsequent risks and rewards of production such as deciding how much to process, what price to charge and when to sell.
28.16 The question arises of how to record the activity of assembling goods to order for another unit in the supply and use tables and the input-output table.
The processes of assembly for oneself and for another are physically similar but the economics are different.
28.17 Suppose in year 1 a processing unit converts products only on own account.
In year 2 the unit processes the same amount on its own account but also processes a similar amount on behalf of another.
Suppose the cost of items processed in year 1 is 90, the cost of associated products needed to assemble them is 10 and the value added is 35. The total value of output is thus 135. In year 2, all other things being equal, intermediate consumption increases by another 10 to 110 and value added to 70 bringing the value of output to 180. The change in the structure of production is difficult to understand in the absence of information on the change in the role of the producer who is operating no longer only on his own behalf but also on behalf of others.
28.18 There are essentially two ways to proceed.
The first is to treat processing on own account and on behalf of another as different types of activity and different products.
In this way in the second year the producer would have one activity with inputs of 100, value added of 35 and output of 135 as in the first year, plus another activity with inputs of 10, value added 35 and output of 45.
Table 28.2: Options for recording goods not changing economic ownership
28.19 The second alternative is to show the intermediate inputs in the second year as 200, value added as 70 and output as 270. Value added is the same under both options and the comparison between the second and the first year makes more sense from a transformation point of view under option 2. However, adding an extra 90 to both output and intermediate consumption is essentially artificial.
Further, as noted above, it may be difficult for the processor to put a value on the components he receives and the output he provides to the other unit.
The chances are that he only knows that he receives a fee of 45 to cover his incidental expenses of 10 and leave an amount of value added, 35 in this case.
These options are shown in table 28.2.
28.20 It should be emphasized that it is option 1 that is the recommendation of the SNA and, for goods sent abroad for processing, BPM6.
Option 2 is shown as a supplementary presentation that may be adopted for reasons of continuity with past practices.
Option 1 more accurately reflects the economic processes taking place while option 2 focuses on the physical transformation process.
28.21 When goods are sent abroad for processing, they are recorded as neither exports of goods by the country holding economic ownership, nor as imports of goods by the processing country in either the SNA or BPM6.
Similarly, after processing they are recorded neither as exports by the processing country nor as imports of goods by the country of economic ownership.
The only item recorded as imports and exports is the fee agreed between the economic owner and the processor.
28.22 The physical flows of the goods will continue to appear in the merchandise trade figures.
However, the product code after processing may be different from the code on entry, making it difficult to match the incoming and outgoing flows.
28.23 The presentation of option 2 suggests that the fee can be derived as the difference between the value of the goods on arrival and departure from the processing country but while this may sometimes give a reasonable approximation of the processing fee, there are many reasons why this may not be so.
a. If processing takes any significant amount of time, there may be holding gains and losses affecting the value of the goods.
These accrue to the economic owner, not the processor.
b. Goods may be lost or damaged or may simply become obsolete while in process.
(This has been observed in the case of electronic components.)
These other volume changes also apply to the economic owner and not the processor.
c. The value of the processed goods may be greater than the costs of the components and the processing fee to the extent that the finished product incorporates part of the value of R&D treated as fixed capital formation of the economic owner.
28.24 All these situations reinforce the preference for option 1 over option 2 in table 28.2.
28.25 As explained in chapter 14, it is possible to derive the three estimates of GDP from a set of supply and use tables.
Since these tables can be expressed in volume terms, estimates can also be made of growth rates based on the tables.
However, to complete the sequence of accounts, production accounts are needed by institutional sector.
To ensure that the supply and use table and the sequence of accounts are perfectly integrated and consistent, it is desirable to take the part of the use table showing intermediate consumption and the components of value added and allocate the columns to institutional sectors.
28.26 The starting point for the compilation is the part of the use table in table 14.12 relating to intermediate consumption and value added.
This is shown in a somewhat aggregated form in table 28.3.
28.27 The easiest allocation is for financial corporations since typically such corporations do not undertake secondary activity and other institutional units do not undertake any financial activity.
When these conditions prevail, the column for the finance and insurance activity can be taken in its entirety as appropriate for the institutional sector.
It is possible that financial corporations may undertake some production for own final use (as capital formation), in which case some part of an appropriate column in the section of table 28.3 relating to own account production should be added.
No such adjustment has been made in this example.
28.28 The columns relating to non-market producers must be allocated between general government and NPISHs. In addition, though not in this example, it is possible that either general government or NPISHs may have an establishment undertaking market production.
This is how it is possible that non-market producers may have small amounts of operating surplus.
It is also possible that both general government and NPISHs may have some production for own final use (as capital formation) but none has been assumed here.
28.29 The last step is to allocate all columns not yet accounted for between non-financial corporations and households.
An indication that some part of a market production activity should be allocated to households is the presence of mixed income as part of the value added of the activity.
Thus, in this example, some parts of market production of agriculture, manufacturing, construction and trade are attributable to households as well as production for own final use.
(As noted in general some of production for own final use will be attributable to other sectors.
It is not done so here for reasons of simplicity at such an aggregate level.)
28.30 Once these calculations are complete, table 28.4 results, showing for each sector not just total intermediate consumption but also a product breakdown of this as well as the items for value added.
28.31 The figures shown for intermediate consumption, output and the elements of value added for each institutional sector are those that appear in the production account and generation of income account in the sequence of accounts.
Table 28.3: The use table from table 14.12
28.32 Essentially an input-output table is derived from a use table where either the columns representing industries in the two left-most quadrants are replaced by products or where the products in the two topmost quadrants are replaced by industries.
The resulting intermediate consumption matrix is then square, showing products in both rows and columns or industries in both.
In both cases the row totals for the complete matrix match the column totals for the complete matrix, product by product or industry by industry as the case may be. The resulting matrices are therefore referred to as being symmetric.
28.33 The process of replacing the product dimension by an industry one is based on one of several possible models, to be discussed below.
This process necessarily means that a symmetric input-output matrix is further removed from basic data sources than a supply and use table and it is therefore useful to review why making this transition is so useful.
28.34 Note that in table 14.12, there is a product for ores and minerals, electricity and water but no column for it. If there is no industry for which this is the principal product, identifying the primary producers rather than the number of products will determine the final size of the symmetric (square) matrix.
Table 28.3cont: The use table from table 14.12
28.35 Such tables have algebraic properties that make them particularly suitable for analyses that enable estimates to be made of the effects of changing relative prices, of labour and capital requirements in the face of changing output levels, of the consequences of changing patterns of demand and so on. They may also be used as the basis for an expanded version that may be used to estimate the demands made by the economy on the environment, for instance.
28.36 As noted in the introduction, there is a vast literature on how to compile and use input-output tables.
The purpose of this section is simply to indicate the key aspects of converting a pair of supply and use tables into an input-output table.
28.37 Suppose the entries in the inter-industry matrix are each divided by the figure for output at the bottom of the corresponding column, and the resulting matrix is designated as A; the vector of outputs is written as x and the vector of total final demand is written as y. Then
Ax + y = x
This can be rewritten as (I-A) x = y
or
x=(I-A)-1y.
28.38 The matrix (I-A) is known as the Leontief matrix, after the man who pioneered the use of input-output tables and the matrix (I-A)-1is known as the Leontief inverse.
It is the last formulation that gives the analytical power to input-output analysis.
28.39 Suppose there is an increase in demand, for manufactured products, say.
Looking at even the supply and use table it can be seen that to increase the output of these goods, more inputs of almost all types of products are needed.
This increase in demand for a range of products is called the direct effect of a change in demand.
However, the increase in demand in all these products causes a further round of increases in output for all products and this in turn triggers another set of increases in output and so on. Each round of effects is smaller than the last until it eventually becomes insignificant.
The total of all second and subsequent round effects is called the indirect effect of a change in demand.
Table 28.4: Intermediate consumption and value added cross-classified by industry and institutional sector
28.40 In terms of the algebra just introduced, the direct effect is equal to Ay, the second round effect to A2y, the third round effect to A3y and so on. It can be shown that (I-A)-1 can be written as A+A2+A3+A4etc.
This is where the power of having a symmetric matrix comes from since A needs to be square for this formulation to work.
28.41 As long as changes in demand, y, are sufficiently small that the average coefficients in A are likely to be good approximations to the new situation, the new level of x can be calculated.
The approach breaks down if the changes in demand are so great that significant changes in A are likely to follow and marginal rather than average coefficients are needed.
28.42 The matrix A is also sometimes called a matrix of technological coefficients and can provide insights into the way an economy works.
In an economy dominated by primary products with little processing carried out in the domestic economy, there are relatively few significant nonzero elements in A. As the economy develops and processing of primary products becomes more commonplace, A becomes more populated with entries reflecting greater vertical and horizontal integration of activities within the economy.
By exploring different industries associated with different stages in the production process it is possible to say where value added is generated.
For example, cotton is grown as an agricultural product.
It is then subject to separation into lint and seed (ginning), then the lint is converted to yarn and the yarn to fabric.
If each of these activities appears in a different industry, it is possible to see where the value added between the growing of the cotton and the eventual fabric in which it is used arises.
28.43 An industry classification such as ISIC essentially identifies industries in terms of the sorts of goods or services they typically produce.
However, there are more products than industries and, for all sorts of reasons, some products may be made in several industries.
28.44 In order to limit the number of products per unit and to allow integration with basic production statistics, the concept of establishment is introduced.
In principle, an establishment produces only one product at one location but the SNA recognizes that in practice it is not possible to separate production into such fine detail.
Dealing with the fact that many establishments produce more than one product is fundamental to the idea of calculating a symmetric input-output matrix.
Table 28.4cont: Intermediate consumption and value added cross-classified by industry and institutional sector
28.45 The reason that manipulation of supply and use tables is needed to produce an input-output table is the existence of secondary products.
If there were the same number of industries as products, and if each industry only produced one product, the supply table for the domestic economy would be unnecessary; the column totals for industries would be numerically equal to the row totals for products and the inter-industry matrix would be square as originally compiled.
As noted elsewhere, the intent behind using establishments rather than enterprises, and working at a fairly detailed level in the supply and use tables, is to get as close to this situation as is reasonably practicable.
Inevitably though some secondary production remains.
28.46 There are three types of secondary production
a. Subsidiary products: those that are technologically unrelated to the primary product.
Just a few examples include a large retailer with a fleet of trucks used primarily for its own purposes that may occasionally offer transport services to another unit, a farmer who use part of his land as a caravan site, or a mining company that builds access roads and accommodation for its workers.
b. By-products: products that are produced simultaneously with another product but which can be regarded as secondary to that product, for example gas produced by blast furnaces.
c. Joint products: products that are produced simultaneously with another product that cannot be said to be secondary (for example beef and hides).
In order to reduce the supply and use tables to one single input-output matrix two possibilities exist.
One is to express the input-output matrix in terms of products only; the other is to express the input-output table in terms of industries.
28.47 There are two basic approaches to eliminating secondary products.
Both come from applying information from the use matrix to the supply matrix to reduce it to a purely diagonal one.
Once this is done, the supply matrix contains no further useful information and is no longer presented.
The transformed use matrix is what is referred to as an input-output matrix.
28.48 In deriving a product by product matrix in the simplest possible way, the final demand quadrant of the use matrix is unaltered.
It already expresses demand by product and does not need changing.
The intermediate consumption and value added parts of the matrix, though, need to be changed from an industry dimension to a product one.
The row totals of the matrix already show the correct product totals so the exercise consists of reallocating entries from one column to another within the given row total.
This is called a technology approach.
It assumes that the demand for intermediate consumption and labour and capital inputs are determined by the nature of the products made.
28.49 In deriving an industry by industry matrix in the simplest possible way, the value added part of the use matrix is unaltered and because the level of output will not alter, only the composition of intermediate consumption changes, not its total.
Thus the exercise is one of reallocating items between rows but not between columns.
In contrast to the product by product case, the quadrant relating to final demand will change and will show demand related to the industry supplying the products and not to the products themselves.
This is called a sales structure approach.
It assumes that as the level of output of an industry changes, the pattern of sales will remain the same.
Table 28.5: A numerical example of reallocating products from construction to manufacturing
28.50 Both these assumptions, the technology assumption and the sales structure assumption, are rather simplistic and in practice a more generalized approach may be used but it is helpful first to examine each of the assumptions in a little more detail.
28.51 There are two ways in which a product by product matrix can be derived.
These are:
a. The industry technology assumption where each industry has its own specific means of production irrespective of its product mix.
b. The product technology assumption where each product is produced in its own specific way irrespective of the industry where it is produced.
28.52 It is simplest to explain these by example.
In the upper part of table 14.12, the construction industry is shown as producing 6 units (out of 208) of manufacturing products.
In the lower part of table 14.12, reproduced as table 28.3, the inputs necessary for manufacturing and for construction are shown.
These are reproduced in the first two numeric columns in table 28.5.
The next two numeric columns express these in percentage form.
Thus, for example, one unit of manufacturing requires 0.038 units of agricultural products, 0.102 units of ores and minerals and so on. Construction uses no agricultural products, 0.005 units of ores and minerals and so on.
28.53 In order to create the product by product matrix, it is necessary to deduct the costs associated with the production of 6 units of manufactured goods from the column for construction and add it to the column for manufacturing.
On completion of this exercise for all secondary production, the columns will represent products rather than industries.
28.54 Under the industry technology assumption, the coefficients showing how manufactured products are produced are assumed to depend on the industry they happen to be produced in. Thus to reallocate the 6 units of manufacturing products from the construction industry to a column that will now refer to manufactured products only (ignoring other secondary products for the moment) a set of inputs, derived as 6 times the coefficients for construction is added to the manufacturing column and deducted from the construction column.
The results of this are shown in the fifth and sixth numeric columns of table 28.5.
28.55 Under the product technology assumption, the coefficients showing how manufactured products are produced are those of the manufacturing industry regardless of where they are actually produced.
In this case, to reallocate the 6 units of manufacturing products from the construction industry a set of inputs derived as 6 times the coefficients for manufacturing is added to the manufacturing column and deducted from the construction column.
The results are shown in the seventh and eighth numeric columns of table 28.5.
28.56 It is important to note a problem that arises under this assumption.
When the product technology assumption is used, manufactured products produced by the construction industry are assumed to use a small amount of food.
However, no agricultural products are actually recorded as being used in the construction industry so deducting these inputs from the recorded entries for construction leads to a negative entry.
Negative entries cannot appear under the industry technology assumption.
Since negative entries are logically impossible, this is one argument in favour of using the industry assumption rather than the product assumption.
28.57 Just as there are two ways in which a product by product matrix can be derived, there are two ways in which an industry by industry matrix can be derived.
These are:
a. The fixed product sales structure where it is assumed the allocation of demand to users depends on the product and not the industry from where it is sold.
b. The fixed industry sales structure where it is assumed that users always demand the same mix of products from an industry.
28.58 Although a table similar to table 28.5 is not presented for the industry by industry tables, its construction is similar and straightforward but would show the entries across the rows of the use tables rather than down the columns.
28.59 In order to create an industry by industry table, it is necessary to move the use of 6 units of manufactured products from the row for the manufacturing to the row for the construction.
On completion of this exercise for all secondary production, the rows will represent industries rather than products.
28.60 In this case, to allocate the 6 units of manufactured goods supplied by the construction industry to the row for construction, a proportion of the row for manufacturing is allocated to the construction row using the proportions in the manufacturing row.
It follows that such a matrix will not contain negative entries.
28.61 Here the 6 units of manufactured goods supplied by the construction industry are reallocated to the construction row from the manufacturing row using the proportions of the construction row.
Such a matrix can contain negative elements.
28.62 There are four basic choices open to the input-output compiler.
a. A product by product approach using a product technology assumption,
b. A product by product approach using an industry technology assumption,
c. An industry by industry approach assuming a fixed product sales structure,
d. An industry by industry approach assuming a fixed industry sales structure.
Options a and d may result in negative entries; options b and c do not.
Table 28.6: Example of a product by product input-output matrix
Table 28.7: Example of an industry by industry input-output matrix
28.63 Both product by product and industry by industry tables may be compiled.
They serve different analytical functions.
For example, to ensure that price indices are strictly consistent, a product by product matrix is to be preferred.
For a link to labour market questions, an industry by industry table may be more useful.
Although traditionally a lot of interest focused on the product by product tables, this was accompanied in large part by an attention to the underlying technology.
Increasingly the economic interaction of different industries has brought more interest in the industry by industry tables.
28.64 In practice, no single method is used on its own.
Knowledge of the type of product or industry in question should dictate whether an industry-based conversion procedure or a product-based one is most appropriate.
Some secondary products may be dealt with one way and others another despite the fact that, on occasion, negative values may initially appear.
28.65 The extent of variation between the various approaches will depend on a number of factors, including in particular the extent of secondary production in the supply matrix.
In general, the greater the degree of disaggregation and thus the less secondary production to be reallocated, the closer the input-output tables will resemble the supply and use tables.
Indeed some countries prefer to work with very detailed supply and use tables and not produce symmetric tables at all.
28.66 As an illustration of the differences involved, tables 28.6 and 28.7 show the results of converting the supply and use tables in chapter 14 to, first, a product by product matrix using only the industry technology assumption and then an industry by industry matrix using only the product sales structure.
28.67 The starting point for the production of a symmetric inputoutput table is a pair of supply and a use tables both at basic prices.
Even the calculation of a use table in basic prices is one step away from basic statistics and actual observations, reinforcing the fact that the input-output tables are analytical constructs, not a compilation of directly observed phenomena.
28.68 Further, it is advantageous to separate the use table at basic prices into two, one showing those elements relating to domestic output and the other those elements relating to imports.
The statistical requirements for such a separation are demanding but the results allow considerable flexibility in the treatment of imports and permit a clear analysis of the impact of demand on supplies from resident producers and on foreign suppliers.
28.69 The exact manner of dealing with imports is a subject of considerable complexity where a number of options are available also.
In some economies, some important products will only be imported and so separating these “non-competing” imports from the rest may be of particular interest.
28.70 Another topic that requires careful consideration is the degree of detail that is desirable for product and industry classifications.
This may vary depending on the resources available to the statistical office and the sort of use to be made of the results.
Table 28.8: The goods and services account in matrix form
28.71 The part of the use table relating to the destination of products represents one side of the goods and services account in matrix form.
However, it can also be expressed as a series of sub-matrices; one for intermediate consumption, one for final consumption, one for capital formation and one for exports.
These sub-elements can be associated with the production account, the use of income account, the capital account and the rest of the world account respectively.
Similarly the supply table represents the other side of the goods and services account but can also be written as two sub-matrices, one associated with the production account (output) and one with the rest of the world (imports).
By writing the supply table horizontally and the supply table vertically in terms of these submatrices and their associated accounts, table 28.8 emerges.
The rows and columns labelled E denote the total economy and those labelled R the rest of the world.
28.72 The attraction of this format is that the total across the set of rows for the goods and services account is equal to the total down the columns for the same account.
There is no match for the second set of rows for the production account, but it is not difficult to bring this about.
The entries for value added can be inserted in a third set of rows with the entries underneath intermediate consumption.
In this way the sum down the columns for the production account is then equal to the rows for the same account.
But there is now an unmatched third set of rows containing value added.
Since value added ultimately carries forward to the allocation of primary income account, the third set of rows can be so labelled as in table 28.9.
28.73 If, to match this third set of rows, a third set of columns is inserted between the production account columns and those for the use of income account, property income can be inserted at the intersection of the third set of rows and columns and a fourth set of rows inserted to show the balance of primary income as it appears in the secondary distribution of income account.
Proceeding in this way, successive sets of rows and columns can be introduced until the whole sequence of accounts is covered, as in table 28.10.
28.74 By including the entries for the rest of the world as well as for the total economy, the balancing items from the balance of payments can be shown as, for instance, the -41 in table 28.9.
28.75 It is also possible to extend table 28.10 to show the incorporation of the balance sheets as in table 28.11.
For this, a row above the initial table is introduced to show the opening balance sheet and three rows below it. The first of these shows the entries for the other changes in the volume of assets account, the second relates to the revaluation account and the last is the closing balance sheet.
Two adjustments also need to be made to table 28.6.
The first concerns the item for the consumption of fixed capital, which is transposed from the row for the capital account and column for the production account and placed in the column for the capital account and row for the production account but with a negative sign.
The second is to subdivide the capital account with the first set of rows and columns covering all items in the account but the second set covering the product details for gross capital formation and thus forming part of the asset account for non-financial assets.
28.76 Reading down the columns starting with the opening balance sheet entry for fixed assets, for example, this value plus the value of capital formation, less consumption of fixed capital, plus other changes in the volume of assets plus revaluation items is equal to the value on the closing balance sheet.
For financial assets less liabilities the matching identity holds.
28.77 It is possible to expand and rearrange the rows and columns of the matrix so long as this is done consistently in both dimensions.
It is not strictly necessary to adhere to the order of the sequence of accounts or the degree of detail shown there.
The transactions to be included can be expanded or contracted as can the sets of institutional units to be identified.
Table 28.9: The supply and use table in matrix form
28.78 The example of transposing consumption of fixed capital from being a positive entry on one side of the account to a negative entry on the other demonstrates how the matrix formulation may be used to enhance the articulation of the asset accounts.
28.79 It is also possible to include alternative classifications of key items.
For example a row called “human needs” could be included showing how much food, housing etc was needed for each group of households, based on the functional classification of household consumption.
In the column for consumption expenditure, the set of needs can be then cross-classified by product and household group.
28.80 A further expansion of the matrix may be to show the from-whom-to-whom details of such flows as property income and transfers.
28.81 The matrix presentation is very powerful in terms of the flexibility it can encompass, and in displaying the interaction of the accounts in a compact and graphic manner.
On the other hand, there are disadvantages to the matrix presentation also.
a. Without explanatory text describing each of the main elements, a reader has to have a very good understanding of the SNA to interpret the numeric entries in the table.
b. Such a table always contains lots of white space which means that it is not an effective way of presenting a large amount of data.
In general, the matrix format is best used to explain the structure of the accounts being presented with individual cells, or a combination of cells, following in a more traditional format.
28.82 Expanding the accounting matrix of the sequence of accounts to incorporate the disaggregation of households is the usual form of a satellite account known as a social accounting matrix (SAM).
As such it moves beyond a rigorous accounting structure based on observations to make an allocation of income into household groups possibly based on a household income and expenditure survey.
In some cases this is based on a single survey.
The problem, as explained in chapter 24 on the household sector, is that income flows in the SNA relate to individuals whether as employees, recipients of property income or transfer recipients while expenditure relates to households.
Mapping individuals to households is necessarily difficult and depends to a greater or lesser extent on a set of assumptions.
Any analysis of how government policies will affect households and their consumption depends on making such a mapping.
28.83 One example of where a SAM is useful is in the case of labour accounts, showing the level and composition of employment and unemployment.
SAMs have often provided additional information on this issue, via a subdivision of compensation of employees by type of person employed.
This subdivision applies to both the use of labour by industry, as shown in the supply and use table, and the supply of labour by socio-economic subgroup, as shown in the allocation of primary income account for households.
It implies that the matrix presents not only the supply and use of various products, but also the supply and use of various categories of labour services.
28.84 In order to have a comprehensive picture of the relationship between households and the labour market, the following sets of information are likely to be needed:
a. Various stocks underlying the flows in the SAM, such as size and composition of the population by household group (including the potential labour force) and production capacity by industry;
b. For the self-employed, it may be desirable to have information on the possession of assets (for example, agricultural land, consumer durables) as well as information on financial assets and liabilities;
c. Related non-monetary socio-economic indicators, such as life expectancy, infant mortality, adult literacy, nutrient intake, access to (public) health and education facilities, and housing situation by household group (see Towards a System of Social and Demographic Statistics (United Nations, 1975));
d. Some re-routings such as social transfers in kind by groups of households.
28.85 Comparing labour incomes of all employed persons as shown in the SAM, a decomposition of these incomes into full-time equivalent employment and average wage rates, and the potential labour force by type of person and household group (expressed in “full-time” equivalents), yields detailed information on the composition of unemployment and an aggregate indicator (“full-time equivalent unemployment”) which is consistent, both conceptually and numerically, with the other macroeconomic indicators; these can also be derived from the SAM framework.
Table 28.10: The flow accounts in the sequence of accounts in matrix form
Table 28.11: The sequence of accounts including the balance sheets in matrix form
29.1 The sequence of accounts is fully integrated in large part because of the underlying rigour of the accounting system.
However, the guidelines given in earlier chapters are not necessarily to be followed without variation.
A great strength of the SNA is that its articulation is sufficiently robust that a great deal of flexibility can be applied in its implementation while still remaining integrated, economically complete and internally consistent.
The purpose of this chapter is to illustrate some of the ways in which this flexibility can be applied.
29.2 As noted in several earlier chapters, moving away from what is purchased to answer the question of why outlays are incurred adds considerably to the analytical power of the system.
One approach to this question is the use of functional classifications of expenditure and outlays.
A description of these classifications is given in section B. These functional classifications are central to the SNA and also provide a useful starting point for some types of satellite accounts.
29.3 Instead of using the product and industry classifications (CPC and ISIC) in their standard order and at the same level of their hierarchies, it can be very instructive to select a group of products or industries of particular importance to the economy, designated here as a key sector.
The choice might be very specific, for example concentrating on a single agricultural crop or mineral output, or may be more general such as all the goods and services primarily serving tourism.
In either case, a set of supply and use tables may be compiled concentrating on the key sector and aggregating other products and industries.
In some cases, where the activity is undertaken by relatively few, relatively large enterprises, it may be possible to go further and compile a complete sequence of accounts for the key sector also.
These approaches are described in section C.
29.4 A further and more extensive form of flexibility is that of a satellite account.
As its name indicates, it is linked to, but distinct from, the central system.
Many satellite accounts are possible but, though each is consistent with the central system, they may not always be consistent with each other.
29.5 Broadly speaking, there are two types of satellite accounts.
One type involves some rearrangement of central classifications and the possible introduction of complementary elements.
Such satellite accounts mostly cover accounts specific to given fields such as education, tourism and environmental protection expenditures and may be seen as an extension of the key sector accounts just referred to. They may involve some differences from the central system, such as an alternative treatment of ancillary activities, but they do not change the underlying concepts of the SNA in a fundamental way.
The main reason for developing such a satellite account is that to encompass all the detail for all sectors of interest as part of the standard system would simply overburden it and possibly distract attention from the main features of the accounts as a whole.
Many elements shown in a satellite account are invisible in the central accounts.
Either they are explicitly estimated in the making of the central accounts, but they are merged for presentation in more aggregated figures, or they are only implicit components of transactions which are estimated globally.
29.6 The second type of satellite analysis is mainly based on concepts that are alternatives to those of the SNA.
The sorts of variations in the basic concepts that may be considered are discussed in section D. These include a different production boundary, an enlarged concept of consumption or capital formation, an extension of the scope of assets, and so on. Often a number of alternative concepts may be used at the same time.
This second type of analysis may involve, like the first, changes in classifications, but in the second type the main emphasis is on the alternative concepts.
Using those alternative concepts may give rise to partial complementary aggregates, the purpose of which is to supplement the central system.
29.7 Section E suggests some sorts of tables that might be useful in the context of a satellite account.
Again, flexibility in the presentation of tables is recommended but the subjects of the tables given in section E have proved to be useful in a number of cases.
29.8 The emphasis on the flexibility of the SNA extends to allowing complete flexibility about how many and what sort of satellite or other extended accounts may be developed.
Satellite accounts, especially of the second sort, allow experimentation with new concepts and methodologies, with a much wider degree of freedom than is possible within the central system.
When a number of countries develop similar satellites, exchanging experience can lead to beneficial refinements and the establishment of international guidelines in a particular topic and ultimately the possibility of changes in the central system itself.
Some examples of this sort of research are reported in section F of this chapter.
29.9 The SNA uses special classifications to analyse consumption, or more generally outlays, by different sectors according to the purpose for which the expenditure is undertaken.
Such classifications are referred to as functional classifications.
The classifications concerned are:
a. Classification Of Individual COnsumption by Purpose (COICOP);
b. Classification Of the Functions Of Government (COFOG);
c. Classification Of the Purposes of Non-profit Institutions serving households (COPNI);
d. Classification of Outlays of Producers by Purpose (COPP).
29.10 Full details of all the classifications can be found in Classifications of Expenditure According to Purpose (United Nations, 2000).
29.11 The main purpose of these classifications is to provide statistics which experience has shown to be of general interest for a wide variety of analytical uses.
For example, COICOP shows items such as household expenditure on food, health and education services all of which are important indicators of national welfare; COFOG shows government expenditure on health, education, defence and so on and is also used to distinguish between collective services and individual consumption goods and services provided by government; COPP may provide information on the “outsourcing” of business services, that is, on the extent to which producers buy-in catering, cleaning, transport, auditing and other services that were previously carried out as ancillary activities within the enterprise.
29.12 Functional classifications also provide the means to recast key aggregates of the SNA for particular kinds of analyses, some of which are described in later sections of the chapter.
For example:
a. It can be argued that, for several analytical purposes, the SNA definition of gross capital formation is too narrow.
In studies of the causes of labour productivity, researchers would often like to have a measure of “human capital” which is normally derived from information on past expenditures on education.
The four functional classifications each identify expenditures on education and thus it is possible to derive education expenditure incurred by households, government, non-profit institutions and producers;
b. In studies of household expenditure and saving, some researchers have considered expenditures on consumer durables as capital rather than current expenses. COICOP facilitates this by identifying expenditures on durable goods;
c. In studies of the impact of economic growth on the environment, researchers often wish to identify environmental protection expenditure. COFOG and COPP both include this as one of their first level categories.
29.13 There are 14 main categories in COICOP.
The first 12 sum to total individual consumption expenditure of households.
The last two identify those parts of consumption expenditure by NPISHs and general government that are treated as social transfers in kind.
Together all 14 items represent actual final consumption by households.
The 14 categories are as follows:
1. Food and non-alcoholic beverages,
2. Alcoholic beverages, tobacco and narcotics,
3. Clothing and footwear,
4. Housing, water, electricity, gas and other fuels,
5. Furnishings, household equipment and routine household maintenance,
6. Health,
7. Transport,
8. Communication,
9. Recreation and culture,
10. Education,
11. Restaurants and hotels,
12. Miscellaneous goods and services,
12. Individual consumption expenditure of NPISHs,
14. Individual consumption expenditure of general government.
29.14 Household budget surveys frequently use a classification scheme based on COICOP to collect household expenditure information.
This then has to be reallocated to products for use in a supply and use table as discussed in chapters 14 and 28.
29.15 There are ten main categories of COFOG as follows:
1. General public services,
2. Defence,
3. Public order and safety,
4. Economic affairs,
5. Environmental protection,
6. Housing and community amenities,
7. Health,
8. Recreation, culture and religion,
9. Education,
10. Social protection.
29.16 As noted in chapter 22, COFOG is used in the analysis and presentation of the government finance presentation of statistics.
29.17 There are seven main categories in COPNI as follows:
1. Housing,
2. Health,
3. Recreation and culture,
4. Education,
5. Social protection,
6. Religion,
7. Political parties, labour and professional organizations.
29.18 This classification is a somewhat reduced version of the classification for all non-profit institutions given in chapter 23.
29.19 There are six main categories in COPP as follows:
1. Outlays on infrastructure,
2. Outlays on research and development,
3. Outlays on environmental protection,
4. Outlays on marketing,
5. Outlays on human resource development,
6. Outlays on current production programmes, administration and management.
29.20 In principle, COPP applies to all producers, whether market or non-market, although not all categories are of equal interest for both kinds of producers.
It is probable that, in practice, classification of outlays of producers by purpose will mainly be of interest for classifying transactions of market producers.
29.21 The sequence of accounts is normally compiled for the whole economy or for all institutional units belonging to the same institutional sector or subsector.
Within the supply and use tables, production units may be grouped to show the elements of the production account and generation of income account, even if the production units are not complete institutional units.
Although the rows and columns of the supply and use tables often follow CPC and ISIC, at similar levels of their respective hierarchies, it is quite possible to select a number of industries that are of special interest in a given country.
It is common practice to refer to such groupings of industries as “sectors” even though they do not constitute institutional sectors as the term is used in the SNA.
29.22 It can be very useful for economic analysis to identify particular activities that play a key role in the economy’s external transactions.
These key activities may include the petroleum sector, mining activities or crops (coffee, for example), when they account for an important part of exports, foreign exchange assets and, very often, government resources.
29.23 The SNA does not try to provide specific and precise criteria for the definition of what identifies a key sector or special interest in a given country.
It is common practice to activity.
It is a matter of judgement in a given country, refer to such groupings of industries as “sectors” even based on economic analysis and economic and social policy though they do not constitute institutional sectors as the requirements.
For instance, even a small industry at an term is used in the SNA. infant stage might deserve to be treated as a key activity.
29.24 The first step in drawing up key sector accounts is to identify the key activities and their corresponding products.
This may involve grouping together items shown in different parts of ISIC or CPC.
For example, accounting for oil and natural gas may cover extraction of crude petroleum and natural gas (ISIC division 06), manufacture of refined petroleum products (ISIC class 1920), transport via pipelines (ISIC class 4930), wholesale of solid, liquid and gaseous fuels and related products (ISIC class 4661) and retail sale of automobile fuel (ISIC class 4730).
The extension of the key sector(s) depends on local circumstances; for example, it may be useful for the energy sector to cover petrochemical processing.
29.25 The key products and key industries accounts may be analysed in the context of a supply and use table.
Key industries are shown in detail in columns and other industries may be aggregated.
In the rows, key products are similarly shown in detail and other products aggregated.
Below the supply and use table, extra rows may show labour inputs, gross fixed capital formation and stocks of fixed assets.
In the use part of the table, columns for gross fixed capital formation and changes in inventories respectively may be broken down between one or more key sectors or industries and other sectors or industries.
In a country where the key activity is carried out by very heterogeneous types of producers, such as small farmers and large plantations owned and operated by corporations, it may be useful to show the two groups of producers separately, as they have wholly different cost structures and behave differently.
29.26 Thereafter, a set of accounts, following the sequence of accounts as far as possible, may be compiled for the key sector.
In the case of energy and mining activities, the key sector generally consists of a limited number of large corporations where access to the commercial accounts of the corporations is usually possible.
All transactions of the corporations are covered, even when they carry out secondary activities.
It is useful to know the nature of the secondary products, but not necessarily their destination.
29.27 When the key sector relates to an agricultural industry or product, such as coffee in certain countries, the situation is more complex.
Many producers may be unincorporated enterprises that do not qualify as quasi-corporations.
Ideally, the key sector accounts would include a complete set of accounts for the households that carry out these productive activities.
Because this may be difficult to do in practice, it may be necessary to show only the accounts and transactions which are most closely linked with the key activity such as the production and generation of income accounts from the one side and main transactions of the capital and financial accounts from the other.
29.28 In many cases, government plays an important role in connection with key activities, either via taxes and property income receipts, regulatory activity or subsidies.
Accordingly, the detailed study of transactions between the key sector and general government is very important.
The classification of transactions may be extended to identify those flows connected with the key activity, including the relevant taxes on products.
These flows may be received by various government agencies, such as ministries for special purposes, universities, funds or special accounts.
Similarly, it is very useful for economic analysis to indicate what uses are made by government of these resources, especially in the case when they are routed via a government agency.
This calls for a specific analysis by purpose of this part of government expenditure.
29.29 The distinction between public, foreign controlled or national private corporations is fundamental when dealing with a key sector.
29.30 One more step may consist in showing in additional tables the “from-whom-to-whom?” relationship between the key sector and each other sector and the rest of the world.
29.31 This section looks at some of the options that might be adopted in developing a satellite account of the second type, where some of the basic concepts of the central system are intentionally varied.
It is deliberately illustrative rather than exhaustive.
29.32 Within the production boundary of the central framework of the SNA, producer units are establishments, classified according to their principal economic activity.
Such units are classified according to ISIC.
29.33 When establishments, and consequently industries, are not homogeneous at a given level of the ISIC, they undertake both a principal activity and one or more secondary activities.
The output of these secondary activities is identified according to its nature, following a product classification, but the inputs of secondary activities are not separated from those of the principal activities.
Ancillary activities, on the other hand, are not analysed and classified according to their own nature and the related products do not appear as autonomous products.
29.34 When examining certain kinds of activity and products, it may be useful not only to separate secondary from principal activity, but also to identify and recognize the ancillary activities in order to obtain a full picture of the inputs corresponding to the activity being examined.
29.35 Consider the example of transportation.
The output of transportation activities in the central framework covers only transport services rendered to third parties, whether as a principal or secondary product.
Own-account transportation is treated as an ancillary activity; its inputs are unidentified components of the costs of the producing units it serves.
To obtain a broader picture of transportation activity, own-account transportation of producing units may be identified and measured.
29.36 In some instances, it may be useful to consider enlarging the production boundary.
For instance, to make an overall estimate of the transportation function in an economy, it might be useful to cover transport services rendered by households using their own cars and to try to value the time people spend using transport facilities.
Generally speaking, the scope of non-market activities may be extended considerably.
29.37 The process of identifying principal, secondary and ancillary activities works well when the activity in question is identified in one of the standard classifications and so appears in the central framework.
However, in some important cases, such as tourism and environmental protection activities, the process of identification is complex because not all the relevant activities and products appear in the central framework classifications.
In this case, the use of the word “industry” is not in strict accordance with the normal usage just as “sector” is used in a special sense in the context of key sector accounts.
29.38 When the production boundary is extended, as suggested above, the magnitude of primary incomes is increased, income being imputed for the additional activities which are inserted within the boundary of production.
29.39 In conditions of high inflation, nominal interest may be judged not to be an appropriate measure of the return to lent funds.
Nominal interest includes an implicit or explicit component as compensation for the change inflation causes in the real value of monetary assets and liabilities.
This component may be analysed as a holding gain for the borrower and a holding loss for the lender, rather than as an element of property income.
29.40 Several kinds of transfers in addition to those in the central framework may be delineated, if meaningful.
Some examples follow.
29.41 Implicit transfers may be made explicit.
Implicit transfers change the situation between units without any flow being treated as an imputed transfer in the central framework.
For instance, tax benefits refer to the advantages or disadvantages economic units incur as a consequence of tax legislation by reference to an average situation.
Another example is the case of non-market services provided free of charge by government units to market producers.
In the central framework these services are treated as collective consumption of government.
If a further analysis were to treat them as an addition to intermediate consumption of market producers, a counterpart should be introduced, preferably in subsidies on production.
This approach may be undertaken systematically to measure all types of transfers between government and particular sectors, such as agriculture.
The implicit benefits resulting from tax concessions, equity participation, soft loans, differential exchange rates, differential domestic prices, etc., may then be added to subsidies, other current transfers, or capital transfers embodied in the central framework data.
29.42 Externalities are impacts on third parties that are not accounted for in the value of monetary transactions between two economic units or that result from actions of these units in the absence of any monetary transaction.
As such, externalities may give rise to a wide range of implicit transfers.
For example, pollution and nuisance created by producers may have negative effects on final consumers.
These negative effects might (with difficulty) be estimated and recorded as negative transfers from producers to households.
In order to balance these negative transfers, one possibility might be to introduce a concept of production of externalities which would result in an output of negative or positive services and the corresponding final consumption.
29.43 Flows in the other changes in volume of assets account and the revaluation account of the central framework are candidates for enlarged concepts of transfers and disposable income.
Uncompensated seizures, for example, could be recorded as a transfer (albeit unwillingly on the part of the former owner).
In countries where holding gains or losses on financial assets or liabilities are significant, real holding gains and losses on financial assets and liabilities could be added to disposable income in order to derive a broader measure of income.
29.44 The coverage of uses of goods and services, either for intermediate or final consumption or capital formation, obviously changes as a result of enlarging the concept of production.
For example, if services rendered to each other by members of the same household were included in production, they would have to be also included in final consumption.
29.45 The borderline between intermediate consumption, final consumption and capital formation may also be modified in various ways.
Two often mentioned cases refer to human capital and consumer durables.
If at least part of final consumption on education and health were treated as fixed capital formation, the corresponding central framework transactions would be reclassified from consumption to fixed capital formation resulting in human capital assets.
As an immediate consequence, the concept of consumption of fixed capital would be extended.
29.46 An alternative to the inclusion of expenditures on consumer durables such as cars and furniture in household final consumption would be to treat them as fixed capital formation.
Only that part of the resulting fixed asset estimated as the capital services provided by the durable would then enter final consumption.
Strictly speaking, this procedure implies enlarging the concept of production to include household services.
(This is one subject discussed further in section E.)
29.47 As a consequence of the changes just considered, the concept of saving would be extended.
29.48 The scope of non-financial assets could be modified as a consequence of extending the concept of production or modifying the borderline between consumption and capital formation, as indicated in the previous paragraphs.
29.49 The scope of financial assets and liabilities could also be broadened by including contingent assets and liabilities in the classification of financial instruments.
Further, alternative rules about the valuation of financial assets may be used, for example using fair value estimates instead of market value.
29.50 Section B describes the functional classifications.
In the standard version, headings at a given level are mutually exclusive.
For example, teaching in hospitals must be classified as either education or health expenditure but not both.
Consequently, for an education or health account, it might be desirable to reclassify a number of transactions.
In order to preserve as great a degree of consistency with the central system as possible, any reclassifications should be treated as removing an item from one heading and placing it in another rather than allowing double counting.
Double counting would mean that transactions classified by purpose were no longer additive since some of them would appear under two or more headings.
However, even without double counting, it should be noted that different satellite accounts, each with a different focus, may not be consistent with respect to other headings.
For example, if an education satellite account treats some teaching done in hospitals as education rather than health, the measure of health in that satellite will differ from that in any other satellite where such a displacement has not been made.
29.51 A number of the complementary or alternative analyses mentioned above may modify the main aggregates as shown in the central framework either directly or indirectly.
Examples of direct modifications are the increase in output and value added when final consumption of household services for own use is included within the boundary of production, or the increase in fixed capital formation if human capital is considered an economic asset.
Other aggregates are indirectly modified; saving in the latter case, disposable income in the former.
29.52 In some types of analysis the objective is to focus on one specific field of concern, such as education or tourism.
Changes in some concepts and aggregates of the central framework may be introduced, but this is not the primary intention, nor is it intended to give a different picture of the overall economic process.
29.53 The previous section described what variations in the basic concepts, accounting rules and classifications of the SNA could be applied in a satellite account.
This section suggests some sorts of tables that it might be useful to compile for a satellite account.
29.54 The starting point is to decide which products are of interest and which are the industries involved in their production.
The resources devoted to the production of the items include not only current costs but also fixed capital used in production.
Once the items are produced, the question arises of how they are used.
This leads to requiring information on the following topics:
a. A detailed analysis of the supply and use of the products in question;
b. Information on the fixed capital used in the production process.
29.55 For many items, the units using the products are responsible for bearing the expense of acquiring the product but satellite accounts may frequently be compiled for areas, such as health or education, where there may be an important distinction between who pays for the product and who consumes it.
29.56 In addition, for many products of special interest, there may be particular taxes or subsidies associated with their production or use.
Taking these two factors together, therefore, in addition to the items above, the following is required:
c. An analysis of any transfers associated with either production or use.
29.57 It is also useful in many cases to associate non-monetary figures with the monetary ones.
This means assembling the following information:
d. Information on employment and the availability of assets.
29.58 Once these four sets of data are assembled, it should be possible to develop a satellite account that covers the analysis of uses of, or benefits from, the expenditure on the items, production including the labour and capital employed, transfers and other ways of financing the uses.
All of this can be expressed in value terms and, when relevant, in physical quantities.
29.59 For any field of interest, the starting point is to identify the products specific to this field.
It is customary, in the context of a satellite account, to identify these as characteristic products and connected products.
Characteristic products are those that are typical of the field; for instance, for health, characteristic products are health services, public administration services, education and R&D services in health.
29.60 The second category, connected goods and services, includes products whose uses are interesting because they are clearly covered by the concept of expenditure in a given field, without being typical, either by nature or because they are classified in broader categories of products.
In health, for example, transportation of patients may be considered connected services; also pharmaceutical products and other medical goods, such as spectacles, are very often treated as connected goods and services.
29.61 Together characteristic products and connected products are referred to as specific products.
29.62 For characteristic products, the satellite account should show the way these goods and services are produced, what kinds of producers are involved, what kinds of labour and fixed capital they use and the efficiency of the production process and, hence, of the allocation of resources.
29.63 For connected products, there is no particular interest in their conditions of production because they are not typical of the field of interest.
If the conditions of production are important, then the items should be considered characteristic products and not connected products.
For example, pharmaceutical products might be considered characteristic in the account for health of a country in the first stages of developing a domestic industry.
The precise borderline between characteristic and connected products depends on the economic organization in a given country and the purpose of a satellite account.
29.64 The components of uses or national expenditure are the following:
1. Consumption of specific goods and services,
2. Capital formation in specific goods and services,
3. Fixed capital formation of characteristic activities in non-specific products,
4. Specific current transfers,
5. Specific capital transfers.
Each of these items is discussed below.
29.65 Item 1 is consumption of specific goods and services.
It covers actual final consumption (as defined in the central framework) and intermediate consumption.
Market products, products for own final use and non-market products are distinguished and, for the last-named, individual and collective consumption may be shown separately.
Intermediate consumption generally has a broader coverage than in the central framework, as the output of the relevant ancillary activities is identified with intra-establishment deliveries being recorded.
As a consequence, it covers (actual) intermediate consumption as defined in the central framework and internal intermediate consumption.
In some cases, such as transport services, the last component may be important in size.
Sometimes, it could be considered that this internal intermediate consumption should be treated as final consumption and added to actual final consumption, as in the use of ancillary education and health services, thus broadening the scope of household actual final consumption.
Alternatively, the scope of consumption may be narrowed, if the use of certain services is treated as fixed capital formation in a satellite account instead of intermediate or final consumption as in the central framework.
29.66 Item 2 is capital formation in specific goods and services.
Since, item 2 includes changes in inventories, if appropriate, it may cover work-in-progress in specific services.
In an account for culture, for example, there may also be acquisition less disposals of valuables.
29.67 Item 3, fixed capital formation of characteristic activities in non-specific products and their acquisitions less disposals of non-produced non-financial assets is a bit more complex:
a. It does not cover the total fixed capital formation of these activities because that part consisting of specific products is already included in item 2.
b. Only the fixed capital formation of activities whose output consists of characteristic goods and services is covered in item 3.
(If the exclusion of capital formation of activities whose output consists of connected goods and services proves important, the products and activities in question may have to be redefined to be characteristic.)
c. An analysis based on establishments may give a broader coverage than normal because they may cover some secondary activities.
d. Item 3 includes acquisitions less disposals of non-produced non-financial assets.
29.68 Items 4 and 5, specific current transfers and specific capital transfers, are the most important components of national expenditure in cases such as social protection or development aid.
In these fields, items 1 and 2 refer only to the administrative costs, both current and capital, of the agencies managing social protection or international aid.
The core of the expenditure consists of transfers.
29.69 In some situations, there may be subsidies designed to reduce the prices paid by final consumers for certain goods or services, such as food, transport services, or housing services.
They are commonly called consumption subsidies.
In the central framework, when these goods and services are considered market products, they are included in final consumption at purchasers' prices.
In a satellite account there are two options: either consumption (item 1) is valued differently from the central framework in order to include the value of consumption subsidies or consumption is valued as it is in the central framework and specific current transfers (item 4) must include consumption subsidies.
Subsidies included in item 4 may also be directed toward reducing the prices of intermediate consumption.
Item 4 may also include other subsidies on production.
29.70 In each field a classification of specific transfers has to be established.
As it is used for analysing both uses and financing, this classification covers all specific transfers, independently of whether they are counterparts of items 1 to 3 or not.
29.71 The total uses of resident units are the sum of the five components above.
From this, current uses financed by the rest of the world are deducted to reach national expenditure.
National expenditure is thus equal to total uses of resident units financed by resident units.
It is desirable if possible to distinguish between current and capital uses financed by the rest of the world.
29.72 National expenditure, as defined above, does not include transactions in financial instruments.
However, for certain types of analysis, such as development aid, loans which are given or received at preferential conditions must be accounted for.
Benefits or costs resulting from rates of interest lower than the market ones involve implicit transfers as described in chapter 22.
29.73 Uses/national expenditure may be shown by type of products and transfers or by type of purpose (programmes).
The main emphasis may be put on one or the other of these two alternatives, or they might be used jointly, depending on the field covered or the aim of the analysis pursued.
The approach by programme is particularly relevant in the case of environmental protection or social protection.
29.74 For users or beneficiaries, the terminology used may differ from one satellite account to another. “Users” is more relevant to tourism or housing for example, “beneficiaries” to social protection or development aid.
In both cases, the terms refer to who is using the goods and services or benefitting from the transfers involved.
29.75 At the most aggregated level, the classification of users or beneficiaries is simply a rearrangement of the central framework classification of institutional sectors and types of producers, in which the production and consumption aspects are separated.
It may be as follows:
a. Market producers;
b. Producers for own final use;
c. Non-market producers;
d. Government as a collective consumer;
e. Households as consumers;
f. Rest of the world.
29.76 Households as consumers are the most important type of users or beneficiaries in many satellite accounts.
In order to be useful for social analysis and policy, a further breakdown of households is necessary.
For this purpose, one of the sorts of subsectoring of households discussed in chapter 24 could be considered.
29.77 Because users do not always bear the expenses themselves, it may be desirable to try to analyse the units that ultimately bear the expenses.
This is more feasible when the field of interest covers complete institutional units than when it concerns establishments (or units of homogeneous production) covering only part of the output of the whole enterprise.
29.78 One way to approach the question of financing is to first establish what types of financing are used and then identify which sorts of units provide each type of financing.
The question of “ultimate” bearer of the cost also needs addressing.
Some household consumption is provided by government as social transfers in kind, which in turn is largely financed by taxes received by government from households and enterprises.
In one sense, therefore, it could be argued that social transfers in kind are ultimately financed by households and enterprises.
Some conventions have to be established about how far back down the financing chain to go to determine the “ultimate”, or perhaps more correctly the indirect, source of financing.
29.79 Another problem that arises is that, except in cases of transactions in kind, there is no necessary link between one source of funding and one type of expenditure.
However, it is convenient to pair various types of financing and expenditure to see how far they correspond, as follows:
a. Intermediate consumption of market producers compared with revenue from sales;
b. Intermediate and final consumption of government compared with taxes;
c. Intermediate and final consumption of NPISHs compared with contributions received;
d. Final consumption expenditure by households compared with compensation of employees and transfers such as pensions.
29.80 Capital formation may be funded in a number of ways; from revenue from sales, from the disposal of assets (including financial assets), from the receipt of a transfer in kind or from borrowing.
In the case of capital formation by government, this may be funded by the issue of securities or by capital transfers or loans from the rest of the world.
29.81 The source of financing of transfers depends in large part on the field being studied.
If social benefits are included, they should be treated as mainly financed by social contributions from other households.
Governments will be the provider of transfers in some cases (including subsidies) and the recipient in others (including taxes).
29.82 In a number of cases, it may be particularly relevant to identify financing from the rest of the world.
29.83 As with key sector accounts, it will almost always be useful to develop a set of supply and use tables for the characteristic and connected products of interest and the producers of the characteristic products.
This may be extended to cover the generation of income account also and non-monetary data concerning employment and indicators of output.
29.84 Data measured in physical or other non-monetary units should not be considered a secondary part of a satellite account.
They are essential components, both for the information they provide directly and in order to analyse the monetary data adequately.
29.85 As explained in the introduction, there are two types of satellite accounts, serving two different functions.
The first type, sometimes called an internal satellite, takes the full set of accounting rules and conventions of the SNA but focuses on a particular aspect of interest by moving away from the standard classifications and hierarchies.
Examples are tourism, coffee production and environmental protection expenditure.
The second type, called an external satellite, may add non-economic data or vary some of the accounting conventions or both.
It is a particularly suitable way to explore new areas in a research context.
An example may be the role of volunteer labour in the economy.
Some sets of satellite accounts may include features of both internal and external satellites.
29.86 The boundary between satellite accounts and a straightforward elaboration of the SNA or even with other systems is not clear cut.
The links to balance of payments and the international accounts as presented in BPM6, government finance statistics as in GFSM2001 or MFSM could all be seen as a form of satellite account.
The treatment of NPIs in chapter 23 and the informal sector in chapter 25 are clearly satellite accounts.
Even the pension table in chapter 17 could be seen as a form of satellite account, even though its compilation is part of the central guidelines of the SNA.
29.87 In this section, some further satellite accounts are described.
The descriptions are brief, being intended to give a flavour of the accounts only; references are given for further information.
Four areas in total are described.
For two of these, the tourism satellite account and the environmental satellite account, the international manuals are now in their second version.
The health satellite account is still in a preliminary version but under active revision.
The fourth area covers unpaid household production activities.
This has been an area of interest for very many years but the difficulties in determining how to measure unpaid activities has so far been a stumbling block in reaching international agreement on how to proceed.
Nevertheless, some of the most recent work in this is reviewed for those interested.
29.88 Other satellite accounts have been developed or are under development.
Some, such as a satellite investigating productivity across a number of countries reported in Productivity in the European Union: A Comparative Industry Approach (EU KLEMS Project, 2003), have been conducted to date as a research exercise.
Others, such as accounts for water and forests, have been developed as elaborations of the main environmental satellite account SEEA to the point where international guidelines on these are now accepted.
Further satellite accounts for agricultural products would be useful for a number of developing countries.
Here and elsewhere, as there is agreement on how to compile a new form of satellite account, new international guidelines can be developed.
International guidelines on satellite accounts themselves may be subject to revision and may eventually move towards an accepted international standard as is planned for the SEEA.
29.89 The tourism satellite account (TSA) is a long established satellite account with more than 70 countries having compiled one at some stage.
A manual of international guidelines, known as the 2008 Tourism Satellite Accounts: Recommended Methodological Framework (Eurostat, Organisation for Economic Co-operation and Development, World Tourism Organization, United Nations, 2008) updates the first version of 2000. The coverage of second homes and the activity of meetings and conferences are extensions to the TSA made in the 2008 update.
29.90 The goal of the tourism satellite account is to provide the following information:
a. Macroeconomic aggregates that describe the size and the economic contribution of tourism such as tourism direct gross value added (TDGVA) and tourism direct gross domestic product (TDGDP), consistent with similar aggregates for the total economy and other productive economic activities and functional areas of interest;
b. Detailed data on tourism consumption, a more extended concept associated with the activity of visitors as consumers, and the description of how this demand is met by domestic supply and imports, integrated within tables derived from supply and use tables that can be compiled both at current values and in volume terms;
c. Detailed production accounts of the tourism industries, including data on employment linkages with other productive economic activities and gross fixed capital formation;
d. A link between economic data and non-monetary information on tourism such as number of trips (or visits), duration of stay, purpose of trip, modes of transport, etc. which are required to specify the characteristics of the economic variables.
29.91 At the centre of the TSA is the idea of a visitor.
A visitor is defined as someone who is outside their usual environment but not employed by an entity resident in the place he is visiting.
The usual environment is not identical with country of residence.
It refers to the area within which a person is normally to be found.
It includes the area around the home and also the place of work.
Thus border workers, although they cross a country boundary, are not visitors.
Visitors are therefore a subset of travellers.
29.92 Visitors may be divided into two categories: those that are overnight visitors called tourists and those that are same day visitors called excursionists.
Further, it is important to divide tourists according to their country of residence into domestic and external tourists.
A resident visiting a country abroad is undertaking outbound tourism; a non-resident visiting the domestic economy is undertaking inbound tourism.
The total amount of tourism undertaken by residents, known as national tourism, is the sum of domestic tourism (tourism within the domestic economy undertaken by residents) plus outbound tourism.
Internal tourism is the sum of domestic tourism plus inbound tourism.
| Within the country | Outside the country | Total | |
| Residents | Domestic tourism | Outbound tourism | National tourism |
| Non-residents | Inbound tourism | ||
| Total | Internal tourism |
29.93 Tourism is not restricted to activities normally thought of as typical of recreation but includes all activities undertaken by the tourist.
Travelling for business or for education or training is included.
The purpose of the tourist's visit is categorized according to whether it is personal or business and professional.
The personal heading is further divided into eight categories: holidays, leisure and recreation; visiting friends and relatives; education and training; health and medical care; religion or pilgrimages; shopping; transit and other.
29.94 Tourism expenditure is defined as the amount paid for the acquisition of consumption goods and services as well as valuables for own use or to give away after or during tourism trips.
It includes expenditures by visitors themselves as well as expenses that are paid for or reimbursed by others.
29.95 The concept of tourism consumption goes beyond that of tourism expenditure in that it also includes services associated with occasional accommodation on own account, tourism social transfers in kind and other imputed consumption.
While information on tourism expenditure can be obtained by surveys of tourists, the adjustments to tourism consumption have to be estimated from other sources.
29.96 Tourism consumption can be characterized according to where the tourism takes place and whether the tourist is a resident or non-resident in a manner similar to that already described for tourism.
29.97 The consumption products considered by the TSA are divided into tourism characteristic products and other consumption products.
Tourism characteristic products are further subdivided into internationally comparable tourism characteristic products and country specific tourism characteristic products.
The TSA manual includes a list of the first.
Other consumption products are divided between tourism connected products and non-tourism related products.
Non-consumption products include all products that do not constitute consumption goods and services.
These include valuables, tourism gross fixed capital formation and collective consumption.
A list of 12 classifications of products and activities characteristic of tourism are given in the TSA manual.
29.98 A tourism industry represents the grouping of those establishments whose main activity corresponds to a characteristic product.
Tourism industries cover accommodation for visitors, the food and beverage serving industry, railway, road, water and air passenger transport, transport equipment rental, travel agencies and other reservation service industries, the cultural industry, the sports and recreational industry, the retail trade of country specific tourism characteristic goods and country specific tourism characteristic industries.
Table 29.1: Table 6 from the Tourism Satellite Accounts
29.99 Based on this information a full set of TSA accounts consisting of 10 tables can be compiled.
The first three consist of tourism expenditure.
Table 4 shows a breakdown between domestic and inbound tourism and the adjustments that need to be made to move from tourism expenditure to tourism consumption.
Table 5 shows the supply of the tourism industry.
Table 6 is the heart of the TSA and shows the main aggregates derived; the aggregates are listed below.
Table 7 covers employment.
Tables 8 and 9 cover fixed capital and collective consumption.
Table 10 covers non-monetary information.
29.100 The following aggregates are taken to be a set of relevant indicators of the size of tourism in an economy.
They include:
a. Internal tourism expenditure;
b. Internal tourism consumption;
c. Gross value added of the tourism industry (GVATI);
d. Tourism direct gross value added (TDGVA);
e. Tourism direct gross domestic product (TDGDP).
29.101 The derivation of these items is shown in table 6 of the TSA manual which is included as table 28.1.
29.102 Environmental accounts aim to reflect within a framework based on the SNA the impacts of using (and sometimes using up) natural resources and the generation of residuals that pollute the air and water.
They also identify specific activities undertaken to prevent or combat the environmental impacts of human activity.
29.103 An interim version of SEEA, the satellite for Integrated Environmental and Economic Accounts was published in 1993. An updated version was released in 2003. Work is in hand to revise this further with a view to publication in 2012. The goals of the SEEA are to assist in:
a. encouraging the adoption of standard classifications in environmental statistics, which extends the value and relevance of existing environmental information;
b. bringing a new dimension to environmental statistics by applying the economic accounting traditions linking stocks and flows;
c. providing a link with the economic information contained within the traditional economic accounts, leading to improvements in the reliability and coherence of both sets of information;
d. identifying use and ownership and hence responsibility for environmental impacts;
e. encouraging the development of comprehensive and consistent data sets over time;
f. facilitating international comparisons.
29.104 As with the SNA, the SEEA accounts provide a score-keeping function from which key indicators can be derived and a management function in that they can be used in the analysis of policy options.
The accounts provide a sound basis for the calculation of measures which may already be included in sets of sustainable development indicators, but they may also be used to develop new indicators, such as environmentally adjusted macroaggregates which would not otherwise be available.
29.105 The SEEA should be seen as a satellite account to the SNA with features of both internal and external satellites.
The full system consists of three main sections, two of which can be implemented more or less independently and a third which is designed to integrate the first two with each other and with the SNA.
The three sections consist of:
a. An extended form of supply and use tables capable of incorporating physical data alone or in addition to monetary data;
b. Elaborations of parts of the central framework of the SNA with some extensions; and
c. Consideration of extending the SNA to allow the effects of depletion and degradation to impact the macroaggregates such as GDP.
29.106 Four different types of flows are distinguished in the SEEA.
a. Products are goods and services produced within the economic sphere and used within it, including flows of goods and services between the national economy and the rest of the world.
b. Natural resources cover mineral and energy resources, soil, water and biological resources.
c. Ecosystem inputs cover air and the gases necessary for combustion and the water to sustain life.
d. Residuals are the unintended and undesired outputs from the economy which have zero price and may be recycled or discharged into the environment. “Residuals” is the single word used to cover solid waste, effluents (discharges to water) and emissions (discharges to air).
29.107 The first set of environmental accounts consists of a link to environmental statistics formed by structuring physical environmental data in a supply and use or input-output framework.
Physical flow accounts consist of merging accounts for products, natural resources, ecosystem inputs and residuals, each account being expressed in terms of supply to the economy and use by the economy.
Purely physical accounts can show the relative importance of different economic activities in terms of their effect on the environment.
29.108 However, the power of this approach comes from being able to draw parallels between the physical and monetary flows to compare and contrast this environmental importance with the corresponding importance of the activities in economic terms.
The hybrid supply and use or input-output tables superimpose monetary values for products on their physical equivalents and add the balancing item of value added.
Hybrid input-output tables have been successfully used to explore environmental themes such as greenhouse effects or solid waste.
Examples can be found in the SEEA manual.
29.109 An example of a hybrid SEEA input-output table is given in table 29.2.
29.110 The second strand of the accounting system is to identify precisely those monetary transactions in the SNA that are directly related to the environment.
In terms of flows, this concerns environmental taxes, property income and property rights, and environmental protection, natural resource use and management expenditure.
29.111 An environmental tax is one whose tax base is a physical unit (or proxy of it) that has a proven specific negative impact on the environment.
Four types of taxes can be considered to be environmental; energy taxes, transport taxes, pollution taxes and resource taxes.
As elsewhere in the SNA, care has to be taken to distinguish between taxes and fees for a service.
Landfill charges, for example, may fall in the latter category even though levied by government.
29.112 Resource rent on natural assets is shown in the SNA as property income when paid to another unit.
As shown in chapter 20, however, it is possible to identify the element of operating surplus corresponding to the resource rent on a natural asset used by the owner also.
29.113 Another aspect of importance for the use of natural resources is the question of permits to use these over an extended period, as discussed in chapter 17.
Permits may relate to extraction of natural resources or the use of them as a sink.
29.114 A set of environmental protection accounts can be compiled using fairly standard satellite account techniques according to the following steps:
a. Relevant ancillary activities should be treated as secondary products;
b. A set of characteristic products should be identified;
c. Transfers specific to environmental protection need to be identified;
d. National expenditure on environmental protection can be calculated;
e. The sectors financing the expenditure can be identified.
29.115 All these steps are described in detail in the SEEA manual.
There is discussion there also on a set of characteristic products identified as the “environment industry” for comparable international use.
An example of an environmental protection expenditure account is shown in table 29.3.
29.116 For stocks and changes in stocks, the asset accounts described in chapter 11 are used for natural resources, in both value terms and physical units.
In the SEEA, asset accounts may be compiled in physical terms for natural resources that have no monetary value and thus do not appear within the SNA asset boundary.
For resources such as air and water that may not have a monetary value, nor even a stock value, accounts of changes in physical units may still be useful.
29.117 The third and last main section of the SEEA is the external part of the satellite account.
It relaxes the constraint which has been respected in the accounts described so far not to make any fundamental change to the SNA.
The idea is simple, to convert hybrid tables to fully monetized tables by placing monetary values on those flows below and to the right of a hybrid table which have so far been expressed in physical terms only.
However, although the idea is simple, implementing it is not.
This part of the SEEA is more experimental and consensus on proposals made so far has not been reached.
29.118 Valuing inputs into the economic system is the first and easier step.
Since these inputs are incorporated into products which are sold in the market place, in principle it is possible to use direct means to assign a value for them based on market principles.
Even within the SNA, such valuations are sometimes made though the results are placed in the other changes in assets account rather than in the flow accounts.
Thus another way of looking at the process of incorporating the use of environmental inputs into the system is to relocate some of the other changes in assets items into the accounts portraying transactions.
In particular, if an environmental resource is not being used sustainably, an alternative measure of income allowing for the consumption of natural capital as well as consumption of fixed capital may be considered to take account of the depletion of natural resources.
Table 29.2: Example of a hybrid supply and use table from the SEEA
Table 29.3: Example of a combined supply and use table for environmental protection goods and services
29.119 Some actions are already taken to limit residuals generation or to mitigate the impact of those which are emitted.
These expenditures are sometimes referred to as defensive expenditures.
One possible way to adjust the macroeconomic aggregates is to treat this expenditure as capital formation with offsetting depreciation.
29.120 This is the most difficult part of environmental accounting and one where there is still a wide divergence of views.
There are two problems raised by the question of how to incorporate the effects of degradation in the SNA.
The first is how to place a value on degradation; the second how to locate this valuation in the accounts.
29.121 The variety of approaches advocated can be illustrated briefly in terms of the focus of attention.
29.122 One approach is to focus on maintenance costing.
(This is the approach taken in the 1993 version of the SEEA.)
The object of the exercise is to answer the question: What would the value of net domestic product have been if hypothetical environmental standards were met using current costs and current technologies?
29.123 The problem with this approach is that if the question is posed in respect of significant changes in environmental standards, the resultant price rises involved are likely to bring about a change in behaviour that would affect the level of demand for those products.
In turn this would show up either as a change in the level of output of those products or a change in the technology of production to reduce dependence on the newly expensive products.
Nevertheless, for marginal changes in standards, this technique may be used to give an upper bound on the impact on NDP from moving to more rigorous environmental standards.
The aggregates from such an exercise are referred to as “environmentally adjusted”.
29.124 A second type of cost-based estimates, known as “greened economy modelling” attempts to resolve the problems raised by maintenance cost approaches for the non-marginal cases of changes in environment standards.
They attempt to answer the question: What level of GDP could be achieved if steps were taken to internalize maintenance costs?
29.125 A particular application of greened economy models aims not just to determine a set of values for output, demand and so on which satisfy the national accounting balances but to determine levels of output which lead to levels of income that are sustainable over a given time period.
It attempts to answer the question: What level of income and environmental functions can be sustained indefinitely?
29.126 Damage-based measures derive from the impact of actual residual generation.
The biggest impact is on human health.
They attempt to answer the question: What is the impact on the level of NDP of environmental impacts on natural and man-made capital and on human health?
29.127 “Damage-adjusted income” is thus a first step on the way to converting GDP-type measures to welfare indices but many other aspects of welfare are deliberately ignored.
29.128 The health care industry is of significant size and importance in many countries in terms of the number of people employed and level of turnover and is always a matter of significant policy concern.
The System of Health Accounts (SHA) (Organisation for Economic Co-operation and Development, 2000) builds on experience over the previous 15 years of information being collected on health care data.
One of the main purposes of the manual was to provide a framework for analysing health care systems from an economic point of view, consistent with national accounting rules.
As part of this, the conceptual links between the SHA and health satellite accounts were examined.
The manual is currently in the process of being updated as a joint effort by the OECD, Eurostat and WHO, with a revised version expected about the end of 2010.
29.129 In order to see how a health satellite account can be developed it is useful to begin by looking at the SHA.
There are four categories of information provided: a functional classification of health care, an analysis of health care provider units, information on expenditure on health care and information about the funding of health care.
Each of these is described briefly in turn.
29.130 The activities of health care cover the application of medical, paramedical and nursing knowledge and technology, either by institutions or individuals, in pursuit of the following goals:
a. Promoting health and preventing disease;
b. Curing illness and reducing premature mortality;
c. Caring for persons affected by chronic illness who require nursing care;
d. Caring for persons with health-related impairment, disability and handicaps who require nursing care;
e. Assisting patients to die with dignity;
f. Providing and administering public health;
g. Providing and administering health programmes, health insurance and other funding arrangements.
29.131 Following from this there are three main functional classifications of health care;
a. Personal health care services and goods;
b. Collective health care services;
c. Health care related functions.
29.132 Each of these headings is broken down into a number of finer categories.
Personal health care distinguishes services of curative care, services of rehabilitative care, services of long-term nursing care, ancillary services to health care and medical goods dispensed to outpatients.
Collective health care services are divided between preventive and public health services on the one hand and health administration and health insurance on the other.
Health-related functions include capital formation of health care provider institutions, education and training of health personnel, research and development in health, food, hygiene and drinking water control, environmental health, administration and provision of social services in kind to assist those living with disease and impairment, and administration and provision of health-related cash benefits.
29.133 The providers of health care are divided into the following categories:
a. Hospitals;
b. Nursing and residential care facilities;
c. Providers of ambulatory health care;
d. Retailers and other providers of medical goods;
e. Provision and administration of public health programmes;
f. Health administration and insurance;
g. Other industries (rest of the economy);
h. Rest of the world.
29.134 Each of these providers can be allocated to one or more of the institutional sectors of the SNA.
29.135 Total expenditure on health measures the final use by resident units of health care goods and services plus gross capital formation in health care provider industries (institutions where health care is the predominant activity).
29.136 Expenditure on health can be divided into the following categories;
a. Personal health care services;
b. Medical goods dispensed to outpatients;
c. Total personal expenditure on health;
d. Prevention and public health services;
e. Health administration and health insurance;
f. Total current expenditure on health (the sum of the above);
g. Gross capital formation in health care industries;
h. Total expenditure on health.
29.137 The production boundary of health care services is very close to that of the SNA but with two exceptions.
Occupational health care is included within the SHA whereas it is treated as an ancillary service in the SNA.
The cash transfers to private households (the caregivers at home) are treated as output of domestic services paid for by the transfers.
29.138 The funding of health care is divided between that provided by general government, that from the private sector and that from the rest of the world.
Within general government a distinction is made between the levels of government and social security funds.
Within the private sector a distinction is made between private social insurance, other private insurance, private households, NPISHs and corporations excluding health insurance.
29.139 The following steps are required in order to translate the economic framework of the SHA into a health satellite account:
a. A comprehensive listing of goods and services considered specific to the production of health care services needs to be determined;
b. The boundary line of production to define total expenditure on health needs to be determined;
c. The activities for which capital formation will be recorded need to be determined;
d. Specific transactions need to be identified;
e. The detailed analysis of transfers as an integral part of health accounting needs to be provided;
f. Ultimate users and ultimate bearers of health expenses need to be identified.
29.140 One of the difficulties with establishing a list of characteristic products is that the CPC does not deal with categories of health care services in the detail that is required for health accounts.
Therefore a more detailed classification is required.
Further, since health care is often a public responsibility information drawn from administrative data is often inadequate to provide the degree of detail that is required for a satellite account.
Table 29.4: Example of a supply and use table from the System of Health Accounts
Table 29.4cont: Example of a supply and use table from the System of Health Accounts
29.141 Despite these difficulties it is proposed that four additional accounts would extend the SHA into a satellite account for health:
a. Production account and health care value added by the health care industry;
b. Intermediate inputs to the production of health care industries by type of input;
c. Gross capital stock of the health care industry;
d. An input-output table of health care industries.
29.142 Table 29.4 shows indicative supply and use tables that might be drawn up for health care.
29.143 This section is not concerned with a normal satellite account.
It is difficult to determine products that are characteristic solely of unpaid household activity nor are there agreed standard tables to be produced.
However, it is an area of considerable analytical and policy interest and an area where there is considerable research work being undertaken currently.
The purpose of this section therefore is simply to report on the approaches being considered and give some indication of where further information on ongoing research may be found.
29.144 It is convenient to separate the consideration into three areas;
a. unpaid household services;
b. a consideration of the treatment of consumer durables;
c. the question of volunteer labour in general.
29.145 The question of valuing household services produced for own consumption is interesting in its own right.
In addition it is often argued that the growth of GDP in industrialized countries since the end of the Second World War is due in part to the increasing participation in the labour force of the women previously undertaking only household activities.
It is often argued that, had household activities been valued, the women's change of occupation would not have led to such large increases in GDP.
For long-term analysis therefore, there may be quite considerable interest in placing a value on unpaid household activities.
29.146 There is no ambiguity in the central framework of the SNA; unpaid household services are excluded from the production boundary.
However, in a satellite account it is perfectly possible to extend the production boundary so that such services may be included.
Even with an extended production boundary, however, it is unlikely that services that cannot be performed by a third party such as eating, sleeping and exercising would be treated as part of the production boundary.
Some work has been done to estimate the value of leisure when some of these activities are valued but this is not considered in this section.
29.147 There is fairly widespread agreement that the way in which to start measuring household services for own consumption is by means of measuring the amount of time spent on them.
There is increasing interest in conducting time use surveys that make such information available.
Time use surveys, however, are not unambiguous.
There is the question of multitasking.
For example, it is possible for somebody to prepare a meal, keep an eye on a small child and help an older child with their homework all at the same time.
Should the total amount of time be divided by three or should each activity count the whole amount of time spent?
29.148 There is a question about the borderline with leisure.
Some people would regard gardening as a chore; others may see it as a leisure activity.
While looking after children on a full-time basis clearly counts as a household service, does the amount of time grandparents spend with their grandchildren necessarily count as household services or is this a leisure activity?
29.149 There is a question about how to value household activity.
One possibility is to have a complete production account and, for example, to consider the food purchased by a household as an input into the preparation of meals.
In this way households would consume very few goods directly; many of them would be treated as intermediate consumption to some kind of service output.
The alternative, which is usually the approach adopted, is to leave the inputs as household consumption expenditure and simply make separate estimates of the time that has not been previously valued.
29.150 The basic question in valuing the time spent on household services is whether to use the opportunity cost of the person performing the task or a comparator cost.
Both of these present difficulties.
The opportunity cost seems appealing because application of economic theory suggests that somebody capable of earning more money than the comparator would indeed earn the extra money and pay somebody else to undertake the household tasks.
But this is clearly not what happens in practice.
Comparator costs may be difficult to come by and may be unrealistic.
A professional plumber, for example, may be able to fix a leaking tap in a matter of minutes whereas an amateur may spend an hour over it. If the plumber's wage is applied to the time spent by the amateur, clearly the amount of production estimated will be unrealistically high.
29.151 Various attempts to resolve the question of valuing output can be found in the literature.
Examples include Household Production and Consumption: Proposal for a Methodology of Household Satellite Accounts (Eurostat, 2003), Household Production and Consumption in Finland, 2001Household Satellite Account (Statistics Finland and the National Consumer Research Centre, 2006) and Beyond the Market: Designing Non-market Accounts for the United States (United States National Research Council, 2005).
29.152 It is frequently argued that consumer durables should be treated as a form of fixed capital formation by households and not simply as final consumption expenditure.
It is true that there is a grey area concerning some household equipment.
In some circumstances, the cost of a house may include all kitchen equipment such as cookers, refrigerators and washing machines; in other cases these appliances are treated as consumption expenditure.
29.153 The main reason for excluding consumer durables from the asset boundary is linked to the exclusion of household services.
If washing clothes for the household were to be an activity within the production boundary when undertaken by machine, it is not clear why it would be excluded when undertaken by hand.
29.154 Nevertheless there is certainly interest in monitoring the acquisition of consumer durables.
The acquisition is often cyclical in nature, although sometimes variation in expenditure may simply follow the introduction of a new product.
29.155 There are two approaches that could be taken in a satellite account.
The first is to adopt an alternative treatment for consumer durables at the same time as valuing unpaid household production.
The other is to leave unpaid household production excluded from the production boundary but consider replacing consumer durables by an estimate of the services they provide.
Treating consumer durables as assets is also of interest in the context of measuring household saving and wealth.
Examples of this type of analysis can be found in Durable Goods and their Effect on Household Saving Ratios in the Euro Area (Jalava et al, 2006).
29.156 The provision of unpaid services to households is excluded from the production boundary.
This exclusion applies whether the household being provided with the services is the one to which the volunteer belongs or another.
29.157 If a volunteer is providing services to a non-market producer or to a market NPI, the activity in which they participate is included within the production boundary.
However, the value of the services provided appears at cost.
This may be strictly zero or it may be nominal, including wages and salaries in kind.
For example, religious orders offering health and education services may not pay the individuals providing the services a wage but may provide them with food and accommodation.
In principle, these costs should be treated as wages and salaries in kind.
29.158 It is possible for there to be some volunteer labour within government, for example teaching assistants.
There may be some unpaid people working in corporations, for example as part of a work experience scheme, but volunteer labour in market NPIs is quite common, for example in a museum or art gallery as guides or custodians.
29.159 Even if the owner of a quasi-corporation or an enterprise does not take his salary, it could be argued that in principle this should be treated as first the receipt of compensation of employees and then an injection of capital of the same amount into the enterprise.
It is unlikely to be recorded as such but this case is clearly different in kind from the normal understanding of voluntary labour.
29.160 The question of valuing volunteer labour is the same as that of valuing the time spent on unpaid household activities and the same alternatives are available.
If voluntary labour were valued, the following accounting entries would be necessary:
a. compensation of employees of the unit employing the volunteer labour;
b. income for the household to which the volunteer belongs;
c. a transfer of the same amount by the volunteer to the employing unit;
d. final consumption expenditure of the employing unit;
e. almost always social transfers in kind.
This is the same as the way it is recommended that labour inputs to collective construction projects are measured.
29.161 Even in the case of market NPIs, as explained in chapter 23, it is possible that in a satellite context the market NPI could be regarded as undertaking non-market activity also and this would include the activity of volunteers.
A1.1 As explained in chapter 2, the accounts of the SNA are built around a small number of conceptual elements, in particular sectors, transactions and classifications of the items subject to transactions and other flows, especially assets and liabilities.
For each of these elements, a hierarchical classification exists.
Accounts can be compiled at greater or lesser degrees of detail by using higher or lower levels of these hierarchies.
In some cases, a full specification requires information about two or even three hierarchies.
For example, entries in the accounts typically refer to a sector and a transaction or other flow and may specify what type of product or asset is the subject of the entry.
A1.2 As well as the classification hierarchies of the conceptual elements particular to the SNA, use is also made of other classification systems, including those describing the industrial classification used for production and classifications of goods and services, some of which describe the nature of the items and others that describe the purpose they are intended to serve.
A1.3 Summary accounts are regularly collected by international agencies and to facilitate this, a set of standardized codes is used to identify the items, usually in time series form, that are the subject of data transmission.
A1.4 The purpose of this annex is to provide more information on each of these aspects.
Section B lists in full detail the various classification hierarchies of the system.
International data collection does not cover all the detail shown but where collection is common and codes are developed, these are shown alongside the entries in the classification.
A1.5 The main international classification systems external to the SNA that are frequently used and referred to are the following:
COFOG, COICOP and COPNI
Publication reference: United Nations. 2000. Classification of expenditure according to purpose: Classification of the functions of government (COFOG), Classification of individual consumption according to purpose (COICOP), Classification of the purposes of nonprofit institutions serving households (COPNI), Classification of the outlays of producers according to purpose (COPP).
Department of Economic and Social Affairs, Statistics Division, Statistical papers, Series M, No 84. United Nations, New York.
Web reference: http://unstats.un.org/unsd/class/default.asp
ISIC
Publication reference: United Nations. 2008. International Standard Industrial Classification of all Economic Activities (ISIC) Revision 4. Department of Economic and Social Affairs, Statistics Division, Statistical papers, Series M, No 4, Rev. 4. United Nations, New York.
Web reference: http://unstats.un.org/unsd/class/default.asp
CPC
Publication reference: United Nations. 2008. Central Product Classification (CPC) Version 2. Department of Economic and Social Affairs, Statistics Division, Statistical papers, Series M, No 77, Ver. 2. United Nations, New York.
Web reference: http://unstats.un.org/unsd/class/default.asp
SITC
Publication reference: United Nations. 2006. Standard Industrial Trade Classification Revision.
Department of Economic and Social Affairs, Statistics Division, Statistical papers, Series M, No 34, Rev 4. United Nations, New York.
Web reference: http://unstats.un.org/unsd/trade/default.htm
HS
Publication reference: World Customs Organization. 2007. Harmonized Commodity Description and Coding System, Revision 4 Brussels.
Web reference: http://publications.wcoomd.org/index.php
A1.6 Four sets of hierarchies are described.
The first of these relates to sectors.
The second covers transactions and the third covers other flows.
The last set relates to stocks.
Each set is described in turn in the following sections.
A1.7 The sectoring principles of the SNA are described in chapter 4.
The following list brings all the aspects of the potential types of disaggregation together in a comprehensive list.
The list is extensive and it is unlikely that all aspects will be covered by any country in all periods as a matter of course.
Some of the possible breakdowns may not contain any institutional units and others may contain so few that publication at this degree of detail is not possible.
Nevertheless, the full list is shown for the sake of completeness.
A1.8 Some abbreviations, standard within the SNA, are used in detailing sector codes.
A special group of units are those known as nonprofit institutions, designated as NPIs. Within the corporations sectors, units that are not NPIs are referred to as for-profit institutions, or FPIs. It is worth reiterating that an NPI is not prohibited from making a profit, it is simply prohibited from distributing any profit it makes to its owners.
Thus NPIs within the corporations sectors are market producers just as the FPIs are.
A1.9 Not all NPIs are market producers.
Those that are not are divided between those controlled by government, where they are still referred to as NPIs, and those not controlled by government.
All of these serve households and form a separate sector of their own.
They are known as non-profit institutions serving households, or NPISHs.
A1.10 Not all entries in the classification have an assigned code; only those that are regularly used in international transmission programmes.
A1.11 The full list of institutional sectors and subsectors is shown below.
Total economy (S1)
Non-financial corporations (S11)
·· Non-financial corporations NPIs
·· Non-financial corporations FPIs
· Public non-financial corporations
·· Public non-financial corporations NPIs
·· Public non-financial corporations FPIs
· National private non-financial corporations
·· National private non-financial corporations NPIs
·· National private non-financial corporations FPIs
· Foreign controlled non-financial corporations
·· Foreign controlled non-financial corporations NPIs
·· Foreign controlled non-financial corporations FPIs
Financial corporations (S12)
· Central bank (S121)
· Deposit-taking corporations, except the central bank (S122)
··· Deposit-taking corporations NPIs
··· Deposit-taking corporations FPIs
·· Public deposit-taking corporations
··· Public deposit-taking corporations NPIs
··· Public deposit-taking corporations FPIs
·· National private deposit-taking corporations
··· National private deposit-taking corporations NPIs
··· National private deposit-taking corporations FPIs
·· Foreign controlled deposit-taking corporations
··· Foreign controlled deposit-taking corporations NPIs
·· Foreign controlled deposit-taking corporations FPIs
· Money market funds (S123)
··· Money market funds NPIs
··· Money market funds FPIs
·· Public money market funds
··· Public money market funds NPIs
··· Public money market funds FPIs
·· National private money market funds
··· National private money market funds NPIs
··· National private money market funds FPIs
·· Foreign controlled money market funds
··· Foreign controlled money market funds NPIs
··· Foreign controlled money market funds FPIs
· Non-MMF investment funds (S124)
··· Non-MMF investment funds NPIs
··· Non-MMF investment funds FPIs
·· Public non-MMF investment funds
··· Public non-MMF investment funds NPIs
··· Public non-MMF investment funds FPIs
·· National private non-MMF investment funds
··· National private non-MMF investment funds NPIs
··· National private non-MMF investment funds FPIs
·· Foreign controlled non-MMF investment funds
··· Foreign controlled non-MMF investment funds NPIs
··· Foreign controlled non-MMF investment funds FPIs
· Other financial intermediaries, except insurance corporations and pension funds (S125)
··· Other financial corporations NPIs
··· Other financial corporations FPIs
·· Public other financial corporations
··· Public other financial corporations NPIs
··· Public other financial corporations FPIs
·· National private other financial corporations
··· National private other financial corporations NPIs
··· National private other financial corporations FPIs
·· Foreign controlled other financial corporations
··· Foreign controlled other financial corporations NPIs
··· Foreign controlled other financial corporations FPIs
· Financial auxiliaries (S126)
··· Financial auxiliaries NPIs
··· Financial auxiliaries FPIs
·· Public financial auxiliaries
··· Public financial auxiliaries NPIs
··· Public financial auxiliaries FPIs
·· National private financial auxiliaries
··· National private financial auxiliaries NPIs
··· National private financial auxiliaries FPIs
·· Foreign controlled financial auxiliaries
··· Foreign controlled financial auxiliaries NPIs
··· Foreign controlled financial auxiliaries FPIs
· Captive financial institutions and money lenders (S127)
··· Captive financial institutions NPIs
··· Captive financial institutions FPIs
·· Public captive financial institutions
··· Public captive financial institutions NPIs
··· Public captive financial institutions FPIs
·· National private captive financial institutions
··· National private captive financial institutions NPIs
··· National private captive financial institutions FPIs
·· Foreign controlled captive financial institutions
··· Foreign controlled captive financial institutions NPIs
··· Foreign controlled captive financial institutions FPIs
· Insurance corporations (S128)
··· Insurance corporations NPIs
··· Insurance corporations FPIs
·· Public insurance corporations
··· Public insurance corporations NPIs
··· Public insurance corporations FPIs
·· National private insurance corporations
··· National private insurance corporations NPIs
··· National private insurance corporations FPIs
·· Foreign controlled insurance corporations
··· Foreign controlled insurance corporations NPIs
··· Foreign controlled insurance corporations FPIs
· Pension funds (S129)
··· Pension funds NPIs
··· Pension funds FPIs
·· Public pension funds
··· Public pension funds NPIs
··· Public pension funds FPIs
·· National private pension funds
··· National private pension funds NPIs
··· National private pension funds FPIs
·· Foreign controlled pension funds
··· Foreign controlled pension funds NPIs
··· Foreign controlled pension funds FPIs
A1.12 General government social security is organized differently in different countries and two coding systems of general government are presented to allow for this.
When social security is organized by one unit for all levels of government, total general government consists of four subsectors, one for each level of government and one for the social security unit.
When each level of government includes its own social security provision, then there are only three subsectors, one for each level of government including social security provision.
The theoretical hierarchical structure for government is as follows.
General government (S13)
· General government social security
· General government excluding social security
·· General government non-profit institutions
· Central government
·· Central government social security
·· Central government excluding social security
··· Central government non-profit institutions
· State government
·· State government social security
·· State government excluding social security
··· State government non-profit institutions
· Local government
·· Local government social security
·· Local government excluding social security
··· Local government non-profit institutions
A1.13 In practice, the alternative partial structures, with associated codes, are as follows.
General government (S13)
Social security is one separate institutional unit for all levels of general government
· Central government excluding social security (S1311)
· State government excluding social security (S1312)
· Local government excluding social security (S1313)
· General government social security (S1314)
General government (S13)
Social security is not a separate institutional unit but is included at the appropriate levels of general government
· Central government including social security (S1321)
· State government including social security(S1322)
· Local government including social security (S1323)
Households (S14)
· Employers (S141)
· Own account workers (S142)
· Employees (S143)
· Recipients of property and transfer income (S144)
·· Recipients of property income (S1441)
·· Recipients of pensions (S1442)
·· Recipients of other transfers (S1443)
Non-profit institutions serving households (S15)
· National private
· Foreign controlled
Rest of the world (S2)
A1.14 The transaction classifications relate to:
a. Products (including produced assets);
b. Non-produced assets;
c. Distributive transactions.
A1.15 Product codes are used to describe the supply and use of goods and services produced within the SNA.
All the items listed appear in the goods and services account.
In addition, output and intermediate consumption appear in the production account, final and actual consumption expenditure appear in the use of income accounts and capital formation appears in the capital account.
A1.16 All entries in the classification can be further elaborated by applying a second classification to that shown here.
For capital formation the asset classification (codes AN1) is used within the accumulation accounts.
For output, intermediate consumption and final consumption product codes as in the CPC could be used.
For final consumption, functional codes could be used, COFOG for government consumption, COICOP for households and COPNI for NPISHs. For imports and exports, either SITC or HS codes could be used.
A1.17 Capital formation and fixed capital formation (as well as some of the balancing items) may be shown either gross or net of consumption of fixed capital.
Gross entries are shown with a trailing g, net entries by a trailing n. The qualifier c is used for consumption of fixed capital, the difference between gross and net fixed capital measures.
Output (P1)
· Market output (P11)
· Output for own final use (P12)
· Non-market output (P13)
Intermediate consumption (P2)
Final consumption expenditure (P3)
· Individual consumption expenditure (P31)
· Collective consumption expenditure (P32)
Actual final consumption (P4)
· Actual individual consumption (P41)
· Actual collective consumption (P42)
Capital formation (P5)
· Gross fixed capital formation (P51g)
· Consumption of fixed capital (-) (P51c)
·· Consumption of fixed capital on gross operating surplus (-) (P51c1)
·· Consumption of fixed capital on gross mixed income (-) (P51c2)
· Net fixed capital formation (P51n)
·· Acquisitions less disposals of fixed assets (P511)
··· Acquisitions of new fixed assets (P5111)
··· Acquisitions of existing fixed assets (P5112)
··· Disposals of existing fixed assets (P5113)
·· Costs of ownership transfer on non-produced assets (P512)
· Changes in inventories (P52)
· Acquisitions less disposals of valuables (P53)
Exports of goods and services (P6)
· Exports of goods (P61)
· Exports of services (P62)
Imports of goods and services (P7)
· Imports of goods (P71)
· Imports of services (P72)
A1.18 Non-produced assets can be the subject of some of the same transactions as products (capital formation, imports and exports).
The codes used for transactions in non-produced assets can be further disaggregated if desired by appending the classification of non-produced non-financial assets, AN2.
Acquisitions less disposals of non-produced assets (NP)
· Acquisitions less disposals of natural resources (NP1)
· Acquisitions less disposals of contracts, leases and licences (NP2)
· Purchases less sales of goodwill and marketing assets (NP3)
A1.19 Distributive transaction codes appear in all the sequence of accounts from the generation of income account up to and including the capital account.
As their name implies, they show the impact of distribution and redistribution of income (and saving in the case of capital transfers).
For all distributive transactions, the receivable entries for all sectors including the rest of the world must balance the payable entries.
A1.20 Four groups of transactions appear in the generation of income account and the allocation of primary income account.
These are compensation of employees, taxes on production and imports, subsidies and property income.
Compensation of employees (D1)
· Wages and salaries (D11)
· Employers' social contributions (D12)
·· Employers' actual social contributions (D121)
··· Employers' actual pension contributions (D1211)
··· Employers' actual non-pension contributions(D1212)
·· Employers' imputed social contributions (D122)
··· Employers' imputed pension contributions (D1221)
··· Employers' imputed non-pension contributions (D1222)
Taxes on production and imports (D2)
· Taxes on products (D21)
·· Value added type taxes (VAT) (D211)
·· Taxes and duties on imports excluding VAT (D212)
··· Import duties (D2121)
··· Taxes on imports excluding VAT and duties (D2122)
·· Export taxes (D213)
·· Taxes on products except VAT, import and export taxes (D214)
· Other taxes on production (D29)
Subsidies (D3)
· Subsidies on products (D31)
·· Import subsidies (D311)
·· Export subsidies (D312)
·· Other subsidies on products (D319)
· Other subsidies on production (D39)
Property income (D4)
· Investment income
·· Interest (D41)
·· Distributed income of corporations (D42)
··· Dividends (D421)
··· Withdrawals from income of quasi-corporations (D422)
·· Reinvested earnings on foreign direct investment (D43)
·· Investment income disbursements (D44)
··· Investment income attributable to insurance policyholders (D441)
··· Investment income payable on pension entitlements (D442)
··· Investment income attributable to collective investment fund share holders (D443)
· Rent (D45)
A1.21 Four groups of transactions appear in the secondary distribution of income account.
These are current taxes on income, wealth, etc., net social contributions, social benefits and other current transfers.
Together they represent all current transfers in the SNA except social transfers in kind.
A1.22 Employers' contributions appear in both the generation of income account and allocation of primary income account as payable by employers and receivable by employees.
In the secondary distribution of income account, these amounts are payable by households and receivable by those administering social insurance schemes.
In order to show exactly the same value in each case, the deduction of the charge that represents part of the output of the schemes and final consumption of the beneficiary households is also shown in the secondary distribution of income account as a separate item.
The item social insurance scheme service charges is thus an adjustment item only and not a distributive transaction in itself.
Current transfers (other than social transfers in kind)
· Current taxes on income, wealth, etc. (D5)
·· Taxes on income (D51)
·· Other current taxes (D59)
· Net social contributions (D61)
·· Employers' actual social contributions (D611 = D121)
··· Employers' actual pension contributions (D6111 = D1211)
··· Employers' actual non-pension contributions (D6112 = D1212)
·· Employers' imputed social contributions (D612 = D122)
··· Employers' imputed pension contributions (D6121 = D1221)
··· Employers' imputed non-pension contributions (D6122 = D1222)
·· Households' actual social contributions (D613)
··· Households' actual pension contributions (D6131)
··· Households' actual non-pension contributions (D6132)
·· Households' social contribution supplements (D614)
··· Households' pension contribution supplements (D6141)
··· Households' non-pension contribution supplements (D6142)
·· Social insurance scheme service charges(-)
· Social benefits other than social transfers in kind (D62)
·· Social security benefits in cash (D621)
··· Social security pension benefits (D6211)
··· Social security non-pension benefits in cash (D6212)
·· Other social insurance benefits (D622)
··· Other social insurance pension benefits (D6221)
··· Other social insurance non-pension benefits (D6222)
··· Social assistance benefits in cash (D623)
· Other current transfers (D7)
·· Net non-life insurance premiums (D71)
··· Net non-life direct insurance premiums (D711)
··· Net non-life reinsurance premiums (D712)
·· Non-life insurance claims (D72)
··· Non-life direct insurance claims (D721)
··· Non-life reinsurance claims (D722)
·· Current transfers within general government (D73)
·· Current international cooperation (D74)
·· Miscellaneous current transfers (D75)
··· Current transfers to NPISHs (D751)
··· Current transfers between resident and non-resident households (D752)
··· Other miscellaneous current transfers (D759)
A1.23 Transactions concerning social transfers in kind and the adjustment for the change in pension entitlements appear in the redistribution of income in kind account, the use of income account and the use of adjustable disposable income account.
Social transfers in kind (D63)
· Social transfers in kind - non-market production (D631)
· Social transfers in kind - purchased market production (D632)
Adjustment for the change in pension entitlements (D8)
A1.24 Capital transfers appear in the capital account.
By convention, as explained in chapter 10, all capital transfers are shown on the right-hand side of the account, with the payables having a negative sign.
The codes for capital transfers, therefore, have either r for receivable or p for payable appended to the basic code.
Capital transfers, receivable (D9r)
· Capital taxes (D91r)
· Investment grants (D92r)
· Other capital transfers (D99r)
Capital transfers, payable (D9p)
· Capital taxes (D91p)
· Investment grants (D92p)
· Other capital transfers (D99p)
A1.25 The codes for transactions in financial assets and liabilities follow a slightly different pattern from those used for non-financial assets because there is only one type of transaction shown in the financial account, either acquisition of or disposals of financial assets and liabilities.
The hierarchical element comes from itemizing the assets and liabilities concerned.
There is a perfect match between the codes used for stock levels (positions) of financial assets and liabilities and the flows in them, except that the stocks have prefix AF and the transactions F.
A1.26 The full list of codes for transactions in financial assets and liabilities is shown below.
Net acquisition of financial assets/Net incurrence of liabilities (F)
Monetary gold and SDRs (F1)
· Monetary gold (F11)
· SDRs (F12)
Currency and deposits (F2)
· Currency (F21)
· Transferable deposits (F22)
·· Inter-bank positions (F221)
·· Other transferable deposits (F229)
· Other deposits (F29)
Debt securities (F3)
· Short-term (F31)
· Long-term (F32)
Loans (F4)
· Short-term (F41)
· Long-term(F42)
Equity and investment fund shares (F5)
· Equity (F51)
·· Listed shares (F511)
·· Unlisted shares (F512)
·· Other equity (F519)
· Investment fund shares/units (F52)
·· Money market fund shares/units (F521)
·· Non-MMF investment fund shares/units (F522)
Insurance, pension and standardized guarantee schemes (F6)
· Non-life insurance technical provisions (F61)
· Life insurance and annuity entitlements (F62)
· Pension entitlements (F63)
· Claims of pension funds on pension managers (F64)
· Entitlements to non-pension benefits (F65)
· Provisions for calls under standardized guarantees (F66)
Financial derivatives and employee stock options (F7)
· Financial derivatives (F71)
·· Options (F711)
·· Forwards (F712)
· Employee stock options (F72)
Other accounts receivable/payable (F8)
· Trade credits and advances (F81)
· Other accounts receivable/payable (F89)
A1.27 Other flows comprise the entries appearing in the other changes in assets account and balancing and net worth items.
A1.28 Codes K1 to K6 relate to other flows in the changes in the volume of assets account.
K7 codes show the holding gains and losses appearing in the revaluation account.
Economic appearance of assets (K1)
Economic disappearance of non-produced assets (K2)
· Depletion of natural resources (K21)
· Other economic disappearance of non-produced assets (K22)
Catastrophic losses (K3)
Uncompensated seizures (K4)
Other changes in volume n.e.c. (K5)
Changes in classification (K6)
· Changes in sector classification and structure (K61)
· Changes in classification of assets and liabilities (K62)
Nominal holding gains and losses (K7)
· Neutral holding gains and losses (K71)
· Real holding gains and losses (K72)
A1.29 The balancing items of the current accounts appear with codes B1 to B8. Each of these may be shown gross or net of consumption of fixed capital.
To indicate which is the case, g or n is appended to the end of the code.
A1.30 The B10 codes all relate to changes in net worth.
Like balancing items, these are accounting constructs derived by deducting entries on one side of the account from the entries on the other.
However, while balancing items show the excess of right-hand side entries over those on the left-hand side, net worth items show the excess of entries on the left-hand side of the account over those on the right-hand side.
A1.31 Code B11, external balance of goods and services, is an item from the rest of the world account.
It has no direct counterpart in the total economy sectors but added to gross (or net) domestic expenditure for the total economy gives gross (or net) domestic product.
Code B12, current external balance, is also from the rest of the world account and is analogous to saving for a domestic sector when the external balance of goods and services is taken in place of value added.
A1.32 Code B90, unlike all the other codes in this section, relates to stock positions and not flows.
It shows the value of net worth calculated as the excess of assets over liabilities.
A1.33 The full list of balancing and net worth items is shown below.
Value added, gross / Gross domestic product (B1g)
Operating surplus, gross (B2g)
Mixed income, gross (B3g)
Entrepreneurial income(B4g)
Balance of primary incomes, gross / National income, gross (B5g)
Disposable income, gross (B6g)
Adjusted disposable income, gross (B7g)
Saving, gross (B8g)
Net lending (+) / net borrowing (-) (B9)
Changes in net worth (B10)
· Changes in net worth due to saving and capital transfers (B101)
· Changes in net worth due to other changes in volume of assets (B102)
· Changes in net worth due to nominal holding gains and losses(B103)
·· Changes in net worth due to neutral holding gains and losses (B1031)
·· Changes in net worth due to real holding gains and losses (B1032)
External balance of goods and services (B11)
Current external balance (B12)
Net worth (B90)
A1.34 For a single balance sheet, as for the financial account, the only codes necessary are those giving the details of assets by type, using AN and AF codes.
However, an account can be drawn up showing the stock levels at the start (LS) and end (LE) of a period, and the total changes between them (LX).
All three codes need to be qualified by asset types.
The LX entries are the sum of the entries of P5, NP, F and K codes for the assets in question for the period covered.
A1.35 From the entries in the opening balance sheet a value of net worth (B90) can be calculated.
The difference between this and the value of B90 in the closing balance sheet must be equal to the balance of all the LX codes, which must also be equal to the value for B10.
Opening balance sheet (LS)
Changes in balance sheet (LX)
Closing balance sheet (LE)
A1.36 Transactions in non-financial assets are classified by the purpose for which the assets are acquired.
All assets serve as a store of value but, with the exception of valuables that are solely a store of value, other non-financial assets are primarily acquired for use in production.
The AN codes, given in full below, combine some elements of function with a descriptive code.
A desk, for example, could be part of AN113, machinery and equipment, or almost any of the inventory codes or even as a valuable.
A1.37 The classification of non-financial assets is split initially between produced (AN1) and non-produced assets (AN2).
The three major subheadings for produced assets are fixed assets (AN11), inventories (AN12) and valuables (AN13).
The three major subheadings for non-produced assets are natural resources (AN21), contracts, leases and licences (AN22) and purchases less sales of goodwill and marketing assets (AN23).
A1.38 The entry for costs of ownership transfer on non-produced assets (AN116) is anomalous.
The flow exists and is treated as part of fixed capital formation, that is as the acquisition of fixed assets.
However, when stock levels are itemized, the value of these costs of ownership transfer is included with the non-produced assets to which they refer and so are not shown separately as part of AN11. The item is included in the full list, shown below, for expository purposes only.
Produced non-financial assets (AN1)
· Fixed assets by type of asset (AN11)
·· Dwellings (AN111)
·· Other buildings and structures (AN112)
··· Buildings other than dwellings (AN1121)
··· Other structures (AN1122)
··· Land improvements (AN1123)
·· Machinery and equipment (AN113)
··· Transport equipment (AN1131)
··· ICT equipment (AN1132)
··· Other machinery and equipment(AN1133)
·· Weapons systems (AN114)
·· Cultivated biological resources (AN115)
··· Animal resources yielding repeat products (AN1151)
··· Tree, crop and plant resources yielding repeat products (AN1152)
·· (Costs of ownership transfer on non-produced assets (AN116))
·· Intellectual property products (AN117)
··· Research and development (AN1171)
··· Mineral exploration and evaluation (AN1172)
··· Computer software and databases (AN1173)
···· Computer software (AN11731)
···· Databases(AN11732)
··· Entertainment, literary or artistic originals (AN1174)
··· Other intellectual property products (AN1179)
· Inventories by type of inventory (AN12)
·· Materials and supplies (AN121)
·· Work-in-progress (AN122)
··· Work-in-progress on cultivated biological assets (AN1221)
··· Other work-in-progress (AN1222)
·· Finished goods (AN123)
·· Military inventories (AN124)
·· Goods for resale (AN125)
· Valuables (AN13)
·· Precious metals and stones (AN131)
·· Antiques and other art objects (AN132)
·· Other valuables (AN133)
Non-produced non-financial assets (AN2)
· Natural resources (AN21)
·· Land (AN211)
·· Mineral and energy reserves (AN212)
·· Non-cultivated biological resources (AN213)
·· Water resources (AN214)
·· Other natural resources (AN215)
··· Radio spectra (AN2151)
··· Other (AN2159)
· Contracts, leases and licences (AN22)
·· Marketable operating leases (AN221)
·· Permissions to use natural resources (AN222)
·· Permissions to undertake specific activities (AN223)
·· Entitlement to future goods and services on an exclusive basis (AN224)
· Purchases less sales of goodwill and marketing assets (AN23)
A1.39 As explained in the section on transactions in financial assets and liabilities, conceptually there is a one-to-one match between those F codes and the stock levels or positions (AF codes).
In practice, though, balance sheet data may be less detailed and not exist beyond the first-level breakdown, shown below.
If desired, however, the AF codes can be disaggregated in line with the detail provided for F codes.
Monetary gold and SDRs (AF1)
Currency and deposits (AF2)
Debt securities (AF3)
Loans (AF4)
Equity and investment fund shares/units (AF5)
Insurance, pension and standardized guarantee schemes (AF6)
Financial derivatives and employee stock options (AF7)
Other accounts receivable/payable (AF8)
A1.40 At various places, mention is made of the possibility of itemizing supplementary or memorandum items.
A full list of such suggestions follows with an indication of how supplementary codes may be constructed.
A general convention is that a supplementary code begins with X and is linked to the code of a standard item by building on the code of that item.
A1.41 The following codes apply to stocks and flows of non-performing loans mentioned in chapters 11 and 13.
Since loans have the codes AF4 and F4, the supplementary codes begin XAF4 for stocks and XF4 for flows.
The codes for stocks are:
XAF4_NNP Loans: nominal value, non-performing
XAF4_MNP Loans: market value, non-performing
and the associated flows
XF4_NNP Loans: nominal value, non-performing
XF4_MNP Loans: market value, non-performing
In both sets of codes, the underscore is a placeholder for the detailed codes for loans where relevant, for example, on the balance sheet.
XAF41NNP Short-term loans: nominal value, non-performing
XAF42MNP Long-term loans: market value, non-performing
A1.42 The following codes apply to capital services described in chapter 20.
XCS Capital services
XCSC Capital services Corporations and general government
· P51c1 Consumption of fixed capital
· XRC Return to capital
· XOC Other costs of capital
XCSU Capital services Unincorporated enterprises
· P51c2 Consumption of fixed capital
· XRU Return to capital
· XOU Other costs of capital
A1.43 The following codes apply to the supplementary table described in part 2 of chapter 17.
Different codes are proposed for the columns and rows of the table.
A1.44 In the Column description the letter W corresponds to non-government and the numbers in these codes refer to the corresponding institutional sectors.
a. Liabilities recorded in the main sequence of accounts
· Schemes where responsibility for the design and implementation lies outside general government
XPC1W Defined contribution schemes
XPB1W Defined benefit schemes
XPCB1W Total
· Schemes where responsibility for the design and implementation lies within general government
XPCG Defined contribution schemes
· General government employee defined benefit schemes
XPBG12 In the financial corporations sector
XPBG13 In the general government sector
b. Liabilities not recorded in the main sequence of accounts
XPBOUT13 In the general government sector
XP1314 Social security pension schemes
XPTOT Total pension schemes
XPTOTNRH Of which: Non-resident households
a. Opening balance sheet
XAF63LS Pension entitlements
b. Transactions
XD61p Social contributions relating to pension schemes XD6111 Employer actual social contributions XD6121 Employer imputed social contributions XD6131 Household actual social contributions XD6141 Household social contribution supplements XD619 Other (actuarial) accumulation of pension entitlements in social security funds XD62p Pension benefits XD8 Adjustment for the change in pension entitlements XD91 Change in pension entitlements due to transfers of entitlements XD92 Changes in entitlements due to negotiated changes in scheme structure
c. Other economic flows
XK7 Revaluations XK5 Other changes in volume
d. Closing balance sheet
XAF63LE Pension entitlements
e. Related indicators
XP1 Output
XAFN Assets held by pension schemes at end-year
A1.45 Consumer durables are referred to in chapters 3 and 13.
They are coded using X as a prefix plus DHHCE (durable household consumption expenditure) plus a one digit affix for subgroups and two digits for the items.
The corresponding COICOP numbers are also provided.
| COICOP | SNA codes | |
| XDHHCE1 | Furniture and household appliances | |
| 05.1.1 | XDHHCE11 | Furniture and furnishings |
| 05.1.2 | XDHHCE12 | Carpets and other floor coverings |
| 05.3.1 | XDHHCE13 | Major household appliances whether electric or not |
| 05.5.1 | XDHHCE14 | Major tools and equipment for house and garden |
| XDHHCE2 | Personal transport equipment | |
| 07.1.1 | XDHHCE21 | Motor cars |
| 07.1.2 | XDHHCE22 | Motor cycles |
| 07.1.3 | XDHHCE23 | Bicycles |
| 07.1.4 | XDHHCE24 | Animal drawn vehicles |
| XDHHCE3 | Recreational and entertainment goods | |
| 08.2.0 | XDHHCE31 | Telephone and telefax equipment |
| 09.1.1 | XDHHCE32 | Equipment for the reception, recording and reproduction of sound and pictures |
| 09.1.2 | XDHHCE33 | Photographic and cinematographic equipment and optical instruments |
| 09.1.3 | XDHHCE34 | Information processing equipment |
| 09.2.1 | XDHHCE35 | Major durables for outdoor recreation |
| 09.2.2 | XDHHCE36 | Musical instruments and major durables for indoor recreation |
| XDHHCE4 | Other durable goods | |
| 12.3.1 | XDHHCE41 | Jewellery, clocks and watches |
| 06.1.3 | XDHHCE42 | Therapeutic medical appliances and equipment |
A1.46 Supplementary items for foreign direct investment (FDI), referred to in, for example, chapters 11 and 13, can be coded with X as prefix plus the F or AF code plus a FDI suffix, for example:
XF42FDI Foreign direct investment transaction in long-term loans
A1.47 Supplementary codes for contingent positions, mentioned in chapters 11 and 12, can be coded with X as prefix plus the AF code plus a CP suffix, for example:
XAF11CP when the pledge of monetized gold may affect its usability as reserve asset
A1.48 Supplementary items for the classification of national and foreign denominated currency and deposits, as mentioned in chapter 11, can be coded with X as prefix plus the F or AF code plus a suffix NC indicating currency and deposits in national currency or an affix FC with an international currency code indicating currency and deposits in foreign currency, for example:
a. For transactions
XF21LC Local currency notes and coins
XF22FC Deposits in foreign currency
b. For stocks
XAF21LC Local currency notes and coins
XAF22FC Deposits in foreign currency
A1.49 Chapter 11 suggests classifying debt securities according to outstanding maturity.
This can be achieved by using an X prefix plus the AF code plus a suffix indicating a maturity date, for example:
XAF32Y20 Debt securities maturing in 2020
A1.50 Supplementary items on debt securities can be coded with X as prefix plus the F or AF code plus a 1 for listed and 2 for unlisted, for example:
a. For transactions
XF321 Listed debt securities
XF322 Unlisted debt securities
b. For stocks
XAF321 Listed debt securities
XAF322 Unlisted debt securities shares
A1.51 Long-term loans with outstanding maturity of less than one year and long-term loans secured by mortgage can be coded with X as prefix plus the F of AF code plus an affix L1 indicating outstanding maturity of less than one year and a suffix LM indicating loans secured by a mortgage, for example:
a. For transactions
XF42L1 Long-term loans with outstanding maturity of less than one year
XF42LM Long-term loans secured by a mortgage
b. For stocks
XAF42L1 Long-term loans with outstanding maturity of less than one year
XAF42LM Long-term loans secured by a mortgage
A1.52 Listed and unlisted investment fund shares can be coded with X as prefix plus the F or AF code plus 1 for listed and 2 for unlisted, for example:
a. For transactions
XF5291 Listed investment fund shares
XF5292 Unlisted investment fund shares
b. For stocks
XAF5291 Listed investment fund shares
XAF5292 Unlisted investment fund shares
A1.53 Arrears in interest and repayments can be coded with X as prefix plus the AF code plus an IA affix for interest arrears and PA affix for repayment arrears, for example:
XAF42IA Interest arrears on long term loans
XAF42PA Repayment arrears on long term loans
A1.54 Personal remittances and total remittances between resident and non-resident households, mentioned in chapter 8, can be coded with X as prefix plus the current transfer code plus a suffix PR for personal remittances and TR for total remittances, as follows:
XD5452PR Personal remittances between resident and non-resident households
XD5452TR Total remittances between resident and non-resident households
The production account
The generation of income account
The allocation of primary income account
The entrepreneurial income account
The allocation of other primary income account
The secondary distribution of income account
The use of disposable income account
The redistribution of income in kind account
The use of adjusted disposable income account
The capital account
The financial account
The other changes in the volume of assets account
The revaluation account
The balance sheets
[see tables in http://unstats.un.org/unsd/nationalaccount/SNA2008.pdf]
A3.1 The System of National Accounts 2008 (2008 SNA) retains the basic theoretical framework of its predecessor, the System of National Accounts 1993 (1993 SNA).
However, in line with the mandate of the United Nations Statistical Commission, the 2008 SNA introduces treatments for new aspects of economies that have come into prominence, elaborates on aspects that have increasingly become the focus of analytical attention and clarifies guidance on a wide range of issues.
The changes in the 2008 SNA bring the accounts into line with developments in the economic environment, advances in methodological research and needs of users.
A3.2 In sections B through G, the changes in the 2008 SNA are grouped together in six sections.
The descriptions given only highlight the main differences between the 1993 and 2008 SNA while refraining from exhaustive descriptions.
The discussion of the changes also includes cross-references to the corresponding paragraphs in the chapters.
In section H a check-list of changes by chapter is given.
Reference: chapter 5, paragraphs 5.41 to 5.42
A3.3 The 2008 SNA recommends that if the activity of a unit undertaking purely ancillary activities is statistically observable, in that separate accounts for the production it undertakes are readily available, or if it is located in a geographically different location from the establishments it serves, it should be recognized as a separate establishment.
When such an ancillary establishment is recognized, it is classified according to its own principal activity and seen as producing primary output.
A3.4 The value of output of an ancillary establishment should be derived on a sum of costs basis, including the costs of the capital used by the unit.
The output of the ancillary unit is treated as intermediate consumption of the establishments it serves and the output should be allocated across those establishments using an appropriate indicator such as the output, value added or employment.
The output is deemed to be market output when the parent enterprise is a market producer or producing for own final use and non-market otherwise.
In the latter case, the cost of the capital should not be included in estimating the value of the output.
A3.5 In the 1993 SNA, a producer unit undertaking purely ancillary activities was always regarded as an integral part of the establishments it served.
Reference: chapter 4, paragraphs 4.62 to 4.64
A3.6 Ancillary corporations as described in the 1993 SNA are named as artificial subsidiaries in the 2008 SNA.
Artificial subsidiaries are subsidiary corporations wholly owned by the parent corporation and created to provide services to the parent corporation, or other corporations in the same group, often in order to avoid taxes, to minimize liabilities in the event of bankruptcy, or to secure other technical advantages under the tax or corporation legislation in force in a particular country.
An artificial subsidiary is not treated as an institutional unit unless it is resident in an economy different from that of its parent.
Reference: chapter 4, paragraph 4.47
A3.7 The 1993 SNA simply stated that an unincorporated enterprise owned by a non-resident institutional unit should be treated as a notional resident unit in the country where it is located.
Such a unit is identified as a branch in the 2008 SNA and treated as an institutional unit.
The 2008 SNA specifies indicative criteria to help recognize the branch of a non-resident unit as an institutional unit; namely, the unit engages in significant production of goods and services for a long period of time in that territory and is subject to the income tax laws, if any, of the economy in which it is located even if it may have a tax-exempt status.
Reference: chapter 4, paragraph 4.13
A3.8 The 2008 SNA provides guidelines for determining the residence of multiterritory enterprises that operate a seamless operation over more than one economic territory.
Such enterprises are typically involved in cross-border activities and include shipping lines, airlines, hydroelectric schemes on border rivers, pipelines, bridges, tunnels and undersea cables.
When it is not possible to identify a parent or separate branches, it is recommended to prorate the total operations of a multiterritory enterprise by the individual economic territories in which it operates.
A3.9 The 1993 SNA did not give explicit guidance for determining the residence of multiterritory enterprises.
Reference: chapter 4, paragraphs 4.55 to 4.58; chapter 22, paragraphs 22.51 to 22.54
A3.10 The 2008 SNA provides guidance on the treatment of units with no employees and no non-financial assets, units known variously as special purpose entities (SPEs) or special purpose vehicles.
There is no common definition of an SPE but some of its characteristics are that it has little physical presence, is always related to another corporation, often as a subsidiary, and it is often resident in a territory other than the territory of residence of its parent.
A3.11 Such a unit is treated as an institutional unit and allocated to sector and industry according to its principal activity unless it falls into one of three categories; (a) captive financial institutions, (b) artificial subsidiaries of corporations, and (c) special purpose units of government.
A3.12 The 1993 SNA did not give explicit guidance for treatment of such units.
Reference: chapter 4, paragraph 4.54
A3.13 ISIC Rev. 4, in section K class 6420, describes a holding company as one that holds the assets of subsidiary corporations but does not undertake any management activities.
Such a unit, therefore, produces only a financial service.
Accordingly, the 2008 SNA recommends that holding companies should always be allocated to the financial corporations sector and treated as captive financial institutions even if all of their subsidiary corporations are non-financial corporations.
A3.14 The 1993 SNA recommended that holding companies were to be assigned to the institutional sector in which the main activity of the group of subsidiaries was concentrated.
Consequently, they were to be classified as financial corporations only when the main activity of the group of corporations they controlled was financial.
Reference: chapter 4, paragraph 4.53
A3.15 The term holding company is sometimes mistakenly used where head office is more correct.
The activities of a head office, as defined in section M class 7010 of the ISIC Rev. 4, includes the overseeing and managing of other units of the enterprise; undertaking the strategic or organizational planning and decision making role of the enterprise; exercising operational control and managing the day-to-day operations of their related units.
Such a unit therefore, produces non-financial or financial services depending upon the type of output of its subsidiaries.
The 2008 SNA recommends that the head office should be allocated to the non-financial corporations sector unless all or most of its subsidiaries are financial corporations, in which case it is treated by convention as a financial auxiliary in the financial corporations sector.
A3.16 The 1993 SNA did not give explicit guidance for treatment of head offices.
Reference: chapter 4, paragraphs 4.35, 4.94, 4.103 and 4.128
A3.17 Like the 1993 SNA, the 2008 SNA assigns non-profit institutions (NPIs) to different institutional sectors, regardless of motivation, tax status, type of employees or the activity they are engaged in. Recognizing the increasing interest in considering the full set of NPIs as evidence of civil society, the 2008 SNA recommends that NPIs within the corporate and government sectors be identified in distinct subsectors so that supplementary tables summarizing all NPI activities can be separately derived in a straightforward manner as and when required.
Reference: chapter 4, paragraph 4.98 and chapter 6, paragraph 6.158
A3.18 The 2008 SNA defines financial services more explicitly than in the 1993 SNA to ensure that the increase in financial services other than the financial intermediation, specifically financial risk management and liquidity transformation, are captured.
Financial services include monitoring services, convenience services, liquidity provision, risk assumption, underwriting and trading services. Chapter 17 gives guidance on when both explicit and implicit financial services should be identified, including margins on foreign exchange dealing and dealing in securities.
Reference: chapter 4, paragraphs 4.98 to 4.116.
A3.19 The 2008 SNA has introduced a slightly more detailed classification of the financial corporations sector to allow more flexibility and better consistency with other monetary and financial statistics systems such as those of the International Monetary Fund and the European Central Bank.
The financial corporations sector is divided into nine subsectors (as opposed to five in the 1993 SNA) according to the activity of the unit in the market and the liquidity of its liabilities.
The subsectors are (i) Central Bank, (ii) Deposit-taking corporations except the central bank, (iii) Money market funds (MMFs), (iv) Non-MMF investment funds, (v) Other financial intermediaries except insurance corporations and pension funds, (vi) Financial auxiliaries, (vii) Captive financial institutions and money lenders, (viii) Insurance corporations (ICs) and (ix) Pension funds (PFs).
A3.20 Due to the substantial variations among countries in defining money, the 2008 SNA does not include a definition of money.
However, the classification of financial corporations and instruments is designed to be compatible with national money definitions.
Because “Money market funds” are separately distinguished, they can be included or excluded as desired.
Reference: chapter 6, paragraph 6.207
A3.21 The 2008 SNA does not treat the research and development activity as an ancillary activity.
Research and development is creative work undertaken on a systematic basis in order to increase the stock of knowledge, including knowledge of man, culture and society, and enable this stock of knowledge to be used to devise new applications.
This does not extend to including human capital as assets within the SNA.
It is recommended that a separate establishment should be distinguished for research and development when possible.
A3.22 The 2008 SNA recommends that the output of research and development should be valued at market prices if purchased (outsourced) or at the sum of total production costs plus an appropriate mark-up representing the costs of fixed assets used in production if undertaken on own account.
Research and development undertaken by specialized commercial research laboratories or institutes is valued by receipts from sales, contracts, commissions, fees, etc. in the usual way.
Research and development undertaken by government units, universities, non-profit research institutes, etc. is nonmarket production and should be valued on the basis of the total costs incurred excluding a return to capital used.
A3.23 The 1993 SNA recognized that research and development is undertaken with the objective of improving efficiency or productivity, or deriving other future benefits.
However, although these characteristics have the nature of investment activities, research and development was treated as part of intermediate consumption.
It was recommended, though, that it should not be treated as an ancillary activity but that a separate establishment should be identified as secondary activity.
Reference: chapter 6, paragraphs 6.163 to 6.165.
A3.24 The method for calculating financial intermediation services indirectly measured, widely known as FISIM, has been refined in the light of experience in implementing the 1993 SNA recommendations.
By convention the 2008 SNA recommends that FISIM applies only to loans and deposits and only when those loans and deposits are provided by, or deposited with, financial institutions.
The 2008 SNA calculates the output of FISIM on loans (yL) and deposits (yD) only, using a reference rate (rr).
Assuming that these loans and deposits attract interest rates of rL and rD respectively, the output of FISIM should be calculated according to the formula (rL - rr) yL + (rr - rD) yD.
A3.25 The method recommended in the 2008 SNA for the calculation of FISIM implies several changes to the 1993 SNA formula.
For financial intermediaries, all loans and deposits are included, not just those made from intermediated funds.
The reference rate should contain no service element and reflect the risk and maturity structure of deposits and loans.
The rate prevailing for inter-bank borrowing and lending may be a suitable choice as a reference rate.
However, different reference rates may be needed for each currency in which loans and deposits are denominated, especially when a non-resident financial institution is involved.
For banks within the same economy, there is often little if any service provided in association with banks lending to and borrowing from other banks.
A3.26 The 2008 SNA recommends that the consumption of FISIM should be allocated between users (lenders as well as borrowers) treating the allocated amounts either as intermediate consumption by enterprises or as final consumption or exports.
A3.27 The 1993 SNA calculated FISIM as the difference between property income receivable and interest payable.
The property income receivable excluded that part which was receivable from investment of own funds.
The 1993 SNA recognized that in practice it may be difficult to find any method of allocating FISIM among different users and, therefore, accepted that some countries may prefer to continue to use the convention whereby the whole of the services are allocated to intermediate consumption of a notional industry.
This possibility has been removed in the 2008 SNA.
Reference: chapter 6, paragraphs 6.151 to 6.156; chapter 7, paragraphs 7.122 to 7.126
A3.28 The services produced by the central bank are identified in three broad groups, namely financial intermediation, monetary policy services and supervisory services overseeing financial corporations.
The 2008 SNA recommends that separate establishments should be identified for units of the central bank undertaking production of these different services when the level of activity is significant for the accounts as a whole.
This facilitates the distinction between the market and non-market output of the central bank.
Financial intermediation services represent market production, monetary policy services represent non-market production and borderline cases, such as supervisory services, may be treated as market or non-market services depending on whether explicit fees are charged that are sufficient to cover the costs of providing such services or not.
A3.29 The 2008 SNA provides guidance that non-market activities are to be regarded as acquisition of collective services by general government with a matching transfer from the central bank to the government, so there is no net cost to the government for these services.
Market output is provided on an individual basis to all sectors of the economy against payment for the services.
A3.30 In cases when the interest rate set by the central bank is so high or so low as to imply the inclusion of an implicit subsidy or tax, the 2008 SNA recommends that these should be explicitly recorded as such if they are significant.
These taxes or subsidies should be shown as receivable by and payable by government but with a matching transfer from the government to the central bank in the case of a tax and a transfer from the central bank to government in the case of a subsidy.
A3.31 The 1993 SNA recommended that the services of central banks be measured on the basis of receipts from fees, commissions, and financial intermediation services indirectly measured.
Application of this method sometimes resulted in unusually large positive or negative estimates of output.
For this reason, in 1995 the Inter-Secretariat Working Group on National Accounts (ISWGNA) revised the recommendation for measuring the output of central banks.
If the traditional approach consistently leads to inappropriate results, countries may, as a second best option, measure output at cost as in the case for other non-market output.
However, the ISWGNA did not provide further guidance on the implications of the cost based valuation on the recording of other transactions in which central banks are involved, such as interest payments and receipts.
Neither did it indicate which unit or units use the output of central banks thus valued.
Reference: chapter 6, paragraphs 6.184 to 6.190 and 6.199; chapter 17, paragraphs 17.13 to 17.42
A3.32 It is recognized that in cases of catastrophic losses the output of the insurance activity estimated using the basic algorithm of the 1993 SNA, depending on the balance of premiums and claims (on an accrual basis), could be extremely volatile (even negative).
The 2008 SNA, therefore recommends that the output of the non-life insurance activity should be calculated using adjusted claims and adjusted premiums supplements.
With the application of this method, the net premiums receivable and adjusted claims due may no longer be necessarily equal for each period.
A3.33 The 2008 SNA recommends three approaches for estimating non-life insurance output, namely the expectation approach, the accounting approach and the cost approach. The expectation approach consists in replicating the ex ante model used by insurer corporations to set their premiums, on the basis of their expectations.
In accepting risk and setting premiums, insurers consider both their expectation of loss (claims) and of income (premiums and premium supplements).
This expected margin (premiums plus expected premium supplements minus expected claims) provides a much better measure of the insurance service than the 1993 SNA formula applied ex post.
Ideally, the micro data from the accounts of the insurance corporations could be used for the expectation approach for estimating output of the insurance corporation but this information is seldom available to the statistical organizations.
In the absence of such data, the 2008 SNA recommends the application of a statistical technique to simulate this approach by using macrostatistics, and using smoothed past data to forecast the expected claims.
A3.34 Alternatively, an accounting approach may be used whereby output is calculated as: actual premiums earned plus premium supplements less adjusted claims incurred; where adjusted claims are determined by using claims due plus the changes in equalization provisions and, if necessary, changes to own funds.
A3.35 If the necessary accounting data are not available and the historical statistical data are not sufficient to allow use of an expectations approach to estimate the output, the output of non-life insurance may be estimated as the sum of costs (including intermediate costs, labour and capital costs) plus an allowance for normal profit.
A3.36 For exceptionally large claims, such as those following a catastrophe, the claims may be recorded as capital transfers rather than, as normal, current transfers.
A3.37 The 2008 SNA changes the terminology from claims due to claims incurred.
Reference: chapter 6, paragraph 6.200; chapter 17, paragraphs 17.56 to 17.65
A3.38 The 2008 SNA recommends that reinsurance should be treated in the same way as direct insurance.
The transactions between the direct insurer and the reinsurer are recorded as an entirely separate set of transactions and no consolidation takes place between the transactions of the direct insurer as issuer of policies to its clients on the one hand and the holder of a policy with the reinsurer on the other.
The premiums are shown as being first payable to the direct insurer and then a lesser premium is payable to the reinsurer.
This non-consolidation is referred to as gross recording on the part of the direct insurer.
A3.39 The services produced by the reinsurance corporation are treated as the intermediate consumption by the direct insurer.
A3.40 In the 1993 SNA reinsurance transactions were consolidated with those for direct insurance so that the division between direct insurance and reinsurance was not shown.
Reference: chapter 6, paragraph 6.125
A3.41 The 2008 SNA recommends that when estimating the value of the output of goods and services produced by households and corporations for own final use, it is appropriate to include a return to capital as part of the sum of costs when this approach is used for estimating output in the absence of comparable market prices.
However, no return to capital should be included when production for own final use is undertaken by non-market producers.
A3.42 The 1993 SNA did not include the return to capital in estimating the output of goods and services produced for own final use by households and corporations when these were estimated as the sum of costs.
Reference: chapter 3, paragraphs 3.21, 3.26, 3.169; when legal ownership remained unchanged. chapter 10, paragraph 10.5
A3.43 The principle of change of ownership is central to the determination of the timing of recording of transactions in goods, services and financial assets.
The term “economic ownership” better reflects the underlying reality economic accounts are attempting to measure.
Economic ownership takes account of where the risks and rewards of ownership lie.
A change in ownership from an economic point of view means that all risks, rewards, rights and responsibilities of ownership are transferred.
A3.44 The 2008 SNA gives guidance to distinguish between legal ownership and economic ownership and recommends that assets be recorded on the balance sheets of the economic rather than the legal owner.
For a non-financial asset, the user and not the legal owner may assume economic ownership if the legal owner agrees that the user is entitled to the benefits deriving from using the asset in production in return for assuming the risks involved.
Similarly when products change hands, it is the unit that assumes the risks in the case of destruction, theft, etc. that is the economic owner.
Ownership is also associated with assuming risk in the case of financial assets.
When the time of recording depends on change of ownership, it is the change of economic ownership that is intended, unless otherwise specified.
A3.45 The 1993 SNA did not explicitly define ownership.
Often it seemed to imply legal ownership, but in some instances it relied on the concept of change of economic ownership when legal ownership remained unchanged.
Reference: chapter 10, paragraphs 10.103 to 10.105
A3.46 As noted in section C, in the 2008 SNA the activity of research and development is not treated as an ancillary activity.
The output of research and development should be capitalized as “intellectual property products” except in cases where it is clear that the activity does not entail any economic benefit to its producer (and hence owner) in which case it is treated as intermediate consumption.
With the inclusion of research and development in the asset boundary, the 1993 SNA asset category of patented entities as a form of non-produced assets disappears and is replaced by research and development under fixed assets.
A3.47 In order to treat R&D in this way, several issues have to be addressed.
These include deriving measures of research and development, price indices and service lives.
Specific guidelines, together with handbooks on methodology and practice, will provide a useful way of working towards solutions that give the appropriate level of confidence in the resulting measures.
A3.48 Treatment of research and development giving rise to produced assets has removed the 1993 SNA inconsistency of treating the patented entities as non-produced assets but treating royalty payments as payments for services.
Reference: chapter 3, paragraphs 3.5, 3.30 to 3.31, 3.37 to 3.39; chapter 10, paragraph 10.8
A3.49 The definition of asset has been refined in the 2008 SNA, covering the issues such as risk, demonstrable value and constructive obligations.
It is defined as a store of value representing a benefit or series of benefits accruing to the economic owner by holding or using the entity over a period of time.
It is a means of transferring value from one accounting period to another.
A3.50 With regard to the classification of assets, the 2008 SNA, like its predecessor, distinguishes at the first level of the classification between non-financial assets and financial assets/liabilities.
Within non-financial assets, it distinguishes between produced and non-produced assets.
Classification of produced and non-produced assets is no longer distinguished between tangible and intangible assets.
Non-produced assets in the 2008 SNA are split into three categories, natural resources, contracts leases and licences, and purchase and sale of goodwill and marketing assets.
A3.51 The non-financial assets are classified in the 2008 SNA as follows:
Produced assets
Fixed assets
· Dwellings
· Other buildings and structures
·· Non-residential buildings
·· Other structures
·· Land improvements
· Machinery and equipment
·· Transport equipment
·· ICT equipment
·· Other machinery and equipment
· Weapons systems
· Cultivated biological resources
·· Animal resources yielding repeat products.
·· Tree, crop and plant resources yielding repeat products
· Costs of ownership transfer on non-produced assets
· Intellectual property products
·· Research and development
·· Mineral exploration and evaluation
·· Computer software and databases
··· Computer software
··· Databases
·· Entertainment, literary or artistic originals
·· Other intellectual property products
Inventories
· Materials and supplies
· Work in progress
·· Work-in-progress on cultivated biological resources
·· Other work-in-progress
· Finisched goods
· Military inventories
· Goods for resale
Valuables
· Precious metals and stones
· Antiques and other art objects
· Other valuables
Non-produced assets
Natural resources
· Land
· Mineral and energy resources
· Non-cultivated biological resources
· Water resources
· Other natural resources
·· Radio spectra
·· Other
Contracts, leases and licences
· Marketable operating leases
· Permits to use natural resources
· Permits to undertake specific activities
. Entitlement to future goods and services on an exclusive basis
· Goodwill and marketing assets
A3.52 In the 2008 SNA assets classification there are several changes within the fixed assets category.
a. Within buildings and structures, a category has been added for land improvements.
This replaces the 1993 SNA term major improvements to non-produced non-financial assets. The costs of ownership transfer on all land are to be included with land improvements.
b. The information, computer and telecommunications (ICT) equipment has been included as a new category under machinery and equipment.
c. Weapons systems are recognized as produced assets and classified separately.
d. The term intangible fixed assets has been renamed as intellectual property products. The word products is included to make clear that it does not include third party rights which are non-produced assets in the SNA.
e. Research and development products are included within intellectual property products.
As a result patented entities no longer appear as non-produced assets and are subsumed in research and development.
f. The item mineral exploration has been renamed mineral exploration and evaluation to emphasize that the coverage conforms to the international accounting standards.
g. Computer software has been modified to include databases; software and databases are two subcomponents.
h. The term other intellectual property products replaces other intangible fixed assets.
A3.53 The only change to inventories is to show military Military inventories inventories separately.
A3.54 Changes within the non-produced assets category are as follows.
a. The tangible non-produced assets of the 1993 SNA are renamed as natural resources.
b. Other natural resources such as radio spectra have been added, and the heading intangible non-produced assets has been split into two subcategories, contracts, leases and licences and goodwill and marketing assets.
· Contracts, leases and licences are split into four subcategories; marketable operating leases, permissions to use natural resources, permissions to undertake specific activities, and entitlement to future goods and services on an exclusive basis.
· The previous category of purchased goodwill is changed to purchased goodwill and marketing assets with changes in coverage as described below in item 11.
Reference: chapter 10, paragraphs 10.87 and 10.144
A3.55 The military weapons systems comprising vehicles and other equipment such as warships, submarines, military aircraft, tanks, missile carriers and launchers, etc. are used continuously in the production of defence services, even if their peacetime use is simply to provide deterrence.
The 2008 SNA, therefore, recommends that military weapons systems should be classified as fixed assets and that the classification of military weapons systems as fixed assets should be based on the same criteria as for other fixed assets; that is, produced assets that are themselves used repeatedly, or continuously, in processes of production for more than one year.
A3.56 Single-use items, such as ammunition, missiles, rockets, bombs, etc., delivered by weapons or weapons systems are treated as military inventories.
However, some single-use items, such as certain types of ballistic missiles with a highly destructive capability, may provide an ongoing service of deterrence against aggressors and therefore meet the general criteria for classification as fixed assets.
A3.57 Unlike in the 1993 SNA, strategic inventories are no longer separated from other inventories of the same type of products.
A3.58 The 1993 SNA treated as gross fixed capital formation only those expenditures by the military on fixed assets of a kind that could be used for civilian purposes of production.
On the other hand, military weapons, and vehicles and equipment whose sole purpose was to launch or deliver such weapons, were not treated as gross fixed capital formation but as intermediate consumption.
Reference: chapter 10, paragraphs 10.110 to 10.114
A3.59 The 1993 SNA asset category computer software has been modified in the 2008 SNA to include databases in the title as computer software and databases with a further split between computer software and databases.
A3.60 The 2008 SNA gives explicit guidance for valuation of the computer software and databases purchased from the market or developed in-house.
The computer software and databases purchased on the market should be valued at purchasers' prices, while those developed in-house should be valued at their estimated basic price or at their costs of production (including a return to capital for market producers) if it is not possible to estimate the basic price.
A3.61 The 2008 SNA recommends treating all databases holding data with a useful life of more than one year as fixed assets.
Both databases created on own account and those for sale should be included if they meet this criterion.
A3.62 In the 1993 SNA only large databases were recognized as assets.
Reference: chapter 10, paragraphs 10.100 to 10.101
A3.63 The 2008 SNA provides guidance on the treatment of originals and copies of intellectual property products as distinct products.
It recommends that if a copy is sold outright and is expected to be used in production for more than a year then it should be treated as a fixed asset.
A copy made available under a licence to use should also be treated as a fixed asset if it will be used in production for a period in excess of one year and the licensee assumes all the risks and rewards of ownership.
A3.64 If the acquisition of a copy with a licence to use is purchased with regular payments over a multiyear contract and the licensee is judged to have acquired economic ownership of the copy, then it should be regarded as the acquisition of an asset.
If regular payments are made for a licence to use without a long-term contract, then the payments should be treated as payments for a service of using the copy.
A3.65 If there is a large initial payment followed by a series of smaller payments in succeeding years, the initial payment should be recorded as gross fixed capital formation and the succeeding payments should be treated as payments for a service.
A3.66 If the licence allows the licensee to reproduce the original and subsequently assume responsibility for the distribution, support and maintenance of these copies, then this is described as a licence to reproduce and should be regarded as the sale of part or whole of the original to the unit holding the licence to reproduce.
A3.67 The 1993 SNA did not provide guidance on the treatment of originals and copies as distinct products.
Reference: chapter 20
A3.68 Capital services for assets used in market production were implicitly included within the 1993 SNA but were not separately identified.
Given the importance of identifying them for productivity measurement and other analysis, a new chapter has been added in the 2008 SNA explaining the role of capital services and their appearance in the accounts.
Details can be presented in a supplementary table for market producers, bringing into the SNA the advances in research in recent decades in the fields of growth and productivity and helping to satisfy the analytical needs of many users.
Reference: chapter 10, paragraphs 10.48 to 10.52, paragraph 10.97 and paragraphs 10.158 to 10.162
A3.69 Like the 1993 SNA, the 2008 SNA continues to treat the costs of ownership transfer as fixed capital formation.
Costs of ownership transfer on acquisition of an asset should be written off over the period the asset is expected to be held by the purchaser rather than over the whole life of the asset (as was recommended in the 1993 SNA).
Costs of ownership transfer on the disposal of an asset should also be written off over the period the asset is held.
Recognizing this recommendation may be difficult to implement when there is no adequate data, the 2008 SNA recommends that these costs should still be recorded as gross fixed capital formation but written off as consumption of fixed capital in the year they are incurred.
Installation and de-installation costs should be included in the costs of ownership transfer when they are separately invoiced and in the purchaser's price of the asset otherwise.
A3.70 Terminal costs (for example dismantling costs) should be written off over the whole life of the asset, regardless of the number of owners during the life of the asset.
In practice, it may be difficult to predict terminal costs accurately.
Any amount not already covered by consumption of fixed capital during the life of the asset is written off at the time the costs are incurred as consumption of fixed capital.
A3.71 In the 1993 SNA, costs of ownership transfer in acquiring an asset were recommended to be written down over the life of the asset.
If the asset was sold before the end of its life, the remaining costs of ownership transfer on acquisition not already written off were written off in the other changes in volume of assets account.
A3.72 The 1993 SNA was not explicit about the treatment of terminal costs.
Reference: chapter 10, paragraphs 10.106 to 10.108
A3.73 The 2008 SNA maintains the distinction between the act of exploring for mineral resources (treated as a produced asset) and the mineral resources themselves (treated as non-produced assets).
The term mineral exploration has been renamed as mineral exploration and evaluation to match the term used in the International Accounting Standards and has been defined accordingly.
A3.74 The 2008 SNA gives guidance that mineral exploration and evaluation should be valued at market prices if purchased or at the sum of costs plus an appropriate mark-up if undertaken on own account.
A3.75 The 2008 SNA recognizes that because the market price is seldom available for mineral resources, the default valuation is the present value of future receipts of resource rent.
A3.76 Payments by an extractor to the owner of the mineral resources corresponding to a share of the resource rent should be shown as property income even if they are described as taxes and treated as such in a government's own accounts.
A3.77 The 1993 SNA recommended that when the legal owner of a mineral reserve contracts with another unit to undertake extraction, on pragmatic grounds the resource may continue to be shown on the balance sheet of the legal owner with payments by the extractor to the owner treated as property income.
Reference: chapter 10, paragraphs 10.79 to 10.81
A3.78 Land improvements continue to be treated as gross fixed capital formation.
The 2008 SNA recommends treating land improvements as a category of fixed assets distinct from the non-produced land asset as it existed before improvement.
In cases where it is not possible to separate the value of the land before improvement and the value of those improvements, the land should be allocated to the category that represents the greater part of the value.
The costs of ownership transfer on all land are to be included in the land improvements.
A3.79 The 1993 SNA recorded improvements to land as gross fixed capital formation, but in the balance sheet such improvements were included with land itself.
Reference: chapter 10, paragraphs 10.196 to 10.199
A3.80 The 2008 SNA renames purchased goodwill as purchased goodwill and marketing assets. Purchased goodwill and marketing assets continue to be treated as non-produced assets, though at a higher level in the hierarchy than that in 1993 SNA, specifically at the same level as natural resources and contracts, leases and licences.
A3.81 In the 1993 SNA, goodwill was recorded only following the takeover of an enterprise.
For that reason it was described as purchased goodwill. Goodwill was not recognized in any other context.
The 2008 SNA recognizes that this difference may actually include assets such as mastheads, logos, customer lists and so on which are described collectively as marketing assets. Exceptionally, identified marketing assets may be sold individually and separately from the whole corporation in which case their sale should also be recorded under this item.
A3.82 The 2008 SNA recommends a consistent approach for calculating the value of the purchased goodwill and marketing assets as the excess of the value paid for an enterprise as a going concern over the sum of its assets less the sum of its liabilities, each item of which has been separately identified and valued irrespectively of whether the entity is a listed or unlisted corporation, a quasi-corporation or is unincorporated.
A3.83 In the 1993 SNA, purchased goodwill was calculated differently depending on whether the business was an unincorporated enterprise or a corporation.
For an unincorporated enterprise, purchased goodwill was derived as the excess of the purchase price over the separately identified and valued assets less liabilities.
For corporations it was described as the difference between the share price immediately before the sale and the actual sale price per share, multiplied by the number of shares.
It did not make any distinction between listed and unlisted corporations in the calculation of purchased goodwill.
Reference: chapter 10, paragraph 10.184
A3.84 In the 2008 SNA the definition of water resources has been extended to potentially cover rivers, lakes, artificial reservoirs and other surface catchments in addition to aquifers and other groundwater resources.
It consists of surface and groundwater resources used for extraction to the extent that their scarcity leads to the enforcement of ownership or use rights, market valuation and some measure of economic control.
A3.85 The 2008 SNA recommends that water bodies should in principle be valued in a manner parallel to the valuation of mineral resources but with an indication that more pragmatic alternatives may have to be used such as estimates based on access fees.
Reference: chapter 10, paragraph 10.156
A3.86 The 2008 SNA recommends that the consumption of fixed capital should be measured at the average prices of the period with respect to a constant-quality price index of the asset concerned.
A3.87 The 1993 SNA did not give guidance about whether the prices to be used for measurement of the consumption of fixed capital should relate to the general price level or whether they should be asset specific.
Reference: chapter 10, paragraph 10.88
A3.88 The definition of cultivated biological resources in the 2008 SNA has been clarified making it specific that their natural growth and regeneration are treated as production only in cases where these are under the direct control, responsibility and management of institutional units.
A3.89 Cultivated assets of the 1993 SNA have been renamed as cultivated biological resources in the 2008 SNA.
Reference: chapter 10, paragraph 10.98
A3.90 The accounting treatment of assets previously called intangible produced assets and now labelled, more descriptively, intellectual property products has been clarified and expanded in the 2008 SNA.
These assets are further split into research and development; mineral exploration and evaluation; computer software and databases; entertainment, literary or artistic originals; and other intellectual property products.
Reference: chapter 7, paragraph 7.109
A3.91 The 2008 SNA introduces the concept of a resource lease to cover the situation where the natural resource continues to be shown in the balance sheet of the legal owner even though the lessee is the unit using the resource in production and is thus in effect the economic owner.
In return, the lessee makes a regular payment recorded as property income and described as rent.
By convention, no decline in the value of a natural resource is recorded in the SNA as a transaction similar to consumption of fixed capital.
In the SNA the natural resource is effectively treated as having an infinite life as far as income generation is concerned.
A resource lease may apply to any natural resource recognized as an asset in the SNA.
A3.92 The 1993 SNA did not discuss the concept of a resource lease for natural resources.
Reference: chapter 12
A3.93 With a view to giving more structural listing of possible causes for changes in assets other than transactions, the list of items appearing in the other changes in volume of assets account has changed in the 2008 SNA.
The other changes in the volume of assets show changes in the assets/ liabilities in seven main categories and some subcategories as follows:
Economic appearance of assets
Economic disappearance of non-produced assets
· Depletion of natural resources
· Other economic disappearance of non-produced assets
Catastrophic losses
Uncompensated seizures
Other changes in volume n.e.c.
Changes in classification
· Changes in sector classification and structure
· Changes in classification of assets and liabilities
Nominal holding gains and losses
· Neutral holding gains and losses
· Real holding gains and losses
Reference: chapter 11, paragraphs 11.74 to 11.77
The 2008 SNA adds explanation of securities repurchase agreement and gold loans and deposits.
A securities repurchase agreement (repo) is an arrangement involving the sale of securities or other assets at a specified price with a commitment to repurchase the same or similar assets at a fixed price on a specified future date.
A3.94 The 2008 SNA continues to treat a repo as a collateralized loan and recognizes the possibility of on-selling of securities that have been repoed.
In the case of on selling of the repoed security, a negative asset should be recorded for the lender to avoid double-counting.
A3.95 The 1993 SNA text suggested that on-selling of securities that have been repoed is either not allowed or not practised.
Reference: chapter 11, paragraph 11.124; chapter 17, paragraphs 17.384 to 17.398
A3.96 Employee stock options are a common tool used by companies to motivate their employees.
An employee stock option is an agreement made on a given date (the grant date) under which an employee may purchase a given number of shares of the employer's stock at a stated price (the strike price) either at a stated time (the vesting date) or within a period of time (the exercise period) immediately following the vesting date.
The 2008 SNA recommends that transactions in employee stock options should be recorded in the financial account as the counterpart to the element of compensation of employees represented by the value of the stock option.
Ideally the value of the option should be spread over the period between the grant date and vesting date; if this is not possible they may be recorded at the vesting date.
A3.97 The 1993 SNA did not provide guidance on the treatment of employee stock options.
Reference: chapter 11, paragraph 11.129; chapter 13, paragraphs 13.66 to 13.68
A3.98 Guidance on the treatment of impaired (non-performing) loans has been elaborated in the 2008 SNA.
It provides a definition of a non-performing loan as a loan on which payments of interest and/or principal are past due by 90 days or more, or interest payments equal to 90 days or more have been capitalized, refinanced, or delayed by agreement, or payments are less than 90 days overdue, but there are other good reasons (such as a debtor filing for bankruptcy) to doubt that payments will be made in full.
A3.99 The 2008 SNA recommends that the non-performing loan should continue to be recorded at nominal value in the main accounts and interest should be shown accruing until a loan is repaid or the principal is written off by mutual agreement.
Two memorandum items in respect of non-performing loans are recommended, the nominal value of loans deemed to be non-performing and the market equivalent value of these loans.
The closest approximation to market equivalent value is fair or mark-to-market value, which is the value that approximates the value that would arise from a market transaction between two parties. In the absence of fair value data, the memorandum item will have to use a second best approach and show nominal value less expected loan losses.
In addition, interest receivable on the non-performing loans should be shown as an of which item.
A3.100 The 2008 SNA recommends that these memorandum items should be standard for the government sector, the financial corporations sector and for the rest of the world.
A3.101 The 1993 SNA did not give guidance on the criteria to be applied to the recording of non-performing loans.
Reference: chapter 17, paragraphs 17.207to 17.224
A3.102 The treatment of several classes of guarantees has been clarified in the 2008 SNA.
It recognizes three classes of guarantees and provides guidance for their treatment.
The first sort of guarantees are those provided by means of a financial derivative, such as a credit default swap.
These derivatives are actively traded on financial markets and the derivative presents no new features for the SNA.
A3.103 The second class of guarantees, standardized guarantees, is composed of the sorts of guarantees that are issued in large numbers, usually for fairly small amounts, along identical lines, such as export credit guarantees and student loan guarantees.
In this case, although it is not possible to establish the likelihood of any one loan defaulting, it is standard practice to estimate how many out of a batch of similar loans may default.
It operates on the same principle as for non-life insurance and should be treated similarly.
If the guarantor is part of general government and deliberately sets the fees below the level of expected defaults, a subsidy should be imputed to the guarantee holders.
A3.104 The third class of guarantees, described as one-off guarantees, consists of those where the risk is so particular that it is not possible for the probability of it being called to be estimated with any degree of accuracy.
In most cases, the granting of a one-off guarantee is considered a contingency and is not recorded as a financial liability.
A3.105 The initial discussion was in terms of loan guarantees, but the extension of standardized guarantees to other financial instruments in late 2008 suggested generalizing this treatment.
A3.106 The 1993 SNA treated guarantees as contingent liabilities and thus had no record of the existence of the guarantee until it was activated.
Further, it did not provide explicit guidance for the treatment of flows arising at activation.
Reference: chapter 17, paragraph 17.274 to 17.282
A3.107 The issue concerns the case where the coupon or principal payments, or both, payable on securities such as bonds are determined by indicators agreed by to the parties, but the values of the indicators are not known when the agreement is made.
Under such an arrangement, the amount of the increase in value of the security to be treated as interest cannot be known at the time of issue.
The 2008 SNA recommends two approaches to determine the interest accrued in each accounting period.
A3.108 When the coupons are linked to a broad index, the full amounts paid as coupons, after indexation, are accrued as interest.
When the value of the principal is index-linked the difference between the eventual redemption price and the issue price is treated as interest accruing over the life of the instrument.
A3.109 If the link is to a narrow index, interest accruals are determined by fixing the rate at which interest accrues at the time of issue.
Any deviation of the index from the expected path is treated as holding gains or losses.
Because the rate is settled at the time the security is issued, the holding gains and losses will not normally cancel out over the life of the instrument.
A3.110 In the 1993 SNA the guidance about how transactions relating to index-linked debt securities should be recorded was not precise.
Reference: chapter 17, paragraph 17.281
A3.111 The 2008 SNA recommends that debt instruments with both principal and coupon payments indexed to a foreign currency should be classified and treated as though the instrument is denominated in that foreign currency.
A3.112 The 1993 SNA recommended that in the case of debt instruments denominated in a foreign currency, changes in the value of the principal in domestic currency terms that arise from exchange rate variations should be treated as holding gains (non-transactions).
However, in the case of debt instruments indexed to a foreign currency, such changes are treated as interest (transactions).
The 2008 SNA recommendation removes the anomaly by treating instruments that have economically equivalent characteristics identically.
Reference: chapter 13, paragraphs 13.69 to 13.70
A3.113 Not all equity is listed and quoted on stock exchanges.
This situation often arises for direct investment enterprises, private equity, equity in unlisted and delisted companies, listed but illiquid companies, joint ventures and unincorporated enterprises.
The 2008 SNA provides guidance on alternative options of valuing such equity.
Some of the alternative recommended options are recent transaction price, net asset value, present value or price to earnings ratios, book values reported by enterprises with macrolevel adjustments by the statistical compiler, own funds at book value and apportioning global value.
A3.114 The 1993 SNA gave rather restricted guidance on how to value unlisted equity.
It recommended that the value of shares in corporations that are not quoted on stock exchanges or otherwise traded regularly should be estimated using the prices of quoted shares that are comparable in earnings and dividend history and prospects, adjusting downward, if necessary, to allow for the inferior marketability or liquidity of unquoted shares.
Reference: chapter 11, paragraph 11.45 Reference: chapter 17, paragraph 17.254
A3.115 The 2008 SNA recommends that the unallocated gold accounts should be treated as financial assets and liabilities and classified with deposits in foreign currency if these deposits denominated in gold are held with non-residents.
Reference: chapter 11, paragraph 11.45 and 11.46
A3.116 The definition of monetary gold has changed in the 2008 SNA in order to align with BPM6. The change stems from the recognition of allocated and unallocated gold accounts whereby the allocated gold account provides title to the physical gold and the unallocated gold account is a deposit denominated in gold.
The latter is treated as foreign currency if held with non-residents.
Gold bullion (that is, coins, ingots or bars with a minimum purity of at least 995 parts per thousand) is the only financial asset recognized with no corresponding liability when held as a reserve asset by the monetary authorities.
Monetary gold is defined as gold to which the monetary authorities (or others who are subject to the effective control of the monetary authorities) have title and is held as a reserve asset and comprises gold bullion and unallocated gold accounts with non-residents.
A3.117 The 1993 SNA does not discuss allocated or unallocated metal accounts.
Reference: chapter 11, paragraphs 11.47 to 11.49
A3.118 The 2008 SNA recommends to treat special drawing rights (SDRs) issued by the International Monetary Fund as being an asset of the country holding the SDR and a claim on the participants in the scheme collectively.
Further, it is recommended that the allocation and cancellation of SDRs be recorded as transactions.
The asset and liability aspects of SDRs should be recorded separately.
As a result of the changed treatment of SDRs, it recommends that monetary gold and SDRs be shown as separate subitems.
A3.119 The 1993 SNA classified SDRs as assets without corresponding liabilities.
Reference: chapter 11, paragraph 11.56
A3.120 The 2008 SNA continues to distinguish between loans and deposits.
With a view to avoiding ambiguity between loans and deposits when both parties to the transaction are banks, it introduces a category inter-bank positions.
Reference: chapter 17, paragraph 17.254
A3.121 The 2008 SNA recommends that all fees payable to the owners of securities used for securities lending and to the owners of gold used for gold loans (whether from allocated or non-allocated gold accounts) should be recorded by convention as interest.
The interest may have a FISIM component, separately identified, if the unit providing the loan is classified as a financial institution.
A3.122 The 1993 SNA did not give guidance on the issue of fees payable on securities lending and gold loans.
Reference: chapter 11
A3.123 To reflect the innovations in the financial market since the adoption of the 1993 SNA, and to maintain its relevance, the financial asset classification has been changed in the 2008 SNA.
The classification of financial assets and liabilities in the 2008 SNA is as follows:
Monetary gold and SDRs
· Monetary gold
· SDRs
Currency and deposits
· Currency
· Transferable deposits
·· Inter-bank positions
·· Other transferable deposits
· Other deposits
Debt securities
· Short-term
· Long-term
Loans
· Short-term
· Long-term
Equity and investment fund shares
· Equity
·· Listed shares
·· Unlisted shares
·· Other equity
· Investment fund shares/units
·· Money market fund shares/units
·· Other investment fund shares/units
Insurance, pension and standardized guarantee schemes
· Non-life insurance technical provisions
· Life insurance and annuity entitlements
· Pension entitlements
· Claims of pension funds on pension managers
· Entitlements to non-pension benefits
Financial derivatives and employee stock options
· Financial derivatives
·· Options
·· Forwards
· Employee stock options
Other accounts receivable/payable
· Trade credits and advances
· Other accounts receivable/payable
A3.124 The 2008 SNA renames securities other than shares as debt securities and shares and other equity as equity and investment fund shares. The category of financial derivatives introduced in an update to the 1993 SNA is extended to include employee stock options.
Reference: chapter 17, paragraphs 17. 301 to 17.309
A3.125 The 2008 SNA presents an overview setting out the principles of the appropriate treatment of leases and licences.
It recognizes the distinction between an operating lease and a financial lease according to whether the lessee is regarded as the economic owner of the asset or not.
A3.126 The distinction between operating leasing and the financial leasing in the 1993 SNA was interpreted to be based simply on the length of the time of lease.
Reference: chapter 17, paragraphs 17.116 to 17.206
A3.127 The 2008 SNA recognizes that employment-related pension entitlements are contractual engagements, that are expected or likely to be enforceable.
They should be recognized as liabilities towards households, irrespectively of whether the necessary assets exist in segregated schemes or not.
A3.128 For pensions provided by government via social security however, countries have some flexibility to deviate from this procedure in the set of standard tables.
This is because the division between which pensions are provided by social security and which by other employment-related schemes varies considerably from country to country.
However, the full range of information required for a comprehensive analysis of pensions should be provided in a supplementary table that shows the liabilities and associated flows of all private and government pension schemes, whether funded or unfunded and including social security.
A3.129 The 1993 SNA stated that the actual social contributions by employer and employee in a period should be the amount actually paid into a pension fund.
For a defined contribution scheme, this is correct and complete since the eventual payment depends only on the amounts set aside in a pension fund.
For a defined benefit scheme, however, there is no guarantee that the amounts set aside will exactly match the liability of the employer to the pension entitlements of employee.
A3.130 The 2008 SNA recommends a number of changes to the 1993 SNA recommendations in the case of defined benefit schemes:
a. the level of the employer's contribution should be determined by assessing the increase in the net present value of the pension entitlement the employee has earned in the period in question, adding any costs charged by the pension fund for operating the scheme and deducting the amount of any contribution the employee makes;
b. this amount should be determined actuarially, taking into account only the life expectancy of the employee and not any future earnings or the impact of any future pay increases on the ultimate pension benefit;
c. an explicit liability of the pension fund to the employee should be shown in the financial account and balance sheet; and
d. the assets of the fund are then to be regarded as belonging to the fund and not (as stated in the 1993 SNA) as belonging to the employee.
A3.131 Depending on the relationship between the fund and the employer, any excess of the liabilities over the available assets may represent a claim of the pension fund on the employer (and any excess of the assets over the liabilities a claim by the employer on the pension fund).
A3.132 The 2008 SNA recognizes that there is a cost to administering any pension scheme including non-autonomous schemes and unfunded schemes.
In principle, there should be a value of output of the pension fund.
This is to be determined on the basis of the sum of costs, and by convention is deemed to be payable by the employees holding the pension entitlements.
A3.133 The 2008 SNA recommends that when an obligation to pay pensions passes from one unit to another, this should be recorded as a transaction in pension liabilities even if neither unit has previously recorded such liabilities.
A3.134 The 1993 SNA recognized pension obligations on the balance sheet only for funded private schemes.
Hence, the activities of many pension schemes, such as social security and unfunded employer schemes, did not lead to recognition of financial assets/liabilities.
Further, the pension liabilities recognized were limited to the funds available and were not determined by the claims of employees and others on the schemes.
A3.135 The 1993 SNA treated the activity of non-autonomous pension funds and unfunded pension schemes as ancillary activities where the output was not separately recognized.
Reference: chapter 4, paragraphs 4.25 and 4.77 to 4.80, chapter 22
A3.136 Recognizing the fact that the powers, motivation and functions of government are different from those of other sectors of the economy and that it organizes its operations through different institutional units, the 2008 SNA gives extra guidance for the distinction between general government and public corporations.
It provides a decision tree to help clarify the conceptual basis for allocating the institutional units to one of the mutually exclusive institutional sectors and to identify government and other public units.
Reference: chapter 22, paragraphs 22.47 to 22.50
A3.137 Some public units are involved in the restructuring of corporations that may or may not be controlled by government.
Two examples of public restructuring agencies concern (a) the reorganization of the public sector and the indirect management of privatization, and (b) impaired assets, mainly in a context of a banking or other financial crisis.
The 2008 SNA provides guidelines for the treatment of restructuring agencies.
A3.138 The 1993 SNA did not provide guidance for the treatment of restructuring agencies.
Reference: chapter 22, paragraphs 22.88 to 22.90
A3.139 The 2008 SNA recommends that if a permit issued by the government does not involve the use of an underlying government owned asset, then the payment for the licence is a tax.
Notwithstanding, if the licence is legally and practically transferable to a third party, then it acquires the characteristics of an asset and it may be classified as an asset in the category of contracts, leases and licences.
A3.140 When the licence is to make use of a natural resource (including natural resources that qualify as assets and which the government controls on behalf of the community), payments for the licence are treated either as the acquisition of an asset in the category of contracts, leases or licences or as the payment of rent.
Reference: chapter 22, paragraphs 22.135
A3.141 The 2008 SNA recommends that exceptional payments from public corporations should be recorded as withdrawals from equity when these are made from accumulated reserves or sales of assets.
Only regular distributions from the entrepreneurial income of corporations should be recorded as dividends.
A3.142 The 1993 SNA guidance in this respect was different for corporations and quasi-corporations in that exceptional payments from a public corporation were recorded as regular payments of dividends while similar payments from public quasi-corporations were recorded as withdrawals from equity.
Reference: chapter 22, paragraphs 22.138
A3.143 The 2008 SNA recommends that exceptional payments from government to public quasi-corporations to cover accumulated losses should be treated as capital transfers as for public corporations.
However, exceptional payments by government to both public corporations and public quasi-corporations should be recorded as additions to equity when they are made with a clear commercial perspective reflected in a valid expectation of a return in the form of property income.
A3.144 In the 1993 SNA, exceptional payments from government to public corporations were recorded as capital transfers but exceptional payments from government to public quasi-corporations were recorded as additions to equity.
Reference: chapter 22, paragraphs 22.91 to 22.94
A3.145 The 2008 SNA confirms the accrual basis of recording of taxes.
However, it allows some practical flexibility in two cases in order to ensure that uncollectible taxes are not shown as accruing.
One of these relates to taxes on income to be recorded when the tax liability is assessed with some measure of certainty rather than when the income is earned.
The other refers to taxes arising from activities in the parallel economy when the timing of the taxable event is unlikely to be known.
In this case also the time of recording should be the time of assessment.
The 2008 SNA also gives guidance that in assessing the amount of taxes accruing, care must be taken not to include tax unlikely ever to be collected.
Reference: chapter 22, paragraphs 22.95 to 22.98
A3.146 Tax credits represent tax relief and so reduce the tax liability of the beneficiary.
Some tax credits are payable, that is any credit in excess of the tax liability is payable to the beneficiary.
Some subsidies or social benefits are made available via the tax system in the form of tax credits, and the incidence of linking payment systems with the tax collection system is increasing.
The 2008 SNA recommends that the payable credits should be recorded on a gross basis even though this is counter to the recommendations in GFSM2001 and Revenue Statistics.
The presentation should permit the derivation of tax credits on a net basis also.
A3.147 The 1993 SNA did not give guidance on the treatment of tax credits.
Reference: chapter 22, paragraphs 22.154 to 22.163
A3.148 Public-private partnerships (PPPs) are long-term contracts between two units, whereby a private unit acquires or builds an asset or set of assets, operates it for period and then hands the asset over to a unit in the public sector.
Such arrangements are usually between a private enterprise and government but other combinations are possible, with a public corporation as either party or a private NPI as the second party.
The 2008 SNA provides indicative guidance on the characteristics to be examined to determine whether the private or public partner is the economic (as opposed to legal) owner of the assets in question.
A3.149 The 1993 SNA did not give guidance on the treatment of public-private partnerships.
Reference: chapter 8, paragraph 8.61
A3.150 The 2008 SNA recommends that taxes on holding gains continue to be shown as current taxes on income and wealth even though the tax base (the realized holding gains) is not included in the SNA definition of income.
It recommends that where possible and relevant, it should be shown as a separate subcategory.
Reference: chapter 4, paragraph 4.10
A3.151 With globalization, an increasing number of institutional units have connections to two or more economies.
The 2008 SNA and BPM6 use the concept of centre of predominant economic interest as the basic criterion for determining whether or not an entity is a resident in an economic territory.
A3.152 The 1993 SNA recommended the centre of economic interest as the criterion to determine the residence of institutional units but did not give guidance on the treatment of the residence of individuals having several international residences where they may remain for short periods.
Reference: chapter 26, paragraphs 26.37 to 26.39
A3.153 The 2008 SNA confirms that when persons change their country of residence, there is no change of ownership of the non-financial assets, financial assets and liabilities owned by those persons.
All that is required is a reclassification of the appropriate country of residence of the (economic) owner of these items.
The changes should be recorded in the other changes in the volume of assets account and not as capital transfers.
A3.154 The 1993 SNA did not offer specific guidance on the treatment of flows of goods and changes in the financial account arising from a change in residence of individuals.
Reference: chapter 6, paragraphs 6.85 to 6.86 and chapter 14, paragraphs 14.37 to 14.42
A3.155 The 2008 SNA recommends that imports and exports should be recorded on a strict change of ownership basis.
That is, flows of goods between the country owning the goods and the country providing the processing services should not be recorded as imports and exports of goods.
Instead the fee paid to the processing unit should be recorded as the import of processing services by the country owning the goods and an export of processing services by the country providing it.
A3.156 The same treatment is recommended for recording the goods of one establishment sent for processing to another establishment of the same enterprise within the same economy when the receiving establishment does not take on responsibility for the consequences of the continuation of the production process.
In such a case, the only output of the establishment receiving the goods is providing the processing services.
A3.157 The 1993 SNA treated goods that were sent abroad for processing and then returned to the country from where they were dispatched as undergoing an effective change of ownership.
The goods were therefore recorded in exports when they left the first country and again in imports when they returned to the country.
The country undertaking the processing was shown as producing goods that were recorded at their full value, even though the processor never had to pay for the value of the goods on entry.
A3.158 Merchanting is defined as the purchase of a good by a resident (of the compiling economy) from a non-resident and the subsequent resale of the good to another nonresident, without the good entering the merchant's economy.
The 2008 SNA recommends that goods acquired by global manufacturers, wholesalers and retailers and those cases of commodity dealing being settled in the commodity should be recorded as negative exports on acquisition and positive exports on disposal.
The difference between the two appears in exports of goods but appears as the production of a service in the merchant's economy, analogous to trade margins applied to domestically traded goods.
In the case where goods are acquired in one period and not disposed of until a subsequent period, they should appear in changes in inventories of the merchant even though these inventories are held abroad.
A3.159 The 1993 SNA did not give guidance on the treatment of merchanting.
Reference: chapter 14, paragraphs 14.73.
A3.160 The purpose of this section of the chapter is to list the issues affecting each of the chapters of the 2008 SNA relative to the text in the 1993 SNA.
There is no intention to give a detailed list of the impact of these changes, simply to itemize which items affect the previous text.
A3.161 Nothing is shown for chapters 1 and 2. Chapter 1, the introduction, is largely unaffected by the details of the changes. Chapter 2, the overview, effectively includes all of the changes that appear later.
A3.162 Chapters 3 to 13 correspond to chapters of the same number in the 1993 SNA.
Changes to those chapters are presented but not the main thrust of the chapters, assuming this is familiar to readers. Chapters 14 to 29 are reordered or contain new material or both.
Lists of changes, where appropriate, and a brief synopsis of the coverage of these chapters are provided.
A3.163 References to chapters and annexes of the 1993 SNA use Roman numerals, as in that publication.
Chapters and annexes referenced by Arabic numerals relate to the 2008 SNA.
· The major issue here is the introduction of the distinction between economic and legal ownership.
· The description of residence is not changed in substance but wording has been used so that this concept is described in exactly the same way in the SNA and BPM6.
· Figure 4.1 is introduced to show in the form of a flow chart how institutional units are allocated to sectors.
· Both financial and non-financial corporations are now disaggregated to show non-profit institutions as separate subsectors to facilitate the derivation of a satellite account for NPIs.
· A similar distinction is made for general government were NPIs may also be separately identified.
· The text makes clear the difference between a head office and a holding company to clarify the situation where a head office is loosely described as a holding company.
· There is a section on special purpose entities making clear the sorts of considerations that need to be taken into account in order to classify them appropriately.
· The 2008 SNA avoids the expression ancillary corporation that was referred to in the 1993 SNA and was the cause of some confusion.
· There is new text to identify a set of indicators which can be used to determine whether the government controls corporations and non-profit institutions.
· There has been an extension and refinement of the subsectors of financial corporations.
· At the end of the chapter there is a brief reference to central banks of currency boards.
· Text referring to enterprises that are horizontally integrated is now consistent with ISIC Rev.4.
· On vertically integrated enterprises, the SNA recommends identifying establishments where ISIC simply classifies the enterprise as a whole to the principal activity contributing largest share to the value added.
· There is new and more extensive discussion on ancillary activities.
· The term knowledge-capturing products has been introduced to cover those items that have some of the characteristics of goods and some of the characteristics of services.
· Reference is made to the non-observed economy.
There is more extensive discussion on this in chapter 25.
· The text describes the revised treatment of deliveries between establishments of the same enterprise or indeed between different enterprises depending on whether there is a transfer of economic ownership and the degree of risk involved in further processing.
(This is the domestic equivalent to goods sent abroad for processing.)
· The three-way distinction of production is now referred to as market production, production for own final use and non-market production.
· When output for own final use for market producers is estimated by the sum of costs it should now include a return to fixed capital.
· There is more discussion on how to measure output that takes a long time to complete.
· There is greater clarification on how to measure storage and how to identify when this is a productive activity rather than a holding gain.
This subject is elaborated in an annex-to-chapter 6.
· There is more extensive discussion on how to measure the output of central banks.
· The treatment of financial services is treated in more detail in chapter 6 and in even greater detail in part 4 of chapter 17.
Some of the developments since the publication of the 1993 SNA on the treatment of financial intermediation service charges indirectly measured (FISIM) have been incorporated in the text.
· Revised text is available on the treatment of insurance taking account of the results of the task force on this subject.
· Similarly there is a revised treatment on reinsurance.
· There is discussion of how the output associated with the issuing of standardized guarantees should be treated.
· Research and development is no longer treated as intermediate consumption but in most cases as fixed capital formation.
· New text is presented on the appropriate treatment on originals and copies following the recommendations or of the Canberra group.
· Weapons systems are a new classification item within gross fixed capital formation.
· In describing consumption of fixed capital it is in now recommended that asset-specific prices should be used rather than a general deflation index to estimate the declining value of assets.
The process of estimating consumption of fixed capital should be linked to estimates of capital stock.
This subject is taken further in chapter 20.
· The entrepreneurial accounts and thus the allocation of other primary income account are now restricted to financial and non-financial corporations.
· References to measures of employment have been updated to include the recommendations of the International Conference of Labour Statisticians (ICLS) that was held in late 2008.
· There are significant changes to the measurement of social contributions.
The first of these is that the distinction is made between contributions relating to pensions and those relating to other benefits.
Further, the fact that pension entitlements are now recorded in some cases even when there is no fund set aside to meet the needs has consequences for the measurement of social contributions.
· Investment income now includes the earnings on investment funds.
· Within taxes on production, taxi and casino licences are now included.
· Within property income, a new subheading of investment income has been introduced parallel to that used in BPM6.
· The concept of the resource lease is introduced in relation to the payment of rent.
· The possibility of implicit taxes and subsidies being recorded in respect of interest rates charged and paid by central banks is introduced.
· The treatment of super dividends and withdrawals from income for both corporations and quasi-corporations has been rationalized.
In connection with this, the term retained earnings has been introduced explicitly for all enterprises.
· The treatment for the investment income deemed payable under pensions is now changed in the case of defined benefit schemes to cover the whole of the increase in the entitlement regardless of whether such income is actually earned by the pension fund unit responsible.
· The changes relating to social contributions mentioned in connection with chapter 7 carry through to chapter 8.
· Within transfers there is explicit mention of household remittances payable to and receivable from individuals working abroad.
· The disaggregation of social transfers in kind has been simplified.
· The distinction between individual and collective services has been changed to follow the changes made to the COFOG classification.
· It has been recognized that it is possible for NPISHs to have collective consumption though no excessive efforts should be made to try to identify such instances.
· Non-produced assets are distinguished into three categories: natural resources; contracts, leases and licences; and purchased goodwill and marketing assets.
· Improvements to land are treated as a fixed asset separately from the natural asset that represents the value of the land in its unchanged state.
· On costs of ownership transfer, there is clarification on the treatment of terminal costs and the time over which consumption of fixed capital of ownership costs should be written down.
· Information, computer and telecommunications equipment is introduced as a new category of gross fixed capital formation.
· Weapons systems are introduced as a new category.
· Intellectual property products are introduced as a new category.
· Research and development is now treated as fixed capital formation in most cases.
· The title for mineral exploration has been changed to include evaluation in line with data availability according to IASB recommendations.
· There has been a change to the software heading that now includes databases explicitly and greater clarification about when databases are included.
· Within inventories, a new category of military inventories is included.
· There is greater clarification on the treatment of contracts, leases and licences and a further explanation of this appears in part 5 of chapter 17.
· There is greater clarification on the measurement and inclusion of purchased goodwill and marketing assets.
· There is a changed treatment of monetary gold and of metal accounts in general.
· Liabilities are now recognized for SDRs.
· Within the new classification of financial assets, a category is introduced for inter-bank positions.
· A revised treatment of index-linked securities when they are linked to a narrow index has been introduced.
· Two items relating to investment funds have been introduced.
· Insurance technical reserves are increased to include pension entitlements even where there is no fund, possible claims on the manager of the pension fund and reserves for standardized guarantees.
· Employee stock options are included in a class along with financial derivatives.
· There are recommended memorandum items in respect of non-performing loans.
· A new classification of all the volume changes is presented each of which can be applied to any class of assets making the transition from one balance sheet to another simpler.
· It is clarified that the only losses in inventories that appear in the other volume change account are those that are irregular.
Even if the losses are very large, if these appear on a regular basis they are to be recorded as withdrawals from inventories.
· The concept of an asset account is presented in this chapter.
Previously it appeared only in chapter 2.
· There is greater description of the possible ways to establish the valuation of equity.
· The flow of funds analysis has been moved to chapter 27.
· The material here contains some from the previous chapter XV. The rest is covered in chapter 28.
· There is significant reformulation of the text in this chapter.
· There is a greater description of how transport charges are to be recorded in a supply and use table and how they affect producer and purchaser prices.
· The revised treatments for intra-enterprise deliveries and goods sent abroad for processing have major consequences for this chapter.
· There is a description of deflation of supply and use tables.
· In the 1993 SNA, chapter XVI was concerned with prices and volumes.
The present chapter includes significant revisions in the light of the various manuals that have been issued since 1993, those on consumer prices, producer prices, import and export prices and the revised International Comparison Program manuals.
· The chapter includes text on the application of price indices to deflating national accounts.
· This brings into the main run of chapters material previously only appearing in chapter II.
· This chapter replaces and extends in both the amount of detail and the range of subjects material included in annexes III and IV of the 1993 SNA.
It provides more detail on issues that were the subject of extensive consideration in the update.
These subjects are:
a. insurance, including reinsurance and annuities;
b. social insurance schemes and in particular pensions including a supplementary table;
c. standardized guarantees;
d. financial services, showing where explicit and implicit charges are made on the complete set of financial instruments;
e. contracts, leases and licences, bringing together all aspects of such arrangements;
f. employee stock options.
· Like chapter 16, this is new material about the synthesis of the accounts but concentrates mainly on practical issues.
· This chapter is based on the previous chapter XVII but is less dependent on flowcharts for explanation of different labour-related concepts.
· The consequences of the ICLS held in late 2008 are incorporated.
· There is a short section on volunteer labour.
· This is a new chapter in response to one of the items on the research agenda in the 1993 SNA.
It provides a nontechnical introduction to the subject of capital services and the link to gross operating surplus.
It suggests a supplementary table that may be included on an optional basis.
· This is a new chapter discussing subjects such as mergers and acquisitions, globalization, the consequences of financial distress and a link to commercial accounting.
The material on mergers and acquisitions is drawn from The Benchmark Definition of Foreign Direct Investment.
· This is a new chapter aimed at providing a link to government finance statistics, debt and deficit procedures and external debt in so far as the public sector is concerned.
· The subject of the public sector was not discussed in the 1993 SNA.
· More specific information is given on how to determine when government controls corporations and non-profit institutions.
· The concept of economically significant prices is discussed and the definition provided.
· A link is presented to the government finance presentation of accounts.
· The treatment of tax credits is made explicit.
· Debt operations are discussed.
· The recording of government guarantees is discussed.
· There is a discussion of how the relationship between government and corporations should be recorded in the case of financial distress.
· This also is a new chapter which provides a link between the SNA and the handbook on satellite accounts of the non-profit institutions.
· This provides an elaboration of the question of subsectoring households.
· It discusses some aspects of household production in detail.
· This item was also part of the research agenda of the 1993 SNA.
· The chapter covers two themes, the non-observed economy and the informal sector.
The latter follows the ILO initiative with emphasis on informal employment as well as on production.
The subject remains on the research agenda.
· This chapter replaces the previous chapter XIV and annex II of the 1993 SNA.
It has been revised to be consistent with BPM6. There has been extensive collaboration in the drafting of BPM6 and the SNA so that in many cases exactly the same wording is used in both manuals.
· BPM6 introduces a new set of accounts closer to the SNA sequence of accounts making the bridge tables simpler from the SNA perspective.
· The functional categories of BPM6, direct investment, portfolio investment, financial derivatives, other investment and reserve assets, are introduced.
· Some of this text was in the previous chapters XI and XII but is expanded to show the connection with monetary and financial statistics.
· This draws on the previous chapter XX and a research agenda item on the matrix presentation.
It also draws on material in the Eurostat manual on input-output tables available only in 2008.
· The chapter includes the sector breakdown of the material in the supply and use table in order to provide a link to the sequence of accounts.
· The material in this chapter is drawn in part from the previous chapters XVIII, XIX and XXI.
It also includes new material on satellite accounts that have been developed or revised since 1993.
A3.164 Annexes 1 and 2 correspond to the previous annex V.
A3.165 The present annex, annex 3, corresponds with the previous Annex I.
A3.166 Annex 4 is new and includes information on the research agenda that was included in the front matter of the 1993 SNA.
A3.167 There is a list of references included in the 2008 SNA; no external references were provided in the 1993 SNA.
A3.168 The glossary is included with the publication instead of being a separate document.
A3.169 More information on the revision process is available on the United Nations Statistics Division website and further information about developments on the research agenda will be posted there.
A4.1 The SNA is designed to give a realistic and compact view of the economy that is suitable for policy and analytical use.
As the economy changes and policy and analytical needs evolve, the SNA must be reviewed to see if it is still relevant for these purposes.
The most obvious example of a change in economic conditions that provokes a reassessment of the adequacy of the national accounting framework is the financial crisis that evolved from late 2008 onwards.
Luckily, it was possible to make this assessment before this publication was finished and only minor changes were found necessary in addition to those already proposed for the update, in particular the treatment of standardized guarantees.
It had originally been proposed that these should apply only to loans; the events of the crisis suggested this should be applied to a wider range of financial instruments.
A4.2 It is unusual for economic perspectives to change so quickly and so dramatically as was the case in 2007-08. However, there are always some emerging features that may cause national accountants to re-assess their current methodology.
One example is the introduction of tradable emission permits as one step to combat global warming.
How to record transactions in them is not fully addressed in the 2008 SNA, and given their rapid uptake and the large values concerned it is clear that this shortcoming needs to be remedied quickly.
A4.3 While the 2008 SNA addresses some of the issues connected with globalization, such as the changed treatment of goods for processing in response to increased outsourcing of services, it is clear that there may be other aspects of this trend that may lead to a reconsideration of how the phenomenon is reflected in the accounts.
One possibility is alternative, supplementary, presentations of multinational enterprises based on alternative definitions of residence and ownership.
A4.4 It is not possible to expect to capture all the issues that will arise even in the near future.
The objective of this chapter is to list those that have emerged in the course of the present revision but where more extensive consideration is needed than was possible in the course of the revision.
Some may result not in changes to the SNA but simply greater clarification of some points.
This list will be kept on the United Nations Statistics Division website and updated as new items emerge and those recommendations on existing items are agreed.
A4.5 In assessing the priority to be given to an item, three questions need to be addressed.
a. How urgent and important is the topic to ensure that the SNA continues to be relevant to the users?
b. How widespread are the consequences of change and how complicated will implementation be?
c. Is the topic completely new or has much of the preparation for considering the item been completed?
The process of selecting items for investigation is one that will involve widespread consultation and involvement of both compilers and users in the review process.
A4.6 All attempts to update the SNA, including the experience of the 1993 and 2008 revisions, show that it is very difficult to update only parts of the system because of the integrated nature of the accounting rules.
The list of issues that follows is grouped broadly by subject area but it should be recognized at the outset that each is likely to have consequences beyond the subject heading.
A4.7 The topics identified to date have been grouped into four broad headings.
These are:
a. Basic accounting rules;
b. The concept of income;
c. Issues concerning financial instruments;
d. Issues involving non-financial assets.
Each of these is the subject of one of the following sections.
A4.8 The International Accounting Standards Board is an independent, privately funded accounting standard-setter.
The Board members come from nine countries and have a variety of functional backgrounds.
The IASB is committed to developing, in the public interest, a single set of high quality, understandable and enforceable global accounting standards that require transparent and comparable information in general purpose financial statements.
A4.9 The IASB works with national commercial accounting standard-setters to achieve convergence in accounting standards around the world.
Nearly one hundred countries currently require or permit the use of IFRSs (International Financial Reporting Standards) or have a policy of convergence with them.
The development of IFRSs reflects the changing needs and circumstances of the global economy in ways that can be directly relevant to the use and requirements of the SNA.
The adoption of IFRSs by corporations can have a major impact on corporate accounting and the data available from corporate accounts.
A4.10 The IASB works in a three-stage process to develop a new standard.
The first is a draft with an invitation to comment (ITC); the second is an exposure draft (ED) also inviting comment; the third is the new standard.
At each stage the background to the issue is clearly explained and the reasons are given for the choice recommended.
In both the first two stages comments are invited from any interested party.
The development of a regular dialogue between the national accounts community and the IASB would be a way to assure the needs of national accountants were represented to the IASB and national accountants were aware of the possible developments in the data sources.
Already during the 2008 revision consultation of IASB standards and their counterpart for public accounting standards (the International Public Sector Accounting Standards Board, IPSASB) has been extremely beneficial.
It is therefore desirable that a dialogue be established and maintained with the IASB with a view to amending the SNA to follow new accounting standards when appropriate.
A4.11 One area of developing interest in international accounting, relating back to the question of multinational enterprises, is that of mergers and acquisitions.
The text in chapter 21 draws on information in the OECD Benchmark Definition of Foreign Direct Investment. IASB work in this area should be monitored to see if these recommendations need amending.
A4.12 Many enterprises operating within an economy are linked with other enterprises by complete or partial common ownership and a shared management structure to form an enterprise group.
Enterprises also often share common ownership and management with foreign affiliates.
It is common for enterprises within an enterprise group to trade with each other, sometimes exclusively, as when they perform an intermediate stage in a vertically integrated production process, and share the outputs and costs of ancillary production.
They may also share the outputs and costs of research and development activities.
Given their close ties it may be sometimes desirable to consider an enterprise group as a single entity and to consolidate the accounts of its members.
(This is already the practice in some other statistics such as AMNE, FATS and Bank for International Settlements (BIS) consolidated presentations.)
Members of an enterprise group are usually engaged in different activities and sometimes in more than one sector, and so consolidation could affect aggregates, such as industry value added, and sectoral balance sheets.
It is therefore probable that the most likely way forward would be by way of supplementary tables.
A4.13 Separate consideration needs to be given to the case where some parts of the group are non-resident.
A4.14 The SNA recommends that trusts be treated as quasi-corporations.
In some cases, though, when one is used in effect as an SPE for a corporation, it is not considered to be a separate institutional unit but is merged with its parent, so long as they are both resident in the same economy.
A4.15 No detailed description of trusts is given, though some may be owned by households and NPIs as well as by corporations.
Further clarification on the nature of trusts and when their assets should be treated as belonging to separate units and when merged with the assets of their owners would be helpful.
A4.16 In the SNA, no final consumption is recorded for corporations because corporations are not considered to be final users of goods and services, except for capital products which, with the exception of valuables, are acquired for the purpose of production.
However, large corporations often undertake sponsorship of cultural and sporting events.
To date, the SNA regards the payments involved as a form of advertising but it could be argued that they are a form of individual consumption and could be treated as final consumption expenditure of corporations and social transfers in kind to households.
Further, by imposing regulations such as environmental standards, the government may achieve the same effect as if they levied taxes and spent the income on environmental protection, which would be treated as collective consumption.
There may thus be instances where it would be more appropriate to record some expenditures by corporations as final consumption.
A4.17 The SNA recommends that the value of non-market production provided without charge, or at prices that are not economically significant, should be estimated as the sum of the costs of production (paragraphs 6.128 to 6.132).
The basis for this recommendation is the lack of market prices for non-market production.
However, there is continuing research on trying to find alternative ways to measure the output of government.
A4.18 In the SNA, social transfers in kind only take place between government units, NPISHs and households. Paragraph 8.141 explains that it is assumed that the amount of social transfers in kind payable to the rest of the world are probably negligible and, in any case, are offset by similar benefits receivable from the rest of the world.
In some cases, these assumptions may be inappropriate and an explicit way of recording these could be elaborated.
Such an elaboration would have to consider the consequences of having a difference between total consumption expenditure and total actual consumption.
A4.19 The treatment and measurement of the output of central banks is described in paragraphs 6.150 to 6.151.
Three broad groups of financial services are identified: monetary policy services, financial intermediation and borderline cases.
A4.20 One of the borderline cases arises when the financial intermediation of central banks includes policy measures, such as setting interest rates higher or lower than market interest rates.
This generates a number of issues.
The first is how to measure the output of the central bank, because the use of off-market interest rates by the central bank may cause distortions in measuring its output and value added.
The second issue concerns the use of off-market rates which implies that there are flows between the central bank and the counter-party in addition to those concerned with financial intermediation.
A4.21 At the present there are two reasons to have the concept of establishment within the SNA.
The first of these is to provide a link to source information when this is collected on an establishment basis.
In cases where basic information is collected on an enterprise basis, this reason disappears.
The second reason is for use in input-output tables.
Historically, the rationale was to have a unit that related as far as possible to only one activity in only one location so that the link to the physical processes of production was as clear as possible.
With the change of emphasis from the physical view of input-output to an economic view, and from product-by-product matrices to industry-by-industry ones, it is less clear that it is essential to retain the concept of establishment in the SNA.
A4.22 In the SNA, international organizations are treated as units that are resident in the rest of the world (paragraphs 4.173 to 4.175).
It would in principle be possible to treat international organizations as a standard subset of the rest of the world and indeed to compile a full set of accounts for them.
A4.23 As discussed in paragraph 8.24, the concept of income in the SNA differs from that generally understood in economics.
In particular, holding gains and losses are not considered to form part of income in the SNA.
It is not only economic theory that treats holding gains and losses as income, but also business accounting standards.
The SNA excludes holding gains and losses from production and then extends this to an exclusion from most income flows, though not interest which continues to be recorded in nominal terms.
A thorough review of the concept of income in the SNA, including the implications for all property income flows would be beneficial.
Some particular aspects are covered in some of the following items.
A4.24 Gross domestic product (GDP) is equal to the sum of the gross value added of all the institutional units resident in a territory engaged in production (that is, gross value added at basic prices) plus any taxes, minus any subsidies, on products not included in the value of their outputs.
GDP is also equal to the sum of final expenditures minus expenditures on imports by institutional units resident in a territory.
The natural valuation of the production measure of GDP is basic prices, while the natural' valuation of the expenditure measure of GDP is market prices.
In the SNA it is the production measure that is adjusted (by adding taxes less subsidies on products) to achieve consistency.
Implicit in this is the idea that taxes less subsidies on products are a form of income and not just a form of redistribution of income.
A4.25 If it were decided to value GDP at basic prices then the sequence of accounts would need to be modified, and there are various possibilities as to how this might be done.
This might lead to showing the two primary functions of government, production of non-market services and redistribution of national income, separately.
A4.26 As just noted, taxes on products are treated as a form of income in the SNA.
Most economists, however, tend to regard these as taxes on consumption.
This category does not exist in the SNA and nor does consumer subsidies.
Taxes on financial transactions (such as taxes on issue, purchase, and sale of securities) are treated as taxes on production even though there is often no service involved.
It may be appropriate to review the SNA treatment of all taxes and subsidies to ensure that these accord with users' understanding and need, or if not that the rationale for any differences is made quite explicit and prominent.
A4.27 At present in the SNA there is an inconsistency between the treatment of property income accruing to pension beneficiaries under a defined benefit scheme and other forms of life insurance.
For the pension beneficiaries, the amount of property income ascribed to them matches the increase in their claims with no reduction of property income made according to whether the source of funding is from holding gains or not.
For life insurance policies, insurance companies retain part of the holding gains made on reserves belonging to the policyholders but this retention is not treated as part of the fee charged by insurance companies.
Thus there may be an understatement of the output of insurance companies.
This question needs addressing and also the appropriate treatment when holding losses occur.
A4.28 The SNA recommends that the retained earnings of a foreign direct investment enterprise should be treated as if they were distributed to foreign direct investors in proportion to their ownership of the equity of the enterprise.
These earnings are then reinvested by those owners as additions to equity in the financial account.
This amount is in addition to any actual distributions made out of the distributable income.
This approach is also adopted for the earnings of investment funds.
A4.29 It has been proposed that this treatment could be extended to other types of unit, particularly public corporations.
If the attribution of retained earnings to the owners of corporations were adopted, it would mean that dividends would be replaced by reinvested earnings in the allocation of primary income account and this total less dividends actually paid would be shown as additions to (or in some case withdrawals from) equity in the financial account.
This would mean that distribution of earnings from corporations was measured on a strict accrual basis but would also mean that the saving of corporations would always be zero.
Such a change would have serious implications for interpretation of the accounts since it would be built on a different paradigm from the current treatment of dividends and corporate saving.
A4.30 Through the 1990s and into the 2000s a vigorous discussion was conducted among the international statistical community about the appropriate way to record interest on securities such as bonds.
Two general approaches were identified in the discussion, the so-called debtor and creditor approaches.
A4.31 The ISWGNA established an Electronic Discussion Group (EDG) in 1999 to obtain the views of a broad group of users and compilers on how macroeconomic statistics should record the accrual of interest on bonds and other tradable debt securities.
The moderator of the EDG provided a report in October 2002 that concluded that while the participants to the EDG were strongly divided, the majority were in favour of the debtor approach.
The ISWGNA subsequently considered the report and supported its conclusion.
It then made a recommendation to the UNSC proposing that the SNA should recommend the debtor approach and the UNSC agreed.
The recommendation and descriptions of the two approaches can be found in paragraphs 17.252 to 17.254.
A4.32 Discussion of certain update issues, including the treatment of concessional loans, non-performing loans, interest on index-linked debt securities and interest in arrears, showed that the debtor/creditor debate has implications beyond the recording of interest on securities.
A full consideration of the definition of income in the SNA would have to reconsider this issue.
A4.33 The treatment of financial intermediation services indirectly measured (FISIM) is described in paragraphs 6.163 to 6.169.
The SNA recommends that FISIM should be calculated with respect to a reference rate that contains no service element and reflects the risk and maturity structure of deposits and loans.
Different reference rates may be needed for domestic and foreign financial institutions.
The assumption behind the FISIM approach is that it is the service element, and not the interest flows, that reflect varying degrees of risk, with riskier clients paying a higher service charge.
This assumption has been queried and is being investigated.
A4.34 It has long been recognized that high inflation can distort measures of interest, since a portion is required simply to counteract the real holding losses that occur for financial instruments that are not indexed for inflation.
By the 1970s, when inflation was an important problem throughout much of the world, the treatment of interest under high inflation was considered an important issue for national accounts.
However, contrary guidance is given by Annex B to chapter XIX of the 1993 SNA and chapter 7 of Inflation Accounting - A manual on National Accounting under Conditions of High Inflation (Organisation for Economic Co-operation and Development, 1996).
It is therefore recommended that the search for a single universally accepted treatment of interest under high inflation remains on the research agenda.
A4.35 The SNA recommends the nominal holding gains and losses recorded in the revaluation account should be decomposed into neutral and real holding gains and losses.
In paragraph 12.85, the use of a comprehensive price index covering as wide a range of goods, services and assets as possible is recommended.
Some national accountants have suggested that different price indices should be used for different classes of asset.
The full impact of this suggestion requires investigation.
A4.36 The introduction of capital services into the SNA recognizes that part of value added is due to the contribution of fixed assets and other non-financial assets to the income generated by production.
A question has been raised about whether some part of value added should also be attributable to the financial resources available to the producer.
A4.37 Establishing the connection between the work on the informal sector and the SNA was an important contribution of the 2008 update to the SNA.
Interest in this area continues to attract considerable attention especially in developing countries.
It is desirable that there should be continuing involvement of national accountants with the work of the Delhi Group and other initiatives in this field.
A4.38 As noted in the introduction, a financial crisis provides a crucial test of the robustness of the SNA and the adequacy of its recommendations in situations not encountered since the SNA was first adopted.
Until all the consequences of the situation in 2008 are revealed, and indeed thereafter, there will be a need to continue to examine the steps taken in response to the crisis to ensure both the steps and their consequences are adequately captured in the national accounts.
A4.39 As discussed in part 2 of chapter 17, social security entitlements are not recorded in the main accounts but they are shown in a supplementary table along with the pension entitlements of some other pension schemes managed by general government.
Provisional criteria for determining whether the entitlements are shown in the main accounts or only in the supplementary table are described in paragraph 17.187.
Work continues to refine these criteria and to find agreed methods to determine the value of these liabilities.
A4.40 The SNA recommends that the values of loans to be recorded in the balance sheets of both creditors and debtors should be at nominal value, that is, at the amounts of principal that the debtors are conceptually obliged to pay the creditors when loans mature.
However, it is common for the fair value of loans to differ from the nominal value for a number of reasons.
At present the SNA recommends memorandum items recording fair values only for loans specifically characterized as non-performing.
The possibility of a more extensive use of fair value in place of nominal value could be considered.
A4.41 In business accounting, there are three degrees of promises: liabilities, provisions and contingent liabilities.
Their definitions are the following.
a. A liability is a present obligation of the entity arising from past events, the settlement of which is expected to result in an outflow from the entity of resources embodying economic benefits or service potential.
b. A provision is a liability of uncertain timing or amount.
c. A contingent liability is a possible obligation that arises from past events and whose existence will be confirmed only by the occurrence or non-occurrence of one or more uncertain future events not wholly within the control of the entity.
A4.42 In the SNA, liabilities and provisions relating to financial instruments are generally recognized in the main accounts only if there is a corresponding financial asset of equal value held by a counter-party.
However, it is recommended that certain provisions that do not satisfy this criterion, such as those for non-performing loans, should be recorded as memorandum items.
Contingent liabilities are not recognized at all in the core accounts, except in the case of standardized guarantees.
A4.43 The problem is that recognition of a reduction in the value of an asset in the SNA necessarily implies a reduction in the corresponding liability but the asset holder may not wish to reveal to the counter-party the fact that they regard some of the claim as uncollectable.
Not doing so however overstates the value of the assets.
A4.44 Further work is required to clarify whether concessional loans involve a subsidy on any service charge associated with interest payments or a transfer representing the difference between the market rate of interest and the agreed rate.
If the latter, the next problem is whether the transfer should be paid period by period on an ongoing basis as a current transfer or as a one-off capital transfer at the time the loan is issued.
A4.45 At the moment there are a number of alternatives for valuing equity given in the SNA.
There is a question about whether more standardized recommendations can be made.
A4.46 Work on a complex group of transactions known as reverse transactions has been pursued for several years.
These transactions take their name from two common characteristics: (i) a commitment to reverse the transaction on a specified future date (or on demand), and (ii) that, although legal ownership is transferred to the purchaser, many of the risks and benefits of ownership remain with the original owner.
Reversible transactions include repurchase agreements, securities lending without cash collateral, gold swaps, and gold loans/deposits.
A4.47 Tradable emission permits are a relatively new phenomenon, but they are gaining rapidly in importance.
The full treatment of all types of permits is not explicitly described in the SNA, and in order to remove uncertainty, this shortcoming should be addressed as quickly as possible.
A4.48 Part 5 of chapter 17 deals with the treatment of licences and permits to use a natural resource.
Because the treatment for individual resources was developed independently there are some inconsistent treatments recommended.
A4.49 In the case of a natural resource that has an infinite life and whose use in production does not affect the nature or value of the asset, the owner may allow the resource to be used for an extended period of time in such a way that, in effect, the user controls the use of the resource during this time with little if any intervention from the legal owner.
In the case of land, the SNA recommends that the agreement between the owner and the user constitutes a sale of the land.
In the case of a lease of the radio spectrum, the SNA recommends that the permission to use the spectrum does not change the ownership of the spectrum but constitutes a non-produced asset under the heading contracts, leases and licences.
In the case of permission to use the atmosphere or a water body as an environmental sink, the SNA recommends that the payment be treated as a tax.
A4.50 In the case of a natural resource that is subject to replenishment and which can be used indefinitely providing the use is restricted and the owner extends or withholds permission to continued use of the asset from one year to the next, payments by the user to the owner are recorded as rent.
No adjustment is made to the value of rent recorded as to whether the use is in fact sustainable or not.
If it were not sustainable, part of the payment should be seen as being compensation for the non-sustainable use.
A4.51 In the case of a natural resource that is not capable of replenishment on a human time-scale and the use in production eventually exhausts it, the owner may permit the resource to be used to extinction.
In this case the SNA recommends that economic ownership of the natural resource remains with the lessor while the lessee pays royalties recorded as rent.
Only the lessee and not the lessor undertakes production.
This means that the reduction in the value of capital due to production is recorded in the balance sheet of the owner as an other change in volume of assets.
The link between the rundown in the value of the assets and its use in production is lost.
As in the previous case, the fact that part of the rent paid is compensation for the reduction in the value of the asset is not recognized.
A4.52 The fixed asset boundary of the SNA has been expanded to include the output of research and experimental development (R&D) that meets the general definition of an asset.
It is evident that R&D captures part, but not all, of the innovation process.
It may exclude many expenditures by the production and engineering departments of an enterprise.
These same departments may also be responsible for identifying a potential new product and referring it to the R&D department to develop the science behind it. In addition, an enterprise may incur other expenditures before a new product goes to market.
These include market research to determine the demand for a new product and marketing expenditures to promote it.
A4.53 Marketing assets include brand names, mastheads, trademarks, logos and domain names.
Marketing is a key driver of brand value and big corporations invest heavily in building and supporting their brands by advertising, sponsorship and other measures to build a positive image with customers.
The SNA treats marketing assets as being non-produced and the expenditures incurred in their creation as intermediate consumption.
They appear in the balance sheet only when they are sold.
The major reason for not treating marketing assets as fixed assets is due to the difficulty of measuring their value.
A4.54 Apart from any staff training required in bringing a new product to market, innovation expenditures are disembodied from the people undertaking the innovation.
Therefore they exclude to a large extent the investment in human capital.
A4.55 Human input is the major input in most production processes, and the value of that input is to a large extent dependent on the knowledge that humans bring to the production process.
It is well recognized that an educated population is vital to economic well-being in most countries.
Despite the fact that there are major conceptual and practical problems with identifying the value of an educated labour force, there are repeated requests to address this issue within the SNA framework.
A4.56 The SNA draws a distinction between the costs of ownership transfer incurred in acquiring and disposing of non-financial assets on the one hand and financial assets on the other.
Costs of ownership transfer incurred on transactions in non-financial assets are recorded as gross fixed capital formation, while costs of ownership transfer incurred on transactions in financial assets are recorded as intermediate consumption.
The rationale for the different treatments is that non-financial assets are used in production and the income generated from production needs to be sufficient to cover the costs of using those assets, including costs of ownership transfer.
Financial assets are not used in production and are held as stores of value, to earn property income or in the expectation of holding gains.
It is also common for the ownership of financial assets and liabilities to change hands rapidly.
A4.57 Valuables are non-financial assets but they are held as stores of value and are not used in production.
As such, they have more in common with financial assets than they do with other non-financial assets.
Therefore, it is arguable that costs of ownership transfer on valuables should be recorded as intermediate consumption rather than, as at present, fixed capital formation.
A4.58 Costs of ownership transfer on fixed assets are not recorded separately but are added to the price paid by the purchaser and subtracted from the price received by the seller to obtain the acquisition and disposal values, respectively.
The costs of ownership transfer on non-produced assets are recorded in a separate category of gross fixed capital formation.
An exception is made in the case of land where costs of ownership transfer are treated by convention as land improvements.
A4.59 An overview and rationalization of these practices could be helpful.
A4.60 The SNA draws a distinction between ordinary maintenance and repairs to fixed assets and major renovations, reconstructions or enlargements (see paragraphs 6.225 to 6.228), but acknowledges that the distinction is not clear-cut.
The former are recorded as intermediate consumption and the latter as gross fixed capital formation.
A4.61 Major renovations or enlargements increase the performance or capacity of existing fixed assets or significantly extend the previously expected service life.
Ordinary maintenance and repairs are required so that an asset can be utilized over the whole of the service life expected on acquisition.
If the owner neglects maintenance and repairs, then the expected service life may be drastically reduced and unforeseen obsolescence must be recorded as an other volume change in the value of the asset.
A4.62 If the requirement for treatment as fixed capital were to prevent a reduction in service life, rather than necessarily extend it, the problem of the borderline between ordinary maintenance and major extensions would disappear and the problem that the consequences of the neglect of maintenance are not reflected in a reduction in net domestic product could be avoided.
A4.63 Public private partnerships (PPPs) are described in chapter 22.
Further developments in their treatment in the SNA await the development and adoption of standards under development by the IASB and IPSASB.
The ISWGNA is monitoring developments.
A4.64 Both the case where a natural resource is leased for an extended period of time and the case of PPPs are ones where the economic ownership of an asset effectively changes hands part way through its life.
The terms of the arrangements are such that recompense from the initial user for the change of ownership to the second user is bundled into the arrangements for payments during the lease.
The transfer of the ownership has to be recorded as an other change in the classification of assets and is not reflected in the production or distribution of income accounts.
This is a deficiency that could be rectified by some elaboration of the concept of financial leasing.
Bank for International Settlements, the Commonwealth Secretariat, Eurostat, International Monetary Fund, Organisation for Economic Cooperation and Development, the Paris Club Secretariat, the United Nations Conference on Trade and Development and World Bank (2003): External Debt Statistics: Guide for Compilers and Users.
Also available from: http://www.imf.org/external/pubs/ft/eds/Eng/Guide/file1.pdf
Canberra Group (2001): Expert Group on Household Income Statistics. The Canberra Group: Final Report and Recommendations, Ottawa.
Available from: http://www.lisproject.org/links/canberra/finalreport.pdf
EU KLEMS Project: Productivity in the European Union: A Comparative Industry Approach (EU KLEMS 2003).
Available from: http://www.euklems.net/
European Central Bank (2007): Monetary Financial Institutions And Markets Statistics Sector Manual. Frankfurt am Main.
Available from: http://www.ecb.int/pub/pdf/other/mfimarketstatisticssectormanual200703en.pdf
Eurostat (1995): Regional accounts methods - Gross value-added and gross fixed capital formation by activity. Office for Official Publications of the European Communities, Luxembourg.
Eurostat (1996): Regional accounts methods Households Accounts. Office for Official Publications of the European Communities, Luxembourg
Eurostat (1999): Handbook on Quarterly National Accounts. Office for Official Publications of the European Communities, Luxembourg.
Available from: http://epp.eurostat.ec.europa.eu/cache/ITY_OFFPUB/CA-22-99-781/EN/CA-22-99-781-EN.PDF
Eurostat (2001): Handbook on Price and Volume Measures in National Accounts. Office for Official Publications of the European Communities, Luxembourg.
Also available from: http://epp.eurostat.ec.europa.eu/cache/ITY_OFFPUB/KS-41-01-543/EN/KS-41-01-543EN.PDF
Eurostat (2002a): ESA95 Manual of Government Deficit and Debt. Office for Official Publications of the European Communities, Luxembourg.
Also available from: http://epp.eurostat.ec.europa.eu/cache/ITY_OFFPUB/KS-42-02-585/EN/KS-42-02-585EN.PDF
Eurostat (2002b): Manual on Sources and Methods for the Compilation of ESA95 Financial Accounts. Office for Official Publications of the European Communities, Luxembourg.
Also available from: http://epp.eurostat.ec.europa.eu/portal/page/portal/product_details/publication?p_product_code=KS-BE-02-004
Eurostat (2003): Household Production and Consumption: Proposal for a Methodology of Household Satellite Accounts. Office for Official Publications of the European Communities, Luxembourg
Eurostat (2007): Recommendations Manual on the Production of Foreign AffiliaTes Statistics (FATS). Office for Official Publications of the European Communities, Luxembourg.
Also available from: http://epp.eurostat.ec.europa.eu/portal/page/portal/product_details/publication?p_product_code=KS-RA-07-002
Eurostat (2008): Eurostat Manual of Supply, Use and Input-Output Tables. Office for Official Publications of the European Communities, Luxembourg.
Available from: http://epp.eurostat.ec.europa.eu/portal/page/portal/product_details/publication?p_product_code=KS-RA-07-013
Eurostat and Organisation for Economic Co-operation and Development (2005): Methodological Guide for Developing Producer Price Indices for Services.
Also available from: http://www.oecd.org/dataoecd/44/40/36274111.pdf
Eurostat, Organisation for Economic Co-operation and Development, World Tourism Organization, United Nations (2008): 2008 Tourism Satellite Account: Recommended Methodological Framework. Luxembourg, Madrid, New York, Paris.
United Nations publication sales No. E.01.XVII.9.
Available from: http://unstats.un.org/unsd/tradeserv/TSA%20RMF%202008%20edited%20whitecover.pdf
Hussmanns, R.; du Jeu, B. (2002): ILO Compendium of Official Statistics on Employment in the Informal Sector, Working Paper No.1, Bureau of Statistics, ILO, 2002. Paper prepared for the discussion on Decent Work and the Informal Economy during the 90th Session of the International Labour Conference, Geneva.
Available from: http://www.ilo.org/public/english/bureau/stat/download/ilocomp.pdf
Hussmanns, Ralf (2004): Measuring the Informal Economy: from: Employment in the Informal Sector to Informal Employment, ILO, Working Paper No. 53, Geneva.
Available from: http://www.ilo.org/public/english/bureau/stat/download/papers/wp53.pdf
Hussmanns, Ralf (2005): Measurement of Informal Employment: Recent International Standards 2005. Paper presented to the 14th Conference of Commonwealth Statisticians, Cape Town South Africa.
Available from: http://www.ilo.org/public/english/bureau/stat/papers/comp.htm
International Labour Office (1993): Resolution Concerning Statistics of Employment in the Informal Sector 15th International Conference of Labour Statisticians: Highlights of the Conference and text of the three resolutions adopted.
In Bulletin of Labour Statistics 1993-2, IX-XXIV, Geneva 25.87
International Labour Office (2002): Women and Men In The Informal Economy: A Statistical Picture, Geneva.
Available from: http://www.wiego.org/publications/women%20and%20men%20in%20the%20informal%20economy.pdf
International Labour Office (2003): Guidelines Concerning a Statistical Definition of Informal Employment Report of the 17th International Conference of Labour Statisticians, Geneva.
Available from: http://www.ilo.org/public/english/bureau/stat/download/17thicls/final.pdf
International Labour Office (2003): Household Income and Expenditure Report of the 17th International Conference of Labour Statisticians, Geneva.
Available from: http://www.ilo.org/public/english/bureau/stat/download/17thicls/r2hies.pdf
International Labour Office (forthcoming): Manual on the Measurement of Volunteer Work.
Available from: http://www.ilo.org/global/What_we_do/Statistics/events/icls/lang__en/ docName__WCMS_100574/index.hm
International Labour Organization, International Monetary Fund, Organisation for Economic and Co-operation and Development, Eurostat, United Nations Economic Commission for Europe and World Bank (2004): Consumer Price Index Manual: Theory and Practice, Geneva, International Labour Organisation.
Also available from: http://www.ilo.org/public/english/bureau/stat/guides/cpi/index.htm
International Labour Organization, International Monetary Fund, Organisation for Economic Co-operation and Development, United Nations, Economic Commission for Europe and the World Bank (2004): Producer Price Index Manual: Theory and Practice, Washington, International Monetary Fund.
Also available from: http://www.imf.org/external/np/sta/tegppi/index.htm
International Labour Organization, International Monetary Fund, Organisation for Economic Co-operation and Development, United Nations Economic Commission for Europe and World Bank (2009): Export and Import Price Index Manual.
Theory and Practice. Washington, International Monetary Fund.
Also available from: http://www.imf.org/external/np/sta/tegeipi/index.htm
International Monetary Fund (2000): Monetary and Financial Statistics Manual, IMF, Washington DC.
Available from: http://www.imf.org/external/pubs/ft/mfs/manual/index.htm
International Monetary Fund (2001a): Government Finance Statistics Manual. IMF, Washington DC.
Available from: http://www.imf.org/external/pubs/ft/gfs/manual/pdf/all.pdf
International Monetary Fund (2001b): Quarterly National Accounts Manual Concepts, Data Sources, and Compilation. IMF, Washington DC.
Available from: http://www.imf.org/external/pubs/ft/qna/2000/Textbook/index.htm
International Monetary Fund (2008a): Balance of Payments and International Investment Position Manual, Sixth Edition (BPM6), IMF, Washington DC.
Also available from: http://www.imf.org/external/pubs/ft/bop/2007/bopman6.htm
International Monetary Fund (2008b): International Transactions in Remittances: Guide for Compilers and Users (draft). IMF, Washington DC.
Available from: http://www.imf.org/external/np/sta/bop/2008/rcg/pdf/guide.pdf
International Monetary Fund (2008c): Monetary and Financial Statistics: Compilation Guide, IMF, Washington DC.
Available from: http://www.imf.org/external/pubs/ft/cgmfs/eng/pdf/cgmfs.pdf
International Monetary Fund (Annual): Balance of Payments Statistics Yearbook, IMF, Washington DC.
Jalava, Jukka; Kavonius, Ilja Kristian, (2006): Durable Goods and their Effect on Household Saving Ratios in the Euro Area. VATT Discussion Paper, Government Institute for Economic Research, Helsinki, Finland.
Available from: http://www.vatt.fi/file/vatt_publication_pdf/k409.pdf
Organisation for Economic Co-operation and Development (1996): Inflation Accounting - A Manual on National Accounting Under Conditions of High Inflation, OECD, Paris.
Available from: http://browse.oecdbookshop.org/oecd/pdfs/browseit/3096061E.PDF
Organisation for Economic Co-operation and Development (2000): A System of Health Accounts. OECD, Paris.
Available from: http://www.oecd.org/dataoecd/41/4/1841456.pdf
Organisation for Economic Co-operation and Development (2001): Measuring Productivity: Measurement of Aggregate and Industry-level Productivity Growth; OECD, Paris.
Available from: http://www.oecd.org/dataoecd/59/29/2352458.pdf
Organisation for Economic Co-operation and Development (2004): Handbook on Hedonic Indexes and Quality Adjustments in Price Indexes: Special Application to Information Technology Products.
Also available from: http://browse.oecdbookshop.org/oecd/pdfs/browseit/9306081E.PDF
Organisation for Economic Co-operation and Development (2005): Measuring Globalisation: OECD Handbook on Economic Globalisation Indicators, OECD, Paris.
Available from: http://browse.oecdbookshop.org/oecd/pdfs/browseit/9205061E.PDF
Organisation for Economic Co-operation and Development (2008): OECD Benchmark Definition of Foreign Direct Investment, fourth edition; OECD, Paris;
Available from: http://www.oecd.org/dataoecd/26/50/40193734.pdf
Organisation for Economic Co-operation and Development (2009): Towards Measuring the Volume of Health and Education Services: OECD Handbook; OECD, Paris.
Organisation for Economic Co-operation and Development (2009): Measuring Capital: (revised version) OECD, Paris.
Also available from: http://www.olis.oecd.org/olis/2009doc.nsf/LinkTo/NT00000962/$FILE/JT03258144.PDF
Organisation for Economic Co-operation and Development (forthcoming): Handbook on Deriving Capital Measures of Intellectual Property Products; OECD, Paris.
Organisation for Economic Co-operation and Development (Annual): Revenue Statistics, OECD, Paris.
Organisation for Economic Co-operation and Development and Eurostat (2008): Guidelines on Revisions Policy and Analysis
Available from: http://www.oecd.org/document/21/0,3343,en_2649_34257_40016853_1_1_1_1,00.html
Organisation for Economic Co-operation and Development, International Monetary Fund, International Labour Organisation and CIS STAT (2002): Measuring the Non-Observed Economy - A Handbook; OECD, Paris:
Available from: http://www.oecd.org/dataoecd/9/20/1963116.pdf
Statistics Finland, National Consumer Research Centre (2006): Household Production and Consumption in Finland 2001 - Household Satellite Account, Helsinki.
Available from: http://www.stat.fi/tup/julkaisut/isbn_952-467-570-6_en.pdf
United Nations (1975): Towards a System of Social and Demographic Statistics, New York.
Studies in methods, Series: F, No.18, United Nations Publication Sales number: E.74.XVII.8
Available from: http://unstats.un.org/unsd/publication/SeriesF/SeriesF_18E.pdf
United Nations (1998): International Merchandise Trade Statistics: Concepts and Definitions. Studies in Methods, Series M, No.52, Rev.2, United Nations Publication Sales No. E.98.XVII.16
Available from: http://unstats.un.org/unsd/publication/SeriesM/SeriesM_52rev2E.pdf
United Nations (2000): Classifications of Expenditure According to Purpose: Classification of the Functions of Government (COFOG); Classification of Individual Consumption According to Purpose (COICOP); Classification of the Purposes of Non-Profit Institutions Serving Households (COPNI); Classification of the Outlays of Producers According to Purpose (COPP). Statistical Papers, Series M, No. 84, United Nations Publication, Sales No. E.00.XVII.6
Also available from: http://unstats.un.org/unsd/publication/SeriesM/SeriesM_84E.pdf
United Nations (2000): Household Accounting: Experience in Concepts and Compilation, Volume 1 Household Accounts. Studies in Methods, Series F, No. 75 (Vol 1). United Nations Publication Sales No. E.00.XVII.16 (Vol. 1)
Available from: http://unstats.un.org/unsd/publication/SeriesF/SeriesF_75v1E.pdf
United Nations (2002): SNA News and Notes, Vol. 14, April 2002.
Available from: http://unstats.un.org/unsd/nationalaccount/snanews.asp
United Nations (2003): Handbook on Non-Profit Institutions in the System of National Accounts, New York.
Studies in methods, Series: F, No.91, United Nations Publication Sales no. 03.XVII.9
Available from: http://unstats.un.org/unsd/publication/SeriesF/SeriesF_91E.pdf
United Nations (2006): Standard Industrial Trade Classification Revision 4. Statistical papers, Series M, No 34, Rev. 4. United Nations Publications Sales No. E.06.XVII.10
Also available from: http://unstats.un.org/unsd/publication/SeriesM/SeriesM_34rev4E.pdf
United Nations (2008a): International Standard Industrial Classification of All Economic Activities Revision 4, New York, Statistical Papers Series M No. 4 Rev.4 United Nations Publication Sales No. E.08.XVII
Also available from: http://unstats.un.org/unsd/cr/registry/isic-4.asp
United Nations (2008b): Central Product Classification Version 2. Department of Economic and Social Affairs, Statistics Division, Statistical Papers, Series M, No 77, Ver. 2. United Nations Publications, Sales No.E.08.XVII.7.
Also available from: http://unstats.un.org/unsd//cr/registry/cpc-2.asp
United Nations (2008c): International Recommendations on Industrial Statistics. Statistical Papers, Series M, No. 90, United Nations publication sales no. E.08.XVII.8
Available from: http://unstats.un.org/unsd/industry/docs/M90.pdf
United Nations (forthcoming): Companion Guide to ISIC and CPC, Statistical papers, series F, No. 101, United Nations publication
United Nations Economic Commission for Europe (1992): Guidebook to Statistics on the Hidden Economy
United Nations Economic Commission for Europe (1993): Inventory of National Practices in Estimating Hidden and Informal Economic Activities for National Accounts.
Available from: http://www.unece.org/stats/publications/NOE1993.pdf
United Nations Economic Commission for Europe (2003): Non-observed Economy in National Accounts - Survey of National Practices, Geneva.
United Nations Publication Sales No. E.03.II.E.56.
Available from: http://www.unece.org/stats/publications/NOE2003.pdf
United Nations Economic Commission for Europe (2008): Non-observed Economy in National Accounts - Survey of Country Practices, Geneva.
United Nations Publication Sales No. E.08.II.E.8.
Available from: http://www.unece.org/stats/publications/NOE2008.pdf
United Nations and the European Central Bank (forthcoming): Financial Production, Flows and Stocks in the SNA.
United Nations, European Commission, International Monetary Fund, Organisation for Economic Co-operation and Development, United Nations Conference on Trade and Development and the World Trade Organization (2002): Manual on Statistics of International Trade in Services, New York.
Statistical Papers Series M No. 86, United Nations Publication Sales No. E.02.XVII.11.
Available from: http://unstats.un.org/unsd/publication/Seriesm/Seriesm_86e.pdf
United Nations, European Commission, International Monetary Fund, Organisation for Economic Cooperation and Development and World Bank (2003): Integrated Environmental and Economic Accounting 2003, Studies in Methods, Series F, No16 Rev. 1. United Nations Publication, Sales No. E.06.XVII.8
Also available from: http://unstats.un.org/unsd/envaccounting/seea2003.pdf
United States National Research Council, Panel to Study the Design of Nonmarket Accounts (2005): Beyond the Market: Designing Non-market Accounts for the United States.
Available from: http://www.nap.edu/catalog.php?record_id=11181http://www.nap.edu/catalog.php?record_id=11181#toctoc
World Bank (2008): Global Purchasing Power Parities and Real Expenditure: 2005 International Comparison Program Methodological Handbook. World Bank, Washington.
Also available from: http://go.worldbank.org/MWS20NNFK0
World Customs Organization (2007): Harmonized Commodity Description and Coding System, Revision 4.
Also available from: http://publications.wcoomd.org/index.php
Table 2.1: The production account
Table 2.2: The generation of income account
Table 2.3: The allocation of primary income account
Table 2.4: The secondary distribution of income account
Table 2.5: The redistribution of income in kind account
Table 2.6: The use of disposable income account
Table 2.7: The use of adjusted disposable income account
Table 2.8: The capital account
Table 2.9: The financial account
Table 2.10: The other changes in the volume of assets account
Table 2.11: The revaluation account
Table 2.12: The opening balance sheet, changes in assets and liabilities and closing balance sheet
Table 2.13: The integrated presentation of the full sequence of the current accounts
Table 2.14: The integrated presentation of the full sequence of the accumulation accounts and balance sheets
Table 2.15: The goods and services account
Table 4.1: Subsectors of the non-financial corporations sector
Table 4.2: Subsectors of the financial corporations sector
Table 6.1: The production account - uses
Table 6.1(cont): The production account - resources
Table 7.1: The generation of income account - concise form - uses
Table 7.1(cont): The generation of income account - concise form - resources
Table 7.2: The allocation of primary income account - concise form - uses
Table 7.2(cont): The allocation of primary income account - concise form - resources
Table 7.3: The entrepreneurial income and allocation of other primary income accounts - uses
Table 7.3(cont): The entrepreneurial income and allocation of other primary income accounts - resources
Table 7.4: The generation of income account - compensation of employees - uses
Table 7.5: The allocation of primary income account - compensation of employees - resources
Table 7.6: The generation of income account - taxes and subsidies on production - uses
Table 7.7: The allocation of primary income account - taxes and subsidies on production - resources
Table 7.8: The allocation of primary income account - property income - uses
Table 7.8(cont): The allocation of primary income account - property income - resources
Table 8.1: The secondary distribution of income account - concise form - uses
Table 8.1(cont): The secondary distribution of income account - concise form - resources
Table 8.2: The redistribution of income account - uses
Table 8.2(cont): The redistribution of income account - resources
Table 8.3: The secondary distribution of income account - with details for taxes and social contributions - uses
Table 8.3(cont): The secondary distribution of income account - with details for taxes and social contributions -resources
Table 8.4: The secondary distribution of income account - with details of social benefits - uses
Table 8.4(cont): The secondary distribution of income account - with details of social benefits - resources
Table 8.5: The secondary distribution of income account - with details of current transfers - uses
Table 8.5(cont): The secondary distribution of income account - with details of current transfers - resources
Table 9.1: The use of disposable income account - uses
Table 9.1(cont): The use of disposable income account - resources
Table 9.2: The use of adjusted disposable income account - uses
Table 9.2(cont): The use of adjusted disposable income account - resources
Table 10.1: The capital account - concise form - changes in assets
Table 10.1cont: The capital account - concise form - changes in liabilities and net worth
Table 10.2: The capital account - the classification of fixed assets
Table 10.3: The capital account - changes in inventories and valuables
Table 10.4: The capital account - non-produced non-financial assets
Table 10.5: The capital account - capital transfers - changes in liabilities and net worth
Table 11.1: The financial account - concise form - changes in assets
Table 11.1cont: The financial account - concise form - changes in liabilities and net worth
Table 11.2: The financial account - full detail - changes in assets
Table 11.2cont: The financial account - full detail - changes in liabilities and net worth
Table 12.1: The other changes in the volume of assets account - concise form - transactions in assets
Table 12.1cont: The other changes in the volume of assets account - concise form - transactions in liabilities and net worth
Table 12.2: The other changes in the volume of assets accounts - changes in assets dueto economic appearance and disappearance
Table 12.2cont: The other changes in the volume of assets accounts - changes in liabilities and net worth due to economic appearance and disappearance
Table 12.3: The other changes in the volume of assets account - changes in assets due to external events
Table 12.3cont: The other changes in the volume of assets account - changes in liabilities dueto external events
Table 12.4: The other changes in the volume of assets account - changes in assets due to changes inclassifications
Table 12.4cont: The other changes in the volume of assets account - changes in liabilities and net worth due to changes in classifications
Table 12.5: The other changes in the volume of assets account - changes in asset by type of asset
Table 12.5cont: The other changes in the volume of assets account - changes in liabilities and net worth by type of liability
Table 12.6: The revaluation account - changes in assets
Table 12.6cont: The revaluation account - changes in liabilities and net worth
Table 13.1: Opening and closing balance sheets with changes in assets
Table 13.1cont: Opening and closing balance sheets with changes in liabilities and net worth
Table 13.2: Asset accounts for the total economy
Table 14.1: Abbreviated version of the production part of the supply table
Table 14.2: An example of the entries to adjust supply to include trade and transport margins
Table 14.3: Example of the impact on prices of transport charges
Table 14.4: An example of imports entries in the supply table with the global CIF-to-FOB adjustment
Table 14.5: An example of the entries to adjust supply to include taxes less subsidies onproducts
Table 14.6: Abbreviated version of the intermediate consumption part of the use table
Table 14.7: The final consumption part of a usetable
Table 14.8: The capital formation part of a use table
Table 14.9: The value added part of a use table
Table 14.10: The imports content of the use matrix
Table 14.11: Breakdown of use by producing units into the five elements making up purchasers' price valuation
Table 14.12: Supply and use tables at purchasers' prices
Table 14.12cont: Supply and use tables at purchasers' prices
Table 14.13: Supply and use table: trade and transport margins, taxes and subsidies on intermediate and final use of products
Table 14.14: Supply and use table: Final and intermediate uses at basic prices, ISIC breakdown
Table 14.15: Imports used for intermediate consumption and final demand
Table 16.1: Summary of the current accounts in the sequence of accounts
Table 16.2: Summary of the accumulation accounts and balance sheets
Table 16.3: Entries for the rest of the world using the BPM6 structure of accounts
Table 16.4: Summary current account with sector details - uses
Table 16.4cont: Summary current account with sector details - resources
Table 16.5: Summary of the accumulation accounts and balance sheets with sector details - assets and changes in assets
Table 16.5cont: Summary of the accumulation accounts and balance sheets with sector details – liabilities, net worth and changes in them
Table 17.1: Accounts for non-life insurance - uses
Table 17.1cont: Accounts for non-life insurance - resources
Table 17.2: Accounts for life insurance - uses
Table 17.2cont: Accounts for life insurance - resources
Table 17.3: Accounts for non-pension benefits paid through social security - uses
Table 17.4: Accounts for non-pension social insurance benefits from unfunded other employment-related schemes - uses
Table 17.5: Accounts for non-pension social insurance benefits from funded other employment-related schemes - uses
Table 17.3cont: Accounts for non-pension benefits paid through social security - resources
Table 17.4cont: Accounts for non-pension social insurance benefits from unfunded other employment-related schemes - resources
Table 17.5cont: Accounts for non-pension social insurance benefits from funded other employment-related scheme - resources
Table 17.6: Accounts for pension benefits paid through social security - uses
Table 17.6cont: Accounts for pension benefits paid through social security - resources
Table 17.7: Accounts for pension benefits payable under a defined contribution scheme - uses
Table 17.7cont: Accounts for pension benefits payable under a defined contribution scheme - resources
Table 17.8: Accounts for pension benefits payable under a defined benefit scheme - uses
Table 17.8cont: Accounts for pension benefits payable under a defined benefit scheme - resources
Table 17.9: Detailed transactions concerning social insurance
Table 17.10: A supplementary table showing the extent of pension schemes included and excluded from the SNA sequence of accounts
Table 18.1: High-level SNA/ISIC aggregation (A*10)
Table 18.2: Industry level headings for a country with a large subsistence economy
Table 18.3: GDP by expenditure
Table 20.1: Example of deriving the value of capital stock from knowledge of its contribution to production
Table 20.2: Example of deriving the value of capital stock from knowledge of its decline in price
Table 20.3: Table 20.2 with a slightly different pattern of price decline
Table 20.4: Capital services and SNA terminology
Table 20.5: The case of land
Table 20.6: An asset with a residual value
Table 20.7: Example of costs of ownership transfer on the acquisition of the asset in table 20.6
Table 20.8: An asset with a terminal cost
Table 20.9: Valuing work-in-progress spanning several years
Table 20.10: The case of a financial loan
Table 20.11: The outline of a possible supplementary table
Table 23.1: ICNPO groups
Table 26.1: Selected effects of a household's residence status on the statistics of the host economy
Table 26.2: Selected effects of the residence status of an enterprise on the statistics of the host economy
Table 26.3: Overview of the balance of payments
Table 26.4: Balancing items in the international accounts in relation to the SNA sequence of accounts
Table 26.5: Overview of Integrated International Investment Position Statement
Table 26.6: Link between Financial Assets Classification and Functional Categories
Table 27.1: Subsectors of the financial corporations sector
Table 27.2: The classification of financial assets and liabilities
Table 27.3: The financial account - concise form - changes in assets
Table 27.3cont: The financial account - concise form - changes in liabilities and net worth
Table 27.4: Format for detailed flow of funds table or stocks of financial assets analysed by debtor and creditor
Table 28.1: An example of imports entries in the supply table with the global CIF to FOB adjustment
Table 28.2: Options for recording goods not changing economic ownership
Table 28.3: The use table from table 14.12
Table 28.3cont: The use table from table 14.12
Table 28.4: Intermediate consumption and value added cross-classified by industry and institutional sector
Table 28.4cont: Intermediate consumption and value added cross-classified by industry and institutional sector
Table 28.5: A numerical example of reallocating products from construction to manufacturing
Table 28.6: Example of a product by product input-output matrix
Table 28.7: Example of an industry by industry input-output matrix
Table 28.8: The goods and services account in matrix form
Table 28.9: The supply and use table in matrix form
Table 28.10: The flow accounts in the sequence of accounts in matrix form
Table 28.11: The sequence of accounts including the balance sheets in matrix form
Table 29.1: Table 6 from the Tourism Satellite Accounts
Table 29.2: Example of a hybrid supply and use table from the SEEA
Table 29.3: Example of a combined supply and use table for environmental protection goods and services
Table 29.4: Example of a supply and use table from the System of Health Accounts
Table 29.4cont: Example of a supply and use table from the System of Health Accounts
Figure 2.1: Diagram of the integrated accounts for the total economy
Figure 2.2: Summary of the main accounts, balancing items and main aggregates
Figure 4.1: Illustrative allocation of units to institutional sectors
Figure 6.1: Basic, producers' and purchasers' prices
Figure 17.1: Example of an annuity
Figure 17.2: Indications of the flows associated with different financial instruments
Figure 22.1: The public sector and its relation to institutional sectors
Figure 25.1: The non-observed economy and the informal sector
Figure 25.2: Identifying units in the ILO informal sector
Figure 25.3: Informal employment and employment in the informal sector
Figure 25.4: Identifying units for the ILO informal sector from within the SNA institutional sectors
name::
* Mcs.2008-SNA-manualHitp!⇒Sna8,
* Mcs.SNA.2008-manualHitp!⇒Sna8,
* Mcs.Sna8, {2019-03-07}
* Mcs.Sna8'(System-of-National-Accounts-2008-manualHitp)!⇒Sna8,
* Mcs.Sna8/index!⇒Sna8,
* Mcs.System-of-National-Accounts-2008-manualHitp!⇒Sna8,
* Mcs.UN.SNA.2008-manualHitp!⇒Sna8,
* Mcs.UN-System-of-National-Accounts-2008-manualHitp!⇒Sna8,
* Mcs.index.Sna8!⇒Sna8,
* Mcs.standard.UN.SNA.2008-manualHitp!⇒Sna8,
* Mcs.vocabulary.Sna2008!⇒Sna8,
* Mcs.vocSna8!⇒Sna8,
Name::
* Mcs.Index-A@Sna8,
* Mcs.Sna8/Index-A,
abnormal-flooding::
* Mcs.abnormal-flooding@Sna8,
* Mcs.Sna8/abnormal-flooding, 12.46
ABO-(Accrued-benefit-obligation)::
* Mcs.ABO-(Accrued-benefit-obligation)@Sna8,
* Mcs.Sna8/ABO-(Accrued-benefit-obligation), 17.181
absorption-matrix::
* Mcs.absorption-matrix@Sna8,
* Mcs.Sna8/absorption-matrix, 14.87
accidental-damage::
* Mcs.accidental-damage@Sna8,
* Mcs.Sna8/accidental-damage, 6.147, 6.243
accounting-concepts::
* Mcs.accounting-concepts@Sna8,
* Mcs.Sna8/accounting-concepts, 18.1
accounting-framework::
* Mcs.accounting-framework@Sna8,
* Mcs.Sna8/accounting-framework, 1.1
accounting-period::
* Mcs.accounting-period@Sna8,
* Mcs.Sna8/accounting-period, 3.15
accounting-rule::
* Mcs.accounting-rule@Sna8,
* Mcs.Sna8/accounting-rule, 2.4, 3.3, 3.16, 3.111
· financial statistics 27.7
accounts-in-volume-terms::
* Mcs.accounts-in-volume-terms@Sna8,
* Mcs.Sna8/accounts-in-volume-terms, 18.2, 18.63
accounts-receivable-or-payable::
* Mcs.accounts-receivable-or-payable@Sna8,
* Mcs.Sna8/accounts-receivable-or-payable, 3.174, 11.73, 11.127, 22.93
accounts-articulation::
* Mcs.accounts-articulation@Sna8,
* Mcs.Sna8/accounts-articulation, 1.14
accrual-accounting::
* Mcs.accrual-accounting@Sna8,
* Mcs.Sna8/accrual-accounting, 3.166
accrual-adjustments::
* Mcs.accrual-adjustments@Sna8,
* Mcs.Sna8/accrual-adjustments, 11.105
accrual-recording::
* Mcs.accrual-recording@Sna8,
* Mcs.Sna8/accrual-recording, 2.55, 7.41, 7.84, 18.34
· interest 7.115
· taxes 8.58, 22.91
accrued-benefit-obligation-(ABO)::
* Mcs.accrued-benefit-obligation-(ABO)@Sna8,
* Mcs.Sna8/accrued-benefit-obligation-(ABO), 17.181
accumulation::
* Mcs.accumulation@Sna8,
* Mcs.Sna8/accumulation, 1.6, 3.20, 14.11
accumulation-accounts::
* Mcs.accumulation-accounts@Sna8,
* Mcs.Sna8/accumulation-accounts, 1.20, 2.84, 2.107, 3.2
accuracy::
* Mcs.accuracy@Sna8,
* Mcs.Sna8/accuracy, 18.3, 18.12
acid-rain::
* Mcs.acid-rain@Sna8,
* Mcs.Sna8/acid-rain, 12.52
acquisition::
* Mcs.acquisition@Sna8,
* Mcs.Sna8/acquisition, 21.22
acquisition-of-consumption-goods-and-services::
* Mcs.acquisition-of-consumption-goods-and-services@Sna8,
* Mcs.Sna8/acquisition-of-consumption-goods-and-services, 9.17
acquisition-of-goods-and-services::
* Mcs.acquisition-of-goods-and-services@Sna8,
* Mcs.Sna8/acquisition-of-goods-and-services, 9.36
acquisition-of-non-financial-assets::
* Mcs.acquisition-of-non-financial-assets@Sna8,
* Mcs.Sna8/acquisition-of-non-financial-assets, 10.22, 16.20
· time of recording 10.53
acquisition-vs-expenditure::
* Mcs.acquisition-vs-expenditure@Sna8,
* Mcs.Sna8/acquisition-vs-expenditure, 9.31
acquisitions-of-goods-and-services-by-institutional-units::
* Mcs.acquisitions-of-goods-and-services-by-institutional-units@Sna8,
* Mcs.Sna8/acquisitions-of-goods-and-services-by-institutional-units,
· occur when they become the new owners of the goods or when the delivery of services to them is completed. see 9.36
activation-of-a-one-off-guarantee::
* Mcs.activation-of-a-one-off-guarantee@Sna8,
* Mcs.Sna8/activation-of-a-one-off-guarantee, 22.129
Activities-of-Multinational-Enterprises-(AMNE-statistics)::
* Mcs.Activities-of-Multinational-Enterprises-(AMNE-statistics)@Sna8,
* Mcs.Sna8/Activities-of-Multinational-Enterprises-(AMNE-statistics), 26.90
activity::
* Mcs.activity@Sna8,
* Mcs.Sna8/activity, 15.120
· see also principal activity, secondary activity, ancillary activity
· deliberately concealed 6.40
· facilitating financial intermediation 4.29
· illegal 6.39
· informal 6.39
· non-economic 6.25
· not treated as ancillary 5.37
acts-of-war::
* Mcs.acts-of-war@Sna8,
* Mcs.Sna8/acts-of-war, 12.46
actual-consumption::
* Mcs.actual-consumption@Sna8,
* Mcs.Sna8/actual-consumption, 1.76
actual-final-consumption::
* Mcs.actual-final-consumption@Sna8,
* Mcs.Sna8/actual-final-consumption, 9.6
· measures the amount of consumption goods and services acquired. see 9.7
· general government 9.103, 9.117
· households 2.104, 9.116
· NPISHs 9.111, 9.118
actual-final-consumption-of-general-government::
* Mcs.actual-final-consumption-of-general-government@Sna8,
* Mcs.Sna8/actual-final-consumption-of-general-government,
· is measured by the value of the collective consumption services provided to the community, or large sections of the community, by general government. see 9.117
actual-final-consumption-of-households::
* Mcs.actual-final-consumption-of-households@Sna8,
* Mcs.Sna8/actual-final-consumption-of-households,
· is measured by the value of all the individual consumption goods and services acquired by resident households. see 9.116
actual-final-consumption-of-NPISHs::
* Mcs.actual-final-consumption-of-NPISHs@Sna8,
* Mcs.Sna8/actual-final-consumption-of-NPISHs,
· is measured by the value of the collective consumption services provided to the community, or large sections of the community, by NPISHs. see 9.118
actual-hours-worked::
* Mcs.actual-hours-worked@Sna8,
* Mcs.Sna8/actual-hours-worked, 19.42
actuarial-estimates::
* Mcs.actuarial-estimates@Sna8,
* Mcs.Sna8/actuarial-estimates, 7.150, 17.7, 17.144
actuarial-reserves-for-life-insurance::
* Mcs.actuarial-reserves-for-life-insurance@Sna8,
* Mcs.Sna8/actuarial-reserves-for-life-insurance, 17.17
ADB-(Asian-Development-Bank)::
* Mcs.ADB-(Asian-Development-Bank)@Sna8,
* Mcs.Sna8/ADB-(Asian-Development-Bank),
additions-to-equity::
* Mcs.additions-to-equity@Sna8,
* Mcs.Sna8/additions-to-equity, 7.135
additivity-and-chaining::
* Mcs.additivity-and-chaining@Sna8,
* Mcs.Sna8/additivity-and-chaining, 15.58
adjusted-disposable-income::
* Mcs.adjusted-disposable-income@Sna8,
* Mcs.Sna8/adjusted-disposable-income,
· is the balancing item in the redistribution of income in kind account.
It is derived from the disposable income of an institutional unit or sector by adding the value of the social transfers in kind receivable by that unit or sector and subtracting the value of the social transfers in kind payable by that unit or sector. see 8.32
AEG-(Advisory-Expert-Group-on-National-Accounts)::
* Mcs.AEG-(Advisory-Expert-Group-on-National-Accounts)@Sna8,
* Mcs.Sna8/AEG-(Advisory-Expert-Group-on-National-Accounts), PrefaceD2P1
adjusted-claims::
* Mcs.adjusted-claims@Sna8,
* Mcs.Sna8/adjusted-claims, 6.189, 17.21
adjusted-disposable-income::
* Mcs.adjusted-disposable-income@Sna8,
* Mcs.Sna8/adjusted-disposable-income, 2.100, 8.32, 8.144, 9.7
adjustment-for-seasonality::
* Mcs.adjustment-for-seasonality@Sna8,
* Mcs.Sna8/adjustment-for-seasonality, 18.37
adjustment-for-the-change-in-pension-entitlements::
* Mcs.adjustment-for-the-change-in-pension-entitlements@Sna8,
* Mcs.Sna8/adjustment-for-the-change-in-pension-entitlements, 9.9, 9.13, 16.15, 17.141
adjustment-for-working-days::
* Mcs.adjustment-for-working-days@Sna8,
* Mcs.Sna8/adjustment-for-working-days, 18.38
administrative-data::
* Mcs.administrative-data@Sna8,
* Mcs.Sna8/administrative-data, 19.77, 19.80
administrators-of-pension-funds::
* Mcs.administrators-of-pension-funds@Sna8,
* Mcs.Sna8/administrators-of-pension-funds, 8.86
advances::
* Mcs.advances@Sna8,
* Mcs.Sna8/advances, 17.294, 27.35
advocacy-groups::
* Mcs.advocacy-groups@Sna8,
* Mcs.Sna8/advocacy-groups, 23.19
aerial-and-other-surveys::
* Mcs.aerial-and-other-surveys@Sna8,
* Mcs.Sna8/aerial-and-other-surveys, 10.106
after-tax-rent::
* Mcs.after-tax-rent@Sna8,
* Mcs.Sna8/after-tax-rent, 7.157
age-efficiency-profile::
* Mcs.age-efficiency-profile@Sna8,
* Mcs.Sna8/age-efficiency-profile, 20.17
agencies-of-central-government::
* Mcs.agencies-of-central-government@Sna8,
* Mcs.Sna8/agencies-of-central-government, 4.138
age-price-profile::
* Mcs.age-price-profile@Sna8,
* Mcs.Sna8/age-price-profile, 20.17
aggregate-real-income-measures::
* Mcs.aggregate-real-income-measures@Sna8,
* Mcs.Sna8/aggregate-real-income-measures, 15.192
aggregate-statistics::
* Mcs.aggregate-statistics@Sna8,
* Mcs.Sna8/aggregate-statistics, 1.3
aggregation::
* Mcs.aggregation@Sna8,
* Mcs.Sna8/aggregation, 3.191
aggregation-of-quarterly-estimates-preferable-to-an-annual-estimate::
* Mcs.aggregation-of-quarterly-estimates-preferable-to-an-annual-estimate@Sna8,
* Mcs.Sna8/aggregation-of-quarterly-estimates-preferable-to-an-annual-estimate, 12.99
agricultural-activities::
* Mcs.agricultural-activities@Sna8,
* Mcs.Sna8/agricultural-activities, 25.46
agricultural-output::
* Mcs.agricultural-output@Sna8,
* Mcs.Sna8/agricultural-output, 6.137
agricultural-production::
* Mcs.agricultural-production@Sna8,
* Mcs.Sna8/agricultural-production, 25.72
agricultural-products-for-own-use-valuation::
* Mcs.agricultural-products-for-own-use-valuation@Sna8,
* Mcs.Sna8/agricultural-products-for-own-use-valuation, 6.124
agriculture-subsistence::
* Mcs.agriculture-subsistence@Sna8,
* Mcs.Sna8/agriculture-subsistence, 1.41
aid-agencies::
* Mcs.aid-agencies@Sna8,
* Mcs.Sna8/aid-agencies, 4.169
allocated-gold::
* Mcs.allocated-gold@Sna8,
* Mcs.Sna8/allocated-gold, 11.60
allocated-gold-accounts::
* Mcs.allocated-gold-accounts@Sna8,
* Mcs.Sna8/allocated-gold-accounts, 11.45, 17.240
allocation-of-other-primary-income-account::
* Mcs.allocation-of-other-primary-income-account@Sna8,
* Mcs.Sna8/allocation-of-other-primary-income-account, 7.22
allocation-of-primary-income-account::
* Mcs.allocation-of-primary-income-account@Sna8,
* Mcs.Sna8/allocation-of-primary-income-account, 2.92, 7.16, 11.90, 16.8, 26.4, 28.72
allowances-for-dependents::
* Mcs.allowances-for-dependents@Sna8,
* Mcs.Sna8/allowances-for-dependents, 7.45
alternative-method-of-sub-sectoring-the-general-government-sector::
* Mcs.alternative-method-of-sub-sectoring-the-general-government-sector@Sna8,
* Mcs.Sna8/alternative-method-of-sub-sectoring-the-general-government-sector, 4.148
AMNE-(Activities-of-Multinational-Enterprises)::
* Mcs.AMNE-(Activities-of-Multinational-Enterprises)@Sna8,
* Mcs.Sna8/AMNE-(Activities-of-Multinational-Enterprises), 26.90
analytic-presentation-of-the-balance-of-payments::
* Mcs.analytic-presentation-of-the-balance-of-payments@Sna8,
* Mcs.Sna8/analytic-presentation-of-the-balance-of-payments, 26.101
analytical-functions::
* Mcs.analytical-functions@Sna8,
* Mcs.Sna8/analytical-functions, 28.63
analytical-purposes::
* Mcs.analytical-purposes@Sna8,
* Mcs.Sna8/analytical-purposes, 28.2
analytical-unit::
* Mcs.analytical-unit@Sna8,
* Mcs.Sna8/analytical-unit, 5.53
ancillary-activity::
* Mcs.ancillary-activity@Sna8,
* Mcs.Sna8/ancillary-activity, 4.66, 5.3, 5.10, 6.207, 14.33, 29.34, 29.65
· An ancillary activity is a supporting activity undertaken within an enterprise in order to create the conditions within which the principal or secondary activities can be carried out. see 5.36
· characteristics 5.36
· exclusions 5.37
· portrayal in a satellite account 5.45
· treatment as a separate establishment 5.41
· treatment as secondary activity 5.44
· value added 5.39
ancillary-services::
* Mcs.ancillary-services@Sna8,
* Mcs.Sna8/ancillary-services, 6.215
animal-resources-yielding-repeat-products::
* Mcs.animal-resources-yielding-repeat-products@Sna8,
* Mcs.Sna8/animal-resources-yielding-repeat-products, 10.92
· cover animals whose natural growth and regeneration are under the direct control, responsibility and management of institutional units. see 10.92
annual-chain-volume-series-vs-quarterly::
* Mcs.annual-chain-volume-series-vs-quarterly@Sna8,
* Mcs.Sna8/annual-chain-volume-series-vs-quarterly, 15.48
annual-chained-indices::
* Mcs.annual-chained-indices@Sna8,
* Mcs.Sna8/annual-chained-indices, 15.53
annual-overlaps::
* Mcs.annual-overlaps@Sna8,
* Mcs.Sna8/annual-overlaps, 15.46
annuitant::
* Mcs.annuitant@Sna8,
* Mcs.Sna8/annuitant, 17.66
annuity::
* Mcs.annuity@Sna8,
* Mcs.Sna8/annuity, 6.179, 7.144, 8.139, 12.59, 17.6, 17.55, 17.66, 17.158, 17.217, 24.79
· initiation 17.74
· purchase of 17.74
appearance-and-disappearance-of-assets::
* Mcs.appearance-and-disappearance-of-assets@Sna8,
* Mcs.Sna8/appearance-and-disappearance-of-assets, 3.102, 12.12
appearance-of-new-products::
* Mcs.appearance-of-new-products@Sna8,
* Mcs.Sna8/appearance-of-new-products, 15.4
appraisal-costs::
* Mcs.appraisal-costs@Sna8,
* Mcs.Sna8/appraisal-costs, 10.106
appropriation::
* Mcs.appropriation@Sna8,
* Mcs.Sna8/appropriation, 22.142
approximation-to-market-prices::
* Mcs.approximation-to-market-prices@Sna8,
* Mcs.Sna8/approximation-to-market-prices, 3.123
arbitrage::
* Mcs.arbitrage@Sna8,
* Mcs.Sna8/arbitrage, 11.112
arm's-length-prices::
* Mcs.arm's-length-prices@Sna8,
* Mcs.Sna8/arm's-length-prices, 21.50
armed-forces::
* Mcs.armed-forces@Sna8,
* Mcs.Sna8/armed-forces, 19.21, 19.32, 19.33, 19.34
articulation-of-the-accounts::
* Mcs.articulation-of-the-accounts@Sna8,
* Mcs.Sna8/articulation-of-the-accounts, 2.14, 27.2
artificial-subsidiaries::
* Mcs.artificial-subsidiaries@Sna8,
* Mcs.Sna8/artificial-subsidiaries, 4.63, 26.28
arts-and-culture-organizations::
* Mcs.arts-and-culture-organizations@Sna8,
* Mcs.Sna8/arts-and-culture-organizations, 23.19
asset::
* Mcs.asset@Sna8,
* Mcs.Sna8/asset, 2.33, 2.44, 10.8, 11.3
· An asset is a store of value representing a benefit or series of benefits accruing to the economic owner by holding or using the entity over a period of time.
It is a means of carrying forward value from one accounting period to another. see 3.5, 3.30, 10.8, 11.3
· cross-classified by debtor 2.151
· definition 3.5, 3.30
· denominated in foreign currency, holding gains 12.120
· developed under a contract of sale 10.55
· entry into balance sheet 3.42
· exit from balance sheet 3.42
· expected life length 20.55
· infinite life 7.109
· produced by communal effort 10.56
· produced for own communal use 10.58
· produced on own account 10.54, 10.89
· relation to residence 3.39
· residual value 20.51
· shared ownership 17.344
· with long production periods 10.54
asset-account::
* Mcs.asset-account@Sna8,
* Mcs.Sna8/asset-account, 13.1, 13.8, 29.116
asset-boundary::
* Mcs.asset-boundary@Sna8,
* Mcs.Sna8/asset-boundary, 3.31, 3.37, 10.33
· services 10.37
asset-boundary-for-fixed-assets::
* Mcs.asset-boundary-for-fixed-assets@Sna8,
* Mcs.Sna8/asset-boundary-for-fixed-assets,
· The asset boundary for fixed assets consists of goods and services that are used in production for more than one year. see 10.33
asset-valuation-effect-of-changes-in-the-interest-rate::
* Mcs.asset-valuation-effect-of-changes-in-the-interest-rate@Sna8,
* Mcs.Sna8/asset-valuation-effect-of-changes-in-the-interest-rate, 12.40
asset-backed-securities::
* Mcs.asset-backed-securities@Sna8,
* Mcs.Sna8/asset-backed-securities, 11.64, 11.67
asset-backed-securities-and-collateralized-debt-obligations::
* Mcs.asset-backed-securities-and-collateralized-debt-obligations@Sna8,
* Mcs.Sna8/asset-backed-securities-and-collateralized-debt-obligations,
· are arrangements under which payments of interest and principal are backed by payments on specified assets or income streams. see 11.67
associate-of-corporation::
* Mcs.associate-of-corporation@Sna8,
* Mcs.Sna8/associate-of-corporation, 26.85
· definition 4.75
autonomous-pension-fund::
* Mcs.autonomous-pension-fund@Sna8,
* Mcs.Sna8/autonomous-pension-fund, 8.78
autonomy::
* Mcs.autonomy@Sna8,
* Mcs.Sna8/autonomy, 4.6, 4.69, 4.138, 22.20
auto-pilot::
* Mcs.auto-pilot@Sna8,
* Mcs.Sna8/auto-pilot, 4.61
average-service-lives::
* Mcs.average-service-lives@Sna8,
* Mcs.Sna8/average-service-lives, 6.253
average-year-prices::
* Mcs.average-year-prices@Sna8,
* Mcs.Sna8/average-year-prices, 20.34
Name::
* Mcs.Index-B@Sna8,
* Mcs.Sna8/Index-B,
bad-debts::
* Mcs.bad-debts@Sna8,
* Mcs.Sna8/bad-debts, 21.56
bailout::
* Mcs.bailout@Sna8,
* Mcs.Sna8/bailout, 21.54, 22.128, 22.143
balance-of-goods-and-services::
* Mcs.balance-of-goods-and-services@Sna8,
* Mcs.Sna8/balance-of-goods-and-services, 16.29
balance-of-goods-services-and-primary-income::
* Mcs.balance-of-goods-services-and-primary-income@Sna8,
* Mcs.Sna8/balance-of-goods-services-and-primary-income, 26.70
balance-of-payments::
* Mcs.balance-of-payments@Sna8,
* Mcs.Sna8/balance-of-payments, 16.22, 26.12, 26.46
balance-of-primary-incomes::
* Mcs.balance-of-primary-incomes@Sna8,
* Mcs.Sna8/balance-of-primary-incomes, 2.93, 7.18, 7.25, 8.10, 16.10, 16.29, 26.70, 28.73
· The balance of primary incomes is defined as the total value of the primary incomes receivable by an institutional unit or sector less the total of the primary incomes payable. see 7.18
balance-sheet::
* Mcs.balance-sheet@Sna8,
* Mcs.Sna8/balance-sheet, 1.14, 1.20, 1.22, 2.33, 2.85, 2.121, 3.2, 3.42, 3.155, 12.1, 13.1, 15.168, 26.8, 28.75
· A balance sheet is a statement, drawn up in respect of a particular point in time, of the values of assets owned and of the liabilities owed by an institutional unit or group of units. see 13.2
· analytical uses 13.6
· integral part of the SNA 16.31
balancing-item::
* Mcs.balancing-item@Sna8,
* Mcs.Sna8/balancing-item, 1.14, 2.73, 2.83, 2.117, 3.10, 6.6, 16.29
· A balancing item is an accounting construct obtained by subtracting the total value of the entries on one side of an account (resources or changes in liabilities) from the total value of the entries on the other side (uses or changes in assets). It cannot be measured independently of the entries in the accounts.
As a derived entry, it reflects the application of the general accounting rules to the specific entries on the two sides of the account. see 3.9
· definition 3.9, 3.107
· financial account 11.1
· gross and net 2.80, 6.9, 6.72
· of a current account 6.70
· of multi-regional units 18.49
· price and volume dimensions 18.27
· production account 6.8
· public sector 22.168
balancing-supply-and-use-tables::
* Mcs.balancing-supply-and-use-tables@Sna8,
* Mcs.Sna8/balancing-supply-and-use-tables, 25.33
bank::
* Mcs.bank@Sna8,
* Mcs.Sna8/bank, 11.56
bank-interest::
* Mcs.bank-interest@Sna8,
* Mcs.Sna8/bank-interest, 6.164, 7.116, 8.24, 9.62, 13.62, 17.250
banker's-acceptance::
* Mcs.banker's-acceptance@Sna8,
* Mcs.Sna8/banker's-acceptance, 11.25, 11.68
· A banker's acceptance involves the acceptance by a financial corporation, in return for a fee, of a draft or bill of exchange and the unconditional promise to pay a specific amount at a specified date. see 11.68
bankruptcy::
* Mcs.bankruptcy@Sna8,
* Mcs.Sna8/bankruptcy, 21.13
barges::
* Mcs.barges@Sna8,
* Mcs.Sna8/barges, 10.83
barter::
* Mcs.barter@Sna8,
* Mcs.Sna8/barter, 1.36, 2.24, 3.77, 3.79, 6.102, 8.22, 9.45, 9.75, 10.62, 10.146, 17.226
· A barter transaction is one where one basket of goods and services is exchanged for another basket of different goods and services without any accompanying monetary payment. see 9.49
barter-transaction::
* Mcs.barter-transaction@Sna8,
* Mcs.Sna8/barter-transaction, 9.49
· valuation 9.50
basic-heading::
* Mcs.basic-heading@Sna8,
* Mcs.Sna8/basic-heading, 15.206, 15.229
basic-prices::
* Mcs.basic-prices@Sna8,
* Mcs.Sna8/basic-prices, 2.63, 2.87, 3.146, 7.7, 14.45, 14.139, 16.49
· The basic price is the amount receivable by the producer from the purchaser for a unit of a good or service produced as output minus any tax payable, and plus any subsidy receivable, by the producer as a consequence of its production or sale.
It excludes any transport charges invoiced separately by the producer. see 6.51
BD-(OECD-Benchmark-Definition-on-Foreign-Direct-Investment)::
* Mcs.BD-(OECD-Benchmark-Definition-on-Foreign-Direct-Investment)@Sna8,
* Mcs.Sna8/BD-(OECD-Benchmark-Definition-on-Foreign-Direct-Investment), 13.73
behaviour-of-economic-agents::
* Mcs.behaviour-of-economic-agents@Sna8,
* Mcs.Sna8/behaviour-of-economic-agents, 17.208
bench-marking::
* Mcs.bench-marking@Sna8,
* Mcs.Sna8/bench-marking, 18.33, 18.39
· quarterly series 15.48
benefits::
* Mcs.benefits@Sna8,
* Mcs.Sna8/benefits, 3.27, 6.198, 11.4, 17.4
bills::
* Mcs.bills@Sna8,
* Mcs.Sna8/bills, 11.64
· are defined as securities that give the holders the unconditional rights to receive stated fixed sums on a specified date. see 11.64
· increase in value treated as interest 17.231
· interest 7.118
binary-method-ICP::
* Mcs.binary-method-ICP@Sna8,
* Mcs.Sna8/binary-method-ICP, 15.217
BIS-(Bank-for-International-Settlements)::
* Mcs.BIS-(Bank-for-International-Settlements)@Sna8,
* Mcs.Sna8/BIS-(Bank-for-International-Settlements), 11.88, A4.12
Black-Scholes::
* Mcs.Black-Scholes@Sna8,
* Mcs.Sna8/Black-Scholes, 13.83
block-method-ICP::
* Mcs.block-method-ICP@Sna8,
* Mcs.Sna8/block-method-ICP, 15.213
· advantages 15.215
bonds::
* Mcs.bonds@Sna8,
* Mcs.Sna8/bonds, 11.64
· deep-discounted 12.109
· dirty price 13.59
· discounted 17.258
· holding gains and losses vs. interest 12.108
bonds-and-debentures::
* Mcs.bonds-and-debentures@Sna8,
* Mcs.Sna8/bonds-and-debentures,
· are securities that give the holders the unconditional right to fixed payments or contractually determined variable payments, that is, the earning of interest is not dependent on earnings of the debtors. see 11.64
bonuses::
* Mcs.bonuses@Sna8,
* Mcs.Sna8/bonuses, 7.44
· insurance 17.18
book-value::
* Mcs.book-value@Sna8,
* Mcs.Sna8/book-value, 3.157
BOOT-(Build-Own-Operate-Transfer)::
* Mcs.BOOT-(Build-Own-Operate-Transfer)@Sna8,
* Mcs.Sna8/BOOT-(Build-Own-Operate-Transfer), 10.59, 22.154
BOP-(Balance-Of-Payments)::
* Mcs.BOP-(Balance-Of-Payments)@Sna8,
* Mcs.Sna8/BOP-(Balance-Of-Payments),
· see balance-of-payments
border-workers::
* Mcs.border-workers@Sna8,
* Mcs.Sna8/border-workers, 16.53, 19.32, 19.33, 19.81, 26.68
· residence 26.38
borderline-between-individual-and-collective-services::
* Mcs.borderline-between-individual-and-collective-services@Sna8,
* Mcs.Sna8/borderline-between-individual-and-collective-services, 9.98
borrowed-funds::
* Mcs.borrowed-funds@Sna8,
* Mcs.Sna8/borrowed-funds, 7.12
boundary::
* Mcs.boundary@Sna8,
* Mcs.Sna8/boundary,
· see production boundary, asset boundary
BPM-(Balance-of-Payments-and-International-Investment-Position-Manual)::
* Mcs.BPM-(Balance-of-Payments-and-International-Investment-Position-Manual)@Sna8,
* Mcs.Sna8/BPM-(Balance-of-Payments-and-International-Investment-Position-Manual),
BPM6-(Balance-of-Payments-and-International-Investment-Position-Manual-Sixth-Edition)::
* Mcs.BPM6-(Balance-of-Payments-and-International-Investment-Position-Manual-Sixth-Edition)@Sna8,
* Mcs.Sna8/BPM6-(Balance-of-Payments-and-International-Investment-Position-Manual-Sixth-Edition), Ref-IMF2008a, 16.28, 29.86
Branch::
* Mcs.Branch@Sna8,
* Mcs.Sna8/Branch,
· undertakes production for one year or more 26.30
branch-BPM6::
* Mcs.branch-BPM6@Sna8,
* Mcs.Sna8/branch-BPM6,
· definition 26.30
· characteristics 4.47
· complete set of accounts, with a balance sheet, exists 26.30
· recognized as being subject to the income tax system of the
· economy where located 26.30
· subject to the income tax system where located 26.30
· undertakes production for one year or more 26.30
branches::
* Mcs.branches@Sna8,
* Mcs.Sna8/branches, 4.13, 4.43, 11.88
brass-plate-company::
* Mcs.brass-plate-company@Sna8,
* Mcs.Sna8/brass-plate-company, 4.56
breakdown-by-currency::
* Mcs.breakdown-by-currency@Sna8,
* Mcs.Sna8/breakdown-by-currency, 27.16
bridge-country::
* Mcs.bridge-country@Sna8,
* Mcs.Sna8/bridge-country, 15.222
broad-money::
* Mcs.broad-money@Sna8,
* Mcs.Sna8/broad-money, 27.11
· national measures 11.75
budget-surplus-or-deficit::
* Mcs.budget-surplus-or-deficit@Sna8,
* Mcs.Sna8/budget-surplus-or-deficit, 1.29
build-own-operate-transfer-(BOOT)-scheme::
* Mcs.build-own-operate-transfer-(BOOT)-scheme@Sna8,
* Mcs.Sna8/build-own-operate-transfer-(BOOT)-scheme, 10.59
buildings-and-structures::
* Mcs.buildings-and-structures@Sna8,
* Mcs.Sna8/buildings-and-structures, 15.145
buildings-other-than-dwellings::
* Mcs.buildings-other-than-dwellings@Sna8,
* Mcs.Sna8/buildings-other-than-dwellings,
· include whole buildings or parts of buildings not designated as dwellings.
Fixtures, facilities and equipment that are integral parts of the structures are included. see 10.74
business-accounting::
* Mcs.business-accounting@Sna8,
* Mcs.Sna8/business-accounting, 1.63, 2.56, 2.94, 3.112, 3.139, 7.24
business-and-professional-licences::
* Mcs.business-and-professional-licences@Sna8,
* Mcs.Sna8/business-and-professional-licences, 7.97
business-register::
* Mcs.business-register@Sna8,
* Mcs.Sna8/business-register, 21.8
business-surveys::
* Mcs.business-surveys@Sna8,
* Mcs.Sna8/business-surveys, 19.54, 19.77, 19.79, 19.82, 24.21
business-travel-expenses::
* Mcs.business-travel-expenses@Sna8,
* Mcs.Sna8/business-travel-expenses, 8.99
by-products::
* Mcs.by-products@Sna8,
* Mcs.Sna8/by-products, 5.8, 5.49, 28.46
Name::
* Mcs.Index-C@Sna8,
* Mcs.Sna8/Index-C,
call-option::
* Mcs.call-option@Sna8,
* Mcs.Sna8/call-option, 11.117
calls-under-standardized-guarantee-schemes::
* Mcs.calls-under-standardized-guarantee-schemes@Sna8,
* Mcs.Sna8/calls-under-standardized-guarantee-schemes, 17.220
Canberra-group-report::
* Mcs.Canberra-group-report@Sna8,
* Mcs.Sna8/Canberra-group-report, 24.22
cancellation-of-debt-by-mutual-agreement::
* Mcs.cancellation-of-debt-by-mutual-agreement@Sna8,
* Mcs.Sna8/cancellation-of-debt-by-mutual-agreement, 10.210
capital-account::
* Mcs.capital-account@Sna8,
* Mcs.Sna8/capital-account, 1.20, 2.110, 8.25, 10.1, 16.18, 16.33, 28.71
capital-formation-by-type-of-producing-unit::
* Mcs.capital-formation-by-type-of-producing-unit@Sna8,
* Mcs.Sna8/capital-formation-by-type-of-producing-unit, 14.160
capital-gains::
* Mcs.capital-gains@Sna8,
* Mcs.Sna8/capital-gains,
· see holding gains
capital-injections::
* Mcs.capital-injections@Sna8,
* Mcs.Sna8/capital-injections, 11.90, 11.91, 21.54, 22.47, 22.138
capital-productivity::
* Mcs.capital-productivity@Sna8,
* Mcs.Sna8/capital-productivity, 19.63
capital-services::
* Mcs.capital-services@Sna8,
* Mcs.Sna8/capital-services, 6.245, 7.13, 14.157, 18.67, 20.1, 20.5, 21.51
· as data quality check 20.29
capital-stock::
* Mcs.capital-stock@Sna8,
* Mcs.Sna8/capital-stock, 6.249, 18.31, 20.1
· fixed assets 13.9
· valuation 20.8
capital-transfer::
* Mcs.capital-transfer@Sna8,
* Mcs.Sna8/capital-transfer, 2.110, 3.60, 8.10, 8.25, 8.126, 8.128, 10.19, 10.200, 11.91, 16.18, 22.105, 22.129, 22.134, 22.145, 22.162, 26.7, 26.71
· are unrequited transfers where either the party making the transfer realizes the funds involved by disposing of an asset (other than cash or inventories), relinquishing a financial claim (other than accounts receivable) or the party receiving the transfer is obliged to acquire an asset (other than cash) or both conditions are met. see 8.10, 10.19
· acquisition of equity 22.138
· government guarantees 17.222
· in kind 19.41
· one-off guarantee 17.212
· transfer of pension entitlements 17.188
captive-financial-institution::
* Mcs.captive-financial-institution@Sna8,
* Mcs.Sna8/captive-financial-institution, 4.59, 22.23
· definition 4.113
captive-financial-institutions-and-money-lenders::
* Mcs.captive-financial-institutions-and-money-lenders@Sna8,
* Mcs.Sna8/captive-financial-institutions-and-money-lenders,
· consist of institutional units providing financial services, where most of either their assets or liabilities are not transacted on open financial markets. see 4.113
car-parking-subsidized::
* Mcs.car-parking-subsidized@Sna8,
* Mcs.Sna8/car-parking-subsidized, 7.51
caravans::
* Mcs.caravans@Sna8,
* Mcs.Sna8/caravans, 10.83
cars-company::
* Mcs.cars-company@Sna8,
* Mcs.Sna8/cars-company, 8.100
cash-accounting::
* Mcs.cash-accounting@Sna8,
* Mcs.Sna8/cash-accounting, 2.56, 3.164
cash-flow-problem::
* Mcs.cash-flow-problem@Sna8,
* Mcs.Sna8/cash-flow-problem, 21.52
casino-licences::
* Mcs.casino-licences@Sna8,
* Mcs.Sna8/casino-licences, 17.350
catastrophic-losses::
* Mcs.catastrophic-losses@Sna8,
* Mcs.Sna8/catastrophic-losses, 12.46
cattle-dairy::
* Mcs.cattle-dairy@Sna8,
* Mcs.Sna8/cattle-dairy, 10.92
central-bank::
* Mcs.central-bank@Sna8,
* Mcs.Sna8/central-bank, 7.122, 22.150
· The central bank is the national financial institution that exercises control over key aspects of the financial system. see 4.104
· as a financial institution 6.155
· dividends 22.152
· exceptional payments 22.152
· interest paid 22.153
· of a currency union 4.176
central-government::
* Mcs.central-government@Sna8,
* Mcs.Sna8/central-government, 4.30, 4.118
central-government-agencies::
* Mcs.central-government-agencies@Sna8,
* Mcs.Sna8/central-government-agencies, 4.138
central-government-sub-sector::
* Mcs.central-government-sub-sector@Sna8,
* Mcs.Sna8/central-government-sub-sector, 4.134
centre-of-decision-making::
* Mcs.centre-of-decision-making@Sna8,
* Mcs.Sna8/centre-of-decision-making, 2.16
centre-of-predominant-economic-interest::
* Mcs.centre-of-predominant-economic-interest@Sna8,
* Mcs.Sna8/centre-of-predominant-economic-interest, 1.48, 2.19, 4.10, 19.10
certificates-of-deposit::
* Mcs.certificates-of-deposit@Sna8,
* Mcs.Sna8/certificates-of-deposit, 11.99
chain-indices::
* Mcs.chain-indices@Sna8,
* Mcs.Sna8/chain-indices, 15.36
· advantages and disadvantages 15.41
· Laspeyres volume 15.40
· Laspeyres vs. chain superlative 15.51
· Paasche volume 15.40
· volume series not additive 15.59
chain-of-ownership::
* Mcs.chain-of-ownership@Sna8,
* Mcs.Sna8/chain-of-ownership, 21.37
chaining::
* Mcs.chaining@Sna8,
* Mcs.Sna8/chaining, 15.37, 15.97
· quarterly accounts 18.43
· seasonal data 15.44
chambers-of-commerce::
* Mcs.chambers-of-commerce@Sna8,
* Mcs.Sna8/chambers-of-commerce, 8.132
change-in-life-insurance-and-annuities-entitlements::
* Mcs.change-in-life-insurance-and-annuities-entitlements@Sna8,
* Mcs.Sna8/change-in-life-insurance-and-annuities-entitlements, 17.53
change-of-economic-ownership::
* Mcs.change-of-economic-ownership@Sna8,
* Mcs.Sna8/change-of-economic-ownership, 9.73, 11.78
· goods for processing 14.38
· imports and exports of goods 26.20
· no exceptions in BPM6 26.21
change-effecting-services::
* Mcs.change-effecting-services@Sna8,
* Mcs.Sna8/change-effecting-services, 6.17, 6.18
changes-in-assets::
* Mcs.changes-in-assets@Sna8,
* Mcs.Sna8/changes-in-assets, 2.45
changes-in-classification::
* Mcs.changes-in-classification@Sna8,
* Mcs.Sna8/changes-in-classification,
· assets 3.104
· institutional units 12.10
· natural resources 12.29
changes-in-classification-and-structure::
* Mcs.changes-in-classification-and-structure@Sna8,
* Mcs.Sna8/changes-in-classification-and-structure, 2.114
changes-in-inventories::
* Mcs.changes-in-inventories@Sna8,
* Mcs.Sna8/changes-in-inventories, 1.67, 2.32, 10.118, 15.156, 18.42
· are measured by the value of the entries into inventories less the value of withdrawals and less the value of any recurrent losses of goods held in inventories during the accounting period. see 10.118
· by product type 14.110
· deflation of 15.62
changes-in-liabilities-and-net-worth::
* Mcs.changes-in-liabilities-and-net-worth@Sna8,
* Mcs.Sna8/changes-in-liabilities-and-net-worth, 2.45
changes-in-life-insurance-and-annuities-entitlements::
* Mcs.changes-in-life-insurance-and-annuities-entitlements@Sna8,
* Mcs.Sna8/changes-in-life-insurance-and-annuities-entitlements, 8.36
changes-in-net-worth::
* Mcs.changes-in-net-worth@Sna8,
* Mcs.Sna8/changes-in-net-worth,
· due to neutral holding gains 2.120, 12.77
· due to nominal holding gains 2.117, 2.120, 12.77, 16.38
· due to other changes in the volume of assets 2.114, 12.5, 16.38
· due to real holding gains 2.120, 12.77
· due to saving and capital transfers 2.110, 13.12, 16.19, 16.38
· definition 10.21
changes-in-net-worth-due-to-nominal-holding-gains/losses::
* Mcs.changes-in-net-worth-due-to-nominal-holding-gains/losses@Sna8,
* Mcs.Sna8/changes-in-net-worth-due-to-nominal-holding-gains/losses,
· is defined as the algebraic sum of the positive or negative nominal holding gains on all the assets and liabilities of an institutional unit. see 12.77
changes-in-prices::
* Mcs.changes-in-prices@Sna8,
* Mcs.Sna8/changes-in-prices, 2.146
changes-in-net-worth-due-to-saving-and-capital-transfers::
* Mcs.changes-in-net-worth-due-to-saving-and-capital-transfers@Sna8,
* Mcs.Sna8/changes-in-net-worth-due-to-saving-and-capital-transfers,
· represent the positive or negative amount available to the unit or sector for the acquisition of non-financial and financial assets. see 10.21
changes-in-the-terms-of-trade::
* Mcs.changes-in-the-terms-of-trade@Sna8,
* Mcs.Sna8/changes-in-the-terms-of-trade, 2.146
changes-in-the-values-of-assets-and-liabilities::
* Mcs.changes-in-the-values-of-assets-and-liabilities@Sna8,
* Mcs.Sna8/changes-in-the-values-of-assets-and-liabilities, 12.1
characteristic-products::
* Mcs.characteristic-products@Sna8,
* Mcs.Sna8/characteristic-products, 29.59, 29.62
· health care 29.140
characteristics-ancillary-activities::
* Mcs.characteristics-ancillary-activities@Sna8,
* Mcs.Sna8/characteristics-ancillary-activities, 5.36
· of an institutional unit 1.9
· of production activities 5.5
charitable-contributions::
* Mcs.charitable-contributions@Sna8,
* Mcs.Sna8/charitable-contributions, 3.82
charities::
* Mcs.charities@Sna8,
* Mcs.Sna8/charities, 4.88, 4.169, 8.132
child-care::
* Mcs.child-care@Sna8,
* Mcs.Sna8/child-care, 7.51
children-payments-to::
* Mcs.children-payments-to@Sna8,
* Mcs.Sna8/children-payments-to, 24.60
CIF-(Cost-Insurance-and-Freight)::
* Mcs.CIF-(Cost-Insurance-and-Freight)@Sna8,
* Mcs.Sna8/CIF-(Cost-Insurance-and-Freight), 3.149, 14.70
CIF-to-FOB-adjustment::
* Mcs.CIF-to-FOB-adjustment@Sna8,
* Mcs.Sna8/CIF-to-FOB-adjustment, 14.77
CIF-type-valuation::
* Mcs.CIF-type-valuation@Sna8,
* Mcs.Sna8/CIF-type-valuation, 26.52
CISSTAT-(Interstate-Statistical-Committee-of-the-Commonwealth-of-Independent-States)::
* Mcs.CISSTAT-(Interstate-Statistical-Committee-of-the-Commonwealth-of-Independent-States)@Sna8,
* Mcs.Sna8/CISSTAT-(Interstate-Statistical-Committee-of-the-Commonwealth-of-Independent-States),
civil-engineering-works::
* Mcs.civil-engineering-works@Sna8,
* Mcs.Sna8/civil-engineering-works, 10.77
civil-servants::
* Mcs.civil-servants@Sna8,
* Mcs.Sna8/civil-servants, 19.21
civil-society::
* Mcs.civil-society@Sna8,
* Mcs.Sna8/civil-society, 4.35, 23.11
claim::
* Mcs.claim@Sna8,
* Mcs.Sna8/claim,
· A claim (benefit) is the amount payable to the policy holder by the direct insurer or reinsurer in respect of an event covered by the policy occurring in the period for which the policy is valid. see 6.187, 17.5
claims-on-the-IMF::
* Mcs.claims-on-the-IMF@Sna8,
* Mcs.Sna8/claims-on-the-IMF, 11.59, 11.73
claims-outstanding::
* Mcs.claims-outstanding@Sna8,
* Mcs.Sna8/claims-outstanding, 11.105, 17.16
· cover claims that have not been reported, have been reported but are not yet settled or have been both reported and settled but not yet paid. see 6.187, 17.5
claims-treated-as-capital-transfers-non-life-insurance::
* Mcs.claims-treated-as-capital-transfers-non-life-insurance@Sna8,
* Mcs.Sna8/claims-treated-as-capital-transfers-non-life-insurance, 17.47
claims-insurance::
* Mcs.claims-insurance@Sna8,
* Mcs.Sna8/claims-insurance, 17.1
· definition 6.187, 17.5
· incurred 17.5
· non-life insurance 17.47
· reinsurance 17.64
classification-hierarchy::
* Mcs.classification-hierarchy@Sna8,
* Mcs.Sna8/classification-hierarchy, 3.12
classification-of-expenditure-by-purpose::
* Mcs.classification-of-expenditure-by-purpose@Sna8,
* Mcs.Sna8/classification-of-expenditure-by-purpose, 9.14
classification-of-financial-instruments::
* Mcs.classification-of-financial-instruments@Sna8,
* Mcs.Sna8/classification-of-financial-instruments, 11.29
classification-of-products::
* Mcs.classification-of-products@Sna8,
* Mcs.Sna8/classification-of-products, 5.4
clean-up-costs::
* Mcs.clean-up-costs@Sna8,
* Mcs.Sna8/clean-up-costs, 20.56
closed-economy::
* Mcs.closed-economy@Sna8,
* Mcs.Sna8/closed-economy, 11.21
closing-balance-sheet::
* Mcs.closing-balance-sheet@Sna8,
* Mcs.Sna8/closing-balance-sheet, 13.13
closing-stock::
* Mcs.closing-stock@Sna8,
* Mcs.Sna8/closing-stock, 13.1
COFOG-(Classification-of-the-Functions-of-Government)::
* Mcs.COFOG-(Classification-of-the-Functions-of-Government)@Sna8,
* Mcs.Sna8/COFOG-(Classification-of-the-Functions-of-Government), 9.85, 9.99, 14.96, 22.86, 29.9, 29.15
COICOP-(Classification-of-Individual-Consumption-by-Purpose)::
* Mcs.COICOP-(Classification-of-Individual-Consumption-by-Purpose)@Sna8,
* Mcs.Sna8/COICOP-(Classification-of-Individual-Consumption-by-Purpose), 9.71, 14.94, 24.67, 28.79, 29.9, 29.13
collateral::
* Mcs.collateral@Sna8,
* Mcs.Sna8/collateral, 11.123, 22.132
collateralized-debt-obligations::
* Mcs.collateralized-debt-obligations@Sna8,
* Mcs.Sna8/collateralized-debt-obligations, 11.67
collective-consumption::
* Mcs.collective-consumption@Sna8,
* Mcs.Sna8/collective-consumption, 2.104
collective-consumption-expenditure::
* Mcs.collective-consumption-expenditure@Sna8,
* Mcs.Sna8/collective-consumption-expenditure, 14.97
collective-consumption-service::
* Mcs.collective-consumption-service@Sna8,
* Mcs.Sna8/collective-consumption-service, 9.4
· A collective consumption service is a service provided simultaneously to all members of the community or to all members of a particular section of the community, such as all households living in a particular region. see 9.4
collective-services::
* Mcs.collective-services@Sna8,
* Mcs.Sna8/collective-services, 4.117, 8.33, 8.142, 9.85, 9.96, 22.7, 22.17
· examples 9.97
· NPISHs 9.107
COLI-(Cost-of-living-index)::
* Mcs.COLI-(Cost-of-living-index)@Sna8,
* Mcs.Sna8/COLI-(Cost-of-living-index), 15.23, 15.24
commercial-accounting::
* Mcs.commercial-accounting@Sna8,
* Mcs.Sna8/commercial-accounting, 17.58
commercial-paper::
* Mcs.commercial-paper@Sna8,
* Mcs.Sna8/commercial-paper, 11.64, 11.99
commissions::
* Mcs.commissions@Sna8,
* Mcs.Sna8/commissions, 3.122, 3.141, 7.44, 11.114, 17.33, 20.60
· payable by reinsurers 17.64
commodity-balance::
* Mcs.commodity-balance@Sna8,
* Mcs.Sna8/commodity-balance, 14.2
commodity-futures::
* Mcs.commodity-futures@Sna8,
* Mcs.Sna8/commodity-futures, 11.114
commodity-gold::
* Mcs.commodity-gold@Sna8,
* Mcs.Sna8/commodity-gold, 17.241
· trade margin 17.242
communal-construction::
* Mcs.communal-construction@Sna8,
* Mcs.Sna8/communal-construction, 6.127, 10.212, 19.26, 19.41, 23.43
community-based-or-grass-roots-associations::
* Mcs.community-based-or-grass-roots-associations@Sna8,
* Mcs.Sna8/community-based-or-grass-roots-associations, 23.19
commuting-time::
* Mcs.commuting-time@Sna8,
* Mcs.Sna8/commuting-time, 19.52
company-cars::
* Mcs.company-cars@Sna8,
* Mcs.Sna8/company-cars, 7.51, 8.100
comparability::
* Mcs.comparability@Sna8,
* Mcs.Sna8/comparability, 15.204
comparative-price-level-indices::
* Mcs.comparative-price-level-indices@Sna8,
* Mcs.Sna8/comparative-price-level-indices, 15.225
comparator-cost::
* Mcs.comparator-cost@Sna8,
* Mcs.Sna8/comparator-cost, 29.150
comparisons-inter-spatial::
* Mcs.comparisons-inter-spatial@Sna8,
* Mcs.Sna8/comparisons-inter-spatial, 2.66
compensation-for-damages-or-injury::
* Mcs.compensation-for-damages-or-injury@Sna8,
* Mcs.Sna8/compensation-for-damages-or-injury, 10.212
compensation-for-injury::
* Mcs.compensation-for-injury@Sna8,
* Mcs.Sna8/compensation-for-injury, 8.101, 8.140
compensation-in-kind::
* Mcs.compensation-in-kind@Sna8,
* Mcs.Sna8/compensation-in-kind, 6.103
compensation-index::
* Mcs.compensation-index@Sna8,
* Mcs.Sna8/compensation-index, 19.60
compensation-of-employees::
* Mcs.compensation-of-employees@Sna8,
* Mcs.Sna8/compensation-of-employees, 7.2, 7.5, 7.17, 7.39, 15.174, 16.7, 17.104, 19.20, 26.58
· is defined as the total remuneration, in cash or in kind, payable by an enterprise to an employee in return for work done by the latter during the accounting period. see 7.5
· ESO 17.389
· in volume terms 14.155
· social contributions 17.155
· to or from abroad 8.133
complete-set-of-accounts::
* Mcs.complete-set-of-accounts@Sna8,
* Mcs.Sna8/complete-set-of-accounts, 4.2
· requirement for quasi-corporation 4.44
comprehensiveness-of-SNA::
* Mcs.comprehensiveness-of-SNA@Sna8,
* Mcs.Sna8/comprehensiveness-of-SNA, 1.1
computer-software::
* Mcs.computer-software@Sna8,
* Mcs.Sna8/computer-software,
· consists of computer programs, program descriptions and supporting materials for both systems and applications software. see 10.110
computer-software-and-databases::
* Mcs.computer-software-and-databases@Sna8,
* Mcs.Sna8/computer-software-and-databases, 10.109, 10.110
conceptual-elements::
* Mcs.conceptual-elements@Sna8,
* Mcs.Sna8/conceptual-elements, 2.15
concessional-lending::
* Mcs.concessional-lending@Sna8,
* Mcs.Sna8/concessional-lending, 3.134, 21.59
conferences::
* Mcs.conferences@Sna8,
* Mcs.Sna8/conferences, 29.89
confiscation::
* Mcs.confiscation@Sna8,
* Mcs.Sna8/confiscation, 22.142
conglomerates::
* Mcs.conglomerates@Sna8,
* Mcs.Sna8/conglomerates, 4.51, 4.74
connected-products::
* Mcs.connected-products@Sna8,
* Mcs.Sna8/connected-products, 29.59
consistency::
* Mcs.consistency@Sna8,
* Mcs.Sna8/consistency, 2.14, 2.160
· between different statistical systems 1.58
· classification 3.16
· of SNA 1.1
· of the central framework 2.2
· quadruple accounting 3.16
· timing 3.16
· valuation 3.16
consolidation::
* Mcs.consolidation@Sna8,
* Mcs.Sna8/consolidation, 2.68, 2.162, 3.197, 11.43, 16.40, 21.21, 22.14, 22.79, 22.82
· exceptions 22.83
· insurance 17.57
· only within a single account 22.80
· practical difficulties 22.84
constant-prices-vs-volume-terms::
* Mcs.constant-prices-vs-volume-terms@Sna8,
* Mcs.Sna8/constant-prices-vs-volume-terms, 15.29, 15.98
constant-purchasing-power::
* Mcs.constant-purchasing-power@Sna8,
* Mcs.Sna8/constant-purchasing-power, 2.66, 2.146
construction::
* Mcs.construction@Sna8,
* Mcs.Sna8/construction, 14.27
· in BPM6 26.57
construction-projects-non-resident::
* Mcs.construction-projects-non-resident@Sna8,
* Mcs.Sna8/construction-projects-non-resident, 4.48
constructive-liability::
* Mcs.constructive-liability@Sna8,
* Mcs.Sna8/constructive-liability, 3.34, 3.40
consumer-durables::
* Mcs.consumer-durables@Sna8,
* Mcs.Sna8/consumer-durables, 2.34, 2.167, 3.46, 3.47, 9.42, 9.60, 10.34, 13.93, 14.109, 24.83, 29.12, 29.45, 29.152
· A consumer durable is a good that may be used for purposes of consumption repeatedly or continuously over a period of a year or more. see 9.42
· repair and maintenance 9.69
consumer-price-index::
* Mcs.consumer-price-index@Sna8,
* Mcs.Sna8/consumer-price-index, 12.87, 14.16, 14.145, 24.67
· for different groups of households 24.67
consumer-prices::
* Mcs.consumer-prices@Sna8,
* Mcs.Sna8/consumer-prices, 1.29
consumer-subsidies::
* Mcs.consumer-subsidies@Sna8,
* Mcs.Sna8/consumer-subsidies, 7.99
consumer-utility::
* Mcs.consumer-utility@Sna8,
* Mcs.Sna8/consumer-utility, 15.23
consumers'-associations::
* Mcs.consumers'-associations@Sna8,
* Mcs.Sna8/consumers'-associations, 4.167
consumption::
* Mcs.consumption@Sna8,
* Mcs.Sna8/consumption, 1.6, 3.20, 14.11
· The activity of consumption consists of the use of goods and services for the satisfaction of individual or collective human needs or wants. see 9.39
· enlarged 9.17
consumption-expenditure::
* Mcs.consumption-expenditure@Sna8,
* Mcs.Sna8/consumption-expenditure, 1.76
· collective 14.97
· in kind 24.65
· individual 14.97
· NPISHs 9.105, 14.95
· time of recording 9.72
· valuation 9.74
consumption-good-or-service::
* Mcs.consumption-good-or-service@Sna8,
* Mcs.Sna8/consumption-good-or-service, 9.2
· A consumption good or service is defined as a good or service that is used (without further transformation in production as defined in the SNA) by households, NPISHs or government units for the direct satisfaction of individual needs (or wants) or for the collective needs of members of the community. see 9.2
consumption-of-fixed-capital::
* Mcs.consumption-of-fixed-capital@Sna8,
* Mcs.Sna8/consumption-of-fixed-capital, 1.17, 1.60, 2.24, 2.86, 2.110, 3.75, 6.9, 6.71, 6.73, 6.214, 6.241, 6.247, 6.256, 7.4, 8.21, 8.32, 9.10, 9.60, 10.3, 10.25, 12.94, 13.28, 15.168, 16.51, 18.31, 20.5, 20.28, 20.34, 28.75
· is the decline, during the course of the accounting period, in the current value of the stock of fixed assets owned and used by a producer as a result of physical deterioration, normal obsolescence or normal accidental damage. see 6.240, 10.25
· animals 10.94
· basis of valuation 6.248
· detailed discussion 10.155
· effect of not estimating 10.26
· reduction in asset value 13.23
· relation to capital stock 6.257
· revised estimates 12.50
consumption-of-goods-and-services::
* Mcs.consumption-of-goods-and-services@Sna8,
* Mcs.Sna8/consumption-of-goods-and-services, 9.39
· is the act of completely using up the goods and services in a process of production or for the direct satisfaction of human needs or wants. see 9.39
consumption-of-natural-capital::
* Mcs.consumption-of-natural-capital@Sna8,
* Mcs.Sna8/consumption-of-natural-capital, 20.48, 29.118
consumption-possibilities::
* Mcs.consumption-possibilities@Sna8,
* Mcs.Sna8/consumption-possibilities, 8.33
consumption-subsidies::
* Mcs.consumption-subsidies@Sna8,
* Mcs.Sna8/consumption-subsidies, 29.69
consumption-vs-investment::
* Mcs.consumption-vs-investment@Sna8,
* Mcs.Sna8/consumption-vs-investment, 1.52
contingencies::
* Mcs.contingencies@Sna8,
* Mcs.Sna8/contingencies, 8.65, 11.22, 17.15, 17.87, 17.212
contingent-commitment::
* Mcs.contingent-commitment@Sna8,
* Mcs.Sna8/contingent-commitment, 3.184
contingent-future-benefits::
* Mcs.contingent-future-benefits@Sna8,
* Mcs.Sna8/contingent-future-benefits, 8.34
contingent-liability::
* Mcs.contingent-liability@Sna8,
* Mcs.Sna8/contingent-liability, 2.29, 3.40, 11.23, 21.65, 29.49
contingent-positions::
* Mcs.contingent-positions@Sna8,
* Mcs.Sna8/contingent-positions, 11.24
contract::
* Mcs.contract@Sna8,
* Mcs.Sna8/contract, 17.296
· as an asset 17.299
· transferable 17.370
contract-of-employment::
* Mcs.contract-of-employment@Sna8,
* Mcs.Sna8/contract-of-employment, 19.21
contract-of-sale::
* Mcs.contract-of-sale@Sna8,
* Mcs.Sna8/contract-of-sale, 6.140
· implications for capital formation 6.112
contract-price::
* Mcs.contract-price@Sna8,
* Mcs.Sna8/contract-price, 3.129
contracts-for-sports-players::
* Mcs.contracts-for-sports-players@Sna8,
* Mcs.Sna8/contracts-for-sports-players, 17.368
contracts-leases-and-licences::
* Mcs.contracts-leases-and-licences@Sna8,
* Mcs.Sna8/contracts-leases-and-licences, 3.44, 10.16, 10.186, 12.31, 22.90
· are treated as assets only when both the following conditions are satisfied.
The terms of the contract, lease or licence specify a price for the use of an asset or provision of a service that differs from the price that would prevail in the absence of the contract, lease or licence.
One party to the contract must be able legally and practically to realize this price difference. see 10.16, 10.186
· changes due to the expiration of the advantage given by the asset 12.32
· costs of ownership transfer 10.188
contributing-family-workers::
* Mcs.contributing-family-workers@Sna8,
* Mcs.Sna8/contributing-family-workers, 7.30, 19.26, 19.27
contribution-holiday::
* Mcs.contribution-holiday@Sna8,
* Mcs.Sna8/contribution-holiday, 7.66, 17.153, 17.166
contribution-supplements::
* Mcs.contribution-supplements@Sna8,
* Mcs.Sna8/contribution-supplements, 17.112, 17.123, 17.135, 17.136
contribution-to-growth::
* Mcs.contribution-to-growth@Sna8,
* Mcs.Sna8/contribution-to-growth, 15.63
contributions-to-international-organizations::
* Mcs.contributions-to-international-organizations@Sna8,
* Mcs.Sna8/contributions-to-international-organizations, 8.128
control::
* Mcs.control@Sna8,
* Mcs.Sna8/control,
· by government 4.26, 4.34
· by non-residents 26.85
· from abroad 4.34
· of a corporation by a non-resident unit 4.81
· of an NPI by government 22.26
· public, national private and foreign 2.18
convenience-services::
* Mcs.convenience-services@Sna8,
* Mcs.Sna8/convenience-services, 6.157
convention-on-licences-and-fees::
* Mcs.convention-on-licences-and-fees@Sna8,
* Mcs.Sna8/convention-on-licences-and-fees, 9.70
convertibility::
* Mcs.convertibility@Sna8,
* Mcs.Sna8/convertibility, 27.19
cooperative::
* Mcs.cooperative@Sna8,
* Mcs.Sna8/cooperative, 4.41, 7.129, 21.11, 23.21
coordinating-framework-for-economic-statistics::
* Mcs.coordinating-framework-for-economic-statistics@Sna8,
* Mcs.Sna8/coordinating-framework-for-economic-statistics, 1.57
copies::
* Mcs.copies@Sna8,
* Mcs.Sna8/copies, 6.208
· distributed by the owner free of charge 10.101
· master 10.99
· valuation 6.210
· vs. originals 10.99
COPNI-(Classification-of-the-Purposes-of-Non-profit-Institutions-Serving-Households)::
* Mcs.COPNI-(Classification-of-the-Purposes-of-Non-profit-Institutions-Serving-Households)@Sna8,
* Mcs.Sna8/COPNI-(Classification-of-the-Purposes-of-Non-profit-Institutions-Serving-Households), 9.108, 14.95, 23.30, 29.9, 29.17
COPP-(Classification-of-Outlays-of-Producers-by-Purpose)::
* Mcs.COPP-(Classification-of-Outlays-of-Producers-by-Purpose)@Sna8,
* Mcs.Sna8/COPP-(Classification-of-Outlays-of-Producers-by-Purpose), 14.89, 29.9, 29.19
corporate-migration::
* Mcs.corporate-migration@Sna8,
* Mcs.Sna8/corporate-migration, 26.42
corporate-restructuring::
* Mcs.corporate-restructuring@Sna8,
* Mcs.Sna8/corporate-restructuring, 12.66
corporate-sell-off::
* Mcs.corporate-sell-off@Sna8,
* Mcs.Sna8/corporate-sell-off, 21.23
corporate-spin-off::
* Mcs.corporate-spin-off@Sna8,
* Mcs.Sna8/corporate-spin-off, 21.23
corporation::
* Mcs.corporation@Sna8,
* Mcs.Sna8/corporation,
· The term corporation covers legally constituted corporations and also cooperatives, limited liability partnerships, notional resident units and quasi-corporations. see 4.7
· characteristics of corporation4.38
· corporation control by non-residents 4.33, 4.81
· distributable income of corporations: is equal to entrepreneurial income, plus all current transfers receivable, less all current transfers payable and less the adjustment for the change in pension entitlements relating to the pension scheme of that corporation. see 7.131
· distributed income of corporations 7.25
· managers of corporation 19.24
* specific::
· associate corporation 4.75
· deposit-taking corporation 4.105
· financial corporation see
· foreign controlled corporation 21.29
· groups of corporations 4.51
· insurance corporation: consist of incorporated, mutual and other entities whose principal function is to provide life, accident, sickness, fire or other forms of insurance to individual institutional units or groups of units or reinsurance services to other insurance corporations. see 4.115, 11.103
· legally constituted corporation: is a legal entity, created for the purpose of producing goods or services for the market, that may be a source of profit or other financial gain to its owner(s). It is collectively owned by shareholders who have the authority to appoint directors responsible for its general management. see 4.39
· non-financial corporation see
· other financial corporations see
· parent corporation 4.51, 4.74
· public-corporation see
· quasi-corporation see
· unlisted corporation 21.15
correspondence-between-products-and-producing-units::
* Mcs.correspondence-between-products-and-producing-units@Sna8,
* Mcs.Sna8/correspondence-between-products-and-producing-units, 14.17
cost-benefit-analyses::
* Mcs.cost-benefit-analyses@Sna8,
* Mcs.Sna8/cost-benefit-analyses, 20.68
cost-of-living-indices-(COLIs)::
* Mcs.cost-of-living-indices-(COLIs)@Sna8,
* Mcs.Sna8/cost-of-living-indices-(COLIs), 15.23
costs-of-ownership-transfer::
* Mcs.costs-of-ownership-transfer@Sna8,
* Mcs.Sna8/costs-of-ownership-transfer, 3.122, 10.39, 10.51, 10.158, 13.16, 14.101, 14.104, 15.145, 20.2
· The costs of ownership transfer consist of the following kinds of items (i) All professional charges or commissions incurred by both units acquiring or disposing of an asset such as fees paid to lawyers, architects, surveyors, engineers and valuers, and commissions paid to estate agents and auctioneers. (ii) Any trade and transport costs separately invoiced to the purchaser, (iii) All taxes payable by the unit acquiring the asset on the transfer of ownership of the asset. (iv) Any tax payable on the disposal of an asset. (v) Any delivery and installation or disinstallation costs not included in the price of the asset being acquired or disposed of. (vi) Any terminal costs incurred at the end of an asset's life such as those required to render the structure safe or to restore the environment in which it is situated. see 10.51
· land 10.81
· non-produced assets 10.97
· on acquisition 20.54
· on disposal 20.60
· time of writing off 10.52
· valuables 10.150
· writing off 12.55
costs-of-storage::
* Mcs.costs-of-storage@Sna8,
* Mcs.Sna8/costs-of-storage, 6.149
counterpart-reporting::
* Mcs.counterpart-reporting@Sna8,
* Mcs.Sna8/counterpart-reporting, 26.18
counterparts-of-non-financial-transactions::
* Mcs.counterparts-of-non-financial-transactions@Sna8,
* Mcs.Sna8/counterparts-of-non-financial-transactions, 2.29
country's-relative-spending-power::
* Mcs.country's-relative-spending-power@Sna8,
* Mcs.Sna8/country's-relative-spending-power, 15.198
coupon-payments::
* Mcs.coupon-payments@Sna8,
* Mcs.Sna8/coupon-payments, 11.70
coupons::
* Mcs.coupons@Sna8,
* Mcs.Sna8/coupons, 17.258
coverage::
* Mcs.coverage@Sna8,
* Mcs.Sna8/coverage, 4.38
coverage-by-type-of-unit::
* Mcs.coverage-by-type-of-unit@Sna8,
* Mcs.Sna8/coverage-by-type-of-unit, 4.7
coverage-of-labour-data::
* Mcs.coverage-of-labour-data@Sna8,
* Mcs.Sna8/coverage-of-labour-data, 19.67
CPC-(Central-Product-Classification)::
* Mcs.CPC-(Central-Product-Classification)@Sna8,
* Mcs.Sna8/CPC-(Central-Product-Classification), UN-2008b, 2.37, 5.50, 9.71, 9.85, 9.108, 10.85, 10.86, 29.24
CPD-(Country-Product-Dummy-(method)::
* Mcs.CPD-(Country-Product-Dummy-(method)@Sna8,
* Mcs.Sna8/CPD-(Country-Product-Dummy-(method),) 15.206
CPI-(Consumer-Price-Index)::
* Mcs.CPI-(Consumer-Price-Index)@Sna8,
* Mcs.Sna8/CPI-(Consumer-Price-Index),
· see consumer-price-index
CPL-(Comparative-Price-Level)::
* Mcs.CPL-(Comparative-Price-Level)@Sna8,
* Mcs.Sna8/CPL-(Comparative-Price-Level),
creation::
* Mcs.creation@Sna8,
* Mcs.Sna8/creation, 21.9
· definition 4.7
· economic objectives, functions and behaviour 4.18
· indicators of control 4.80
· ownership 4.68
· sub-sectors 29.29
· subsidiary, definition 4.73
· winding up 21.13
credit-card::
* Mcs.credit-card@Sna8,
* Mcs.Sna8/credit-card, 6.159, 6.161, 17.294
credit-card-loans::
* Mcs.credit-card-loans@Sna8,
* Mcs.Sna8/credit-card-loans, 11.67
credit-derivatives::
* Mcs.credit-derivatives@Sna8,
* Mcs.Sna8/credit-derivatives, 11.123
· are financial derivatives whose primary purpose is to trade credit risk. see 11.123
creditor-approach::
* Mcs.creditor-approach@Sna8,
* Mcs.Sna8/creditor-approach, 17.261
crews::
* Mcs.crews@Sna8,
* Mcs.Sna8/crews, 19.32, 19.33
· residence 26.38
cross-border-personal-transfers::
* Mcs.cross-border-personal-transfers@Sna8,
* Mcs.Sna8/cross-border-personal-transfers, 26.67
cross-country-interest-rate-swap::
* Mcs.cross-country-interest-rate-swap@Sna8,
* Mcs.Sna8/cross-country-interest-rate-swap,
· A cross-currency interest rate swap, sometimes known as a currency swap, involves an exchange of cash flows related to interest payments and an exchange of principal amounts at an agreed exchange rate at the end of the contract. see 11.121
cross-currency-interest-rate-swaps::
* Mcs.cross-currency-interest-rate-swaps@Sna8,
* Mcs.Sna8/cross-currency-interest-rate-swaps, 11.121
cultivated-biological-resources::
* Mcs.cultivated-biological-resources@Sna8,
* Mcs.Sna8/cultivated-biological-resources, 10.88
· cover animal resources yielding repeat products and tree, crop and plant resources yielding repeat products whose natural growth and regeneration is under the direct control, responsibility and management of an institutional unit. see 10.88
currency::
* Mcs.currency@Sna8,
* Mcs.Sna8/currency,
· consists of notes and coins that are of fixed nominal values and are issued or authorized by the central bank or government. see 11.52
currency-and-deposits::
* Mcs.currency-and-deposits@Sna8,
* Mcs.Sna8/currency-and-deposits, 27.31
currency-boards::
* Mcs.currency-boards@Sna8,
* Mcs.Sna8/currency-boards, 22.150
currency-under-pressure::
* Mcs.currency-under-pressure@Sna8,
* Mcs.Sna8/currency-under-pressure, 7.122
currency-union::
* Mcs.currency-union@Sna8,
* Mcs.Sna8/currency-union, 4.176, 26.25
currency-and-deposits::
* Mcs.currency-and-deposits@Sna8,
* Mcs.Sna8/currency-and-deposits,
· definition 11.52
current-accounts::
* Mcs.current-accounts@Sna8,
* Mcs.Sna8/current-accounts, 2.83
current-cost-accounting::
* Mcs.current-cost-accounting@Sna8,
* Mcs.Sna8/current-cost-accounting, 1.65
current-external-balance::
* Mcs.current-external-balance@Sna8,
* Mcs.Sna8/current-external-balance, 16.18, 16.29, 26.6, 26.70
current-international-cooperation::
* Mcs.current-international-cooperation@Sna8,
* Mcs.Sna8/current-international-cooperation, 8.27, 8.128, 26.66
· consists of current transfers in cash or in kind between the governments of different countries or between governments and international organizations. see 8.128
current-transfer::
* Mcs.current-transfer@Sna8,
* Mcs.Sna8/current-transfer, 2.95, 3.60, 8.1, 8.10, 8.39, 15.194, 16.12, 18.65, 26.66
· A current transfer is a transaction in which one institutional unit provides a good, service or asset to another unit without receiving from the latter any good, service or asset directly in return as counterpart and does not oblige one or both parties to acquire, or dispose of, an asset. see 8.10
· between households 8.133
· in respect of central bank activity 6.155
· pensions seen as 9.21
· to NPISHs 8.132
· within general government, definition 8.126
current-transfers-between-households::
* Mcs.current-transfers-between-households@Sna8,
* Mcs.Sna8/current-transfers-between-households,
· consist of all current transfers made, or received, by resident households to or from other resident or non-resident households. see 8.133
current-transfer-in-cash::
* Mcs.current-transfer-in-cash@Sna8,
* Mcs.Sna8/current-transfer-in-cash, 8.42
current-transfer-vs-capital-transfer::
* Mcs.current-transfer-vs-capital-transfer@Sna8,
* Mcs.Sna8/current-transfer-vs-capital-transfer, 10.201
current-transfers-to-NPISHs::
* Mcs.current-transfers-to-NPISHs@Sna8,
* Mcs.Sna8/current-transfers-to-NPISHs,
· consist of transfers received by NPISHs from other resident or non-resident institutional units in the form of membership dues, subscriptions, voluntary donations, etc. whether made on a regular or occasional basis. see 8.132
current-transfers-within-general-government::
* Mcs.current-transfers-within-general-government@Sna8,
* Mcs.Sna8/current-transfers-within-general-government,
· consist of current transfers between different government units. see 8.126
customs-declarations::
* Mcs.customs-declarations@Sna8,
* Mcs.Sna8/customs-declarations, 7.84
customs-tariff-schedules::
* Mcs.customs-tariff-schedules@Sna8,
* Mcs.Sna8/customs-tariff-schedules, 7.93
customs-unions::
* Mcs.customs-unions@Sna8,
* Mcs.Sna8/customs-unions, 26.109
Name::
* Mcs.Index-D@Sna8,
* Mcs.Sna8/Index-D,
dairy-cattle::
* Mcs.dairy-cattle@Sna8,
* Mcs.Sna8/dairy-cattle, 10.92
damage-based-measures::
* Mcs.damage-based-measures@Sna8,
* Mcs.Sna8/damage-based-measures, 29.126
data-extrapolation::
* Mcs.data-extrapolation@Sna8,
* Mcs.Sna8/data-extrapolation, 18.33
data-interpolation::
* Mcs.data-interpolation@Sna8,
* Mcs.Sna8/data-interpolation, 18.41
data-projections::
* Mcs.data-projections@Sna8,
* Mcs.Sna8/data-projections, 18.11, 18.41
data-sources-for-employment-data::
* Mcs.data-sources-for-employment-data@Sna8,
* Mcs.Sna8/data-sources-for-employment-data, 19.76
databases::
* Mcs.databases@Sna8,
* Mcs.Sna8/databases, 10.112
· consist of files of data organized in such a way as to permit resource-effective access and use of the data. see 10.112
· valuation 10.113
DBMS-(Database-management-system)::
* Mcs.DBMS-(Database-management-system)@Sna8,
* Mcs.Sna8/DBMS-(Database-management-system), 10.109, 10.113
death-benefits::
* Mcs.death-benefits@Sna8,
* Mcs.Sna8/death-benefits, 8.39, 8.68
death-duties::
* Mcs.death-duties@Sna8,
* Mcs.Sna8/death-duties, 8.63, 10.207
debentures::
* Mcs.debentures@Sna8,
* Mcs.Sna8/debentures, 11.64
debt::
* Mcs.debt@Sna8,
* Mcs.Sna8/debt, 22.7, 22.78
· arrears 22.121
· assumption 22.117, 22.118, 26.107
· cancellation 10.205
· cancellation, by mutual agreement 10.210
· concessional 22.123
· conversion 26.107
· debt-for-equity swap 22.116
· defeasance 12.42, 22.122
· definition 22.104
· forgiveness 10.205, 12.39, 22.107, 26.107
· instruments 11.112
· instruments definition 26.103
· payments on behalf of others 22.119
· refinancing 22.114, 26.107
· reorganization 26.106
· repudiation 12.41, 26.108
· rescheduling 21.59, 22.111, 26.107
· restructuring 26.106
· write-downs 26.108
· write-offs 22.120, 22.116, 26.108
debt-reorganization-(also-referred-as-debt-restructuring)::
* Mcs.debt-reorganization-(also-referred-as-debt-restructuring)@Sna8,
* Mcs.Sna8/debt-reorganization-(also-referred-as-debt-restructuring),
· is defined as arrangements involving both the creditor and the debtor (and sometimes third parties) that alter the terms established for servicing an existing debt. see 26.106
debt-restructuring::
* Mcs.debt-restructuring@Sna8,
* Mcs.Sna8/debt-restructuring,
· see debt reorganization
debt-securities::
* Mcs.debt-securities@Sna8,
* Mcs.Sna8/debt-securities, 6.170, 17.258, 27.32
· are negotiable instruments serving as evidence of a debt. see 11.64
· holding gains and losses vs. interest 12.107
· long-term 11.71
debtor-approach::
* Mcs.debtor-approach@Sna8,
* Mcs.Sna8/debtor-approach, 17.261
decision-tree::
* Mcs.decision-tree@Sna8,
* Mcs.Sna8/decision-tree, 4.25, 22.37
decision-taking::
* Mcs.decision-taking@Sna8,
* Mcs.Sna8/decision-taking, 1.1
decline-in-value-of-a-mineral-deposit::
* Mcs.decline-in-value-of-a-mineral-deposit@Sna8,
* Mcs.Sna8/decline-in-value-of-a-mineral-deposit, 20.48
decommissioning-costs::
* Mcs.decommissioning-costs@Sna8,
* Mcs.Sna8/decommissioning-costs, 20.56
deductible-VAT::
* Mcs.deductible-VAT@Sna8,
* Mcs.Sna8/deductible-VAT, 6.58, 14.45
· is the VAT payable on purchases of goods or services intended for intermediate consumption, gross fixed capital formation or for resale that a producer is permitted to deduct from his own VAT liability to the government in respect of VAT invoiced to his customers. see 6.58
deep-discounted-bonds::
* Mcs.deep-discounted-bonds@Sna8,
* Mcs.Sna8/deep-discounted-bonds, 12.109
defensive-expenditure::
* Mcs.defensive-expenditure@Sna8,
* Mcs.Sna8/defensive-expenditure, 29.119
defined-benefit-pension-scheme::
* Mcs.defined-benefit-pension-scheme@Sna8,
* Mcs.Sna8/defined-benefit-pension-scheme, 7.59, 7.147, 7.149, 13.78, 17.144
· definition 17.129
· notional fund 17.131
defined-benefit-scheme::
* Mcs.defined-benefit-scheme@Sna8,
* Mcs.Sna8/defined-benefit-scheme,
· A defined benefit scheme is one where the benefits payable to an employee on retirement are determined by the use of a formula, either alone or as a minimum amount payable. see 17.129
defined-contribution-pension-scheme::
* Mcs.defined-contribution-pension-scheme@Sna8,
* Mcs.Sna8/defined-contribution-pension-scheme, 7.59, 7.147, 13.78, 17.176
· definition 17.128
defined-contribution-scheme::
* Mcs.defined-contribution-scheme@Sna8,
* Mcs.Sna8/defined-contribution-scheme,
· A defined contribution scheme is one where the benefits payable to an employee on retirement are defined exclusively in terms of the level of the fund built up from the contributions made over the employee's working life and the increases in value that result from the investment of these funds by the manager of the scheme. see 17.128
definition::
* Mcs.definition@Sna8,
* Mcs.Sna8/definition, 6.89
deflation-of-flows::
* Mcs.deflation-of-flows@Sna8,
* Mcs.Sna8/deflation-of-flows, 15.194
degradation::
* Mcs.degradation@Sna8,
* Mcs.Sna8/degradation,
· of land, water resources and other natural assets 12.30
· of natural resources 2.167
· valuation of 29.120
Delhi-Group::
* Mcs.Delhi-Group@Sna8,
* Mcs.Sna8/Delhi-Group, 25.14, 25.60
deliveries-between-establishments::
* Mcs.deliveries-between-establishments@Sna8,
* Mcs.Sna8/deliveries-between-establishments, 18.48
de-merger::
* Mcs.de-merger@Sna8,
* Mcs.Sna8/de-merger, 21.23
dependants::
* Mcs.dependants@Sna8,
* Mcs.Sna8/dependants,
· support for 8.68
depletion-of-natural-resources::
* Mcs.depletion-of-natural-resources@Sna8,
* Mcs.Sna8/depletion-of-natural-resources, 1.47, 2.167, 10.180, 12.26, 29.118
· forests, fish stocks etc. 12.27
depository-corporations-link-to-broad-money::
* Mcs.depository-corporations-link-to-broad-money@Sna8,
* Mcs.Sna8/depository-corporations-link-to-broad-money, 27.12
· three sub-sectors 27.14
depository-receipts::
* Mcs.depository-receipts@Sna8,
* Mcs.Sna8/depository-receipts, 11.84
deposits-and-loans-holding-gains-and-losses::
* Mcs.deposits-and-loans-holding-gains-and-losses@Sna8,
* Mcs.Sna8/deposits-and-loans-holding-gains-and-losses, 12.106
deposits-lost::
* Mcs.deposits-lost@Sna8,
* Mcs.Sna8/deposits-lost, 17.383
deposit-taking-corporations-except-the-central-bank::
* Mcs.deposit-taking-corporations-except-the-central-bank@Sna8,
* Mcs.Sna8/deposit-taking-corporations-except-the-central-bank,
· have financial intermediation as their principal activity.
To this end, they have liabilities in the form of deposits or financial instruments (such as short-term certificates of deposit) that are close substitutes for deposits. see 4.105
depreciation::
* Mcs.depreciation@Sna8,
* Mcs.Sna8/depreciation, 1.60, 2.142, 6.240, 6.247, 6.249, 20.32
details-for-publication::
* Mcs.details-for-publication@Sna8,
* Mcs.Sna8/details-for-publication, 18.2
deterioration-of-assets::
* Mcs.deterioration-of-assets@Sna8,
* Mcs.Sna8/deterioration-of-assets, 12.94
development-aid::
* Mcs.development-aid@Sna8,
* Mcs.Sna8/development-aid, 29.72
diamonds::
* Mcs.diamonds@Sna8,
* Mcs.Sna8/diamonds, 10.133
differences-in-quality::
* Mcs.differences-in-quality@Sna8,
* Mcs.Sna8/differences-in-quality, 9.77, 12.23
different-kinds-of-goods-or-services::
* Mcs.different-kinds-of-goods-or-services@Sna8,
* Mcs.Sna8/different-kinds-of-goods-or-services, 15.65
diplomatic-personnel::
* Mcs.diplomatic-personnel@Sna8,
* Mcs.Sna8/diplomatic-personnel, 19.11
diplomats-military-personnel-etc-residence::
* Mcs.diplomats-military-personnel-etc-residence@Sna8,
* Mcs.Sna8/diplomats-military-personnel-etc-residence, 26.38
direct-effect-of-a-change-in-demand::
* Mcs.direct-effect-of-a-change-in-demand@Sna8,
* Mcs.Sna8/direct-effect-of-a-change-in-demand, 28.39
direct-hours::
* Mcs.direct-hours@Sna8,
* Mcs.Sna8/direct-hours, 19.51
direct-insurance::
* Mcs.direct-insurance@Sna8,
* Mcs.Sna8/direct-insurance, 6.180, 8.115, 17.2, 26.69
direct-insurer::
* Mcs.direct-insurer@Sna8,
* Mcs.Sna8/direct-insurer, 8.122, 17.57
direct-investment::
* Mcs.direct-investment@Sna8,
* Mcs.Sna8/direct-investment, 21.41, 21.42, 26.87
· is a category of cross-border investment associated with a resident in one economy having control or a significant degree of influence on the management of an enterprise that is resident in another economy. see 26.84
direct-investment-enterprise::
* Mcs.direct-investment-enterprise@Sna8,
* Mcs.Sna8/direct-investment-enterprise, 21.34, 26.61
direct-investment-inward::
* Mcs.direct-investment-inward@Sna8,
* Mcs.Sna8/direct-investment-inward, 26.89
direct-investment-outward::
* Mcs.direct-investment-outward@Sna8,
* Mcs.Sna8/direct-investment-outward, 26.89
direct-investor::
* Mcs.direct-investor@Sna8,
* Mcs.Sna8/direct-investor, 21.34, 26.81
direct-subsidies::
* Mcs.direct-subsidies@Sna8,
* Mcs.Sna8/direct-subsidies, 7.103
disabled-workers::
* Mcs.disabled-workers@Sna8,
* Mcs.Sna8/disabled-workers, 19.21
disaggregation-into-sectors-and-sub-sectors::
* Mcs.disaggregation-into-sectors-and-sub-sectors@Sna8,
* Mcs.Sna8/disaggregation-into-sectors-and-sub-sectors, 1.10
disaggregation-of-households::
* Mcs.disaggregation-of-households@Sna8,
* Mcs.Sna8/disaggregation-of-households, 28.82
disassembly::
* Mcs.disassembly@Sna8,
* Mcs.Sna8/disassembly, 20.60
disasters::
* Mcs.disasters@Sna8,
* Mcs.Sna8/disasters,
· see natural disasters
discontinuities::
* Mcs.discontinuities@Sna8,
* Mcs.Sna8/discontinuities, 18.11
discount-factor::
* Mcs.discount-factor@Sna8,
* Mcs.Sna8/discount-factor, 17.69, 20.27, 24.79
discount-rate::
* Mcs.discount-rate@Sna8,
* Mcs.Sna8/discount-rate, 20.27
discounted-bonds::
* Mcs.discounted-bonds@Sna8,
* Mcs.Sna8/discounted-bonds, 17.258
discounted-present-value::
* Mcs.discounted-present-value@Sna8,
* Mcs.Sna8/discounted-present-value, 3.137
discounting::
* Mcs.discounting@Sna8,
* Mcs.Sna8/discounting, 6.246
discovery-of-new-exploitable-deposits::
* Mcs.discovery-of-new-exploitable-deposits@Sna8,
* Mcs.Sna8/discovery-of-new-exploitable-deposits, 12.18
discrepancies::
* Mcs.discrepancies@Sna8,
* Mcs.Sna8/discrepancies, 18.2, 18.15
· net lending or borrowing 18.20
discretionary-income::
* Mcs.discretionary-income@Sna8,
* Mcs.Sna8/discretionary-income, 2.161
disposable-income::
* Mcs.disposable-income@Sna8,
* Mcs.Sna8/disposable-income, 2.97, 8.2, 8.10, 8.20, 9.7, 16.14
· is the balancing item in the secondary distribution of income account.
It is derived from the balance of primary incomes of an institutional unit or sector by adding all current transfers, except social transfers in kind, receivable by that unit or sector and subtracting all current transfers, except social transfers in kind, payable by that unit or sector. see 8.20
distinction-between-goods-and-services::
* Mcs.distinction-between-goods-and-services@Sna8,
* Mcs.Sna8/distinction-between-goods-and-services, 26.51
distributed-profits::
* Mcs.distributed-profits@Sna8,
* Mcs.Sna8/distributed-profits, 7.127
distribution-and-redistribution-of-income::
* Mcs.distribution-and-redistribution-of-income@Sna8,
* Mcs.Sna8/distribution-and-redistribution-of-income, 2.90
distribution-margins::
* Mcs.distribution-margins@Sna8,
* Mcs.Sna8/distribution-margins, 14.47
distribution-of-expenditure::
* Mcs.distribution-of-expenditure@Sna8,
* Mcs.Sna8/distribution-of-expenditure, 14.16
distribution-of-income::
* Mcs.distribution-of-income@Sna8,
* Mcs.Sna8/distribution-of-income, 1.14
· tertiary 2.99
distribution-of-wealth::
* Mcs.distribution-of-wealth@Sna8,
* Mcs.Sna8/distribution-of-wealth, 24.77
distributive-transactions::
* Mcs.distributive-transactions@Sna8,
* Mcs.Sna8/distributive-transactions, 2.28
divestment::
* Mcs.divestment@Sna8,
* Mcs.Sna8/divestment, 21.23
dividends::
* Mcs.dividends@Sna8,
* Mcs.Sna8/dividends, 7.23, 7.128, 7.151, 11.90, 22.136
· are a form of investment income to which shareholders become entitled as a result of placing funds at the disposal of corporations. see 7.128
· from central bank 22.152
dividends-vs-withdrawal-of-equity::
* Mcs.dividends-vs-withdrawal-of-equity@Sna8,
* Mcs.Sna8/dividends-vs-withdrawal-of-equity, 17.284
division-of-labour::
* Mcs.division-of-labour@Sna8,
* Mcs.Sna8/division-of-labour, 6.10, 6.22
do-it-yourself-activities::
* Mcs.do-it-yourself-activities@Sna8,
* Mcs.Sna8/do-it-yourself-activities, 1.45, 9.66
do-it-yourself-repairs-and-maintenance::
* Mcs.do-it-yourself-repairs-and-maintenance@Sna8,
* Mcs.Sna8/do-it-yourself-repairs-and-maintenance, 6.36
domestic-and-personal-services::
* Mcs.domestic-and-personal-services@Sna8,
* Mcs.Sna8/domestic-and-personal-services, 1.39
domestic-currency-holding-gains-and-losses::
* Mcs.domestic-currency-holding-gains-and-losses@Sna8,
* Mcs.Sna8/domestic-currency-holding-gains-and-losses, 12.105
domestic-final-expenditures::
* Mcs.domestic-final-expenditures@Sna8,
* Mcs.Sna8/domestic-final-expenditures, 15.185
domestic-services::
* Mcs.domestic-services@Sna8,
* Mcs.Sna8/domestic-services, 2.167
domestic-staff::
* Mcs.domestic-staff@Sna8,
* Mcs.Sna8/domestic-staff, 4.151, 6.26, 6.35, 6.116, 9.54, 24.14, 25.46, 25.64, 25.72
domestic-tourism::
* Mcs.domestic-tourism@Sna8,
* Mcs.Sna8/domestic-tourism, 29.92
donations::
* Mcs.donations@Sna8,
* Mcs.Sna8/donations, 23.33
double-deflation::
* Mcs.double-deflation@Sna8,
* Mcs.Sna8/double-deflation, 14.154, 15.2, 15.133
double-entry-book-keeping::
* Mcs.double-entry-book-keeping@Sna8,
* Mcs.Sna8/double-entry-book-keeping, 1.63, 3.112
down-time::
* Mcs.down-time@Sna8,
* Mcs.Sna8/down-time, 19.51
drought::
* Mcs.drought@Sna8,
* Mcs.Sna8/drought, 12.46
due-for-payment-recording::
* Mcs.due-for-payment-recording@Sna8,
* Mcs.Sna8/due-for-payment-recording, 3.165
durable-goods::
* Mcs.durable-goods@Sna8,
* Mcs.Sna8/durable-goods, 9.42
· A durable good is one that may be used repeatedly or continuously over a period of more than a year, assuming a normal or average rate of physical usage.
A consumer durable is a good that may be used for purposes of consumption repeatedly or continuously over a period of a year or more. see 9.42
· split between capital formation and consumption 10.41
durable-military-goods::
* Mcs.durable-military-goods@Sna8,
* Mcs.Sna8/durable-military-goods, 6.232
durable-vs-non-durable-goods::
* Mcs.durable-vs-non-durable-goods@Sna8,
* Mcs.Sna8/durable-vs-non-durable-goods, 9.42
duties::
* Mcs.duties@Sna8,
* Mcs.Sna8/duties,
· excise 7.83, 7.94, 7.96, 8.57
· export 7.95
· import 7.93
dwellings::
* Mcs.dwellings@Sna8,
* Mcs.Sna8/dwellings, 2.3, 9.57, 15.145
· are buildings, or designated parts of buildings, that are used entirely or primarily as residences, including any associated structures, such as garages, and all permanent fixtures customarily installed in residences. see 10.68
· maintenance 24.51
· owner-occupied services 6.34
· rented by their owners 9.57
Name::
* Mcs.Index-E@Sna8,
* Mcs.Sna8/Index-E,
earnings-reinvestment-of::
* Mcs.earnings-reinvestment-of@Sna8,
* Mcs.Sna8/earnings-reinvestment-of, 11.92
earnings-retained::
* Mcs.earnings-retained@Sna8,
* Mcs.Sna8/earnings-retained, 13.90
earthquakes::
* Mcs.earthquakes@Sna8,
* Mcs.Sna8/earthquakes, 12.46
econometric-methods::
* Mcs.econometric-methods@Sna8,
* Mcs.Sna8/econometric-methods, 1.30
economic-analysis::
* Mcs.economic-analysis@Sna8,
* Mcs.Sna8/economic-analysis, 1.1, 27.37
economic-appearance::
* Mcs.economic-appearance@Sna8,
* Mcs.Sna8/economic-appearance, 12.8, 12.15
· natural resources 12.18
· valuables 12.16
economic-benefit::
* Mcs.economic-benefit@Sna8,
* Mcs.Sna8/economic-benefit, 2.34, 3.19
economic-flows::
* Mcs.economic-flows@Sna8,
* Mcs.Sna8/economic-flows, 2.23, 3.6
· reflect the creation, transformation, exchange, transfer or extinction of economic value.
They involve changes in the volume, composition, or value of an institutional unit's assets and liabilities. see 3.6
economic-functions::
* Mcs.economic-functions@Sna8,
* Mcs.Sna8/economic-functions, 2.21
economic-growth::
* Mcs.economic-growth@Sna8,
* Mcs.Sna8/economic-growth, 1.26
economic-objectives::
* Mcs.economic-objectives@Sna8,
* Mcs.Sna8/economic-objectives,
· functions and behaviour of corporations 4.18
· functions and behaviour of government units 4.20
· functions and behaviour of households 4.21
· functions and behaviour of NPIs 4.22
economic-or-currency-unions::
* Mcs.economic-or-currency-unions@Sna8,
* Mcs.Sna8/economic-or-currency-unions, 26.44
economic-owner::
* Mcs.economic-owner@Sna8,
* Mcs.Sna8/economic-owner, 2.47, 3.21, 10.5, 11.76, 13.3, 17.300, 20.38
· The economic owner of entities such as goods and services, natural resources, financial assets and liabilities is the institutional unit entitled to claim the benefits associated with the use of the entity in question in the course of an economic activity by virtue of accepting the associated risks. see 3.26, 10.5
· change of 3.169
economic-policy::
* Mcs.economic-policy@Sna8,
* Mcs.Sna8/economic-policy, 1.31
economic-principles::
* Mcs.economic-principles@Sna8,
* Mcs.Sna8/economic-principles, 1.1
economic-production::
* Mcs.economic-production@Sna8,
* Mcs.Sna8/economic-production, 6.24
economic-rent::
* Mcs.economic-rent@Sna8,
* Mcs.Sna8/economic-rent, 20.45
economic-territory::
* Mcs.economic-territory@Sna8,
* Mcs.Sna8/economic-territory, 4.10, 4.11, 4.12, 26.26
economic-theoretical-concept-of-income::
* Mcs.economic-theoretical-concept-of-income@Sna8,
* Mcs.Sna8/economic-theoretical-concept-of-income, 16.14
economic-theory::
* Mcs.economic-theory@Sna8,
* Mcs.Sna8/economic-theory, 1.64
economic-unions::
* Mcs.economic-unions@Sna8,
* Mcs.Sna8/economic-unions, 4.176, 26.25, 26.109
economic-value::
* Mcs.economic-value@Sna8,
* Mcs.Sna8/economic-value, 2.21, 3.1
economically-active-population::
* Mcs.economically-active-population@Sna8,
* Mcs.Sna8/economically-active-population, 6.31, 19.5, 19.29
economically-significant-prices::
* Mcs.economically-significant-prices@Sna8,
* Mcs.Sna8/economically-significant-prices, 2.40, 4.18, 22.28, 23.4
· are prices that have a significant effect on the amounts that producers are willing to supply and on the amounts purchasers wish to buy.
These prices normally result when (a) the producer has an incentive to adjust supply either with the goal of making a profit in the long run or, at a minimum, covering capital and other costs and (b) consumers have the freedom to purchase or not purchase and make the choice on the basis of the prices charged. see 6.95, 22.28
ecosystem-inputs::
* Mcs.ecosystem-inputs@Sna8,
* Mcs.Sna8/ecosystem-inputs, 29.106
ED-(Exposure-Draft)::
* Mcs.ED-(Exposure-Draft)@Sna8,
* Mcs.Sna8/ED-(Exposure-Draft), A4.10
EDG-(Electronic-Discussion-Group)::
* Mcs.EDG-(Electronic-Discussion-Group)@Sna8,
* Mcs.Sna8/EDG-(Electronic-Discussion-Group), A4.31
education::
* Mcs.education@Sna8,
* Mcs.Sna8/education, 19.52, 29.50
education-benefits::
* Mcs.education-benefits@Sna8,
* Mcs.Sna8/education-benefits, 8.68
education-services::
* Mcs.education-services@Sna8,
* Mcs.Sna8/education-services, 4.119, 22.20
EEZ-(Exclusive-Economic-Zone)::
* Mcs.EEZ-(Exclusive-Economic-Zone)@Sna8,
* Mcs.Sna8/EEZ-(Exclusive-Economic-Zone), 10.183
effects-of-depletion-and-degradation::
* Mcs.effects-of-depletion-and-degradation@Sna8,
* Mcs.Sna8/effects-of-depletion-and-degradation, 29.105
efficiency::
* Mcs.efficiency@Sna8,
* Mcs.Sna8/efficiency, 6.254, 6.256
· losses 15.169
· of an asset 20.2
· of economic production 19.4
· of fixed assets 6.249
· profiles 6.255
EKS-method-(Eltetö-Köves-Szulc-method)::
* Mcs.EKS-method-(Eltetö-Köves-Szulc-method)@Sna8,
* Mcs.Sna8/EKS-method-(Eltetö-Köves-Szulc-method), 15.206, 15.218
· advantages 15.220
eligibility-for-loans::
* Mcs.eligibility-for-loans@Sna8,
* Mcs.Sna8/eligibility-for-loans, 1.34
embassies::
* Mcs.embassies@Sna8,
* Mcs.Sna8/embassies, 4.11, 4.49
emergence-of-markets::
* Mcs.emergence-of-markets@Sna8,
* Mcs.Sna8/emergence-of-markets, 6.22
emission-permits::
* Mcs.emission-permits@Sna8,
* Mcs.Sna8/emission-permits, 17.363
employed-persons::
* Mcs.employed-persons@Sna8,
* Mcs.Sna8/employed-persons, 7.29
employee::
* Mcs.employee@Sna8,
* Mcs.Sna8/employee,
· are persons who, by agreement, work for a resident institutional unit and receive remuneration for their labour. see 19.20
· of foreign government agencies 19.33
· temporarily not at work 19.23
· vs. self-employed person 7.28
employee-stock-option::
* Mcs.employee-stock-option@Sna8,
* Mcs.Sna8/employee-stock-option,
· see ESO
employees-number-of::
* Mcs.employees-number-of@Sna8,
* Mcs.Sna8/employees-number-of, 14.121
employer's-contribution::
* Mcs.employer's-contribution@Sna8,
* Mcs.Sna8/employer's-contribution, 17.133, 17.149
employment::
* Mcs.employment@Sna8,
* Mcs.Sna8/employment, 6.31
· is defined as all persons, both employees and self-employed persons, engaged in some productive activity that falls within the production boundary of the SNA. see 19.19
employment-agencies::
* Mcs.employment-agencies@Sna8,
* Mcs.Sna8/employment-agencies, 19.21
employment-by-industry::
* Mcs.employment-by-industry@Sna8,
* Mcs.Sna8/employment-by-industry, 14.160
employment-in-informal-enterprises::
* Mcs.employment-in-informal-enterprises@Sna8,
* Mcs.Sna8/employment-in-informal-enterprises, 25.59
employment-relationship::
* Mcs.employment-relationship@Sna8,
* Mcs.Sna8/employment-relationship, 8.76
encumbered-lease::
* Mcs.encumbered-lease@Sna8,
* Mcs.Sna8/encumbered-lease, 17.371
endowment-policy::
* Mcs.endowment-policy@Sna8,
* Mcs.Sna8/endowment-policy, 17.6
enlarged-consumption::
* Mcs.enlarged-consumption@Sna8,
* Mcs.Sna8/enlarged-consumption, 9.17
enterprise::
* Mcs.enterprise@Sna8,
* Mcs.Sna8/enterprise,
· An enterprise is the view of an institutional unit as a producer of goods and services. see 5.1
· change of economy of residence 26.42
· horizontally integrated 5.21
· informal vs. SNA usage 25.48
· little physical presence 26.41
· vertically integrated 5.23
enterprises-of-informal-employers::
* Mcs.enterprises-of-informal-employers@Sna8,
* Mcs.Sna8/enterprises-of-informal-employers, 25.44
entertainment-literary-and-artistic-originals::
* Mcs.entertainment-literary-and-artistic-originals@Sna8,
* Mcs.Sna8/entertainment-literary-and-artistic-originals, 10.115
· consist of the original films, sound recordings, manuscripts, tapes, models, etc., on which drama performances, radio and television programming, musical performances, sporting events, literary and artistic output, etc., are recorded or embodied. see 10.115
entitlement-to-future-goods-and-services-on-an-exclusive-basis,::
* Mcs.entitlement-to-future-goods-and-services-on-an-exclusive-basis@Sna8,
* Mcs.Sna8/entitlement-to-future-goods-and-services-on-an-exclusive-basis,,
· relates to the case where one party which has contracted to purchase goods or services at a fixed price at a time in the future is able to transfer the obligation of the second party to the contract to a third party. see 10.195
entrepreneurial-income::
* Mcs.entrepreneurial-income@Sna8,
* Mcs.Sna8/entrepreneurial-income, 1.68, 2.94, 7.22
entrepreneurial-income-account::
* Mcs.entrepreneurial-income-account@Sna8,
* Mcs.Sna8/entrepreneurial-income-account, 7.13, 7.22
environment-industry::
* Mcs.environment-industry@Sna8,
* Mcs.Sna8/environment-industry, 29.115
environmental-accounting::
* Mcs.environmental-accounting@Sna8,
* Mcs.Sna8/environmental-accounting, 2.167, 13.9
environmental-accounts::
* Mcs.environmental-accounts@Sna8,
* Mcs.Sna8/environmental-accounts, 29.102
environmental-protection::
* Mcs.environmental-protection@Sna8,
* Mcs.Sna8/environmental-protection, 29.110
environmental-protection-accounts::
* Mcs.environmental-protection-accounts@Sna8,
* Mcs.Sna8/environmental-protection-accounts, 29.114
environmental-protection-activities::
* Mcs.environmental-protection-activities@Sna8,
* Mcs.Sna8/environmental-protection-activities, 29.37
environmental-protection-expenditure::
* Mcs.environmental-protection-expenditure@Sna8,
* Mcs.Sna8/environmental-protection-expenditure, 29.12, 29.85
environmental-resources::
* Mcs.environmental-resources@Sna8,
* Mcs.Sna8/environmental-resources,
exclusions-from-the-SNA-asset-boundary::
* Mcs.exclusions-from-the-SNA-asset-boundary@Sna8,
* Mcs.Sna8/exclusions-from-the-SNA-asset-boundary, 3.49
equalization-provision::
* Mcs.equalization-provision@Sna8,
* Mcs.Sna8/equalization-provision, 6.189, 6.190, 17.23
equipment-integral-to-buildings::
* Mcs.equipment-integral-to-buildings@Sna8,
* Mcs.Sna8/equipment-integral-to-buildings, 10.82
equipment-prices::
* Mcs.equipment-prices@Sna8,
* Mcs.Sna8/equipment-prices, 15.147
equity::
* Mcs.equity@Sna8,
* Mcs.Sna8/equity, 12.114, 27.33
· comprises all instruments and records acknowledging claims on the residual value of a corporation or quasi-corporation after the claims of all creditors have been met. see 11.83
equity-capital::
* Mcs.equity-capital@Sna8,
* Mcs.Sna8/equity-capital, 7.128, 22.135
equity-carve-out::
* Mcs.equity-carve-out@Sna8,
* Mcs.Sna8/equity-carve-out, 21.23
equity-investment::
* Mcs.equity-investment@Sna8,
* Mcs.Sna8/equity-investment, 22.135
· return 22.136
errors-and-omissions::
* Mcs.errors-and-omissions@Sna8,
* Mcs.Sna8/errors-and-omissions, 22.77
ESO-(Employee-Stock-Option)::
* Mcs.ESO-(Employee-Stock-Option)@Sna8,
* Mcs.Sna8/ESO-(Employee-Stock-Option), 7.55, 17.384, 17.396
· An employee stock option is an agreement made on a given date (the grant date) under which an employee may purchase a given number of shares of the employer's stock at a stated price (the strike price) either at a stated time (the vesting date) or within a period of time (the exercise period) immediately following the vesting date. see 11.125
· cost of administering 17.390
· other volume changes 12.43
· recording of exercise 17.394
establishment::
* Mcs.establishment@Sna8,
* Mcs.Sna8/establishment, 2.38, 3.13, 7.3, 14.17, 28.44
· An establishment is an enterprise, or part of an enterprise, that is situated in a single location and in which only a single productive activity is carried out or in which the principal productive activity accounts for most of the value added. see 5.2, 5.14
extent-of-accounting-for::
* Mcs.extent-of-accounting-for@Sna8,
* Mcs.Sna8/extent-of-accounting-for, 5.18
establishment-data::
* Mcs.establishment-data@Sna8,
* Mcs.Sna8/establishment-data, 14.3
establishment-survey::
* Mcs.establishment-survey@Sna8,
* Mcs.Sna8/establishment-survey, 25.85
exceptional-events::
* Mcs.exceptional-events@Sna8,
* Mcs.Sna8/exceptional-events, 2.114, 12.9
exceptional-financing::
* Mcs.exceptional-financing@Sna8,
* Mcs.Sna8/exceptional-financing, 26.100
exceptional-losses::
* Mcs.exceptional-losses@Sna8,
* Mcs.Sna8/exceptional-losses,
· animals 10.94
· due to climatic extremes 10.96
· inventories 12.58
exceptional-payments-from-central-bank::
* Mcs.exceptional-payments-from-central-bank@Sna8,
* Mcs.Sna8/exceptional-payments-from-central-bank, 22.152
excess-of-loss-reinsurance::
* Mcs.excess-of-loss-reinsurance@Sna8,
* Mcs.Sna8/excess-of-loss-reinsurance, 17.11, 17.22
exchange-rates::
* Mcs.exchange-rates@Sna8,
* Mcs.Sna8/exchange-rates, 26.110
· conversion of GDP 15.198
exchange-value::
* Mcs.exchange-value@Sna8,
* Mcs.Sna8/exchange-value, 3.121
excise-duties::
* Mcs.excise-duties@Sna8,
* Mcs.Sna8/excise-duties, 7.83, 7.94, 7.96, 8.57
excursionists::
* Mcs.excursionists@Sna8,
* Mcs.Sna8/excursionists,
· definition 29.92
exercise-date::
* Mcs.exercise-date@Sna8,
* Mcs.Sna8/exercise-date, 17.385
exercise-period-ESO::
* Mcs.exercise-period-ESO@Sna8,
* Mcs.Sna8/exercise-period-ESO, 11.125
exercise-price::
* Mcs.exercise-price@Sna8,
* Mcs.Sna8/exercise-price, 17.385
exhaustiveness::
* Mcs.exhaustiveness@Sna8,
* Mcs.Sna8/exhaustiveness, 19.35, 25.2, 25.28
existing-assets::
* Mcs.existing-assets@Sna8,
* Mcs.Sna8/existing-assets, 14.107
existing-fixed-assets::
* Mcs.existing-fixed-assets@Sna8,
* Mcs.Sna8/existing-fixed-assets, 10.36, 10.38
· An existing fixed asset is one whose value was included in the stock of fixed capital of at least one producer unit in the domestic economy at some earlier point in time either in the current period or in the immediately previous accounting period. see 10.38
existing-good::
* Mcs.existing-good@Sna8,
* Mcs.Sna8/existing-good, 9.49, 14.102
· sales 10.39
expected-claim::
* Mcs.expected-claim@Sna8,
* Mcs.Sna8/expected-claim,
· see adjusted claim
expenditure-by-government-on-market-goods-and-services::
* Mcs.expenditure-by-government-on-market-goods-and-services@Sna8,
* Mcs.Sna8/expenditure-by-government-on-market-goods-and-services, 9.89
expenditure-by-tourists::
* Mcs.expenditure-by-tourists@Sna8,
* Mcs.Sna8/expenditure-by-tourists, 24.66
expenditure-measure-of-GDP::
* Mcs.expenditure-measure-of-GDP@Sna8,
* Mcs.Sna8/expenditure-measure-of-GDP, 16.41, 18.60
· The expenditure measure of gross domestic product (GDP) is derived as the sum of expenditure on final consumption plus gross capital formation plus exports less imports. see 16.47
expenditure-on-financial-services::
* Mcs.expenditure-on-financial-services@Sna8,
* Mcs.Sna8/expenditure-on-financial-services, 9.61
expenditure-on-goods-and-services::
* Mcs.expenditure-on-goods-and-services@Sna8,
* Mcs.Sna8/expenditure-on-goods-and-services, 9.32
· are defined as the values of the amounts that buyers pay, or agree to pay, to sellers in exchange for goods or services that sellers provide to them or to other institutional units designated by the buyers. see 9.32
· time of recording 9.33
expenditure-vs-acquisition::
* Mcs.expenditure-vs-acquisition@Sna8,
* Mcs.Sna8/expenditure-vs-acquisition, 9.31
expenditure-in-volume-terms::
* Mcs.expenditure-in-volume-terms@Sna8,
* Mcs.Sna8/expenditure-in-volume-terms, 18.25
expense-GFS::
* Mcs.expense-GFS@Sna8,
* Mcs.Sna8/expense-GFS, 22.70
experimentation::
* Mcs.experimentation@Sna8,
* Mcs.Sna8/experimentation, 29.8
explicit-fees-financial-services::
* Mcs.explicit-fees-financial-services@Sna8,
* Mcs.Sna8/explicit-fees-financial-services, 17.234, 17.239, 17.256
export-duties::
* Mcs.export-duties@Sna8,
* Mcs.Sna8/export-duties, 7.95
export-prices-differences-from-PPIs::
* Mcs.export-prices-differences-from-PPIs@Sna8,
* Mcs.Sna8/export-prices-differences-from-PPIs, 14.146
export-subsidies::
* Mcs.export-subsidies@Sna8,
* Mcs.Sna8/export-subsidies, 7.103
· consist of all subsidies on goods and services that become payable by government when the goods leave the economic territory or when the services are delivered to non-resident units. see 7.103
exports::
* Mcs.exports@Sna8,
* Mcs.Sna8/exports, 1.50, 3.149, 14.114, 16.5, 26.3
exports-and-imports::
* Mcs.exports-and-imports@Sna8,
* Mcs.Sna8/exports-and-imports, 15.160
exposure-draft-(ED)::
* Mcs.exposure-draft-(ED)@Sna8,
* Mcs.Sna8/exposure-draft-(ED), 21.62
external-account::
* Mcs.external-account@Sna8,
* Mcs.Sna8/external-account, 1.2
external-balance-on-goods-and-services::
* Mcs.external-balance-on-goods-and-services@Sna8,
* Mcs.Sna8/external-balance-on-goods-and-services, 26.6
external-balance-on-primary-income::
* Mcs.external-balance-on-primary-income@Sna8,
* Mcs.Sna8/external-balance-on-primary-income, 26.70
External-Debt-Guide::
* Mcs.External-Debt-Guide@Sna8,
* Mcs.Sna8/External-Debt-Guide, 26.104
external-satellite::
* Mcs.external-satellite@Sna8,
* Mcs.Sna8/external-satellite, 29.85
external-transactions-of-the-economy::
* Mcs.external-transactions-of-the-economy@Sna8,
* Mcs.Sna8/external-transactions-of-the-economy, 2.20
externalities::
* Mcs.externalities@Sna8,
* Mcs.Sna8/externalities, 1.82, 3.92, 3.103, 6.47, 10.102, 29.42
extra-budgetary-units::
* Mcs.extra-budgetary-units@Sna8,
* Mcs.Sna8/extra-budgetary-units, 22.20
extraction::
* Mcs.extraction@Sna8,
* Mcs.Sna8/extraction, 7.160
extraction-of-mineral-resources::
* Mcs.extraction-of-mineral-resources@Sna8,
* Mcs.Sna8/extraction-of-mineral-resources, 17.342
extraction-of-water::
* Mcs.extraction-of-water@Sna8,
* Mcs.Sna8/extraction-of-water, 17.339
extrapolated-GDP-series-vs-PPP-benchmark::
* Mcs.extrapolated-GDP-series-vs-PPP-benchmark@Sna8,
* Mcs.Sna8/extrapolated-GDP-series-vs-PPP-benchmark, 15.235
extrapolation-chained-indices::
* Mcs.extrapolation-chained-indices@Sna8,
* Mcs.Sna8/extrapolation-chained-indices, 15.55
· PPPs 15.231
extraterritorial-enclaves::
* Mcs.extraterritorial-enclaves@Sna8,
* Mcs.Sna8/extraterritorial-enclaves, 4.49
Name::
* Mcs.Index-F@Sna8,
* Mcs.Sna8/Index-F,
face-value::
* Mcs.face-value@Sna8,
* Mcs.Sna8/face-value, 3.157
facilitation-services::
* Mcs.facilitation-services@Sna8,
* Mcs.Sna8/facilitation-services, 3.69
factor-reversal-test::
* Mcs.factor-reversal-test@Sna8,
* Mcs.Sna8/factor-reversal-test, 15.31
fair-value::
* Mcs.fair-value@Sna8,
* Mcs.Sna8/fair-value, 3.157, 21.58
family-members-as-employees::
* Mcs.family-members-as-employees@Sna8,
* Mcs.Sna8/family-members-as-employees, 19.40
farm-gate-price::
* Mcs.farm-gate-price@Sna8,
* Mcs.Sna8/farm-gate-price, 3.124, 6.124, 24.48
FATS-(Foreign-AffiliaTe-Statistics)::
* Mcs.FATS-(Foreign-AffiliaTe-Statistics)@Sna8,
* Mcs.Sna8/FATS-(Foreign-AffiliaTe-Statistics), 21.48, Ref-Eurostat-(2007)
FDI-(Foreign-Direct-Investment)::
* Mcs.FDI-(Foreign-Direct-Investment)@Sna8,
* Mcs.Sna8/FDI-(Foreign-Direct-Investment), 21.32
FDI-immediate-direct-investor::
* Mcs.FDI-immediate-direct-investor@Sna8,
* Mcs.Sna8/FDI-immediate-direct-investor, 21.46
· ultimate investing country 21.45, 21.46
· ultimate investor 21.44
FDIR-(Framework-for-Direct-Investment-Relationships)::
* Mcs.FDIR-(Framework-for-Direct-Investment-Relationships)@Sna8,
* Mcs.Sna8/FDIR-(Framework-for-Direct-Investment-Relationships), 21.37
fee-supplement-standardized-guarantee-schemes::
* Mcs.fee-supplement-standardized-guarantee-schemes@Sna8,
* Mcs.Sna8/fee-supplement-standardized-guarantee-schemes, 17.211
fees::
* Mcs.fees@Sna8,
* Mcs.Sna8/fees, 3.122
· standardized guarantees 8.124
fees-commissions-or-royalties::
* Mcs.fees-commissions-or-royalties@Sna8,
* Mcs.Sna8/fees-commissions-or-royalties, 6.211, 6.214
fellow-enterprise::
* Mcs.fellow-enterprise@Sna8,
* Mcs.Sna8/fellow-enterprise, 21.36, 26.86
films::
* Mcs.films@Sna8,
* Mcs.Sna8/films, 10.115
final-consumption::
* Mcs.final-consumption@Sna8,
* Mcs.Sna8/final-consumption, 1.52
final-consumption-expenditure::
* Mcs.final-consumption-expenditure@Sna8,
* Mcs.Sna8/final-consumption-expenditure, 2.103, 9.6
· is the amount of expenditure on consumption goods and services. see 9.7
· corporations 9.11
· enterprises 8.18
· general government 9.85, 15.142
· government, derivation 9.90
· NPISHs 9.115, 15.142
· classification 9.108
· service charges for social insurance schemes 17.159
final-consumption-expenditure-of-households::
* Mcs.final-consumption-expenditure-of-households@Sna8,
* Mcs.Sna8/final-consumption-expenditure-of-households,
· see household final consumption expenditure
final-consumption-expenditure-of-general-government::
* Mcs.final-consumption-expenditure-of-general-government@Sna8,
* Mcs.Sna8/final-consumption-expenditure-of-general-government,
· see general government final consumption expenditure
final-consumption-expenditure-of-NPISHs::
* Mcs.final-consumption-expenditure-of-NPISHs@Sna8,
* Mcs.Sna8/final-consumption-expenditure-of-NPISHs,
· consists of the expenditure, including expenditure whose value must be estimated indirectly, incurred by resident NPISHs on individual consumption goods and services and possibly on collective consumption services. see 9.115
final-demand::
* Mcs.final-demand@Sna8,
* Mcs.Sna8/final-demand, 14.84
final-salary-scheme::
* Mcs.final-salary-scheme@Sna8,
* Mcs.Sna8/final-salary-scheme, 7.149
financial-account::
* Mcs.financial-account@Sna8,
* Mcs.Sna8/financial-account, 1.20, 2.112, 10.1, 11.1, 16.21, 16.33, 26.8, 26.73, 27.24
· no balancing item 11.1
financial-account-entries-counterpart-to-entries-in-other-accounts::
* Mcs.financial-account-entries-counterpart-to-entries-in-other-accounts@Sna8,
* Mcs.Sna8/financial-account-entries-counterpart-to-entries-in-other-accounts, 11.10
· exchange of financial assets and liabilities 11.10
financial-activities-secondary::
* Mcs.financial-activities-secondary@Sna8,
* Mcs.Sna8/financial-activities-secondary, 4.95
financial-asset::
* Mcs.financial-asset@Sna8,
* Mcs.Sna8/financial-asset, 1.46, 2.35, 3.37
· consist of all financial claims, shares or other equity in corporations plus gold bullion held by monetary authorities as a reserve asset. see 3.36, 11.8
· creation 11.15
financial-assets-and-liabilities-transformation-of-risk::
* Mcs.financial-assets-and-liabilities-transformation-of-risk@Sna8,
* Mcs.Sna8/financial-assets-and-liabilities-transformation-of-risk, 3.29
financial-auxiliaries::
* Mcs.financial-auxiliaries@Sna8,
* Mcs.Sna8/financial-auxiliaries, 4.98, 4.101, 6.157, 6.158, 22.150
· consist of financial corporations that are principally engaged in activities associated with transactions in financial assets and liabilities or with providing the regulatory context for these transactions but in circumstances that do not involve the auxiliary taking ownership of the financial assets and liabilities being transacted. see 4.111
financial-claim::
* Mcs.financial-claim@Sna8,
* Mcs.Sna8/financial-claim, 11.4
· A financial claim is the payment or series of payments due to the creditor by the debtor under the terms of a liability. see 3.35, 11.7
· time of recording 11.37
financial-corporation::
* Mcs.financial-corporation@Sna8,
* Mcs.Sna8/financial-corporation, 1.10, 2.17, 4.19, 17.226, 28.27
· consist of all resident corporations that are principally engaged in providing financial services, including insurance and pension funding services, to other institutional units. see 4.98
· sub-sectors according to control 4.103
· sub-sectors according to type of activity 4.102
· types of units 4.98
· vs. financial institutions 17.227
* generic: corporation see
financial-derivatives::
* Mcs.financial-derivatives@Sna8,
* Mcs.Sna8/financial-derivatives, 7.115, 11.23, 11.33, 27.34
· are financial instruments that are linked to a specific financial instrument or indicator or commodity, through which specific financial risks can be traded in financial markets in their own right. see 11.111
· and employee stock options 26.93
· associated with reserve asset management 26.93
· contracts 11.59
· holding gains and losses 12.118
· not debt instruments 26.103
· other volume changes 12.43
· service charge component 11.114
financial-distress::
* Mcs.financial-distress@Sna8,
* Mcs.Sna8/financial-distress, 17.212, 21.52
financial-institutions-vs-financial-corporations::
* Mcs.financial-institutions-vs-financial-corporations@Sna8,
* Mcs.Sna8/financial-institutions-vs-financial-corporations, 17.227
financial-instruments::
* Mcs.financial-instruments@Sna8,
* Mcs.Sna8/financial-instruments, 11.27
· classification of 11.29
· giving rise to dividends 17.236
· giving rise to interest 17.236
· giving rise to investment income 17.236
financial-intermediaries::
* Mcs.financial-intermediaries@Sna8,
* Mcs.Sna8/financial-intermediaries, 1.21, 4.98, 4.101, 11.18, 17.227
· are institutional units that incur liabilities on their own account for the purpose of acquiring financial assets by engaging in financial transactions on the market. see 4.101
financial-intermediation::
* Mcs.financial-intermediation@Sna8,
* Mcs.Sna8/financial-intermediation, 4.29, 6.151, 6.157
· definition 17.228
financial-lease::
* Mcs.financial-lease@Sna8,
* Mcs.Sna8/financial-lease, 2.47, 3.66, 6.168, 6.239, 9.73, 10.56, 10.57, 10.82, 11.73, 17.345, 20.38, 20.67, 21.51, 22.163
· definition 17.304
financial-liabilities::
* Mcs.financial-liabilities@Sna8,
* Mcs.Sna8/financial-liabilities, 3.20
financial-production-flows-and-stocks-in-the-SNA::
* Mcs.financial-production-flows-and-stocks-in-the-SNA@Sna8,
* Mcs.Sna8/financial-production-flows-and-stocks-in-the-SNA, 27.4
financial-regulation::
* Mcs.financial-regulation@Sna8,
* Mcs.Sna8/financial-regulation, 6.190
financial-risk-management::
* Mcs.financial-risk-management@Sna8,
* Mcs.Sna8/financial-risk-management, 6.158, 17.228
financial-services::
* Mcs.financial-services@Sna8,
* Mcs.Sna8/financial-services, 3.67, 4.29, 14.29
· not incorporated into the value of any financial asset 17.234
financial-statistics::
* Mcs.financial-statistics@Sna8,
* Mcs.Sna8/financial-statistics, 27.18
· coverage 27.6
financing-of-transfers::
* Mcs.financing-of-transfers@Sna8,
* Mcs.Sna8/financing-of-transfers, 29.81
fines-and-penalties::
* Mcs.fines-and-penalties@Sna8,
* Mcs.Sna8/fines-and-penalties, 8.135
· are compulsory payments imposed on institutional units by courts of law or quasi-judicial bodies. see 8.135
finished-goods::
* Mcs.finished-goods@Sna8,
* Mcs.Sna8/finished-goods, 10.142
· consist of goods produced as outputs that their producer does not intend to process further before supplying them to other institutional units. see 10.142
· conversion from work-in-progress 6.112
· valuation 10.143
firewood::
* Mcs.firewood@Sna8,
* Mcs.Sna8/firewood, 12.22
fiscal-activities-of-SPEs::
* Mcs.fiscal-activities-of-SPEs@Sna8,
* Mcs.Sna8/fiscal-activities-of-SPEs, 22.54
fiscal-operations::
* Mcs.fiscal-operations@Sna8,
* Mcs.Sna8/fiscal-operations, 22.3
fish::
* Mcs.fish@Sna8,
* Mcs.Sna8/fish, 17.333
fish-farms::
* Mcs.fish-farms@Sna8,
* Mcs.Sna8/fish-farms, 10.76
Fisher-index::
* Mcs.Fisher-index@Sna8,
* Mcs.Sna8/Fisher-index, 15.27, 15.32, 15.53
fishing-quota::
* Mcs.fishing-quota@Sna8,
* Mcs.Sna8/fishing-quota, 17.334
· recreational licence 17.336
FISIM-(Financial-Intermediation-Services-Indirectly-Measured)::
* Mcs.FISIM-(Financial-Intermediation-Services-Indirectly-Measured)@Sna8,
* Mcs.Sna8/FISIM-(Financial-Intermediation-Services-Indirectly-Measured), 3.67, 3.141, 6.163, 8.24, 11.56, 15.114, 17.239, 17.304, 17.309, 22.71, 24.58, 26.60
fixed-asset::
* Mcs.fixed-asset@Sna8,
* Mcs.Sna8/fixed-asset, 1.46
· are produced assets that are used repeatedly or continuously in production processes for more than one year. see 10.11
· distinguishing features 10.11
· owned vs. rented 14.43
fixed-industry-sales-structure::
* Mcs.fixed-industry-sales-structure@Sna8,
* Mcs.Sna8/fixed-industry-sales-structure, 28.57
fixed-interest-loans::
* Mcs.fixed-interest-loans@Sna8,
* Mcs.Sna8/fixed-interest-loans, 6.167
fixed-product-sales-structure::
* Mcs.fixed-product-sales-structure@Sna8,
* Mcs.Sna8/fixed-product-sales-structure, 28.57
fixed-rate-marketable-bonds-effect-on-value-of-changing-interest-rates::
* Mcs.fixed-rate-marketable-bonds-effect-on-value-of-changing-interest-rates@Sna8,
* Mcs.Sna8/fixed-rate-marketable-bonds-effect-on-value-of-changing-interest-rates, 12.110
fixed-term-deposits::
* Mcs.fixed-term-deposits@Sna8,
* Mcs.Sna8/fixed-term-deposits, 11.59
flexibility::
* Mcs.flexibility@Sna8,
* Mcs.Sna8/flexibility, 2.160, 11.25, 18.66, 27.36, 28.1, 28.68, 29.1
· in classification of financial instruments 11.32
· recording of taxes 8.61
· use of classifications 1.71
flexibility-of-SNA::
* Mcs.flexibility-of-SNA@Sna8,
* Mcs.Sna8/flexibility-of-SNA, 18.7
float::
* Mcs.float@Sna8,
* Mcs.Sna8/float, 3.173, 11.39
flow-of-funds::
* Mcs.flow-of-funds@Sna8,
* Mcs.Sna8/flow-of-funds, 11.56, 11.95, 27.9, 27.23
· analysis 17.252
· matrix 2.150
· use 27.37
flows::
* Mcs.flows@Sna8,
* Mcs.Sna8/flows, 3.2
flows-between-different-groups-of-households::
* Mcs.flows-between-different-groups-of-households@Sna8,
* Mcs.Sna8/flows-between-different-groups-of-households, 24.69
FOB-(Free-on-board)::
* Mcs.FOB-(Free-on-board)@Sna8,
* Mcs.Sna8/FOB-(Free-on-board), 3.149, 14.70, 26.52
foreclosures::
* Mcs.foreclosures@Sna8,
* Mcs.Sna8/foreclosures, 12.49
foreign-affiliates::
* Mcs.foreign-affiliates@Sna8,
* Mcs.Sna8/foreign-affiliates, 21.48
Foreign-AffiliaTes-Statistics-(FATS)::
* Mcs.Foreign-AffiliaTes-Statistics-(FATS)@Sna8,
* Mcs.Sna8/Foreign-AffiliaTes-Statistics-(FATS), 21.48, 26.90
foreign-currency::
* Mcs.foreign-currency@Sna8,
* Mcs.Sna8/foreign-currency, 3.139, 3.141
foreign-direct-investment::
* Mcs.foreign-direct-investment@Sna8,
* Mcs.Sna8/foreign-direct-investment, 11.129, 13.95, 21.20, 21.32, 27.21
foreign-direct-investment-enterprise::
* Mcs.foreign-direct-investment-enterprise@Sna8,
* Mcs.Sna8/foreign-direct-investment-enterprise, 4.82, 11.92, 12.113
foreign-exchange-bureaux::
* Mcs.foreign-exchange-bureaux@Sna8,
* Mcs.Sna8/foreign-exchange-bureaux, 17.229
foreign-exchange-margins::
* Mcs.foreign-exchange-margins@Sna8,
* Mcs.Sna8/foreign-exchange-margins, 9.63
foreign-exchange-swaps::
* Mcs.foreign-exchange-swaps@Sna8,
* Mcs.Sna8/foreign-exchange-swaps, 11.121
· A foreign exchange swap is a spot sale/purchase of currencies and a simultaneous forward purchase/sale of the same currencies. see 11.121
foreign-reserves::
* Mcs.foreign-reserves@Sna8,
* Mcs.Sna8/foreign-reserves, 17.244
foreign-controlled-enterprises::
* Mcs.foreign-controlled-enterprises@Sna8,
* Mcs.Sna8/foreign-controlled-enterprises, 26.89
forested-land::
* Mcs.forested-land@Sna8,
* Mcs.Sna8/forested-land, 17.329
formal-employment::
* Mcs.formal-employment@Sna8,
* Mcs.Sna8/formal-employment, 25.55
formal-job-attachment::
* Mcs.formal-job-attachment@Sna8,
* Mcs.Sna8/formal-job-attachment, 19.23
forward-contract::
* Mcs.forward-contract@Sna8,
* Mcs.Sna8/forward-contract, 11.120
· A forward contract is an unconditional financial contract that represents an obligation for settlement on a specified date.
Futures and other forward contracts are typically, but not always, settled by the payment of cash or the provision of some other financial instrument rather than the actual delivery of the underlying item and therefore are valued and traded separately from the underlying item. see 11.120
foreign-exchange::
* Mcs.foreign-exchange@Sna8,
* Mcs.Sna8/foreign-exchange, 11.121
forward-foreign-exchange-contract::
* Mcs.forward-foreign-exchange-contract@Sna8,
* Mcs.Sna8/forward-foreign-exchange-contract,
· A forward foreign exchange contract involves two counterparties who agree to transact in foreign currencies at an agreed exchange rate in a specified amount at some agreed future date. see 11.121
forward-markets::
* Mcs.forward-markets@Sna8,
* Mcs.Sna8/forward-markets, 11.112
forward-rate-agreement::
* Mcs.forward-rate-agreement@Sna8,
* Mcs.Sna8/forward-rate-agreement, 7.115, 11.121
· A forward rate agreement (FRA) is an arrangement in which two parties, in order to protect themselves against interest rate changes, agree on an interest rate to be paid, at a specified settlement date, on a notional amount of principal that is never exchanged. see 11.121
forward-type-financial-derivative::
* Mcs.forward-type-financial-derivative@Sna8,
* Mcs.Sna8/forward-type-financial-derivative, 17.290
foundations::
* Mcs.foundations@Sna8,
* Mcs.Sna8/foundations, 23.19
Fp-(Fisher-Price-Index)::
* Mcs.Fp-(Fisher-Price-Index)@Sna8,
* Mcs.Sna8/Fp-(Fisher-Price-Index), 15.107, 15.180
FPI-(For-Profit-Institution)::
* Mcs.FPI-(For-Profit-Institution)@Sna8,
* Mcs.Sna8/FPI-(For-Profit-Institution), 4.96
Fq-(Fisher-Volume-Index)::
* Mcs.Fq-(Fisher-Volume-Index)@Sna8,
* Mcs.Sna8/Fq-(Fisher-Volume-Index), 15.107, 15.29
FRA-(Forward-Rate-Agreement)::
* Mcs.FRA-(Forward-Rate-Agreement)@Sna8,
* Mcs.Sna8/FRA-(Forward-Rate-Agreement), 11.121
framework-for-direct-investment-relationships::
* Mcs.framework-for-direct-investment-relationships@Sna8,
* Mcs.Sna8/framework-for-direct-investment-relationships, 21.37
free-banking::
* Mcs.free-banking@Sna8,
* Mcs.Sna8/free-banking, 17.230
free-housing::
* Mcs.free-housing@Sna8,
* Mcs.Sna8/free-housing, 8.68
free-trade-zones::
* Mcs.free-trade-zones@Sna8,
* Mcs.Sna8/free-trade-zones, 26.26
freight-and-insurance::
* Mcs.freight-and-insurance@Sna8,
* Mcs.Sna8/freight-and-insurance, 3.150, 26.52
fringe-benefit::
* Mcs.fringe-benefit@Sna8,
* Mcs.Sna8/fringe-benefit, 7.53
from-whom-to-whom-recording::
* Mcs.from-whom-to-whom-recording@Sna8,
* Mcs.Sna8/from-whom-to-whom-recording, 2.10, 2.52, 2.76, 2.150, 2.153, 11.95, 27.27, 28.80, 29.30
full-time-equivalent-employment::
* Mcs.full-time-equivalent-employment@Sna8,
* Mcs.Sna8/full-time-equivalent-employment,
· is the number of full-time equivalent jobs, defined as total hours actually worked by all employed persons divided by the average number of hours actually worked in full-time jobs. see 19.43
full-time-equivalent-workers::
* Mcs.full-time-equivalent-workers@Sna8,
* Mcs.Sna8/full-time-equivalent-workers, 19.42
function::
* Mcs.function@Sna8,
* Mcs.Sna8/function, 2.42
functional-categories::
* Mcs.functional-categories@Sna8,
* Mcs.Sna8/functional-categories, 26.73, 27.21
· purposes 26.74
functional-classification::
* Mcs.functional-classification@Sna8,
* Mcs.Sna8/functional-classification, 2.154, 29.2, 29.9
functional-classification-of-financial-transactions::
* Mcs.functional-classification-of-financial-transactions@Sna8,
* Mcs.Sna8/functional-classification-of-financial-transactions, 26.48
funds-in-transit::
* Mcs.funds-in-transit@Sna8,
* Mcs.Sna8/funds-in-transit, 21.41
future-obligations::
* Mcs.future-obligations@Sna8,
* Mcs.Sna8/future-obligations, 7.150
futures::
* Mcs.futures@Sna8,
* Mcs.Sna8/futures, 11.114
Name::
* Mcs.Index-G@Sna8,
* Mcs.Sna8/Index-G,
gains-from-trading::
* Mcs.gains-from-trading@Sna8,
* Mcs.Sna8/gains-from-trading, 6.10
GDI-(Gross-Domestic-Income)::
* Mcs.GDI-(Gross-Domestic-Income)@Sna8,
* Mcs.Sna8/GDI-(Gross-Domestic-Income),
· real GDI 15.188
GDP-(Gross-Domestic-Product)::
* Mcs.GDP-(Gross-Domestic-Product)@Sna8,
* Mcs.Sna8/GDP-(Gross-Domestic-Product), 1.3, 6.1, 6.70, 6.221, 7.10, 7.21, 16.1
· definition 2.134
· derived from value added 2.138
· expenditure measure 16.41, 18.60
· income measure 16.41, 18.61
· per capita 1.28, 19.1
· production measure 16.41, 18.57
· three identities 6.83
· vs. GNI 7.21
· vs. NDP 2.142
Geary-Khamis-(GK)-method::
* Mcs.Geary-Khamis-(GK)-method@Sna8,
* Mcs.Sna8/Geary-Khamis-(GK)-method, 15.214
Geary-method-of-calculating-terms-of-trade::
* Mcs.Geary-method-of-calculating-terms-of-trade@Sna8,
* Mcs.Sna8/Geary-method-of-calculating-terms-of-trade, 15.191
general-corporate-policy::
* Mcs.general-corporate-policy@Sna8,
* Mcs.Sna8/general-corporate-policy, 4.77
general-equilibrium-system::
* Mcs.general-equilibrium-system@Sna8,
* Mcs.Sna8/general-equilibrium-system, 1.15
general-government::
* Mcs.general-government@Sna8,
* Mcs.Sna8/general-government, 2.17, 28.28
· alternative methods of sub-sectoring 4.148
· as administrator of social insurance scheme 8.76
· consumption expenditure 14.96
· final consumption expenditure 9.114
general-government-final-consumption-expenditure::
* Mcs.general-government-final-consumption-expenditure@Sna8,
* Mcs.Sna8/general-government-final-consumption-expenditure,
· consists of expenditure, including expenditure whose value must be estimated indirectly, incurred by general government on both individual consumption goods and services and collective consumption services. see 9.114
general-government-sector::
* Mcs.general-government-sector@Sna8,
* Mcs.Sna8/general-government-sector, 4.30
· composition by type of units 4.127
· sub-sectors 22.39
generation-of-income::
* Mcs.generation-of-income@Sna8,
* Mcs.Sna8/generation-of-income, 1.14
generation-of-income-account::
* Mcs.generation-of-income-account@Sna8,
* Mcs.Sna8/generation-of-income-account, 7.3, 14.86, 14.120, 14.160, 16.7
geometrically-declining-prices::
* Mcs.geometrically-declining-prices@Sna8,
* Mcs.Sna8/geometrically-declining-prices, 20.22
GFS-(Government-Finance-Statistics)::
* Mcs.GFS-(Government-Finance-Statistics)@Sna8,
* Mcs.Sna8/GFS-(Government-Finance-Statistics),
GFSM2001-(Government-Finance-Statistics-Manual)::
* Mcs.GFSM2001-(Government-Finance-Statistics-Manual)@Sna8,
* Mcs.Sna8/GFSM2001-(Government-Finance-Statistics-Manual), 22.96, 29.86
gifts::
* Mcs.gifts@Sna8,
* Mcs.Sna8/gifts, 8.101
GK-(Geary-Khamis-(method)::
* Mcs.GK-(Geary-Khamis-(method)@Sna8,
* Mcs.Sna8/GK-(Geary-Khamis-(method),) 15.214
global-imbalances::
* Mcs.global-imbalances@Sna8,
* Mcs.Sna8/global-imbalances, 26.99
globalization::
* Mcs.globalization@Sna8,
* Mcs.Sna8/globalization, 14.39, 21.38, 21.39, 24.17, 26.36
GNI-(Gross-National-Income)::
* Mcs.GNI-(Gross-National-Income)@Sna8,
* Mcs.Sna8/GNI-(Gross-National-Income), 7.20, 16.1
· is defined as GDP plus compensation of employees receivable from abroad plus property income receivable from abroad plus taxes less subsidies on production receivable from abroad less compensation of employees payable abroad less property income payable abroad and less taxes plus subsidies on productionpayable abroad. see 16.54
gold::
* Mcs.gold@Sna8,
* Mcs.Sna8/gold, 10.133
gold-bullion::
* Mcs.gold-bullion@Sna8,
* Mcs.Sna8/gold-bullion, 11.28, 11.45, 17.240, 17.242, 26.75
gold-swaps::
* Mcs.gold-swaps@Sna8,
* Mcs.Sna8/gold-swaps, 11.73, 11.77
goods::
* Mcs.goods@Sna8,
* Mcs.Sna8/goods,
· are physical, produced objects for which a demand exists, over which ownership rights can be established and whose ownership can be transferred from one institutional unit to another by engaging in transactions on markets. see 6.15
· value at the customs frontier 26.19
goods-and-services-account::
* Mcs.goods-and-services-account@Sna8,
* Mcs.Sna8/goods-and-services-account, 2.134, 14.1, 15.1, 16.23, 18.22, 26.46, 28.4
· The goods and services account shows the balance between the total goods and services supplied as resources to the economy as output and imports (including the value of taxes less subsidies on products not already included in the valuation of output) and the use of the same goods and services as intermediate consumption, final consumption, capital formation and exports. see 16.27
· definition 14.10, 16.27
goods-and-services-delivered-in-different-locations::
* Mcs.goods-and-services-delivered-in-different-locations@Sna8,
* Mcs.Sna8/goods-and-services-delivered-in-different-locations, 15.66
goods-and-services-needed-for-work::
* Mcs.goods-and-services-needed-for-work@Sna8,
* Mcs.Sna8/goods-and-services-needed-for-work, 9.52
goods-and-services-synonym-for-products::
* Mcs.goods-and-services-synonym-for-products@Sna8,
* Mcs.Sna8/goods-and-services-synonym-for-products, 2.36
goods-entering-or-leaving-the-territory-illegally::
* Mcs.goods-entering-or-leaving-the-territory-illegally@Sna8,
* Mcs.Sna8/goods-entering-or-leaving-the-territory-illegally, 26.53
goods-for-resale::
* Mcs.goods-for-resale@Sna8,
* Mcs.Sna8/goods-for-resale, 10.145, 14.110
· are goods acquired by enterprises, such as wholesalers or retailers, for the purpose of reselling them to their customers. see 10.145
goods-procured-in-ports-by-carriers::
* Mcs.goods-procured-in-ports-by-carriers@Sna8,
* Mcs.Sna8/goods-procured-in-ports-by-carriers, 26.53
goods-produced-by-households::
* Mcs.goods-produced-by-households@Sna8,
* Mcs.Sna8/goods-produced-by-households, 6.115
goods-produced-on-own-account::
* Mcs.goods-produced-on-own-account@Sna8,
* Mcs.Sna8/goods-produced-on-own-account, 9.75
goods-sent-abroad-for-processing::
* Mcs.goods-sent-abroad-for-processing@Sna8,
* Mcs.Sna8/goods-sent-abroad-for-processing, 2.48, 14.37, 14.62, 26.50, 26.53, 28.21
· transport costs 14.75
goods-sent-on-consignment::
* Mcs.goods-sent-on-consignment@Sna8,
* Mcs.Sna8/goods-sent-on-consignment, 26.20, 26.53
goods-used-partly-for-business-purposes-and-partly-for-personal::
* Mcs.goods-used-partly-for-business-purposes-and-partly-for-personal@Sna8,
* Mcs.Sna8/goods-used-partly-for-business-purposes-and-partly-for-personal,
· benefit 9.60
goodwill::
* Mcs.goodwill@Sna8,
* Mcs.Sna8/goodwill,
· see purchased
goodwill-and-market-assets::
* Mcs.goodwill-and-market-assets@Sna8,
* Mcs.Sna8/goodwill-and-market-assets,
· The value of goodwill and marketing assets is defined as the difference between the value paid for an enterprise as a going concern and the sum of its assets less the sum of its liabilities, each item of which has been separately identified and valued. see 10.199
goodwill-government::
* Mcs.goodwill-government@Sna8,
* Mcs.Sna8/goodwill-government,
· enclaves in the rest of the world, 22.51
· final consumption expenditure 8.104
· final consumption expenditure benefitting enterprises 9.101
· final consumption expenditure, relation to government
· output 9.88
· role in key sectors 29.28
government-control::
* Mcs.government-control@Sna8,
* Mcs.Sna8/government-control, 4.26
· corporations 4.80, 21.28
government-establishment-treated-as-quasi-corporation::
* Mcs.government-establishment-treated-as-quasi-corporation@Sna8,
* Mcs.Sna8/government-establishment-treated-as-quasi-corporation, 4.121, 4.123
· when treated as public corporation 4.121
government-finance-analysts::
* Mcs.government-finance-analysts@Sna8,
* Mcs.Sna8/government-finance-analysts, 22.7
government-finance-presentation::
* Mcs.government-finance-presentation@Sna8,
* Mcs.Sna8/government-finance-presentation, 22.8, 22.62
government-goods-and-services-n.i.e.::
* Mcs.government-goods-and-services-n.i.e.@Sna8,
* Mcs.Sna8/government-goods-and-services-n.i.e.,
· BPM6 26.57
government-guarantees::
* Mcs.government-guarantees@Sna8,
* Mcs.Sna8/government-guarantees, 17.222, 21.55, 22.32, 22.118
government-issued-permits::
* Mcs.government-issued-permits@Sna8,
* Mcs.Sna8/government-issued-permits, 22.88
government-ownership::
* Mcs.government-ownership@Sna8,
* Mcs.Sna8/government-ownership, 3.22
government-specialized-agencies::
* Mcs.government-specialized-agencies@Sna8,
* Mcs.Sna8/government-specialized-agencies, 5.43
government-units::
* Mcs.government-units@Sna8,
* Mcs.Sna8/government-units,
· are unique kinds of legal entities established by political processes that have legislative, judicial or executive authority over other institutional units within a given area. see 4.9
· definition 4.9, 22.17
· economic objectives, functions and behaviour 4.20
government-units-with-market-production::
* Mcs.government-units-with-market-production@Sna8,
* Mcs.Sna8/government-units-with-market-production, 4.123
government-with-less-than-or-more-than-three-levels-of-government::
* Mcs.government-with-less-than-or-more-than-three-levels-of-government@Sna8,
* Mcs.Sna8/government-with-less-than-or-more-than-three-levels-of-government, 4.133
grant-date::
* Mcs.grant-date@Sna8,
* Mcs.Sna8/grant-date, 17.385
· ESO 11.125
gratuities::
* Mcs.gratuities@Sna8,
* Mcs.Sna8/gratuities, 7.44
green-accounting::
* Mcs.green-accounting@Sna8,
* Mcs.Sna8/green-accounting, 20.48
greened-economy-modelling::
* Mcs.greened-economy-modelling@Sna8,
* Mcs.Sna8/greened-economy-modelling, 29.124
gross-and-net-recording-of-VAT::
* Mcs.gross-and-net-recording-of-VAT@Sna8,
* Mcs.Sna8/gross-and-net-recording-of-VAT, 6.59
gross-capital-formation::
* Mcs.gross-capital-formation@Sna8,
* Mcs.Sna8/gross-capital-formation, 10.24, 10.31
· shows the acquisition less disposal of produced assets for purposes of fixed capital formation, inventories or valuables. see 10.24
gross-capital-stock::
* Mcs.gross-capital-stock@Sna8,
* Mcs.Sna8/gross-capital-stock, 6.253
gross-fixed-capital-formation::
* Mcs.gross-fixed-capital-formation@Sna8,
* Mcs.Sna8/gross-fixed-capital-formation, 10.32, 14.101, 15.144
· is measured by the total value of a producer's acquisitions, less disposals, of fixed assets during the accounting period plus certain specified expenditure on services that adds to the value of non-produced assets. see 10.32
· borderline with inventories 6.112
· by establishment 14.121
· definition 10.64
· negative 10.39
· vs. purchases of fixed assets 2.31
gross-fixed-capital-formation-in-a-particular-category-of-fixed-asset::
* Mcs.gross-fixed-capital-formation-in-a-particular-category-of-fixed-asset@Sna8,
* Mcs.Sna8/gross-fixed-capital-formation-in-a-particular-category-of-fixed-asset,
· consists of the value of producers' acquisitions of new and existing products of this type less the value of their disposals of fixed assets of the same type. see 10.64
gross-national-disposable-income::
* Mcs.gross-national-disposable-income@Sna8,
* Mcs.Sna8/gross-national-disposable-income, 2.145
gross-national-income::
* Mcs.gross-national-income@Sna8,
* Mcs.Sna8/gross-national-income, 1.34, 2.143, 16.54
· is the aggregate value of the gross balances of primary incomes for all sectors. see 7.20
· definition 16.54
gross-operating-surplus::
* Mcs.gross-operating-surplus@Sna8,
* Mcs.Sna8/gross-operating-surplus, 20.28
gross-or-net-national-disposable-income::
* Mcs.gross-or-net-national-disposable-income@Sna8,
* Mcs.Sna8/gross-or-net-national-disposable-income,
· may be derived from gross or net national income by adding all current transfers in cash or in kind receivable by resident institutional units from non-resident units and subtracting all current transfers in cash or in kind payable by resident institutional units to non-resident units. see 8.26
gross-value-added::
* Mcs.gross-value-added@Sna8,
* Mcs.Sna8/gross-value-added, 1.17
· is the value of output less the value of intermediate consumption. see 6.8
· as a production measure 7.21
· at basic prices, definition 6.77
· at factor cost 6.80
· at market prices 6.78
· at producers' prices, definition 6.78
gross-value-added-at-basic-prices::
* Mcs.gross-value-added-at-basic-prices@Sna8,
* Mcs.Sna8/gross-value-added-at-basic-prices,
· is defined as output valued at basic prices less intermediate consumption valued at purchasers' prices. see 6.77
gross-value-added-at-producers'-prices::
* Mcs.gross-value-added-at-producers'-prices@Sna8,
* Mcs.Sna8/gross-value-added-at-producers'-prices,
· is defined as output valued at producers' prices less intermediate consumption valued at purchasers' prices. see 6.78
gross-vs-net::
* Mcs.gross-vs-net@Sna8,
* Mcs.Sna8/gross-vs-net, 2.141
growth-rate::
* Mcs.growth-rate@Sna8,
* Mcs.Sna8/growth-rate, 18.21, 18.63, 19.12
growth-volume-of-GDP::
* Mcs.growth-volume-of-GDP@Sna8,
* Mcs.Sna8/growth-volume-of-GDP, 1.26
guarantee::
* Mcs.guarantee@Sna8,
* Mcs.Sna8/guarantee, 17.207, 22.47
· financial derivative 17.210
· financial derivatives 22.127
· multi-year period. 17.217
· one-off 17.212
GVATI-(Gross-Value-Added-of-the-Tourism-Industry)::
* Mcs.GVATI-(Gross-Value-Added-of-the-Tourism-Industry)@Sna8,
* Mcs.Sna8/GVATI-(Gross-Value-Added-of-the-Tourism-Industry), 29.100
Name::
* Mcs.Index-H@Sna8,
* Mcs.Sna8/Index-H,
hand-tools::
* Mcs.hand-tools@Sna8,
* Mcs.Sna8/hand-tools, 10.82
harmonization-between-the-SNA-and-other-major-systems::
* Mcs.harmonization-between-the-SNA-and-other-major-systems@Sna8,
* Mcs.Sna8/harmonization-between-the-SNA-and-other-major-systems, 1.58
head-office::
* Mcs.head-office@Sna8,
* Mcs.Sna8/head-office,
· see also holding company
health-care::
* Mcs.health-care@Sna8,
* Mcs.Sna8/health-care,
· activities 29.130
· expenditure 29.129, 29.136
· functional classification 29.129
· funding 29.129, 29.138
· providers 29.129, 29.133
health-expenditure::
* Mcs.health-expenditure@Sna8,
* Mcs.Sna8/health-expenditure, 29.50
health-satellite-accounts::
* Mcs.health-satellite-accounts@Sna8,
* Mcs.Sna8/health-satellite-accounts, 29.128
health-services::
* Mcs.health-services@Sna8,
* Mcs.Sna8/health-services, 4.119, 22.20
hedging::
* Mcs.hedging@Sna8,
* Mcs.Sna8/hedging, 11.112
hedonic::
* Mcs.hedonic@Sna8,
* Mcs.Sna8/hedonic,
· indices 15.91
· regression equations 15.83
high-inflation::
* Mcs.high-inflation@Sna8,
* Mcs.Sna8/high-inflation, 3.160, 7.120, 12.95, 13.58, 18.22, 29.39
high-technology-goods::
* Mcs.high-technology-goods@Sna8,
* Mcs.Sna8/high-technology-goods, 15.84
higher-frequency-national-accounts::
* Mcs.higher-frequency-national-accounts@Sna8,
* Mcs.Sna8/higher-frequency-national-accounts, 18.5
highly-mobile-individuals-residence::
* Mcs.highly-mobile-individuals-residence@Sna8,
* Mcs.Sna8/highly-mobile-individuals-residence, 26.38
high-value-capital-goods::
* Mcs.high-value-capital-goods@Sna8,
* Mcs.Sna8/high-value-capital-goods, 26.22
hire-purchase-agreement::
* Mcs.hire-purchase-agreement@Sna8,
* Mcs.Sna8/hire-purchase-agreement, 9.73
hire-purchase-credit::
* Mcs.hire-purchase-credit@Sna8,
* Mcs.Sna8/hire-purchase-credit, 11.73
historic-cost-accounting::
* Mcs.historic-cost-accounting@Sna8,
* Mcs.Sna8/historic-cost-accounting, 1.60, 1.65, 3.157, 6.107, 6.240, 6.248, 6.249, 7.24
historical-monuments::
* Mcs.historical-monuments@Sna8,
* Mcs.Sna8/historical-monuments, 3.43
holding-company::
* Mcs.holding-company@Sna8,
* Mcs.Sna8/holding-company, 4.54, 21.41, 22.49, 22.140
holding-gains::
* Mcs.holding-gains@Sna8,
* Mcs.Sna8/holding-gains, 2.30, 3.105, 3.153, 11.98, 12.79, 17.18, 17.134, 17.238, 21.65
· as part of income 29.43
· excluded from measure of output 6.107
· neutral 16.34
· nominal 16.34
· realized 12.80, 16.36
· unrealized 12.80, 16.36
holding-losses::
* Mcs.holding-losses@Sna8,
* Mcs.Sna8/holding-losses,
· see holding gains
holiday-pay::
* Mcs.holiday-pay@Sna8,
* Mcs.Sna8/holiday-pay, 7.44
homogeneity-of-products-in-the-rows-in-the-use-table::
* Mcs.homogeneity-of-products-in-the-rows-in-the-use-table@Sna8,
* Mcs.Sna8/homogeneity-of-products-in-the-rows-in-the-use-table, 14.142
horizontal-integration::
* Mcs.horizontal-integration@Sna8,
* Mcs.Sna8/horizontal-integration,
· A horizontally integrated enterprise is one in which several different kinds of activities that produce different kinds of goods or services for sale on the market are carried out in parallel with each other. see 5.21
horizontally-integrated-enterprise::
* Mcs.horizontally-integrated-enterprise@Sna8,
* Mcs.Sna8/horizontally-integrated-enterprise, 5.21
hospitals::
* Mcs.hospitals@Sna8,
* Mcs.Sna8/hospitals, 23.28
hours-actually-worked::
* Mcs.hours-actually-worked@Sna8,
* Mcs.Sna8/hours-actually-worked, 19.51
hours-worked::
* Mcs.hours-worked@Sna8,
* Mcs.Sna8/hours-worked, 19.78
houseboats::
* Mcs.houseboats@Sna8,
* Mcs.Sna8/houseboats, 10.83
household::
* Mcs.household@Sna8,
* Mcs.Sna8/household, 1.9, 1.10, 2.17, 4.3, 4.4, 28.29
· A household is a group of persons who share the same living accommodation, who pool some, or all, of their income and wealth and who consume certain types of goods and services collectively, mainly housing and food. see 4.4
· actual final consumption 9.81
· assets 24.73
· change of economy of residence 26.39
· connection with families 4.150, 24.13
· consumption 14.94
· definition 4.4, 4.149
· economic objectives, functions and behaviour 4.21
· expenditures abroad 9.79
· final consumption expenditure 8.104, 9.56, 9.113
· moves from one economy to another 12.65
· residence 26.37
· sub-sectored by income 4.160
· sub-sectoring according to attributes of a reference person 4.163
household-activity::
* Mcs.household-activity@Sna8,
* Mcs.Sna8/household-activity,
· valuation 29.149
household-composition::
* Mcs.household-composition@Sna8,
* Mcs.Sna8/household-composition, 24.35
household-final-consumption-expenditure::
* Mcs.household-final-consumption-expenditure@Sna8,
* Mcs.Sna8/household-final-consumption-expenditure,
· consists of the expenditure, including expenditure whose value must be estimated indirectly, incurred by resident households on individual consumption goods and services, including those sold at prices that are not economically significant and including consumption goods and services acquired abroad. see 9.113
household-maintenance-cost-of-labour::
* Mcs.household-maintenance-cost-of-labour@Sna8,
* Mcs.Sna8/household-maintenance-cost-of-labour, 9.67
household-production::
* Mcs.household-production@Sna8,
* Mcs.Sna8/household-production, 1.41
· agricultural products 6.32
· collection of firewood 6.32
· pragmatic exclusions 6.33
· services for own use, exclusion from the production boundary 6.26
· supply of water 6.32
· types of excluded activities 6.28
household-sector::
* Mcs.household-sector@Sna8,
* Mcs.Sna8/household-sector, 2.161
household-sub-sectoring-demographic-characteristics::
* Mcs.household-sub-sectoring-demographic-characteristics@Sna8,
* Mcs.Sna8/household-sub-sectoring-demographic-characteristics, 24.43
· income levels 24.32
· reference person 24.40
· type of income 24.36
household-surveys::
* Mcs.household-surveys@Sna8,
* Mcs.Sna8/household-surveys, 1.61, 14.94, 19.69, 19.77, 19.78, 19.82, 24.21, 25.83, 28.82, 29.14
· exclusions 14.145
household-unincorporated-market-enterprises::
* Mcs.household-unincorporated-market-enterprises@Sna8,
* Mcs.Sna8/household-unincorporated-market-enterprises, 4.155
households-sector::
* Mcs.households-sector@Sna8,
* Mcs.Sna8/households-sector, 4.32
· difficulty of sub-sectoring 24.10
households-sub-sectoring::
* Mcs.households-sub-sectoring@Sna8,
* Mcs.Sna8/households-sub-sectoring,
· link to surveys 24.26
housing-allowances::
* Mcs.housing-allowances@Sna8,
* Mcs.Sna8/housing-allowances, 7.44
housing-services::
* Mcs.housing-services@Sna8,
* Mcs.Sna8/housing-services, 2.3
· owner-occupiers 6.34, 9.54
HS-(Harmonized-commodity-description-and-coding-System)::
* Mcs.HS-(Harmonized-commodity-description-and-coding-System)@Sna8,
* Mcs.Sna8/HS-(Harmonized-commodity-description-and-coding-System), 14.36, 14.114
human-capital::
* Mcs.human-capital@Sna8,
* Mcs.Sna8/human-capital, 1.54, 2.34, 2.167, 3.46, 3.48, 17.368, 29.12, 29.45
human-needs::
* Mcs.human-needs@Sna8,
* Mcs.Sna8/human-needs, 9.39, 28.79
hurricanes::
* Mcs.hurricanes@Sna8,
* Mcs.Sna8/hurricanes, 12.46
hybrid-approaches-to-input-output-conversion::
* Mcs.hybrid-approaches-to-input-output-conversion@Sna8,
* Mcs.Sna8/hybrid-approaches-to-input-output-conversion, 28.64
hybrid-supply-and-use-or-input-output-tables::
* Mcs.hybrid-supply-and-use-or-input-output-tables@Sna8,
* Mcs.Sna8/hybrid-supply-and-use-or-input-output-tables, 29.108
hyperbolic-rate-of-decline::
* Mcs.hyperbolic-rate-of-decline@Sna8,
* Mcs.Sna8/hyperbolic-rate-of-decline, 6.254
Name::
* Mcs.Index-I@Sna8,
* Mcs.Sna8/Index-I,
IASB-(International-accounting-standards-board)::
* Mcs.IASB-(International-accounting-standards-board)@Sna8,
* Mcs.Sna8/IASB-(International-accounting-standards-board), A4.8, 13.83, 17.386
IC-(Insurance-Corporation)::
* Mcs.IC-(Insurance-Corporation)@Sna8,
* Mcs.Sna8/IC-(Insurance-Corporation), 4.115
* generic: corporation see
ICLS-(International-Conference-of-Labour-Statisticians)::
* Mcs.ICLS-(International-Conference-of-Labour-Statisticians)@Sna8,
* Mcs.Sna8/ICLS-(International-Conference-of-Labour-Statisticians), 7.28, 19.50
ICNPO-(International-Classification-of-Non-Profit-Organizations)::
* Mcs.ICNPO-(International-Classification-of-Non-Profit-Organizations)@Sna8,
* Mcs.Sna8/ICNPO-(International-Classification-of-Non-Profit-Organizations), 23.30
ICP-(International-Comparison-Program)::
* Mcs.ICP-(International-Comparison-Program)@Sna8,
* Mcs.Sna8/ICP-(International-Comparison-Program), 15.8, 15.200, 15.202, 19.15
ICP-aggregation::
* Mcs.ICP-aggregation@Sna8,
* Mcs.Sna8/ICP-aggregation,
· binary method 15.217
· block approach 15.213
· Country Product Dummy (CPD) method 15.206
· ring approach 15.222
ICPF-(Insurance-Corporations-and-Pension-Funds)::
* Mcs.ICPF-(Insurance-Corporations-and-Pension-Funds)@Sna8,
* Mcs.Sna8/ICPF-(Insurance-Corporations-and-Pension-Funds), 4.109
ICSE-(Resolution-Concerning-the-International-Classification-of-Status-in-Employment)::
* Mcs.ICSE-(Resolution-Concerning-the-International-Classification-of-Status-in-Employment)@Sna8,
* Mcs.Sna8/ICSE-(Resolution-Concerning-the-International-Classification-of-Status-in-Employment),
ICT-(Information-communication-and-telecommunications)::
* Mcs.ICT-(Information-communication-and-telecommunications)@Sna8,
* Mcs.Sna8/ICT-(Information-communication-and-telecommunications), 10.85
identity-linking-balance-sheets-transactions-other-volume-changes::
* Mcs.identity-linking-balance-sheets-transactions-other-volume-changes@Sna8,
* Mcs.Sna8/identity-linking-balance-sheets-transactions-other-volume-changes,
· and nominal holding gains 12.82
identity-linking-the-opening-and-the-closing-balance-sheet::
* Mcs.identity-linking-the-opening-and-the-closing-balance-sheet@Sna8,
* Mcs.Sna8/identity-linking-the-opening-and-the-closing-balance-sheet, 16.32
IFRS-(International-Financial-Reporting-Standards)::
* Mcs.IFRS-(International-Financial-Reporting-Standards)@Sna8,
* Mcs.Sna8/IFRS-(International-Financial-Reporting-Standards), 21.60
IIP-(International-Investment-Position)::
* Mcs.IIP-(International-Investment-Position)@Sna8,
* Mcs.Sna8/IIP-(International-Investment-Position), 13.2
illegal-activity::
* Mcs.illegal-activity@Sna8,
* Mcs.Sna8/illegal-activity, 3.96, 6.39, 6.42, 19.35, 25.25, 25.31
illegal-logging::
* Mcs.illegal-logging@Sna8,
* Mcs.Sna8/illegal-logging, 17.332
ILO-(International-Labour-Organization)::
* Mcs.ILO-(International-Labour-Organization)@Sna8,
* Mcs.Sna8/ILO-(International-Labour-Organization), 6.31
IMF-(International-Monetary-Fund)::
* Mcs.IMF-(International-Monetary-Fund)@Sna8,
* Mcs.Sna8/IMF-(International-Monetary-Fund), Reference
immovable-assets-owned-by-non-residents::
* Mcs.immovable-assets-owned-by-non-residents@Sna8,
* Mcs.Sna8/immovable-assets-owned-by-non-residents, 10.56
impaired-loans::
* Mcs.impaired-loans@Sna8,
* Mcs.Sna8/impaired-loans, 12.111
impairment-test::
* Mcs.impairment-test@Sna8,
* Mcs.Sna8/impairment-test, 12.34
implicit-charges-for-financial-services::
* Mcs.implicit-charges-for-financial-services@Sna8,
* Mcs.Sna8/implicit-charges-for-financial-services,
· see FISIM
implicit-costs::
* Mcs.implicit-costs@Sna8,
* Mcs.Sna8/implicit-costs, 7.13
implicit-interest-costs::
* Mcs.implicit-interest-costs@Sna8,
* Mcs.Sna8/implicit-interest-costs, 7.13
implicit-subsidy::
* Mcs.implicit-subsidy@Sna8,
* Mcs.Sna8/implicit-subsidy, 7.122
import-and-export-duties::
* Mcs.import-and-export-duties@Sna8,
* Mcs.Sna8/import-and-export-duties, 14.69
import-duties::
* Mcs.import-duties@Sna8,
* Mcs.Sna8/import-duties, 7.93
· consist of customs duties, or other import charges, that are payable on goods of a particular type when they enter the economic territory. see 7.93
import-price-indices::
* Mcs.import-price-indices@Sna8,
* Mcs.Sna8/import-price-indices, 14.146
import-subsidies::
* Mcs.import-subsidies@Sna8,
* Mcs.Sna8/import-subsidies, 7.101
· consist of subsidies on goods and services that become payable when the goods cross the frontier of the economic territory or when the services are delivered to resident institutional units. see 7.101
imports::
* Mcs.imports@Sna8,
* Mcs.Sna8/imports, 1.50, 3.149, 16.5, 26.3
· of goods at basic prices 14.77
· separation from domestic production in use tables 14.134
improvements-to-existing-fixed-assets::
* Mcs.improvements-to-existing-fixed-assets@Sna8,
* Mcs.Sna8/improvements-to-existing-fixed-assets, 10.43
improvements-to-land::
* Mcs.improvements-to-land@Sna8,
* Mcs.Sna8/improvements-to-land, 10.44
imputed::
* Mcs.imputed@Sna8,
* Mcs.Sna8/imputed,
· expenditure 9.48
· property income flows 8.23
· rent of owner-occupied dwellings 24.22
· social contribution 17.104
· taxes and subsidies 8.55
· transactions 1.36
IMTS-(International-Merchandise-Trade-Statistics::
* Mcs.IMTS-(International-Merchandise-Trade-Statistics@Sna8,
* Mcs.Sna8/IMTS-(International-Merchandise-Trade-Statistics, Concepts and Definitions): 26.52
in-real-terms::
* Mcs.in-real-terms@Sna8,
* Mcs.Sna8/in-real-terms, 2.66, 2.146
inbound-tourism::
* Mcs.inbound-tourism@Sna8,
* Mcs.Sna8/inbound-tourism, 29.92
income::
* Mcs.income@Sna8,
* Mcs.Sna8/income, 1.6
· deciles 24.32
· economic concept of 8.25
· generation 1.18
· not available to spend 24.81
· pre-committed as saving 24.71
· primary distribution 1.18
· redistribution 1.18
· use 1.18
income-in-kind::
* Mcs.income-in-kind@Sna8,
* Mcs.Sna8/income-in-kind, 9.51, 17.149, 24.59
income-in-kind-received-by-employees::
* Mcs.income-in-kind-received-by-employees@Sna8,
* Mcs.Sna8/income-in-kind-received-by-employees,
· is measured by the value of the goods and services provided by employers to their employees in remuneration for work done. see 9.51
income-measure::
* Mcs.income-measure@Sna8,
* Mcs.Sna8/income-measure, 16.51
income-measure-of-GDP::
* Mcs.income-measure-of-GDP@Sna8,
* Mcs.Sna8/income-measure-of-GDP, 16.41, 18.61
· The income measure of gross domestic product (GDP) is derived as compensation of employees plus gross operating surplus plus gross mixed incomes plus taxes less subsidies on both production and imports. see 16.48
incorporation-of-unincorporated-enterprise::
* Mcs.incorporation-of-unincorporated-enterprise@Sna8,
* Mcs.Sna8/incorporation-of-unincorporated-enterprise, 21.9
incurrence-of-arrears::
* Mcs.incurrence-of-arrears@Sna8,
* Mcs.Sna8/incurrence-of-arrears, 26.100
indexation-mechanism::
* Mcs.indexation-mechanism@Sna8,
* Mcs.Sna8/indexation-mechanism,
· securities 17.275
index-linked-securities::
* Mcs.index-linked-securities@Sna8,
* Mcs.Sna8/index-linked-securities, 11.70
· are instruments for which either the coupon payments (interest) or the principal or both are linked to an index such as a price index or the price of a commodity. see 11.70
indicators-of-government-control::
* Mcs.indicators-of-government-control@Sna8,
* Mcs.Sna8/indicators-of-government-control,
· corporation 4.80
· NPI 4.92
indices-of-industrial-production::
* Mcs.indices-of-industrial-production@Sna8,
* Mcs.Sna8/indices-of-industrial-production, 1.29
indifference-curves::
* Mcs.indifference-curves@Sna8,
* Mcs.Sna8/indifference-curves, 15.28
indigenous-or-territorial-groups::
* Mcs.indigenous-or-territorial-groups@Sna8,
* Mcs.Sna8/indigenous-or-territorial-groups, 23.29
indirect-direct-investment-relationships::
* Mcs.indirect-direct-investment-relationships@Sna8,
* Mcs.Sna8/indirect-direct-investment-relationships, 26.86
indirect-effect-of-a-change-in-demand::
* Mcs.indirect-effect-of-a-change-in-demand@Sna8,
* Mcs.Sna8/indirect-effect-of-a-change-in-demand, 28.39
individual-consumption-expenditure::
* Mcs.individual-consumption-expenditure@Sna8,
* Mcs.Sna8/individual-consumption-expenditure, 14.97
individual-consumption-good-or-service::
* Mcs.individual-consumption-good-or-service@Sna8,
* Mcs.Sna8/individual-consumption-good-or-service, 9.3
· An individual consumption good or service is one that is acquired by a household and used to satisfy the needs or wants of members of that household. see 9.3
individual-goods-and-services::
* Mcs.individual-goods-and-services@Sna8,
* Mcs.Sna8/individual-goods-and-services, 8.142, 9.83, 9.85, 9.92, 9.108, 22.7, 22.17
individual-households::
* Mcs.individual-households@Sna8,
* Mcs.Sna8/individual-households, 4.4
individual-insurance-policies::
* Mcs.individual-insurance-policies@Sna8,
* Mcs.Sna8/individual-insurance-policies, 17.97
individual-services::
* Mcs.individual-services@Sna8,
* Mcs.Sna8/individual-services, 8.103
industry::
* Mcs.industry@Sna8,
* Mcs.Sna8/industry, 2.39, 7.3, 14.22
· An industry consists of a group of establishments engaged in the same, or similar, kinds of activity. see 5.46, 5.2
industry-by-industry-matrix::
* Mcs.industry-by-industry-matrix@Sna8,
* Mcs.Sna8/industry-by-industry-matrix, 28.49
industry-technology-assumption::
* Mcs.industry-technology-assumption@Sna8,
* Mcs.Sna8/industry-technology-assumption, 28.54
infinite-life::
* Mcs.infinite-life@Sna8,
* Mcs.Sna8/infinite-life, 7.109
inflation::
* Mcs.inflation@Sna8,
* Mcs.Sna8/inflation, 1.66, 7.24, 12.95, 13.58, 18.22, 29.39
· higher nominal rates of interest 12.90
informal::
* Mcs.informal@Sna8,
* Mcs.Sna8/informal, 24.45
· activity 4.21, 6.39, 14.8
· criteria 25.19
· economy 2.163
· employment 25.54
· own-account enterprises 25.44
informal-enterprises::
* Mcs.informal-enterprises@Sna8,
* Mcs.Sna8/informal-enterprises,
· definition 25.5
informal-jobs::
* Mcs.informal-jobs@Sna8,
* Mcs.Sna8/informal-jobs, 25.58
informal-sector::
* Mcs.informal-sector@Sna8,
* Mcs.Sna8/informal-sector, 25.3
· comparable sub-set 25.61
ILO::
* Mcs.ILO@Sna8,
* Mcs.Sna8/ILO, 25.36
· overlap with NOE 25.4
· vs. SNA usage 25.75
information-computer-and-telecommunications-equipment::
* Mcs.information-computer-and-telecommunications-equipment@Sna8,
* Mcs.Sna8/information-computer-and-telecommunications-equipment, 10.82, 10.85
· consists of devices using electronic controls and also the electronic components forming part of these devices. see 10.85
injections-capital::
* Mcs.injections-capital@Sna8,
* Mcs.Sna8/injections-capital, 11.90, 11.91
inland-waters::
* Mcs.inland-waters@Sna8,
* Mcs.Sna8/inland-waters, 7.156
input-method::
* Mcs.input-method@Sna8,
* Mcs.Sna8/input-method, 15.119, 15.123
input-PPIs::
* Mcs.input-PPIs@Sna8,
* Mcs.Sna8/input-PPIs, 15.129
input-output-analysis::
* Mcs.input-output-analysis@Sna8,
* Mcs.Sna8/input-output-analysis, 1.73, 5.16, 6.67
input-output-coefficients::
* Mcs.input-output-coefficients@Sna8,
* Mcs.Sna8/input-output-coefficients, 14.42
input-output-matrices::
* Mcs.input-output-matrices@Sna8,
* Mcs.Sna8/input-output-matrices, 28.2
input-output-tables::
* Mcs.input-output-tables@Sna8,
* Mcs.Sna8/input-output-tables, 1.24, 6.1, 14.15, 28.32
inputs::
* Mcs.inputs@Sna8,
* Mcs.Sna8/inputs, 15.120
· labour, capital, goods and services 6.24
instalment-loans::
* Mcs.instalment-loans@Sna8,
* Mcs.Sna8/instalment-loans, 11.73
institutional-household::
* Mcs.institutional-household@Sna8,
* Mcs.Sna8/institutional-household, 4.32, 4.152, 19.34, 24.15, 25.64
· vs. unincorporated enterprise 24.28
institutional-sectors::
* Mcs.institutional-sectors@Sna8,
* Mcs.Sna8/institutional-sectors, 1.3, 2.17, 3.1, 4.16, 4.24
institutional-unit::
* Mcs.institutional-unit@Sna8,
* Mcs.Sna8/institutional-unit, 1.3, 1.9, 2.16, 3.1, 3.52, 4.1
· An institutional unit is an economic entity that is capable, in its own right, of owning assets, incurring liabilities and engaging in economic activities and in transactions with other entities. see 4.2
· BPM6 26.24
· special treatments of units in cross-border situations. 26.27
instrument-classification-monetary-statistics::
* Mcs.instrument-classification-monetary-statistics@Sna8,
* Mcs.Sna8/instrument-classification-monetary-statistics, 27.16
instrument-financial::
* Mcs.instrument-financial@Sna8,
* Mcs.Sna8/instrument-financial, 11.27
insurance::
* Mcs.insurance@Sna8,
* Mcs.Sna8/insurance, 16.12, 17.1, 27.34
· as a form of redistribution 6.176
· associated service charge 8.23
· by line of business 9.64
· cover provided to the rest of the world 17.43
· gross recording 17.58
· output, sum of costs 17.29
· premium 6.184
· service charge 9.64
· services 22.71
· settlements following a disaster 10.212
insurance-and-pension-fund-services::
* Mcs.insurance-and-pension-fund-services@Sna8,
* Mcs.Sna8/insurance-and-pension-fund-services, 4.29
insurance-claims::
* Mcs.insurance-claims@Sna8,
* Mcs.Sna8/insurance-claims,
· see claims, insurance
insurance-technical-reserves::
* Mcs.insurance-technical-reserves@Sna8,
* Mcs.Sna8/insurance-technical-reserves, 6.188
insurance-pension-and-standardized-guarantee-schemes::
* Mcs.insurance-pension-and-standardized-guarantee-schemes@Sna8,
* Mcs.Sna8/insurance-pension-and-standardized-guarantee-schemes, 11.103
integrated-economic-accounts::
* Mcs.integrated-economic-accounts@Sna8,
* Mcs.Sna8/integrated-economic-accounts, 2.75, 2.125, 2.149
integration::
* Mcs.integration@Sna8,
* Mcs.Sna8/integration, 2.14
· of SNA 1.1
· of the central framework 2.2
· production and generation of income accounts 1.24
· set of price and volume indices 1.25
intellectual-property-products::
* Mcs.intellectual-property-products@Sna8,
* Mcs.Sna8/intellectual-property-products, 15.148
· are the result of research, development, investigation or innovation leading to knowledge that the developers can market or use to their own benefit in production because use of the knowledge is restricted by means of legal or other protection. see 10.98
· examples 10.98
inter-bank-positions::
* Mcs.inter-bank-positions@Sna8,
* Mcs.Sna8/inter-bank-positions, 11.56, 11.57, 11.95, 17.252
· classified under deposits 11.57
inter-company-lending::
* Mcs.inter-company-lending@Sna8,
* Mcs.Sna8/inter-company-lending, 26.87
interest::
* Mcs.interest@Sna8,
* Mcs.Sna8/interest, 3.141, 7.12, 7.113, 26.60
· is a form of income that is receivable by the owners of certain kinds of financial assets, namely deposits, debt securities, loans and (possibly) other accounts receivable for putting the financial asset at the disposal of another institutional unit. see 7.113
· arising from indexation 11.70
· bills 17.264
· bonds 17.268, 17.273
· credit card 17.253
· debt securities 17.259
· deposits and loans 17.249
· due for payment 7.114
interest-rate-swap::
* Mcs.interest-rate-swap@Sna8,
* Mcs.Sna8/interest-rate-swap,
· An interest rate swap contract involves an exchange of cash flows related to interest payments, or receipts, on a notional amount of principal, which is never exchanged, in one currency over a period of time. see 11.121
index-linked-securities::
* Mcs.index-linked-securities@Sna8,
* Mcs.Sna8/index-linked-securities, 17.274
interest-free-loans::
* Mcs.interest-free-loans@Sna8,
* Mcs.Sna8/interest-free-loans, 7.54
· nominal 7.120
· on other accounts receivable or payable 13.84
· on overdue taxes 7.86, 8.60
· paid by central bank 22.153
· real 7.120
· reference rate 6.163
· repurchase agreements 17.254
· SDRs 17.246
· unallocated gold accounts 17.245
· zero-coupon bonds 17.270
interest-rate-swaps::
* Mcs.interest-rate-swaps@Sna8,
* Mcs.Sna8/interest-rate-swaps, 11.121
interim-administration::
* Mcs.interim-administration@Sna8,
* Mcs.Sna8/interim-administration, 26.44
inter-industry-matrix::
* Mcs.inter-industry-matrix@Sna8,
* Mcs.Sna8/inter-industry-matrix, 28.37
intermediate-consumption::
* Mcs.intermediate-consumption@Sna8,
* Mcs.Sna8/intermediate-consumption, 1.52, 2.86, 6.222, 8.99, 9.39, 14.84
· consists of the value of the goods and services consumed as inputs by a process of production, excluding fixed assets whose consumption is recorded as consumption of fixed capital. see 6.213
· of own production 6.120
· time of recording 6.216
· vs. gross fixed capital formation 6.224
· vs. remuneration in kind 6.220
intermediate-inputs-time-of-recording::
* Mcs.intermediate-inputs-time-of-recording@Sna8,
* Mcs.Sna8/intermediate-inputs-time-of-recording, 6.75
· valuation 6.75
intermediation-process::
* Mcs.intermediation-process@Sna8,
* Mcs.Sna8/intermediation-process, 2.150
internal-satellite::
* Mcs.internal-satellite@Sna8,
* Mcs.Sna8/internal-satellite, 29.85
internal-transactions::
* Mcs.internal-transactions@Sna8,
* Mcs.Sna8/internal-transactions, 1.37, 2.22, 2.24, 3.85, 12.97, 20.4
International-Accounting-Standards-Board-(IASB)::
* Mcs.International-Accounting-Standards-Board-(IASB)@Sna8,
* Mcs.Sna8/International-Accounting-Standards-Board-(IASB), 1.70, 21.60
international-assistance::
* Mcs.international-assistance@Sna8,
* Mcs.Sna8/international-assistance, 22.101
international-comparisons::
* Mcs.international-comparisons@Sna8,
* Mcs.Sna8/international-comparisons, 1.33
international-comparisons-of-productivity::
* Mcs.international-comparisons-of-productivity@Sna8,
* Mcs.Sna8/international-comparisons-of-productivity, 19.75
International-Conference-of-Labour-Statisticians-(ICLS)::
* Mcs.International-Conference-of-Labour-Statisticians-(ICLS)@Sna8,
* Mcs.Sna8/International-Conference-of-Labour-Statisticians-(ICLS), 19.5, 25.13
international-cooperation::
* Mcs.international-cooperation@Sna8,
* Mcs.Sna8/international-cooperation, 3.82
International-Financial-Reporting-Standards-(IFRS)::
* Mcs.International-Financial-Reporting-Standards-(IFRS)@Sna8,
* Mcs.Sna8/International-Financial-Reporting-Standards-(IFRS), 21.60
international-investment-position-(IIP)::
* Mcs.international-investment-position-(IIP)@Sna8,
* Mcs.Sna8/international-investment-position-(IIP), 13.2, 26.11, 26.12, 26.73, 26.75
international-liquidity::
* Mcs.international-liquidity@Sna8,
* Mcs.Sna8/international-liquidity, 26.73
international-merchandise-trade-statistics-(IMTS)::
* Mcs.international-merchandise-trade-statistics-(IMTS)@Sna8,
* Mcs.Sna8/international-merchandise-trade-statistics-(IMTS), 26.52
international-organizations::
* Mcs.international-organizations@Sna8,
* Mcs.Sna8/international-organizations, 26.26, 26.44
· characteristics 4.173
International-Public-Sector-Accounting-Standards-Board-(IPSASB)::
* Mcs.International-Public-Sector-Accounting-Standards-Board-(IPSASB)@Sna8,
* Mcs.Sna8/International-Public-Sector-Accounting-Standards-Board-(IPSASB), 21.66, 22.13
International-Recommendations-for-Industrial-Statistics::
* Mcs.International-Recommendations-for-Industrial-Statistics@Sna8,
* Mcs.Sna8/International-Recommendations-for-Industrial-Statistics, 25.88
international-relief-activities::
* Mcs.international-relief-activities@Sna8,
* Mcs.Sna8/international-relief-activities, 23.41
international-trade-in-services::
* Mcs.international-trade-in-services@Sna8,
* Mcs.Sna8/international-trade-in-services, 15.165
international-transfers::
* Mcs.international-transfers@Sna8,
* Mcs.Sna8/international-transfers, 8.22
inter-spatial-comparisons::
* Mcs.inter-spatial-comparisons@Sna8,
* Mcs.Sna8/inter-spatial-comparisons, 2.66
intra-household-services::
* Mcs.intra-household-services@Sna8,
* Mcs.Sna8/intra-household-services, 29.44
intra-unit-deliveries::
* Mcs.intra-unit-deliveries@Sna8,
* Mcs.Sna8/intra-unit-deliveries, 3.90, 5.27, 6.87, 6.104, 14.41, 18.48, 29.65
· transfer of risk 6.86
intra-unit-flows::
* Mcs.intra-unit-flows@Sna8,
* Mcs.Sna8/intra-unit-flows, 2.24
intra-unit-transactions::
* Mcs.intra-unit-transactions@Sna8,
* Mcs.Sna8/intra-unit-transactions,
· see internal transactions
inventories::
* Mcs.inventories@Sna8,
* Mcs.Sna8/inventories, 10.12, 10.124
· are produced assets that consist of goods and services, which came into existence in the current period or in an earlier period, and that are held for sale, use in production or other use at a later date. see 10.12
· borderline with gross fixed capital formation 6.112
· held abroad 14.73
inventories-held-abroad::
* Mcs.inventories-held-abroad@Sna8,
* Mcs.Sna8/inventories-held-abroad, 26.21
inventories-of-finished-goods::
* Mcs.inventories-of-finished-goods@Sna8,
* Mcs.Sna8/inventories-of-finished-goods,
· causes 6.105
· entries to, valuation 6.106
· withdrawals from, valuation 6.106
investment-funds::
* Mcs.investment-funds@Sna8,
* Mcs.Sna8/investment-funds, 11.97, 12.113
· are collective investment undertakings through which investors pool funds for investment in financial or non-financial assets. see 11.94
· reinvestment of investment income 17.286
investment-grant::
* Mcs.investment-grant@Sna8,
* Mcs.Sna8/investment-grant, 8.98, 11.91
· consist of capital transfers made by governments to other resident or non-resident institutional units to finance all or part of the costs of their acquiring fixed assets. see 10.208
· paid in installments 10.208
investment-in-capital-formation-equal-to-saving-plus-net-borrowing-from-the-rest-of-the-world::
* Mcs.investment-in-capital-formation-equal-to-saving-plus-net-borrowing-from-the-rest-of-the-world@Sna8,
* Mcs.Sna8/investment-in-capital-formation-equal-to-saving-plus-net-borrowing-from-the-rest-of-the-world, 17.226
investment-income::
* Mcs.investment-income@Sna8,
* Mcs.Sna8/investment-income, 6.193, 7.17, 7.23, 7.107, 7.108, 17.136, 26.59, 26.62, 26.77
· is the income receivable by the owner of a financial asset in return for providing funds to another institutional unit. see 7.108
· annuity 17.73
· attributable to guarantee holders 17.220
· attributable to policyholders 17.18, 17.52, 17.113, 17.114
· life insurance 17.53
· non-life insurance 17.47
· attributable to the annuitant 17.72
· currency and deposits 17.247
· equity and investment fund shares 17.284
· financial derivative 17.292
· on pension entitlements 17.130, 17.134
· receivable by reinsurance policy holders 17.64
investment-vs-consumption::
* Mcs.investment-vs-consumption@Sna8,
* Mcs.Sna8/investment-vs-consumption, 1.52
invitation-to-comment-(ITC)::
* Mcs.invitation-to-comment-(ITC)@Sna8,
* Mcs.Sna8/invitation-to-comment-(ITC), 21.62
invoiced-VAT::
* Mcs.invoiced-VAT@Sna8,
* Mcs.Sna8/invoiced-VAT, 6.58, 7.6, 7.75, 14.45
· is the VAT payable on the sales of a producer.
It is shown separately on the invoice that the producer presents to the purchaser. see 6.58
inward-direct-investment::
* Mcs.inward-direct-investment@Sna8,
* Mcs.Sna8/inward-direct-investment, 26.89
inward-investment::
* Mcs.inward-investment@Sna8,
* Mcs.Sna8/inward-investment, 21.39
IPSASB-(International-Public-Sector-Accounting-Standards-Board)::
* Mcs.IPSASB-(International-Public-Sector-Accounting-Standards-Board)@Sna8,
* Mcs.Sna8/IPSASB-(International-Public-Sector-Accounting-Standards-Board), 21.66, 22.13
ISIC-(International-Standard-Industrial-Classification-of-All-Economic-Activities)::
* Mcs.ISIC-(International-Standard-Industrial-Classification-of-All-Economic-Activities)@Sna8,
* Mcs.Sna8/ISIC-(International-Standard-Industrial-Classification-of-All-Economic-Activities), 2.39, 5.4, 5.24, 5.50, 6.12, 6.207, 14.32, 23.30, 25.46, 28.43, 29.24
ISWGNA-(Inter-Secretariat-Working-Group-on-National-Accounts)::
* Mcs.ISWGNA-(Inter-Secretariat-Working-Group-on-National-Accounts)@Sna8,
* Mcs.Sna8/ISWGNA-(Inter-Secretariat-Working-Group-on-National-Accounts), PrefaceAP2
ITC-(Invitation-To-Comment)::
* Mcs.ITC-(Invitation-To-Comment)@Sna8,
* Mcs.Sna8/ITC-(Invitation-To-Comment), A4.10
Name::
* Mcs.Index-J@Sna8,
* Mcs.Sna8/Index-J,
jewellery::
* Mcs.jewellery@Sna8,
* Mcs.Sna8/jewellery, 9.57
job::
* Mcs.job@Sna8,
* Mcs.Sna8/job, 19.61, 19.78, 25.79
· definition 19.30
· five ILO categories 25.57
job-vacancies::
* Mcs.job-vacancies@Sna8,
* Mcs.Sna8/job-vacancies, 19.31
Johns-Hopkins-Comparative-Non-Profit-Sector-Project::
* Mcs.Johns-Hopkins-Comparative-Non-Profit-Sector-Project@Sna8,
* Mcs.Sna8/Johns-Hopkins-Comparative-Non-Profit-Sector-Project, 23.17
joint-products::
* Mcs.joint-products@Sna8,
* Mcs.Sna8/joint-products, 5.49, 28.46
joint-venture::
* Mcs.joint-venture@Sna8,
* Mcs.Sna8/joint-venture, 17.347
· A joint venture involves the establishment of a corporation, partnership or other institutional unit in which each party legally has joint control over the activities of the unit. see 22.56
Name::
* Mcs.Index-K@Sna8,
* Mcs.Sna8/Index-K,
KAU-(Kind-of-activity-unit)::
* Mcs.KAU-(Kind-of-activity-unit)@Sna8,
* Mcs.Sna8/KAU-(Kind-of-activity-unit), 5.12
key-aggregates::
* Mcs.key-aggregates@Sna8,
* Mcs.Sna8/key-aggregates,
· recasting 29.12
key-industries::
* Mcs.key-industries@Sna8,
* Mcs.Sna8/key-industries, 18.58
key-sector::
* Mcs.key-sector@Sna8,
* Mcs.Sna8/key-sector, 2.163, 29.3, 29.22
· role of government 29.28
kind-of-activity-unit::
* Mcs.kind-of-activity-unit@Sna8,
* Mcs.Sna8/kind-of-activity-unit,
· A kind-of-activity unit is an enterprise, or a part of an enterprise, that engages in only one kind of productive activity or in which the principal productive activity accounts for most of the value added. see 5.12
KLEMS-(Capital-labour-energy-materials-service-inputs)::
* Mcs.KLEMS-(Capital-labour-energy-materials-service-inputs)@Sna8,
* Mcs.Sna8/KLEMS-(Capital-labour-energy-materials-service-inputs), 19.65
knowledge::
* Mcs.knowledge@Sna8,
* Mcs.Sna8/knowledge, 10.103
knowledge-capturing-products::
* Mcs.knowledge-capturing-products@Sna8,
* Mcs.Sna8/knowledge-capturing-products, 6.13, 6.22
· characteristics 6.22
Name::
* Mcs.Index-L@Sna8,
* Mcs.Sna8/Index-L,
labour::
* Mcs.labour@Sna8,
* Mcs.Sna8/labour, 19.1
labour-accounts::
* Mcs.labour-accounts@Sna8,
* Mcs.Sna8/labour-accounts, 28.83
labour-force::
* Mcs.labour-force@Sna8,
* Mcs.Sna8/labour-force, 6.31
· The labour force consists of those who are actively prepared to make their labour available during any particular reference period for producing goods and services that are included within the production boundary of the SNA. see 19.17
labour-force-statistics::
* Mcs.labour-force-statistics@Sna8,
* Mcs.Sna8/labour-force-statistics, 1.42
labour-force-survey::
* Mcs.labour-force-survey@Sna8,
* Mcs.Sna8/labour-force-survey, 25.83
labour-in-unincorporated-enterprises::
* Mcs.labour-in-unincorporated-enterprises@Sna8,
* Mcs.Sna8/labour-in-unincorporated-enterprises, 24.8
labour-input::
* Mcs.labour-input@Sna8,
* Mcs.Sna8/labour-input, 2.157, 7.2, 19.71
labour-input-of-employees-at-constant-compensation::
* Mcs.labour-input-of-employees-at-constant-compensation@Sna8,
* Mcs.Sna8/labour-input-of-employees-at-constant-compensation, 19.59
labour-market-questions::
* Mcs.labour-market-questions@Sna8,
* Mcs.Sna8/labour-market-questions, 28.63
labour-productivity::
* Mcs.labour-productivity@Sna8,
* Mcs.Sna8/labour-productivity, 15.138, 19.1, 19.4, 19.70
land::
* Mcs.land@Sna8,
* Mcs.Sna8/land, 7.2, 7.109, 17.326, 20.41
· consists of the ground, including the soil covering and any associated surface waters, over which ownership rights are enforced and from which economic benefits can be derived by their owners by holding or using them. see 10.175
· costs of ownership transfer 10.160
· disaggregation 10.178
· economic appearance 12.21
· forested 17.329
· improvements 10.44, 10.79, 12.21
· rent 20.65
land-improvements::
* Mcs.land-improvements@Sna8,
* Mcs.Sna8/land-improvements,
· are the result of actions that lead to major improvements in the quantity, quality or productivity of land, or prevent its deterioration. see 10.79
landlord::
* Mcs.landlord@Sna8,
* Mcs.Sna8/landlord, 9.67
large-operating-deficits::
* Mcs.large-operating-deficits@Sna8,
* Mcs.Sna8/large-operating-deficits, 10.212
Laspeyres-index::
* Mcs.Laspeyres-index@Sna8,
* Mcs.Sna8/Laspeyres-index, 19.56
· price 15.16
· volume 15.17
Laspeyres-type-index-price::
* Mcs.Laspeyres-type-index-price@Sna8,
* Mcs.Sna8/Laspeyres-type-index-price, 15.207
· volume 15.208
lease::
* Mcs.lease@Sna8,
* Mcs.Sna8/lease, 17.297
· see financial lease, operational lease, resource lease, contracts, leases and licences, permits Lease - financial A financial lease is one where the lessor as legal owner of an asset passes the economic ownership to the lessee who then accepts the operating risks and receives the economic benefits from using the asset in a productive activity. 17.304
· duration 17.308
· encumbered 17.371
· for less than the whole life of the asset 17.307
leave::
* Mcs.leave@Sna8,
* Mcs.Sna8/leave, 19.52
legacies::
* Mcs.legacies@Sna8,
* Mcs.Sna8/legacies, 10.212
legal-entities::
* Mcs.legal-entities@Sna8,
* Mcs.Sna8/legal-entities, 1.9, 4.3
· A legal or social entity is one whose existence is recognized by law or society independently of the persons, or other entities, that may own or control it. see 4.6
legal-fees::
* Mcs.legal-fees@Sna8,
* Mcs.Sna8/legal-fees, 20.60
legal-incorporation::
* Mcs.legal-incorporation@Sna8,
* Mcs.Sna8/legal-incorporation, 25.21
legal-monopoly::
* Mcs.legal-monopoly@Sna8,
* Mcs.Sna8/legal-monopoly, 7.96
legal-owner::
* Mcs.legal-owner@Sna8,
* Mcs.Sna8/legal-owner, 2.47, 10.5, 13.3, 17.296, 17.300
· The legal owner of entities such as goods and services, natural resources, financial assets and liabilities is the institutional unit entitled in law and sustainable under the law to claim the benefits associated with the entities. see 3.21, 10.5
· PPP 22.159
leisure-valuation::
* Mcs.leisure-valuation@Sna8,
* Mcs.Sna8/leisure-valuation, 29.146
lending-of-own-funds::
* Mcs.lending-of-own-funds@Sna8,
* Mcs.Sna8/lending-of-own-funds, 17.251
Leontief::
* Mcs.Leontief@Sna8,
* Mcs.Sna8/Leontief, 28.38
letters-of-credit::
* Mcs.letters-of-credit@Sna8,
* Mcs.Sna8/letters-of-credit, 11.22
liabilities-and-net-worth::
* Mcs.liabilities-and-net-worth@Sna8,
* Mcs.Sna8/liabilities-and-net-worth, 2.44
liabilities-financial::
* Mcs.liabilities-financial@Sna8,
* Mcs.Sna8/liabilities-financial, 3.20
liability::
* Mcs.liability@Sna8,
* Mcs.Sna8/liability, 2.33, 3.5, 11.4, 11.5
· A liability is established when one unit (the debtor) is obliged, under specific circumstances, to provide a payment or series of payments to another unit (the creditor). see 3.5, 3.33, 11.5
· cross-classified by creditor 2.151
· distinction from contingent liability 11.23
· distinction from provision 11.23
· non-pension benefits 17.110
licence::
* Mcs.licence@Sna8,
* Mcs.Sna8/licence, 8.54, 8.64, 8.135, 9.70, 17.297
· see Contracts, leases and licences
· casino 17.350
· issued by government in strictly limited numbers 22.90
· mobile phones 17.316
· recorded on an accrual basis 17.351
· taxi 17.350
· to extract natural resources 10.172
· to reproduce 10.100
· to undertake a specific activity 9.70
· to use an original 6.211, 10.100
licence-to-make-copies-(reproduce)::
* Mcs.licence-to-make-copies-(reproduce)@Sna8,
* Mcs.Sna8/licence-to-make-copies-(reproduce), 6.212
licences-and-fees-convention-on-treatment::
* Mcs.licences-and-fees-convention-on-treatment@Sna8,
* Mcs.Sna8/licences-and-fees-convention-on-treatment, 9.70
life-expectancy::
* Mcs.life-expectancy@Sna8,
* Mcs.Sna8/life-expectancy, 17.7, 17.67
life-insurance::
* Mcs.life-insurance@Sna8,
* Mcs.Sna8/life-insurance, 6.178, 8.36, 8.74
· is an activity whereby a policy holder makes regular payments to an insurer in return for which the insurer guarantees to provide the policy holder (or in some cases another nominated person) with an agreed sum, or an annuity, at a given date or earlier if the policy holder dies beforehand. see 17.6
· as a form of saving 17.7
· difference from non-life insurance 17.51
· financial transactions 17.8
life-insurance-and-annuities-entitlements::
* Mcs.life-insurance-and-annuities-entitlements@Sna8,
* Mcs.Sna8/life-insurance-and-annuities-entitlements, 17.52
· show the extent of financial claims policy holders have against an enterprise offering life insurance or providing annuities. see 11.106
life-insurance-policy::
* Mcs.life-insurance-policy@Sna8,
* Mcs.Sna8/life-insurance-policy, 7.144
· qualifying as social insurance 17.51
limited-liability::
* Mcs.limited-liability@Sna8,
* Mcs.Sna8/limited-liability, 21.15
limited-liability-and-other-partnerships::
* Mcs.limited-liability-and-other-partnerships@Sna8,
* Mcs.Sna8/limited-liability-and-other-partnerships, 11.88
limited-liability-partnerships::
* Mcs.limited-liability-partnerships@Sna8,
* Mcs.Sna8/limited-liability-partnerships, 7.129, 21.11
line-of-insurance-business::
* Mcs.line-of-insurance-business@Sna8,
* Mcs.Sna8/line-of-insurance-business, 17.27
lines-of-credit-undrawn::
* Mcs.lines-of-credit-undrawn@Sna8,
* Mcs.Sna8/lines-of-credit-undrawn, 11.73
liquidating-dividends::
* Mcs.liquidating-dividends@Sna8,
* Mcs.Sna8/liquidating-dividends, 11.90
liquidity-provision::
* Mcs.liquidity-provision@Sna8,
* Mcs.Sna8/liquidity-provision, 6.157
liquidity-transformation::
* Mcs.liquidity-transformation@Sna8,
* Mcs.Sna8/liquidity-transformation, 6.158, 17.228
livestock::
* Mcs.livestock@Sna8,
* Mcs.Sna8/livestock, 10.94
living-standards::
* Mcs.living-standards@Sna8,
* Mcs.Sna8/living-standards, 9.17
loan-capital::
* Mcs.loan-capital@Sna8,
* Mcs.Sna8/loan-capital, 7.128
loan-commitments::
* Mcs.loan-commitments@Sna8,
* Mcs.Sna8/loan-commitments, 11.22
loans::
* Mcs.loans@Sna8,
* Mcs.Sna8/loans, 11.72, 27.32
· are financial assets that are created when a creditor lends funds directly to a debtor, and are evidenced by documents that are not negotiable. see 11.72
· associated with financial lease 17.304
· interest-free 7.54
· negotiable 11.65
· supplementary sub-division 11.79
loans-and-deposits-denominated-in-domestic-currency-holding-gains::
* Mcs.loans-and-deposits-denominated-in-domestic-currency-holding-gains@Sna8,
* Mcs.Sna8/loans-and-deposits-denominated-in-domestic-currency-holding-gains, 17.237
loans-non-performing::
* Mcs.loans-non-performing@Sna8,
* Mcs.Sna8/loans-non-performing,
· definition 13.66
loans-non-performing::
* Mcs.loans-non-performing@Sna8,
* Mcs.Sna8/loans-non-performing,
· see non-performing loans
local-government::
* Mcs.local-government@Sna8,
* Mcs.Sna8/local-government, 4.30, 4.118
local-government-sub-sector::
* Mcs.local-government-sub-sector@Sna8,
* Mcs.Sna8/local-government-sub-sector, 4.145
local-unit::
* Mcs.local-unit@Sna8,
* Mcs.Sna8/local-unit,
· A local unit is an enterprise, or a part of an enterprise, that engages in productive activity at or from one location. see 5.13
location::
* Mcs.location@Sna8,
* Mcs.Sna8/location, 25.26
logging-illegal::
* Mcs.logging-illegal@Sna8,
* Mcs.Sna8/logging-illegal, 17.332
long-term-debt-securities::
* Mcs.long-term-debt-securities@Sna8,
* Mcs.Sna8/long-term-debt-securities, 11.71
long-term-lease::
* Mcs.long-term-lease@Sna8,
* Mcs.Sna8/long-term-lease,
· held by non-resident 26.34
losses-of-government-trading-organizations::
* Mcs.losses-of-government-trading-organizations@Sna8,
* Mcs.Sna8/losses-of-government-trading-organizations, 7.103, 7.105
lost-deposits::
* Mcs.lost-deposits@Sna8,
* Mcs.Sna8/lost-deposits, 17.383
lotteries::
* Mcs.lotteries@Sna8,
* Mcs.Sna8/lotteries, 8.101, 8.136
· participation by non-resident households 8.138
· supporting charities 8.137
Lowe-index::
* Mcs.Lowe-index@Sna8,
* Mcs.Sna8/Lowe-index, 15.35
loyalty-programmes::
* Mcs.loyalty-programmes@Sna8,
* Mcs.Sna8/loyalty-programmes, 6.148
Lp-(Laspeyres-Price-Index)::
* Mcs.Lp-(Laspeyres-Price-Index)@Sna8,
* Mcs.Sna8/Lp-(Laspeyres-Price-Index), 15.19
Lq-(Laspeyres-Volume-Index)::
* Mcs.Lq-(Laspeyres-Volume-Index)@Sna8,
* Mcs.Sna8/Lq-(Laspeyres-Volume-Index), 15.17
Name::
* Mcs.Index-M@Sna8,
* Mcs.Sna8/Index-M,
machinery-and-equipment::
* Mcs.machinery-and-equipment@Sna8,
* Mcs.Sna8/machinery-and-equipment, 10.82
· covers transport equipment, machinery for information, communication and telecommunications (ICT) equipment, and other machinery and equipment. see 10.82
macro-economic-aggregates::
* Mcs.macro-economic-aggregates@Sna8,
* Mcs.Sna8/macro-economic-aggregates, 2.135
· modification of 29.51
macro-economic-models::
* Mcs.macro-economic-models@Sna8,
* Mcs.Sna8/macro-economic-models, 1.30, 18.9
main-budget-account::
* Mcs.main-budget-account@Sna8,
* Mcs.Sna8/main-budget-account, 22.19
maintenance::
* Mcs.maintenance@Sna8,
* Mcs.Sna8/maintenance, 6.228, 24.53
· as done by a landlord 9.67
· as done by a tenant 9.66
· vs. gross fixed capital formation 6.226
maintenance-cost::
* Mcs.maintenance-cost@Sna8,
* Mcs.Sna8/maintenance-cost, 29.122
major-repairs::
* Mcs.major-repairs@Sna8,
* Mcs.Sna8/major-repairs, 6.37, 6.229, 20.61, 24.53
management-buy-outs-and-buy-ins::
* Mcs.management-buy-outs-and-buy-ins@Sna8,
* Mcs.Sna8/management-buy-outs-and-buy-ins, 21.23
manuscripts::
* Mcs.manuscripts@Sna8,
* Mcs.Sna8/manuscripts, 10.115
mapping-individuals-to-households::
* Mcs.mapping-individuals-to-households@Sna8,
* Mcs.Sna8/mapping-individuals-to-households, 28.82
margin::
* Mcs.margin@Sna8,
* Mcs.Sna8/margin,
· financial derivatives 11.124
· negative 6.150
· non-repayable 11.124
· repayable 11.124
· see trade margins
· see transport margins
margin-services::
* Mcs.margin-services@Sna8,
* Mcs.Sna8/margin-services, 6.17, 6.21, 14.126
marginal-price-of-labour::
* Mcs.marginal-price-of-labour@Sna8,
* Mcs.Sna8/marginal-price-of-labour, 19.56
marginal-revenue::
* Mcs.marginal-revenue@Sna8,
* Mcs.Sna8/marginal-revenue, 19.56
market-emergence::
* Mcs.market-emergence@Sna8,
* Mcs.Sna8/market-emergence, 6.22
market-failure::
* Mcs.market-failure@Sna8,
* Mcs.Sna8/market-failure, 6.129
market-imperfections::
* Mcs.market-imperfections@Sna8,
* Mcs.Sna8/market-imperfections, 9.76
market-maker::
* Mcs.market-maker@Sna8,
* Mcs.Sna8/market-maker, 11.65, 17.289
market-output::
* Mcs.market-output@Sna8,
* Mcs.Sna8/market-output,
· consists of output intended for sale at economically significant prices. see 6.99
· components 6.99
· made available at nominal cost, 6.131
market-prices::
* Mcs.market-prices@Sna8,
* Mcs.Sna8/market-prices, 2.59, 3.119, 6.60, 6.68
market-producer::
* Mcs.market-producer@Sna8,
* Mcs.Sna8/market-producer, 2.40, 4.25, 9.85, 14.32, 22.28
· are establishments, all or most of whose output is market production. see 6.133
market-production-informal-vs-SNA-usage::
* Mcs.market-production-informal-vs-SNA-usage@Sna8,
* Mcs.Sna8/market-production-informal-vs-SNA-usage, 25.51, 25.65
market-vs-non-market-producers::
* Mcs.market-vs-non-market-producers@Sna8,
* Mcs.Sna8/market-vs-non-market-producers, 9.108
marketability::
* Mcs.marketability@Sna8,
* Mcs.Sna8/marketability, 27.19
marketable-operating-lease::
* Mcs.marketable-operating-lease@Sna8,
* Mcs.Sna8/marketable-operating-lease, 17.375
· are third-party property rights relating to fixed assets. see 10.190
· conditions for recognition 17.376
market-equivalent-prices::
* Mcs.market-equivalent-prices@Sna8,
* Mcs.Sna8/market-equivalent-prices, 26.19
marketing-assets::
* Mcs.marketing-assets@Sna8,
* Mcs.Sna8/marketing-assets,
· consist of items such as brand names, mastheads, trademarks, logos and domain names. see 10.198
master-copy::
* Mcs.master-copy@Sna8,
* Mcs.Sna8/master-copy, 10.99
master-legal-agreements::
* Mcs.master-legal-agreements@Sna8,
* Mcs.Sna8/master-legal-agreements, 11.123
matched-models-method::
* Mcs.matched-models-method@Sna8,
* Mcs.Sna8/matched-models-method, 15.80
materials-and-supplies::
* Mcs.materials-and-supplies@Sna8,
* Mcs.Sna8/materials-and-supplies, 10.131, 14.110
· consist of all products that an enterprise holds in inventory with the intention of using them as intermediate inputs into production. see 10.131
maternity-benefits::
* Mcs.maternity-benefits@Sna8,
* Mcs.Sna8/maternity-benefits, 8.39
mathematical-techniques-for-interpolation-and-extrapolation::
* Mcs.mathematical-techniques-for-interpolation-and-extrapolation@Sna8,
* Mcs.Sna8/mathematical-techniques-for-interpolation-and-extrapolation, 18.41
matrix::
* Mcs.matrix@Sna8,
* Mcs.Sna8/matrix,
· industry by industry 28.49
· product by product 28.48
· symmetric 28.32
matrix-presentation::
* Mcs.matrix-presentation@Sna8,
* Mcs.Sna8/matrix-presentation, 2.12, 28.1, 28.81
maturity::
* Mcs.maturity@Sna8,
* Mcs.Sna8/maturity, 12.40, 27.20
meal-breaks::
* Mcs.meal-breaks@Sna8,
* Mcs.Sna8/meal-breaks, 19.52
means-tested-benefits::
* Mcs.means-tested-benefits@Sna8,
* Mcs.Sna8/means-tested-benefits, 8.70
means-testing::
* Mcs.means-testing@Sna8,
* Mcs.Sna8/means-testing, 8.92, 17.116
measures-of-economic-activity::
* Mcs.measures-of-economic-activity@Sna8,
* Mcs.Sna8/measures-of-economic-activity, 1.1
Measuring-the-Non-Observed-Economy::
* Mcs.Measuring-the-Non-Observed-Economy@Sna8,
* Mcs.Sna8/Measuring-the-Non-Observed-Economy, 25.2, 25.81
medical-service-at-the-workplace::
* Mcs.medical-service-at-the-workplace@Sna8,
* Mcs.Sna8/medical-service-at-the-workplace, 8.102
medical-treatment::
* Mcs.medical-treatment@Sna8,
* Mcs.Sna8/medical-treatment, 8.68
members-of-a-household-resident-in-the-same-economy::
* Mcs.members-of-a-household-resident-in-the-same-economy@Sna8,
* Mcs.Sna8/members-of-a-household-resident-in-the-same-economy, 26.29
members-of-a-producers'-cooperative::
* Mcs.members-of-a-producers'-cooperative@Sna8,
* Mcs.Sna8/members-of-a-producers'-cooperative, 7.30, 19.28
membership-dues::
* Mcs.membership-dues@Sna8,
* Mcs.Sna8/membership-dues, 8.132, 22.100, 23.4
memorandum-items::
* Mcs.memorandum-items@Sna8,
* Mcs.Sna8/memorandum-items, 11.22
· consumer durables 13.93
· financial account 11.129
· foreign direct investment 13.95, 27.21
· non-performing loans 13.67
· supply and use table 14.121
merchandise-trade-figures::
* Mcs.merchandise-trade-figures@Sna8,
* Mcs.Sna8/merchandise-trade-figures, 28.22
merchanted-goods::
* Mcs.merchanted-goods@Sna8,
* Mcs.Sna8/merchanted-goods, 14.62
merchanting::
* Mcs.merchanting@Sna8,
* Mcs.Sna8/merchanting, 14.73, 26.21, 26.49, 26.53
· purchases recording as negative exports 26.21
merger::
* Mcs.merger@Sna8,
* Mcs.Sna8/merger, 21.16, 21.20, 21.21, 22.148
MFP-(Multi-Factor-Productivity)::
* Mcs.MFP-(Multi-Factor-Productivity)@Sna8,
* Mcs.Sna8/MFP-(Multi-Factor-Productivity), 19.4
MFSM-(Monetary-and-Financial-Statistics-Manual)::
* Mcs.MFSM-(Monetary-and-Financial-Statistics-Manual)@Sna8,
* Mcs.Sna8/MFSM-(Monetary-and-Financial-Statistics-Manual), 27.4, 27.7, 27.12, 29.86
micro-finance-schemes::
* Mcs.micro-finance-schemes@Sna8,
* Mcs.Sna8/micro-finance-schemes, 17.251, 23.46
military-bases::
* Mcs.military-bases@Sna8,
* Mcs.Sna8/military-bases, 4.49
· equipment 6.232
· forces 26.44
military-inventories::
* Mcs.military-inventories@Sna8,
* Mcs.Sna8/military-inventories,
· consist of single-use items, such as ammunition, missiles, rockets, bombs, etc., delivered by weapons or weapons systems. see 10.144
mineral-exploration-and-evaluation::
* Mcs.mineral-exploration-and-evaluation@Sna8,
* Mcs.Sna8/mineral-exploration-and-evaluation, 6.231, 10.106
mineral-resources::
* Mcs.mineral-resources@Sna8,
* Mcs.Sna8/mineral-resources, 10.179, 17.340
· depletion 17.343
· extraction of 17.342
· owned by resident units 17.341
mineral-and-energy-resources::
* Mcs.mineral-and-energy-resources@Sna8,
* Mcs.Sna8/mineral-and-energy-resources,
· consist of mineral and energy reserves located on or below the earth's surface that are economically exploitable, given current technology and relative prices. see 10.179
mineral-exploration-and-evaluation::
* Mcs.mineral-exploration-and-evaluation@Sna8,
* Mcs.Sna8/mineral-exploration-and-evaluation,
· consists of the value of expenditures on exploration for petroleum and natural gas and for non-petroleum deposits and subsequent evaluation of the discoveries made. see 10.106
ministers-of-religion::
* Mcs.ministers-of-religion@Sna8,
* Mcs.Sna8/ministers-of-religion, 19.21
ministry-of-finance::
* Mcs.ministry-of-finance@Sna8,
* Mcs.Sna8/ministry-of-finance, 22.19
miscellaneous-current-taxes::
* Mcs.miscellaneous-current-taxes@Sna8,
* Mcs.Sna8/miscellaneous-current-taxes, 8.64
miscellaneous-current-transfers::
* Mcs.miscellaneous-current-transfers@Sna8,
* Mcs.Sna8/miscellaneous-current-transfers, 8.129
· consist of current transfers other than insurance-related premiums and claims, current transfers within general government and current international cooperation. see 8.129
mis-reporting::
* Mcs.mis-reporting@Sna8,
* Mcs.Sna8/mis-reporting, 19.76, 25.5
mixed-household-enterprise-survey::
* Mcs.mixed-household-enterprise-survey@Sna8,
* Mcs.Sna8/mixed-household-enterprise-survey, 25.87
mixed-income::
* Mcs.mixed-income@Sna8,
* Mcs.Sna8/mixed-income, 6.126, 7.9, 7.17, 7.30, 16.7, 19.25, 20.49, 28.29
MMF-(Money-Market-Fund)::
* Mcs.MMF-(Money-Market-Fund)@Sna8,
* Mcs.Sna8/MMF-(Money-Market-Fund), 4.107
MNE-(MultiNational-Enterprise)::
* Mcs.MNE-(MultiNational-Enterprise)@Sna8,
* Mcs.Sna8/MNE-(MultiNational-Enterprise), 21.47
mobile-homes::
* Mcs.mobile-homes@Sna8,
* Mcs.Sna8/mobile-homes, 10.83
mobile-phone-criteria-for-distinction-between-lease-and-ownership-of::
* Mcs.mobile-phone-criteria-for-distinction-between-lease-and-ownership-of@Sna8,
* Mcs.Sna8/mobile-phone-criteria-for-distinction-between-lease-and-ownership-of,
· an asset 17.318
mobile-phone-licences::
* Mcs.mobile-phone-licences@Sna8,
* Mcs.Sna8/mobile-phone-licences, 17.316
model-pricing::
* Mcs.model-pricing@Sna8,
* Mcs.Sna8/model-pricing, 15.82
modelling::
* Mcs.modelling@Sna8,
* Mcs.Sna8/modelling, 27.37, 28.2
monetary-and-currency-unions::
* Mcs.monetary-and-currency-unions@Sna8,
* Mcs.Sna8/monetary-and-currency-unions, 26.109
monetary-and-financial-statistics::
* Mcs.monetary-and-financial-statistics@Sna8,
* Mcs.Sna8/monetary-and-financial-statistics, 16.22, 26.74, 27.3
monetary-gold::
* Mcs.monetary-gold@Sna8,
* Mcs.Sna8/monetary-gold, 17.240
· is gold to which the monetary authorities (or others who are subject to the effective control of the monetary authorities) have title and that is held as a reserve asset. see 11.45
· holding gains and losses 12.103
· reclassified as commodity gold 17.242
monetary-policy-services::
* Mcs.monetary-policy-services@Sna8,
* Mcs.Sna8/monetary-policy-services, 6.151
monetary-statistics::
* Mcs.monetary-statistics@Sna8,
* Mcs.Sna8/monetary-statistics, 27.14
monetary-transactions::
* Mcs.monetary-transactions@Sna8,
* Mcs.Sna8/monetary-transactions, 1.36, 2.25
· A monetary transaction is one in which one institutional unit makes a payment (receives a payment) or incurs a liability (receives an asset) stated in units of currency. see 3.55
· examples 3.56
money-lender::
* Mcs.money-lender@Sna8,
* Mcs.Sna8/money-lender, 6.165, 9.62, 17.251
· definition 4.113
money-market-funds::
* Mcs.money-market-funds@Sna8,
* Mcs.Sna8/money-market-funds, 11.97
· are collective investment schemes that raise funds by issuing shares or units to the public.
The proceeds are invested primarily in money market instruments, MMF shares/units, transferable debt instruments with a residual maturity of not more than one year, bank deposits and instruments that pursue a rate of return that approaches the interest rates of money market instruments.
MMF shares can be transferred by cheque or other means of direct third-party payment. see 4.107
· definition 4.107, 11.99
money-purchase-scheme::
* Mcs.money-purchase-scheme@Sna8,
* Mcs.Sna8/money-purchase-scheme, 7.147
monitoring-services::
* Mcs.monitoring-services@Sna8,
* Mcs.Sna8/monitoring-services, 6.157
monopoly::
* Mcs.monopoly@Sna8,
* Mcs.Sna8/monopoly, 7.96
· legal 7.96
monopoly-profits::
* Mcs.monopoly-profits@Sna8,
* Mcs.Sna8/monopoly-profits, 7.96, 10.98, 10.193, 17.350
mortality-data::
* Mcs.mortality-data@Sna8,
* Mcs.Sna8/mortality-data, 12.59
mortgage::
* Mcs.mortgage@Sna8,
* Mcs.Sna8/mortgage, 11.67, 24.58
mortgage-broker::
* Mcs.mortgage-broker@Sna8,
* Mcs.Sna8/mortgage-broker, 17.229
MPI-(iMport-Price-Index)::
* Mcs.MPI-(iMport-Price-Index)@Sna8,
* Mcs.Sna8/MPI-(iMport-Price-Index), 15.108
MSITS-(Manual-on-Statistics-of-International-Trade-in-Services)::
* Mcs.MSITS-(Manual-on-Statistics-of-International-Trade-in-Services)@Sna8,
* Mcs.Sna8/MSITS-(Manual-on-Statistics-of-International-Trade-in-Services), 26.57
multiemployer-scheme::
* Mcs.multiemployer-scheme@Sna8,
* Mcs.Sna8/multiemployer-scheme, 6.201, 6.205, 17.92, 17.122, 17.129, 17.131, 17.151, 17.164
multifactor-productivity::
* Mcs.multifactor-productivity@Sna8,
* Mcs.Sna8/multifactor-productivity, 19.4, 19.64, 21.51
multilateral-international-comparisons::
* Mcs.multilateral-international-comparisons@Sna8,
* Mcs.Sna8/multilateral-international-comparisons, 15.210
multinational-enterprises::
* Mcs.multinational-enterprises@Sna8,
* Mcs.Sna8/multinational-enterprises, 1.32, 21.47, 21.64
multiple-exchange-rates::
* Mcs.multiple-exchange-rates@Sna8,
* Mcs.Sna8/multiple-exchange-rates, 8.55, 26.112
multiregional-units::
* Mcs.multiregional-units@Sna8,
* Mcs.Sna8/multiregional-units, 18.47
multiterritory-enterprises::
* Mcs.multiterritory-enterprises@Sna8,
* Mcs.Sna8/multiterritory-enterprises, 4.13, 26.35, 26.40
museum-exhibits::
* Mcs.museum-exhibits@Sna8,
* Mcs.Sna8/museum-exhibits, 10.153
musical-performances::
* Mcs.musical-performances@Sna8,
* Mcs.Sna8/musical-performances, 10.115
mutual-agreement::
* Mcs.mutual-agreement@Sna8,
* Mcs.Sna8/mutual-agreement, 2.22
mutual-funds::
* Mcs.mutual-funds@Sna8,
* Mcs.Sna8/mutual-funds, 11.96
mutual-societies::
* Mcs.mutual-societies@Sna8,
* Mcs.Sna8/mutual-societies, 23.22
Name::
* Mcs.Index-N@Sna8,
* Mcs.Sna8/Index-N,
n.e.c.-(not-elsewhere-classified)::
* Mcs.n.e.c.-(not-elsewhere-classified)@Sna8,
* Mcs.Sna8/n.e.c.-(not-elsewhere-classified),
n.i.e.-(not-included-elsewhere)::
* Mcs.n.i.e.-(not-included-elsewhere)@Sna8,
* Mcs.Sna8/n.i.e.-(not-included-elsewhere),
narcotics::
* Mcs.narcotics@Sna8,
* Mcs.Sna8/narcotics, 6.44
national-accounts-integral-to-PPP-estimates::
* Mcs.national-accounts-integral-to-PPP-estimates@Sna8,
* Mcs.Sna8/national-accounts-integral-to-PPP-estimates, 15.224
national-expenditure-on-specific-products::
* Mcs.national-expenditure-on-specific-products@Sna8,
* Mcs.Sna8/national-expenditure-on-specific-products, 29.64
national-government::
* Mcs.national-government@Sna8,
* Mcs.Sna8/national-government, 22.19
national-income::
* Mcs.national-income@Sna8,
* Mcs.Sna8/national-income, 7.18, 7.20, 16.11, 16.53
national-measures-of-broad-money::
* Mcs.national-measures-of-broad-money@Sna8,
* Mcs.Sna8/national-measures-of-broad-money, 11.75
national-net-worth::
* Mcs.national-net-worth@Sna8,
* Mcs.Sna8/national-net-worth, 26.76
national-tourism::
* Mcs.national-tourism@Sna8,
* Mcs.Sna8/national-tourism, 29.92
national-units::
* Mcs.national-units@Sna8,
* Mcs.Sna8/national-units, 18.47
national-wealth::
* Mcs.national-wealth@Sna8,
* Mcs.Sna8/national-wealth, 13.4
nationalization::
* Mcs.nationalization@Sna8,
* Mcs.Sna8/nationalization, 12.66, 21.17, 21.54, 22.142
· by purchase of shares 22.142
natural-disaster::
* Mcs.natural-disaster@Sna8,
* Mcs.Sna8/natural-disaster, 1.47, 1.69, 2.23, 2.30, 2.109, 4.169, 6.244, 8.22, 8.25, 8.111, 8.128, 8.140, 12.9, 22.101, 23.40
natural-growth-recording-gross-or-net::
* Mcs.natural-growth-recording-gross-or-net@Sna8,
* Mcs.Sna8/natural-growth-recording-gross-or-net, 12.20
uncultivated-biological-resources::
* Mcs.uncultivated-biological-resources@Sna8,
* Mcs.Sna8/uncultivated-biological-resources, 12.19
natural-process::
* Mcs.natural-process@Sna8,
* Mcs.Sna8/natural-process, 1.43, 6.24, 6.136
natural-resources::
* Mcs.natural-resources@Sna8,
* Mcs.Sna8/natural-resources, 1.46, 2.34, 3.44, 7.2, 7.107, 10.15, 20.46, 29.102, 29.106
· consist of naturally occurring resources such as land, water resources, uncultivated forests and deposits of minerals that have an economic value. see 10.15
· costs of ownership transfer 10.159
· depletion 1.47
· licences to use 17.313
· ownership 17.313
· permits to use 29.113
· reassessments of exploitability 12.25
· with no established ownership 10.167
NDI::
* Mcs.NDI@Sna8,
* Mcs.Sna8/NDI, 8.26
NDP-(Net-Domestic-Product)::
* Mcs.NDP-(Net-Domestic-Product)@Sna8,
* Mcs.Sna8/NDP-(Net-Domestic-Product), 16.1
· is defined as gross domestic product (GDP) less the consumption of fixed capital. see 16.52
negative::
* Mcs.negative@Sna8,
* Mcs.Sna8/negative,
· capital formation 10.39, 14.104, 14.108
· change in assets 10.25
· consumption expenditure 10.41
· entries in input-output tables 28.61
· exports, recorded in connection with merchanting 14.73
negotiability::
* Mcs.negotiability@Sna8,
* Mcs.Sna8/negotiability, 11.33, 26.91
negotiable-certificates-of-deposit::
* Mcs.negotiable-certificates-of-deposit@Sna8,
* Mcs.Sna8/negotiable-certificates-of-deposit, 11.64
net::
* Mcs.net@Sna8,
* Mcs.Sna8/net,
· use of term in the SNA 3.195
net-borrowing::
* Mcs.net-borrowing@Sna8,
* Mcs.Sna8/net-borrowing,
· see net lending
net-domestic-product::
* Mcs.net-domestic-product@Sna8,
* Mcs.Sna8/net-domestic-product, 16.52
net-errors-and-omissions::
* Mcs.net-errors-and-omissions@Sna8,
* Mcs.Sna8/net-errors-and-omissions, 26.17
net-fees-standardized-guarantees::
* Mcs.net-fees-standardized-guarantees@Sna8,
* Mcs.Sna8/net-fees-standardized-guarantees, 17.220
net-fixed-capital-formation::
* Mcs.net-fixed-capital-formation@Sna8,
* Mcs.Sna8/net-fixed-capital-formation, 2.110, 10.156
net-IIP-balancing-item::
* Mcs.net-IIP-balancing-item@Sna8,
* Mcs.Sna8/net-IIP-balancing-item, 26.76
net-lending::
* Mcs.net-lending@Sna8,
* Mcs.Sna8/net-lending, 2.108, 2.111, 2.113, 10.3, 11.1, 16.20, 26.72, 27.23
· is defined as the difference between changes in net worth due to saving and capital transfers and net acquisitions of non-financial assets (acquisitions less disposals of non-financial assets, less consumption of fixed capital). If the amount is negative it represents net borrowing. see 10.28
· GFSM definition 22.76
net-national-disposable-income::
* Mcs.net-national-disposable-income@Sna8,
* Mcs.Sna8/net-national-disposable-income,
· see NNDI
net-national-income::
* Mcs.net-national-income@Sna8,
* Mcs.Sna8/net-national-income, 16.55
net-operating-surplus::
* Mcs.net-operating-surplus@Sna8,
* Mcs.Sna8/net-operating-surplus, 20.28
non-life-insurance::
* Mcs.non-life-insurance@Sna8,
* Mcs.Sna8/non-life-insurance, 17.47
· reinsurance 8.123, 17.64
net-recordings::
* Mcs.net-recordings@Sna8,
* Mcs.Sna8/net-recordings, 3.193
net-return-to-capital::
* Mcs.net-return-to-capital@Sna8,
* Mcs.Sna8/net-return-to-capital, 6.93, 6.94
net-value-added::
* Mcs.net-value-added@Sna8,
* Mcs.Sna8/net-value-added, 6.8
· is the value of output less the values of both intermediate consumption and consumption of fixed capital. see 6.8
net-worth::
* Mcs.net-worth@Sna8,
* Mcs.Sna8/net-worth, 2.114, 2.122, 3.109, 12.1, 13.1, 13.10, 13.11, 16.38
· is defined as the value of all the assets owned by an institutional unit or sector less the value of all its outstanding liabilities. see 13.4
· public sector 22.170
· quasi-corporations 13.86
netting::
* Mcs.netting@Sna8,
* Mcs.Sna8/netting, 2.71, 11.40
· BPM6 26.23
neutral-holding-gains::
* Mcs.neutral-holding-gains@Sna8,
* Mcs.Sna8/neutral-holding-gains, 2.118, 3.142, 12.75, 12.87, 16.34
neutral-holding-gains-and-losses::
* Mcs.neutral-holding-gains-and-losses@Sna8,
* Mcs.Sna8/neutral-holding-gains-and-losses,
· A neutral holding gain (loss) over a period is the increase (decrease) in the value of an asset that would be required, in the absence of transactions and other changes in the volume of assets, to maintain command over the same amount of goods and services as at the beginning of the period. see 12.75
new-products-appearance::
* Mcs.new-products-appearance@Sna8,
* Mcs.Sna8/new-products-appearance, 15.4
new-products-in-the-context-of-chain-indices::
* Mcs.new-products-in-the-context-of-chain-indices@Sna8,
* Mcs.Sna8/new-products-in-the-context-of-chain-indices, 15.56
NIF-(Note-Issuance-Facility)::
* Mcs.NIF-(Note-Issuance-Facility)@Sna8,
* Mcs.Sna8/NIF-(Note-Issuance-Facility),
NNDI-(Net-National-Disposable-Income)::
* Mcs.NNDI-(Net-National-Disposable-Income)@Sna8,
* Mcs.Sna8/NNDI-(Net-National-Disposable-Income), 16.57
· is defined as net national income (NNI) plus current transfers receivable from abroad less current transfers payable abroad. see 16.57
NNI-(Net-National-Income)::
* Mcs.NNI-(Net-National-Income)@Sna8,
* Mcs.Sna8/NNI-(Net-National-Income), 7.20
· is defined as gross national income (GNI) less the consumption of fixed capital. see 16.55
NOE-(Non-Observed-Economy)::
* Mcs.NOE-(Non-Observed-Economy)@Sna8,
* Mcs.Sna8/NOE-(Non-Observed-Economy), 25.2
· informal sector overlap 25.4
nominal-holding-gains::
* Mcs.nominal-holding-gains@Sna8,
* Mcs.Sna8/nominal-holding-gains, 2.115, 2.118, 7.24, 12.74, 12.94, 16.34
· currency and deposits 17.247
· deposits and loans 17.255
· foreign currency 17.248
· inventories 12.97
· on domestic currency, always zero 12.90
· other accounts receivable or payable 17.295
· SDRs 17.246
· unallocated gold accounts 17.245
nominal-holding-gain-financial-asset::
* Mcs.nominal-holding-gain-financial-asset@Sna8,
* Mcs.Sna8/nominal-holding-gain-financial-asset,
· The nominal holding gain on a financial asset is the increase in value of the asset, other than transactions in the assets (including the accrual of interest over a period of time) and other changes in the volume of assets. see 12.74
nominal-holding-gain-liability::
* Mcs.nominal-holding-gain-liability@Sna8,
* Mcs.Sna8/nominal-holding-gain-liability,
· The nominal holding gain on a liability is the decrease in value of the liability, other than by transactions or by other volume changes. see 12.74
nominal holding gain - non-financial asset
The nominal holding gain on a non-financial asset is the value of the benefit accruing to the owner of that asset as a result of a change in its price over a period of time. see 12.74
nominal-value::
* Mcs.nominal-value@Sna8,
* Mcs.Sna8/nominal-value, 3.155, 3.157
non-competing-imports::
* Mcs.non-competing-imports@Sna8,
* Mcs.Sna8/non-competing-imports, 28.69
non-consolidated-recording::
* Mcs.non-consolidated-recording@Sna8,
* Mcs.Sna8/non-consolidated-recording, 3.193, 3.194
non-contributory-pension-scheme::
* Mcs.non-contributory-pension-scheme@Sna8,
* Mcs.Sna8/non-contributory-pension-scheme, 7.67
non-cultivated-biological-resources::
* Mcs.non-cultivated-biological-resources@Sna8,
* Mcs.Sna8/non-cultivated-biological-resources, 10.182
· consist of animals, birds, fish and plants that yield both once-only and repeat products over which ownership rights are enforced but for which natural growth and/or regeneration is not under the direct control, responsibility and management of institutional units. see 10.182
non-deductible-VAT::
* Mcs.non-deductible-VAT@Sna8,
* Mcs.Sna8/non-deductible-VAT, 6.58, 14.45, 14.131
· is VAT payable by a purchaser that is not deductible from his own VAT liability, if any. see 6.58
non-financial-asset::
* Mcs.non-financial-asset@Sna8,
* Mcs.Sna8/non-financial-asset, 2.35, 3.37, 10.2
non-financial-corporation::
* Mcs.non-financial-corporation@Sna8,
* Mcs.Sna8/non-financial-corporation, 1.10, 2.17, 4.19, 4.94, 28.29
· are corporations whose principal activity is the production of market goods or non-financial services. see 4.94
non-financial-lenders::
* Mcs.non-financial-lenders@Sna8,
* Mcs.Sna8/non-financial-lenders, 11.18
non-financial-liabilities::
* Mcs.non-financial-liabilities@Sna8,
* Mcs.Sna8/non-financial-liabilities, 11.4
non-governmental-organizations::
* Mcs.non-governmental-organizations@Sna8,
* Mcs.Sna8/non-governmental-organizations, 23.19
non-homogeneity-of-products-due-to-aggregation::
* Mcs.non-homogeneity-of-products-due-to-aggregation@Sna8,
* Mcs.Sna8/non-homogeneity-of-products-due-to-aggregation, 14.144
non-life-insurance::
* Mcs.non-life-insurance@Sna8,
* Mcs.Sna8/non-life-insurance, 6.176, 6.177, 8.35, 8.74
· is an activity similar to life insurance except that it covers all other risks, accidents, sickness, fire, etc. see 17.6
· claims 8.118
· policies 8.117
· premiums and claims 8.27
· technical reserves, definition 11.105
non-life insurance claims
· are the amounts payable in settlement of damages that result from an event covered by a non-life insurance policy during the current accounting period. see 8.118
non-life insurance technical reserves
· consist of prepayments of net premiums and reserves to meet outstanding non-life insurance claims. see 11.105
non-market-establishment-possibility-of-some-market-output::
* Mcs.non-market-establishment-possibility-of-some-market-output@Sna8,
* Mcs.Sna8/non-market-establishment-possibility-of-some-market-output, 6.132
non-market-output::
* Mcs.non-market-output@Sna8,
* Mcs.Sna8/non-market-output, 6.97
· consists of goods and individual or collective services produced by non-profit institutions serving households (NPISHs) or government that are supplied free, or at prices that are not economically significant, to other institutional units or the community as a whole. see 6.128
· distinction from output for own use 6.128
· rationale 6.98
· valuation 6.94
non-market-producer::
* Mcs.non-market-producer@Sna8,
* Mcs.Sna8/non-market-producer, 2.40, 4.25, 9.85, 14.32, 28.28
· consist of establishments owned by government units or NPISHs that supply goods or services free, or at prices that are not economically significant, to households or the community as a whole. see 6.133
· establishments within 5.33
non-market-production-by-government-and-NPISHs::
* Mcs.non-market-production-by-government-and-NPISHs@Sna8,
* Mcs.Sna8/non-market-production-by-government-and-NPISHs, 2.98
non-market-services::
* Mcs.non-market-services@Sna8,
* Mcs.Sna8/non-market-services, 15.137
· provided to market producers 29.41
non-MMF-investment-funds::
* Mcs.non-MMF-investment-funds@Sna8,
* Mcs.Sna8/non-MMF-investment-funds, 11.97
· definition 4.108
non-monetary-figures::
* Mcs.non-monetary-figures@Sna8,
* Mcs.Sna8/non-monetary-figures, 29.57
non-monetary-gold::
* Mcs.non-monetary-gold@Sna8,
* Mcs.Sna8/non-monetary-gold, 11.45, 26.53
non-monetary-information-on-tourism::
* Mcs.non-monetary-information-on-tourism@Sna8,
* Mcs.Sna8/non-monetary-information-on-tourism, 29.90
non-monetary-transactions::
* Mcs.non-monetary-transactions@Sna8,
* Mcs.Sna8/non-monetary-transactions, 2.25, 8.22
· are transactions that are not initially stated in units of currency. see 3.75
non-money-market (MMF) investment funds
· are collective investment schemes that raise funds by issuing shares or units to the public.
The proceeds are invested predominantly in financial assets other than short-term assets and in non-financial assets (usually real estate). see 4.108
non-negotiable-certificates-of-deposit::
* Mcs.non-negotiable-certificates-of-deposit@Sna8,
* Mcs.Sna8/non-negotiable-certificates-of-deposit, 11.59
Non-Observed-Economy::
* Mcs.Non-Observed-Economy@Sna8,
* Mcs.Sna8/Non-Observed-Economy, 6.39, 14.7, 25.2, 25.29
non-pension-benefits::
* Mcs.non-pension-benefits@Sna8,
* Mcs.Sna8/non-pension-benefits, 7.68, 8.67, 8.94, 17.99, 17.100
· payable in kind 8.94
· payable under social security 17.101
non-performing-loan::
* Mcs.non-performing-loan@Sna8,
* Mcs.Sna8/non-performing-loan, 6.169, 11.130, 13.67, 17.257, 21.57
· A loan is non-performing when payments of interest or principal are past due by 90 days or more, or interest payments equal to 90 days or more have been capitalized, refinanced, or delayed by agreement, or payments are less than 90 days overdue, but there are other good reasons (such as a debtor filing for bankruptcy) to doubt that payments will be made in full. see 13.66
non-produced-asset::
* Mcs.non-produced-asset@Sna8,
* Mcs.Sna8/non-produced-asset, 2.35, 3.37, 10.9, 10.14, 26.71
· consist of three categories (i) natural resources, (ii) contracts, leases and licences, and (iii) purchased goodwill and marketing assets. see 10.14
non-produced-land::
* Mcs.non-produced-land@Sna8,
* Mcs.Sna8/non-produced-land, 10.80
non-profit institutions
· are legal or social entities created for the purpose of producing goods and services but whose status does not permit them to be a source of income, profit or other financial gain for the units that establish, control or finance them. see 4.8, 4.83
non-profit institutions serving households (NPISHs)
· consist of non-market NPIs that are not controlled by government. see 4.93
non-profit-service-providers::
* Mcs.non-profit-service-providers@Sna8,
* Mcs.Sna8/non-profit-service-providers, 23.19
non-repayable-margin::
* Mcs.non-repayable-margin@Sna8,
* Mcs.Sna8/non-repayable-margin, 11.124
non-resident-construction-projects::
* Mcs.non-resident-construction-projects@Sna8,
* Mcs.Sna8/non-resident-construction-projects, 4.48
non-resident-households-receiving-pension-benefits::
* Mcs.non-resident-households-receiving-pension-benefits@Sna8,
* Mcs.Sna8/non-resident-households-receiving-pension-benefits, 17.199
non-resident-SPEs::
* Mcs.non-resident-SPEs@Sna8,
* Mcs.Sna8/non-resident-SPEs, 22.53
non-response::
* Mcs.non-response@Sna8,
* Mcs.Sna8/non-response, 19.76, 24.25
normal-margins::
* Mcs.normal-margins@Sna8,
* Mcs.Sna8/normal-margins, 6.150
not-economically-significant-prices::
* Mcs.not-economically-significant-prices@Sna8,
* Mcs.Sna8/not-economically-significant-prices, 8.103
note-issuance-facilities::
* Mcs.note-issuance-facilities@Sna8,
* Mcs.Sna8/note-issuance-facilities, 11.22
notional-resident-unit::
* Mcs.notional-resident-unit@Sna8,
* Mcs.Sna8/notional-resident-unit, 4.49, 10.40, 10.170, 11.93, 24.56, 26.33
NPI-(Non-Profit-Institution)::
* Mcs.NPI-(Non-Profit-Institution)@Sna8,
* Mcs.Sna8/NPI-(Non-Profit-Institution), 4.8
NPIs-(Non-Profit-Institutions)::
* Mcs.NPIs-(Non-Profit-Institutions)@Sna8,
* Mcs.Sna8/NPIs-(Non-Profit-Institutions),21.27
· analysis by kind of revenue 23.37
· as corporations 23.1
· assigned to different sectors 4.35
· categorization of 23.7
· characteristics of 4.85
· control by government 4.92, 22.26
· definition 4.8
· economic objectives, functions and behaviour 4.22
· engaged in market production 4.28
· essential distinguishing feature 23.3
· illustrative examples 23.19
· information in physical units 23.38
· market output with negative operating surplus 23.10
· non-market output of market unit 23.32
· satellite account 23.12
· serving enterprises 4.89
· sub-sectors 23.9
· valuation of output 23.10
NPIs-as-part-of-government::
* Mcs.NPIs-as-part-of-government@Sna8,
* Mcs.Sna8/NPIs-as-part-of-government, 23.1
NPIs-engaged-in-market-production::
* Mcs.NPIs-engaged-in-market-production@Sna8,
* Mcs.Sna8/NPIs-engaged-in-market-production, 4.29
NPIs-engaged-in-non-market-production::
* Mcs.NPIs-engaged-in-non-market-production@Sna8,
* Mcs.Sna8/NPIs-engaged-in-non-market-production, 4.30, 4.31
NPIs-serving-households-(NPISHs)::
* Mcs.NPIs-serving-households-(NPISHs)@Sna8,
* Mcs.Sna8/NPIs-serving-households-(NPISHs), 1.10
NPIs-within-the-government-sector::
* Mcs.NPIs-within-the-government-sector@Sna8,
* Mcs.Sna8/NPIs-within-the-government-sector, 22.22
NPISH-(Non-profit-institution-serving-households)::
* Mcs.NPISH-(Non-profit-institution-serving-households)@Sna8,
* Mcs.Sna8/NPISH-(Non-profit-institution-serving-households), 2.17, 4.93, 23.1
· definition 4.93
NPISHs::
* Mcs.NPISHs@Sna8,
* Mcs.Sna8/NPISHs, 4.22, 4.166, 4.167, 9.5, 25.67, 28.28
· centre of economic interest 26.45
· collective services 9.107, 23.48
· deflating output to volume terms 23.49
· source of finance 16.12
· sub-sectors 4.171
NPV-(Net-Present-Value)::
* Mcs.NPV-(Net-Present-Value)@Sna8,
* Mcs.Sna8/NPV-(Net-Present-Value),
nuclear-power-plant::
* Mcs.nuclear-power-plant@Sna8,
* Mcs.Sna8/nuclear-power-plant, 12.57
number-of-employees::
* Mcs.number-of-employees@Sna8,
* Mcs.Sna8/number-of-employees, 14.121
Name::
* Mcs.Index-O@Sna8,
* Mcs.Sna8/Index-O,
obsolescence::
* Mcs.obsolescence@Sna8,
* Mcs.Sna8/obsolescence, 6.242
OECD-(Organisation-for-Economic-Cooperation-and-Development)::
* Mcs.OECD-(Organisation-for-Economic-Cooperation-and-Development)@Sna8,
* Mcs.Sna8/OECD-(Organisation-for-Economic-Cooperation-and-Development),
OECD-Revenue-Statistics::
* Mcs.OECD-Revenue-Statistics@Sna8,
* Mcs.Sna8/OECD-Revenue-Statistics, 22.96
OEEC-(Organisation-for-European-Economic-Cooperation)::
* Mcs.OEEC-(Organisation-for-European-Economic-Cooperation)@Sna8,
* Mcs.Sna8/OEEC-(Organisation-for-European-Economic-Cooperation),
off-balance-sheet-items::
* Mcs.off-balance-sheet-items@Sna8,
* Mcs.Sna8/off-balance-sheet-items, 11.27
off-exchange::
* Mcs.off-exchange@Sna8,
* Mcs.Sna8/off-exchange, 11.113
office-canteens::
* Mcs.office-canteens@Sna8,
* Mcs.Sna8/office-canteens, 7.51
offsetability::
* Mcs.offsetability@Sna8,
* Mcs.Sna8/offsetability, 11.112
offshore::
* Mcs.offshore@Sna8,
* Mcs.Sna8/offshore, 26.26
one-year-or-more::
* Mcs.one-year-or-more@Sna8,
* Mcs.Sna8/one-year-or-more, 2.19, 11.71, 11.79
· requirement for residence 4.14
one-off-guarantees::
* Mcs.one-off-guarantees@Sna8,
* Mcs.Sna8/one-off-guarantees, 11.22, 17.212, 22.128
one-party-political-systems::
* Mcs.one-party-political-systems@Sna8,
* Mcs.Sna8/one-party-political-systems, 4.167
one-quarter-overlaps::
* Mcs.one-quarter-overlaps@Sna8,
* Mcs.Sna8/one-quarter-overlaps, 15.46
on-exchange::
* Mcs.on-exchange@Sna8,
* Mcs.Sna8/on-exchange, 11.113
opening-balance-sheet::
* Mcs.opening-balance-sheet@Sna8,
* Mcs.Sna8/opening-balance-sheet, 13.11
opening-stock::
* Mcs.opening-stock@Sna8,
* Mcs.Sna8/opening-stock, 13.1
operating-lease::
* Mcs.operating-lease@Sna8,
* Mcs.Sna8/operating-lease, 6.214, 6.238, 6.239, 7.14, 7.153, 17.345, 20.36, 21.51
· An operating lease is one where the legal owner is also the economic owner and accepts the operating risks and receives the economic benefits from the asset by using it in a productive activity. see 17.301
· characteristics 17.302
operating-surplus::
* Mcs.operating-surplus@Sna8,
* Mcs.Sna8/operating-surplus, 7.9, 7.17, 16.7
operation-of-the-financial-system::
* Mcs.operation-of-the-financial-system@Sna8,
* Mcs.Sna8/operation-of-the-financial-system, 27.37
opportunity-cost::
* Mcs.opportunity-cost@Sna8,
* Mcs.Sna8/opportunity-cost, 1.65, 29.150
of-capital::
* Mcs.of-capital@Sna8,
* Mcs.Sna8/of-capital, 7.13
of-money::
* Mcs.of-money@Sna8,
* Mcs.Sna8/of-money, 20.32
option-price::
* Mcs.option-price@Sna8,
* Mcs.Sna8/option-price, 11.117
option-pricing-model::
* Mcs.option-pricing-model@Sna8,
* Mcs.Sna8/option-pricing-model, 13.83
options::
* Mcs.options@Sna8,
* Mcs.Sna8/options, 11.112, 11.114, 11.117, 17.291
· are contracts that give the purchaser of the option the right, but not the obligation, to buy (a call option) or to sell (a put option) a particular financial instrument or commodity at a predetermined price (the strike price) within a given time span (American option) or on a given date (European option). see 11.117
· time of recording 11.118
options-models::
* Mcs.options-models@Sna8,
* Mcs.Sna8/options-models, 13.80
orchards::
* Mcs.orchards@Sna8,
* Mcs.Sna8/orchards, 10.96
ordering-of-transactions-and-reclassifications::
* Mcs.ordering-of-transactions-and-reclassifications@Sna8,
* Mcs.Sna8/ordering-of-transactions-and-reclassifications, 12.68
ordinary-maintenance-and-repairs::
* Mcs.ordinary-maintenance-and-repairs@Sna8,
* Mcs.Sna8/ordinary-maintenance-and-repairs, 6.228
original::
* Mcs.original@Sna8,
* Mcs.Sna8/original, 10.99
· valuation 6.209
· vs. copy 6.208
original-maturity::
* Mcs.original-maturity@Sna8,
* Mcs.Sna8/original-maturity, 26.105
other-accounts-receivable-or-payable::
* Mcs.other-accounts-receivable-or-payable@Sna8,
* Mcs.Sna8/other-accounts-receivable-or-payable, 17.294, 17.296, 17.351
· holding gains and losses 12.119
· interest due on 13.84
other-accumulation-entries::
* Mcs.other-accumulation-entries@Sna8,
* Mcs.Sna8/other-accumulation-entries, 2.30
other-buildings-and-structures::
* Mcs.other-buildings-and-structures@Sna8,
* Mcs.Sna8/other-buildings-and-structures,
· comprise non-residential buildings, other structures and land improvements. see 10.73
other-capital-transfers::
* Mcs.other-capital-transfers@Sna8,
* Mcs.Sna8/other-capital-transfers, 10.210
· consist of all capital transfers except capital taxes and investment grants. see 10.210
other-changes-in-assets-accounts::
* Mcs.other-changes-in-assets-accounts@Sna8,
* Mcs.Sna8/other-changes-in-assets-accounts, 3.100, 8.25, 12.3
other-changes-in-financial-assets-and-liabilities-accounts::
* Mcs.other-changes-in-financial-assets-and-liabilities-accounts@Sna8,
* Mcs.Sna8/other-changes-in-financial-assets-and-liabilities-accounts, 26.12
other-changes-in-the-volume-of-assets-account::
* Mcs.other-changes-in-the-volume-of-assets-account@Sna8,
* Mcs.Sna8/other-changes-in-the-volume-of-assets-account, 1.20, 2.114, 6.243, 6.244, 10.1, 12.3, 12.8, 14.106, 16.33, 26.9
· licences 17.352
· relation to balance sheets 12.72
other-current-transfers::
* Mcs.other-current-transfers@Sna8,
* Mcs.Sna8/other-current-transfers, 7.2, 8.19, 8.113
· consist of all current transfers between resident institutional units, or between resident and non-resident units, other than current taxes on income, wealth, etc., social contributions and benefits, and social benefits in kind. see 8.19
other-deposits::
* Mcs.other-deposits@Sna8,
* Mcs.Sna8/other-deposits, 11.59
· comprise all claims, other than transferable deposits, that are represented by evidence of deposit. see 11.59
· cross-classification 11.63
other-equity::
* Mcs.other-equity@Sna8,
* Mcs.Sna8/other-equity, 11.88
· is equity that is not in the form of securities. see 11.88
other-financial-corporations::
* Mcs.other-financial-corporations@Sna8,
* Mcs.Sna8/other-financial-corporations, 4.98, 4.101
· are institutional units providing financial services, where most of their assets or liabilities are not available on open financial markets. see 4.101
other-financial-institutions::
* Mcs.other-financial-institutions@Sna8,
* Mcs.Sna8/other-financial-institutions, 17.227, 17.229
other-financial-intermediaries-except-insurance-corporations-and-pension-funds::
* Mcs.other-financial-intermediaries-except-insurance-corporations-and-pension-funds@Sna8,
* Mcs.Sna8/other-financial-intermediaries-except-insurance-corporations-and-pension-funds, 4.109
· consist of financial corporations that are engaged in providing financial services by incurring liabilities, in forms other than currency, deposits or close substitutes for deposits, on their own account for the purpose of acquiring financial assets by engaging in financial transactions on the market. see 4.109
other-financial-services::
* Mcs.other-financial-services@Sna8,
* Mcs.Sna8/other-financial-services, 6.157
other-flows::
* Mcs.other-flows@Sna8,
* Mcs.Sna8/other-flows, 3.7, 3.50, 12.1
· are changes in the value of assets and liabilities that do not result from transactions. see 3.7, 3.99
other-intellectual-property-products::
* Mcs.other-intellectual-property-products@Sna8,
* Mcs.Sna8/other-intellectual-property-products, 10.117
· include any such products that constitute fixed assets but are not captured as research and development, mineral exploration and evaluation, computer software and databases or entertainment, literary and artistic originals. see 10.117
other-investment::
* Mcs.other-investment@Sna8,
* Mcs.Sna8/other-investment, 26.94
· is a residual category that includes positions and transactions other than those included in direct investment, portfolio investment, financial derivatives and employee stock options and reserve assets. see 26.94
other-machinery-and-equipment::
* Mcs.other-machinery-and-equipment@Sna8,
* Mcs.Sna8/other-machinery-and-equipment, 10.86
· consists of machinery and equipment not elsewhere classified. see 10.86
other-natural-resources::
* Mcs.other-natural-resources@Sna8,
* Mcs.Sna8/other-natural-resources, 10.185
other-structures::
* Mcs.other-structures@Sna8,
* Mcs.Sna8/other-structures, 10.76
· include structures other than buildings, including the cost of the streets, sewer, etc. see 10.76
other-subsidies-on-production::
* Mcs.other-subsidies-on-production@Sna8,
* Mcs.Sna8/other-subsidies-on-production, 7.106
· consist of subsidies except subsidies on products that resident enterprises may receive as a consequence of engaging in production. see 7.106
other-subsidies-on-products::
* Mcs.other-subsidies-on-products@Sna8,
* Mcs.Sna8/other-subsidies-on-products, 7.105
· consist of subsidies on goods or services produced as the outputs of resident enterprises, or on imports, that become payable as a result of the production, sale, transfer, leasing or delivery of those goods or services, or as a result of their use for own consumption or own capital formation. see 7.105
other-transferable-deposits::
* Mcs.other-transferable-deposits@Sna8,
* Mcs.Sna8/other-transferable-deposits, 11.58
· are those where one party or both parties to the transaction, or either the creditor or debtor or both of the positions, is not a bank. see 11.58
other-work-in-progress::
* Mcs.other-work-in-progress@Sna8,
* Mcs.Sna8/other-work-in-progress, 10.141
· consists of output (other than on cultivated biological resources) that is not yet sufficiently processed to be in a state in which it is normally supplied to other institutional units. see 10.141
outbound-tourism::
* Mcs.outbound-tourism@Sna8,
* Mcs.Sna8/outbound-tourism, 29.92
outcome::
* Mcs.outcome@Sna8,
* Mcs.Sna8/outcome, 15.120
outlays-GFS::
* Mcs.outlays-GFS@Sna8,
* Mcs.Sna8/outlays-GFS, 22.74
output::
* Mcs.output@Sna8,
* Mcs.Sna8/output, 2.86, 6.89, 14.115, 15.120
· is defined as the goods and services produced by an establishment, excluding the value of any goods and services used in an activity for which the establishment does not assume the risk of using the products in production, and excluding the value of goods and services consumed by the same establishment except for goods and services used for capital formation (fixed capital or changes in inventories) or own final consumption. see 6.89
· agriculture 6.137
· annuity 17.72
· central bank 6.151
· treated as non-market production 6.152
· goods or services 6.24
· insurance corporations 17.26
· life insurance 17.53
· market producers, valuation 6.93
· non-life insurance 17.46
· reinsurance 17.61
· social insurance scheme 17.114
· standardized guarantee schemes 17.219
· time of recording 6.75
· valuation 6.75
output-for-own-final-use::
* Mcs.output-for-own-final-use@Sna8,
* Mcs.Sna8/output-for-own-final-use, 15.126
· consists of products retained by the producer for his own use as final consumption or capital formation. see 6.114
· components 6.114
· valuation 6.124
output-volume-method::
* Mcs.output-volume-method@Sna8,
* Mcs.Sna8/output-volume-method, 15.118, 15.122
output-vs-outcome-measurement-problems::
* Mcs.output-vs-outcome-measurement-problems@Sna8,
* Mcs.Sna8/output-vs-outcome-measurement-problems, 15.121
out-sourcing::
* Mcs.out-sourcing@Sna8,
* Mcs.Sna8/out-sourcing, 6.237, 14.39
outward-direct-investment::
* Mcs.outward-direct-investment@Sna8,
* Mcs.Sna8/outward-direct-investment, 26.89
outward-investment::
* Mcs.outward-investment@Sna8,
* Mcs.Sna8/outward-investment, 21.39
outworkers::
* Mcs.outworkers@Sna8,
* Mcs.Sna8/outworkers, 7.30, 7.33, 7.34, 19.22, 19.26, 25.46
overdraft::
* Mcs.overdraft@Sna8,
* Mcs.Sna8/overdraft, 11.24, 11.54, 11.73
over-the-year-technique::
* Mcs.over-the-year-technique@Sna8,
* Mcs.Sna8/over-the-year-technique, 15.46
own-account-production::
* Mcs.own-account-production@Sna8,
* Mcs.Sna8/own-account-production, 24.22
own-funds::
* Mcs.own-funds@Sna8,
* Mcs.Sna8/own-funds, 6.189, 7.12, 7.129, 17.75
· value of 13.89
own-account-gross-fixed-capital-formation::
* Mcs.own-account-gross-fixed-capital-formation@Sna8,
* Mcs.Sna8/own-account-gross-fixed-capital-formation, 6.118
own-account-production::
* Mcs.own-account-production@Sna8,
* Mcs.Sna8/own-account-production, 6.29
own-account-worker::
* Mcs.own-account-worker@Sna8,
* Mcs.Sna8/own-account-worker, 7.33
* generic: self-employed-person
owner::
* Mcs.owner@Sna8,
* Mcs.Sna8/owner,
· see legal owner, economic owner
owner-occupied-dwellings::
* Mcs.owner-occupied-dwellings@Sna8,
* Mcs.Sna8/owner-occupied-dwellings, 6.26, 6.117, 7.9, 9.65, 10.34, 20.64, 24.50, 25.64, 25.71
· rentals 14.99, 15.141
· services 6.34
owners-of-corporations-and-quasi-corporations::
* Mcs.owners-of-corporations-and-quasi-corporations@Sna8,
* Mcs.Sna8/owners-of-corporations-and-quasi-corporations, 19.21
owners-of-corporations-as-employees::
* Mcs.owners-of-corporations-as-employees@Sna8,
* Mcs.Sna8/owners-of-corporations-as-employees, 7.30
ownership::
* Mcs.ownership@Sna8,
* Mcs.Sna8/ownership, 2.46, 3.27
· by government 3.22, 3.28
· multiple owners 17.298
· of a listed corporation 4.68
· on behalf of the community 10.7
ownership-principles-BPM6::
* Mcs.ownership-principles-BPM6@Sna8,
* Mcs.Sna8/ownership-principles-BPM6, 26.20
ownership-rights::
* Mcs.ownership-rights@Sna8,
* Mcs.Sna8/ownership-rights, 2.34
Name::
* Mcs.Index-P@Sna8,
* Mcs.Sna8/Index-P,
Paasche-index::
* Mcs.Paasche-index@Sna8,
* Mcs.Sna8/Paasche-index,
· price 15.18
· volume 15.18
Paasche-type-price-index::
* Mcs.Paasche-type-price-index@Sna8,
* Mcs.Sna8/Paasche-type-price-index, 15.208
Paasche-type-volume-index::
* Mcs.Paasche-type-volume-index@Sna8,
* Mcs.Sna8/Paasche-type-volume-index, 15.208
paid-domestic-staff::
* Mcs.paid-domestic-staff@Sna8,
* Mcs.Sna8/paid-domestic-staff, 24.59
parallel-(unofficial)-or-black-market-rates::
* Mcs.parallel-(unofficial)-or-black-market-rates@Sna8,
* Mcs.Sna8/parallel-(unofficial)-or-black-market-rates, 26.113
parallel-markets::
* Mcs.parallel-markets@Sna8,
* Mcs.Sna8/parallel-markets, 15.72
parent-institutional-unit::
* Mcs.parent-institutional-unit@Sna8,
* Mcs.Sna8/parent-institutional-unit, 4.13
participations::
* Mcs.participations@Sna8,
* Mcs.Sna8/participations, 11.84
partitioning-transactions::
* Mcs.partitioning-transactions@Sna8,
* Mcs.Sna8/partitioning-transactions, 3.66, 3.141
· in financial instruments 11.34
partnerships::
* Mcs.partnerships@Sna8,
* Mcs.Sna8/partnerships, 4.41
passive-holder-of-assets-and-liabilities::
* Mcs.passive-holder-of-assets-and-liabilities@Sna8,
* Mcs.Sna8/passive-holder-of-assets-and-liabilities, 4.61
pass-through-funds::
* Mcs.pass-through-funds@Sna8,
* Mcs.Sna8/pass-through-funds, 21.41
patented-entities::
* Mcs.patented-entities@Sna8,
* Mcs.Sna8/patented-entities, 10.105
patients-residence::
* Mcs.patients-residence@Sna8,
* Mcs.Sna8/patients-residence, 26.38
patterns-of-income-use-across-sub-sectors::
* Mcs.patterns-of-income-use-across-sub-sectors@Sna8,
* Mcs.Sna8/patterns-of-income-use-across-sub-sectors, 24.5
PAYE-(Pay-as-you-earn)::
* Mcs.PAYE-(Pay-as-you-earn)@Sna8,
* Mcs.Sna8/PAYE-(Pay-as-you-earn), 22.83
payments-by-households-to-obtain-certain-licences::
* Mcs.payments-by-households-to-obtain-certain-licences@Sna8,
* Mcs.Sna8/payments-by-households-to-obtain-certain-licences, 8.64
payments-in-kind::
* Mcs.payments-in-kind@Sna8,
* Mcs.Sna8/payments-in-kind, 3.77, 3.81
payments-of-compensation::
* Mcs.payments-of-compensation@Sna8,
* Mcs.Sna8/payments-of-compensation,
· consist of current transfers paid by institutional units to other institutional units in compensation for injury to persons or damage to property caused by the former that are not settled as payments of non-life insurance claims. see 8.140
payments-to-children::
* Mcs.payments-to-children@Sna8,
* Mcs.Sna8/payments-to-children, 24.60
payments-to-other-household-members::
* Mcs.payments-to-other-household-members@Sna8,
* Mcs.Sna8/payments-to-other-household-members, 6.35
payroll-tax-data::
* Mcs.payroll-tax-data@Sna8,
* Mcs.Sna8/payroll-tax-data, 19.80
PBO-(Projected-Benefit-Obligation)::
* Mcs.PBO-(Projected-Benefit-Obligation)@Sna8,
* Mcs.Sna8/PBO-(Projected-Benefit-Obligation), 17.181
pension-benefits::
* Mcs.pension-benefits@Sna8,
* Mcs.Sna8/pension-benefits, 17.158
pension-contribution-supplements::
* Mcs.pension-contribution-supplements@Sna8,
* Mcs.Sna8/pension-contribution-supplements, 17.156
pension-entitlements::
* Mcs.pension-entitlements@Sna8,
* Mcs.Sna8/pension-entitlements, 12.60, 17.130
· show the extent of financial claims both existing and future pensioners hold against either their employer or a fund designated by the employer to pay pensions earned as part of a compensation agreement between the employer and employee. see 11.107
· current service increase 17.145, 17.152
· other changes in 17.177
· past service increase 17.145, 17.156
· present value 17.147
· protection of 17.121
· qualifying period 17.154
· recognition in social security 17.121
pension-fund-sub-sector::
* Mcs.pension-fund-sub-sector@Sna8,
* Mcs.Sna8/pension-fund-sub-sector, 4.116
· The pension fund sub-sector consists of only those social insurance pension funds that are institutional units separate from the units that create them. see 4.116
pension-fund-administration-costs::
* Mcs.pension-fund-administration-costs@Sna8,
* Mcs.Sna8/pension-fund-administration-costs, 17.135
pension-schemes::
* Mcs.pension-schemes@Sna8,
* Mcs.Sna8/pension-schemes, 8.37, 9.21
· administration costs 17.148
· autonomous 17.131
pensions::
* Mcs.pensions@Sna8,
* Mcs.Sna8/pensions, 8.67, 8.94, 8.95, 17.116
· as income rather than dis-saving 8.37
· as part of compensation of employees 17.122
· defined benefit schemes 17.127
· defined contribution schemes 17.127
· effects of promotion 17.180
· final salary scheme 17.127
· money purchase scheme. 17.127
· operated by financial institution 17.131
· portability 17.187
· portable 17.119
· provision 24.43
· receipt of lump sum 17.138
· reforms 22.134
· self-employed persons 17.137
· to government employees 22.73
· types of 17.98
per-capita-growth-rates::
* Mcs.per-capita-growth-rates@Sna8,
* Mcs.Sna8/per-capita-growth-rates, 19.12
per-capita-volumes::
* Mcs.per-capita-volumes@Sna8,
* Mcs.Sna8/per-capita-volumes, 19.3
permit::
* Mcs.permit@Sna8,
* Mcs.Sna8/permit, 9.70, 17.297
· see also Contracts, leases and licences
· emission 17.363
· to undertake a specific activity 17.299, 17.349
· definition 10.192
· issued by government 17.358
· to use natural resources definition 10.191
permit-to-undertake-a-specific-activity::
* Mcs.permit-to-undertake-a-specific-activity@Sna8,
* Mcs.Sna8/permit-to-undertake-a-specific-activity,
· A permit to undertake a specific activity is one where the permits are limited in number and so allow the holders to earn monopoly profits, the monopoly profits do not come from the use of an asset belonging to the permit-issuer, a permit holder is able both legally and practically to sell the permit to a third party. see 10.192
permit-to-undertake-a-specific-activity-not-issued-by-government::
* Mcs.permit-to-undertake-a-specific-activity-not-issued-by-government@Sna8,
* Mcs.Sna8/permit-to-undertake-a-specific-activity-not-issued-by-government, 17.361
permits-to-use-natural-resources::
* Mcs.permits-to-use-natural-resources@Sna8,
* Mcs.Sna8/permits-to-use-natural-resources,
· are third-party property rights relating to natural resources. see 10.191
perpetual-inventory-method::
* Mcs.perpetual-inventory-method@Sna8,
* Mcs.Sna8/perpetual-inventory-method, 3.137, 6.106, 6.107, 6.216, 6.251, 6.253, 15.169, 20.8
personal-remittances::
* Mcs.personal-remittances@Sna8,
* Mcs.Sna8/personal-remittances, 8.134
personal-transfers::
* Mcs.personal-transfers@Sna8,
* Mcs.Sna8/personal-transfers, 8.133, 26.67
persons::
* Mcs.persons@Sna8,
* Mcs.Sna8/persons, 4.3, 19.1
PF-(Pension-fund)::
* Mcs.PF-(Pension-fund)@Sna8,
* Mcs.Sna8/PF-(Pension-fund),
PFI-(Private-finance-initiative)::
* Mcs.PFI-(Private-finance-initiative)@Sna8,
* Mcs.Sna8/PFI-(Private-finance-initiative), 10.59
physical-deterioration::
* Mcs.physical-deterioration@Sna8,
* Mcs.Sna8/physical-deterioration, 12.52
physical-environmental-data::
* Mcs.physical-environmental-data@Sna8,
* Mcs.Sna8/physical-environmental-data, 29.107
physical-measures-of-labour-input::
* Mcs.physical-measures-of-labour-input@Sna8,
* Mcs.Sna8/physical-measures-of-labour-input, 19.58
PIM::
* Mcs.PIM@Sna8,
* Mcs.Sna8/PIM,
· (Perpetual Inventory Method) 6.106
· (Perpetual Inventory Model) 20.8
plantations::
* Mcs.plantations@Sna8,
* Mcs.Sna8/plantations, 10.96
policy-concerns::
* Mcs.policy-concerns@Sna8,
* Mcs.Sna8/policy-concerns, 2.18
policy-interest-in-informal-sector::
* Mcs.policy-interest-in-informal-sector@Sna8,
* Mcs.Sna8/policy-interest-in-informal-sector, 25.9
policymaking::
* Mcs.policymaking@Sna8,
* Mcs.Sna8/policymaking, 1.1, 1.10
political-parties::
* Mcs.political-parties@Sna8,
* Mcs.Sna8/political-parties, 23.19
political-processes::
* Mcs.political-processes@Sna8,
* Mcs.Sna8/political-processes, 1.9
pollution::
* Mcs.pollution@Sna8,
* Mcs.Sna8/pollution, 3.94, 29.42
population::
* Mcs.population@Sna8,
* Mcs.Sna8/population, 2.156, 19.1, 19.3
· The population of a country is most simply defined as all those persons who are usually resident in the country. see 19.10
population-and-employment::
* Mcs.population-and-employment@Sna8,
* Mcs.Sna8/population-and-employment, 2.76
population-census::
* Mcs.population-census@Sna8,
* Mcs.Sna8/population-census, 19.9, 19.77
portable-pensions::
* Mcs.portable-pensions@Sna8,
* Mcs.Sna8/portable-pensions, 17.187
portfolio-investment::
* Mcs.portfolio-investment@Sna8,
* Mcs.Sna8/portfolio-investment, 26.91
· is defined as cross-border transactions and positions involving debt or equity securities, other than those included in direct investment or reserve assets. see 26.91
portfolio-investors::
* Mcs.portfolio-investors@Sna8,
* Mcs.Sna8/portfolio-investors, 26.81
position-term-for-stock-levels::
* Mcs.position-term-for-stock-levels@Sna8,
* Mcs.Sna8/position-term-for-stock-levels, 13.1, 26.11
poverty-line::
* Mcs.poverty-line@Sna8,
* Mcs.Sna8/poverty-line, 24.68
Pp-(Paasche-Price-Index)::
* Mcs.Pp-(Paasche-Price-Index)@Sna8,
* Mcs.Sna8/Pp-(Paasche-Price-Index),
PPI-(Producer-price-index)::
* Mcs.PPI-(Producer-price-index)@Sna8,
* Mcs.Sna8/PPI-(Producer-price-index), 15.3
PPP::
* Mcs.PPP-(Public-Private-Partnership)@Sna8,
* Mcs.Sna8/PPP-(Public-Private-Partnership),
· (Public/Private Partnership) A3.148
· (Purchasing Power Parity) 15.199
PPP-benchmarks::
* Mcs.PPP-benchmarks@Sna8,
* Mcs.Sna8/PPP-benchmarks, 15.231
PPP-exercise::
* Mcs.PPP-exercise@Sna8,
* Mcs.Sna8/PPP-exercise,
· on a regional basis 18.52
PPP-legal-owner::
* Mcs.PPP-legal-owner@Sna8,
* Mcs.Sna8/PPP-legal-owner, 22.159
Pq-(Paasche-Volume-Index)::
* Mcs.Pq-(Paasche-Volume-Index)@Sna8,
* Mcs.Sna8/Pq-(Paasche-Volume-Index), 15.19
precious-stones-and-metals::
* Mcs.precious-stones-and-metals@Sna8,
* Mcs.Sna8/precious-stones-and-metals, 9.57
predominant-economic-interest-centre-of::
* Mcs.predominant-economic-interest-centre-of@Sna8,
* Mcs.Sna8/predominant-economic-interest-centre-of, 19.10
pre-licence-costs::
* Mcs.pre-licence-costs@Sna8,
* Mcs.Sna8/pre-licence-costs, 10.106
present-value::
* Mcs.present-value@Sna8,
* Mcs.Sna8/present-value, 6.246, 7.150, 13.80, 20.9
· expected calls under existing guarantees 17.216
· valuation of leased asset 17.306
price::
* Mcs.price@Sna8,
* Mcs.Sna8/price, 15.11
· The price of a good or service is defined as the value of one unit of that good or service. see 15.11
price-discrimination::
* Mcs.price-discrimination@Sna8,
* Mcs.Sna8/price-discrimination, 9.76, 15.4, 15.71
price-index::
* Mcs.price-index@Sna8,
* Mcs.Sna8/price-index, 11.70
price-index-manuals::
* Mcs.price-index-manuals@Sna8,
* Mcs.Sna8/price-index-manuals, 15.3
price-indices::
* Mcs.price-indices@Sna8,
* Mcs.Sna8/price-indices, 18.4, 28.63
· services 18.26
· superlative 15.29
price-level-indices::
* Mcs.price-level-indices@Sna8,
* Mcs.Sna8/price-level-indices, 15.200
price-of-a-commodity::
* Mcs.price-of-a-commodity@Sna8,
* Mcs.Sna8/price-of-a-commodity, 11.70
price-variation::
* Mcs.price-variation@Sna8,
* Mcs.Sna8/price-variation, 15.68
price-reference::
* Mcs.price-reference@Sna8,
* Mcs.Sna8/price-reference, 11.111
prices::
* Mcs.prices@Sna8,
* Mcs.Sna8/prices, 1.8, 6.49
· not economically significant 8.103
prices-basic::
* Mcs.prices-basic@Sna8,
* Mcs.Sna8/prices-basic,
· see basic prices
prices-market::
* Mcs.prices-market@Sna8,
* Mcs.Sna8/prices-market,
· see market prices
prices-producer's::
* Mcs.prices-producer's@Sna8,
* Mcs.Sna8/prices-producer's,
· see producer's prices
prices-purchasers::
* Mcs.prices-purchasers@Sna8,
* Mcs.Sna8/prices-purchasers,
· see purchaser's prices
primary-distribution-of-income-account::
* Mcs.primary-distribution-of-income-account@Sna8,
* Mcs.Sna8/primary-distribution-of-income-account, 1.17, 2.91
primary-income::
* Mcs.primary-income@Sna8,
* Mcs.Sna8/primary-income, 7.2, 7.3, 15.194
· are incomes that accrue to institutional units as a consequence of their involvement in processes of production or ownership of assets that may be needed for purposes of production. see 7.2
primary-income-account::
* Mcs.primary-income-account@Sna8,
* Mcs.Sna8/primary-income-account, 26.46, 26.58, 26.70
principal::
* Mcs.principal@Sna8,
* Mcs.Sna8/principal, 7.113, 11.70
principal-activity::
* Mcs.principal-activity@Sna8,
* Mcs.Sna8/principal-activity, 5.8
· The principal activity of a producer unit is the activity whose value added exceeds that of any other activity carried out within the same unit. see 5.8
principal-functions-of-government::
* Mcs.principal-functions-of-government@Sna8,
* Mcs.Sna8/principal-functions-of-government, 22.17
principal-outstanding::
* Mcs.principal-outstanding@Sna8,
* Mcs.Sna8/principal-outstanding, 7.113, 7.117
· increase from accumulated interest 12.109
principal-product::
* Mcs.principal-product@Sna8,
* Mcs.Sna8/principal-product, 5.8, 14.23
priorities::
* Mcs.priorities@Sna8,
* Mcs.Sna8/priorities, 2.159
priorities-for-data-collection::
* Mcs.priorities-for-data-collection@Sna8,
* Mcs.Sna8/priorities-for-data-collection, 1.5
priority-industries::
* Mcs.priority-industries@Sna8,
* Mcs.Sna8/priority-industries, 7.122
private-equity::
* Mcs.private-equity@Sna8,
* Mcs.Sna8/private-equity, 11.87
private-finance-initiative::
* Mcs.private-finance-initiative@Sna8,
* Mcs.Sna8/private-finance-initiative, 10.59
privatization::
* Mcs.privatization@Sna8,
* Mcs.Sna8/privatization, 12.66, 21.18, 22.4, 22.134, 22.137, 22.139
processing-by-another-unit::
* Mcs.processing-by-another-unit@Sna8,
* Mcs.Sna8/processing-by-another-unit, 6.12
processing-fee-goods-for-processing::
* Mcs.processing-fee-goods-for-processing@Sna8,
* Mcs.Sna8/processing-fee-goods-for-processing, 14.38
produced-asset::
* Mcs.produced-asset@Sna8,
* Mcs.Sna8/produced-asset, 2.35, 3.37, 10.9
producer-unit::
* Mcs.producer-unit@Sna8,
* Mcs.Sna8/producer-unit, 5.8
producers'-prices::
* Mcs.producers'-prices@Sna8,
* Mcs.Sna8/producers'-prices, 1.29, 2.63, 2.87, 3.146, 7.6, 14.45, 16.49
· The producer's price is the amount receivable by the producer from the purchaser for a unit of a good or service produced as output minus any VAT, or similar deductible tax, invoiced to the purchaser.
It excludes any transport charges invoiced separately by the producer. see 6.51
· indices 14.139
product-balance::
* Mcs.product-balance@Sna8,
* Mcs.Sna8/product-balance, 14.1, 14.2, 14.4
· The product balance for any product recognizes that the sum of output at basic prices plus imports plus trade and transport margins plus taxes on products less subsidies on products is equal to the sum of intermediate consumption, final consumption and capital formation, all expressed at purchasers' prices, plus exports. see 14.5
product-by-product-matrix::
* Mcs.product-by-product-matrix@Sna8,
* Mcs.Sna8/product-by-product-matrix, 28.48
product-flow::
* Mcs.product-flow@Sna8,
* Mcs.Sna8/product-flow, 14.2
product-technology-assumption::
* Mcs.product-technology-assumption@Sna8,
* Mcs.Sna8/product-technology-assumption, 28.55
product-warranties::
* Mcs.product-warranties@Sna8,
* Mcs.Sna8/product-warranties, 8.125
product-principal::
* Mcs.product-principal@Sna8,
* Mcs.Sna8/product-principal, 14.23
production::
* Mcs.production@Sna8,
* Mcs.Sna8/production, 1.6, 1.14, 1.40, 3.20
· is an activity, carried out under the responsibility, control and management of an institutional unit, that uses inputs of labour, capital, and goods and services to produce outputs of goods and services. see 6.2
· for own final consumption 8.22
· for own final use 9.53, 19.26
· for own final use, exclusion from informal sector 25.41
· for own final use, valuation 9.55
· geographic location and resident producers 6.84
· multiple period processes 6.110, 6.138
· of domestic services 2.167
· on own account 14.32
process-taking-several-years::
* Mcs.process-taking-several-years@Sna8,
* Mcs.Sna8/process-taking-several-years, 10.128, 12.57
production-account::
* Mcs.production-account@Sna8,
* Mcs.Sna8/production-account, 1.17, 2.86, 7.3, 14.86, 16.6, 28.71
· by institutional sector 28.25
· for an institutional unit or sector, or establishment or industry, 6.70
production-activities::
* Mcs.production-activities@Sna8,
* Mcs.Sna8/production-activities,
· characteristics of 5.5
production-as-an-economic-activity::
* Mcs.production-as-an-economic-activity@Sna8,
* Mcs.Sna8/production-as-an-economic-activity, 6.10
production-boundary::
* Mcs.production-boundary@Sna8,
* Mcs.Sna8/production-boundary, 1.42, 6.3, 14.11, 19.67, 25.24
· The production boundary of the SNA includes the following activities (a) The production of all goods or services that are supplied to units other than their producers, or intended to be so supplied, including the production of goods or services used up in the process of producing such goods or services. (b) The own-account production of all goods that are retained by their producers for their own final consumption or gross capital formation. (c) The own-account production of knowledge-capturing products that are retained by their producers for their own final consumption or gross capital formation but excluding (by convention) such products produced by households for their own use. (d) The own-account production of housing services by owner occupiers. (e) The production of domestic and personal services by employing paid domestic staff. see 6.27
· extension of 2.167, 29.38
· extension to include services from consumer durables 9.44
production-by-households::
* Mcs.production-by-households@Sna8,
* Mcs.Sna8/production-by-households, 1.41
production-costs::
* Mcs.production-costs@Sna8,
* Mcs.Sna8/production-costs, 3.136, 22.35
production-for-own-final-consumption::
* Mcs.production-for-own-final-consumption@Sna8,
* Mcs.Sna8/production-for-own-final-consumption,
· treated as market or non-market production 6.134
production-measure-of-GDP::
* Mcs.production-measure-of-GDP@Sna8,
* Mcs.Sna8/production-measure-of-GDP, 16.41, 18.57
· The production measure of gross domestic product (GDP) is derived as the value of output less intermediate consumption plus any taxes less subsidies on products not already included in the value of outputsee 16.47
production-risk::
* Mcs.production-risk@Sna8,
* Mcs.Sna8/production-risk, 3.23
productivity::
* Mcs.productivity@Sna8,
* Mcs.Sna8/productivity, 14.3, 15.116, 15.198, 16.37, 20.1, 20.6
· changes 18.26
· growth 19.74
· international comparisons of 19.75
· non-market services 15.116
· on an industry basis 19.68
products::
* Mcs.products@Sna8,
* Mcs.Sna8/products, 14.22, 29.106
· are goods and services (including knowledge-capturing products) that result from a process of production. see 6.14
· connected 29.59
· included in customs declarations. 14.69
· not included in customs documentation 14.63
· vs. producing units 14.17
professional-societies::
* Mcs.professional-societies@Sna8,
* Mcs.Sna8/professional-societies, 4.167
profile::
* Mcs.profile@Sna8,
* Mcs.Sna8/profile,
· age-efficiency 20.17
· age-price 20.17
· choice of 20.25
profit::
* Mcs.profit@Sna8,
* Mcs.Sna8/profit, 1.68, 2.94, 7.24
· of export monopolies 7.95
· of fiscal monopolies 7.96
· of import monopolies 7.94
profit-maximization::
* Mcs.profit-maximization@Sna8,
* Mcs.Sna8/profit-maximization, 22.2
profit-sharing::
* Mcs.profit-sharing@Sna8,
* Mcs.Sna8/profit-sharing, 17.11, 17.33
projected-benefit-obligation-(PBO)::
* Mcs.projected-benefit-obligation-(PBO)@Sna8,
* Mcs.Sna8/projected-benefit-obligation-(PBO), 17.181
projections::
* Mcs.projections@Sna8,
* Mcs.Sna8/projections, 27.37
promotion::
* Mcs.promotion@Sna8,
* Mcs.Sna8/promotion, 17.180
property-income::
* Mcs.property-income@Sna8,
* Mcs.Sna8/property-income, 2.92, 7.2, 7.16, 7.107, 11.103, 14.29, 16.9, 18.65, 24.3, 26.58, 28.73
· is the sum of investment income and rent. see 7.107
proportionate-reinsurance::
* Mcs.proportionate-reinsurance@Sna8,
* Mcs.Sna8/proportionate-reinsurance, 17.11
proportionate-reinsurance-policy::
* Mcs.proportionate-reinsurance-policy@Sna8,
* Mcs.Sna8/proportionate-reinsurance-policy, 17.22
provisions::
* Mcs.provisions@Sna8,
* Mcs.Sna8/provisions, 3.41, 11.23, 21.65
· bad debt 10.211
· bonuses and rebates 13.77
· standardized guarantees 17.223
provisions-for-calls-under-standardized-guarantees::
* Mcs.provisions-for-calls-under-standardized-guarantees@Sna8,
* Mcs.Sna8/provisions-for-calls-under-standardized-guarantees,
· consist of prepayments of net fees and provisions to meet outstanding calls under standardized guarantees. see 11.110
pseudo-output-price-index::
* Mcs.pseudo-output-price-index@Sna8,
* Mcs.Sna8/pseudo-output-price-index, 15.117
public-administration::
* Mcs.public-administration@Sna8,
* Mcs.Sna8/public-administration, 9.4
public-benefit-organizations::
* Mcs.public-benefit-organizations@Sna8,
* Mcs.Sna8/public-benefit-organizations, 23.16
public-corporation::
* Mcs.public-corporation@Sna8,
* Mcs.Sna8/public-corporation, 4.34, 4.77, 22.27
· restructuring 22.147
public-finance-presentation::
* Mcs.public-finance-presentation@Sna8,
* Mcs.Sna8/public-finance-presentation, 22.8, 22.62
public-goods::
* Mcs.public-goods@Sna8,
* Mcs.Sna8/public-goods, 9.4, 9.103
public-monuments::
* Mcs.public-monuments@Sna8,
* Mcs.Sna8/public-monuments, 10.78, 12.13, 12.15
· are identifiable because of particular historical, national, regional, local, religious or symbolic significance. see 10.78
public-sector::
* Mcs.public-sector@Sna8,
* Mcs.Sna8/public-sector, 2.162, 22.6
· sub-sectors 22.41, 22.166
public-sector-borrowing-requirement::
* Mcs.public-sector-borrowing-requirement@Sna8,
* Mcs.Sna8/public-sector-borrowing-requirement, 22.169
publication-details::
* Mcs.publication-details@Sna8,
* Mcs.Sna8/publication-details, 18.2
public-private-partnership::
* Mcs.public-private-partnership@Sna8,
* Mcs.Sna8/public-private-partnership, 10.59, 22.154
purchase-by-government-and-NPISHs-of-goods-and-services-for::
* Mcs.purchase-by-government-and-NPISHs-of-goods-and-services-for@Sna8,
* Mcs.Sna8/purchase-by-government-and-NPISHs-of-goods-and-services-for,
· transfer to households 2.98
purchase-when-recorded-as-two-transactions::
* Mcs.purchase-when-recorded-as-two-transactions@Sna8,
* Mcs.Sna8/purchase-when-recorded-as-two-transactions, 6.67
purchased-goodwill::
* Mcs.purchased-goodwill@Sna8,
* Mcs.Sna8/purchased-goodwill,
· see goodwill and marketing assets
purchased-goodwill-and-marketing-assets::
* Mcs.purchased-goodwill-and-marketing-assets@Sna8,
* Mcs.Sna8/purchased-goodwill-and-marketing-assets, 3.44, 10.17, 10.196, 12.33
· definition 10.199
· writing down 12.34
purchasers-freedom-of-choice::
* Mcs.purchasers-freedom-of-choice@Sna8,
* Mcs.Sna8/purchasers-freedom-of-choice, 15.69
· not free to choose price 15.71
· well informed 15.69
purchasers'-prices::
* Mcs.purchasers'-prices@Sna8,
* Mcs.Sna8/purchasers'-prices, 2.64, 3.145, 3.147, 14.45
· The purchaser's price is the amount paid by the purchaser, excluding any VAT or similar tax deductible by the purchaser, in order to take delivery of a unit of a good or service at the time and place required by the purchaser.
The purchaser's price of a good includes any transport charges paid separately by the purchaser to take delivery at the required time and place. see 6.64
· credit related charges 9.78
· three elements 6.217
purchasing-power::
* Mcs.purchasing-power@Sna8,
* Mcs.Sna8/purchasing-power, 7.120, 11.70, 16.34
purchasing-power-parities::
* Mcs.purchasing-power-parities@Sna8,
* Mcs.Sna8/purchasing-power-parities, 1.34, 19.15, 19.74
· A purchasing power parity (PPP) is defined as the number of units of B's currency that are needed in B to purchase the same quantity of individual good or service as one unit of A's currency will purchase in A. see 15.199
purely-voluntary-transfers::
* Mcs.purely-voluntary-transfers@Sna8,
* Mcs.Sna8/purely-voluntary-transfers, 16.12
purpose::
* Mcs.purpose@Sna8,
* Mcs.Sna8/purpose, 2.42
put-option::
* Mcs.put-option@Sna8,
* Mcs.Sna8/put-option, 11.117
Name::
* Mcs.Index-Q@Sna8,
* Mcs.Sna8/Index-Q,
quadruple-entry-accounting::
* Mcs.quadruple-entry-accounting@Sna8,
* Mcs.Sna8/quadruple-entry-accounting, 1.63, 3.111, 3.116, 11.9, 27.2
· vs. double-entry 26.17
quality-adjustment-procedures::
* Mcs.quality-adjustment-procedures@Sna8,
* Mcs.Sna8/quality-adjustment-procedures, 15.77
quality-change::
* Mcs.quality-change@Sna8,
* Mcs.Sna8/quality-change, 15.122
quality-differences::
* Mcs.quality-differences@Sna8,
* Mcs.Sna8/quality-differences, 9.77, 12.23
· in price indices 15.64
quality-adjusted-labour-inputs::
* Mcs.quality-adjusted-labour-inputs@Sna8,
* Mcs.Sna8/quality-adjusted-labour-inputs, 19.42, 19.55
quantities-additivity::
* Mcs.quantities-additivity@Sna8,
* Mcs.Sna8/quantities-additivity, 15.11
quantity-unit::
* Mcs.quantity-unit@Sna8,
* Mcs.Sna8/quantity-unit, 15.10
quarterly-accounts::
* Mcs.quarterly-accounts@Sna8,
* Mcs.Sna8/quarterly-accounts, 1.29, 18.33, 18.64
· chaining 18.43
quarterly-chain-indices::
* Mcs.quarterly-chain-indices@Sna8,
* Mcs.Sna8/quarterly-chain-indices, 15.45
quasi-corporation::
* Mcs.quasi-corporation@Sna8,
* Mcs.Sna8/quasi-corporation, 4.65, 11.88, 11.93, 22.44, 24.6, 24.29, 25.68, 26.30
· A quasi-corporation is either an unincorporated enterprise owned by a resident institutional unit that has sufficient information to compile a complete set of accounts and is operated as if it were a separate corporation and whose de facto relationship to its owner is that of a corporation to its shareholders, or an unincorporated enterprise owned by a non-resident institutional unit that is deemed to be a resident institutional unit because it engages in a significant amount of production in the economic territory over a long or indefinite period of time. see 4.42
· requirement of a balance sheet 4.45
· requires full set of accounts 4.44
· size not part of definition 4.46
quasi-fiscal-activities::
* Mcs.quasi-fiscal-activities@Sna8,
* Mcs.Sna8/quasi-fiscal-activities, 22.3
quasi-non-governmental-organizations::
* Mcs.quasi-non-governmental-organizations@Sna8,
* Mcs.Sna8/quasi-non-governmental-organizations, 23.26
quasi-region::
* Mcs.quasi-region@Sna8,
* Mcs.Sna8/quasi-region, 18.50
questionnaire-design::
* Mcs.questionnaire-design@Sna8,
* Mcs.Sna8/questionnaire-design, 25.81
quid-pro-quo::
* Mcs.quid-pro-quo@Sna8,
* Mcs.Sna8/quid-pro-quo, 2.24, 3.57
Name::
* Mcs.Index-R@Sna8,
* Mcs.Sna8/Index-R,
R&D-(Research-and-development)::
* Mcs.R&D-(Research-and-development)@Sna8,
* Mcs.Sna8/R&D-(Research-and-development), 10.103
radio-and-television-programming::
* Mcs.radio-and-television-programming@Sna8,
* Mcs.Sna8/radio-and-television-programming, 10.115
radio-spectrum::
* Mcs.radio-spectrum@Sna8,
* Mcs.Sna8/radio-spectrum, 17.323
rate-of-decline-hyperbolic::
* Mcs.rate-of-decline-hyperbolic@Sna8,
* Mcs.Sna8/rate-of-decline-hyperbolic, 6.254
rate-of-inflation::
* Mcs.rate-of-inflation@Sna8,
* Mcs.Sna8/rate-of-inflation, 1.26
rate-of-return::
* Mcs.rate-of-return@Sna8,
* Mcs.Sna8/rate-of-return, 26.59, 26.77
· exogenous or endogenous 20.30
rate-reference::
* Mcs.rate-reference@Sna8,
* Mcs.Sna8/rate-reference, 9.62
rationing::
* Mcs.rationing@Sna8,
* Mcs.Sna8/rationing, 15.72
ratios-of-imports-and-exports-to-GDP::
* Mcs.ratios-of-imports-and-exports-to-GDP@Sna8,
* Mcs.Sna8/ratios-of-imports-and-exports-to-GDP, 14.40
real-GDI::
* Mcs.real-GDI@Sna8,
* Mcs.Sna8/real-GDI,
· measures the purchasing power of the total incomes generated by domestic production. see 15.188
real-gross-domestic-income::
* Mcs.real-gross-domestic-income@Sna8,
* Mcs.Sna8/real-gross-domestic-income, 15.188
· see real-GDI
real-holding-gains::
* Mcs.real-holding-gains@Sna8,
* Mcs.Sna8/real-holding-gains, 1.69, 2.119, 3.142, 8.25, 12.76, 12.89, 16.34
· A holding gain (loss) is realized when an asset that has increased (decreased) in value due to holding gains (losses) since the beginning of the accounting period is sold, redeemed, used or otherwise disposed of, or a liability incorporating a holding gain or loss is repaid. see 12.80
· treatment as income 12.92
real-holding-gains-and-losses::
* Mcs.real-holding-gains-and-losses@Sna8,
* Mcs.Sna8/real-holding-gains-and-losses,
· A real holding gain (loss) is the amount by which the value of an asset increases (decreases) over the neutral holding gain for the period, in the absence of transactions and other changes in the volume of assets. see 12.76
real-income::
* Mcs.real-income@Sna8,
* Mcs.Sna8/real-income, 15.182
real-income-measures::
* Mcs.real-income-measures@Sna8,
* Mcs.Sna8/real-income-measures, 15.192
real-national-income::
* Mcs.real-national-income@Sna8,
* Mcs.Sna8/real-national-income, 19.14
real-purchasing-power::
* Mcs.real-purchasing-power@Sna8,
* Mcs.Sna8/real-purchasing-power, 15.181
real-terms-vs-volumes::
* Mcs.real-terms-vs-volumes@Sna8,
* Mcs.Sna8/real-terms-vs-volumes, 14.153, 15.181
receipt-of-any-reinvestment-of-earnings::
* Mcs.receipt-of-any-reinvestment-of-earnings@Sna8,
* Mcs.Sna8/receipt-of-any-reinvestment-of-earnings, 17.288
reclassification::
* Mcs.reclassification@Sna8,
* Mcs.Sna8/reclassification,
· fixed capital to inventories 12.71
· life insurance entitlements to annuities entitlements. 17.138
· of an institutional unit from one sector to another 12.64
· of assets 12.3
recording-of-VAT-gross-and-net::
* Mcs.recording-of-VAT-gross-and-net@Sna8,
* Mcs.Sna8/recording-of-VAT-gross-and-net, 6.59
recruitment-agency::
* Mcs.recruitment-agency@Sna8,
* Mcs.Sna8/recruitment-agency, 19.72
recurrent-losses::
* Mcs.recurrent-losses@Sna8,
* Mcs.Sna8/recurrent-losses, 6.109, 6.147, 6.148
· from inventories 10.130, 12.98
redistribution::
* Mcs.redistribution@Sna8,
* Mcs.Sna8/redistribution,
· goods and services 9.37
· income 1.14, 8.37
real-net-worth::
* Mcs.real-net-worth@Sna8,
* Mcs.Sna8/real-net-worth, 12.91
· wealth 1.69, 2.110
redistribution-of-income-in-kind-account::
* Mcs.redistribution-of-income-in-kind-account@Sna8,
* Mcs.Sna8/redistribution-of-income-in-kind-account, 2.95, 8.30, 8.144, 9.7, 9.95, 16.16
re-evaluations-of-mineral-resources::
* Mcs.re-evaluations-of-mineral-resources@Sna8,
* Mcs.Sna8/re-evaluations-of-mineral-resources, 10.106
re-exports::
* Mcs.re-exports@Sna8,
* Mcs.Sna8/re-exports, 26.54
reference-period::
* Mcs.reference-period@Sna8,
* Mcs.Sna8/reference-period, 19.76
reference-price::
* Mcs.reference-price@Sna8,
* Mcs.Sna8/reference-price, 11.111
reference-rate::
* Mcs.reference-rate@Sna8,
* Mcs.Sna8/reference-rate, 6.163, 6.164, 9.62
· characteristics 6.166
· for different currencies 6.166
refugees::
* Mcs.refugees@Sna8,
* Mcs.Sna8/refugees,
residence::
* Mcs.residence@Sna8,
* Mcs.Sna8/residence, 26.38
regional-accounts::
* Mcs.regional-accounts@Sna8,
* Mcs.Sna8/regional-accounts, 18.2, 18.6, 18.45, 19.69, 25.46
regional-units::
* Mcs.regional-units@Sna8,
* Mcs.Sna8/regional-units, 18.47
regionalized-approach-to-the-compilation-of-PPPs::
* Mcs.regionalized-approach-to-the-compilation-of-PPPs@Sna8,
* Mcs.Sna8/regionalized-approach-to-the-compilation-of-PPPs, 15.221
registration-of-production-units::
* Mcs.registration-of-production-units@Sna8,
* Mcs.Sna8/registration-of-production-units, 25.20
regular-thefts::
* Mcs.regular-thefts@Sna8,
* Mcs.Sna8/regular-thefts, 6.46
regulatory-supervisory-or-accounting-requirements::
* Mcs.regulatory-supervisory-or-accounting-requirements@Sna8,
* Mcs.Sna8/regulatory-supervisory-or-accounting-requirements, 12.41
reimbursement-of-expenses::
* Mcs.reimbursement-of-expenses@Sna8,
* Mcs.Sna8/reimbursement-of-expenses, 6.222, 7.45, 8.104
reinsurance::
* Mcs.reinsurance@Sna8,
* Mcs.Sna8/reinsurance, 6.180, 6.200, 8.115, 8.122, 17.2, 17.10, 17.64, 26.69
· claims 8.123
· commission 17.11
reinsurer::
* Mcs.reinsurer@Sna8,
* Mcs.Sna8/reinsurer, 17.57
reinvested-earnings::
* Mcs.reinvested-earnings@Sna8,
* Mcs.Sna8/reinvested-earnings, 7.23, 13.90, 26.63, 26.88
· foreign direct investment 2.24
· foreign direct investment enterprises 17.285
· negative 26.64
reinvestment-of-earnings::
* Mcs.reinvestment-of-earnings@Sna8,
* Mcs.Sna8/reinvestment-of-earnings, 11.92, 21.40, 26.88
reinvestment-of-interest-securities::
* Mcs.reinvestment-of-interest-securities@Sna8,
* Mcs.Sna8/reinvestment-of-interest-securities, 17.282
relationship-between-institutional-units-and-establishments::
* Mcs.relationship-between-institutional-units-and-establishments@Sna8,
* Mcs.Sna8/relationship-between-institutional-units-and-establishments, 2.41
relationship-between-stocks-and-flows::
* Mcs.relationship-between-stocks-and-flows@Sna8,
* Mcs.Sna8/relationship-between-stocks-and-flows, 2.33
relative-costs::
* Mcs.relative-costs@Sna8,
* Mcs.Sna8/relative-costs, 15.12
relative-costs-of-production::
* Mcs.relative-costs-of-production@Sna8,
* Mcs.Sna8/relative-costs-of-production, 15.81
relative-utilities::
* Mcs.relative-utilities@Sna8,
* Mcs.Sna8/relative-utilities, 15.12
relief-agencies::
* Mcs.relief-agencies@Sna8,
* Mcs.Sna8/relief-agencies, 4.169, 26.45
religious-congregations::
* Mcs.religious-congregations@Sna8,
* Mcs.Sna8/religious-congregations, 4.167, 23.19
religious-institutions::
* Mcs.religious-institutions@Sna8,
* Mcs.Sna8/religious-institutions, 4.167
remaining-maturity::
* Mcs.remaining-maturity@Sna8,
* Mcs.Sna8/remaining-maturity, 26.105, 27.20
remittances::
* Mcs.remittances@Sna8,
* Mcs.Sna8/remittances, 8.27, 8.133, 16.12, 24.64
· from abroad 24.17, 24.70
remuneration-in-kind::
* Mcs.remuneration-in-kind@Sna8,
* Mcs.Sna8/remuneration-in-kind, 3.77, 3.80, 6.148, 7.48, 8.22, 9.45, 9.51
rent::
* Mcs.rent@Sna8,
* Mcs.Sna8/rent, 7.17, 7.107, 7.109, 7.154
· is the income receivable by the owner of a natural resource (the lessor or landlord) for putting the natural resource at the disposal of another institutional unit (a lessee or tenant) for use of the natural resource in production. see 7.109, 7.154
· after-tax 7.157
· lease-hold land 17.327
· on land 7.13, 7.155
· payable by non-residents 26.59
rent-vs-rental::
* Mcs.rent-vs-rental@Sna8,
* Mcs.Sna8/rent-vs-rental, 7.153, 7.158
rental::
* Mcs.rental@Sna8,
* Mcs.Sna8/rental, 6.214, 6.238, 7.14, 7.110
· The rental is the amount payable by the user of a fixed asset to its owner, under an operating lease or similar contract, for the right to use that asset in production for a specified period of time. see 6.245
· of owner-occupied dwellings 14.99
repair-and-maintenance-consumer-durables::
* Mcs.repair-and-maintenance-consumer-durables@Sna8,
* Mcs.Sna8/repair-and-maintenance-consumer-durables, 9.69
· current vs. capital 10.45
· do-it-yourself 6.36
repairs::
* Mcs.repairs@Sna8,
* Mcs.Sna8/repairs,
· see also maintenance
repayable-margins::
* Mcs.repayable-margins@Sna8,
* Mcs.Sna8/repayable-margins, 11.124
repayments-of-debt::
* Mcs.repayments-of-debt@Sna8,
* Mcs.Sna8/repayments-of-debt, 3.175
repo::
* Mcs.repo@Sna8,
* Mcs.Sna8/repo, 11.74
· A repo is a securities repurchase agreement where securities are provided for cash with a commitment to repurchase the same or similar securities for cash at a fixed price on a specified future date. see 11.74
repo-reverse::
* Mcs.repo-reverse@Sna8,
* Mcs.Sna8/repo-reverse, 11.74
reporting-date::
* Mcs.reporting-date@Sna8,
* Mcs.Sna8/reporting-date, 3.155
repossessions::
* Mcs.repossessions@Sna8,
* Mcs.Sna8/repossessions, 12.49
representativity::
* Mcs.representativity@Sna8,
* Mcs.Sna8/representativity, 15.204
repurchase-agreements::
* Mcs.repurchase-agreements@Sna8,
* Mcs.Sna8/repurchase-agreements, 11.59, 11.73
re-referencing-series::
* Mcs.re-referencing-series@Sna8,
* Mcs.Sna8/re-referencing-series, 15.60
re-routing::
* Mcs.re-routing@Sna8,
* Mcs.Sna8/re-routing, 2.96, 3.62
research-agenda::
* Mcs.research-agenda@Sna8,
* Mcs.Sna8/research-agenda, 7.140
research-and-development::
* Mcs.research-and-development@Sna8,
* Mcs.Sna8/research-and-development, 6.230, 10.103, 22.22, 28.15
· consists of the value of expenditures on creative work undertaken on a systematic basis in order to increase the stock of knowledge, including knowledge of man, culture and society, and use of this stock of knowledge to devise new applications.
This does not extend to including human capital as assets within the SNA. see 10.103
research-institutions::
* Mcs.research-institutions@Sna8,
* Mcs.Sna8/research-institutions, 4.170
reserve-assets::
* Mcs.reserve-assets@Sna8,
* Mcs.Sna8/reserve-assets, 11.45, 26.74, 26.75, 26.82
· are those external assets that are readily available to and controlled by monetary authorities for meeting balance of payments financing needs, for intervention in exchange markets to affect the currency exchange rate and for other related purposes (such as maintaining confidence in the currency and the economy, and serving as a basis for foreign borrowing). Reserve assets must be denominated and settled in foreign currency. see 26.95
reserve-deposits::
* Mcs.reserve-deposits@Sna8,
* Mcs.Sna8/reserve-deposits, 7.122
reserves::
* Mcs.reserves@Sna8,
* Mcs.Sna8/reserves, 7.129, 17.15
reserves-for-non-pension-benefits::
* Mcs.reserves-for-non-pension-benefits@Sna8,
* Mcs.Sna8/reserves-for-non-pension-benefits, 17.99
reserves-for-with-profit-insurance::
* Mcs.reserves-for-with-profit-insurance@Sna8,
* Mcs.Sna8/reserves-for-with-profit-insurance, 17.17
residence::
* Mcs.residence@Sna8,
* Mcs.Sna8/residence, 1.48, 4.1, 19.6, 19.11, 19.67, 19.81
· The residence of each institutional unit is the economic territory with which it has the strongest connection, in other words, its centre of predominant economic interest. see 4.10
· BPM6 4.15, 26.24
· confined to one economic territory 4.13
· corporations 4.15
· definition 4.10, 26.36
· households 26.37
· immovable structures 4.15
· individual persons 4.15
· land-owners 4.15
· leases 4.15
· SPEs 4.15
· sub-soil extractors 4.15
· unincorporated enterprises 4.15
resident::
* Mcs.resident@Sna8,
* Mcs.Sna8/resident, 2.19, 19.10
resident-SPEs::
* Mcs.resident-SPEs@Sna8,
* Mcs.Sna8/resident-SPEs, 22.52
residential-schools-colleges-or-universities::
* Mcs.residential-schools-colleges-or-universities@Sna8,
* Mcs.Sna8/residential-schools-colleges-or-universities, 4.153
residual-value-of-an-asset::
* Mcs.residual-value-of-an-asset@Sna8,
* Mcs.Sna8/residual-value-of-an-asset, 14.106
residuals::
* Mcs.residuals@Sna8,
* Mcs.Sna8/residuals, 29.102, 29.106
resource-lease::
* Mcs.resource-lease@Sna8,
* Mcs.Sna8/resource-lease, 7.153, 17.345, 20.39
· A resource lease is an agreement whereby the legal owner of a natural resource that the SNA treats as having an infinite life makes it available to a lessee in return for a regular payment recorded as property income and described as rent. see 7.109, 17.310
· fishing 17.335
· land 17.327
resource-rent::
* Mcs.resource-rent@Sna8,
* Mcs.Sna8/resource-rent, 13.50, 29.112
resources::
* Mcs.resources@Sna8,
* Mcs.Sna8/resources, 1.14, 2.43
response-rate::
* Mcs.response-rate@Sna8,
* Mcs.Sna8/response-rate, 19.76
rest-of-the-world::
* Mcs.rest-of-the-world@Sna8,
* Mcs.Sna8/rest-of-the-world, 1.11, 3.117, 4.37, 4.172, 17.10
· The rest of the world consists of all non-resident institutional units that enter into transactions with resident units, or have other economic links with resident units. see 4.172
· de facto sector 2.20, 4.37, 26.2
· perspective 26.10
rest-of-the-world-account::
* Mcs.rest-of-the-world-account@Sna8,
* Mcs.Sna8/rest-of-the-world-account, 2.130, 16.28, 28.71
resting-time::
* Mcs.resting-time@Sna8,
* Mcs.Sna8/resting-time, 19.51
restructuring-agencies::
* Mcs.restructuring-agencies@Sna8,
* Mcs.Sna8/restructuring-agencies, 22.47, 22.141
retail-and-wholesale-services::
* Mcs.retail-and-wholesale-services@Sna8,
* Mcs.Sna8/retail-and-wholesale-services, 14.27
retained-earnings::
* Mcs.retained-earnings@Sna8,
* Mcs.Sna8/retained-earnings, 3.64, 7.139, 7.151, 9.11, 13.90, 26.63
retained-earnings-of-a-corporation-or-quasi-corporation::
* Mcs.retained-earnings-of-a-corporation-or-quasi-corporation@Sna8,
* Mcs.Sna8/retained-earnings-of-a-corporation-or-quasi-corporation,
· are equal to the distributable income less the dividends payable or withdrawal of income from the quasi-corporation respectively. see 7.139
retirement::
* Mcs.retirement@Sna8,
* Mcs.Sna8/retirement, 8.71, 15.169
retrocession::
* Mcs.retrocession@Sna8,
* Mcs.Sna8/retrocession, 17.10
return-to-capital::
* Mcs.return-to-capital@Sna8,
* Mcs.Sna8/return-to-capital, 6.245, 19.25, 20.5, 20.28, 22.35
return-to-fixed-capital::
* Mcs.return-to-fixed-capital@Sna8,
* Mcs.Sna8/return-to-fixed-capital, 6.245
return-to-labour::
* Mcs.return-to-labour@Sna8,
* Mcs.Sna8/return-to-labour, 19.25
revaluation-account::
* Mcs.revaluation-account@Sna8,
* Mcs.Sna8/revaluation-account, 1.20, 2.115, 2.117, 3.100, 10.1, 12.3, 16.33, 26.9
· licences 17.352
revaluation-exchange-rate-changes::
* Mcs.revaluation-exchange-rate-changes@Sna8,
* Mcs.Sna8/revaluation-exchange-rate-changes, 26.79
revenue::
* Mcs.revenue@Sna8,
* Mcs.Sna8/revenue,
· GFS definition 22.65
reverse-investment::
* Mcs.reverse-investment@Sna8,
* Mcs.Sna8/reverse-investment, 26.86
reverse-repo::
* Mcs.reverse-repo@Sna8,
* Mcs.Sna8/reverse-repo, 11.74
revisions::
* Mcs.revisions@Sna8,
* Mcs.Sna8/revisions, 18.2, 18.3, 18.12
revisions-analysis::
* Mcs.revisions-analysis@Sna8,
* Mcs.Sna8/revisions-analysis, 18.13
ring-approach-ICP::
* Mcs.ring-approach-ICP@Sna8,
* Mcs.Sna8/ring-approach-ICP, 15.222
risk::
* Mcs.risk@Sna8,
* Mcs.Sna8/risk, 3.23, 3.27, 10.5, 11.112, 17.1, 17.7, 17.300
· over time 3.24
risk-assumption::
* Mcs.risk-assumption@Sna8,
* Mcs.Sna8/risk-assumption, 6.157
risk-exposure::
* Mcs.risk-exposure@Sna8,
* Mcs.Sna8/risk-exposure, 26.104
risk-management::
* Mcs.risk-management@Sna8,
* Mcs.Sna8/risk-management, 11.112, 17.67
risks-and-rewards::
* Mcs.risks-and-rewards@Sna8,
* Mcs.Sna8/risks-and-rewards, 2.47, 28.15
road-construction::
* Mcs.road-construction@Sna8,
* Mcs.Sna8/road-construction, 22.20
roads-service-lives-of::
* Mcs.roads-service-lives-of@Sna8,
* Mcs.Sna8/roads-service-lives-of, 6.242
royalties::
* Mcs.royalties@Sna8,
* Mcs.Sna8/royalties, 7.110, 7.160
rundown-of-wealth-post-retirement::
* Mcs.rundown-of-wealth-post-retirement@Sna8,
* Mcs.Sna8/rundown-of-wealth-post-retirement, 24.78
Name::
* Mcs.Index-S@Sna8,
* Mcs.Sna8/Index-S,
salary-sacrifice::
* Mcs.salary-sacrifice@Sna8,
* Mcs.Sna8/salary-sacrifice, 7.47
sales::
* Mcs.sales@Sna8,
* Mcs.Sna8/sales, 6.100, 22.34
sales-structure-approach::
* Mcs.sales-structure-approach@Sna8,
* Mcs.Sna8/sales-structure-approach, 28.49
SAM-(Social-Accounting-Matrix)::
* Mcs.SAM-(Social-Accounting-Matrix)@Sna8,
* Mcs.Sna8/SAM-(Social-Accounting-Matrix), 2.164, 28.4
sample-size::
* Mcs.sample-size@Sna8,
* Mcs.Sna8/sample-size, 19.76
sampling-frame::
* Mcs.sampling-frame@Sna8,
* Mcs.Sna8/sampling-frame, 21.8
satellite-external::
* Mcs.satellite-external@Sna8,
* Mcs.Sna8/satellite-external, 29.85
· internal 29.85
satellite-account::
* Mcs.satellite-account@Sna8,
* Mcs.Sna8/satellite-account, 1.55, 1.73, 2.155, 2.164, 2.168, 3.95, 29.4, 29.31
· ancillary activities 5.45
· domestic services 24.62
· household services 9.44, 24.83
· NPIs 23.12
· tourism 24.66
saving::
* Mcs.saving@Sna8,
* Mcs.Sna8/saving, 2.83, 2.106, 9.9, 9.26, 10.18, 11.1
· represents that part of disposable income (adjusted for the change in pension entitlements) that is not spent on final consumption goods and services. see 9.28
· link between the current and accumulation accounts 9.28
savings-deposits::
* Mcs.savings-deposits@Sna8,
* Mcs.Sna8/savings-deposits, 11.59
savings-ratio::
* Mcs.savings-ratio@Sna8,
* Mcs.Sna8/savings-ratio, 1.29, 9.30
SDR-(Special-Drawing-Right)::
* Mcs.SDR-(Special-Drawing-Right)@Sna8,
* Mcs.Sna8/SDR-(Special-Drawing-Right), 7.113, 26.103
· definition 11.47
· holding gains and losses 12.104
seasonal-adjustment::
* Mcs.seasonal-adjustment@Sna8,
* Mcs.Sna8/seasonal-adjustment, 18.37
· quarterly accounts 18.64
seasonal-fruits-and-vegetables::
* Mcs.seasonal-fruits-and-vegetables@Sna8,
* Mcs.Sna8/seasonal-fruits-and-vegetables, 15.66
seasonal-workers::
* Mcs.seasonal-workers@Sna8,
* Mcs.Sna8/seasonal-workers, 19.18, 19.32, 19.33
seasonality::
* Mcs.seasonality@Sna8,
* Mcs.Sna8/seasonality, 18.37
second-homes::
* Mcs.second-homes@Sna8,
* Mcs.Sna8/second-homes, 24.56, 29.89
secondary-activity::
* Mcs.secondary-activity@Sna8,
* Mcs.Sna8/secondary-activity, 29.34
· A secondary activity is an activity carried out within a single producer unit in addition to the principal activity and whose output, like that of the principal activity, must be suitable for delivery outside the producer unit. see 5.9
secondary-distribution-of-income-account::
* Mcs.secondary-distribution-of-income-account@Sna8,
* Mcs.Sna8/secondary-distribution-of-income-account, 2.95, 16.12, 26.4, 28.73
secondary-financial-activities::
* Mcs.secondary-financial-activities@Sna8,
* Mcs.Sna8/secondary-financial-activities, 4.95
secondary-income-account::
* Mcs.secondary-income-account@Sna8,
* Mcs.Sna8/secondary-income-account, 26.46, 26.66
secondary-jobs::
* Mcs.secondary-jobs@Sna8,
* Mcs.Sna8/secondary-jobs, 19.31
secondary-production::
* Mcs.secondary-production@Sna8,
* Mcs.Sna8/secondary-production, 14.23
secondary-products::
* Mcs.secondary-products@Sna8,
* Mcs.Sna8/secondary-products, 28.45
second-hand-assets::
* Mcs.second-hand-assets@Sna8,
* Mcs.Sna8/second-hand-assets, 14.107
sector-informal-vs-SNA-usage::
* Mcs.sector-informal-vs-SNA-usage@Sna8,
* Mcs.Sna8/sector-informal-vs-SNA-usage, 25.47
sectors-financial-statistics::
* Mcs.sectors-financial-statistics@Sna8,
* Mcs.Sna8/sectors-financial-statistics, 27.18
securities::
* Mcs.securities@Sna8,
* Mcs.Sna8/securities, 11.18, 11.33, 11.73
· reinvestment of interest 17.282
securities-repurchase-agreement::
* Mcs.securities-repurchase-agreement@Sna8,
* Mcs.Sna8/securities-repurchase-agreement, 11.74
· A securities repurchase agreement is an arrangement involving the provision of securities in exchange for cash with a commitment to repurchase the same or similar securities at a fixed price either on a specified future date (often one or a few days hence, but also further in the future) or with an open maturity. see 11.74
securities-short-term::
* Mcs.securities-short-term@Sna8,
* Mcs.Sna8/securities-short-term, 11.71
securitization::
* Mcs.securitization@Sna8,
* Mcs.Sna8/securitization, 11.67, 22.131
· of assets 22.4
· of future revenue flows 22.133
sale-of-an-asset::
* Mcs.sale-of-an-asset@Sna8,
* Mcs.Sna8/sale-of-an-asset, 22.132
SEEA-(System-of-Environmental-and-Economic-Accounts)::
* Mcs.SEEA-(System-of-Environmental-and-Economic-Accounts)@Sna8,
* Mcs.Sna8/SEEA-(System-of-Environmental-and-Economic-Accounts), 3.95, 10.178, 10.183, 20.48, 29.88, 29.103
· goals 29.103
· key indicators 29.104
self-employed::
* Mcs.self-employed@Sna8,
* Mcs.Sna8/self-employed,
· see self-employed person
self-employed-person::
* Mcs.self-employed-person@Sna8,
* Mcs.Sna8/self-employed-person, 7.30, 7.33, 19.26, 19.28, 19.79
· are persons who are the sole or joint owners of the unincorporated enterprises in which they work, excluding those unincorporated enterprises that are classified as quasi-corporations. see 19.25
· self-employed persons vs. employee 7.28
* specific::
· employers 7.33
· own-account workers 7.33
self-help-groups::
* Mcs.self-help-groups@Sna8,
* Mcs.Sna8/self-help-groups, 23.24
separating-repayment-of-capital-from-interest::
* Mcs.separating-repayment-of-capital-from-interest@Sna8,
* Mcs.Sna8/separating-repayment-of-capital-from-interest, 20.67
sequence-of-accounts::
* Mcs.sequence-of-accounts@Sna8,
* Mcs.Sna8/sequence-of-accounts, 1.15, 2.75, 2.78, 3.2, 4.23, 6.1, 13.5, 18.1, 28.31, 28.73, 29.21
service-charge::
* Mcs.service-charge@Sna8,
* Mcs.Sna8/service-charge, 11.103
· annuity 17.73
· credit card 17.253
· currency and deposits 17.247
· debt securities 17.259
· deposits and loans 17.249
· equity and investment fund shares 17.283
· financial derivative 17.289
· financial derivatives 11.114
· life insurance 17.53
· non-life insurance 8.117, 17.46
· reinsurance 17.63
· repurchase agreements 17.254
· SDRs 17.246
· social insurance scheme 17.114
· standardized guarantee 17.219
· unallocated gold accounts 17.245
service-charges::
* Mcs.service-charges@Sna8,
* Mcs.Sna8/service-charges, 11.34
· standardized guarantees 17.211
service-contract::
* Mcs.service-contract@Sna8,
* Mcs.Sna8/service-contract, 25.27
services::
* Mcs.services@Sna8,
* Mcs.Sna8/services,
· are the result of a production activity that changes the conditions of the consuming units, or facilitates the exchange of products or financial assets. see 6.17
· third party criterion 6.16, 29.146
services-for-own-consumption-within-households::
* Mcs.services-for-own-consumption-within-households@Sna8,
* Mcs.Sna8/services-for-own-consumption-within-households, 9.54
severance-payments::
* Mcs.severance-payments@Sna8,
* Mcs.Sna8/severance-payments, 7.45
SHA-(System-of-Health-Accounts)::
* Mcs.SHA-(System-of-Health-Accounts)@Sna8,
* Mcs.Sna8/SHA-(System-of-Health-Accounts), 29.128
short-term::
* Mcs.short-term@Sna8,
* Mcs.Sna8/short-term,
· definition 27.20
short-term-forecasts::
* Mcs.short-term-forecasts@Sna8,
* Mcs.Sna8/short-term-forecasts, 1.31
short-term-indicators::
* Mcs.short-term-indicators@Sna8,
* Mcs.Sna8/short-term-indicators, 1.29, 18.3, 18.5
short-term-securities::
* Mcs.short-term-securities@Sna8,
* Mcs.Sna8/short-term-securities, 11.15, 11.71
shrinkage-of-inventories-revised-estimates::
* Mcs.shrinkage-of-inventories-revised-estimates@Sna8,
* Mcs.Sna8/shrinkage-of-inventories-revised-estimates, 12.50
sick-leave::
* Mcs.sick-leave@Sna8,
* Mcs.Sna8/sick-leave, 19.46
single-indicator-method::
* Mcs.single-indicator-method@Sna8,
* Mcs.Sna8/single-indicator-method, 15.135
SITC-(Standard-Industrial-Trade-Classification)::
* Mcs.SITC-(Standard-Industrial-Trade-Classification)@Sna8,
* Mcs.Sna8/SITC-(Standard-Industrial-Trade-Classification), 14.36, A1.5
size-as-criterion-for-informal::
* Mcs.size-as-criterion-for-informal@Sna8,
* Mcs.Sna8/size-as-criterion-for-informal, 25.22
small-enterprises::
* Mcs.small-enterprises@Sna8,
* Mcs.Sna8/small-enterprises, 25.69
small-tools::
* Mcs.small-tools@Sna8,
* Mcs.Sna8/small-tools, 6.225, 10.35
smuggling::
* Mcs.smuggling@Sna8,
* Mcs.Sna8/smuggling, 6.44
SNA-(System-of-National-Accounts)::
* Mcs.SNA-(System-of-National-Accounts)@Sna8,
* Mcs.Sna8/SNA-(System-of-National-Accounts), PrefaceAP1
SNA-interest::
* Mcs.SNA-interest@Sna8,
* Mcs.Sna8/SNA-interest, 6.164, 7.116, 8.24, 9.62, 13.62, 17.250
software-and-databases::
* Mcs.software-and-databases@Sna8,
* Mcs.Sna8/software-and-databases, 15.149
sole-owners-of-unincorporated-enterprises::
* Mcs.sole-owners-of-unincorporated-enterprises@Sna8,
* Mcs.Sna8/sole-owners-of-unincorporated-enterprises, 7.30
sound-recordings::
* Mcs.sound-recordings@Sna8,
* Mcs.Sna8/sound-recordings, 10.115
source-of-funding-vs-types-of-expenditure::
* Mcs.source-of-funding-vs-types-of-expenditure@Sna8,
* Mcs.Sna8/source-of-funding-vs-types-of-expenditure, 29.79
SPD-(Structured-Product-Description)::
* Mcs.SPD-(Structured-Product-Description)@Sna8,
* Mcs.Sna8/SPD-(Structured-Product-Description), 15.202
SPE-(Special-purpose-entity)::
* Mcs.SPE-(Special-purpose-entity)@Sna8,
* Mcs.Sna8/SPE-(Special-purpose-entity), 4.55
special-Drawing-Rights-(SDRs)::
* Mcs.special-Drawing-Rights-(SDRs)@Sna8,
* Mcs.Sna8/special-Drawing-Rights-(SDRs),
· are international reserve assets created by the International Monetary Fund (IMF) and allocated to its members to supplement existing reserve assets. see 11.47
special-purpose-entities::
* Mcs.special-purpose-entities@Sna8,
* Mcs.Sna8/special-purpose-entities, 4.55, 21.41, 22.4, 22.52, 22.131, 26.28
· resident 22.52
special-purpose-units-of-government::
* Mcs.special-purpose-units-of-government@Sna8,
* Mcs.Sna8/special-purpose-units-of-government, 4.67
specialization-of-production::
* Mcs.specialization-of-production@Sna8,
* Mcs.Sna8/specialization-of-production, 6.10
specialized-agencies-of-government::
* Mcs.specialized-agencies-of-government@Sna8,
* Mcs.Sna8/specialized-agencies-of-government, 5.43
specific-capital-transfers::
* Mcs.specific-capital-transfers@Sna8,
* Mcs.Sna8/specific-capital-transfers, 29.68
specific-current-transfers::
* Mcs.specific-current-transfers@Sna8,
* Mcs.Sna8/specific-current-transfers, 29.68
specific-products::
* Mcs.specific-products@Sna8,
* Mcs.Sna8/specific-products, 29.61
speculation::
* Mcs.speculation@Sna8,
* Mcs.Sna8/speculation, 6.145, 11.112
spillovers::
* Mcs.spillovers@Sna8,
* Mcs.Sna8/spillovers, 10.102
sports-clubs::
* Mcs.sports-clubs@Sna8,
* Mcs.Sna8/sports-clubs, 23.19
sports-players-contracts::
* Mcs.sports-players-contracts@Sna8,
* Mcs.Sna8/sports-players-contracts, 17.368
staff-of-scientific-bases::
* Mcs.staff-of-scientific-bases@Sna8,
* Mcs.Sna8/staff-of-scientific-bases, 19.32, 19.33
stage-of-economic-development::
* Mcs.stage-of-economic-development@Sna8,
* Mcs.Sna8/stage-of-economic-development, 1.4
stage-payments::
* Mcs.stage-payments@Sna8,
* Mcs.Sna8/stage-payments, 6.112, 6.140
standard-of-living::
* Mcs.standard-of-living@Sna8,
* Mcs.Sna8/standard-of-living, 19.3
standardized-guarantee-schemes::
* Mcs.standardized-guarantee-schemes@Sna8,
* Mcs.Sna8/standardized-guarantee-schemes, 3.40, 6.206, 7.143, 8.115, 11.23, 11.110, 12.62, 17.211, 22.126, 27.34
· calls under 17.220
· parallel with non-life insurance 17.211
· provided by government units. 17.215
· recoveries 17.216
state-government::
* Mcs.state-government@Sna8,
* Mcs.Sna8/state-government, 4.30, 4.118
· sub-sector 4.140
statistical-discrepancies::
* Mcs.statistical-discrepancies@Sna8,
* Mcs.Sna8/statistical-discrepancies, 11.128, 22.77
statistical-surveys-coverage::
* Mcs.statistical-surveys-coverage@Sna8,
* Mcs.Sna8/statistical-surveys-coverage, 25.23
stock::
* Mcs.stock@Sna8,
* Mcs.Sna8/stock, 3.2, 3.4, 3.18, 6.253, 11.84, 13.1, 27.41
· are a position in, or holdings of, assets and liabilities at a point in time. see 3.4
stock-appreciation::
* Mcs.stock-appreciation@Sna8,
* Mcs.Sna8/stock-appreciation, 12.79
stock-options-pricing-model::
* Mcs.stock-options-pricing-model@Sna8,
* Mcs.Sna8/stock-options-pricing-model, 17.387
stock-ownership-plan::
* Mcs.stock-ownership-plan@Sna8,
* Mcs.Sna8/stock-ownership-plan, 17.396
storage::
* Mcs.storage@Sna8,
* Mcs.Sna8/storage, 6.105, 6.142, 6.149, 10.120, 12.97, 24.47
· distinguished from holding gains 6.142
· see also annex 6
store-of-economic-value::
* Mcs.store-of-economic-value@Sna8,
* Mcs.Sna8/store-of-economic-value, 2.35, 2.122
stream-of-future-earnings-not-recognized-as-a-financial-asset::
* Mcs.stream-of-future-earnings-not-recognized-as-a-financial-asset@Sna8,
* Mcs.Sna8/stream-of-future-earnings-not-recognized-as-a-financial-asset, 11.26
strike-price::
* Mcs.strike-price@Sna8,
* Mcs.Sna8/strike-price, 11.117, 11.120, 17.385
· ESO 11.125
stripped-securities::
* Mcs.stripped-securities@Sna8,
* Mcs.Sna8/stripped-securities, 11.69
· are securities that have been transformed from a principal amount with coupon payments into a series of zero-coupon bonds, with a range of maturities matching the coupon payment date(s) and the redemption date of the principal amount(s). see 11.69
structured-product-descriptions::
* Mcs.structured-product-descriptions@Sna8,
* Mcs.Sna8/structured-product-descriptions, 15.202
students::
* Mcs.students@Sna8,
* Mcs.Sna8/students, 19.21, 19.32
· employment status 7.32
· residence 26.38
study-of-industrial-activity::
* Mcs.study-of-industrial-activity@Sna8,
* Mcs.Sna8/study-of-industrial-activity, 6.1
sub-annual-accounts::
* Mcs.sub-annual-accounts@Sna8,
* Mcs.Sna8/sub-annual-accounts, 18.2
sub-annual-estimates::
* Mcs.sub-annual-estimates@Sna8,
* Mcs.Sna8/sub-annual-estimates, 18.33
sub-contracting::
* Mcs.sub-contracting@Sna8,
* Mcs.Sna8/sub-contracting, 28.14
subscriptions::
* Mcs.subscriptions@Sna8,
* Mcs.Sna8/subscriptions, 8.132, 23.4
sub-sectors::
* Mcs.sub-sectors@Sna8,
* Mcs.Sna8/sub-sectors, 2.18, 4.1, 4.33
· financial corporations 4.102
· general government 4.128
· households 4.158, 24.27, 24.44
· non-financial corporations 4.97
subsidiary::
* Mcs.subsidiary@Sna8,
* Mcs.Sna8/subsidiary, 4.51, 26.85
· definition 4.73
subsidiary-products::
* Mcs.subsidiary-products@Sna8,
* Mcs.Sna8/subsidiary-products, 28.46
subsidies::
* Mcs.subsidies@Sna8,
* Mcs.Sna8/subsidies, 7.98, 7.135, 22.138
· are current unrequited payments that government units, including non-resident government units, make to enterprises on the basis of the levels of their production activities or the quantities or values of the goods or services that they produce, sell or import. see 7.98
· consumer 7.99
· consumption 29.69
· extending concept of 29.41
· implicit 7.122
· on payroll or workforce 7.106
· on production and imports 7.2
· on products 14.5, 14.133, 16.7
· on products used domestically 7.105
· resulting from multiple exchange rates 7.103
· to public corporations and quasi-corporations 7.105
· to reduce pollution 7.106
· vs. capital injections 11.91
· vs. social benefits 8.98
subsidy-on-product::
* Mcs.subsidy-on-product@Sna8,
* Mcs.Sna8/subsidy-on-product,
· A subsidy on a product is a subsidy payable per unit of a good or service. see 7.100
subsistence::
* Mcs.subsistence@Sna8,
* Mcs.Sna8/subsistence,
· activity 4.21, 24.1
· agriculture 1.41, 24.47
· economy 18.59
· farmers 9.54
· farms 9.59
· income 18.62
subsoil-assets::
* Mcs.subsoil-assets@Sna8,
* Mcs.Sna8/subsoil-assets, 7.109, 7.159, 12.17
sum-of-costs::
* Mcs.sum-of-costs@Sna8,
* Mcs.Sna8/sum-of-costs, 6.125, 6.191
· insurance output 17.29
super-dividends::
* Mcs.super-dividends@Sna8,
* Mcs.Sna8/super-dividends, 7.131, 7.134, 11.90
superlative-indices::
* Mcs.superlative-indices@Sna8,
* Mcs.Sna8/superlative-indices, 15.29
supervisory-services::
* Mcs.supervisory-services@Sna8,
* Mcs.Sna8/supervisory-services, 6.151, 6.153
supplementary-table::
* Mcs.supplementary-table@Sna8,
* Mcs.Sna8/supplementary-table, 11.24, 11.31
· capital services 20.69
· capital stocks 20.1
· informal production and employment 25.75
· pass-through funds 21.43
· pensions 9.20, 17.124
· personal remittances 26.68
supply-and-use-tables::
* Mcs.supply-and-use-tables@Sna8,
* Mcs.Sna8/supply-and-use-tables, 1.24, 2.76, 2.148, 6.1, 14.3, 18.17, 18.23, 25.49, 28.1, 29.21
· as a means of checking data consistency 14.116
· consistency of prices within 18.23
· in volume terms 14.136, 15.110
· simultaneous compilation of value and volume estimates 18.30
supply-at-purchasers'-prices::
* Mcs.supply-at-purchasers'-prices@Sna8,
* Mcs.Sna8/supply-at-purchasers'-prices, 14.44
supply-table::
* Mcs.supply-table@Sna8,
* Mcs.Sna8/supply-table,
· A supply table at purchasers' prices consists of a rectangular matrix with the rows corresponding to the same groups of products as the matching use tables and columns corresponding to the supply from domestic production valued at basic prices plus columns for imports and the valuation adjustments necessary to have total supply of each see 14.13
supply-table-at-purchasers'-prices::
* Mcs.supply-table-at-purchasers'-prices@Sna8,
* Mcs.Sna8/supply-table-at-purchasers'-prices,
· definition 14.13
surface-water-regular-extraction-from::
* Mcs.surface-water-regular-extraction-from@Sna8,
* Mcs.Sna8/surface-water-regular-extraction-from, 12.22
surveys::
* Mcs.surveys@Sna8,
* Mcs.Sna8/surveys,
· businesses 19.69
· design 19.76
· frame 19.79
· household wealth 24.76
· methodology 25.81
survival-functions::
* Mcs.survival-functions@Sna8,
* Mcs.Sna8/survival-functions, 6.253
sustainability-of-government-operations::
* Mcs.sustainability-of-government-operations@Sna8,
* Mcs.Sna8/sustainability-of-government-operations, 22.79
sustainable-use-of-natural-resources-timber::
* Mcs.sustainable-use-of-natural-resources-timber@Sna8,
* Mcs.Sna8/sustainable-use-of-natural-resources-timber, 17.330
swaps::
* Mcs.swaps@Sna8,
* Mcs.Sna8/swaps, 7.115, 11.114, 11.121
· gold 11.73, 11.77
· interest rate 11.121
symmetric-input-output-matrix::
* Mcs.symmetric-input-output-matrix@Sna8,
* Mcs.Sna8/symmetric-input-output-matrix, 28.7
System-of-Health-Accounts-(SHA)::
* Mcs.System-of-Health-Accounts-(SHA)@Sna8,
* Mcs.Sna8/System-of-Health-Accounts-(SHA), 29.128
Name::
* Mcs.Index-T@Sna8,
* Mcs.Sna8/Index-T,
T-account::
* Mcs.T-account@Sna8,
* Mcs.Sna8/T-account, 16.3
takeover::
* Mcs.takeover@Sna8,
* Mcs.Sna8/takeover, 21.22
takeover-bid::
* Mcs.takeover-bid@Sna8,
* Mcs.Sna8/takeover-bid, 21.52
tax::
* Mcs.tax@Sna8,
* Mcs.Sna8/tax, 7.71, 29.56
· Taxes are compulsory, unrequited payments, in cash or in kind, made by institutional units to government units. see 7.71, 8.52
· changes in tax regimes 14.151
· collection of taxes on behalf of a second government unit 8.127
· refund of taxes on products 7.104
· tax allowance 8.62, 22.95
· tax assessments 7.84, 8.58
· tax benefits 29.41
· tax burden 22.7
· tax collection, on behalf of another government unit 3.70
· tax credit 8.62, 22.95
·· non-payable 22.95
·· payable 22.95
·· recording in SNA 22.97
·· wastable 22.95
· tax relief 22.95
· taxes vs. fees 7.80, 22.89
* specific::
· ad valorem taxes 7.88, 7.100, 7.105, 15.175
· capital taxes (consist of taxes levied at irregular and infrequent intervals on the values of the assets or net worth owned by institutional units or on the values of assets transferred between institutional units as a result of legacies, gifts inter vivos or other transfers) see 10.207
· car tax 7.83
· categories of taxes 7.82
· current taxes on capital (consist of taxes that are payable periodically, usually annually, on the property or net wealth of institutional units, excluding taxes on land or other assets owned or rented by enterprises and used by them for production, such taxes being treated as other taxes on production) 8.63
· current taxes on income, wealth, etc. (consist mainly of taxes on the incomes of households or profits of corporations and of taxes on wealth that are payable regularly every tax period (as distinct from capital taxes levied infrequently) see 8.15, 7.2, 8.15, 8.27, 16.12
· deductible tax 7.6
· direct taxes 7.75, 8.52
· earmarked taxes 4.138
· environmental tax 29.111
· expenditure taxes 8.64
· export taxes (consist of taxes on goods or services that become payable to government when the goods leave the economic territory or when the services are delivered to non-residents) see 7.95
· gambling taxes 8.61, 8.136
· general sales taxes 7.94, 7.96
· gift taxes 10.207
· hypothecated taxes 4.138
· implicit taxes 7.96, 7.122, 7.123, 26.112
· in volume terms 14.148
· income tax 7.5
· indirect tax 7.75
· inheritance tax 8.38, 10.202, 10.207
· land taxes 7.157
· licence taxes 17.350
· miscellaneous current taxes 8.64
· other taxes on production (consist of all taxes except taxes on products that enterprises incur as a result of engaging in production) 6.50, 6.80, 7.7, 7.97
· pay-as-you-earn taxes 8.61
· payroll tax 7.41
· poll taxes 8.52, 8.64
· recurrent taxes on land, buildings or other structures 7.97
· specific taxes 15.175
· stamp taxes 7.97
· taxes as unrequited payments 8.52
· taxes less subsidies on production (consist of taxes payable or subsidies receivable on goods or services produced as outputs and other taxes or subsidies on production, such as those payable on the labour, machinery, buildings or other assets used in production) see 7.5
· taxes on assets used in production 7.41
· taxes on automobiles 8.57
· taxes on capital gains 8.61
· taxes on financial and capital transactions 7.96
· taxes on imports 7.10, 7.77, 7.94
· taxes on imports, excluding VAT and duties (consist of all taxes (except VAT and import duties) as defined in the GFSM/OECD classifications that become payable when goods enter the economic territory or services are delivered by nonresidents to residents) see 7.94
· taxes on income (consist of taxes on incomes, profits and capital gains) see 8.61
· taxes on individual or household income 8.61
· taxes on international transactions 7.97, 8.64
· taxes on payroll or work force 7.97
· taxes on pollution 7.97
· taxes on production 7.5, 26.58
· taxes on production and imports 7.2
· taxes on production and imports, classification 7.72
· taxes on production or imports 7.17
· taxes on production, deflation of 14.156
· taxes on products (A tax on a product is a tax that is payable per unit of some good or service) see 7.88 3.145, 6.49, 6.50, 7.88, 14.5, 14.158, 15.175, 16.7
· taxes on products payable by the rest of the world 7.87
· taxes on products, excluding VAT, import and export taxes (consist of taxes on goods and services that become payable as a result of the production, sale, transfer, leasing or delivery of those goods or services, or as a result of their use for own consumption or own capital formation) see 7.96
· taxes on specific services 7.94, 7.96
· taxes on the income of corporations 8.61
· taxes on the use of fixed assets or other activities 7.97
· taxes resulting from multiple exchange rates 7.94, 7.95
· taxes resulting from the central bank imposing a higher rate of interest than the market rate 7.96
· turnover taxes 7.96
· value added tax (VAT) 6.49, 6.55, 7.6, 7.10, 7.89, 14.131, 16.49
·· A value added type tax (VAT) is a tax on goods or services collected in stages by enterprises but that is ultimately charged in full to the final purchasers. see 7.89
·· deductible VAT 14.45
·· invoiced VAT 7.6, 7.75, 14.45
·· non-deductible VAT 14.45
·· recording gross and net VAT 6.59
·· same treatment for any similar deductible tax scheme 6.57
·· to be recorded net VAT 6.61
· VAT type tax 2.87, 7.89, 14.79
· unpaid tax liabilities 7.85
taxes-and-duties-on-imports::
* Mcs.taxes-and-duties-on-imports@Sna8,
* Mcs.Sna8/taxes-and-duties-on-imports, 7.90
· consist of taxes on goods and services that become payable at the moment when those goods cross the national or customs frontiers of the economic territory or when those services are delivered by non-resident producers to resident institutional units. see 7.90
· inclusion of taxes levied on goods not changing ownership 7.92
taxi-licence::
* Mcs.taxi-licence@Sna8,
* Mcs.Sna8/taxi-licence, 17.350
TDGDP-(Tourism-direct-gross-domestic-product)::
* Mcs.TDGDP-(Tourism-direct-gross-domestic-product)@Sna8,
* Mcs.Sna8/TDGDP-(Tourism-direct-gross-domestic-product), 29.90
TDGVA-(Tourism-direct-gross-value-added)::
* Mcs.TDGVA-(Tourism-direct-gross-value-added)@Sna8,
* Mcs.Sna8/TDGVA-(Tourism-direct-gross-value-added), 29.90
technical-assistance-staff::
* Mcs.technical-assistance-staff@Sna8,
* Mcs.Sna8/technical-assistance-staff, 8.128
technical-progress::
* Mcs.technical-progress@Sna8,
* Mcs.Sna8/technical-progress, 6.242, 12.96
technical-reserves::
* Mcs.technical-reserves@Sna8,
* Mcs.Sna8/technical-reserves, 6.188, 6.190, 6.194
technological-change::
* Mcs.technological-change@Sna8,
* Mcs.Sna8/technological-change, 6.244, 18.25
technological-coefficients::
* Mcs.technological-coefficients@Sna8,
* Mcs.Sna8/technological-coefficients, 28.42
technological-process-of-production::
* Mcs.technological-process-of-production@Sna8,
* Mcs.Sna8/technological-process-of-production, 14.37
technology::
* Mcs.technology@Sna8,
* Mcs.Sna8/technology, 28.63
technology-approach::
* Mcs.technology-approach@Sna8,
* Mcs.Sna8/technology-approach, 28.48
technology-of-production::
* Mcs.technology-of-production@Sna8,
* Mcs.Sna8/technology-of-production, 5.2, 5.16, 6.238
tenant::
* Mcs.tenant@Sna8,
* Mcs.Sna8/tenant, 6.117, 9.66
tenant-farmer::
* Mcs.tenant-farmer@Sna8,
* Mcs.Sna8/tenant-farmer, 20.45
term-insurance::
* Mcs.term-insurance@Sna8,
* Mcs.Sna8/term-insurance, 17.6
terminal-costs::
* Mcs.terminal-costs@Sna8,
* Mcs.Sna8/terminal-costs, 10.50, 10.157, 10.161, 20.56, 20.57, 20.60
terms-of-employment::
* Mcs.terms-of-employment@Sna8,
* Mcs.Sna8/terms-of-employment, 25.27
terms-of-trade::
* Mcs.terms-of-trade@Sna8,
* Mcs.Sna8/terms-of-trade, 2.146, 15.5, 15.185
· The terms of trade are defined as the ratio of the price of exports to the price of imports. see 15.187
terms-of-trade-Geary-method-of-calculation::
* Mcs.terms-of-trade-Geary-method-of-calculation@Sna8,
* Mcs.Sna8/terms-of-trade-Geary-method-of-calculation, 15.191
territorial-enclaves::
* Mcs.territorial-enclaves@Sna8,
* Mcs.Sna8/territorial-enclaves, 4.11, 26.26, 26.43
tertiary-distribution-of-income::
* Mcs.tertiary-distribution-of-income@Sna8,
* Mcs.Sna8/tertiary-distribution-of-income, 2.99
TFP-(Total-Factor-Productivity)::
* Mcs.TFP-(Total-Factor-Productivity)@Sna8,
* Mcs.Sna8/TFP-(Total-Factor-Productivity), 19.64
theft::
* Mcs.theft@Sna8,
* Mcs.Sna8/theft, 6.147
three-economic-activities::
* Mcs.three-economic-activities@Sna8,
* Mcs.Sna8/three-economic-activities, 3.19, 4.17
three-measures-of-GDP::
* Mcs.three-measures-of-GDP@Sna8,
* Mcs.Sna8/three-measures-of-GDP, 18.14, 18.56
tidal-waves::
* Mcs.tidal-waves@Sna8,
* Mcs.Sna8/tidal-waves, 12.46
time-of-recording::
* Mcs.time-of-recording@Sna8,
* Mcs.Sna8/time-of-recording, 2.54, 3.159, 3.169, 18.34
· BPM6 26.20
· BPM6
· vs. IMTS 26.53
· financial claims 11.37
· intermediate inputs 6.75
· output 6.75
· work-in-progress 6.90
time-reversal-test::
* Mcs.time-reversal-test@Sna8,
* Mcs.Sna8/time-reversal-test, 15.31
time-series::
* Mcs.time-series@Sna8,
* Mcs.Sna8/time-series, 18.3, 18.9
time-use-surveys::
* Mcs.time-use-surveys@Sna8,
* Mcs.Sna8/time-use-surveys, 29.147
timeliness::
* Mcs.timeliness@Sna8,
* Mcs.Sna8/timeliness, 18.3, 18.12
tips::
* Mcs.tips@Sna8,
* Mcs.Sna8/tips, 7.44
Tornqvist-index::
* Mcs.Tornqvist-index@Sna8,
* Mcs.Sna8/Tornqvist-index, 15.29, 19.56
total-economy::
* Mcs.total-economy@Sna8,
* Mcs.Sna8/total-economy, 4.23
· The total economy is defined as the entire set of resident institutional units. see 4.23
total-expense::
* Mcs.total-expense@Sna8,
* Mcs.Sna8/total-expense, 22.7
total-factor-productivity::
* Mcs.total-factor-productivity@Sna8,
* Mcs.Sna8/total-factor-productivity,
· see multifactor productivity
total-hours-actually-worked::
* Mcs.total-hours-actually-worked@Sna8,
* Mcs.Sna8/total-hours-actually-worked, 19.47
total-hours-worked::
* Mcs.total-hours-worked@Sna8,
* Mcs.Sna8/total-hours-worked, 2.157
total-outlays::
* Mcs.total-outlays@Sna8,
* Mcs.Sna8/total-outlays, 22.7
total-remittances::
* Mcs.total-remittances@Sna8,
* Mcs.Sna8/total-remittances, 8.134
total-revenue::
* Mcs.total-revenue@Sna8,
* Mcs.Sna8/total-revenue, 22.7, 22.8
total-supply-at-basic-prices::
* Mcs.total-supply-at-basic-prices@Sna8,
* Mcs.Sna8/total-supply-at-basic-prices, 14.158
total-supply-at-purchasers'-prices::
* Mcs.total-supply-at-purchasers'-prices@Sna8,
* Mcs.Sna8/total-supply-at-purchasers'-prices, 14.158
tourism::
* Mcs.tourism@Sna8,
* Mcs.Sna8/tourism, 2.166, 29.92
· aggregates 29.100
· characteristic products 29.97
· connected products 29.97
· consumption 29.90
· consumption, definition and scope 29.95
· expenditure 29.94
· inbound 29.92
· industries 29.90
· industries, definition 29.98
· key sector 29.37
· outbound 29.92
· satellite account 24.66, 29.85, 29.89, 29.99
tourism-direct-gross-domestic-product-(TDGDP)::
* Mcs.tourism-direct-gross-domestic-product-(TDGDP)@Sna8,
* Mcs.Sna8/tourism-direct-gross-domestic-product-(TDGDP), 29.90
tourism-direct-gross-value-added-(TDGVA)::
* Mcs.tourism-direct-gross-value-added-(TDGVA)@Sna8,
* Mcs.Sna8/tourism-direct-gross-value-added-(TDGVA), 29.90
toxic-spills::
* Mcs.toxic-spills@Sna8,
* Mcs.Sna8/toxic-spills, 12.46
Tp-(Törnqvist-Price-Index)::
* Mcs.Tp-(Törnqvist-Price-Index)@Sna8,
* Mcs.Sna8/Tp-(Törnqvist-Price-Index),
Tq-(Törnqvist-Volume-Index)::
* Mcs.Tq-(Törnqvist-Volume-Index)@Sna8,
* Mcs.Sna8/Tq-(Törnqvist-Volume-Index),
trade-and-transport-margins::
* Mcs.trade-and-transport-margins@Sna8,
* Mcs.Sna8/trade-and-transport-margins, 3.145, 14.5, 14.50, 14.54, 14.130, 14.158, 28.9
· definition 6.146
· in volume terms 14.147
· provided by residents and non-residents 14.52
· see also transport
trade-and-transport-services::
* Mcs.trade-and-transport-services@Sna8,
* Mcs.Sna8/trade-and-transport-services, 14.9
trade-associations::
* Mcs.trade-associations@Sna8,
* Mcs.Sna8/trade-associations, 8.132
trade-credit::
* Mcs.trade-credit@Sna8,
* Mcs.Sna8/trade-credit, 11.13, 11.126, 17.294, 27.35
trade-margin::
* Mcs.trade-margin@Sna8,
* Mcs.Sna8/trade-margin,
· A trade margin is defined as the difference between the actual or imputed price realized on a good purchased for resale and the price that would have to be paid by the distributor to replace the good at the time it is sold or otherwise disposed of. see 6.146
tradeable-permits::
* Mcs.tradeable-permits@Sna8,
* Mcs.Sna8/tradeable-permits, 17.363
trades-unions::
* Mcs.trades-unions@Sna8,
* Mcs.Sna8/trades-unions, 4.167
trading-gains::
* Mcs.trading-gains@Sna8,
* Mcs.Sna8/trading-gains, 1.26, 15.188
· from changes in the terms of trade. 15.185
trading-gain-or-loss::
* Mcs.trading-gain-or-loss@Sna8,
* Mcs.Sna8/trading-gain-or-loss,
· The trading gain or loss from changes in the terms of trade is the difference between real GDI and GDP in volume terms. see 15.188
trading-in-securities::
* Mcs.trading-in-securities@Sna8,
* Mcs.Sna8/trading-in-securities, 12.67
transaction::
* Mcs.transaction@Sna8,
* Mcs.Sna8/transaction, 1.7, 2.22, 3.50
· A transaction is an economic flow that is an interaction between institutional units by mutual agreement or an action within an institutional unit that it is analytically useful to treat like a transaction, often because the unit is operating in two different capacities. see 3.7, 3.51
· between government and international or supranational organizations 22.99
· in financial instruments 2.29
· in goods and services 2.27
· intra-unit or internal 2.22
· mutual agreement 3.53
· on unofficial markets 6.42
· prices 6.54
· valuation 2.59
transfer::
* Mcs.transfer@Sna8,
* Mcs.Sna8/transfer, 3.58, 8.10, 22.17
· A transfer is a transaction in which one institutional unit provides a good, service or asset to another unit without receiving from the latter any good, service or asset in return as a direct counterpart. see 8.10, 8.34
· current vs. capital 8.38
· impact of classification on saving 10.203
· in kind 1.36, 3.77, 3.82
· in kind between households 24.64
· recording of 8.41
· redistributing income 24.2
transfer-pricing::
* Mcs.transfer-pricing@Sna8,
* Mcs.Sna8/transfer-pricing, 3.131, 3.143, 21.50
transferability::
* Mcs.transferability@Sna8,
* Mcs.Sna8/transferability, 27.19
transferable-contract::
* Mcs.transferable-contract@Sna8,
* Mcs.Sna8/transferable-contract, 17.370, 17.375
transferable-deposits::
* Mcs.transferable-deposits@Sna8,
* Mcs.Sna8/transferable-deposits,
· comprise all deposits that are exchangeable for bank notes and coins on demand at par and without penalty or restriction and directly usable for making payments by cheque, draft, giro order, direct debit/credit, or other direct payment facility. see 11.54
· cross-classification 11.55
transferable-pensions::
* Mcs.transferable-pensions@Sna8,
* Mcs.Sna8/transferable-pensions, 17.119
transitivity::
* Mcs.transitivity@Sna8,
* Mcs.Sna8/transitivity, 15.211
transport::
* Mcs.transport@Sna8,
* Mcs.Sna8/transport, 6.141, 20.60
· as key sector 29.35
· on imports provided by residents 14.72
transport-charges::
* Mcs.transport-charges@Sna8,
* Mcs.Sna8/transport-charges, 3.145, 3.146, 3.147, 6.49, 6.148
· international 14.61
transport-equipment::
* Mcs.transport-equipment@Sna8,
* Mcs.Sna8/transport-equipment, 10.82, 10.84
· consists of equipment for moving people and objects. see 10.84
transport-services::
* Mcs.transport-services@Sna8,
* Mcs.Sna8/transport-services, 14.27, 15.166
transport-services::
* Mcs.transport-services@Sna8,
* Mcs.Sna8/transport-services,
· see also trade and transport margins
travel-BPM6::
* Mcs.travel-BPM6@Sna8,
* Mcs.Sna8/travel-BPM6,
· term 26.57
travellers::
* Mcs.travellers@Sna8,
* Mcs.Sna8/travellers, 29.91
travelling-for-business::
* Mcs.travelling-for-business@Sna8,
* Mcs.Sna8/travelling-for-business, 29.93
treasury-bills::
* Mcs.treasury-bills@Sna8,
* Mcs.Sna8/treasury-bills, 11.99
tree-crop-and-plant-resources-yielding-repeat-products::
* Mcs.tree-crop-and-plant-resources-yielding-repeat-products@Sna8,
* Mcs.Sna8/tree-crop-and-plant-resources-yielding-repeat-products, 10.95
trust-account-use-in-defeasance::
* Mcs.trust-account-use-in-defeasance@Sna8,
* Mcs.Sna8/trust-account-use-in-defeasance, 12.42
trusts::
* Mcs.trusts@Sna8,
* Mcs.Sna8/trusts, 11.88
· cover plants whose natural growth and regeneration are under the direct control, responsibility and management of institutional units. see 10.95
TSA-(Tourism-satellite-account)::
* Mcs.TSA-(Tourism-satellite-account)@Sna8,
* Mcs.Sna8/TSA-(Tourism-satellite-account), 29.89
Name::
* Mcs.Index-U@Sna8,
* Mcs.Sna8/Index-U,
UJV-(Unincorporated-Joint-Venture)::
* Mcs.UJV-(Unincorporated-Joint-Venture)@Sna8,
* Mcs.Sna8/UJV-(Unincorporated-Joint-Venture), 17.347
ultimate-bearer-of-the-expense::
* Mcs.ultimate-bearer-of-the-expense@Sna8,
* Mcs.Sna8/ultimate-bearer-of-the-expense, 2.103
unallocated-and-allocated-accounts-precious-metals-other-than-gold::
* Mcs.unallocated-and-allocated-accounts-precious-metals-other-than-gold@Sna8,
* Mcs.Sna8/unallocated-and-allocated-accounts-precious-metals-other-than-gold, 11.61
unallocated-gold-accounts::
* Mcs.unallocated-gold-accounts@Sna8,
* Mcs.Sna8/unallocated-gold-accounts, 11.45, 11.60, 17.240, 17.244
uncompensated-seizure::
* Mcs.uncompensated-seizure@Sna8,
* Mcs.Sna8/uncompensated-seizure, 12.48, 29.43
· fish 17.333
· timber 17.332
underground-economy::
* Mcs.underground-economy@Sna8,
* Mcs.Sna8/underground-economy, 19.35, 25.30
underlying-economic-reality::
* Mcs.underlying-economic-reality@Sna8,
* Mcs.Sna8/underlying-economic-reality, 7.57
underwriting::
* Mcs.underwriting@Sna8,
* Mcs.Sna8/underwriting, 6.157
undistributed-income::
* Mcs.undistributed-income@Sna8,
* Mcs.Sna8/undistributed-income, 9.11
undistributed-profits::
* Mcs.undistributed-profits@Sna8,
* Mcs.Sna8/undistributed-profits, 7.129
undrawn-lines-of-credit::
* Mcs.undrawn-lines-of-credit@Sna8,
* Mcs.Sna8/undrawn-lines-of-credit, 11.73
UNECE-(United-Nations-Economic-Commission-for-Europe)::
* Mcs.UNECE-(United-Nations-Economic-Commission-for-Europe)@Sna8,
* Mcs.Sna8/UNECE-(United-Nations-Economic-Commission-for-Europe), Ref
unemployed-person::
* Mcs.unemployed-person@Sna8,
* Mcs.Sna8/unemployed-person,
· definition 19.29
unemployment::
* Mcs.unemployment@Sna8,
* Mcs.Sna8/unemployment, 19.29
unemployment-benefits::
* Mcs.unemployment-benefits@Sna8,
* Mcs.Sna8/unemployment-benefits, 8.68
UNESCAP-(United-Nations-Economic-and-Social-Commission-for-Asia-and-the-Pacific)::
* Mcs.UNESCAP-(United-Nations-Economic-and-Social-Commission-for-Asia-and-the-Pacific)@Sna8,
* Mcs.Sna8/UNESCAP-(United-Nations-Economic-and-Social-Commission-for-Asia-and-the-Pacific),
unexpired-risks::
* Mcs.unexpired-risks@Sna8,
* Mcs.Sna8/unexpired-risks, 17.25
unforeseen-environmental-degradation::
* Mcs.unforeseen-environmental-degradation@Sna8,
* Mcs.Sna8/unforeseen-environmental-degradation, 12.52
unforeseen-obsolescence::
* Mcs.unforeseen-obsolescence@Sna8,
* Mcs.Sna8/unforeseen-obsolescence, 6.244, 12.53
unilateral-cancellation-of-debt::
* Mcs.unilateral-cancellation-of-debt@Sna8,
* Mcs.Sna8/unilateral-cancellation-of-debt, 12.41
unilateral-economic-actions::
* Mcs.unilateral-economic-actions@Sna8,
* Mcs.Sna8/unilateral-economic-actions, 2.23
unincorporated-enterprise::
* Mcs.unincorporated-enterprise@Sna8,
* Mcs.Sna8/unincorporated-enterprise, 1.61, 2.17, 4.6, 4.21, 4.32, 8.16, 24.6
· An unincorporated enterprise represents the production activity of a government unit, NPISH or household that cannot be treated as the production activity of a quasi-corporation. see 5.1
· of government, treatment as a quasi-corporation 5.30
· output 9.54
· with employees 25.44
· with some market production 4.123
· without employees 25.44
unincorporated-joint-ventures-(UJVs)::
* Mcs.unincorporated-joint-ventures-(UJVs)@Sna8,
* Mcs.Sna8/unincorporated-joint-ventures-(UJVs), 17.347
unincorporated-partnership::
* Mcs.unincorporated-partnership@Sna8,
* Mcs.Sna8/unincorporated-partnership, 4.156
unions-business-and-professional-associations::
* Mcs.unions-business-and-professional-associations@Sna8,
* Mcs.Sna8/unions-business-and-professional-associations, 23.19
unit-of-account::
* Mcs.unit-of-account@Sna8,
* Mcs.Sna8/unit-of-account, 3.14
unit-of-homogeneous-production::
* Mcs.unit-of-homogeneous-production@Sna8,
* Mcs.Sna8/unit-of-homogeneous-production, 5.16, 5.52
unit-trusts::
* Mcs.unit-trusts@Sna8,
* Mcs.Sna8/unit-trusts, 11.96
unit-value-indices::
* Mcs.unit-value-indices@Sna8,
* Mcs.Sna8/unit-value-indices, 14.146, 15.14
units-that-ultimately-bear-the-expenses::
* Mcs.units-that-ultimately-bear-the-expenses@Sna8,
* Mcs.Sna8/units-that-ultimately-bear-the-expenses, 29.77
universities::
* Mcs.universities@Sna8,
* Mcs.Sna8/universities, 23.27
unpaid-hours::
* Mcs.unpaid-hours@Sna8,
* Mcs.Sna8/unpaid-hours, 19.67
unpaid-household-services-valuation::
* Mcs.unpaid-household-services-valuation@Sna8,
* Mcs.Sna8/unpaid-household-services-valuation, 29.145
unpaid-labour::
* Mcs.unpaid-labour@Sna8,
* Mcs.Sna8/unpaid-labour, 6.127, 19.27
unrealized-holding-gain::
* Mcs.unrealized-holding-gain@Sna8,
* Mcs.Sna8/unrealized-holding-gain,
· An unrealized holding gain is one accruing on an asset that is still owned or a liability that is still outstanding at the end of the accounting period. see 12.80
unrequited::
* Mcs.unrequited@Sna8,
* Mcs.Sna8/unrequited, 7.71
use-of-adjusted-disposable-income-account::
* Mcs.use-of-adjusted-disposable-income-account@Sna8,
* Mcs.Sna8/use-of-adjusted-disposable-income-account, 2.101, 9.7, 9.95, 16.16
use-of-disposable-income-account::
* Mcs.use-of-disposable-income-account@Sna8,
* Mcs.Sna8/use-of-disposable-income-account, 2.101, 9.7, 16.15
use-of-income::
* Mcs.use-of-income@Sna8,
* Mcs.Sna8/use-of-income, 1.14, 24.5
use-of-income-account::
* Mcs.use-of-income-account@Sna8,
* Mcs.Sna8/use-of-income-account, 2.101, 26.4, 28.71
use-table::
* Mcs.use-table@Sna8,
* Mcs.Sna8/use-table, 14.84
· A use table at purchasers' prices consists of a set of product balances covering all products available in an economy arranged in the form of a rectangular matrix with the products, valued at purchasers' prices, appearing in the rows and the columns indicating the disposition of the products to various types of uses. see 14.13
· basic prices 14.44, 14.123, 14.164, 28.67
· imports only 14.165
· purchasers' prices, definition 14.13
user-cost::
* Mcs.user-cost@Sna8,
* Mcs.Sna8/user-cost, 20.31, 20.32
users-vs-beneficiaries::
* Mcs.users-vs-beneficiaries@Sna8,
* Mcs.Sna8/users-vs-beneficiaries, 29.74
uses::
* Mcs.uses@Sna8,
* Mcs.Sna8/uses, 1.14, 2.43
uses-of-the-SNA::
* Mcs.uses-of-the-SNA@Sna8,
* Mcs.Sna8/uses-of-the-SNA, 1.27
utility::
* Mcs.utility@Sna8,
* Mcs.Sna8/utility, 9.43
Name::
* Mcs.Index-V@Sna8,
* Mcs.Sna8/Index-V,
vacation-homes::
* Mcs.vacation-homes@Sna8,
* Mcs.Sna8/vacation-homes, 26.33
valuables::
* Mcs.valuables@Sna8,
* Mcs.Sna8/valuables, 3.43, 6.214, 9.57, 10.13, 10.133, 10.149, 11.45, 12.13, 14.112, 15.159
· are produced goods of considerable value that are not used primarily for purposes of production or consumption but are held as stores of value over time. see 10.13
· holding gains and losses 12.100
valuation::
* Mcs.valuation@Sna8,
* Mcs.Sna8/valuation,
· assets and liabilities 2.60
· bonds 13.59
· by total production costs 6.93
· contracts, leases and licences 13.52
· costs of ownership transfer on non-produced assets 13.34
· currency 13.57
· currency and deposits in foreign currency 13.57
· deep-discounted or zero-coupon bonds 13.59
· dwellings 13.29
· employee stock options 13.83
· fair value 13.67
· financial assets and liabilities 13.54
· financial claims 13.54
· financial derivatives 13.80
· fixed assets 13.27
· forwards 13.82
· index-linked debt security 13.60
· intellectual property products 13.36
· intermediate inputs 6.75
· inventories 13.38
· land 13.44
· land improvements 13.30
· life insurance and annuities entitlement 13.77
· listed shares 13.69
· livestock 13.32
· loans 13.62
· long-term securities 13.59
· mineral and energy resources 13.49
· mineral exploration and evaluation 13.35
· monetary gold 13.55
· net worth 13.85
· non-cultivated biological resources, 13.51
· of assets 12.34
· approximated by accumulating and revaluing acquisitions
· less disposals of asset 13.19
· present value of the expected future returns 13.24
· the present, or discounted, value of future economic benefits 13.19
· when no observable prices 13.18
· written-down replacement cost 13.23
· of financial assets, alternatives 29.49
· of non-monetary flows 3.135
· of transactions 2.59
· of transfers in kind 3.129
· options 13.81
· other equity 13.74
· output 6.75
· own funds 13.88
· pension entitlements 13.78
· principal outstanding 13.57
· principles 26.19
· provisions for calls under standardized guarantees 13.79
· purchased goodwill and marketing assets 13.53
· research and development 13.33
· reserves for non-life insurance 13.76
· rules 3.118
· SDRs 13.56
· second best procedure 6.125
· shareholders' equity in a direct investment enterprise 13.71
· shares (or units) in money market funds 13.75
· short-term securities 13.58
· trade credit and advances 13.84
· tradeable loan 13.64
· unlisted shares 13.70
· vehicles and equipment 13.31
value-added::
* Mcs.value-added@Sna8,
* Mcs.Sna8/value-added, 2.65, 2.86, 7.2, 7.4, 14.84, 14.115, 14.153, 14.160, 16.6, 28.72
· charges against 6.75
· contribution of labour and capital to the production
· process 6.71
· definition 6.8
· from leasing dwellings 24.55
value-of-capital-services::
* Mcs.value-of-capital-services@Sna8,
* Mcs.Sna8/value-of-capital-services, 20.28
value-of-output-vs-value-of-sales::
* Mcs.value-of-output-vs-value-of-sales@Sna8,
* Mcs.Sna8/value-of-output-vs-value-of-sales, 6.91
VAT-(Value-Added-Tax)::
* Mcs.VAT-(Value-Added-Tax)@Sna8,
* Mcs.Sna8/VAT-(Value-Added-Tax),
· see tax
venture-capital::
* Mcs.venture-capital@Sna8,
* Mcs.Sna8/venture-capital, 11.87
vertical-integration::
* Mcs.vertical-integration@Sna8,
* Mcs.Sna8/vertical-integration,
· A vertically integrated enterprise is one in which different stages of production, which are usually carried out by different enterprises, are carried out in succession by different parts of the same enterprise. see 5.23
vertically-integrated-activities-recommendation-for-defining-establishments::
* Mcs.vertically-integrated-activities-recommendation-for-defining-establishments@Sna8,
* Mcs.Sna8/vertically-integrated-activities-recommendation-for-defining-establishments, 5.26
vertically-integrated-enterprise::
* Mcs.vertically-integrated-enterprise@Sna8,
* Mcs.Sna8/vertically-integrated-enterprise, 5.23
vesting-date::
* Mcs.vesting-date@Sna8,
* Mcs.Sna8/vesting-date, 17.385
· ESO 11.125
virtual-manufacturing::
* Mcs.virtual-manufacturing@Sna8,
* Mcs.Sna8/virtual-manufacturing, 26.41
visitor::
* Mcs.visitor@Sna8,
* Mcs.Sna8/visitor, 29.91
volcanic-eruptions::
* Mcs.volcanic-eruptions@Sna8,
* Mcs.Sna8/volcanic-eruptions, 12.46
volume-index::
* Mcs.volume-index@Sna8,
* Mcs.Sna8/volume-index,
· A volume index is an average of the proportionate changes in the quantities of a specified set of goods or services between two periods of time. see 15.13
volume-measures::
* Mcs.volume-measures@Sna8,
* Mcs.Sna8/volume-measures, 18.22
volume-of-collective-services::
* Mcs.volume-of-collective-services@Sna8,
* Mcs.Sna8/volume-of-collective-services, 15.124
volume-terms::
* Mcs.volume-terms@Sna8,
* Mcs.Sna8/volume-terms, 2.146
volume-vs-quantity-as-terminology::
* Mcs.volume-vs-quantity-as-terminology@Sna8,
* Mcs.Sna8/volume-vs-quantity-as-terminology, 15.13
volumes-in-the-ICP::
* Mcs.volumes-in-the-ICP@Sna8,
* Mcs.Sna8/volumes-in-the-ICP, 15.228
voluntary-donations::
* Mcs.voluntary-donations@Sna8,
* Mcs.Sna8/voluntary-donations, 8.132
voluntary-sector::
* Mcs.voluntary-sector@Sna8,
* Mcs.Sna8/voluntary-sector, 23.11
voluntary-workers::
* Mcs.voluntary-workers@Sna8,
* Mcs.Sna8/voluntary-workers, 7.41, 19.27
volunteer-labour::
* Mcs.volunteer-labour@Sna8,
* Mcs.Sna8/volunteer-labour, 19.37, 23.34, 23.42, 29.85, 29.156
valuation::
* Mcs.valuation@Sna8,
* Mcs.Sna8/valuation, 29.160
vulnerability::
* Mcs.vulnerability@Sna8,
* Mcs.Sna8/vulnerability, 26.73
Name::
* Mcs.Index-W@Sna8,
* Mcs.Sna8/Index-W,
wage-index::
* Mcs.wage-index@Sna8,
* Mcs.Sna8/wage-index, 19.60
wages-and-salaries::
* Mcs.wages-and-salaries@Sna8,
* Mcs.Sna8/wages-and-salaries, 7.42, 7.43
· in cash 7.44
· items withheld by employers 7.43
warrants::
* Mcs.warrants@Sna8,
* Mcs.Sna8/warrants, 11.33, 11.119
· are tradable instruments giving the holder the right to buy, under specified terms for a specified period of time, from the issuer of the warrant (usually a corporation) a certain number of shares or bonds. see 11.119
wastage::
* Mcs.wastage@Sna8,
* Mcs.Sna8/wastage, 6.147
water::
* Mcs.water@Sna8,
* Mcs.Sna8/water, 17.337
· extraction 12.22
· extraction of 17.339
· inland 7.156
· leased for recreational purposes 17.338
· resources 10.175
· resources, definition 10.184
water-resources::
* Mcs.water-resources@Sna8,
* Mcs.Sna8/water-resources,
· consist of surface and groundwater resources used for extraction to the extent that their scarcity leads to the enforcement of ownership and/or use rights, market valuation and some measure of economic control. see 10.184
wealth::
* Mcs.wealth@Sna8,
* Mcs.Sna8/wealth, 1.2
weapons-systems::
* Mcs.weapons-systems@Sna8,
* Mcs.Sna8/weapons-systems, 6.232, 10.82
weights::
* Mcs.weights@Sna8,
* Mcs.Sna8/weights, 15.229
welfare::
* Mcs.welfare@Sna8,
* Mcs.Sna8/welfare, 1.75, 19.14
welfare-indices::
* Mcs.welfare-indices@Sna8,
* Mcs.Sna8/welfare-indices, 29.127
weapons-systems::
* Mcs.weapons-systems@Sna8,
* Mcs.Sna8/weapons-systems,
· include vehicles and other equipment such as warships, submarines, military aircraft, tanks, missile carriers and launchers, etc. see 10.87
WHO-(World-Health-Organization)::
* Mcs.WHO-(World-Health-Organization)@Sna8,
* Mcs.Sna8/WHO-(World-Health-Organization),
who-pays-vs-who-consumes::
* Mcs.who-pays-vs-who-consumes@Sna8,
* Mcs.Sna8/who-pays-vs-who-consumes, 29.55
wholesalers-and-retailers::
* Mcs.wholesalers-and-retailers@Sna8,
* Mcs.Sna8/wholesalers-and-retailers, 3.68
willing-buyers-and-willing-sellers::
* Mcs.willing-buyers-and-willing-sellers@Sna8,
* Mcs.Sna8/willing-buyers-and-willing-sellers, 3.119, 6.124, 26.97
wind-damage::
* Mcs.wind-damage@Sna8,
* Mcs.Sna8/wind-damage, 12.46
withdrawal-of-equity::
* Mcs.withdrawal-of-equity@Sna8,
* Mcs.Sna8/withdrawal-of-equity, 7.131, 11.90, 22.136, 22.140, 26.64
withdrawal-of-income-from-a-quasi-corporation::
* Mcs.withdrawal-of-income-from-a-quasi-corporation@Sna8,
* Mcs.Sna8/withdrawal-of-income-from-a-quasi-corporation, 7.23, 7.133, 22.136, 24.71
· consists of that part of distributable income that the owner withdraws from the quasi-corporation. see 7.133
with-profits-life-insurance::
* Mcs.with-profits-life-insurance@Sna8,
* Mcs.Sna8/with-profits-life-insurance, 17.6
workers-under-the-age-limit::
* Mcs.workers-under-the-age-limit@Sna8,
* Mcs.Sna8/workers-under-the-age-limit, 19.34
workers'-remittances::
* Mcs.workers'-remittances@Sna8,
* Mcs.Sna8/workers'-remittances, 16.12
working-days-adjustment::
* Mcs.working-days-adjustment@Sna8,
* Mcs.Sna8/working-days-adjustment, 18.38
working-time::
* Mcs.working-time@Sna8,
* Mcs.Sna8/working-time, 19.50
work-in-progress::
* Mcs.work-in-progress@Sna8,
* Mcs.Sna8/work-in-progress, 10.90, 10.126, 10.134
· consists of output produced by an enterprise that is not yet sufficiently processed to be in a state in which it is normally supplied to other institutional units. see 10.134
· agricultural products 10.127
· conversion to finished goods 6.112
· cultivated biological resources, definition 10.140
· entries to and withdrawals from 6.113
· in service industries 6.111
· long-term projects 20.63
· reclassification to finished goods 12.71
· reclassified as a finished product 10.136
· structures intended for own use 6.119
· transformed to finished goods 3.176
· valuation at basic prices 6.113
work-in-progress-on-cultivated-biological-resources::
* Mcs.work-in-progress-on-cultivated-biological-resources@Sna8,
* Mcs.Sna8/work-in-progress-on-cultivated-biological-resources,
· consists of output that is not yet sufficiently mature to be in a state in which it is normally supplied to other institutional units. see 10.140
works-of-art::
* Mcs.works-of-art@Sna8,
* Mcs.Sna8/works-of-art, 9.57
write-downs::
* Mcs.write-downs@Sna8,
* Mcs.Sna8/write-downs, 12.40
write-offs::
* Mcs.write-offs@Sna8,
* Mcs.Sna8/write-offs, 12.40
writing-off-of-financial-instruments::
* Mcs.writing-off-of-financial-instruments@Sna8,
* Mcs.Sna8/writing-off-of-financial-instruments, 3.152
written-down-current-acquisition-values::
* Mcs.written-down-current-acquisition-values@Sna8,
* Mcs.Sna8/written-down-current-acquisition-values, 3.136
Name::
* Mcs.Index-X@Sna8,
* Mcs.Sna8/Index-X,
XMPI-(Export-and-import-price-indices)::
* Mcs.XMPI-(Export-and-import-price-indices)@Sna8,
* Mcs.Sna8/XMPI-(Export-and-import-price-indices), 15.3
XPI-(Export-price-index)::
* Mcs.XPI-(Export-price-index)@Sna8,
* Mcs.Sna8/XPI-(Export-price-index), 15.108
Name::
* Mcs.Index-Y@Sna8,
* Mcs.Sna8/Index-Y,
Young-index::
* Mcs.Young-index@Sna8,
* Mcs.Sna8/Young-index, 15.34
Name::
* Mcs.Index-Z@Sna8,
* Mcs.Sna8/Index-Z,
zero-coupon-bonds::
* Mcs.zero-coupon-bonds@Sna8,
* Mcs.Sna8/zero-coupon-bonds, 11.69, 12.109
Foreword
Preface
Chapter 1: Introduction
Chapter 2: Overview
Chapter 3: Stocks, flows and accounting rules
Chapter 4: Institutional units and sectors
Chapter 5: Enterprises, establishments and industries
Chapter 6: The production account
Annex to chapter 6: Separating output due to storage from holding gains and losses
Chapter 7: The distribution of income accounts
Chapter 8: The redistribution of income accounts
Chapter 9: The use of income accounts
Chapter 10: The capital account
Chapter 11: The financial account
Chapter 12: The other changes in assets accounts
Chapter 13: The balance sheet
Chapter 14: The supply and use tables and goods and services account
Chapter 15: Price and volume measures
Chapter 16: Summarizing and integrating the accounts
Chapter 17: Cross-cutting and other special issues
Chapter 18: Elaborating and presenting the accounts
Chapter 19: Population and labour inputs
Chapter 20: Capital services and the national accounts
Chapter 21: Measuring corporate activity
Chapter 22: The general government and public sectors
Chapter 23: Non-profit institutions
Chapter 24: The households sector
Chapter 25: Informal aspects of the economy
Chapter 26: The rest of the world accounts and links to the balance of payments
Chapter 27: Links to monetary statistics and the flow of funds
Chapter 28: Input-output and other matrix-based analyses
Chapter 29: Satellite accounts and other extensions
Annex 1:The classification hierarchies of the SNA and associated codes
Annex 2: The sequence of accounts
Annex 3: Changes from the 1993 System of National Accounts
Annex 4: Research Agenda
List of tables
List of figures
References
Index
Table of contents
This page was visited times since {2013-05-30}
Page-path: synagonism.net / lagHitp / standard / Sna8
Html5IdToc-Rendering:
• Kaseluris.Nikos.1959 created
this file BY converting
its original pdf-format
TO his html5.id.toc.preview proposed text-format.
• Version.6-Reading-tip:
Since version.6 the-names of the-index are GLOBAL.
This means that from any webpage of my website you have access to them
by clicking on green-title of a-page and writing
Sna8'words-of-name.
From there you can-have a-preview of the-name's info.
[HmnSgm.2017-06-26]
• Reading-tip: The use of the automated expandable table-of-contents
improves reading and understanding of this big text which has about
6,500 paragraphs and 1,700 headings.
• Reading-tip: use and a second tab/window with the file.
There, writing in the address-bar AND "#idXXX" you will have access
to any part of the document.
Writing and "#idIndex-term" goes to that
term in the index with usefull links and some times its definition.
• Reading-tip: clicking on "link-symbol" at the end of a paragraph|heading,
goes to that part of the file.
Then, from the address-bar you can copy
the reference to this part of the doc.
• Reading-tip: use the resize-anything--chrome-extension
to resize the tables as you wish.
• Reading-tip: Press Ctrl + F to SEARCH the-page. 'Mcs.Sna8/words-of-concept's-name' finds the-concept in the-index.
• version.last.dynamic: ../../dirMcs/dirStn/dirHitp/HitpStnStd000.last.html
• version.8.2021-04-24 (7-3): un.sna.2008.8.2021-04-24.html
• version.7.2020-11-04.index: un.sna.2008.7.2020-11-04.html
• version.6.2017-06-26.global-name (5-7): un.sna.2008.6.2017-06-26.html
• version.5.2015-12-03: un.sna.2008.5.2015-12-03.html
• version.4.previous: un.sna.2008.2013.06.01.html
• version.3.previous: (gym-eleous.ioa.sch.gr) UN.SNA.2008.2013.05.04.html
• version.2.previous: (gym-eleous.ioa.sch.gr) UN.SNA.2008.2013.04.02.html
• version.1.published: 2011.02.17
• E-mail: kaseluris.nikos at gmail.com (please report mistakes, because Adobe badly messed-up the text when I extracted it)
• Last-note: I mailed this file to "United Nations Statistics Division". I published it because I never got an answer from them and I think my "id-html"-format will help the readers to easier understand the text than the pdf-format.
Finally, I publish it as an EXAMPLE electronic-publication of important standards and law texts that anyone can refer and link to any of its paragraphs.